General Principles and Processes of
Isolation of Elements
• Minerals – Naturally occurring chemical
substances in the earth’s crust obtained by
mining.
• Ores - Ore is natural rock or sediment that
contains one or more valuable minerals,
typically containing metals.
• Gangue – Earthy or undesired material
present in the ore.
The extraction and isolation of metals from ores
involves the following steps :
1) Concentration of the ore
2) Isolation of the metal from its concentrated
ore
3) Purification of the metal
The scientific and technological process used
for the isolation of the metal from its ore is
known as Metallurgy.
Ancient Metallurgy
Occurrence of Metals
Metal Ores Compo0sitions
Aluminium Bauxite
Kaolinite [ Al2 (OH )4 Si2O5 ]
Iron Haematite Fe2O3
Magnetite Fe2O3
Siderite FeCO3
Iron Pyrites FeS2
Copper Copper Pyrites CeFeS2
Malachite CuCO3 . Cu (OH )2
Copper glance Cu2S
Cuprite Cu2O
Zinc Zinc blende ZnS
Calamine ZnCO3
Zincite ZnO
Concentration of Ores
Removal of unwanted materials ( sand, clays )
form the ore is known as concentration,
dressing or benefaction.
1. Hydraulic Washing
2. Magnetic seperation
3. Froth Flotation Process
4. Leaching
Hydraulic Washing
Principle – Difference in gravities of the ore and
the gangue particles.
Gravity Seperation
Principle – Difference in magnetic properties of
the ore and gangue particles.
Froth Flotation Process
This method is used to concentrate sulphide ore.
Suspension of powdered ore in water is prepared.
To this collectors and froth stabilisers are added.
Collectors – pine oils, fatty acids, xanthates
Froth Stabilisers – Cresols, aniline
Functions :-
Collectors enhance non wettability of the mineral
particles and froth stabilisers stabilise the froth.
The mineral particles become wet by oils while
the gangue particles by water. A rotating
paddle agitates the mixture and draws air in it.
As a result froth is formed which carries the
mineral particles.
The froth is light and is skimmed off. It is then
dried for the recovery of the mineral particles.
Two sulphide ores can be seperated by adjusting
oil to water proportions or by using
depressants .
Ore containing ZnS and PbS, the depressant
used is NaCN. It selectively prevents ZnS from
coming to the froth and allows only PbS to
come with the froth.
Leaching
• This method is used when the ore is soluble in some
suitable solvent.
• The powdered ore is treated with certain reagents which
can selectively dissolve the ore but not the impurities.
Leaching of alumina from Bauxite
The principle ore of aluminium is bauxite which contains SiO2,
Iron oxides and titanium oxides as impurities.
Concentration of the ore is carried out by digesting the
powdered ore with conc. NaOH solution. Al2O3 is leached
out as sodium aluminate leaving the impurities behind.
Leaching
Other Examples
In the metallurgy of gold and silver the
respective metal is leached with a dil solution
of NaCN or KCN in the presence of air.
Extraction of Crude Metal from
Concentrated Ore
• Conversion to oxide
• Reduction of the oxide to metal
Conversion to oxide
1) Calcination 2) Roasting
Calcination
Heating an ore in absence of air.
Volatile matter escapes leaving behind the metal
oxide.
Fe2O3. x H2O (s) Fe2O3 (s) + x H2O (g)
ZnCO3 (s) ZnO (s) + CO2 (g)
CaCO3. MgCO3 (s) CaO (s) + MgO (s) +
2CO2 (g)
Roasting
• Heating the ore in presence of air
2 ZnS + 3 O2 ZnO + 2 SO2
2 PbS + 3 O2 2 PbO + 2 SO2
2 Cu2S + 3 O2 2 Cu2O + 2 SO2
The sulphide ores of copper are heated in
reverberatory furnace. If the ore contains iron,
it is mixed with silica before heating. Iron
silicate is formed and copper is produced in
the form of copper matte which contains Cu2S
and FeS.
FeO + SiO2 FeSiO3 (slag)
The SO2 produced is used in the manufacture of
sulphuric acid.
