iFR
INSTANTENOUS WAVE FREE RATIO
Dr. Vishal Vanani
Jaslok Hospital and Research Centre
Mumbai
Introduction
• Pressure wire derived FFR is a well validated lesion level index of
functional significance
• Measurement of FFR requires the use of IV or IC adenosine to induce
maximal hyperaemia
• FFR is not widely used due to various issues including cost, extra
procedural time and the perceived inconvenience of adenosine
administration
• Resting Pd/Pa is routinely available at the time of pressure wire
assessment
Issues with Adenosine
• Adenosine not only gives patients a tight-chested feeling of anxiety and
impending doom, but also, some patients cannot tolerate it.
• Asthmatic patients can get very bad bronchospasms.
• For people with low blood pressure, adenosine can push it down
further, making them unstable.
• FFR measured at low blood pressure values is potentially unreliable
Instantaneous Free Wave Ratio(iFR)
• Adenosine‐free index of coronary stenosis severity
• No need for adenosine administration
• Dedicated software required (Volcano Corp)
iFR – How is it done?
• The technique is identical to making a measurement of FFR.
• A sheath is put into the leg, the pressure wire is passed distal to the
stenosis, and it is normalized.
• While the same equipment is used, it is the software on the console
that is different. It uses the special algorithms.
• iFR is being developed and commercialized by Volcano Corporation.
ADVISE STUDY
CLARIFY STUDY
RESOLVE STUDY
Johnson et al.
VERIFY STUDY
ADVISE – ll STUDY
VERIFY – 2 STUDY
ADVISE STUDY
CLARIFY STUDY
RESOLVE STUDY
Johnson et al.
VERIFY STUDY
ADVISE – ll STUDY
VERIFY – 2 STUDY
ADVISE Study
 ADenosine Vasodilation Independent Stenosis
Evaluation
JACC Vol. 59, No. 15, 2012
• Flow = Pressure Difference
Resistance
• When coronary resistance is stable – pressure can be used
as a surrogate for flow to assess a coronary stenosis
• If we can identify a period of naturally occurring stable
resistance,
Why do we give drugs such as adenosine to calculate
fractional flow reserve (FFR)?
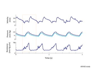
Phasic resistance during the cardiac cycle
0
0.2
0.4
0
1
2
3
0 5 10
0
750
Velocity
(M-2)
Pressure
(mmHg)
Resistance
(mmHgM
-2
)
Time (s)
150
75
Resistance
(mmHgs/m)
Pressure
(mmHg)
Velocity
(m/s)
Time (s)
2 4
ADVISE study
Phasic resistance during the cardiac cycle
0
0.2
0.4
0
1
2
3
0 5 10
0
750
Velocity
(M-2)
Pressure
(mmHg)
Resistance
(mmHgM
-2
)
Time (s)
150
75
Resistance
(mmHgs/m)
Pressure
(mmHg)
Velocity
(m/s)
Time (s)
2 4
ADVISE study
0
0.2
0.4
0
1
2
3
0 5 10
0
750
Velocity
(M-2)
Pressure
(mmHg)
Resistance
(mmHgM
-2
)
Time (s)
150
75
Resistance
(mmHgs/m)
Pressure
(mmHg)
Velocity
(m/s)
Time (s)
2 4
ADVISE study
Fully automated algorithms
Identification of naturally
low resistance period
Uses pressure only
Wave-freeperiodWave-freeperiod
Sen S, Escaned J, Davies JE et al. JACC (in press 2011)
Davies JE et al. Circulation 2006;113:1767-1778
Davies JE et al. Circulation 2011;124:1565-1572
Identification of wave-free period
Hypothesis 1
• Resistance measured at rest during the resting
wave-free period is similar to mean resistance
during hyperaemia.
ADVISE study
0
0.2
0.4
0
1
2
3
0 5 10
0
750
Velocity
(M-2)
Pressure
(mmHg)
Resistance
(mmHgM
-2
)
Time(s)
0
0.2
0.4
0
1
2
3
0 5 10
0
750
Velocity
(M-2)
Pressure
(mmHg)
Resistance
(mmHgM
-2
)
Time(s)
Hyperaemic mean resistance Resting wave-free resistance
ADVISE study
Wave-freeperiodWave-freeperiod
0 100 200 300 400 500 600 700 800 900
70
120
Pressure(mmHg)
Time (ms)
Hypothesis 2
The Pd/Pa ratio (iFR) during the resting wave-free
period was similar to FFR.
ADVISE study
ADVISE Study (157 lesions)
ADenosine Vasodilation Independent Stenosis Evaluation
Part 1: Proof of concept
• Resting wave-free resistance vs. mean hyperaemic resistance n=39
• Intra-coronary pressure and flow velocity measurements
• Resistance assessment – baseline and under pharmacological
vasodilatation
Part 2: Validation Study
• iFR vs FFR
• n=118
• Intra-coronary pressure measurements
Test stability and magnitude of resistance during
wave-free period in comparison to during adenosine
hyperaemia
Hypothesis 1
0
0.12
Resting
wave-free
resistance
Hyperaemic
mean
resistance
Stability of resistance is similar over the wave-
free period and during hyperaemia
CoefficientofVariation
ofresistance
ADVISE study Sen S, Escaned J, Davies JE et al. JACC
0
0.12
Resting
wave-free
resistance
Hyperaemic
mean
resistance
p=0.96
Stability of resistance is similar over the wave-
free period and during hyperaemia
CoefficientofVariation
ofresistance
ADVISE study Sen S, Escaned J, Davies JE et al. JACC
Resting
mean
resistance
Resistance
(mmHgs/m)
Magnitude of resistance is similar over the
wave-free period and during hyperaemia
0
800
Resting
wave-free
resistance
Hyperaemic
mean
resistanceADVISE study
Resting
wave-free
resistance
Hyperaemic
mean
resistance
Resting
mean
resistance
Resistance
(mmHgs/m)
p<0.001
p<0.001
p=0.70
Magnitude of resistance is similar over the
wave-free period and during hyperaemia
0
800
ADVISE study
Resistance measured at rest during the wave-free
period…
Hypothesis 1
Resistance measured at rest during the wave-free
period…
is similar in both stability and magnitude
to values achieved under adenosine hyperaemia.
