WEUEF
Hydraulics / Advanced
Hydraulics Course
Model Answer for Assignments
Prepared by Associate Prof. Sameh KANTOUSH
Assignment # 2
A mercury manometer (sp. gr. = 13.6)
is used to measure the pressure
difference in vessels A and B, as
shown in the Figure. Determine the
pressure difference in pascals (N/m2).
Solution for Assignment # 2
The sketch of the manometer system (step 1) is shown
in Figure. Points 3 and 4 (P3, P4) are on a surface of
equal pressure (step 2) and so are the vessel A and points
1 and 2 (P1, P2):
The pressures at points 3 and 4 are, respectively (step 3),
and noting that γM = γ (sp. gr.)
Assignment 3
A piezometer and a Pitot tube are tapped into a horizontal water pipe, as shown in
Figure , to measure static and stagnation (static + dynamic) pressures. For the
indicated water column heights, determine the velocity at the center of the pipe.
datum
V2=0
z1=z2=0
Solution
Bernoulli equation for section 1 and 2; datum
as shown in the Figure
[ ]
2 2
1 1 2 2
1 2
2
1 1 2
1 2 3 1 2
2 1
1
p V p V
z z
2g 2g
p V p
2g
2g (h h h ) (h h )
2g(p p )
V
+ + = + +
γ γ
+ =
γ γ
γ + + − γ +
−
= =
γ γ
1 3
V 2gh 2 9.81 0.12 1.53(m / s)
= = × × =
p2
p1
In Class Exercise
The bed width of a rectangular channel is 12.0 m, bed slope is 8 cm/km
and the discharge is 25 m3/sec. Considering the following two cases, draw
the T.E.L. & H.G.L. between two sections 5 km apart:
A. The flow is uniform and the water depth is 3.0 m,
Assignment # 4 (Excel)
Solution
Assignment # 4 (Excel)
Assignment # 5
Determine the normal water depth for each of the following open channels
if the discharge Q = 25 m3 /sec, n = 0.025, and the longitudinal bed slope
S = 10 cm/km:
A. Rectangular channel, b = 10 meters
B. Trapezoidal channel, b = 10 meters and m = 1.0, m=1.5 and m=2.
C. Draw relationship between Y & m and write your comments.
Assignment # 6
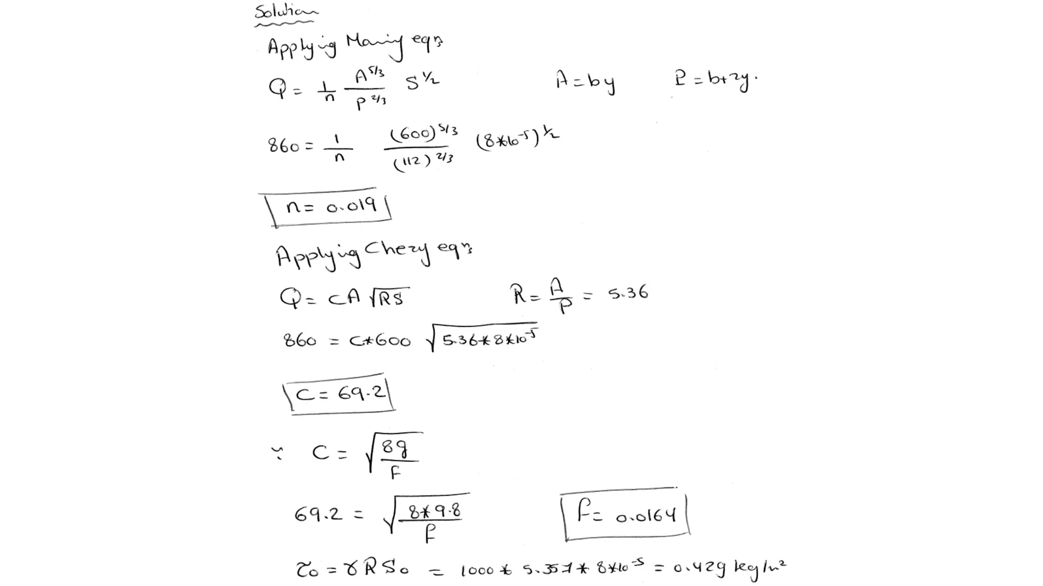
A rectangular canal has a bed slope of 8 cm/km, and a bed width of 100 m.
