Embed presentation
Download to read offline




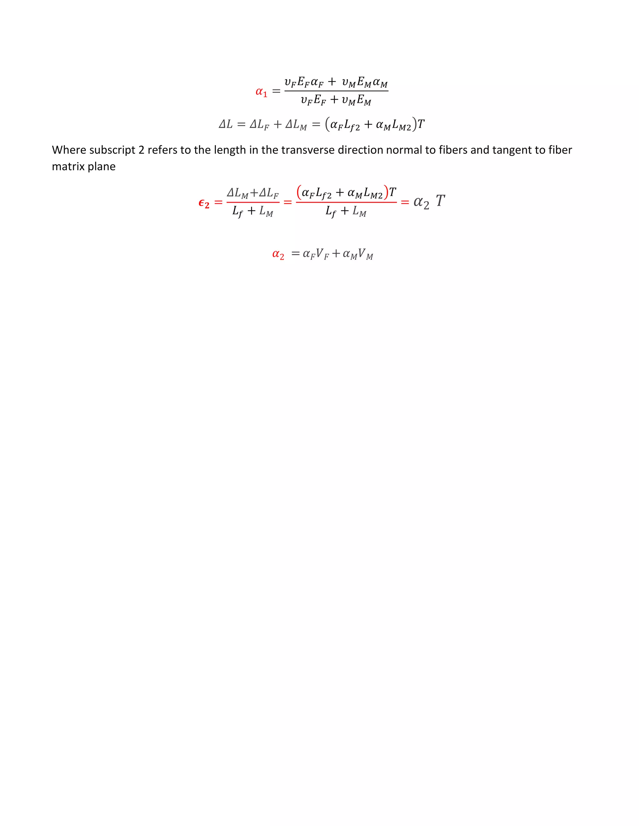
This report summarizes the solution to a homework problem on calculating the coefficients of thermal expansion for a composite material. 1) Main assumptions are that the strain in the fibers equals the strain in the matrix, and the stress in the fibers equals the stress in the matrix. 2) An interaction force R is assumed, and setting the total fiber displacement equal to the total matrix displacement gives an expression for R. 3) The coefficient of thermal expansion in the direction of the fibers, α1, is calculated in terms of the coefficients and properties of the fibers and matrix. 4) The coefficient of thermal expansion transverse to the fibers, α2, is similarly calculated.


