All problems except the followings
Chapter 2
•45, 46, 48-52, 58, 63-65, 71
Chapter 3
•After 50
Introduction to Fluid Mechanics
Chapter 4
Basic Equations in Integral Form
for a Control Volume
Main Topics
1. Basic Laws for a System
2. Relation of System Derivatives
to the Control Volume Formulation
3. Conservation of Mass
4. Momentum Equation for
Inertial Control Volume
5. Momentum Equation for Inertial Control
Volume with Rectilinear Acceleration
6. The Angular-Momentum Principle
7. The First Law of Thermodynamics
8. The Second Law of Thermodynamics
Relation of System Derivatives to the
Control Volume Formulation
• Extensive and Intensive Properties
Eq 1
Relation of System Derivatives to the Control Volume
Formulation
Relation of System Derivatives to the
Control Volume Formulation
• Reynolds Transport Theorem
Eq 2
Physical Interpretation ??
is the rate of change of the system extensive property N. For example,
if N= , we obtain the rate of change of momentum
is the rate of change of the amount of property N in the control
volume. The term computes the instantaneous value
of N in the control volume ( is the instantaneous mass in
the control volume). For example, if then and
computes
the instantaneous amount of momentum in the control volume.
is the rate at which property N is exiting the surface of the control
volume. computes the rate of mass transfer leaving
across control surface area element ; multiplying by η computes
the rate of flux of property N across the element; and integrating
therefore computes the net flux of N out of the control volume. For
example, if N= , then η = and
computes the net
flux of momentum out of the control volume.
Relation of System Derivatives to the
Control Volume Formulation
• Interpreting the Scalar Product
Conservation of Mass
• Basic Law, and Transport Theorem
Conservation of Mass (continuity
equation)
Conservation of Mass
• Incompressible Fluids
Steady, Compressible Flow
Momentum Equation for
Inertial Control Volume
• Basic Law, and Transport Theorem
Momentum Equation for
Inertial (homogeneous motion, no
acceleration) Control Volume
• Special Case: Control Volume Moving with
Constant Velocity
xyz →coordinate system of control volume
Velocity must be measured with respect to controlled volume
Momentum Equation for
Inertial Control Volume
u,v, w are only the scalar components, no sign involved
Assumptions: 1) Incompressible flow 2) Uniform flow
For the mass equation
For the y momentum
u
v
x
y
Basic equation: Continuity, and momentum flux in x direction
Assumptions: 1) Steady flow 2) Incompressible flow CV 3) Uniform
flow
For x momentum
Basic Laws for a System
• The First Law of Thermodynamics
the rate of heat transfer, Q, is positive
when heat is added to the system
from the surroundings; the rate of work,
W, is positive when work is done by the
system on its surroundings.
Eq 1
Eq 2
Eq 3
The First Law of Thermodynamics
• Basic Law, and Transport Theorem
From eq 1 and Reynold Transport Theorem
Eq 4
Work Involves
 Shaft Work
 Work by normal Stresses
at the Control Surface
 Work by Shear Stresses at
the Control Surface
 Other Work
Eq 5
Since the work out across the boundaries of the control volume is the
negative of the work done on the control volume, the total rate of work
out of the control volume due to normal stresses is
Work Done by Normal Stresses at the
Control Surface
work done on the
control volume
Eq 6
Work Done by Shear Stresses at the Control Surface
Eq 7
Control Volume Equation
From eq 1, 4, 5, 6,7
Rearranging this equation, we obtain
Since ρ=1/ν, where ν is specific volume, then
Eq 8
The First Law of Thermodynamics
From and Eq 8
h
Example 4.16, 4.17
Assumptions: 1) Adiabatic
2) No work
3) Neglect KE
4) Uniform properties at exit
5) Ideal gas
Continuity eq
First Law of Thermodynamics for a CV
From continuity
From the 1st law
For air
Hence
The Second Law of Thermodynamics
dA
A
Q
CS T
AdV
CS
sd
CV
s
t






∫≥








⋅∫+∀∫
∂
∂ 1
ρρ
.
At time t0
eq1
eq2
eq3
From 1, 2 ,3
The Second Law of Thermodynamics
Rate of change of
total entropy with in
control volm
Total entropy transferring
through the surface area
of control volm
Total (local heat
transfer per unit
area into the
control volm
through
surface/local
temperature)
Momentum Equation for Inertial Control Volume
• Special Case: Bernoulli Equation
1. Steady Flow
2. No Friction
3. Flow Along a Streamline
4. Incompressible Flow
A
B
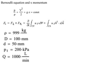
Bernoulli equation and x momentum
Applying Bernoulli between inlet and throat
Applying the horizontal component of momentum
The Angular-Momentum Principle
• Basic Law, and Transport Theorem
From Transport Theorem
The Angular-Momentum Principle
all the torques
that act on the
control volume. rate of change of angular momentum
within the control volume + the net rate of
flux of angular momentum from the
control volume.