Flux
If the calcinated or roasted ore contains non
fusible impurities of earthly matter, flux is
added. It combines with impurities to form
Slag.
Impurities + Flux Slag
(present in the ore)
Slag is not soluble n molten metal and being
lighter can be skimmed off from the surface of
the metal.
• If the ore contains acidic impurities such as
SiO2, basic flux like CaO, CaCO3 are used.
SiO2 + CaO CaSiO3
Acidic impurity Basic flux calcium silicate (slag)
If the ore contains basic impurities such as FeO,
acidic flux like SiO2 is used.
FeO + SiO2 FeSiO3
Basic impurity Acidic flux Ferrous silicate (slag)
• Reduction of oxide to the metal
Using a suitable reducing agent as C, CO or M.
Heating is required. (pyrometallurgy)
MxOy + y C x M + y CO
Al2O3 + C 2 Al + 3 CO
• CalcinationRoastingCalcination is the process in which
the ore of the metal is heated to high temperature in
the absence or limited supply of air or oxygen.Roasting
is the process in which the ore is heated to high
temperatures in the presence of excess supply of air or
oxygen.Calcination consists of thermal decomposition
of calcium ores.Roasting is mostly done for sulphide
ores.Carbon dioxide is given out as a by-productDuring
roasting, large quantities of toxic, metallic and acid
impurities are driven out.During calcination, moisture
is removed from the ore.Roasting is not used for the
removal of moisture.
Ore
Concentration of ore
1. Hydraulic Washing
2. Magnetic Seperation
3. Froth Flotation Process
4. Leaching
Concentration of ore
Metals of high Metals of Metals with
Reactivity Medium low reactivity
Reactivity
Electrolysis
of molten ore
Thermodynamic Principles of
Metallurgy
G = H - T S
Gibbs enthalpy entropy change
Free energy change
Change
G = - RT ln K
K – equilibrium constant
Thermodynamic Principles :-
a) Choice of the reducing agent (C, CO , M)
b) Temperature
G = - ve
And equilibrium constant k = + ve
For a spontaneous process , the energy change
G must be negative and positive value of .
This can happen only when the reaction
proceeds to the products.
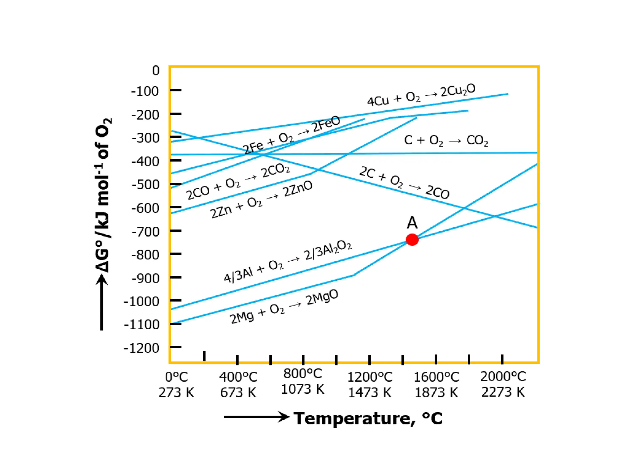
Ellingham Diagram
Ellingham diagram provides the choice of
reducing agent.
Salient Features
• It gives graphical representation of plots of
G 0 vs T for the formation of oxides of
elements.
x M (s) + ½ O2 (g) 2 MxO (s)
The reducing agent forms its oxide when the
metal oxide is reduced.
The role of reducing agent is to provide G
negative and large enough to make the sum of
G 0 of the two reactions (oxidation of the
reducing agent and the reduction of the metal
oxide ) negative.
• Curves in the Ellingham diagrams for the formation of
metallic oxides are basically straight lines with a positive
slope. The slope is proportional to ΔS, which is practically
constant with temperature.
• The lower the position of a metal's line in the Ellingham
diagram, the greater is the stability of its oxide. For
example, the line for Al (oxidation of aluminium) is found to
be below that for Fe (formation of Fe
2O
3).
