INTRODUCCION AL CALCULO VECTORIAL
En la presente unidad estudiaremos las funciones vectoriales, funciones que asignan un
vector a un punto del plano o a un punto del espacio. Tales funciones se denominan campos
vectoriales, y sirven para representar diferentes tipos de campos de fuerza y de campos de
velocidades.
DEFINICION DE CAMPO VECTORIAL
Sean P y Q funciones de dos variables x e y, definidas en una región plana D. La función F
definida por
F (X, Y) = P (X, Y) i + Q (X, Y) j = ˂ P (x, y), Q (x, y) ˃
Se denomina campo vectorial sobre la región plana D, donde p y Q se llaman funciones
componentes de del campo vectorial F.
Análogamente sean P, Q , R funciones de tres variables x , y , z definidas en una región E
del espacio. La función F definida por
F (X, Y, Z) = P (X, Y,Z) i + Q (X, Y,Z) j + R(X,Y,Z)K
Se denomina campo vectorial sobre la región E.
Algunos ejemplos de campos vectoriales son los campos de velocidades que se usan para
describir un movimiento de un sistema de partículas en el plano o en el espacio. Por ejemplo,
el campo vectorial determinado por una rueda que gira alrededor de su eje, los campos de
velocidades determinados por el flujo de un líquido a través de un recipiente o por el flujo de
corrientes de aire alrededor de un objeto en movimiento.
Los campos gravitacionales se definen mediante la ley de la gravitación de Newton,que
establece que la fuerza de atracción ejercida sobre una partícula de masa m1 localizada en
(x , y , z ) por una partícula de masa m2 localizada en (0,0,0) esta dada por la función
vectorial
F(x , y , z) = ( -Gm1m2 )/(x2
+ y2
+ z2
) u
F(x , y , z) = ( -Gm1m2 )/‫װ‬r‫װ‬2
u
Donde G es la constante gravitatoria y u = r/‫װ‬r‫װ‬ es el vector unitario en la direción que va
del orígen a (x ,y ,z).
Los campos de fuerzas electricas se definen por medio de la ley de Coulomb, que establece
que la fuerza ejercida sobre una partícula con carga electrica q1 localizada en (x ,y , z) por
una partícula con carga eléctrica q2 localizada en (0 , 0 , 0) viene dada por
F(x , y , z) = (c q1 q2)/(x2
+ y2
+ z2
) u
F(x , y , z) = (c q1 q2)/ ‫װ‬r‫װ‬2
u
Donde u = r / ‫װ‬ r ‫װ‬ es un vector unitario, r = xi + yj + zk es el vector de posición para el
punto (x , y , z), c una constante que depende de la elección de unidades para ‫װ‬ r ‫װ‬ , q1 y q2.
GRADIENTE DE UN CAMPO ESCALAR
Sea f : U ⊂ ℝ3
⟶ ℝ un campo escalar, y supongamos que f es diferenciable. Entonces el
gradiente de f denotado por 𝛁f , es el campo vectorial dado por
F(x ,y, z) = 𝛁𝒇(x , y , z) = fx(x , y, z)i + fy(x ,y ,z)j + fz(x , y ,z)k
F(x ,y, z) = 𝛁𝒇(x , y , z) = < fx(x , y, z) , fy(x ,y ,z) , fz(x , y ,z) >
F(x ,y , z) = grad f (x ,y , z)
Análogamente si f es una función de dos variables se tiene
F(x ,y) = 𝛁𝒇(x , y ) = fx(x , y)i + fy(x ,y )j
F(x ,y) = 𝛁𝒇(x , y ) = < fx(x , y) , fy(x ,y ) >
F(x ,y ) = grad f (x ,y )
Ejemplos
Determine el campo vectorial gradiente de f.
1.- f(x , y) = x exy
2.- f(x , y) = tan ( 3x – 4y )
3.- f(x , y , z) = (x2
+ y2
+ z2
)1/2
4.- f(x , y , z) = x ln (y – 2z )
CAMPO VECTORIAL CONSERVATIVO
Un campo vectorial F se llama conservativo si existe una función f diferenciable tal que
se cumple
F = 𝛁𝒇
La función f se conoce como función potencial para el campo vectorial F.
Ejemplo
Sea f(x , y , z) = C (x2
+ y2
+ z2
)-1/2
,entonces el campo vectorial
F(x ,y , z) = grad f (x ,y, z ) es conservativo.