fluid mechanics

  • 1.
    All problems exceptthe followings Chapter 2 •45, 46, 48-52, 58, 63-65, 71 Chapter 3 •After 50
  • 2.
    Introduction to FluidMechanics Chapter 4 Basic Equations in Integral Form for a Control Volume
  • 3.
    Main Topics 1. BasicLaws for a System 2. Relation of System Derivatives to the Control Volume Formulation 3. Conservation of Mass 4. Momentum Equation for Inertial Control Volume 5. Momentum Equation for Inertial Control Volume with Rectilinear Acceleration 6. The Angular-Momentum Principle 7. The First Law of Thermodynamics 8. The Second Law of Thermodynamics
  • 4.
    Relation of SystemDerivatives to the Control Volume Formulation • Extensive and Intensive Properties Eq 1
  • 5.
    Relation of SystemDerivatives to the Control Volume Formulation
  • 6.
    Relation of SystemDerivatives to the Control Volume Formulation • Reynolds Transport Theorem Eq 2 Physical Interpretation ??
  • 7.
    is the rateof change of the system extensive property N. For example, if N= , we obtain the rate of change of momentum is the rate of change of the amount of property N in the control volume. The term computes the instantaneous value of N in the control volume ( is the instantaneous mass in the control volume). For example, if then and computes the instantaneous amount of momentum in the control volume. is the rate at which property N is exiting the surface of the control volume. computes the rate of mass transfer leaving across control surface area element ; multiplying by η computes the rate of flux of property N across the element; and integrating therefore computes the net flux of N out of the control volume. For example, if N= , then η = and computes the net flux of momentum out of the control volume.
  • 8.
    Relation of SystemDerivatives to the Control Volume Formulation • Interpreting the Scalar Product
  • 9.
    Conservation of Mass •Basic Law, and Transport Theorem
  • 10.
    Conservation of Mass(continuity equation)
  • 11.
    Conservation of Mass •Incompressible Fluids Steady, Compressible Flow
  • 12.
    Momentum Equation for InertialControl Volume • Basic Law, and Transport Theorem
  • 13.
    Momentum Equation for Inertial(homogeneous motion, no acceleration) Control Volume • Special Case: Control Volume Moving with Constant Velocity xyz →coordinate system of control volume Velocity must be measured with respect to controlled volume
  • 14.
    Momentum Equation for InertialControl Volume u,v, w are only the scalar components, no sign involved
  • 16.
    Assumptions: 1) Incompressibleflow 2) Uniform flow For the mass equation
  • 17.
    For the ymomentum u v x y
  • 19.
    Basic equation: Continuity,and momentum flux in x direction Assumptions: 1) Steady flow 2) Incompressible flow CV 3) Uniform flow
  • 20.
  • 22.
    Basic Laws fora System • The First Law of Thermodynamics the rate of heat transfer, Q, is positive when heat is added to the system from the surroundings; the rate of work, W, is positive when work is done by the system on its surroundings. Eq 1 Eq 2 Eq 3
  • 23.
    The First Lawof Thermodynamics • Basic Law, and Transport Theorem From eq 1 and Reynold Transport Theorem Eq 4
  • 24.
    Work Involves  ShaftWork  Work by normal Stresses at the Control Surface  Work by Shear Stresses at the Control Surface  Other Work Eq 5
  • 25.
    Since the workout across the boundaries of the control volume is the negative of the work done on the control volume, the total rate of work out of the control volume due to normal stresses is Work Done by Normal Stresses at the Control Surface work done on the control volume Eq 6
  • 26.
    Work Done byShear Stresses at the Control Surface Eq 7
  • 27.
    Control Volume Equation Fromeq 1, 4, 5, 6,7 Rearranging this equation, we obtain Since ρ=1/ν, where ν is specific volume, then Eq 8
  • 28.
    The First Lawof Thermodynamics From and Eq 8 h Example 4.16, 4.17
  • 30.
    Assumptions: 1) Adiabatic 2)No work 3) Neglect KE 4) Uniform properties at exit 5) Ideal gas Continuity eq First Law of Thermodynamics for a CV
  • 31.
    From continuity From the1st law For air
  • 32.
  • 33.
    The Second Lawof Thermodynamics dA A Q CS T AdV CS sd CV s t       ∫≥         ⋅∫+∀∫ ∂ ∂ 1 ρρ . At time t0 eq1 eq2 eq3 From 1, 2 ,3
  • 34.
    The Second Lawof Thermodynamics Rate of change of total entropy with in control volm Total entropy transferring through the surface area of control volm Total (local heat transfer per unit area into the control volm through surface/local temperature)
  • 35.
    Momentum Equation forInertial Control Volume • Special Case: Bernoulli Equation 1. Steady Flow 2. No Friction 3. Flow Along a Streamline 4. Incompressible Flow A B
  • 37.
  • 38.
  • 39.
    Applying the horizontalcomponent of momentum
  • 40.
    The Angular-Momentum Principle •Basic Law, and Transport Theorem From Transport Theorem
  • 41.
    The Angular-Momentum Principle allthe torques that act on the control volume. rate of change of angular momentum within the control volume + the net rate of flux of angular momentum from the control volume.