Contents
1. Summary................................................................................................................................5
2. Introduction ............................................................................................................................6
2.1 Objectives ........................................................................................................................6
2.2 Given Data .......................................................................................................................7
3. PETROLEUM GEOSCIENCE ...........................................................................................8
3.1 Location of the Field....................................................................................................8
3.2 Reservoir Properties ......................................................................................................10
3.2.1 Structural Properties ...............................................................................................10
3.2.2 Petrophysical Properties .........................................................................................11
Table 3: Reservoir conditions are given as follows .........................................................12
3.2.3 Real Field Example - Brent Field, Northern North Sea, UK ...................................13
3.2.3 Deposition Environment - Stratigraphy & Facies of the field..................................15
3.5 Petroleum System.....................................................................................................19
3.5.1 Reservoir Rocks......................................................................................................19
3.5.2 Source Rocks..........................................................................................................19
3.5.3 Traps & Seal Potential ............................................................................................20
3.6 Limitations and Risks Associated With the Field......................................................20
4. Reservoir Modelling and Simulation....................................................................................21
4.1 Static Model Construction .........................................................................................21
4.2 Dynamic Model Construction ....................................................................................23
4.2.1 Fluid Model the Field...............................................................................................26
4.2.2 Petrophysical properties of the rock .......................................................................27
4.2.3 Aquifer Support .......................................................................................................30
4.3 Distribution of the Properties .........................................................................................31
4.4 Production profiles ...................................................................................................34
4.5 Wells..........................................................................................................................36
4.5.1 Well Numbers and Production Strategy .....................................................................36
4.5.2 Well Location and Type ..............................................................................................37
4.6 SENSITIVITY ANALYSIS..........................................................................................37
4.6.1 Transmissibility........................................................................................................37
5. Drilling and Well Completion ...............................................................................................38
5.1 Drilling facilities ..............................................................................................................38
5.2 Drilling Planning and well completion............................................................................39
5.3 Well Location.............................................................................................................40
5.4 Casing and Tubing Designing...................................................................................41
5.4.1 Tubing Calculation.................................................................................................45
5.4.2 Casing Calculation.................................................................................................45
5.4.2.1 Conductor Casing Section.................................................................................47
5.4.2.2 Surface Casing Section .....................................................................................49
5.4.2.3 Intermediate 1 Casing Section ..........................................................................50
5.4.2.4 Intermediate 2 Casing Section ..........................................................................51
5.4.2.5 Production Casing Section ................................................................................52
5.5 Drilling Fluids..................................................................................................................54
5.5.1 Drilling Fluids for Conductor casing Section ..............................................................55
5.5.2 Drilling Fluids for Surface casing Section...................................................................55
5.5.3 Drilling Fluids for Intermediate 1 casing Section........................................................56
5.5.4 Drilling Fluids for Intermediate 2 casing Section........................................................56
5.5.5 Drilling Fluids for Production casing Section..............................................................56
6. Well Production Optimisation ..............................................................................................57
6.1 Well Modelling (PROSPER)......................................................................................57
6.1.1 Well Deliverability....................................................................................................57
6.2 Inflow Performance Relation (IPR) Curve ................................................................58
6.3 Optimum Well Flow Rate...............................................................................................59
6.4 Sensitivity Analysis....................................................................................................60
6.4.1 Sensitivity Analysis on Reservoir Pressure......................................................60
6.4.2 Sensitivity Analysis on Gas Oil ratio..................................................................61
6.4.3 Sensitivity Analysis on water cut .......................................................................62
6.5 GAP Model ................................................................................................................63
7. Surface Production Facilities...............................................................................................63
7.1 Production Fluid Separation Operations..................................................................64
7.2 Oil Treatment.............................................................................................................65
7.3 Gas Treatment ..........................................................................................................65
7.4 Water Treatment .......................................................................................................65
7.5 HYSYS Simulation ....................................................................................................66
7.6.1 Base Case...............................................................................................................68
7.6.2 Mass balance ..........................................................................................................69
8. Economics ...........................................................................................................................72
8.1 Financial System.......................................................................................................72
8.2 Production Forecast ..................................................................................................72
8.3 Capital Expenditure (CAPEX)........................................................................................74
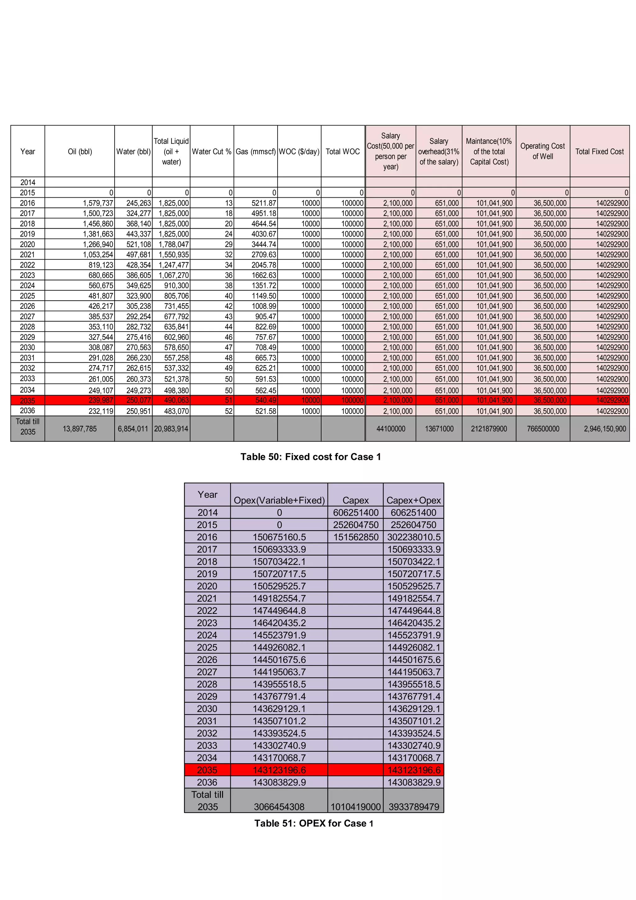
8.4 Operating Expenditure (OPEX).................................................................................76
8.5 Revenue and Cash Flow...........................................................................................78
8.6 Net Present Value (NPV) ...........................................................................................80
8.7 Payback......................................................................................................................82
8.8 Internal Rate of Return...............................................................................................83
8.9Sensitivity Analysis......................................................................................................84
87
8.9.1 Economic Justification.............................................................................................87
9. Health, Safety and Environment Impact .............................................................................87
9.1 Health and Safety Overview .....................................................................................87
9.2 Drill Cuttings Disposal....................................................................................................88
9.3 Containment of Spills of Contaminated Fluids..........................................................88
9.4 Environmental Conservation.....................................................................................90
9.4.2 Emissions Control ...................................................................................................90
10. Abandonment/Decommissioning..................................................................................90
10.1 Environment Impact Mitigation ....................................................................................90
11.References .........................................................................................................................91
12. Appendix............................................................................................................................93
13. Minutes of Meeting Group 06 for Field Development .......................................................98
1. Summary
The aim of this project was to evaluate and propose the best development plan for the given
simulated field by managing and optimizing a shallow oilfield that is located Offshore using
the given data. A 3D static model for the simulated oilfield was given for the purpose of
interpretation and based on that interpretation the best plan is chosen keeping in mind all
the pros and cons necessary in the development of an oilfield. The location of the field was
concluded keeping in mind all the geological structures from the given data such has folding
and faulting that was seen on the model created using the Petrel suite and also using the
given petrophysical properties like porosity, permeability and net to gross values.
