HYPOTHERMIA
DR SYED INAYATHULLAH
INTENSIVISIT
MEEQAT HOSPITAL
types
•Accidental
•Primary and secondary
•Therapeutic
Accidental
•Critically ill patients predisposed
•Due to
•Removal of clothing
•Laparotomy and opening of body cavities
•Administration of large volume of unwarmed fluids and blood
products
severity
•Associated with trauma score and injury severity score
•Associated with worst outcome even after correction for age,injury
severity and hypotension
•Degree epiphenomenon than causative
therapeutic
•Used primarily for neuroprotection
•Used in cardiothoracic cases , circulatory arrest , cardiopulmonary
bypass
•Mild hypothermia showed benefit for out of hospital cardiac arrest
with improved neurological outcomes
•May have role in reducing ICP and traumatic brain injury
definition
•Mild 32-35 ( used in neuroprotection)
•Moderate 28-32 ( used in cardiopulmonary bypass)
•Severe 20-28
•Deep 11-20
•Profound 6-10( being studied in military as an aortic cold flush for
soldiers who are exanguinating prior to blood resuscitation
Physiologic Changes Associated with
Hypothermia
Epidemiology
•Common in trauma patients
•Common in areas with cold winters
•Occurs in critically ill hospitalized patients
Key pathophysiology
•34 degree Celsius is an important threshold
•Coagulopathies , enzymatic functions diminish significantly below this
temperature
•Effects on metabolism
•Hypokalemia
•Hyperglycemia
•Mild acidosis
•Impaired drug metabolism( through p 450 pathway)
Effects on coagulation
•Impaired enzymatic function in coagulation cascade
•Prolong prothrombin time and partial thromboplastin time
•Thrombocytopenia and platelet dysfuction
Effects on immune system
•Immunosupression
•Effects on cardiovascular system
•Bradyarrythmias
•Hypertension( due to peripheral vasoconstriction)
•Hypotension (due to negative inotropic effect)
•Osborne waves
causes
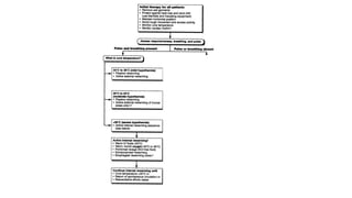
ABCDE approach (as always)
Airway
•Must be patent
•Be gentle with airway manoeuvres
•If comatose consider cuffed tracheal tube (and gastric tube); despite
potential risk of precipitating VF (risks overstated) the indications for
intubation do not alter in hypothermia
•Humidified & warmed air/oxygen is ideal
Breathing
•Warm humidified oxygen if available
•Oxygen if at all possible – ODC shifts to left
•If very slow / shallow breaths assist ventilations; avoid
hyperventilation – monitor pH, PaCO2 & ET CO2.
•Changes in PaCO2 have a greater effect on pH in hypothermia
•Pulse oximeter unreliable when skin shut down
•ABGs – don’t correct for temperature
Circulation
•Fluids should be warm (41) – microwave can be used
for saline
•But heat in the fluids will NOT be enough to rewarm the
patient
•Saline or isotonic dextrose
•10ml/kg bolus
•5ml/kg/hour infusion
•Don’t overload (consider CVP line if cardiopulmonary
comorbidity)
•e.g 700ml saline in first hour then 350ml/hour
•Avoid Hartmann’s – cold liver cannot metabolise lactate
Circulation
•Monitor fluid status carefully
•Invasive monitoring if fluid shifts likely or if pre-existing
cardiorespiratory problems
•Supplemental K may be needed – check U&Es
•Inotropes usually avoided; try to avoid catecholamines in patient with
frostbite
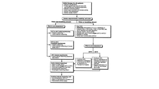
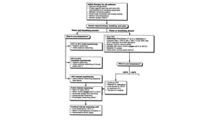
Disability
•If GCS down (and it will be in profound hypothermia) rule out / treat
hypoglycaemia
•In acute hypothermia glucose not low, if hypothermia occurs after
exhaustion of energy hypoglycaemia will be present
Other things to consider
•D also stands for “degrees”
•Measure core temperature
•Are they shivering?
•E stands for exposure
•Remove cold wet clothes
•But expose only one bit at a time and keep covered up as
much as possible
•Keep the room as warm as possible
•K stands for potassium
•Often low
Management and treatment
•Prevention( pre hospital passive rewarming)
•Passive rewarming ( cover with insulating material in a warm
environment)
•Usually adequate for mild hypothermia
•Active external rewarming ( applying heat directly to skin ( heating
pads, forced air, heat lamps)
•Watch for rewarming shock ( peripheral vasodilation in setting of
intravascular hypovolemia)
Active core rewarming
•Used in moderate to severe hypothermia when patient is still
maintaining adequate perfusion
•Can rewarm via vascular or pulmonary routes
•Lavage of various cavities
•Thoracic, peritoneal, urinary bladder but risky (marginally effective)
•Cardiopulmonary bypass for severe hypothermia with circulatory
arrest
•Watch for hyperkalemia with rewarming
Therapeutic hypothermia
•Intravascular cooling catheters effective but DVT risk increases by 50
percent in 3 days
•External cooling vests
•Cold saline infusion 4 degree Celsius 30 cc/kg in 30 minutes may be
given peripheral or femoral……..unclear with IJV/subclavian
outcomes
•Trauma-worst outcome-presumably due to its effect on coagulation
and hypotension
•Cardiac arrest: therapeutic hypothermia is effective when used in
comatosed cardiac arrest survivors within about 6 hours of circulatory
arrest
•Traumatic brain injury and ICP ---ineffective
•Thank you

Hypothermia

  • 1.