DIVERGENCIA DE UN CAMPO VECTORIAL
Dado un campo vectorial F(x , y , z) = P(x , y , z)i + Q(x ,y ,z)j + R(x , y , z)k con funciones
componentes P , Q , R diferenciables. La divergencia de F se define como el campo escalar
div F = 𝛁. 𝑭
div F = PX(x , y ,z) + Qy(x , y , z) + Rz(x , y ,z)
Interpretación Física
Si F denota el campo de velocidad de un fluido, entonces div F en el punto P mide la
tendencia de ese fluido a divergir fuera de P ( div F > 0) o acumularse hacia P (div F <
0).
Ejemplo
Sea F(x , y , z) = (x ey
) i + (z sen y ) j + (xy ln z )k
div F(x , y , z ) = ey
+ z cos y + xy/z
ROTACIONAL DE UN CAMPO VECTORIAL
El rotacional de un campo vectorial
F(x , y , z ) = P(x , y ,z)i + Q(x , y , z)j + R(x , y es, z)k es
rot F(x , y , z) = 𝛁𝐱𝑭(x , y , z)
Interpretación Física
El rot F da la dirección del eje alrededor del cual gira el fluido más rápidamente y
|rot F | es la medida de la rapidez de su giro.
Ejemplo
Sea F(x , y , z) = m w2
(x i + y j + z k)
Demuestre que f(x , y , z) =
𝟏
𝟐
m w2
(x2
+ y2
+z2
) es función potencial del campo vectorial F.
CRITERIO DE CAMPO VECTORIAL COSERVATIVO EN EL PLANO Y EN EL ESPACIO
EN EL PLANO: Supongamos P y Q tienen derivadas parciales primeras continuas en un disco
abierto D⊂ ℝ2
. El campo vectorial dado por F(x,y) = Pi + Qj es conservativo si solo
si
𝝏𝑷
𝝏𝒚
=
𝝏𝑸
𝝏𝒙
EN EL ESPACIO: Supongamos que P , Q y R tienen derivadas parciales primeras continuas
En una esfera abierta U ⊂ ℝᵌ.El campo vectorial dado por F(x,y,z) = Pi + Qj + Rk es
conservativo si solo si
𝝏𝑷
𝝏𝒚
=
𝝏𝑸
𝝏𝒙
,
𝝏𝑷
𝝏𝒛
=
𝝏𝑹
𝝏𝒙
y
𝝏𝑹
𝝏𝒚
=
𝝏𝑸
𝝏𝒛
Ejercicios, aplíquese el criterio de campos vectoriales conservativos y hállese una función
potencial para los campos que cumplen el criterio.
1. F (x, y) = 2xy i + x2
j
2. F (x, y) = (2x – 3y) i – 3(x – y2
) j
3. F (x, y) = ex
(cosy i + seny j)
4. F (x, y, z) = ez
(yi + xi + xyk)
5. F (x, y, z) = 3x2
y2
z i + 2x3
yz j + x3
y2
k
INTEGRAL DE LINEA DE CAMPOS ESCALARES Y VECTORIALES
Definición de integral de línea
Sea f :D⊂ ℝ2
⟶ ℝ una función definida en una región que contiene a una curva suave C de
longitud finita, entonces la integral de línea de f sobre C está dada
Por (en el plano)
Análogamente sea f: U ⊂ ℝᵌ ⟶ ℝ una función definida en una región que contiene a una
curva suave C de longitud finita, entonces la integral de línea de f sobre C está dada por (en
el espacio)
Suponiendo que el limite existe.
CALCULO DE UNA INTEGRAL DE LINEA
Sea f una función continua en una región D⊂ ℝ2
que contiene a una curva suave C. Si C está
definida por la función vectorial.
r(t) = x(t)i + y(t)j, donde 𝖆 ≤ 𝒕 ≤ 𝖇, entonces
Análogamente sea f una función continua en una región U ⊂ ℝᵌ que contiene a una curva
suave C. Si C está definida por la función vectorial.
r(t) = x(t)i + y(t)j + z(t), donde 𝖆 ≤ 𝒕 ≤ 𝖇, entonces
OBSERVACION: Las dos integrales anteriores se pueden escribir en su forma vectorial como
sigue.
Donde r:[ 𝔞 , 𝔟 ]→ D⊂ ℝ2
, es una parametrización de una curva suave C en el plano
tal que r(t) = 𝑥(𝑡)𝑖 + 𝑦(𝑡)𝑗 ó r(t) = < 𝑥(𝑡), 𝑦(𝑡) > , r´(t) = < 𝑥´(𝑡), 𝑦´(𝑡) >,
r´(t)≠ 0, ∀ 𝑡 ∈ [ 𝔞 , 𝔟 ]
Siendo: x = 𝑥(𝑡), y = 𝑦(𝑡) las llamadas ecuaciones paramétricas de la curva C en el plano.