Considering all these given properties, the North Sea was chosen as the location of the field
and the real field example was chosen as Brent Oil Field. The formations that are playing
active in producing and containing the hydrocarbons in the area are all the formations
present in the Brent Group. There are excessive geological structures present in the
formations of the Brent Group like tilted heavy faulting which is due to the deposition of the
sandstone formation in the early Jurassic age and creating of the North Viking Graben. The
model created in petrel is therefore considered to have a major lithology of sandstone, of
the Brent Group the depositional environment for the field is therefore understood to be a
combination of several energy fronts of a northward prograding marine delta fan. The
Kimmeridge is an important formation to discuss as it holds the major portion of the trapped
hydrocarbons in the Brent area. The Shales present in this formation are acting as a source
rock for the emergence of the petroleum system as overall and the tilted faults blocks are
holding and acting as an impermeable layer to stop the further movement of these
hydrocarbons. Considering the maximum, minimum and mean values for the porosity,
permeability and net to gross, the petrophysical properties for all the points for the given
simulated field were interpreted which shows that the field has a high potential to act as a
good reservoir along with the given major faults. Form the interpretation of the given model
using all the provided data and software suites the volume of oil was predicted as 373
MMSTB within the reservoir, furthermore deeper testing is recommended by all the team
members in order to obtain the total volume of the recoverable oil reserves due to the
uncertainty and compartmentalisation of the reservoir which is mainly due to the presence
of excessive folding and faulting.
At the end of the PETREL reservoir simulation, the oil and gas in place were estimated to be
373E6 STB and 153949 MSCF respectively. At the end of 20 years, 30% of the oil will have
been recovered. Sensitivity analysis was carried out on the transmissibility factor to really
ascertain the nature of the fault. After production, HYSYS simulation software was used to
perform simulation on how the produced fluids will be separated and treated before
exporting them, so as to meet the specifications for metering and or export.
A fixed steel jacketed platform was selected after taking into account all economic and
technical constraints and the depth of sea water, casing will have two section of
intermediate and production casing in order to reach depth of 6600 ft. Drill string and mud
fluids used were designed in a such a way that to avoid burst and collapse of wellbore.
PROSPER is used to check effect of water cut, gas oil ratio and pressure on production of
oilfield. Sensitivity analysis is carried out on these factors. Also gap was used to calculate
total production per day of the oil field, pressure and temperature at the surface separator.
Some few development plans were considered for the development of oil Field by compare
their recovery factors. Finally, to develop the oil field with 8 vertical producer wells and two
injections well was chosen. This is due to positive outcomes of important factors such as
NPV, IRR, and payback period etc.
2. Introduction
2.1 Objectives
The purpose of this group project is to make a full comprehensive field development plan
which will include all the previous knowledge of geology and geophysics for the
interpretation and information about the location of the reservoir and its properties, the
concepts of drilling and production engineering, the overall economics of the project and the
best outcome plan for the project.
To use different process and steps in Petrel (RE - G&G), PROSPER, GAP and HYSYS according
to the required information to devise a field strategy development plan for the hydrocarbon
field, to conclude the geological settings for the development and to include an economic
analysis with reference to environmental conditions.
To get the information about the hydrocarbons in place, the surface facilities that will be
required for the processing of the crude produced, the cost of development of the field and
also if required what will the required facilities costs. To obtain the highest production rate
and recovery factor with the minimum cost for the processing and extraction for the
hydrocarbons. Staying within the limited values assigned for the project like for instance
water cut. To achieve the required and planned production rate from each well for the
number of years using the best recovery method available after investigating the reservoir
properties and to keep the cost for the project to minimum.
The given field that is a three dimensional model for an unspecified reservoir with an
unknown location requires interpretation for the development and expansion of the field. To
define the location of the field, we use the regional geological data and based on this data
we compared it with the real field example. With the help of regional structural geology and
knowing that the field is offshore and in the North Sea all the nearby field were considered in
defining the simulated field with the real field. Using these strategies any uncertainties that
may are involved in the identification of the location of the simulated field and any
conclusion before moving on the next stages in the field development.
Other objective was to use the given number of wells including production and injectors by
considering the overall economies of the field and on bases of that to identify if vertical wells
are sufficient or horizontal wells are also to be considered. Produce the production profile
for the optimum well configuration with respect to the given recovery factor, this could be
achieve keeping the constraints agreed by the Exploration & Production Oil & Gas Company.
For the reservoir analysis the IMP suite should be used mainly GAP & PROSPER whereas for
handling, processing and exportation of the hydrocarbons produced will selected using
HYSYS.
The final objective of the report includes the overall economic strategy for the development
of the simulated field by determining the best option for the recovery factor without
compromising the important equipment’s that are required for the development of the field
to maximize the profits for the company. For this part of the report the Microsoft Excel suite
will be used to show the results and suggest the best feasible strategy for the development
of the simulated field.
2.2 Given Data
The simulated field comprises of a static reservoir model with the grid size of 21x52x10 grid
cells yielding a total of 10920 active cells which are to be build based on the given
parameters for certain formations and fluid parameters using the Petrel suite. The purpose
for using this suite is to obtain the total volume of the hydrocarbons in place. Other
parameters like porosity, permeability and Net to gross are also given which are included in
the relevant part of this report in terms of tables and figures. Rock compaction, reservoir
properties, and fluid properties were also given.
For the field development the relevant data was given including the number of producer
wells that are capped at 10 and there with the maximum two injector wells to be used in
order to achieve the target production for the simulated field. The maximum production
capacity of each well is given as 5000 STB/day.
For economics the given data includes the sales price for oil to be USD$75/barrel and water
treatment is $4.3/barrel. The cost of drilling a well is USD$29 million with operational cost
per day for each well forecasted is USD$10,000/day.
3. PETROLEUM GEOSCIENCE
3.1 Location of the Field
The location of the given field is in the Northern North Sea that is the Viking Graben
Provence with the near juxtaposition to the Shetland Isles in the UK. Other nearby fields that
are prominent includes the Don Field and Thistle Field. According to the excessive faulting
that can be seen in the area under study, all this structural activity had been taken place in
the late Jurassic period beneath the formation of Viking Graben which is among the three
rifts that are linked in the North Sea region that was formed with in this period. Moreover
few factors were also considered in defining the location of the field that is the matching API
gravity of 38° of the given field with the Brent crude and also the resemblance of regional
geological data available.
Figure 1: showing the location and regional geological setting of the simulated field
Figure 1 (A) shows the timing of major structural events with respect to deposition of the
Brent Group. Figure 1(B) shows the regional setting of the simulated field and the position of
above lying Triassic rift basins and major faults that were active in the deposition of the
Brent deposition. Figure 1(C) shows the area of the Brent Group in the present day faults and
well locations on Brent top depth map.
Figure 2: showing the normal and thrust faulting in the North Sea
The above figure shows the series of normal and reverse-thrust faulting in the area of
northern Sea UK in which the simulated field is present and also shows the geological
differences and boundaries with in the area. Considering the development and analysing the
model we created using Petrel of the simulated field, there were few assumptions made in
order to define the reservoir geology which includes mainly lithology. Keeping in mind all the
given background information about the simulated field which includes that the field was
developed in the shallow marine environment (discussed with more detail in depositional
environment section). When interpreting the model in Petrel, the main feather seen to
identify is the substantial faulting which is primarily normal faulting which means that
hanging wall has moved in the downwards direction with respect to the footwall of the fault.
There are three major faults that can be seen on the model that are intersecting parallel to
one and other in the NW-SE direction. The largest fault intersects across the full length of the
given model. Due to three major faults and number of minor faults and considering the
geological structure and history of the Northern North Sea it is certain that the area has
horst and graben structure which means that there are number of normal and
reverse/thrust faults on small scale besides these three major faults in the area of interest.
Figure 3: Top surface grid with horizons showing three major faults
3.2 Reservoir Properties
3.2.1 Structural Properties
The reservoir produced from the available data set is a heterogeneous reservoir and has an
elongated shape in the N-S direction. The reservoir is divided into two zones which give a
better understanding of the presence of major faults present. There are three major faults
among which two are elongated in SE-NW direction (South Trending) and one in N-S
direction (North Trending) with an aquifer in the north side. There are number of folding
structures also present and some of the extensive folding and fracturing is also present along
the fault boundary which suggests that these faults can be strike slip faults. The huge
amount of folding present along the faults is in both north and south of the reservoir. The
two zones of the reservoir! That is the upper and lower zone, both contrasts with depth and
horizontal extension of the formations forming the reservoir. A pinch out structure can also
be seen in the very upper most part of the reservoir where the formations extension is
ended in a point shape south direction. The maximum depth of the reservoir is (6500ft –
6600ft) & 400ft (depth of the offshore water).