• Stability of metallic oxides decreases with increase in
temperature. Highly unstable oxides like Ag2O and HgO
easily undergo thermal decomposition.
• The formation free energy of carbon dioxide (CO2) is almost
independent of temperature, while that of carbon
monoxide (CO) has negative slope and crosses the CO2 line
near 700 °C. According to the Boudouard reaction, carbon
monoxide is the dominant oxide of carbon at higher
temperatures (above about 700 °C), and the higher the
temperature (above 700 °C) the more effective a reductant
(reducing agent) carbon is.
• If the curves for two metals at a given temperature are
compared, the metal with the lower Gibbs free energy of
oxidation on the diagram will reduce the oxide with the
higher Gibbs free energy of formation. For example,
metallic aluminium can reduce iron oxide to metallic iron,
the aluminium itself being oxidized to aluminium oxide.
• The greater the gap between any two lines, the greater the
effectiveness of the reducing agent corresponding to the
lower line.
• The intersection of two lines implies an oxidation-reduction
equilibrium. Reduction using a given reductant is possible
at temperatures above the intersection point where the
ΔG line of that reductant is lower on the diagram than that
of the metallic oxide to be reduced. At the point of
intersection the free energy change for the reaction is zero,
below this temperature it is positive and the metallic oxide
is stable in the presence of the reductant, while above the
point of intersection the Gibbs energy is negative and the
oxide can be reduced.
oxides like Ag
2O and HgO easily undergo thermal
decomposition.
The formation free energy of carbon
dioxide (CO2) is almost independent of
temperature, while that of carbon
monoxide (CO) has negative slope and crosses
the CO2 line near 700 °C. According to
the Boudouard reaction, carbon monoxide is
the dominant oxide of carbon at higher
temperatures (above about 700 °C), and the
higher the temperature (above 700 °C) the
more effective a reductant (reducing agent)
carbon is.
If the curves for two metals at a given
temperature are compared, the metal with the
lower Gibbs free energy of oxidation on the
diagram will reduce the oxide with the higher
Gibbs free energy of formation. For example,
metallic aluminium can reduce iron oxide to
metallic iron, the aluminium itself being
oxidized to aluminium oxide. (This reaction is
employed in thermite.)
The greater the gap between any two lines,
the greater the effectiveness of the reducing
Extraction of iron from its oxides
Oxide ores of Iron after concentration through
calcination / Roasting are mied with limestone
and coke and fed into a Blast Furnace.
Here the oxide is reduced to the metal.
FeO (s) + C (s) Fe (s) + CO (g)
In the Blast furnace, reduction of iron oxides
takes place in different temperature ranges. Hot
air is blown from the bottom of the furnace and
coke is burnt to give temperature upto about
2200k in the lower portion.
The burning of coke supplies most of the heat
required in the process.
The CO and heat moves to upper part of the
furnace. Where the temperature is low and
the iron oxides ( Fe2O3 and Fe3O4 ) coming
from the top are reduced in steps to FeO.
At 500 – 800 K (lower temperature range in the
blast furnace )
3 Fe2O3 + CO 2 Fe3O4 + CO2
Fe3O4 + 4 CO 3 Fe + 4 CO2
Fe2O3 + CO 2 FeO + CO2
At 900 – 1500 K (higher temp. in the blast
furnace )
C + CO2 2 CO FeO + CO Fe + CO2
Limestone used is decomposed to form CaO
which removes silicate impurity of the ore as
slag. The slag is in molten state and seperates
out from iron.
The iron obtained from Blast Furnace contains
4 % carbon and many impurities in smaller
amount. (S, P, Si, Mn). This is known as pig
iron.
Pig iron is cast into variety of shapes.
Cast iron is made by melting pig iron with scrap
iron and coke using hot air blast. It has slightly
lower carbon content (3 %) and is extremely
hard and brittle.
Wrought iron / Malleable iron - purest form of
commercial iron.
It is prepared from cast iron .
Fe2O3 + 3 C 2 Fe + 3 CO
Limestone is added as a flux and sulphur, silicon
and phosphorous are oxidised and passed into
the slag.