If at a depth of 6 m the canal carries a discharge of 860 m3/sec at uniform
flow. Find the roughness n, Chezy's coefficient C, and the coefficient of
friction f. Also find the average shear stress on the bed.
Assignment # 7
A new lined canal shall be constructed in African river basin. The maximum design
rate of flow is 100 m3/sec, the side slope is 2:1, and longitudinal bed slope is 10
cm/km. The channel is lined with concrete, for which the design Manning roughness
coefficient is 0.0182. The cost of excavation of the channel is 8 USD/m3 and the total
cost of lining is 100 USD/m2.
Determine the cost of constructing one kilometer of the channel in million USD
considering the following two cases:
(i) The bed width is four times the water depth (b=4y), and
(ii) The channel section is best hydraulic section.
Which section would you recommend? Why?
SOLUTION :
For a Trapezoidal channel
Given:
Qmax =100m3/s
Side Slope = 2:1 m=2
So= 10 cm/km = 0.0001
n = 0.0182
Cost of channel excavation = 8.0 USD/m3
Total cost of lining = 100.0 USD/ m2
Required: Construction cost of constructing one kilometer of the channel in million USD considering the following two cases:
(i) b=4y
(ii) Best hydraulic section.
Which section would you recommend? Why?
To determine:
Cost of constructing 1.0 km of the channel in million USD considering:
Case 1: The bed width, b = 4y
Flow Area of the Trapezoidal section, A= (b + my) y = (4y + 2y) y = 6y2
Wetted Perimeter of the Trapezoidal section, P = b+2y (𝑚𝑚2 + 1) = 4y +2y 22 + 1 =4y+2𝒚𝒚 𝟓𝟓 = 8.47y
Hydraulic Radius, Rh =
6y2
8.47y
= 0.7083y
From Manning’s equation: 𝑸𝑸 =
𝟏𝟏
𝒏𝒏
𝑨𝑨𝑨𝑨𝒉𝒉
𝟐𝟐
𝟑𝟑 𝑺𝑺𝒐𝒐
𝟏𝟏
𝟐𝟐
100 =
1
0.0182
∗ 6𝑦𝑦2
∗ (0.7083𝑦𝑦)
2
3 ∗ 0.0001
1
2
100= 0.54945* 6𝑦𝑦2
* 0.7946y2/3
100 = 2.6196y8/3;
38.1738 = y8/3 (38.1738)3/8 = y y = 3.92m
b=4y = 4 (3.92m) = 15.70 m (Take b = 16.0m for construction fesibility)
Q =100cms (> 85cms), thus free board= 0.9m
yex = y + free board
= 3.92m +0.9m = 4.82m
Design Flow Area, Aex = yex (b + myex) = 4.82 (16+ 2*4.82) = 123.58 m2
Design Wetted Perimeter, Pex = b+2yex √ (m2 +1) =16+2*4.82√5 = 16 + 21.55 = 37.55m
Cost of Channel excavation = Excavation Volume * Unit cost
= (Aex * 1000m * 8) USD = (123.58m2 *1000m* 8) USD = 988640 USD
Cost of Channel Lining = Lining Area*100 USD/m2
= Pex *L*100 = 37.55m*1000m*100 = 3,755,569 USD
Total Cost = 988640 USD + 3,755,569 USD
= 4,744,209 USD ≈ 5.0 Million USD
Case 2: The best hydraulic section
This is the cross-section that conveys maximum discharge for a constant cross-section area, slope and friction coefficient
Best Hydraulic section:
Qmax. → Pmin when A, n, S are constant
A= y (b + my); b=
𝐴𝐴
𝑦𝑦
– my
𝑃𝑃 = 𝑏𝑏 + 2𝑦𝑦 1 + 𝑚𝑚2
Pmin→
𝑑𝑑𝑑𝑑
𝑑𝑑𝑑𝑑
= 0
𝑑𝑑𝑑𝑑
𝑑𝑑𝑦𝑦
= 0 = -
𝐴𝐴
𝑦𝑦2 – my + 2√ (m2 + 1
𝐴𝐴
𝑦𝑦2 + m = 2 1 + 𝑚𝑚2
𝑦𝑦(𝑏𝑏 + 𝑚𝑚𝑦𝑦)
𝑦𝑦2
+ 𝑚𝑚 = 2 1 + 𝑚𝑚2 (𝑏𝑏 + 𝑚𝑚𝑦𝑦) + 𝑚𝑚𝑦𝑦 = 2𝑦𝑦 1 + 𝑚𝑚2
𝑏𝑏 + 2𝑚𝑚𝑦𝑦 + 𝑏𝑏 = 2𝑦𝑦 1 + 𝑚𝑚2 + 𝑏𝑏 2(𝑏𝑏 + 𝑚𝑚𝑦𝑦) = 𝑏𝑏 + 2𝑦𝑦 1 + 𝑚𝑚2
2𝐴𝐴
𝑦𝑦
= 𝑃𝑃
It shows that the best hydraulic trapezoidal
section has a hydraulic radius equal to one-half
of the water depth.