Hypothesis 1
Assess whether iFR was numerically similar to
Fractional flow reserve.
Hypothesis 2
Definition:
Instantaneous pressure
gradient, across a
stenosis during the
wave-free period,
when resistance is
constant and
minimised in the
cardiac cycle
iFR = instantaneous wave-free ratio
Pa
Pd
0 100 200 300 400 500 600 700 800 900
70
120
Pressure(mmHg)
Time (ms)
Wave-free period
0
0.2
0.4
0.6
0.8
1
0 0.2 0.4 0.6 0.8 1
Close relationship between iFR and FFR
y=1.022x + 0.03
Regression coefficient
FFR
iFR
ADVISE study
Sen S, Escaned J, Davies JE et al. JACC
0
0.2
0.4
0.6
0.8
1
0 0.2 0.4 0.6 0.8 1
Close relationship between iFR and FFR
r = 0.90
y=1.022x + 0.03
Regression coefficient
FFR
iFR
ADVISE study
Sen S, Escaned J, Davies JE et al. JACC
0
0.2
0.4
0.6
0.8
1
0 0.2 0.4 0.6 0.8 1
Close relationship between iFR and FFR
y=1.022x + 0.03
Regression coefficient
Left coronary artery
Right coronary artery
FFR
iFR
r = 0.90
ADVISE study
Sen S, Escaned J, Davies JE et al. JACC
ADVISE study
Diagnostic efficiency of iFR
Sen S, Escaned J, Davies JE et al. JACC
iFR
positive
iFR
negative
FFR
False (+)
False (-)
Assessment of diagnostic efficiency of iFR
Left coronary artery
Right coronary artery
Sen S, Escaned J, Davies JE et al. JACC
ADVISE study
Diagnostic accuracy
(+) predictive value
(-) predictive value
Sensitivity
Specificity
88%
91%
85%
85%
91%
FFR
False (+)
False (-)
95% CI variability in FFR*
Left coronary artery
Right coronary artery
Assessment of diagnostic efficiency of iFR after
adjustment for inherent variability in FFR
*De Bruyne B et al. Circulation. 1996;94:1842-1849
Circulation 2006;114;1321-1341
iFR
positive
iFR
negative
Diagnostic accuracy
(+) predictive value
(-) predictive value
Sensitivity
Specificity
95%
97%
93%
93%
97%
88%
91%
85%
85%
91%
Adjusting for
variability in FFR
ADVISE study
Summary
Identified a wave-free period in cardiac
cycle when resistance is naturally
stabilized and minimal avoiding the
need for administration of adenosine
Wave-freeperiodWave-freeperiod
Summary
iFR measured during this wave-free
period gives a measure of stenosis
severity similar to FFR
ADVISE STUDY
CLARIFY STUDY
RESOLVE STUDY
Johnson et al.
VERIFY STUDY
ADVISE – ll STUDY
VERIFY – 2 STUDY
ADVISE – ll Study
• ADVISE II, is a prospective, double-blind, global, multi-center registry
designed to investigate the diagnostic utility of the instant wave-Free
Ratio™ (iFR®) modality in assessing the severity of coronary stenosis.
94.2%
65.1%
ADVISE – ll Study
• The final results replicate earlier findings and show that the hybrid
iFR/FFR (Fractional Flow Reserve) approach correctly matched an FFR-
only approach in 94.2 percent of coronary stenoses and successfully
avoided use of adenosine in 65.1 percent of patients.
ADVISE – ll Study
• "iFR is not a replacement for FFR given the wealth of outcome data
generated over the years in DEFER, FAME and FAME II.
• The hybrid iFR/FFR approach is possible with the Volcano system
because both measurements take place on the same pressure guide
wire.
• In the hybrid workflow, iFR measurement is generally made in 5 seconds
after positioning the standard Volcano pressure guide wire.
ADVISE STUDY
CLARIFY STUDY
RESOLVE STUDY
Johnson et al.
VERIFY STUDY
ADVISE – ll STUDY
VERIFY – 2 STUDY
Diagnostic Classification of the Instantaneous
Wave-Free Ratio Is Equivalent to Fractional
Flow Reserve
and Is Not Improved With Adenosine
Administration
Results of CLARIFY (Classification Accuracy of Pressure-Only
Ratios Against Indices Using Flow Study)
Journal of the American College of Cardiology Vol. 61, No. 13, 2013
CLARIFY Study
• This study sought to determine if adenosine administration is required
for the pressure-only assessment of coronary stenosis.
• In this study, they used hyperemic stenosis resistance (HSR), a
combined pressure-and-flow index, as an arbiter to determine when iFR
and FFR disagree which index is most representative of the
hemodynamic significance of the stenosis.
• They then tested whether administering adenosine significantly
improves diagnostic performance of iFR.
CLARIFY Study
• In 51 vessels, intracoronary pressure and flow velocity was measured
distal to the stenosis at rest and during adenosine-mediated hyperemia.
• The iFR (at rest and during adenosine administration [iFRa]), FFR, HSR
were calculated using automated algorithms.
• When iFR and FFR disagreed (4 cases, or 7.7% of the study population),
HSR agreed with iFR in 50% of cases and with FFR in 50% of cases.
CLARIFY Study
CLARIFY Study
• iFR, iFRa, and FFR had equally good diagnostic agreement
with HSR
(receiver-operating characteristic area under the curve
0.93 iFR vs.
0.94 iFRa and
0.96 FFR,
(p = 0.48)
CLARIFY Study - Conclusions
• iFR and FFR had equivalent agreement with classification of coronary
stenosis severity by HSR.
• Further reduction in resistance by the administration of adenosine did
not improve diagnostic categorization, indicating that iFR can be used as
an adenosine-free alternative to FFR.
ADVISE STUDY
CLARIFY STUDY
RESOLVE STUDY
Johnson et al.