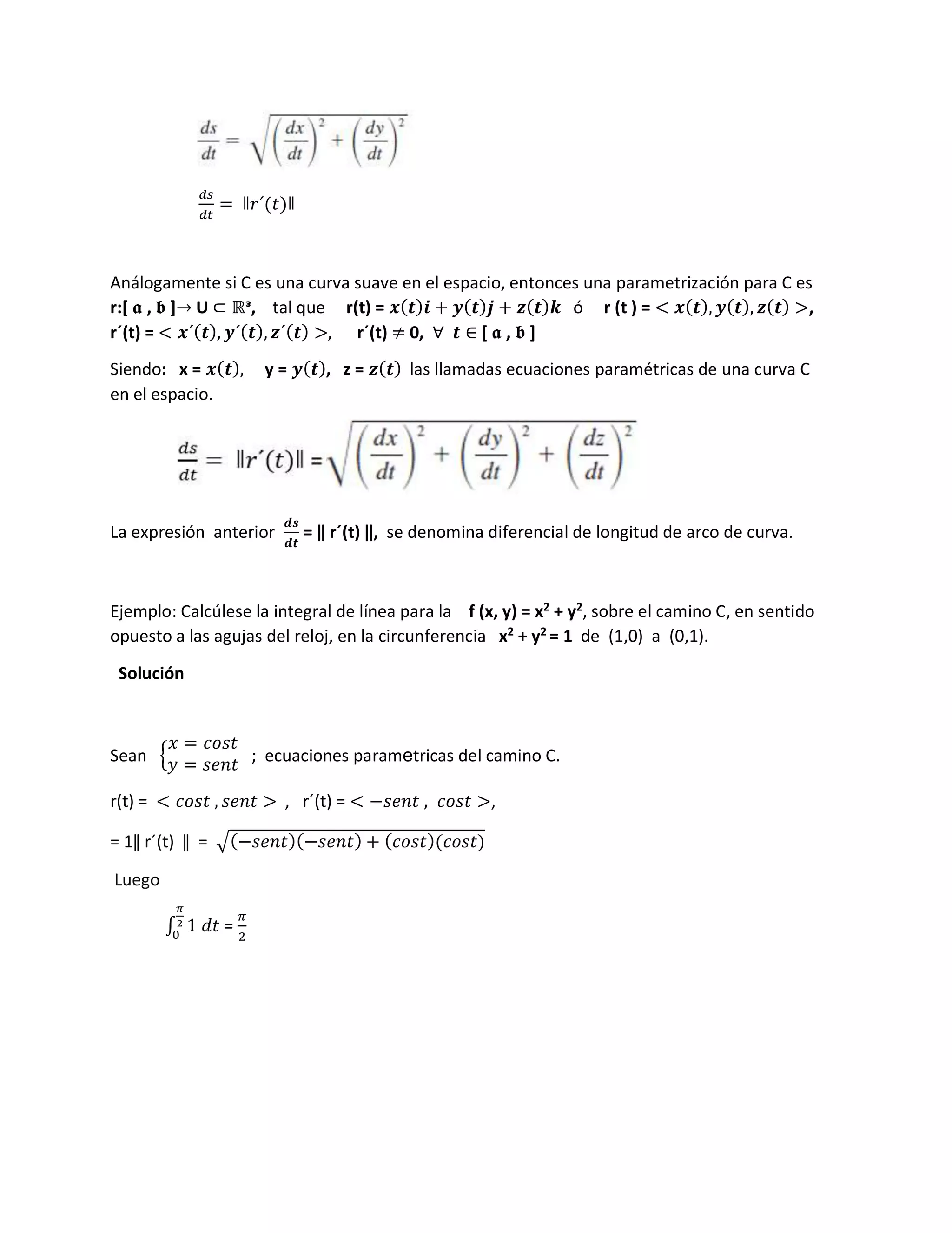
𝑑𝑠
𝑑𝑡
= ǁ𝑟´(𝑡)ǁ
Análogamente si C es una curva suave en el espacio, entonces una parametrización para C es
r:[ 𝖆 , 𝖇 ]→ U ⊂ ℝᵌ, tal que r(t) = 𝒙(𝒕)𝒊 + 𝒚(𝒕)𝒋 + 𝒛(𝒕)𝒌 ó r (t ) = < 𝒙(𝒕), 𝒚(𝒕), 𝒛(𝒕) >,
r´(t) = < 𝒙´(𝒕), 𝒚´(𝒕), 𝒛´(𝒕) >, r´(t) ≠ 0, ∀ 𝒕 ∈ [ 𝖆 , 𝖇 ]
Siendo: x = 𝒙(𝒕), y = 𝒚(𝒕), z = 𝒛(𝒕) las llamadas ecuaciones paramétricas de una curva C
en el espacio.