Rh =
𝒀𝒀
𝟐𝟐
Thus, when Rh =
𝒀𝒀
𝟐𝟐
Rh =
𝑭𝑭𝑭𝑭𝑭𝑭𝑭𝑭 𝑨𝑨𝑨𝑨𝑨𝑨𝑨𝑨
𝑾𝑾𝑾𝑾𝑾𝑾𝑾𝑾𝑾𝑾𝑾𝑾 𝑷𝑷𝑷𝑷𝑷𝑷𝑷𝑷𝑷𝑷𝑷𝑷𝑷𝑷𝑷𝑷𝑷𝑷
=
(b + my) y
b + 2y√ (m2
+ 1)
=
𝒚𝒚
𝟐𝟐
b= 0.472y
Manning’s equation 𝑸𝑸 =
𝟏𝟏
𝒏𝒏
𝑨𝑨𝑨𝑨𝒉𝒉
𝟐𝟐
𝟑𝟑 𝑺𝑺𝒐𝒐
𝟏𝟏
𝟐𝟐 𝑸𝑸 =
𝟏𝟏
𝒏𝒏
𝑨𝑨(
𝒚𝒚
𝟐𝟐
)
𝟐𝟐
𝟑𝟑 𝑺𝑺𝒐𝒐
𝟏𝟏
𝟐𝟐
𝑸𝑸 =
𝟏𝟏
𝒏𝒏
( (b + 2y) y )(
𝒚𝒚
𝟐𝟐
) ^(
𝟐𝟐
𝟑𝟑
)
(0.0001)
1
2 100 =
𝟏𝟏
𝟎𝟎.𝟎𝟎𝟎𝟎𝟎𝟎𝟎𝟎
( (b + 2y) y )(
𝒚𝒚
𝟐𝟐
) (
𝟐𝟐
𝟑𝟑
)
(0.0001)
1
2
100 = 0.5494 ((0.472y + 2y)*y) * (
𝒚𝒚
𝟐𝟐
) (
𝟐𝟐
𝟑𝟑
)
182.017 = 2.472y2 * (
𝒚𝒚
𝟐𝟐
) (
𝟐𝟐
𝟑𝟑
)
y = 5.96m b=0.472y = 0.472*(5.96) = 2.814m ( Take b = 3.0m)
yex= 5.96 m+ 0.9m= 6.86m
Design Flow Area, Aex = yex (b + myex) = 6.86 (3+ 2*6.86) = 114.699 m2
Design Wetted Perimeter, Pex = b+2yex √ (m2 +1) = 3+2*6.86√5 = 3 +30.8577 = 33.678m
Cost of Channel excavation = Excavation Volume * Unit cost
= (Aex * 1000m * 8) USD = (114.699 m2 *1000m* 8) USD = 917592 USD
Cost of Channel Lining = Lining Area*100 USD/m2
= Pex *L*100 = 33.678m *1000m*100 = 3,367,800 USD
Total Cost = 917592 + 3,367,800 = 4,285,392 USD = 4.00 Million USD
The calculations show that he best
hydraulic trapezoidal section has less
cost comparing to the other method with
higher hydraulic performance.