VERIFY STUDY
ADVISE – ll STUDY
VERIFY – 2 STUDY
RESOLVE
Multicenter collaborative study
Diagnostic accuracy of
J Am Coll Cardiol. 2014;63(13):1253-1261
iFR FFR
Instantaneo
us wave-
free ratio
(iFR)
Hyperemic
fractional
flow reserve
Pd/Pa FFR
Resting distal
coronary
artery
pressure/aorti
c pressure
Hyperemic
fractional flow
reserve
Measured
• iFR
• resting Pd/Pa
• FFR
In
• 1768 patients
• 1593 lesions
• From 15 clinical sites
To determine
1. Specific iFR and Pd/Pa thresholds with ≥90% accuracy in
predicting ischemic versus nonischemic FFR(on the basis
of an FFR cut point of 0.80)
2. The proportion of patients falling beyond those
thresholds
RESOLVE
J Am Coll Cardiol. 2014;63(13):1253-1261
• On receiver-operating characteristic(ROC) analysis
• For FFR ≤0.80-
 The optimal iFR cut point was 0.90, overall accuracy: 80.4%
 The optimal Pd/Pa cut point was 0.92, overall accuracy: 81.5%
 No significant difference between these resting measures.
• iFR had ≥90% accuracy to predict
 FFR in 64.9% (62.6% to 67.3%) and
• Pd/Pa had ≥90% accuracy to predict
 FFR in 48.3% (45.6% to 50.5%) of lesions.
J Am Coll Cardiol. 2014;63(13):1253-1261
RESOLVE
iFR Pd3/Pa
Study/
Participating Site
No.ofLesions
CutoffPoint
AUCFromROC
(Cstatistic)
OverallAccuracy
(%)
Correlation(R2)
CutoffPoint
AUCFromROC
(Cstatistic)
OverallAccuracy
(%)
Correlation(R2)
RESOLVE 1,593 0.90 0.81 80.4 0.66 0.92 0.82 81.5 0.69
ADVISE 432 0.91 0.82 81.9 0.71 0.92 0.82 81.9 0.75
VERIFY 654 0.89 0.80 79.4 0.60 0.92 0.81 79.8 0.65
Seoul National Uni. 179 0.92 0.83 82.7 0.68 0.93 0.82 82.1 0.70
Stony Brook Uni. 149 0.93 0.81 79.2 0.54 0.93 0.83 83.2 0.61
Columbia Uni. 95 0.91 0.84 82.1 0.62 0.92 0.87 89.5 0.70
AMC/VUMC/KCL 84 0.90 0.78 78.6 0.72 0.93 0.72 72.6 0.70
J Am Coll Cardiol. 2014;63(13):1253-1261
RESOLVE
• This comprehensive core laboratory analysis comparing iFR and Pd/Pa
with FFR demonstrated an overall accuracy of ~80% for both
nonhyperemic indices, which can be improved to ≥90% in a subset of
lesions.
• Clinical outcome studies are required to determine whether the use of
iFR or Pd/Pa might obviate the need for hyperemia in selected patients.
J Am Coll Cardiol. 2014;63(13):1253-1261
RESOLVE
ADVISE STUDY
CLARIFY STUDY
RESOLVE STUDY
Johnson et al.
VERIFY STUDY
ADVISE – ll STUDY
VERIFY – 2 STUDY
Does the Instantaneous Wave-Free
Ratio
Approximate the Fractional Flow
Reserve?
Journal of the American College of Cardiology
Vol. 61, No. 13, 2013
JOHNSON et al
 This study sought to examine the clinical performance of and
theoretical basis for the instantaneous wave-free ratio (iFR)
approximation to the fractional flow reserve (FFR)
 Aggregated observations of 1,129 patients.
J Am Coll Cardiol 2013;61:1428–35
JOHNSON et al
• First, iFR offers both a biased estimate of FFR, on average, and an
uncertain estimate of FFR for an individual case.
• As shown in the Bland-Altman analysis, iFR is 0.09 higher than FFR on
average. Even after correcting for this bias, iFR has wide limits of
agreement with FFR that would often alter clinical management.
• Therefore, for an individual patient, iFR should not be used
interchangeably with FFR.
JOHNSON et al
• Second, no “perfect” iFR cutoff exists; each possible
threshold offers a compromise between diagnostic accuracy
and the need for vasodilation to measure FFR.
J Am Coll Cardiol 2013;61:1428–35
iFR Rest Pd/Pa
Accuracy
False
Positives
False
Negatives
Cutoff
Need
Adenosine
Cutoff
Need
Adenosine
100% 0% 0% 0.57–1.00 93% 0.82–1.00 85%
99% 0.5% 0.5% 0.74–0.98 76% 0.85–1.00 77%
98% 1.0% 1.0% 0.78–0.97 69% 0.86–0.98 67%
97% 1.5% 1.5% 0.81–0.97 60% 0.88–0.97 57%
96% 2.0% 2.0% 0.82–0.96 54% 0.88–0.97 57%
95% 2.5% 2.5% 0.83–0.95 48% 0.88–0.97 46%
94% 3.0% 3.0% 0.83–0.94 44% 0.89–0.96 46%
93% 3.5% 3.5% 0.84–0.94 40% 0.89–0.96 35%
92% 4.0% 4.0% 0.84–0.93 36% 0.90–0.95 35%
91% 4.5% 4.5% 0.85–0.93 32% 0.90–0.95 28%
90% 5.0% 5.0% 0.85–0.92 28% 0.90–0.94 24%
89% 5.5% 5.5% 0.86–0.92 28% 0.90–0.94 24%
88% 6.0% 6.0% 0.86–0.92 24% 0.91–0.94 24%
87% 6.5% 6.5% 0.86–0.91 20% 0.91–0.94 24%
86% 7.0% 7.0% 0.86–0.91 16% 0.91–0.94 18%
85% 7.5% 7.5% 0.87–0.90 16% 0.91–0.94 12%
84% 8.0% 8.0% 0.87–0.90 12% 0.91–0.93 12%
83% 8.5% 8.5% 0.88–0.90 9%
Trade-Off Between Diagnostic Accuracy and Need for Adenosine
Blue and red rows correspond to 96% and 99% accuracy levels, respectively, shown in Figure 3.
iFR - instantaneous wave-free ratio; Pd/Pa - distal coronary pressure/aortic pressure. J Am Coll Cardiol 2013;61:1428–35
JOHNSON et al
• Third, diastolic resting myocardial resistance does not equal
mean hyperemic resistance.
 iFR provides both a biased estimate of FFR, on average, and an
uncertain estimate of FFR in individual cases that limits its widespread
application, especially when considering the clinical consequences.