Extraction of copper from cuprous oxide (Cu2O)
The sulphide ores are rasted / smelted to give
oxides.
2 Cu2S + 3 O2 2 Cu2O + 2 SO2
The oxide is then reduced to metallic copper using
coke.
Cu2O + C 2 Cu + CO
Ore is heated in a reverberatory furnace after
mixing with silica where Iron silicate (slag) and
copper is produced in the form of copper matte.
(Copper matte is made up of a combination of
copper sulphide (Cu2S) and small amount of Iron
sulphide (FeS)
FeO + SiO2 FeSiO3
Copper matte is then changed into silica lined
converter.
Reactions :
2 FeS + 3 O2 2 FeO + 2 SO2
FeO + SiO2 FeSiO3
2 Cu2S + Cu2S 2 Cu2O + 2 SO2
2 Cu2O + Cu2S 6 Cu + SO2
The solidified copper obtained has blistered
appearance due to evolution of SO2 and so it
is called blister copper.
Extraction of zinc from zinc oxide
ZnO + C Zn + CO
The metal is distilled off and collected by rapid
cooling.
Electrochemical Principles of
Metallurgy
Reduction of metal ions in the solution or in the
molten state - Electrolysis
G 0 = - nFE0
cell
n – number of electrons
F – Faraday constant
E0 cell – Standard electrode potential
Highly reactive metals have large negative electrode
potential and their reduction is difficult
During electrolysis the metal ions are discharged
at cathode (negative electrode ) and gets
deposited.
Electrolysis of Aluminum
In the metallurgy of aluminium, purified alumina
is mixed with Na3AlF6 or CaF2 which lowers
the melting point of the mixture and lowers
the conductivity.
The fused matrix is then electrolysed. Steel cathode
and graphite anode are used which helps in the
reduction of the metal..
2 Al2O3 + 3 C 4 Al + 3 CO2
This process is known as Hall – Heroult process.re
The electrolysis of the molten mass is carried out
in an electrolytic cell using carbon electrodes. The
oxygen liberated at anode reacts with the carbon
of anode producing CO and CO2.
Reactions :
Cathode : Al 3+ (melt) + 3 e- Al (l)
Anode : C (s) + O 2- (melt) CO (g) + 2 e-
C (s) + 2 O 2- (melt) CO2 + 4 e-
Copper from low grade ores and scraps
Copper is extracted by hydrometallurgy. It is
leached out with an acid and the solution
containing Cu 2+ is treated with scrap iron or H2.

General Principles and Processes of Isolation of Elements.pptx

  • 1.
    General Principles andProcesses of Isolation of Elements • Minerals – Naturally occurring chemical substances in the earth’s crust obtained by mining. • Ores - Ore is natural rock or sediment that contains one or more valuable minerals, typically containing metals. • Gangue – Earthy or undesired material present in the ore.
  • 3.
    The extraction andisolation of metals from ores involves the following steps : 1) Concentration of the ore 2) Isolation of the metal from its concentrated ore 3) Purification of the metal The scientific and technological process used for the isolation of the metal from its ore is known as Metallurgy.
  • 4.
  • 6.
    Occurrence of Metals MetalOres Compo0sitions Aluminium Bauxite Kaolinite [ Al2 (OH )4 Si2O5 ] Iron Haematite Fe2O3 Magnetite Fe2O3 Siderite FeCO3 Iron Pyrites FeS2 Copper Copper Pyrites CeFeS2 Malachite CuCO3 . Cu (OH )2 Copper glance Cu2S Cuprite Cu2O Zinc Zinc blende ZnS Calamine ZnCO3 Zincite ZnO
  • 7.
    Concentration of Ores Removalof unwanted materials ( sand, clays ) form the ore is known as concentration, dressing or benefaction. 1. Hydraulic Washing 2. Magnetic seperation 3. Froth Flotation Process 4. Leaching
  • 8.
    Hydraulic Washing Principle –Difference in gravities of the ore and the gangue particles.
  • 9.
    Gravity Seperation Principle –Difference in magnetic properties of the ore and gangue particles.
  • 10.