La expresión anterior
𝒅𝒔
𝒅𝒕
= ǁ r´(t) ǁ, se denomina diferencial de longitud de arco de curva.
Ejemplo: Calcúlese la integral de línea para la f (x, y) = x2
+ y2
, sobre el camino C, en sentido
opuesto a las agujas del reloj, en la circunferencia x2
+ y2
= 1 de (1,0) a (0,1).
Solución
Sean {
𝑥 = 𝑐𝑜𝑠𝑡
𝑦 = 𝑠𝑒𝑛𝑡 ; ecuaciones parametricas del camino C.
r(t) = < 𝑐𝑜𝑠𝑡 , 𝑠𝑒𝑛𝑡 > , r´(t) = < −𝑠𝑒𝑛𝑡 , 𝑐𝑜𝑠𝑡 >,
= 1ǁ r´(t) ǁ = ඥ(−𝑠𝑒𝑛𝑡)(−𝑠𝑒𝑛𝑡) + (𝑐𝑜𝑠𝑡)(𝑐𝑜𝑠𝑡)
Luego
∫ 1 𝑑𝑡
𝜋
2
0
=
𝜋
2
EJERCICIOS
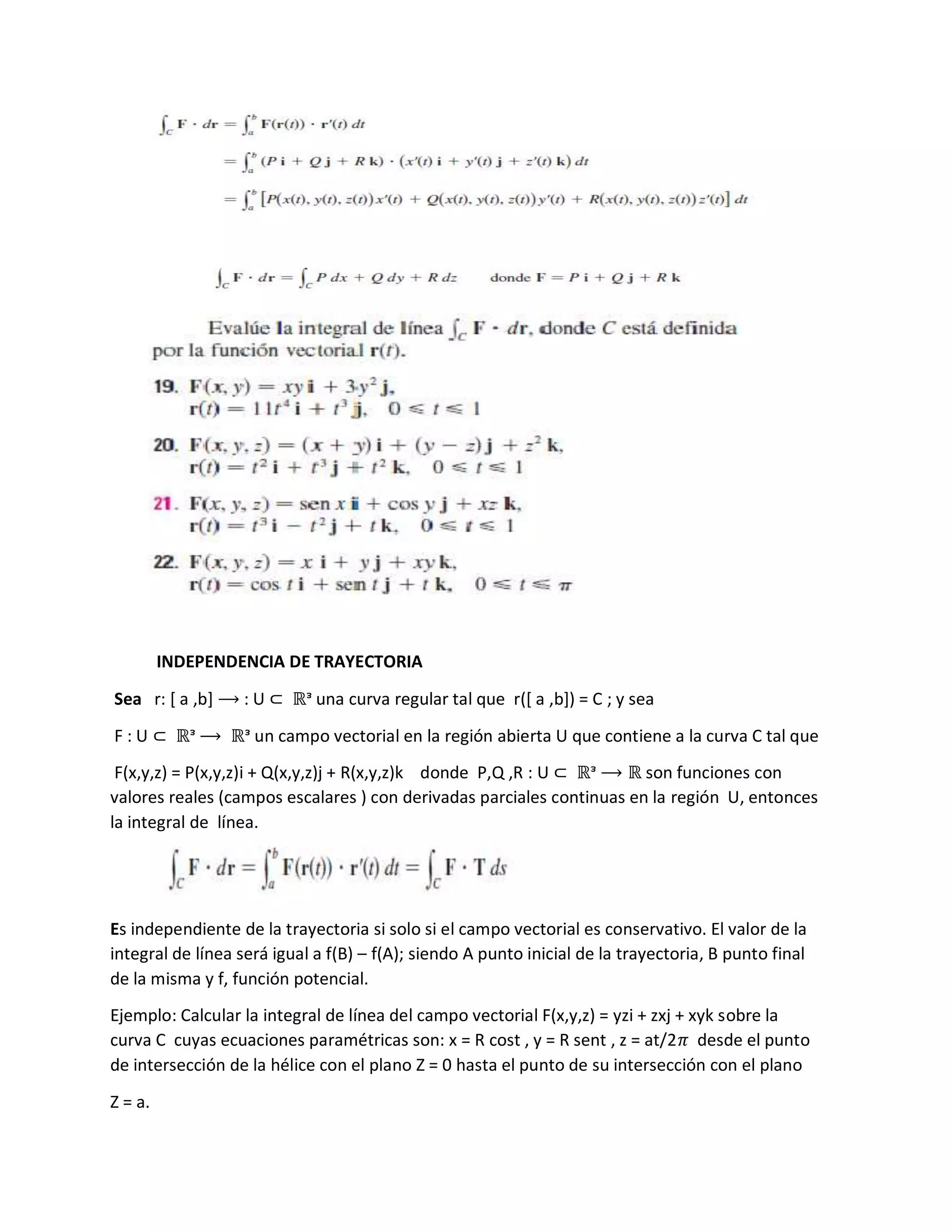
INTEGRAL DE LINEA DE CAMPOS VECTORIALES
DEFINICION
Donde F : U ⊂ ℝᵌ ⟶ ℝᵌ ,tal que F(x,y,z) = P(x,y,z)i + Q(x,y,z)j + R(x,y,z)k
r: [ a ,b] ⟶ : U ⊂ ℝᵌ , tal que r(t) = x(t)i + y(t)j + z(t)k = < 𝑥(𝑡), 𝑦(𝑡), 𝑧(𝑡) >
x = x(t) , y = y(t) , z = z(t)
r´(t) = < 𝑥´(𝑡), 𝑦´(𝑡), 𝑧´(𝑡) >
dr = r´(t) dt , ds = ǁr´(t) ǁ dt , T =
𝑟´(𝑡)
ǁr´(t) ǁ
T =
𝑟´(𝑡)
ǁr´(t) ǁ
, vector tangente unitario
F(r(t)) = < p(r(t)) , Q(r(t)) , R(r(t)) >
F(r(t)) . r´(t) = < p(r(t)) , Q(r(t)) , R(r(t)) >.< 𝑥´(𝑡), 𝑦´(𝑡), 𝑧´(𝑡) >
F(r(t)) . r´(t) dt = ( p(r(t)) 𝑥´(𝑡) + Q(r(t)) 𝑦´(𝑡) + R(r(t)) 𝑧´(𝑡) ) dt