 Diastolic resting myocardial resistance does not equal mean hyperemic
resistance, thereby contravening the most basic condition on which iFR
depends.
J Am Coll Cardiol 2013;61:1428–35
JOHNSON et al
ADVISE STUDY
CLARIFY STUDY
RESOLVE STUDY
Johnson et al.
VERIFY STUDY
ADVISE – ll STUDY
VERIFY – 2 STUDY
VERIFY
VERification of Instantaneous Wave-Free Ratio and
Fractional Flow Reserve for the Assessment of Coronary
Artery Stenosis Severity in EverydaY Practice
Journal of the American College of Cardiology Vol. 61, No. 13, 2013
• This study sought to compare fractional flow reserve (FFR) with the
instantaneous wave-free ratio (iFR) in patients with coronary artery
disease and also to determine whether the iFR is independent of
hyperemia.
• A prospective, multicenter, international study of
 206 consecutive patients referred for PCI and
 a retrospective analysis of 500 archived pressure recordings
Journal of the American College of Cardiology Vol. 61, No. 13, 2013
VERIFY
• Compared to the FFR cut-off value of 0.80, the diagnostic accuracy of
the iFR value of 0.80 was 60% for all vessels studied and 51% for those
patients with FFR in the range of 0.60 to 0.90.
• iFR was significantly influenced by the induction of hyperemia:
 Mean ± SD iFR at rest was 0.82 ± 0.16 versus 0.64 ± 0.18 with
hyperemia (p 0.001)
Journal of the American College of Cardiology Vol. 61, No. 13, 2013
VERIFY
• Receiver operating characteristics confirmed that the diagnostic
accuracy of iFR was similar to resting Pd/Pa and trans-stenotic pressure
gradient and significantly inferior to hyperemic iFR.
• Analysis of retrospectively acquired dataset showed similar results.
• iFR correlates weakly with FFR and is not independent of hyperemia.
• iFR cannot be recommended for clinical decision making in patients
with coronary artery disease.
Journal of the American College of Cardiology Vol. 61, No. 13, 2013
VERIFY
VERIFY
• “iFR, which is by definition a resting parameter and said to be
independent of hyperemia, did in fact change markedly during
adenosine- induced hyperemia, a finding which challenges the
underlying concept and clinical applicability of iFR”.
ADVISE STUDY
CLARIFY STUDY
RESOLVE STUDY
Johnson et al.
VERIFY STUDY
ADVISE – ll STUDY
VERIFY – 2 STUDY
• Assess the diagnostic performance of hybrid strategies using iFR‐FFR
and Pd/Pa‐FFR compared to FFR for all
• iFR adenosine zone 0.86‐0.93
• Pd/Pa adenosine zone 0.87‐0.94
• Assess the diagnostic performance of pre‐defined binary cut‐off values
of iFR and Pd/Pa compared to FFR for all
• iFR < 0.90
• Pd/Pa < 0.92
VERIFY 2
Assessment of concordance of hybrid decision making
strategies using FFR≤0.8 as gold standard
Chi Square –0.66, DF=1, p=0.42
*Lesions outwith the iFR adenosine zone (0.86‐0.93)
**Lesions outwith the Pd/Pa adenosine zone (0.87‐0.94)
VERIFY 2
Incidence of inappropriate PCI and incomplete
revascularisation when using hybrid strategy
VERIFY 2
Sensitivity analyses for iFR and Pd/Pa using defined cut‐off
compared with FFR
iFR vs Pd/Pa –Chi Square 0.48, DF=1, p=0.49
VERIFY 2
Incidence of inappropriate PCI and incomplete
revascularisation when using absolute cut‐off values
VERIFY 2
• Hybrid decision making strategies utilising either Pd/Pa‐FFR or iFR‐FFR
provide similar levels of misclassification compared to FFR (6.3% v
10.1%)
• Using a binary cut‐off level for Pd/Pa or iFR results in similar levels of
misclassification compared to FFR (15.0% v 18.3%)
• VERIFY‐2 has confirmed that the diagnostic accuracy of iFR is no better
than Pd/Pa
VERIFY 2
• Whether used as part of a hybrid or binary algorithm, neither resting
index is sufficiently accurate to be used as a guide to the need for
revascularisation.
• VERIFY‐2 independently confirms the results of VERIFY.
VERIFY 2
SUMMARY
• On the basis of 3 randomized trials showing superior clinical outcomes
with FFR guidance compared with angiographic guidance alone, FFR is
justifiably accepted as the standard in both US and European guidelines
for invasive physiological lesion assessment and clinical decision making.
• On the basis of the present report and consistent with prior studies, the
universal adoption of iFR with use of a single cutoff point cannot be
recommended.
SUMMARY
• However, using a hybrid approach wherein iFR are accepted at the 2
outer tails of the spectrum with FFR-based decisions required in the
gray area in between may be feasible and might avoid the use of
hyperemia in approximately 48% to 65% of lesions, respectively, if ≥90%
correlation with an FFR cutoff ≤0.80 is accepted.
SUMMARY
• The iFR cutoff values identified in the present retrospective study
require validation, and prospective randomized trials are required to
determine whether a hybrid strategy results in non-inferior clinical
outcomes to the routine use of FFR.
. . . . . . . . . . . . . .

IFR - Instantenous wave free ratio

  • 1.
    iFR INSTANTENOUS WAVE FREERATIO Dr. Vishal Vanani Jaslok Hospital and Research Centre Mumbai
  • 2.
