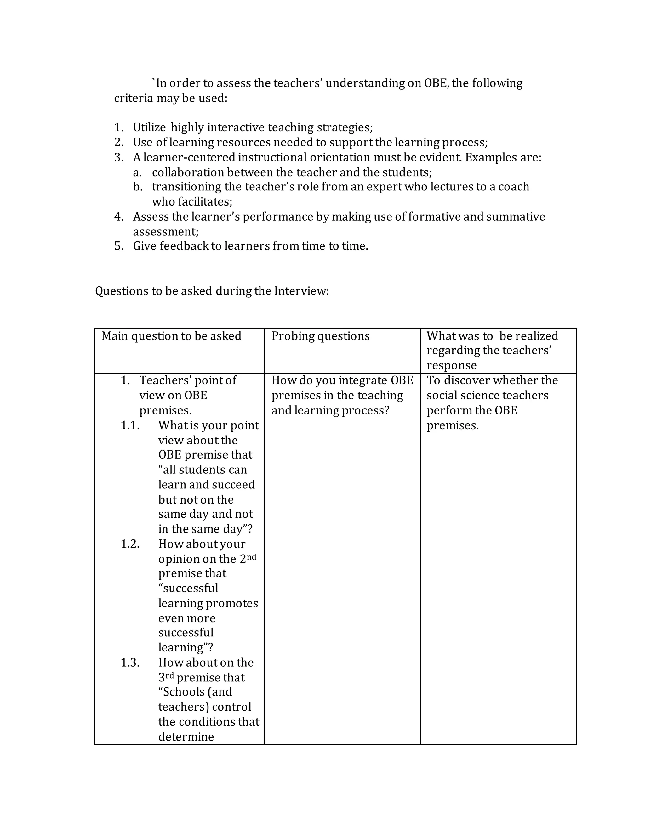
`In order to assess the teachers’ understanding on OBE, the following
criteria may be used:
1. Utilize highly interactive teaching strategies;
2. Use of learning resources needed to support the learning process;
3. A learner-centered instructional orientation must be evident. Examples are:
a. collaboration between the teacher and the students;
b. transitioning the teacher’s role from an expert who lectures to a coach
who facilitates;
4. Assess the learner’s performance by making use of formative and summative
assessment;
5. Give feedback to learners from time to time.
Questions to be asked during the Interview:
Main question to be asked Probing questions What was to be realized
regarding the teachers’
response
1. Teachers’ point of
view on OBE
premises.
1.1. What is your point
view about the
OBE premise that
“all students can
learn and succeed
but not on the
same day and not
in the same day”?
1.2. How about your
opinion on the 2nd
premise that
“successful
learning promotes
even more
successful
learning”?
1.3. How about on the
3rd premise that
“Schools (and
teachers) control
the conditions that
determine
How do you integrate OBE
premises in the teaching
and learning process?
To discover whether the
social science teachers
perform the OBE
premises.
whether or not
students are
successful at school
learning”?
2. Teachers’ opinion
about OBE Principles
2.1. What can you say
about OBE
principles?
2.1.1 Principle of
clarity of focus
2.1.2. Principle of
designing back
2.1.3. Principle of
high expectations
2.1.4. Principle of
expanded
opportunities
How do you integrate OBE
Principles in instruction?
To determine whether the
social science teachers
practice the OBE
Principles.
3. Social Science
Teachers’ explanation
or description on the
difference between
the traditional
approach and OBE
approach to teaching.
3.1. How do you
differentiate
Traditional
method and OBE
approach to
teaching?
3.2. What teaching
strategies you
employ to
facilitate learning?
Can you give one
particular scenario in the
class that you were able to
utilize the OBE approach
in your instruction.
To what extent are those
strategies helpful towards
achieving the learners’
outcomes.
To determine whether the
teachers have changed
their classroom practices
from that of a lecturer to a
facilitator.
To find out whether
teachers use more than
one and highly engaging
teaching strategies.
4. Teachers’ assessment
on learners’
performance.
4.1. Describe how you
assess learners’
performance.
What assessment
strategies do you employ
when assessing students’
performance?
To determine whether
teachers utilize different
assessment strategies
Observation
Instructional Planning and Delivery Evident Not Evident
1. Outcome(s) for the lesson is/are clear and articulated.
2. Learning outcomes and goals are clearly communicated to
students.
3. Lessons are connected to real-life applications.
4. Lesson activities are appropriate and challenging for students.
5. Instructional materials are organized and proficiently used.
8. Teacher utilizes relevant teaching methods and strategies.
10. Multiple methods of assessment of student learning are utilized
to guide instruction.
11. Lesson objectives are aligned learning activities and assessment
tasks.
12. Learning activities are adequately provided so as to develop
mastery on the part of the learners.