3.2.2 Petrophysical Properties
The porosity and permeability values show the heterogeneity as the reservoir itself. The
values of porosity are between 2-37 % and the values of permeability lies between 50-
700mD with the mean value of 21% & 350mD for both porosity and permeability
respectively. As it can be seen from the reservoir that the values for the porosity and
permeability are higher where the contours are closing in the figure. The close values for the
contours on the figure shows the elevated are inside the reservoir and where the values are
high contours are far apart from each other which show the low values for porosity and
permeability. The two major faults that are both SE-NW originates from the area in the
reservoir where the values of porosity and permeability are lower than the surrounding. But
both of these faults terminate in the high porosity & permeability zone. The area where the
faults are present in the reservoir has surely provided a restriction to the flow for the
hydrocarbon and therefore the value of transmissibility in there is lesser then unity and by
this fact it’s obvious that the trapping here is due to structural. All the traps are structural so
there is excessive series of folding and faulting in the area and this also suggests that there
can also be major chances for the horst and graben structures (series of normal and thrust
faulting) to be present. The water-oil contact is present at the depth of 6660ft and the API
value for oil is 38 which mean that this crude oil lies between the categories of light crude
oil.
Figure 4:surfaces shows High and low porosity and permeability area.
Table 1: Data for porosity, Permeability and Net to Gross
Table 2: Reservoir fluid properties are given as follows
Table 3: Reservoir conditions are given as follows
3.2.3 Real Field Example - Brent Field, Northern North Sea, UK
Figure 5: showing the Brent Field location and its summary
After careful discussions between all the team members of our group and considering all the
available data provided for the simulated field including all the petrophysical properties like
porosity, permeability, transmissibility and also the geoscience related terms such as folding,
faulting and structure of the reservoir under study plus the petroleum engineering terms as
the values of API gravity and geographical location of the field that is North sea, Offshore
have resulted that the Brent Field in the north sea, is a probable real example for this given
simulated field. According the table below the values provided in the given data suggests
that given simulated field lies probably in the point III in the table which is the top of Ness
formation and base of Tarbert formation. So in conclusion and considering all the above
mentioned factors the Brent Field has been chosen as a practical field example to study this
simulated field in more detail
Figure 6: Comparison of the geological features between the Real Field Example and Model
Figure 7:
Comparis
on of
Petrophys
ical
properties
of the
Real Field
with the
Simulated
Field
3.2.3 Deposition Environment - Stratigraphy & Facies of the field
Economically, the Brent Group is geologically the most active succession in the North Sea.
Most of the hydrocarbon reserves lie in the Middle Jurassic sandstones of this group which
are mainly trapped mainly due to extensive folding and faulting in the area. After excusive
research work done by (Brown et al. 1987; Graue et al. 1987) the Brent Group has been refer
to as regressive- transgression wedge. The Northward prograding regressive part is usually
considered as the following formation that are Broom, Rannoch, Etive and Ness (Probably
Lower Ness) and the succeeding Ness formation and Tarbert formation has been deposited
during retreat of the system in rise of the relative sea level during that time.
Figure 8: Sequence Stratigraphy of the Brent Group with respect to all formations
The above figure shows the lateral extension of the Brent Group in the southwest-northeast
direction, showing the different formations present in the Brent Group and their possible
interpretation
Figure 9: Reservoir distribution on the surface generated on Petrel Suite
The Brent Group consists of five formations which are Broom, Rannoch, Etive, Ness and
Tarbert Formation. On the upper boundary the Oseberg formation is defined as the part of
Brent Group, furthermore the upper boundary is the Heather formation which consists of
mudstones of the Viking Group that are forming the regional seal for this group. The lower
boundary is mainly silts and mudstones of the Dunlin Group. The recognizable regional
location of the Brent Group originates from within the East Shetland Platform and the
northern part of the Horda Platform. At south of the Frigg area, the comparable
stratigraphical sequence of the Brent Group are termed as Vestland Group. In the north the
deltaic rocks of the Brent shale’s are the marine mudstones. There is a considerable variation
in the group’s thickness which is due to unconformable subsidence and late to middle
Jurassic faulting and erosion, this effect of erosion can be seen as near the crests of the
rotating fault block there is areas of no deposition at all. The depositional environment of
the Brent Group shows the major deltaic sequence in the south direction and the
subsequent back stepping or backward movement retreat. In the east it consists of mainly
sandstones which have number of fan shaped sand bodies – units that have relatively good
values of porosity and permeability to act as a potential reservoir. The sandstones were
deposited in shallow marine environment in the lower part of the Brent Group which is
overlain by alluvial sands.
Figure 10: showing sequence stratigraphy of Brent Group
The Broom Formation lithology is cracked and developed locally. Consisting of shallow
marine, coarse-grained and poorly sorted conglomeratic sandstones and is a continuation for
the regressive sequence of the above Rannoch Formation.
The Rannoch Formation lithology is well-sorted very fine sandstones which show a
coarsening upwards sequence that was deposited in deltaic environment in front of
shoreface sands. The upper boundary is identified by much finer sandstones of the above
lying Etive Formation. The thickness of the Rannoch Formation varies from 30 and 65 m.
The Etive Formation lithology contains less fine sandstones than the underlying Rannoch
Formation. The upper boundary is significantly shale and coal of the above lying Ness
Formation. The depositional environment for the Etive Formation is interpreted as upper
shoreface and can be termed as channel deposits. The thickness for this formation varies
extensively from 10 m to more than 55 m.The Ness Formation lithology consists of mixture
of coals, mudstones, siltstones and fine to medium sandstones. Consists of numerous rootlet
horizons and have a high carbonaceous content present within the formation. The upper
boundary varies from massive to cleaner sandstones of the above lying Tarbert Formation.
The formation is interpreted to have an environment of deposition as deltaic plain or coastal
plain. Siltstone and mudstone present in this formation are acting as a potential seal to the
major reservoirs. The Ness Formation has thickness variations ranging from 25 m to 145 m.
The Tarbert Formation lithology consists of dark grey to light brown sandstones. The base of
the formation is taken at the top of the last fining upward unit of the Ness Formation, which
are either coal shale’s or a coal beds. The environment of deposition for the Tarbert
Formation is marine, mainly marginal marine and the thickness for the formation lies in the
range between 12 m to 50 m.
Figure 11: Depth variations of the Mid Jurassic compared with the elevation depth from the model
The Brent Group is located at a wide range of depths this is due to the Upper Jurassic
faulting, uplifting of the blocks resulting in horst and graben structures throughout the area
and also due to the differential subsidence. The above figure shows the variations in depth
for the Brent Group which is also compared with the simulated field produced using Petrel,
varying from 1500 m on one nearby field to more than 3500 m on the other nearby field so
as a result there are lots of complex distribution in this area for the values of porosity and
permeability.
3.5 Petroleum System
Having good production development, the sediments of Brent group have gained excessive
significance in the province. There were more than nine major fields in the Brent Group in
1973 and due to this rapid production rate the province was considered as the 13th
largest
petroleum production province in the world by 1980. Regarding the petroleum system of the
field there are still researches going on regarding the exact time of deposition of strata,
structural evolution, sedimentation, and variation in grain size, compaction and cementation
and also the presence of unconformity. There are also vast variations in the values of
porosity and permeability, which plays and important role in recoverable reserves.
3.5.1 Reservoir Rocks
The Brent Field lies in the East Shetland Basin in the North Sea which includes the tilted fault
blocks that are playing an important role holding the Brent formation besides the boundary
faults. The formation allow the migration from the deeper side by side areas where the
Kimmeridge clay formation becomes fully mature and enrich of hydrocarbons. Due to
number of folding and faulting in this area and also due to juxtaposition of the sand units the
reservoir of this field, the reservoir geology is complex to understand. The back thrust faults
that originate from the reserves faults are the main reason for this juxtaposition of the sand
units in the reservoir. The stratigraphy of the reservoir indicates that the deposition of the
sediments was in a shallow marine to coastal plain environment and the sediments where
deposited in the form of layers and formed beds, the finer grain sediments were deposited
first followed by the medium and then coarser. The complex variations in the values of
porosity and permeability are mainly due to the Bioturbation factor
3.5.2 Source Rocks
The two main source areas for hydrocarbons in the Brent Fields include the Viking Graben
and the East Shetland Basin. As discussed in reservoir rock section that Kimmeridge
formation once matured to become enrich in terms of hydrocarbons so the dominant oil
source rock is the Kimmeridge Clay Formation. Furthermore the coals from the Brent and the
Heather formation also have the potential to act as a source rock in this field. Thickness of
Kimmeridge is nearly 480 m in the East Shetland Basin and its more than 1000 m thick in the
North Viking Graben. The TOC (total organic carbon) is 5.6 percent to a maximum of 12
percent in the East Shetland Basin and the kyrogen is of type II in majority. One of the most
distinguishing features present in this formation is the presence of fossils.