F(r(t)) . r´(t) dt = p(r(t)) 𝑥´(𝑡)𝑑𝑡 + Q(r(t)) 𝑦´(𝑡)𝑑𝑡 + R(r(t)) 𝑧´(𝑡)𝑑𝑡
dx = 𝑥´(𝑡)𝑑𝑡
dy = 𝑦´(𝑡)𝑑𝑡
dz = 𝑧´(𝑡)𝑑𝑡
INDEPENDENCIA DE TRAYECTORIA
Sea r: [ a ,b] ⟶ : U ⊂ ℝᵌ una curva regular tal que r([ a ,b]) = C ; y sea
F : U ⊂ ℝᵌ ⟶ ℝᵌ un campo vectorial en la región abierta U que contiene a la curva C tal que
F(x,y,z) = P(x,y,z)i + Q(x,y,z)j + R(x,y,z)k donde P,Q ,R : U ⊂ ℝᵌ ⟶ ℝ son funciones con
valores reales (campos escalares ) con derivadas parciales continuas en la región U, entonces
la integral de línea.
Es independiente de la trayectoria si solo si el campo vectorial es conservativo. El valor de la
integral de línea será igual a f(B) – f(A); siendo A punto inicial de la trayectoria, B punto final
de la misma y f, función potencial.
Ejemplo: Calcular la integral de línea del campo vectorial F(x,y,z) = yzi + zxj + xyk sobre la
curva C cuyas ecuaciones paramétricas son: x = R cost , y = R sent , z = at/2𝜋 desde el punto
de intersección de la hélice con el plano Z = 0 hasta el punto de su intersección con el plano
Z = a.
Introduccio  al calculo vectorial

Introduccio al calculo vectorial

  • 1.