    Introduction • Pressure wirederived FFR is a well validated lesion level index of functional significance • Measurement of FFR requires the use of IV or IC adenosine to induce maximal hyperaemia • FFR is not widely used due to various issues including cost, extra procedural time and the perceived inconvenience of adenosine administration • Resting Pd/Pa is routinely available at the time of pressure wire assessment
  • 3.
    Issues with Adenosine •Adenosine not only gives patients a tight-chested feeling of anxiety and impending doom, but also, some patients cannot tolerate it. • Asthmatic patients can get very bad bronchospasms. • For people with low blood pressure, adenosine can push it down further, making them unstable. • FFR measured at low blood pressure values is potentially unreliable
  • 4.
    Instantaneous Free WaveRatio(iFR) • Adenosine‐free index of coronary stenosis severity • No need for adenosine administration • Dedicated software required (Volcano Corp)
  • 5.
    iFR – Howis it done? • The technique is identical to making a measurement of FFR. • A sheath is put into the leg, the pressure wire is passed distal to the stenosis, and it is normalized. • While the same equipment is used, it is the software on the console that is different. It uses the special algorithms. • iFR is being developed and commercialized by Volcano Corporation.
  • 6.
    ADVISE STUDY CLARIFY STUDY RESOLVESTUDY Johnson et al. VERIFY STUDY ADVISE – ll STUDY VERIFY – 2 STUDY
  • 7.
    ADVISE STUDY CLARIFY STUDY RESOLVESTUDY Johnson et al. VERIFY STUDY ADVISE – ll STUDY VERIFY – 2 STUDY
  • 8.
    ADVISE Study  ADenosineVasodilation Independent Stenosis Evaluation JACC Vol. 59, No. 15, 2012
  • 9.
    • Flow =Pressure Difference Resistance • When coronary resistance is stable – pressure can be used as a surrogate for flow to assess a coronary stenosis • If we can identify a period of naturally occurring stable resistance, Why do we give drugs such as adenosine to calculate fractional flow reserve (FFR)?
  • 10.
    Phasic resistance duringthe cardiac cycle 0 0.2 0.4 0 1 2 3 0 5 10 0 750 Velocity (M-2) Pressure (mmHg) Resistance (mmHgM -2 ) Time (s) 150 75 Resistance (mmHgs/m) Pressure (mmHg) Velocity (m/s) Time (s) 2 4 ADVISE study
  • 11.
    Phasic resistance duringthe cardiac cycle 0 0.2 0.4 0 1 2 3 0 5 10 0 750 Velocity (M-2) Pressure (mmHg) Resistance (mmHgM -2 ) Time (s) 150 75 Resistance (mmHgs/m) Pressure (mmHg) Velocity (m/s) Time (s) 2 4 ADVISE study
  • 12.
    0 0.2 0.4 0 1 2 3 0 5 10 0 750 Velocity (M-2) Pressure (mmHg) Resistance (mmHgM -2 ) Time(s) 150 75 Resistance (mmHgs/m) Pressure (mmHg) Velocity (m/s) Time (s) 2 4 ADVISE study
  • 13.
    Fully automated algorithms Identificationof naturally low resistance period Uses pressure only Wave-freeperiodWave-freeperiod Sen S, Escaned J, Davies JE et al. JACC (in press 2011) Davies JE et al. Circulation 2006;113:1767-1778 Davies JE et al. Circulation 2011;124:1565-1572 Identification of wave-free period
  • 14.
    Hypothesis 1 • Resistancemeasured at rest during the resting wave-free period is similar to mean resistance during hyperaemia. ADVISE study
  • 15.
    0 0.2 0.4 0 1 2 3 0 5 10 0 750 Velocity (M-2) Pressure (mmHg) Resistance (mmHgM -2 ) Time(s) 0 0.2 0.4 0 1 2 3 05 10 0 750 Velocity (M-2) Pressure (mmHg) Resistance (mmHgM -2 ) Time(s) Hyperaemic mean resistance Resting wave-free resistance ADVISE study
  • 16.
    Wave-freeperiodWave-freeperiod 0 100 200300 400 500 600 700 800 900 70 120 Pressure(mmHg) Time (ms) Hypothesis 2 The Pd/Pa ratio (iFR) during the resting wave-free period was similar to FFR. ADVISE study
  • 17.
    ADVISE Study (157lesions) ADenosine Vasodilation Independent Stenosis Evaluation Part 1: Proof of concept • Resting wave-free resistance vs. mean hyperaemic resistance n=39 • Intra-coronary pressure and flow velocity measurements • Resistance assessment – baseline and under pharmacological vasodilatation Part 2: Validation Study • iFR vs FFR • n=118 • Intra-coronary pressure measurements
  • 18.
    Test stability andmagnitude of resistance during wave-free period in comparison to during adenosine hyperaemia Hypothesis 1
  • 19.
    0 0.12 Resting wave-free resistance Hyperaemic mean resistance Stability of resistanceis similar over the wave- free period and during hyperaemia CoefficientofVariation ofresistance ADVISE study Sen S, Escaned J, Davies JE et al. JACC
  • 20.
    0 0.12 Resting wave-free resistance Hyperaemic mean resistance p=0.96 Stability of resistanceis similar over the wave- free period and during hyperaemia CoefficientofVariation ofresistance ADVISE study Sen S, Escaned J, Davies JE et al. JACC
  • 21.
    Resting mean resistance Resistance (mmHgs/m) Magnitude of resistanceis similar over the wave-free period and during hyperaemia 0 800 Resting wave-free resistance Hyperaemic mean resistanceADVISE study
  • 22.
  • 23.
    Resistance measured atrest during the wave-free period… Hypothesis 1
  • 24.
    Resistance measured atrest during the wave-free period… is similar in both stability and magnitude to values achieved under adenosine hyperaemia. Hypothesis 1
  • 25.
    Assess whether iFRwas numerically similar to Fractional flow reserve. Hypothesis 2
  • 26.