Assignment #8
Water is flowing in a trapezoidal channel of bed width = 8.0 m,
longitudinal bed slope = 12 cm/km, side slopes are 1:1,
Manning roughness coefficient = 0.025. If the Froude number
= 0.12, find the critical slope and specific energy.
Solution
Given:
Cross section: Trapezoidal Channel
B = 8.0m
So= 12 cm/km = 0.00012
Side Slopes m=1
Manning’s roughness coefficient, n = 0.025
Froude Number, Fr = 0.12 (<1) i.e. Sub-Critical Flow (Mild Slope where yn > yc)
A= (b + my) y = (8+y) y =8*y +y2
P = b+2y√ (m² +1) = 8+2*y*√2
T = b+2y = 8+2*y
𝑆𝑆𝑐𝑐 =
𝑛𝑛𝑛𝑛
𝐴𝐴𝑐𝑐𝑅𝑅ℎ𝑐𝑐
2/3
2
𝑄𝑄2 =
0.1413 × 8𝑦𝑦+𝑦𝑦2 3
8+2𝑦𝑦
(1)
𝐹𝐹𝑟𝑟
2
=
𝑄𝑄2
𝑔𝑔𝐴𝐴3
𝑇𝑇
From Manning’s equation; to determine
the relationship between Q and Yn
𝑄𝑄2 =
0.192 × 8𝑦𝑦+𝑦𝑦2
10
3
(8+2𝑦𝑦√2)
4
3
(2)
From equations (1) and (2)
0.7359 =
8𝑦𝑦+𝑦𝑦2
1
3 × (8+2𝑦𝑦)
(8+2.828𝑦𝑦)
4
3
By trail and errors yn
= 0.51 m and Q = 1.132 m3/s
𝑄𝑄2
𝑔𝑔𝐴𝐴𝑐𝑐
3 𝑇𝑇𝑐𝑐 = 1 𝑜𝑜𝑜𝑜
𝑄𝑄2
𝑔𝑔
=
𝐴𝐴𝑐𝑐
3
𝑇𝑇𝑐𝑐
0.130 =
(8∗𝑦𝑦𝑐𝑐+𝑦𝑦𝑐𝑐
2 )3
8+2𝑦𝑦𝑐𝑐
By trail and errors yc
= 0.125 m
𝑆𝑆𝑐𝑐 =
0.025 ∗ 1.132
1.024 ∗ 0.1222/3
2
𝑆𝑆𝑐𝑐 = 0.0125
𝐸𝐸 = 𝑦𝑦 +
𝑄𝑄2
2𝑔𝑔𝐴𝐴2
𝐸𝐸 = 0.51 +
1.281
369.572
= 0. 𝟓𝟓𝟓𝟓𝟓𝟓 m
At yn
= 0.51 and Q = 1.132 m3/s
A = 8𝑦𝑦 + 𝑦𝑦2 = ((8*0.51) + 0.512) = 4.08 + 0.2601 = 4.34 m2
ً‫ا‬‫ﺷﻛر‬
Vielen Dank
Thank you for your attention
ありがとうございます

hydraulics and advanced hydraulics solved tutorials

  • 1.
    WEUEF Hydraulics / Advanced HydraulicsCourse Model Answer for Assignments Prepared by Associate Prof. Sameh KANTOUSH
  • 2.
    Assignment # 2 Amercury manometer (sp. gr. = 13.6) is used to measure the pressure difference in vessels A and B, as shown in the Figure. Determine the pressure difference in pascals (N/m2).
  • 3.
    Solution for Assignment# 2 The sketch of the manometer system (step 1) is shown in Figure. Points 3 and 4 (P3, P4) are on a surface of equal pressure (step 2) and so are the vessel A and points 1 and 2 (P1, P2): The pressures at points 3 and 4 are, respectively (step 3), and noting that γM = γ (sp. gr.)
  • 4.