3.5.3 Traps & Seal Potential
Due to the tilted block faulting and number of normal and back thrust faulting which
resulted into horst and graben structure all over the Brent Field the Statfjord formation and
Brent Group reservoirs have fault bounded, monoclonal structure, dipping 8 degrees to the
west with the truncation in the form of unconformity and traps. The juxtaposition of the
faults of lower Cretaceous mudstones, and these mudstones and marls are also acting as a
seal in this field. The unconformity also plays a critical role and acts as a trapping mechanism
for this field.
Comparing to the other nearby fields in this area the Brent Field structure is much simpler
and is a closure structure (lateral closure) that is provided by an impermeable juxtaposition
of faults in the East West to North West direction. Trap was formed in the Mid Cretaceous
age before the migration of oil in the structure in the Eocene age.
3.6 Limitations and Risks Associated With the Field
There are number of limitations associated with the development of the field. For the Petrel
model as there was no seismic data given and also for the well logs, so it was difficult to
exactly know the location of the field and to achieve the detailed information about the total
number of faults and there orientation. Making the faults on the model using the Petrel suite
was also individual dependent and can vary from geoscientist to geoscientist. So there are
chances for the misinterpretation of the data given. As the location of the field was offshore
and considering the values for petrophysical properties the location of the field was chosen
and then the simulated field was compared with the real field example and then the area
was identified with lot of folding and faulting usually tiled fault blocks and geological
structures like horst and graben.
With the number of excessive faulting in the area, imprecisions in forecasting the production
rates and recoverable reserves is a limitation, with the interconnectivity between fault
blocks unknown which means there is no link between the faults hydraulics. Furthermore
which fault blocked moved and acted as an impermeable layer to resist the further flow of
the hydrocarbons is also a limitation of the project. The Petrel model helps to give the fault
probable location, but gives a little info into regarding the faults that either they are sealing
or active by which the permeability across the faults is also a limitation, conducting deeper
analysis is a must do approach in order to understand the reservoir characteristics in more
detail.
As with all model elements the results can never be considered as absolute accurate but
transmissibility analysis may be carried out in order to overcome these limitations or by
doing it an estimate can be made for these limitations. With the help of seismic section that
has been done on the field prior to the development of the field, the breaks in the seismic
reflections on each line are referred to as an area where there is a fault present. So as a
result of these variations in the values of velocity, amplitude and acoustic impedance
confirms the exact location of the faults which later by further analysis can also give
information about the transmissibility of the faults present in the area of interest.
Furthermore fractures and small faults are often not covered by the seismic entirely so
deeper studies are required for understanding the reservoir characteristics in more detail.
With this level of uncertainty due to the geoscience, the development of the field may be
considered as a potential risk with potentially limited recoverable reserves due to the Field
compartmentalisation. Even without consideration of the geology, there will be an essential
inaccuracy due to nature of using models, as models are based on assumptions used to
interpose. Contrariwise, excessive faulting may also advance the production opportunities of
the field as faulting can also increase the permeability of the reservoir, providing links
through fractures of lowered resistance for the channel of hydrocarbons. By accompanying
additional well tests on the Field more statistics can be gather round about the effective
volume of the reservoir.
4. Reservoir Modelling and Simulation
4.1 Static Model Construction
In order to construction the static model of our oil field, we have to show the structure of
the field by construct a grid model from the given properties.. For this project, our team
were already given the seismic and exploration data as shown in Figure below. The static
model consist of 3256 active cells with dimensions of 21 x 52 x 10 cells in the X, Y and Z
directions respectively. The model also includes some faults which were not juxtaposing in
nature. Figure12 and 13 shows the static model with horizons and layers
Figure 12: Static model
Figure 13: Static model with horizons
Figure 14 final simulated field
4.2 Dynamic Model Construction
.
Figures 15, 16 and 17 shows the three best cases are which are viable on the given
conditions. Figure 15 shows the development strategy with one lateral well but it got risk
involved in it i.e. uncertainty to fault extension. Hence in future well test can be performed
and lateral well can be drilled. Figure 16 and 17 show the development strategy with 8
producers and 2 injectors, both the cases are viable but the best amount of oil is
recovered by the case which is shown in figure 17. Hence the case shown in figure in 17
was chosen
Figure 15: Case with lateral well
Figure 16: case with 8 producers and 2 injectors
Figure 17: Top Surface with wells (The chosen case)
4.2.1 Fluid Model the Field
A “black oil” model with three phases ( oil, gas and water ) were used to construct the fluid
model. The summary of the fluid properties that were used to create the fluid model are
shown in the table 4 below .After that we generated a graph of oil formation volume factor
versus pressure by PETREL is shown in figure 18 below.
Properties Value
Reference Pressure 3950 psi
Maximum pressure 5076 psi
Minimum Pressure 1160 psi
Bubble point pressure 1800 psi
Reservoir temperature 170
Gas gravity 0.6636 sg air
Gas- Oil ratio 412.4 SCF/STB
Oil gravity 38° API
Water salinity 30000 ppm
Water compressibility 1e-5 1/psi
Datum depth 6660
Water formation volume factor 2e9 ft3
Table 4: summary of the fluid properties
Figure 18: Oil Formation volume factor versus pressure
4.2.2 Petrophysical properties of the rock
Water and oil saturation, relative permeability, capillary pressure etc. are some of the
physical properties of the rock in our oil field. The relation between relative permeability
with for oil-water and gas are shown in the Figures 19 and 120 respectively.
Table 5: Oil-Water Relative Permeability
Sw Krw Kro
0.21 0 0.9
0.23 0 0.8101
0.3 0.0002 0.5427
0.37 0.0031 0.3417
0.44 0.0158 0.1978
0.51 0.05 0.1013
0.58 0.1221 0.0427
0.65 0.2531 0.0127
0.72 0.4689 0.0016
0.79 0.8 0
1 1 0
Table 6: Gas-Oil Relative Permeabilities
Sg Krg Kro
0 0 0.9
0.05 0 0.6867
0.1163 0 0.4601
0.1825 0.0002 0.2897
0.2488 0.0022 0.1677
0.315 0.0125 0.0858
0.3813 0.0477 0.0362
0.4475 0.1424 0.0107
0.5312 0.359 0.0013
0.58 0.8 0
0.79 0.9 0
As the relative water saturation is one, which means that water is wetting phase and it
displaces oil forming it a non-wetting phase. As water displaces oil which means rock is
water wet, hence water flooding is a possible option.
Figure 28: oil water relative permeability
Figure 19: oil water relative permeability curve
Figure 20 : Rock pressure
Figure 21: Gas saturation
4.2.3 Aquifer Support
According to the aquifer data given in the project specification, an active aquifer was
connected at the north end of the Field to provide the reservoir with adequate pressure
maintenance. The aquifer provides pressure support to the reservoir from the edges. Table 7
below shows the given aquifer data as an initial estimate of the aquifer strength.
Datum
Volume 2e9 ft3
Compressibility 1e-5 1/psi
Productivity Index 50 STB/psi/day
Table 7: initial estimate of the aquifer strength.
The figure below shows a static model with aquifer and oil .
Figure 22: Static model with Aquifer
Aquifer
4.3 Distribution of the Properties
In order to be able to use the property model distribution function in PETREL, the seed
number of 3256 was given to use in our project. Property distribution is very important in
reservoir simulation because in reality, reservoirs are not homogenous, rather they are
heterogeneous.
Table 8 shows the data for porosity, permeability and net to gross distribution.