    Froth Flotation Process Thismethod is used to concentrate sulphide ore. Suspension of powdered ore in water is prepared. To this collectors and froth stabilisers are added. Collectors – pine oils, fatty acids, xanthates Froth Stabilisers – Cresols, aniline Functions :- Collectors enhance non wettability of the mineral particles and froth stabilisers stabilise the froth.
  • 11.
    The mineral particlesbecome wet by oils while the gangue particles by water. A rotating paddle agitates the mixture and draws air in it. As a result froth is formed which carries the mineral particles. The froth is light and is skimmed off. It is then dried for the recovery of the mineral particles.
  • 12.
    Two sulphide orescan be seperated by adjusting oil to water proportions or by using depressants . Ore containing ZnS and PbS, the depressant used is NaCN. It selectively prevents ZnS from coming to the froth and allows only PbS to come with the froth.
  • 14.
    Leaching • This methodis used when the ore is soluble in some suitable solvent. • The powdered ore is treated with certain reagents which can selectively dissolve the ore but not the impurities. Leaching of alumina from Bauxite The principle ore of aluminium is bauxite which contains SiO2, Iron oxides and titanium oxides as impurities. Concentration of the ore is carried out by digesting the powdered ore with conc. NaOH solution. Al2O3 is leached out as sodium aluminate leaving the impurities behind.
  • 15.
  • 17.
    Other Examples In themetallurgy of gold and silver the respective metal is leached with a dil solution of NaCN or KCN in the presence of air.
  • 18.
    Extraction of CrudeMetal from Concentrated Ore • Conversion to oxide • Reduction of the oxide to metal Conversion to oxide 1) Calcination 2) Roasting Calcination Heating an ore in absence of air. Volatile matter escapes leaving behind the metal oxide.
  • 19.
    Fe2O3. x H2O(s) Fe2O3 (s) + x H2O (g) ZnCO3 (s) ZnO (s) + CO2 (g) CaCO3. MgCO3 (s) CaO (s) + MgO (s) + 2CO2 (g)
  • 20.
    Roasting • Heating theore in presence of air 2 ZnS + 3 O2 ZnO + 2 SO2 2 PbS + 3 O2 2 PbO + 2 SO2 2 Cu2S + 3 O2 2 Cu2O + 2 SO2
  • 21.
    The sulphide oresof copper are heated in reverberatory furnace. If the ore contains iron, it is mixed with silica before heating. Iron silicate is formed and copper is produced in the form of copper matte which contains Cu2S and FeS. FeO + SiO2 FeSiO3 (slag) The SO2 produced is used in the manufacture of sulphuric acid.
  • 22.
    Flux If the calcinatedor roasted ore contains non fusible impurities of earthly matter, flux is added. It combines with impurities to form Slag. Impurities + Flux Slag (present in the ore) Slag is not soluble n molten metal and being lighter can be skimmed off from the surface of the metal.
  • 23.
    • If theore contains acidic impurities such as SiO2, basic flux like CaO, CaCO3 are used. SiO2 + CaO CaSiO3 Acidic impurity Basic flux calcium silicate (slag) If the ore contains basic impurities such as FeO, acidic flux like SiO2 is used. FeO + SiO2 FeSiO3 Basic impurity Acidic flux Ferrous silicate (slag)
  • 24.
    • Reduction ofoxide to the metal Using a suitable reducing agent as C, CO or M. Heating is required. (pyrometallurgy) MxOy + y C x M + y CO Al2O3 + C 2 Al + 3 CO
  • 25.
    • CalcinationRoastingCalcination isthe process in which the ore of the metal is heated to high temperature in the absence or limited supply of air or oxygen.Roasting is the process in which the ore is heated to high temperatures in the presence of excess supply of air or oxygen.Calcination consists of thermal decomposition of calcium ores.Roasting is mostly done for sulphide ores.Carbon dioxide is given out as a by-productDuring roasting, large quantities of toxic, metallic and acid impurities are driven out.During calcination, moisture is removed from the ore.Roasting is not used for the removal of moisture.
  • 26.