    Assignment 3 A piezometerand a Pitot tube are tapped into a horizontal water pipe, as shown in Figure , to measure static and stagnation (static + dynamic) pressures. For the indicated water column heights, determine the velocity at the center of the pipe. datum V2=0 z1=z2=0 Solution Bernoulli equation for section 1 and 2; datum as shown in the Figure [ ] 2 2 1 1 2 2 1 2 2 1 1 2 1 2 3 1 2 2 1 1 p V p V z z 2g 2g p V p 2g 2g (h h h ) (h h ) 2g(p p ) V + + = + + γ γ + = γ γ γ + + − γ + − = = γ γ 1 3 V 2gh 2 9.81 0.12 1.53(m / s) = = × × = p2 p1
  • 5.
    In Class Exercise Thebed width of a rectangular channel is 12.0 m, bed slope is 8 cm/km and the discharge is 25 m3/sec. Considering the following two cases, draw the T.E.L. & H.G.L. between two sections 5 km apart: A. The flow is uniform and the water depth is 3.0 m,
  • 6.
    Assignment # 4(Excel) Solution
  • 7.
  • 8.
    Assignment # 5 Determinethe normal water depth for each of the following open channels if the discharge Q = 25 m3 /sec, n = 0.025, and the longitudinal bed slope S = 10 cm/km: A. Rectangular channel, b = 10 meters B. Trapezoidal channel, b = 10 meters and m = 1.0, m=1.5 and m=2. C. Draw relationship between Y & m and write your comments.
  • 11.
    Assignment # 6 Arectangular canal has a bed slope of 8 cm/km, and a bed width of 100 m. If at a depth of 6 m the canal carries a discharge of 860 m3/sec at uniform flow. Find the roughness n, Chezy's coefficient C, and the coefficient of friction f. Also find the average shear stress on the bed.
  • 13.
    Assignment # 7 Anew lined canal shall be constructed in African river basin. The maximum design rate of flow is 100 m3/sec, the side slope is 2:1, and longitudinal bed slope is 10 cm/km. The channel is lined with concrete, for which the design Manning roughness coefficient is 0.0182. The cost of excavation of the channel is 8 USD/m3 and the total cost of lining is 100 USD/m2. Determine the cost of constructing one kilometer of the channel in million USD considering the following two cases: (i) The bed width is four times the water depth (b=4y), and (ii) The channel section is best hydraulic section. Which section would you recommend? Why?
  • 14.
    SOLUTION : For aTrapezoidal channel Given: Qmax =100m3/s Side Slope = 2:1 m=2 So= 10 cm/km = 0.0001 n = 0.0182 Cost of channel excavation = 8.0 USD/m3 Total cost of lining = 100.0 USD/ m2 Required: Construction cost of constructing one kilometer of the channel in million USD considering the following two cases: (i) b=4y (ii) Best hydraulic section. Which section would you recommend? Why?
  • 15.
    To determine: Cost ofconstructing 1.0 km of the channel in million USD considering: Case 1: The bed width, b = 4y Flow Area of the Trapezoidal section, A= (b + my) y = (4y + 2y) y = 6y2 Wetted Perimeter of the Trapezoidal section, P = b+2y (𝑚𝑚2 + 1) = 4y +2y 22 + 1 =4y+2𝒚𝒚 𝟓𝟓 = 8.47y Hydraulic Radius, Rh = 6y2 8.47y = 0.7083y From Manning’s equation: 𝑸𝑸 = 𝟏𝟏 𝒏𝒏 𝑨𝑨𝑨𝑨𝒉𝒉 𝟐𝟐 𝟑𝟑 𝑺𝑺𝒐𝒐 𝟏𝟏 𝟐𝟐 100 = 1 0.0182 ∗ 6𝑦𝑦2 ∗ (0.7083𝑦𝑦) 2 3 ∗ 0.0001 1 2 100= 0.54945* 6𝑦𝑦2 * 0.7946y2/3 100 = 2.6196y8/3; 38.1738 = y8/3 (38.1738)3/8 = y y = 3.92m b=4y = 4 (3.92m) = 15.70 m (Take b = 16.0m for construction fesibility)
  • 16.