    Definition: Instantaneous pressure gradient, acrossa stenosis during the wave-free period, when resistance is constant and minimised in the cardiac cycle iFR = instantaneous wave-free ratio Pa Pd 0 100 200 300 400 500 600 700 800 900 70 120 Pressure(mmHg) Time (ms) Wave-free period
  • 27.
    0 0.2 0.4 0.6 0.8 1 0 0.2 0.40.6 0.8 1 Close relationship between iFR and FFR y=1.022x + 0.03 Regression coefficient FFR iFR ADVISE study Sen S, Escaned J, Davies JE et al. JACC
  • 28.
    0 0.2 0.4 0.6 0.8 1 0 0.2 0.40.6 0.8 1 Close relationship between iFR and FFR r = 0.90 y=1.022x + 0.03 Regression coefficient FFR iFR ADVISE study Sen S, Escaned J, Davies JE et al. JACC
  • 29.
    0 0.2 0.4 0.6 0.8 1 0 0.2 0.40.6 0.8 1 Close relationship between iFR and FFR y=1.022x + 0.03 Regression coefficient Left coronary artery Right coronary artery FFR iFR r = 0.90 ADVISE study Sen S, Escaned J, Davies JE et al. JACC
  • 30.
    ADVISE study Diagnostic efficiencyof iFR Sen S, Escaned J, Davies JE et al. JACC
  • 31.
    iFR positive iFR negative FFR False (+) False (-) Assessmentof diagnostic efficiency of iFR Left coronary artery Right coronary artery Sen S, Escaned J, Davies JE et al. JACC ADVISE study Diagnostic accuracy (+) predictive value (-) predictive value Sensitivity Specificity 88% 91% 85% 85% 91%
  • 32.
    FFR False (+) False (-) 95%CI variability in FFR* Left coronary artery Right coronary artery Assessment of diagnostic efficiency of iFR after adjustment for inherent variability in FFR *De Bruyne B et al. Circulation. 1996;94:1842-1849 Circulation 2006;114;1321-1341 iFR positive iFR negative Diagnostic accuracy (+) predictive value (-) predictive value Sensitivity Specificity 95% 97% 93% 93% 97% 88% 91% 85% 85% 91% Adjusting for variability in FFR ADVISE study
  • 33.
    Summary Identified a wave-freeperiod in cardiac cycle when resistance is naturally stabilized and minimal avoiding the need for administration of adenosine Wave-freeperiodWave-freeperiod
  • 34.
    Summary iFR measured duringthis wave-free period gives a measure of stenosis severity similar to FFR
  • 35.
    ADVISE STUDY CLARIFY STUDY RESOLVESTUDY Johnson et al. VERIFY STUDY ADVISE – ll STUDY VERIFY – 2 STUDY
  • 36.
    ADVISE – llStudy • ADVISE II, is a prospective, double-blind, global, multi-center registry designed to investigate the diagnostic utility of the instant wave-Free Ratio™ (iFR®) modality in assessing the severity of coronary stenosis.
  • 37.
  • 44.
    ADVISE – llStudy • The final results replicate earlier findings and show that the hybrid iFR/FFR (Fractional Flow Reserve) approach correctly matched an FFR- only approach in 94.2 percent of coronary stenoses and successfully avoided use of adenosine in 65.1 percent of patients.
  • 45.
    ADVISE – llStudy • "iFR is not a replacement for FFR given the wealth of outcome data generated over the years in DEFER, FAME and FAME II. • The hybrid iFR/FFR approach is possible with the Volcano system because both measurements take place on the same pressure guide wire. • In the hybrid workflow, iFR measurement is generally made in 5 seconds after positioning the standard Volcano pressure guide wire.
  • 46.
    ADVISE STUDY CLARIFY STUDY RESOLVESTUDY Johnson et al. VERIFY STUDY ADVISE – ll STUDY VERIFY – 2 STUDY
  • 47.
    Diagnostic Classification ofthe Instantaneous Wave-Free Ratio Is Equivalent to Fractional Flow Reserve and Is Not Improved With Adenosine Administration Results of CLARIFY (Classification Accuracy of Pressure-Only Ratios Against Indices Using Flow Study) Journal of the American College of Cardiology Vol. 61, No. 13, 2013
  • 48.
    CLARIFY Study • Thisstudy sought to determine if adenosine administration is required for the pressure-only assessment of coronary stenosis. • In this study, they used hyperemic stenosis resistance (HSR), a combined pressure-and-flow index, as an arbiter to determine when iFR and FFR disagree which index is most representative of the hemodynamic significance of the stenosis. • They then tested whether administering adenosine significantly improves diagnostic performance of iFR.
  • 49.
    CLARIFY Study • In51 vessels, intracoronary pressure and flow velocity was measured distal to the stenosis at rest and during adenosine-mediated hyperemia. • The iFR (at rest and during adenosine administration [iFRa]), FFR, HSR were calculated using automated algorithms. • When iFR and FFR disagreed (4 cases, or 7.7% of the study population), HSR agreed with iFR in 50% of cases and with FFR in 50% of cases.
  • 50.
  • 51.
    CLARIFY Study • iFR,iFRa, and FFR had equally good diagnostic agreement with HSR (receiver-operating characteristic area under the curve 0.93 iFR vs. 0.94 iFRa and 0.96 FFR, (p = 0.48)
  • 53.
    CLARIFY Study -Conclusions • iFR and FFR had equivalent agreement with classification of coronary stenosis severity by HSR. • Further reduction in resistance by the administration of adenosine did not improve diagnostic categorization, indicating that iFR can be used as an adenosine-free alternative to FFR.
  • 54.
    ADVISE STUDY CLARIFY STUDY RESOLVESTUDY Johnson et al. VERIFY STUDY ADVISE – ll STUDY VERIFY – 2 STUDY
  • 55.
    RESOLVE Multicenter collaborative study Diagnosticaccuracy of J Am Coll Cardiol. 2014;63(13):1253-1261 iFR FFR Instantaneo us wave- free ratio (iFR) Hyperemic fractional flow reserve Pd/Pa FFR Resting distal coronary artery pressure/aorti c pressure Hyperemic fractional flow reserve
  • 56.