    Ore Concentration of ore 1.Hydraulic Washing 2. Magnetic Seperation 3. Froth Flotation Process 4. Leaching
  • 27.
    Concentration of ore Metalsof high Metals of Metals with Reactivity Medium low reactivity Reactivity Electrolysis of molten ore
  • 28.
    Thermodynamic Principles of Metallurgy G= H - T S Gibbs enthalpy entropy change Free energy change Change G = - RT ln K K – equilibrium constant
  • 29.
    Thermodynamic Principles :- a)Choice of the reducing agent (C, CO , M) b) Temperature G = - ve And equilibrium constant k = + ve
  • 30.
    For a spontaneousprocess , the energy change G must be negative and positive value of . This can happen only when the reaction proceeds to the products. Ellingham Diagram Ellingham diagram provides the choice of reducing agent.
  • 31.
    Salient Features • Itgives graphical representation of plots of G 0 vs T for the formation of oxides of elements. x M (s) + ½ O2 (g) 2 MxO (s) The reducing agent forms its oxide when the metal oxide is reduced. The role of reducing agent is to provide G negative and large enough to make the sum of
  • 32.
    G 0 ofthe two reactions (oxidation of the reducing agent and the reduction of the metal oxide ) negative.
  • 33.
    • Curves inthe Ellingham diagrams for the formation of metallic oxides are basically straight lines with a positive slope. The slope is proportional to ΔS, which is practically constant with temperature. • The lower the position of a metal's line in the Ellingham diagram, the greater is the stability of its oxide. For example, the line for Al (oxidation of aluminium) is found to be below that for Fe (formation of Fe 2O 3). • Stability of metallic oxides decreases with increase in temperature. Highly unstable oxides like Ag2O and HgO easily undergo thermal decomposition.
  • 34.
    • The formationfree energy of carbon dioxide (CO2) is almost independent of temperature, while that of carbon monoxide (CO) has negative slope and crosses the CO2 line near 700 °C. According to the Boudouard reaction, carbon monoxide is the dominant oxide of carbon at higher temperatures (above about 700 °C), and the higher the temperature (above 700 °C) the more effective a reductant (reducing agent) carbon is. • If the curves for two metals at a given temperature are compared, the metal with the lower Gibbs free energy of oxidation on the diagram will reduce the oxide with the higher Gibbs free energy of formation. For example, metallic aluminium can reduce iron oxide to metallic iron, the aluminium itself being oxidized to aluminium oxide.
  • 36.
    • The greaterthe gap between any two lines, the greater the effectiveness of the reducing agent corresponding to the lower line. • The intersection of two lines implies an oxidation-reduction equilibrium. Reduction using a given reductant is possible at temperatures above the intersection point where the ΔG line of that reductant is lower on the diagram than that of the metallic oxide to be reduced. At the point of intersection the free energy change for the reaction is zero, below this temperature it is positive and the metallic oxide is stable in the presence of the reductant, while above the point of intersection the Gibbs energy is negative and the oxide can be reduced.
  • 37.
    oxides like Ag 2Oand HgO easily undergo thermal decomposition. The formation free energy of carbon dioxide (CO2) is almost independent of temperature, while that of carbon monoxide (CO) has negative slope and crosses the CO2 line near 700 °C. According to the Boudouard reaction, carbon monoxide is the dominant oxide of carbon at higher temperatures (above about 700 °C), and the higher the temperature (above 700 °C) the more effective a reductant (reducing agent) carbon is. If the curves for two metals at a given temperature are compared, the metal with the lower Gibbs free energy of oxidation on the diagram will reduce the oxide with the higher Gibbs free energy of formation. For example, metallic aluminium can reduce iron oxide to metallic iron, the aluminium itself being oxidized to aluminium oxide. (This reaction is employed in thermite.) The greater the gap between any two lines, the greater the effectiveness of the reducing
  • 38.
    Extraction of ironfrom its oxides Oxide ores of Iron after concentration through calcination / Roasting are mied with limestone and coke and fed into a Blast Furnace. Here the oxide is reduced to the metal. FeO (s) + C (s) Fe (s) + CO (g) In the Blast furnace, reduction of iron oxides takes place in different temperature ranges. Hot air is blown from the bottom of the furnace and coke is burnt to give temperature upto about 2200k in the lower portion.