    INTRODUCCION AL CALCULOVECTORIAL En la presente unidad estudiaremos las funciones vectoriales, funciones que asignan un vector a un punto del plano o a un punto del espacio. Tales funciones se denominan campos vectoriales, y sirven para representar diferentes tipos de campos de fuerza y de campos de velocidades. DEFINICION DE CAMPO VECTORIAL Sean P y Q funciones de dos variables x e y, definidas en una región plana D. La función F definida por F (X, Y) = P (X, Y) i + Q (X, Y) j = ˂ P (x, y), Q (x, y) ˃ Se denomina campo vectorial sobre la región plana D, donde p y Q se llaman funciones componentes de del campo vectorial F. Análogamente sean P, Q , R funciones de tres variables x , y , z definidas en una región E del espacio. La función F definida por F (X, Y, Z) = P (X, Y,Z) i + Q (X, Y,Z) j + R(X,Y,Z)K Se denomina campo vectorial sobre la región E. Algunos ejemplos de campos vectoriales son los campos de velocidades que se usan para describir un movimiento de un sistema de partículas en el plano o en el espacio. Por ejemplo, el campo vectorial determinado por una rueda que gira alrededor de su eje, los campos de velocidades determinados por el flujo de un líquido a través de un recipiente o por el flujo de corrientes de aire alrededor de un objeto en movimiento.
  • 2.
    Los campos gravitacionalesse definen mediante la ley de la gravitación de Newton,que establece que la fuerza de atracción ejercida sobre una partícula de masa m1 localizada en (x , y , z ) por una partícula de masa m2 localizada en (0,0,0) esta dada por la función vectorial F(x , y , z) = ( -Gm1m2 )/(x2 + y2 + z2 ) u F(x , y , z) = ( -Gm1m2 )/‫װ‬r‫װ‬2 u Donde G es la constante gravitatoria y u = r/‫װ‬r‫װ‬ es el vector unitario en la direción que va del orígen a (x ,y ,z).
  • 3.
    Los campos defuerzas electricas se definen por medio de la ley de Coulomb, que establece que la fuerza ejercida sobre una partícula con carga electrica q1 localizada en (x ,y , z) por una partícula con carga eléctrica q2 localizada en (0 , 0 , 0) viene dada por F(x , y , z) = (c q1 q2)/(x2 + y2 + z2 ) u F(x , y , z) = (c q1 q2)/ ‫װ‬r‫װ‬2 u Donde u = r / ‫װ‬ r ‫װ‬ es un vector unitario, r = xi + yj + zk es el vector de posición para el punto (x , y , z), c una constante que depende de la elección de unidades para ‫װ‬ r ‫װ‬ , q1 y q2. GRADIENTE DE UN CAMPO ESCALAR Sea f : U ⊂ ℝ3 ⟶ ℝ un campo escalar, y supongamos que f es diferenciable. Entonces el gradiente de f denotado por 𝛁f , es el campo vectorial dado por F(x ,y, z) = 𝛁𝒇(x , y , z) = fx(x , y, z)i + fy(x ,y ,z)j + fz(x , y ,z)k F(x ,y, z) = 𝛁𝒇(x , y , z) = < fx(x , y, z) , fy(x ,y ,z) , fz(x , y ,z) > F(x ,y , z) = grad f (x ,y , z) Análogamente si f es una función de dos variables se tiene F(x ,y) = 𝛁𝒇(x , y ) = fx(x , y)i + fy(x ,y )j F(x ,y) = 𝛁𝒇(x , y ) = < fx(x , y) , fy(x ,y ) > F(x ,y ) = grad f (x ,y ) Ejemplos Determine el campo vectorial gradiente de f. 1.- f(x , y) = x exy 2.- f(x , y) = tan ( 3x – 4y ) 3.- f(x , y , z) = (x2 + y2 + z2 )1/2 4.- f(x , y , z) = x ln (y – 2z )
  • 4.
    CAMPO VECTORIAL CONSERVATIVO Uncampo vectorial F se llama conservativo si existe una función f diferenciable tal que se cumple F = 𝛁𝒇 La función f se conoce como función potencial para el campo vectorial F. Ejemplo Sea f(x , y , z) = C (x2 + y2 + z2 )-1/2 ,entonces el campo vectorial F(x ,y , z) = grad f (x ,y, z ) es conservativo. DIVERGENCIA DE UN CAMPO VECTORIAL Dado un campo vectorial F(x , y , z) = P(x , y , z)i + Q(x ,y ,z)j + R(x , y , z)k con funciones componentes P , Q , R diferenciables. La divergencia de F se define como el campo escalar div F = 𝛁. 𝑭 div F = PX(x , y ,z) + Qy(x , y , z) + Rz(x , y ,z) Interpretación Física Si F denota el campo de velocidad de un fluido, entonces div F en el punto P mide la tendencia de ese fluido a divergir fuera de P ( div F > 0) o acumularse hacia P (div F < 0). Ejemplo Sea F(x , y , z) = (x ey ) i + (z sen y ) j + (xy ln z )k div F(x , y , z ) = ey + z cos y + xy/z ROTACIONAL DE UN CAMPO VECTORIAL El rotacional de un campo vectorial F(x , y , z ) = P(x , y ,z)i + Q(x , y , z)j + R(x , y es, z)k es rot F(x , y , z) = 𝛁𝐱𝑭(x , y , z)
  • 5.