    Q =100cms (>85cms), thus free board= 0.9m yex = y + free board = 3.92m +0.9m = 4.82m Design Flow Area, Aex = yex (b + myex) = 4.82 (16+ 2*4.82) = 123.58 m2 Design Wetted Perimeter, Pex = b+2yex √ (m2 +1) =16+2*4.82√5 = 16 + 21.55 = 37.55m Cost of Channel excavation = Excavation Volume * Unit cost = (Aex * 1000m * 8) USD = (123.58m2 *1000m* 8) USD = 988640 USD Cost of Channel Lining = Lining Area*100 USD/m2 = Pex *L*100 = 37.55m*1000m*100 = 3,755,569 USD Total Cost = 988640 USD + 3,755,569 USD = 4,744,209 USD ≈ 5.0 Million USD
  • 17.
    Case 2: Thebest hydraulic section This is the cross-section that conveys maximum discharge for a constant cross-section area, slope and friction coefficient Best Hydraulic section: Qmax. → Pmin when A, n, S are constant A= y (b + my); b= 𝐴𝐴 𝑦𝑦 – my 𝑃𝑃 = 𝑏𝑏 + 2𝑦𝑦 1 + 𝑚𝑚2 Pmin→ 𝑑𝑑𝑑𝑑 𝑑𝑑𝑑𝑑 = 0 𝑑𝑑𝑑𝑑 𝑑𝑑𝑦𝑦 = 0 = - 𝐴𝐴 𝑦𝑦2 – my + 2√ (m2 + 1 𝐴𝐴 𝑦𝑦2 + m = 2 1 + 𝑚𝑚2 𝑦𝑦(𝑏𝑏 + 𝑚𝑚𝑦𝑦) 𝑦𝑦2 + 𝑚𝑚 = 2 1 + 𝑚𝑚2 (𝑏𝑏 + 𝑚𝑚𝑦𝑦) + 𝑚𝑚𝑦𝑦 = 2𝑦𝑦 1 + 𝑚𝑚2 𝑏𝑏 + 2𝑚𝑚𝑦𝑦 + 𝑏𝑏 = 2𝑦𝑦 1 + 𝑚𝑚2 + 𝑏𝑏 2(𝑏𝑏 + 𝑚𝑚𝑦𝑦) = 𝑏𝑏 + 2𝑦𝑦 1 + 𝑚𝑚2 2𝐴𝐴 𝑦𝑦 = 𝑃𝑃 It shows that the best hydraulic trapezoidal section has a hydraulic radius equal to one-half of the water depth.
  • 18.
    Rh = 𝒀𝒀 𝟐𝟐 Thus, whenRh = 𝒀𝒀 𝟐𝟐 Rh = 𝑭𝑭𝑭𝑭𝑭𝑭𝑭𝑭 𝑨𝑨𝑨𝑨𝑨𝑨𝑨𝑨 𝑾𝑾𝑾𝑾𝑾𝑾𝑾𝑾𝑾𝑾𝑾𝑾 𝑷𝑷𝑷𝑷𝑷𝑷𝑷𝑷𝑷𝑷𝑷𝑷𝑷𝑷𝑷𝑷𝑷𝑷 = (b + my) y b + 2y√ (m2 + 1) = 𝒚𝒚 𝟐𝟐 b= 0.472y Manning’s equation 𝑸𝑸 = 𝟏𝟏 𝒏𝒏 𝑨𝑨𝑨𝑨𝒉𝒉 𝟐𝟐 𝟑𝟑 𝑺𝑺𝒐𝒐 𝟏𝟏 𝟐𝟐 𝑸𝑸 = 𝟏𝟏 𝒏𝒏 𝑨𝑨( 𝒚𝒚 𝟐𝟐 ) 𝟐𝟐 𝟑𝟑 𝑺𝑺𝒐𝒐 𝟏𝟏 𝟐𝟐 𝑸𝑸 = 𝟏𝟏 𝒏𝒏 ( (b + 2y) y )( 𝒚𝒚 𝟐𝟐 ) ^( 𝟐𝟐 𝟑𝟑 ) (0.0001) 1 2 100 = 𝟏𝟏 𝟎𝟎.𝟎𝟎𝟎𝟎𝟎𝟎𝟎𝟎 ( (b + 2y) y )( 𝒚𝒚 𝟐𝟐 ) ( 𝟐𝟐 𝟑𝟑 ) (0.0001) 1 2 100 = 0.5494 ((0.472y + 2y)*y) * ( 𝒚𝒚 𝟐𝟐 ) ( 𝟐𝟐 𝟑𝟑 ) 182.017 = 2.472y2 * ( 𝒚𝒚 𝟐𝟐 ) ( 𝟐𝟐 𝟑𝟑 ) y = 5.96m b=0.472y = 0.472*(5.96) = 2.814m ( Take b = 3.0m) yex= 5.96 m+ 0.9m= 6.86m Design Flow Area, Aex = yex (b + myex) = 6.86 (3+ 2*6.86) = 114.699 m2 Design Wetted Perimeter, Pex = b+2yex √ (m2 +1) = 3+2*6.86√5 = 3 +30.8577 = 33.678m Cost of Channel excavation = Excavation Volume * Unit cost = (Aex * 1000m * 8) USD = (114.699 m2 *1000m* 8) USD = 917592 USD Cost of Channel Lining = Lining Area*100 USD/m2 = Pex *L*100 = 33.678m *1000m*100 = 3,367,800 USD Total Cost = 917592 + 3,367,800 = 4,285,392 USD = 4.00 Million USD The calculations show that he best hydraulic trapezoidal section has less cost comparing to the other method with higher hydraulic performance.