    Measured • iFR • restingPd/Pa • FFR In • 1768 patients • 1593 lesions • From 15 clinical sites To determine 1. Specific iFR and Pd/Pa thresholds with ≥90% accuracy in predicting ischemic versus nonischemic FFR(on the basis of an FFR cut point of 0.80) 2. The proportion of patients falling beyond those thresholds RESOLVE J Am Coll Cardiol. 2014;63(13):1253-1261
  • 57.
    • On receiver-operatingcharacteristic(ROC) analysis • For FFR ≤0.80-  The optimal iFR cut point was 0.90, overall accuracy: 80.4%  The optimal Pd/Pa cut point was 0.92, overall accuracy: 81.5%  No significant difference between these resting measures. • iFR had ≥90% accuracy to predict  FFR in 64.9% (62.6% to 67.3%) and • Pd/Pa had ≥90% accuracy to predict  FFR in 48.3% (45.6% to 50.5%) of lesions. J Am Coll Cardiol. 2014;63(13):1253-1261 RESOLVE
  • 58.
    iFR Pd3/Pa Study/ Participating Site No.ofLesions CutoffPoint AUCFromROC (Cstatistic) OverallAccuracy (%) Correlation(R2) CutoffPoint AUCFromROC (Cstatistic) OverallAccuracy (%) Correlation(R2) RESOLVE1,593 0.90 0.81 80.4 0.66 0.92 0.82 81.5 0.69 ADVISE 432 0.91 0.82 81.9 0.71 0.92 0.82 81.9 0.75 VERIFY 654 0.89 0.80 79.4 0.60 0.92 0.81 79.8 0.65 Seoul National Uni. 179 0.92 0.83 82.7 0.68 0.93 0.82 82.1 0.70 Stony Brook Uni. 149 0.93 0.81 79.2 0.54 0.93 0.83 83.2 0.61 Columbia Uni. 95 0.91 0.84 82.1 0.62 0.92 0.87 89.5 0.70 AMC/VUMC/KCL 84 0.90 0.78 78.6 0.72 0.93 0.72 72.6 0.70 J Am Coll Cardiol. 2014;63(13):1253-1261 RESOLVE
  • 59.
    • This comprehensivecore laboratory analysis comparing iFR and Pd/Pa with FFR demonstrated an overall accuracy of ~80% for both nonhyperemic indices, which can be improved to ≥90% in a subset of lesions. • Clinical outcome studies are required to determine whether the use of iFR or Pd/Pa might obviate the need for hyperemia in selected patients. J Am Coll Cardiol. 2014;63(13):1253-1261 RESOLVE
  • 60.
    ADVISE STUDY CLARIFY STUDY RESOLVESTUDY Johnson et al. VERIFY STUDY ADVISE – ll STUDY VERIFY – 2 STUDY
  • 61.
    Does the InstantaneousWave-Free Ratio Approximate the Fractional Flow Reserve? Journal of the American College of Cardiology Vol. 61, No. 13, 2013
  • 62.
    JOHNSON et al This study sought to examine the clinical performance of and theoretical basis for the instantaneous wave-free ratio (iFR) approximation to the fractional flow reserve (FFR)  Aggregated observations of 1,129 patients. J Am Coll Cardiol 2013;61:1428–35
  • 63.
    JOHNSON et al •First, iFR offers both a biased estimate of FFR, on average, and an uncertain estimate of FFR for an individual case. • As shown in the Bland-Altman analysis, iFR is 0.09 higher than FFR on average. Even after correcting for this bias, iFR has wide limits of agreement with FFR that would often alter clinical management. • Therefore, for an individual patient, iFR should not be used interchangeably with FFR.
  • 65.
    JOHNSON et al •Second, no “perfect” iFR cutoff exists; each possible threshold offers a compromise between diagnostic accuracy and the need for vasodilation to measure FFR.
  • 66.
    J Am CollCardiol 2013;61:1428–35
  • 67.
    iFR Rest Pd/Pa Accuracy False Positives False Negatives Cutoff Need Adenosine Cutoff Need Adenosine 100%0% 0% 0.57–1.00 93% 0.82–1.00 85% 99% 0.5% 0.5% 0.74–0.98 76% 0.85–1.00 77% 98% 1.0% 1.0% 0.78–0.97 69% 0.86–0.98 67% 97% 1.5% 1.5% 0.81–0.97 60% 0.88–0.97 57% 96% 2.0% 2.0% 0.82–0.96 54% 0.88–0.97 57% 95% 2.5% 2.5% 0.83–0.95 48% 0.88–0.97 46% 94% 3.0% 3.0% 0.83–0.94 44% 0.89–0.96 46% 93% 3.5% 3.5% 0.84–0.94 40% 0.89–0.96 35% 92% 4.0% 4.0% 0.84–0.93 36% 0.90–0.95 35% 91% 4.5% 4.5% 0.85–0.93 32% 0.90–0.95 28% 90% 5.0% 5.0% 0.85–0.92 28% 0.90–0.94 24% 89% 5.5% 5.5% 0.86–0.92 28% 0.90–0.94 24% 88% 6.0% 6.0% 0.86–0.92 24% 0.91–0.94 24% 87% 6.5% 6.5% 0.86–0.91 20% 0.91–0.94 24% 86% 7.0% 7.0% 0.86–0.91 16% 0.91–0.94 18% 85% 7.5% 7.5% 0.87–0.90 16% 0.91–0.94 12% 84% 8.0% 8.0% 0.87–0.90 12% 0.91–0.93 12% 83% 8.5% 8.5% 0.88–0.90 9% Trade-Off Between Diagnostic Accuracy and Need for Adenosine Blue and red rows correspond to 96% and 99% accuracy levels, respectively, shown in Figure 3. iFR - instantaneous wave-free ratio; Pd/Pa - distal coronary pressure/aortic pressure. J Am Coll Cardiol 2013;61:1428–35
  • 68.