13. Instructional materials are prepared and used appropriately.
14. Participation of the learners are maximized.
15. Variety of effective instructional strategies and resources are
employed to promote learning.
16. Learning goals are consistently reinforced throughout the lesson.
17. Lesson objectives are stated clearly in behavioral terms.
18. Learning activities/experiences are variously and creatively
provided to address individual differences.
19. Concrete examples are sufficient to create meaningful learning
experiences.
20. Appropriate and adequate review and motivational activities are
provided.
Learning Environment
1. Classroom learning environment is safe and conducive to learning.
2.Teacher establishes a climate of trust and teamwork by being fair,
caring, respectful, and enthusiastic.
3. Teacher actively listens and pays attention to students’ needs and
responses.
4. Instructional time is used effectively.
5. Teacher maintains discipline and control; manages potentially
disruptive behaviors.
Observer Summary Comments:
Documents:
MEMO on OBE training…
Memo on curriculum revision
Syllabus
Class records
Instructional Materials

Interview guide

  • 1.
    `In order toassess the teachers’ understanding on OBE, the following criteria may be used: 1. Utilize highly interactive teaching strategies; 2. Use of learning resources needed to support the learning process; 3. A learner-centered instructional orientation must be evident. Examples are: a. collaboration between the teacher and the students; b. transitioning the teacher’s role from an expert who lectures to a coach who facilitates; 4. Assess the learner’s performance by making use of formative and summative assessment; 5. Give feedback to learners from time to time. Questions to be asked during the Interview: Main question to be asked Probing questions What was to be realized regarding the teachers’ response 1. Teachers’ point of view on OBE premises. 1.1. What is your point view about the OBE premise that “all students can learn and succeed but not on the same day and not in the same day”? 1.2. How about your opinion on the 2nd premise that “successful learning promotes even more successful learning”? 1.3. How about on the 3rd premise that “Schools (and teachers) control the conditions that determine How do you integrate OBE premises in the teaching and learning process? To discover whether the social science teachers perform the OBE premises.
  • 2.
    whether or not studentsare successful at school learning”? 2. Teachers’ opinion about OBE Principles 2.1. What can you say about OBE principles? 2.1.1 Principle of clarity of focus 2.1.2. Principle of designing back 2.1.3. Principle of high expectations 2.1.4. Principle of expanded opportunities How do you integrate OBE Principles in instruction? To determine whether the social science teachers practice the OBE Principles. 3. Social Science Teachers’ explanation or description on the difference between the traditional approach and OBE approach to teaching. 3.1. How do you differentiate Traditional method and OBE approach to teaching? 3.2. What teaching strategies you employ to facilitate learning? Can you give one particular scenario in the class that you were able to utilize the OBE approach in your instruction. To what extent are those strategies helpful towards achieving the learners’ outcomes. To determine whether the teachers have changed their classroom practices from that of a lecturer to a facilitator. To find out whether teachers use more than one and highly engaging teaching strategies. 4. Teachers’ assessment on learners’ performance.
  • 3.
    4.1. Describe howyou assess learners’ performance. What assessment strategies do you employ when assessing students’ performance? To determine whether teachers utilize different assessment strategies Observation Instructional Planning and Delivery Evident Not Evident 1. Outcome(s) for the lesson is/are clear and articulated. 2. Learning outcomes and goals are clearly communicated to students. 3. Lessons are connected to real-life applications. 4. Lesson activities are appropriate and challenging for students. 5. Instructional materials are organized and proficiently used. 8. Teacher utilizes relevant teaching methods and strategies. 10. Multiple methods of assessment of student learning are utilized to guide instruction. 11. Lesson objectives are aligned learning activities and assessment tasks. 12. Learning activities are adequately provided so as to develop mastery on the part of the learners. 13. Instructional materials are prepared and used appropriately. 14. Participation of the learners are maximized. 15. Variety of effective instructional strategies and resources are employed to promote learning. 16. Learning goals are consistently reinforced throughout the lesson. 17. Lesson objectives are stated clearly in behavioral terms. 18. Learning activities/experiences are variously and creatively provided to address individual differences. 19. Concrete examples are sufficient to create meaningful learning experiences. 20. Appropriate and adequate review and motivational activities are provided. Learning Environment 1. Classroom learning environment is safe and conducive to learning. 2.Teacher establishes a climate of trust and teamwork by being fair, caring, respectful, and enthusiastic. 3. Teacher actively listens and pays attention to students’ needs and responses. 4. Instructional time is used effectively. 5. Teacher maintains discipline and control; manages potentially disruptive behaviors. Observer Summary Comments:
  • 4.
    Documents: MEMO on OBEtraining… Memo on curriculum revision Syllabus Class records Instructional Materials