    Interpretación Física El rotF da la dirección del eje alrededor del cual gira el fluido más rápidamente y |rot F | es la medida de la rapidez de su giro. Ejemplo Sea F(x , y , z) = m w2 (x i + y j + z k) Demuestre que f(x , y , z) = 𝟏 𝟐 m w2 (x2 + y2 +z2 ) es función potencial del campo vectorial F. CRITERIO DE CAMPO VECTORIAL COSERVATIVO EN EL PLANO Y EN EL ESPACIO EN EL PLANO: Supongamos P y Q tienen derivadas parciales primeras continuas en un disco abierto D⊂ ℝ2 . El campo vectorial dado por F(x,y) = Pi + Qj es conservativo si solo si 𝝏𝑷 𝝏𝒚 = 𝝏𝑸 𝝏𝒙 EN EL ESPACIO: Supongamos que P , Q y R tienen derivadas parciales primeras continuas En una esfera abierta U ⊂ ℝᵌ.El campo vectorial dado por F(x,y,z) = Pi + Qj + Rk es conservativo si solo si 𝝏𝑷 𝝏𝒚 = 𝝏𝑸 𝝏𝒙 , 𝝏𝑷 𝝏𝒛 = 𝝏𝑹 𝝏𝒙 y 𝝏𝑹 𝝏𝒚 = 𝝏𝑸 𝝏𝒛 Ejercicios, aplíquese el criterio de campos vectoriales conservativos y hállese una función potencial para los campos que cumplen el criterio. 1. F (x, y) = 2xy i + x2 j 2. F (x, y) = (2x – 3y) i – 3(x – y2 ) j 3. F (x, y) = ex (cosy i + seny j) 4. F (x, y, z) = ez (yi + xi + xyk) 5. F (x, y, z) = 3x2 y2 z i + 2x3 yz j + x3 y2 k
  • 6.
    INTEGRAL DE LINEADE CAMPOS ESCALARES Y VECTORIALES
  • 7.
    Definición de integralde línea Sea f :D⊂ ℝ2 ⟶ ℝ una función definida en una región que contiene a una curva suave C de longitud finita, entonces la integral de línea de f sobre C está dada Por (en el plano)
  • 8.
    Análogamente sea f:U ⊂ ℝᵌ ⟶ ℝ una función definida en una región que contiene a una curva suave C de longitud finita, entonces la integral de línea de f sobre C está dada por (en el espacio) Suponiendo que el limite existe. CALCULO DE UNA INTEGRAL DE LINEA Sea f una función continua en una región D⊂ ℝ2 que contiene a una curva suave C. Si C está definida por la función vectorial. r(t) = x(t)i + y(t)j, donde 𝖆 ≤ 𝒕 ≤ 𝖇, entonces Análogamente sea f una función continua en una región U ⊂ ℝᵌ que contiene a una curva suave C. Si C está definida por la función vectorial. r(t) = x(t)i + y(t)j + z(t), donde 𝖆 ≤ 𝒕 ≤ 𝖇, entonces OBSERVACION: Las dos integrales anteriores se pueden escribir en su forma vectorial como sigue. Donde r:[ 𝔞 , 𝔟 ]→ D⊂ ℝ2 , es una parametrización de una curva suave C en el plano tal que r(t) = 𝑥(𝑡)𝑖 + 𝑦(𝑡)𝑗 ó r(t) = < 𝑥(𝑡), 𝑦(𝑡) > , r´(t) = < 𝑥´(𝑡), 𝑦´(𝑡) >, r´(t)≠ 0, ∀ 𝑡 ∈ [ 𝔞 , 𝔟 ] Siendo: x = 𝑥(𝑡), y = 𝑦(𝑡) las llamadas ecuaciones paramétricas de la curva C en el plano.
  • 9.