Properties Minimum Maximum Mean STD.Deviation Distribution
Porosity 0.0281 0.3759 0.215 0.0625 Normal
Permeability 50.414 700 350 250 Log-normal
Net to Gross 0.2304 0.79 0.4967 0.1309 Normal
Table 8: Property distribution data
Figures below shows a results obtained for the property distribution of the above mentioned
properties.
Figure 23: Static model with porosity distribution
Figure 24: Porosity distribution
Figure 25: Static model with Permeability distribution
Figure 26: Permeability distribution
Figure 27: Static model with Net to Gross distribution
Figure 28: Net to Gross distribution
4.4 Production profiles
The figure27 shows the production profile of the field for 20 years, which produced
maximum in the beginning with 8 producers and 2 injectors and gradually decreases by the
end of 20years and the total recovered oil in 20years was 30%. Figure28 shows the
production profile with water cut, at the beginning of the production. Water cut is less and
gradually water cut increases with the decrease in production, giving a water cut of 51% at
the end of 20years
Figure 29: oil production profile of the field
Figure 30: oil production and water cut
Figure31: water cut of field
Figure 32 shows the cumulative oil productions of field for 20years
Figure 32: cumulative oil productions
Figure 33 shows the oil production rate of each well in which new well 4 produces maximum
amount of oil
Figure 33: production profile of each well
4.5 Wells
4.5.1 Well Numbers and Production Strategy
Case Number of
wells
Types of Wells Project life
time in
years
Water
injection
Recovery
factor
1 8 8 vertical 20 Yes 30%
2 6 5 vertical & 1
horizontal
20 Yes 29%
3 8 8 vertical 20 Yes 27%
Table 9: strategies for production
For the given field different development strategies were applied and best three production
strategies were chosen out of it and all three fields are capable of production economically as
well. The best among the three is the first one with maximum recovery of 30%. In future a
well testing can be done to know the extension of the faults and a horizontal well can be
drilled as done in case 2. The case 1 gave best as the NPV value is more when compared
with other two cases. Hence case 1 was chosen
4.5.2 Well Location and Type
The best case among the three cases is case 1 with 8 producing and two injectors are shown
below. The parameters that were considered for selection of wells were the HCPV, STOOIP,
porosity and permeability. The injectors increased the overall recoverable oil by almost 5%.
Figure 33: well location of the field
4.6 SENSITIVITY ANALYSIS
4.6.1 Transmissibility
The transmissibility was carried on the best case and the following results were obtained.
With zero transmissibility i.e. no flow through faults or fault is sealed and the same sensitivity
was carried out with 0.175 and 0.35 and the difference in recovery factor is shown below
Transmissibility Recovery factor
0 30.77%
0.175 31.04%
0.35 31.08%
Table 10: Transmissibility sensitivity
5. Drilling and Well Completion
5.1 Drilling facilities
The only way to get hydrocarbon from the reservoir is to drill wells safely and economically
as possible and to make sure the health and safety regulation are well conducted.
The depth of the oil field reservoir and sea water (120 meter) for Oil field all together is 7260
ft and we are expecting the reservoir to be economically viable for 20 years. Due to the fact
that the oilfield is on offshore, we needed the production facilities to be resistant to sea
condition and very stable in bad weather. Hence we decided to use fixed steel platform even
if the capital cost is very high it’s very cost effective for long lifetime like 20 years and above
and also the ability to drill and complete wells from the platform, this gives possibility of
future intervention when needed. More advantage of using fixed steel platform are
• Stands on steel and concrete legs driven into the sea-bed.
• The structure consists of multiple steel decks above sea level.
• Platforms are manned (require accommodation) or unmanned.
• Fixed platforms are economic in water depths to 500m.
• Cost effective for long lifetime developments (greater than 20 years).
• can act as hubs or production centres for production from neighbouring satellite
fields.
• Wells can be drilled and completed from the platform.
• This gives accessibility to the wells for future intervention needs.
• Fixed platforms are resistant to sea conditions, very stable in bad weather.
.
Figure 35: Fixed steel platform
5.2 Drilling Planning and well completion
After taken into account multiple cases and under serious consideration with Petrel, we
decided to drill eight (8) vertical production wells and two (2) injection wells. This would give
good production recovery about 30% along with economically viable.
For well completion designing, we decided to use perforated casing completions after
considered factors including depth of the reservoir, volume of fluids to be produced, well
location, control of stimulation, pressure control, and wellbore stability. We will have two
sections of intermediate casing. All casing were cemented and finally perforated.
Figure 36: Perforated Casing
Perforated Production
casing
Packer
Tubing
5.3 Well Location
The locations where the wells will be drill mostly depend on the oil saturation of the area.
From the Petrel simulation, as the oil saturation is scattered within the reservoir, we decided
to drill eight production wells and two injection wells in the place where there is high oil
content. The area marked with faults is the place where there is high oil content, as we could
find it in the Petrel simulation model, wells location and direction are shown in the table 9
below,
Wells Wellhead X Wellhead Y MD TVD
Well 1 458218.00 6784656.00 6700.00 6700.00
Well 2 455990.74 6781777.76 6850.00 6850.00
New well 1 458090.44 6785138.13 6700.00 6700.00
New well 2 457489.50 6783018.41 6700.00 6700.00
New well 3 457189.50 6782439.12 6700.00 6700.00
New well 4 456430.18 6782404.50 6700.00 6700.00
New well 5 457794.67 6783946.07 6700.00 6700.00
New well 6 457443.23 6784057.55 6700.00 6700.00
Injector 1 458274.05 6783470.72 6950.00 6950.00
Injector 2 455506.22 6783115.88 6690.00 6690.00
Table 11: well locations and measurements
Figure 37: Well locations
5.4 Casing and Tubing Designing
For casing, we have to design a set of casing strings capable of withstanding a variety of
external and internal pressures, thermal loads and loads related to the self-weight of the
casing. These casing strings are subjected to time-dependent corrosion, wear and possibly
fatigue, which down rate their resistance to these loads during their service life.
As the reservoir depth increases, the pore and fracture pressure increases as shown in the
pressure gradient in graph 10 below, for this reason we must have different type of casing
and tube size. The tube and casing size reduced as the depth increases.
Depth (Ft)
Pore
Pressure
(psi)
Fracture
Pressure
(psi)
Density
Pore
(lb/gal)
Density
Fractur
e
(lb/gal)
Safety
Pore
+0.3
Safety
Fracture
-0.3
0 0 0 0.0 0.0 0 0
500 225 338 8.7 13.0 9.0 12.7
1000 450 676 8.7 13.0 9.0 12.7
1500 686 1014 8.8 13.0 9.1 12.7
2000 915 1248 8.8 12.0 9.1 11.7
2500 1170 1560 9.0 12.0 9.3 11.7
3000 1482 2184 9.5 14.0 9.8 13.7
3450 1973 2601 11.0 14.5 11.3 14.2
4000 2288 2912 11.0 14.0 11.3 13.7
4500 2691 3393 11.5 14.5 11.8 14.2
5000 3250 4420 12.5 17.0 12.8 16.7
5500 4290 4862 15.0 17.0 15.3 16.7
5800 4524 5730 15.0 19.0 15.3 18.7
6000 4680 5928 15.0 19.0 15.3 18.7
6100 4758 6027 15.0 19.0 15.3 18.7
6300 4259 5405 13.0 16.5 13.3 16.2
6500 4394 5408 13.0 16.0 13.3 15.7
6600 4462 5491 13.0 16.0 13.3 15.7
6700 4529 5574 13.0 16.0 13.3 15.7
6800 4597 5658 13.0 16.0 13.3 15.7
Table 12: pore and fracture pressure
The table below shows the relation between Pore, Fracture pressure with depth
Depth (Ft) Pore Pressure (psi) Fracture Pressure (psi)
0 0 0
6800 4597 5658
Table 13: pore and fracture pressure relation with Depth
Figure 38: Pore pressure Gradient
Figure 39: Fracture pressure Gradient
0
1000
2000
3000
4000
5000
6000
7000
8000
0 1000 2000 3000 4000 5000
Depth(ft)
Pore Pressure (psi)
Pore Pressure Gradient
Pore Pressure Gradient
0
1000
2000
3000
4000
5000
6000
7000
8000
0 2000 4000 6000
Depth(ft)
Fracture Pressure (psi)
Fracture Pressure Gradient
Fracture Pressure
Gradient
Figure 40: Pressure Gradient
0
1000
2000
3000
4000
5000
6000
7000
8000
0 1000 2000 3000 4000 5000 6000
Depth(ft)
Pressure (psi)
Pressure Gradient Graph
Pore Gradient
Fracture Gradient
Figure 41: Pressure Gradient Plot
From the Figure 36 above, to drill to a depth of 6800 feet, a 16.2 lb/gal mud density will be
needed. And there are two intermediate casing between 2900 -6300 feet. In this case, we
will have to use surface casing which serves the function of protecting fresh-water aquifers
and to provide pressure integrity even if the aquifer is at the bottom (about 6000 feet). And
a mud density of 10 lb/gal has to be used. At approximately 500 feet, a conductor casing will
be set to protect the wellbore.