  • 2.
  • 3.
    Accidental •Critically ill patientspredisposed •Due to •Removal of clothing •Laparotomy and opening of body cavities •Administration of large volume of unwarmed fluids and blood products
  • 4.
    severity •Associated with traumascore and injury severity score •Associated with worst outcome even after correction for age,injury severity and hypotension •Degree epiphenomenon than causative
  • 5.
    therapeutic •Used primarily forneuroprotection •Used in cardiothoracic cases , circulatory arrest , cardiopulmonary bypass •Mild hypothermia showed benefit for out of hospital cardiac arrest with improved neurological outcomes •May have role in reducing ICP and traumatic brain injury
  • 6.
    definition •Mild 32-35 (used in neuroprotection) •Moderate 28-32 ( used in cardiopulmonary bypass) •Severe 20-28 •Deep 11-20 •Profound 6-10( being studied in military as an aortic cold flush for soldiers who are exanguinating prior to blood resuscitation
  • 7.
  • 8.
    Epidemiology •Common in traumapatients •Common in areas with cold winters •Occurs in critically ill hospitalized patients
  • 9.
    Key pathophysiology •34 degreeCelsius is an important threshold •Coagulopathies , enzymatic functions diminish significantly below this temperature •Effects on metabolism •Hypokalemia •Hyperglycemia •Mild acidosis •Impaired drug metabolism( through p 450 pathway)
  • 10.
    Effects on coagulation •Impairedenzymatic function in coagulation cascade •Prolong prothrombin time and partial thromboplastin time •Thrombocytopenia and platelet dysfuction
  • 11.
    Effects on immunesystem •Immunosupression •Effects on cardiovascular system •Bradyarrythmias •Hypertension( due to peripheral vasoconstriction) •Hypotension (due to negative inotropic effect) •Osborne waves
  • 13.
  • 14.
  • 15.
    Airway •Must be patent •Begentle with airway manoeuvres •If comatose consider cuffed tracheal tube (and gastric tube); despite potential risk of precipitating VF (risks overstated) the indications for intubation do not alter in hypothermia •Humidified & warmed air/oxygen is ideal
  • 16.
    Breathing •Warm humidified oxygenif available •Oxygen if at all possible – ODC shifts to left •If very slow / shallow breaths assist ventilations; avoid hyperventilation – monitor pH, PaCO2 & ET CO2. •Changes in PaCO2 have a greater effect on pH in hypothermia •Pulse oximeter unreliable when skin shut down •ABGs – don’t correct for temperature
  • 17.
    Circulation •Fluids should bewarm (41) – microwave can be used for saline •But heat in the fluids will NOT be enough to rewarm the patient •Saline or isotonic dextrose •10ml/kg bolus •5ml/kg/hour infusion •Don’t overload (consider CVP line if cardiopulmonary comorbidity) •e.g 700ml saline in first hour then 350ml/hour •Avoid Hartmann’s – cold liver cannot metabolise lactate
  • 18.
    Circulation •Monitor fluid statuscarefully •Invasive monitoring if fluid shifts likely or if pre-existing cardiorespiratory problems •Supplemental K may be needed – check U&Es •Inotropes usually avoided; try to avoid catecholamines in patient with frostbite
  • 19.
    Disability •If GCS down(and it will be in profound hypothermia) rule out / treat hypoglycaemia •In acute hypothermia glucose not low, if hypothermia occurs after exhaustion of energy hypoglycaemia will be present
  • 20.
    Other things toconsider •D also stands for “degrees” •Measure core temperature •Are they shivering? •E stands for exposure •Remove cold wet clothes •But expose only one bit at a time and keep covered up as much as possible •Keep the room as warm as possible •K stands for potassium •Often low
  • 21.
    Management and treatment •Prevention(pre hospital passive rewarming) •Passive rewarming ( cover with insulating material in a warm environment) •Usually adequate for mild hypothermia •Active external rewarming ( applying heat directly to skin ( heating pads, forced air, heat lamps) •Watch for rewarming shock ( peripheral vasodilation in setting of intravascular hypovolemia)
  • 22.
    Active core rewarming •Usedin moderate to severe hypothermia when patient is still maintaining adequate perfusion •Can rewarm via vascular or pulmonary routes •Lavage of various cavities •Thoracic, peritoneal, urinary bladder but risky (marginally effective) •Cardiopulmonary bypass for severe hypothermia with circulatory arrest •Watch for hyperkalemia with rewarming
  • 23.
    Therapeutic hypothermia •Intravascular coolingcatheters effective but DVT risk increases by 50 percent in 3 days •External cooling vests •Cold saline infusion 4 degree Celsius 30 cc/kg in 30 minutes may be given peripheral or femoral……..unclear with IJV/subclavian
  • 31.
    outcomes •Trauma-worst outcome-presumably dueto its effect on coagulation and hypotension •Cardiac arrest: therapeutic hypothermia is effective when used in comatosed cardiac arrest survivors within about 6 hours of circulatory arrest •Traumatic brain injury and ICP ---ineffective
  • 32.