    𝑑𝑠 𝑑𝑡 = ǁ𝑟´(𝑡)ǁ Análogamente siC es una curva suave en el espacio, entonces una parametrización para C es r:[ 𝖆 , 𝖇 ]→ U ⊂ ℝᵌ, tal que r(t) = 𝒙(𝒕)𝒊 + 𝒚(𝒕)𝒋 + 𝒛(𝒕)𝒌 ó r (t ) = < 𝒙(𝒕), 𝒚(𝒕), 𝒛(𝒕) >, r´(t) = < 𝒙´(𝒕), 𝒚´(𝒕), 𝒛´(𝒕) >, r´(t) ≠ 0, ∀ 𝒕 ∈ [ 𝖆 , 𝖇 ] Siendo: x = 𝒙(𝒕), y = 𝒚(𝒕), z = 𝒛(𝒕) las llamadas ecuaciones paramétricas de una curva C en el espacio. La expresión anterior 𝒅𝒔 𝒅𝒕 = ǁ r´(t) ǁ, se denomina diferencial de longitud de arco de curva. Ejemplo: Calcúlese la integral de línea para la f (x, y) = x2 + y2 , sobre el camino C, en sentido opuesto a las agujas del reloj, en la circunferencia x2 + y2 = 1 de (1,0) a (0,1). Solución Sean { 𝑥 = 𝑐𝑜𝑠𝑡 𝑦 = 𝑠𝑒𝑛𝑡 ; ecuaciones parametricas del camino C. r(t) = < 𝑐𝑜𝑠𝑡 , 𝑠𝑒𝑛𝑡 > , r´(t) = < −𝑠𝑒𝑛𝑡 , 𝑐𝑜𝑠𝑡 >, = 1ǁ r´(t) ǁ = ඥ(−𝑠𝑒𝑛𝑡)(−𝑠𝑒𝑛𝑡) + (𝑐𝑜𝑠𝑡)(𝑐𝑜𝑠𝑡) Luego ∫ 1 𝑑𝑡 𝜋 2 0 = 𝜋 2
  • 10.
  • 11.
    INTEGRAL DE LINEADE CAMPOS VECTORIALES DEFINICION Donde F : U ⊂ ℝᵌ ⟶ ℝᵌ ,tal que F(x,y,z) = P(x,y,z)i + Q(x,y,z)j + R(x,y,z)k r: [ a ,b] ⟶ : U ⊂ ℝᵌ , tal que r(t) = x(t)i + y(t)j + z(t)k = < 𝑥(𝑡), 𝑦(𝑡), 𝑧(𝑡) > x = x(t) , y = y(t) , z = z(t) r´(t) = < 𝑥´(𝑡), 𝑦´(𝑡), 𝑧´(𝑡) > dr = r´(t) dt , ds = ǁr´(t) ǁ dt , T = 𝑟´(𝑡) ǁr´(t) ǁ T = 𝑟´(𝑡) ǁr´(t) ǁ , vector tangente unitario F(r(t)) = < p(r(t)) , Q(r(t)) , R(r(t)) > F(r(t)) . r´(t) = < p(r(t)) , Q(r(t)) , R(r(t)) >.< 𝑥´(𝑡), 𝑦´(𝑡), 𝑧´(𝑡) > F(r(t)) . r´(t) dt = ( p(r(t)) 𝑥´(𝑡) + Q(r(t)) 𝑦´(𝑡) + R(r(t)) 𝑧´(𝑡) ) dt F(r(t)) . r´(t) dt = p(r(t)) 𝑥´(𝑡)𝑑𝑡 + Q(r(t)) 𝑦´(𝑡)𝑑𝑡 + R(r(t)) 𝑧´(𝑡)𝑑𝑡 dx = 𝑥´(𝑡)𝑑𝑡 dy = 𝑦´(𝑡)𝑑𝑡 dz = 𝑧´(𝑡)𝑑𝑡
  • 12.
    INDEPENDENCIA DE TRAYECTORIA Sear: [ a ,b] ⟶ : U ⊂ ℝᵌ una curva regular tal que r([ a ,b]) = C ; y sea F : U ⊂ ℝᵌ ⟶ ℝᵌ un campo vectorial en la región abierta U que contiene a la curva C tal que F(x,y,z) = P(x,y,z)i + Q(x,y,z)j + R(x,y,z)k donde P,Q ,R : U ⊂ ℝᵌ ⟶ ℝ son funciones con valores reales (campos escalares ) con derivadas parciales continuas en la región U, entonces la integral de línea. Es independiente de la trayectoria si solo si el campo vectorial es conservativo. El valor de la integral de línea será igual a f(B) – f(A); siendo A punto inicial de la trayectoria, B punto final de la misma y f, función potencial. Ejemplo: Calcular la integral de línea del campo vectorial F(x,y,z) = yzi + zxj + xyk sobre la curva C cuyas ecuaciones paramétricas son: x = R cost , y = R sent , z = at/2𝜋 desde el punto de intersección de la hélice con el plano Z = 0 hasta el punto de su intersección con el plano Z = a.