  • 19.
    Assignment #8 Water isflowing in a trapezoidal channel of bed width = 8.0 m, longitudinal bed slope = 12 cm/km, side slopes are 1:1, Manning roughness coefficient = 0.025. If the Froude number = 0.12, find the critical slope and specific energy. Solution Given: Cross section: Trapezoidal Channel B = 8.0m So= 12 cm/km = 0.00012 Side Slopes m=1 Manning’s roughness coefficient, n = 0.025 Froude Number, Fr = 0.12 (<1) i.e. Sub-Critical Flow (Mild Slope where yn > yc) A= (b + my) y = (8+y) y =8*y +y2 P = b+2y√ (m² +1) = 8+2*y*√2 T = b+2y = 8+2*y
  • 20.
    𝑆𝑆𝑐𝑐 = 𝑛𝑛𝑛𝑛 𝐴𝐴𝑐𝑐𝑅𝑅ℎ𝑐𝑐 2/3 2 𝑄𝑄2 = 0.1413× 8𝑦𝑦+𝑦𝑦2 3 8+2𝑦𝑦 (1) 𝐹𝐹𝑟𝑟 2 = 𝑄𝑄2 𝑔𝑔𝐴𝐴3 𝑇𝑇 From Manning’s equation; to determine the relationship between Q and Yn 𝑄𝑄2 = 0.192 × 8𝑦𝑦+𝑦𝑦2 10 3 (8+2𝑦𝑦√2) 4 3 (2) From equations (1) and (2) 0.7359 = 8𝑦𝑦+𝑦𝑦2 1 3 × (8+2𝑦𝑦) (8+2.828𝑦𝑦) 4 3 By trail and errors yn = 0.51 m and Q = 1.132 m3/s 𝑄𝑄2 𝑔𝑔𝐴𝐴𝑐𝑐 3 𝑇𝑇𝑐𝑐 = 1 𝑜𝑜𝑜𝑜 𝑄𝑄2 𝑔𝑔 = 𝐴𝐴𝑐𝑐 3 𝑇𝑇𝑐𝑐 0.130 = (8∗𝑦𝑦𝑐𝑐+𝑦𝑦𝑐𝑐 2 )3 8+2𝑦𝑦𝑐𝑐 By trail and errors yc = 0.125 m 𝑆𝑆𝑐𝑐 = 0.025 ∗ 1.132 1.024 ∗ 0.1222/3 2 𝑆𝑆𝑐𝑐 = 0.0125
  • 21.
    𝐸𝐸 = 𝑦𝑦+ 𝑄𝑄2 2𝑔𝑔𝐴𝐴2 𝐸𝐸 = 0.51 + 1.281 369.572 = 0. 𝟓𝟓𝟓𝟓𝟓𝟓 m At yn = 0.51 and Q = 1.132 m3/s A = 8𝑦𝑦 + 𝑦𝑦2 = ((8*0.51) + 0.512) = 4.08 + 0.2601 = 4.34 m2
  • 24.
    ً‫ا‬‫ﺷﻛر‬ Vielen Dank Thank youfor your attention ありがとうございます