For the casing size, this was designed considering a production casing of 6 5/8” plug as
simulated in PETREL. From table above, a 6 5/8 ” plug production casing will require a hole of
6 1/2”. Then a 9 5/8” of diameter and 9 1/2’’ bit plug was selected to drill to the first
intermediate casing depth.
0
1000
2000
3000
4000
5000
6000
7000
8000
4.00 6.00 8.00 10.00 12.00 14.00 16.00 18.00 20.00
Depth(Ft) EMD (ppg)
Pore and Fracture gradient plot
Pore
Gradient
Conductor
Surface
Intermediate 1
Production Casing
D= 6300 - 6660 ft
Intermediate 2
Conductor Casing
D 0 -500 ft
Surface Casing
D = 500 -2900 ft
Intermediate Casing
D = 2900 - 5000
Production
Intermediate Casing
D = 5000 - 6300 ft
Casing
(type)
Depth
(ft)
Diameter
(OD in)
Bit size
(in)
EMD (ppg)
Production 6660 - 6300 6 5/8 6 ½ 15
Intermediate 6300 - 5000 9 5/8 9 ½ 16
Intermediate 5000 - 2900 10 ¾ 12 ¼ 13
Surface 2900 - 500 13 3/8 17 ½ 10
Conductor 500 - 0 20 24 or 26 10
Table 14: Casing Section measurements
5.4.1 Tubing Calculation
The tubing diameter can be calculate by using the data in the table and the following formula
below,
Term Value Unit Conversion Unit
IPA 38 ˚
Pwh 600 psi 4 136 854.38 Pa
Pwf 1160 psi 7 997 918.46 Pa
L 6100 ft 1859.28 m
Q 500 stb 680 t/d
Table 15: Values for calculating Tubing Diameter
D = 0.074 (
𝛾𝑙 𝐿
𝑃 𝑤𝑓−𝑃 𝑤ℎ
)
0.5
[
𝑄𝑙 𝐿
𝛾𝑙 𝐿−10(𝑃 𝑤𝑓−𝑃 𝑤ℎ)
]
1/3
× 25.4
And the value of γl = 0.66077739
The calculated value of tubing diameter, D = 4.77909531 inch
5.4.2 Casing Calculation
We need to calculate burst pressure and collapse pressure in order to design casing, as in the
internal pressure and external pressure must be equal.
Burst Pressure
The casing is exposed to burst pressure loading, If the internal pressure is higher than
external, when designing of the casing we must make sure this condition is not happening.,
Burst pressure loading conditions occur during well control operations, casing pressure
integrity tests, pumping operations, and production operations.
Collapse Pressure
The casing is subjected to collapse, if the external pressure exceeds internal pressure; such
conditions may exist during cementing operations, trapped fluid expansion, or well
evacuation. This is material's yield strength primary function, and it’s determined by the
yield strength and D/t.
Assumptions made,
Gas density (psi/ft) = 0.1
Design factor (burst) = 1.1
Design Factor (collapse) = 1
Table 16: casing sections size and properties
The effect of collapse pressure, Burst pressure at shoe and at the surface variation can be
calculated seen below,
Collapse Pressure
𝑃 = 𝜌𝑔ℎ
Burst Pressure at shoe
𝐵𝑢𝑟𝑠𝑡 𝑃𝑟𝑒𝑠𝑠𝑢𝑟𝑒 = 𝐼𝑛𝑡𝑒𝑟𝑛𝑎𝑙 𝑃𝑟𝑒𝑠𝑠𝑢𝑟𝑒 − 𝐸𝑥𝑡𝑒𝑟𝑛𝑎𝑙 𝑃𝑟𝑒𝑠𝑠𝑢𝑟𝑒
𝐼𝑛𝑡𝑒𝑟𝑛𝑎𝑙 𝑃𝑟𝑒𝑠𝑠𝑢𝑟𝑒 = 0.052 × (𝜌 + 𝑠𝑎𝑓𝑒𝑡𝑦 𝑚𝑎𝑟𝑔𝑖𝑛) × ℎ
𝐸𝑥𝑡𝑒𝑟𝑛𝑎𝑙 𝑃𝑟𝑒𝑠𝑠𝑢𝑟𝑒 = 𝐵𝑟𝑖𝑛𝑒 𝑃𝑟𝑒𝑠𝑠𝑢𝑟𝑒 𝐺𝑟𝑎𝑑𝑖𝑒𝑛𝑡 × ℎ
Burst Pressure at surface
𝐼𝑛𝑡𝑒𝑟𝑛𝑎𝑙 𝑃𝑟𝑒𝑠𝑠𝑢𝑟𝑒 = 𝐼𝑛𝑗𝑒𝑐𝑡𝑖𝑜𝑛 𝑃𝑟𝑒𝑠𝑠𝑢𝑟𝑒 − (0.1 × ℎ) × 𝑠𝑎𝑓𝑒𝑡𝑦𝑓𝑎𝑐𝑡𝑜𝑟
Conductor Surface Int 1 Int 2 Production
Hole size 24'' 500 17 1/2 '' 2900 12 1/4 '' 5000 9 1/2 '' 6300 6 1/2 '' 6660
Casing Size 20'' 13 3/8 10 3/4 9 5/8 6 5/8
Expected min/max pore press gradient (PPG) 8.65/8.95 9.5/9.8 12.5/12.8 13.0/13.3 13.0/13.3
Expected LOT press grad (PPG) 13 14 17 16.5 18
Mud weight (PPG) 10 10 13 16 15
Conductor Surface Int1 Int2 Production
Casing size 20'' 13.375 10.75 9.625 6 5/8
Setting depth (ft) 500 2900 5000 6300 6660
Pore pressure above 2900 ft 8.65 9.5 12.5 13 13
Mud weight casing to be run 10 10 13 16 15
Depth of next hole 17.5 2900 5000 6200 6660 0
Max pore pressure at botom of 17.5 hole 9.8 12.8 13.3 13.3 0
Frac pressure gradient at 20'' shoe 13 14 17 16.5 0
Expected gas gradient 0.1 0.1 0.1 0.1 0
Table 17: casing sections size and other properties
5.4.2.1 Conductor Casing Section
Conductor casing used to prevent cave in of the surface, and the burst and collapse pressure
must be calculate so that the casing used can meet its requirements. The hole size can be big
as 36 inches because as the drilling goes on the hole diameter decreases. Once the
conductor hole is drilled the casing is cemented in it.
Burst
Pore pressure at the bottom of 17.5 =
Max pore pressure at bottom of 17.5 hole * Depth of next hole 17.5*0.052
= 9.8 * 2900 = 1477.84
pressure at surface =
Pore pressure at the bottom of 17.5 8 - (0.1* Depth of next hole 17.5)
= 14477.84 – (0.1 * 2900) = 1187.84
Pressure at 20’’ casing shoe =
Fracture Pressure at 20’’ shoe – ( 0.1 * setting depth,ft)
= 1477.84 – (0.1 *500) = 1427.84
LOT pressure @ 20'' casing shoe =
Expected LOT pressure gradient – (0.0052 * setting depth)
= 13 * 0.052 *500 =338
Max pressure @ surface =
LOT pressure @ 20'' casing shoe – (0.1* setting depth)
= 338 – (0.1 * 500) = 288
Pore pressure @ casing shoe =
Pore pressure above 2900 ft * 0.052 *setting depth
= 8.65 * 0.0052 *500 = 224.9
There is no any external force acting, then External pressure at surface = 0
Collapse
Collapse calculation for conductor casing, external, internal pressure at the surface and at the shoe is
zero (0).