  • 39.
    The burning ofcoke supplies most of the heat required in the process. The CO and heat moves to upper part of the furnace. Where the temperature is low and the iron oxides ( Fe2O3 and Fe3O4 ) coming from the top are reduced in steps to FeO.
  • 41.
    At 500 –800 K (lower temperature range in the blast furnace ) 3 Fe2O3 + CO 2 Fe3O4 + CO2 Fe3O4 + 4 CO 3 Fe + 4 CO2 Fe2O3 + CO 2 FeO + CO2 At 900 – 1500 K (higher temp. in the blast furnace ) C + CO2 2 CO FeO + CO Fe + CO2
  • 42.
    Limestone used isdecomposed to form CaO which removes silicate impurity of the ore as slag. The slag is in molten state and seperates out from iron. The iron obtained from Blast Furnace contains 4 % carbon and many impurities in smaller amount. (S, P, Si, Mn). This is known as pig iron.
  • 43.
    Pig iron iscast into variety of shapes. Cast iron is made by melting pig iron with scrap iron and coke using hot air blast. It has slightly lower carbon content (3 %) and is extremely hard and brittle. Wrought iron / Malleable iron - purest form of commercial iron. It is prepared from cast iron . Fe2O3 + 3 C 2 Fe + 3 CO
  • 44.
    Limestone is addedas a flux and sulphur, silicon and phosphorous are oxidised and passed into the slag. Extraction of copper from cuprous oxide (Cu2O) The sulphide ores are rasted / smelted to give oxides. 2 Cu2S + 3 O2 2 Cu2O + 2 SO2
  • 45.
    The oxide isthen reduced to metallic copper using coke. Cu2O + C 2 Cu + CO Ore is heated in a reverberatory furnace after mixing with silica where Iron silicate (slag) and copper is produced in the form of copper matte. (Copper matte is made up of a combination of copper sulphide (Cu2S) and small amount of Iron sulphide (FeS)
  • 46.
    FeO + SiO2FeSiO3 Copper matte is then changed into silica lined converter. Reactions : 2 FeS + 3 O2 2 FeO + 2 SO2 FeO + SiO2 FeSiO3 2 Cu2S + Cu2S 2 Cu2O + 2 SO2 2 Cu2O + Cu2S 6 Cu + SO2
  • 47.
    The solidified copperobtained has blistered appearance due to evolution of SO2 and so it is called blister copper. Extraction of zinc from zinc oxide ZnO + C Zn + CO The metal is distilled off and collected by rapid cooling.
  • 48.
    Electrochemical Principles of Metallurgy Reductionof metal ions in the solution or in the molten state - Electrolysis G 0 = - nFE0 cell n – number of electrons F – Faraday constant E0 cell – Standard electrode potential Highly reactive metals have large negative electrode potential and their reduction is difficult
  • 49.
    During electrolysis themetal ions are discharged at cathode (negative electrode ) and gets deposited. Electrolysis of Aluminum In the metallurgy of aluminium, purified alumina is mixed with Na3AlF6 or CaF2 which lowers the melting point of the mixture and lowers the conductivity.
  • 51.
    The fused matrixis then electrolysed. Steel cathode and graphite anode are used which helps in the reduction of the metal.. 2 Al2O3 + 3 C 4 Al + 3 CO2 This process is known as Hall – Heroult process.re The electrolysis of the molten mass is carried out in an electrolytic cell using carbon electrodes. The oxygen liberated at anode reacts with the carbon of anode producing CO and CO2.
  • 52.
    Reactions : Cathode :Al 3+ (melt) + 3 e- Al (l) Anode : C (s) + O 2- (melt) CO (g) + 2 e- C (s) + 2 O 2- (melt) CO2 + 4 e- Copper from low grade ores and scraps Copper is extracted by hydrometallurgy. It is leached out with an acid and the solution containing Cu 2+ is treated with scrap iron or H2.