    JOHNSON et al •Third, diastolic resting myocardial resistance does not equal mean hyperemic resistance.
  • 70.
     iFR providesboth a biased estimate of FFR, on average, and an uncertain estimate of FFR in individual cases that limits its widespread application, especially when considering the clinical consequences.  Diastolic resting myocardial resistance does not equal mean hyperemic resistance, thereby contravening the most basic condition on which iFR depends. J Am Coll Cardiol 2013;61:1428–35 JOHNSON et al
  • 71.
    ADVISE STUDY CLARIFY STUDY RESOLVESTUDY Johnson et al. VERIFY STUDY ADVISE – ll STUDY VERIFY – 2 STUDY
  • 72.
    VERIFY VERification of InstantaneousWave-Free Ratio and Fractional Flow Reserve for the Assessment of Coronary Artery Stenosis Severity in EverydaY Practice Journal of the American College of Cardiology Vol. 61, No. 13, 2013
  • 73.
    • This studysought to compare fractional flow reserve (FFR) with the instantaneous wave-free ratio (iFR) in patients with coronary artery disease and also to determine whether the iFR is independent of hyperemia. • A prospective, multicenter, international study of  206 consecutive patients referred for PCI and  a retrospective analysis of 500 archived pressure recordings Journal of the American College of Cardiology Vol. 61, No. 13, 2013 VERIFY
  • 74.
    • Compared tothe FFR cut-off value of 0.80, the diagnostic accuracy of the iFR value of 0.80 was 60% for all vessels studied and 51% for those patients with FFR in the range of 0.60 to 0.90. • iFR was significantly influenced by the induction of hyperemia:  Mean ± SD iFR at rest was 0.82 ± 0.16 versus 0.64 ± 0.18 with hyperemia (p 0.001) Journal of the American College of Cardiology Vol. 61, No. 13, 2013 VERIFY
  • 75.
    • Receiver operatingcharacteristics confirmed that the diagnostic accuracy of iFR was similar to resting Pd/Pa and trans-stenotic pressure gradient and significantly inferior to hyperemic iFR. • Analysis of retrospectively acquired dataset showed similar results. • iFR correlates weakly with FFR and is not independent of hyperemia. • iFR cannot be recommended for clinical decision making in patients with coronary artery disease. Journal of the American College of Cardiology Vol. 61, No. 13, 2013 VERIFY
  • 76.
    VERIFY • “iFR, whichis by definition a resting parameter and said to be independent of hyperemia, did in fact change markedly during adenosine- induced hyperemia, a finding which challenges the underlying concept and clinical applicability of iFR”.
  • 77.
    ADVISE STUDY CLARIFY STUDY RESOLVESTUDY Johnson et al. VERIFY STUDY ADVISE – ll STUDY VERIFY – 2 STUDY
  • 78.
    • Assess thediagnostic performance of hybrid strategies using iFR‐FFR and Pd/Pa‐FFR compared to FFR for all • iFR adenosine zone 0.86‐0.93 • Pd/Pa adenosine zone 0.87‐0.94 • Assess the diagnostic performance of pre‐defined binary cut‐off values of iFR and Pd/Pa compared to FFR for all • iFR < 0.90 • Pd/Pa < 0.92 VERIFY 2
  • 79.
    Assessment of concordanceof hybrid decision making strategies using FFR≤0.8 as gold standard Chi Square –0.66, DF=1, p=0.42 *Lesions outwith the iFR adenosine zone (0.86‐0.93) **Lesions outwith the Pd/Pa adenosine zone (0.87‐0.94) VERIFY 2
  • 80.
    Incidence of inappropriatePCI and incomplete revascularisation when using hybrid strategy VERIFY 2
  • 81.
    Sensitivity analyses foriFR and Pd/Pa using defined cut‐off compared with FFR iFR vs Pd/Pa –Chi Square 0.48, DF=1, p=0.49 VERIFY 2
  • 82.
    Incidence of inappropriatePCI and incomplete revascularisation when using absolute cut‐off values VERIFY 2
  • 83.
    • Hybrid decisionmaking strategies utilising either Pd/Pa‐FFR or iFR‐FFR provide similar levels of misclassification compared to FFR (6.3% v 10.1%) • Using a binary cut‐off level for Pd/Pa or iFR results in similar levels of misclassification compared to FFR (15.0% v 18.3%) • VERIFY‐2 has confirmed that the diagnostic accuracy of iFR is no better than Pd/Pa VERIFY 2
  • 84.
    • Whether usedas part of a hybrid or binary algorithm, neither resting index is sufficiently accurate to be used as a guide to the need for revascularisation. • VERIFY‐2 independently confirms the results of VERIFY. VERIFY 2
  • 85.
    SUMMARY • On thebasis of 3 randomized trials showing superior clinical outcomes with FFR guidance compared with angiographic guidance alone, FFR is justifiably accepted as the standard in both US and European guidelines for invasive physiological lesion assessment and clinical decision making. • On the basis of the present report and consistent with prior studies, the universal adoption of iFR with use of a single cutoff point cannot be recommended.
  • 86.
    SUMMARY • However, usinga hybrid approach wherein iFR are accepted at the 2 outer tails of the spectrum with FFR-based decisions required in the gray area in between may be feasible and might avoid the use of hyperemia in approximately 48% to 65% of lesions, respectively, if ≥90% correlation with an FFR cutoff ≤0.80 is accepted.
  • 87.
    SUMMARY • The iFRcutoff values identified in the present retrospective study require validation, and prospective randomized trials are required to determine whether a hybrid strategy results in non-inferior clinical outcomes to the routine use of FFR.
  • 88.
    . . .. . . . . . . . . . .

Editor's Notes

  • #11 Hallmark of a single-input circuit is low resistance, when the arterial behaves like a passive pipe. The landmark on our traces is stable resistance – which occurs during the passive phase of the cardiac cycle. During those periods there is an almost linear relationship between pressure and flow velocity .
  • #14 Radical solution, be identification of the wave-free period.