Pore pressure at casing shoe =
Pore pressure above 2900 ft * 0.052 *setting depth
= 8.65 * 0.0052 *500 = 224.9
The summary for burst and collapse pressure calculation is shown in the table 15 and 16 below,
Depth External load Internal load Net load Design Load Depth
Conductor 0 288 288 316.8 0
Casing shoe 224.9 338 113.1 124.41 500
Table 18: Burst values
Depth External load Internal load Net load Design Load Depth
Conductor 0 0 0 0 0
Casing shoe 224.9 0 224.9 224.9 500
Table 19: Burst values
Figure 42: Conductor casing Loads
The casing Data sheet which used to approximate the Burst and collapse pressures in the
casing designing with different measurements is shown in the table below
0
100
200
300
400
500
600
0 100 200 300 400
Depth(ft)
Pressure (psi)
Conductor Casing Loads
Collapse
Burst
Table 20: Casing Designing Data sheet
5.4.2.2 Surface Casing Section
This part of the casing used to prevent fresh water zone to inter in the drilled well. The hole
size can be up 17 inches in diameter. The depth of surface hole set by regulatory agencies
and they require the surface hole to be drilled by all fresh water zone and surface case to set
and cemented to protect the zone from damage from addition drilling operation. This casing
must be strong enough to support BOP when connected and also to be able to support the
additional casing strings hanging inside it.
Burst and collapse calculations for surface casing section is same as for conductor. And Table
18 and 19 are the summaries for their values after calculations
Depth External load Internal load Net load Design Load Depth
Surface 0 1821.2 1821.2 2003.32 0
Casing
shoe 1432.6 2111.2 678.6 746.46 2900
Table 21: Burst values
Depth External load Internal load Net load Design Load Depth
Surface 0 0 0 0 0
Casing
shoe 1432.6 0 1432.6 1432.6 2900
Table 22: Collapse values
Casing
PE STC LTC BTC STC LTC BTC
Production 65/8 24 J-55 4560 5110 5110 5110 5110 314 340 453 382 0.352 5.921 5.796 0.00858 0.03406
Intermediate2 95/8 43.5 HCL-80 5600 6330 6330 6330 936 1142 1005 0.435 8.755 8.599 0.01553 0.07446
Intermediate1 103/4 51 HCL-80 4460 5860 5860 5860 906 1316 1165 0.45 9.85 9.694 0.01801 0.09425
Surface 133/8 61 J-55 1540 3090 3090 3090 595 1025 962 0.43 12.515 12.359 0.02163 0.15215
Conductor 20 94 H-40 520 1530 1530 1530 581 1041 1077 0.438 19.124 18.936 0.03329 0.35528
I.D.
(inch)
Drift
Diamet
Displac
ement
Capaci
ty
Grade
Collap
se
InternalYieldPressureMinimum JointStrength1000lbs Body
Yield
Wall
(inch)
O.D.
(inch)
Nomin
al
Figure 43: Surface casing Loads
5.4.2.3 Intermediate 1 Casing Section
This part sometimes called troublesome formation, can be drill by adjusting drilling fluids,
And once drilled need to be sealed off in order to prevent problems in drilling deeper portion
of the well. The hole of this section must be easily fitted inside the surface casing, and can be
up to 12 inches in diameter. And often it the longest section of the well.
Burst and collapse calculations for this casing section is same as for conductor. And Table 20
and 21 are the summaries for their values after calculations
Depth External load Internal load Net load Design Load Depth
Inter 0 3920 3920 4312 0
Casing shoe 3250 4420 1170 1287 5000
Table 23: Burst values
Depth External load Internal load Net load Design Load Depth
Inter 0 0 0 0 0
Casing shoe 3250 0 3250 3250 5000
Table 24: Collapse values
0
500
1000
1500
2000
2500
3000
3500
0 500 1000 1500 2000 2500
Depth(ft)
Pressure (psi)
Surface Casing Loads
Collapse
Burst
Figure 44: Intermediate 1 casing Loads
5.4.2.4 Intermediate 2 Casing Section
We needed to divide two section of intermediate casing because it’s the longest section in
the well and function of this part is same as the intermediate 1 as in is to prevent
troublesome formation, and also can be drill by adjusting drilling fluids, And once drilled
need to be sealed off in order to prevent problems in drilling deeper portion of the well.
Burst and collapse calculations for this casing section is same as for conductor. And Table 22
and 23 are the summaries for their values after calculations
Depth External load Internal load Net load Design Load Depth
Inter 2 0 4775.4 4775.4 5252.94 0
Casing shoe 4258.8 5405.4 1146.6 1261.26 6300
Table 25: Burst values
Depth External load Internal load Net load Design Load Depth
Inter 2 0 0 0 0 0
Casing shoe 4258.8 0 4258.8 4258.8 6300
Table 26: Collapse values
0
1000
2000
3000
4000
5000
6000
0 1000 2000 3000 4000 5000
Depth(ft)
Pressure (psi)
Intermediate 1 Casing Loads
Collapse
Burst
Figure 45: Intermediate 2 casing Loads
5.4.2.5 Production Casing Section
The hole size of this section is between 8- 10 inches in diameter. This part of the zone
penetrate the producing zone. Once the production zone is drilled is needed to be protected
and sealed .so the production casing used to isolate the production zone and be ready for
production after perforation.
The calculation for casing burst and collapse pressure at production section is differ from all
other section and mostly depend on if there is liner or not.
Test Perforation depth 6650
Mud weight 13.3
casing shoe 6660
Press @6660 casing shoe 13
Mud weight casing to be run 15
Max pore press @ tops of production zone =
Test perforation depth * Mud weight * 0.052
= 6650 * 13.3 * 0.052 = 4599.14
CITHP at surface =
Max pore press @ tops of production zone – (0.15 * Test perforation depth)
= 4599.14 – (0.15 * 6650) = 3601.64
Pore press at top of liner =
Casing shoe *Press @6660 casing shoe * 0.052
0
1000
2000
3000
4000
5000
6000
7000
0 1000 2000 3000 4000 5000 6000
Depth(ft)
Pressure (psi)
Intermediate 2 Casing Loads
Collapse
Burst
= 6660 * 13 * 0.052 = 4502.16
Internal load =
Mud weight casing to be run * casing shoe *0.052
= 15 * 6660 * 0.052 = 5194.8
External pressure = 0 (there is no external force act on it)
Depth External load Internal load Net load Design Load Depth
Surface 0 3601.64 3601.64 3961.8 0
TOL 4502.16 6233.76 1731.6 1904.76 6000
Table 27: Burst values
Depth External load Internal load Net load Design Load Depth
surface 0 0 0 0 0
TOL 4502.16 0 4502.16 4502.16 6000
Table 28: Collapse values
Figure 46: Production casing Loads
0
1000
2000
3000
4000
5000
6000
7000
0 1000 2000 3000 4000 5000
Dpeth(ft)
Pressure (psi)
Production Casing Loads
burst
collapse
5.5 Drilling Fluids
In order to satisfy various regulatory and environmental standards, as well as achieve the
highest performance and function, drilling mud usually serves many functions including,
 Cleaning the hole, this allow the drilling bit to drill to uncut formation in the hole
 Lifting cuttings to the surface
 Cooling and lubricate drilling string
 Carrying information about formations
 Stabilizing wellbore by forming mud cake and prevent the hole walls
 Control formation pressure
 Suspending the cuttings
Drilling fluids have a huge impact on drilling performance from controlling wellbore stability,
allowing high penetration rates, preventing premature failure and enabling high angle and
extended reach wells to be drilled.
Technical requirements and local availability of the drilling fluid products are some of the
factors determine the type of the mud fluid to be used for drilling a well. In this project,
water based fluids (WBF) for well stability and temperature stability. Due pressure variation
in the well, types of drilling fluids used differ depend on the casing section.
The amount of the mud fluid needed are calculated by using safety factor and the volume of
the drilling string used. Our safety factor for this project is 4.
Table below summarizes the measurements, components and mud used in every part of the
casing for this project.
Table 29: Casing Properties and safety factor values
Calculation;
Radius (inch) = Bit size /2
Volume (ft3) = 𝜋 × 𝑟2
× 𝐻
Ft3 to BBL = V × (1/𝑟2
) × (1/5.615)
Safety Factor = V in bbl × 4
Total safety = ∑ of safety factor of the area
Casing ρMud Bit Size Radius(inch)Height(ft) Volume(ft3
) bbl Mud Density Safetyfactor Totalsafety
Conductor 10 24 12 500 226194.671 279.750014 WBM 10 1119.00 1119.00005
Surface 10 171/2 83/4 2900 6975313/4 862.683961 WBM 10 3450.74 4569.74
Intermediate1 13 121/4 61/8 5000 589294.059 728.819209 WBM 13 2915.28 7485.01
Intermediate2 16 95/8 44/5 6200 451110.616 557.918541 WBM 16 2231.67 9716.69
Production 15 65/8 31/3 6660 229581 283.938068 WBM 15 1135.75 10852.44
The mass balance equation was used to calculate the components in the mud fluid used in every part
of the casing
𝜌 𝑚 𝑉𝑚 = 𝜌 𝑤 𝑉𝑤 + 𝜌 𝐵𝑒𝑛 𝑉𝐵𝑒𝑛
𝑉𝑚 = 𝑉𝑤 + 𝑉𝐵𝑒𝑛
5.5.1 Drilling Fluids for Conductor casing Section
It was decided to use mix of water and bentonite for Mud A with density of 10 ppg and
volume of 1119 bbl for designing conductor section casing and the table below summaries
the mud used for this section.
Volume of Mud A = 1119 bbl
𝑽 𝒘 = (𝝆 𝑩𝒆𝒏
∗ 𝑽 𝒎) – (𝝆 𝒎 ∗ 𝑽 𝒎)/ (𝝆 𝑩𝒆𝒏
- 𝝆 𝒘
)
= (21.7 *1119) – (10 *1119) / (21.7- 8.54) =994.86
Volume of Bentonite = 𝑉𝐵𝑒𝑛– 𝑉𝑤
= 1119 -994.86 = 124.14 bbl
Mass of water Mw = 𝜌 𝑤 * 𝑉𝑤*42 =356834.83 Ib
Mass of Bentonite Mb = 𝜌 𝐵𝑒𝑛 ∗ 𝑉𝐵𝑒𝑛*42 =113145.19Ib
Mass of Mud A = 𝜌 𝑚 * 𝑉𝑚 =11190 Ib
Table 30: Mud fluid values for conductor
Where:
𝑉𝑚 = Volume of Mud A
𝑉𝑤 = Volume of water
𝑉𝐵𝑒𝑛 =Volume of Bentone
𝜌 𝑚= Density of Mud A
𝜌 𝑤 = Density of water
𝜌 𝐵𝑒𝑛 =Density of Bentonite
5.5.2 Drilling Fluids for Surface casing Section
By using the mass balance equation, the calculation of surface section of the casing is same
as or the conductor section and we used the same mud A fluid but with volume of 4569.74
bbl .the table 28 below shows the mud designing for surface casing.
Component ρ (ppg) V (bbl) Mass (lb) Sacs
Water 8.54 4062.76 1457230.44
Bentonite 21.7 506.98 462058.64 4620.59
Mud A 10 4569.74 45697.36
Table 31: Mud fluid values for Surface
Component ρ (ppg) V (bbl) Mass (lb) Sacs
Water 8.54 994.86 356834.83
Bentonite 21.7 124.14 113145.19 1131.45
Mud A 10 1119.00 11190.00
5.5.3 Drilling Fluids for Intermediate 1 casing Section
In this section, the mix of Mud A, Mud B and barite used, the volume of Mud A needed was
6586.81 bbl. and the amount of mud A already used in the system was 45697.36 bbl. So it
was required to add up volume of 2017.07 of Mud A in the intermediate 1 section. After
calculation using the mass balance equation the Table below summarizes the properties of
mud fluid used
Component ρ (ppg) V (bbl) Mass (lb) Sacs
Mud A 10 6586.81 2766459.7
Barite 35 898.20 1320355.76 13203.558
Mud B 13 7485.01
Table 32: Mud fluid values for Intermediate 1
Component ρ (ppg) V (bbl) Mass (lb) Sacs
Water 8.54 223.78 80264.90981
Bentonite 21.7 1793.29 1634408.421 16344.1
Mud A 10 2017.07 847170.6178
Table 33: Mud fluid addition values for Intermediate
5.5.4 Drilling Fluids for Intermediate 2 casing Section
The mixing of barite and Mud B used to form volume of 9716.69 Mud C which were used as
drilling fluid in this section as shown below
Component ρ (ppg) V (bbl) Mass (lb) Sacs
Mud B 13 1325.00 723451.5065
Barite 35 8391.68 12335775.69 123358
Mud C 16 9716.69 6529613.597
Table 34: Mud fluid values for Intermediate 2
5.5.5 Drilling Fluids for Production casing Section
The amount of 10852.44 Mud D are needed for this section ,we had already the volume of
9716.69 mud C used for intermediate 2 .we only add up 857.10 bbl of water to get 10852.44
bbl of mud D.
Component ρ (ppg) V (bbl) Mass (lb) Sacs
Water 8.54 857.10 307423.0817
Mud C 16 9716.69 6529613.597 65296.1
Mud D 15 10852.44 162786.5876
Table 35: Mud fluid values for Production
6. Well Production Optimisation
6.1 Well Modelling (PROSPER)
To analyse well performance and optimization of a well including determination of inflow
performance relationship, we used Prosper. The PVT analysis and VLP co-relation of well can be also
addressed by this well modelling.
Tables below were used to carry out the PROSPER AND GAP modelling.
Depth (feet) TVD (feet) Explanation
0 0 Point of original deviation survey
500 500 Sea floor level
3000 3000 surface casing section
5000 5000 Intermediate casing section
6660 6660 Top of perforation
Table 36: Deviation survey
Type Length (feet) TVD (feet) Inside
diameter (feet)
Inside
roughness
Rate
Multiplier
Tubing 6149.95 6299.95 5 0.0006 1
Casing 6660 6660 6.25 0.0006 1
Xmass tree 150 150 N/A N/A 1
Table 37: Downhole equipment
6.1.1 Well Deliverability
The well deliverability was modelled by the inflow performance relation in PROSPER as shown in
Figure 41. The data used is shown Table 35 below.
IPR model PI Entry
Reservoir Pressure 3950 psi
Reservoir Temperature 170 deg F
Water Cut 51.03
Table 38: Data given to use
Figure 47: IPR Graph
6.2 Inflow Performance Relation (IPR) Curve
Inflow Performance Relation (IPR) Curve
Is the relation used to assess well performance by plotting the well production rate against
the flowing buttonhole pressure (BHP). The data required to create the IPR are obtained by
measuring the production rates under various drawdown pressures. The reservoir fluid
composition and behaviour of the fluid phases under flowing conditions determine the
shape of the curve.
Inflow performance relation gives the productivity index (PI) which is ratio of flow rate upon
pressure drawdown. PI is the inverse of slope of above graph.
𝑃𝐼=𝑄/Δ𝑃
Where:
PI = Productivity Index (STB/day/psi)
Q = Flowrate (STB/day)
ΔP = Drawdown (Psi)
6.3 Optimum Well Flow Rate
In order to estimate the optimum well flow rate, the fluid properties (PVT), reservoir data (IPR) and
the tubing response (VLP) have to be integrated to produce a VLP/IPR curve with the intersection of
the curve being the well flow rate. Figure below shows the IPR versus VLP plot.
Figure 48: IPR Vs VLP curve
The optimum flow rate in our case is 36055.4 STB/day., with wellhead pressure of 400 psig
and Wellhead temperature of154.97 deg F.
Optimum flow rate
6.4 Sensitivity Analysis
Sensitivity analysis was carried out for the reservoir pressure, GOR, tubing diameter and water cut
will change. Therefore, sensitivities were carried out on them. Because during the life of the wells, it
is expected that some changes in the well properties.
6.4.1 Sensitivity Analysis on Reservoir Pressure
Figure 49: Sensitivity analysis on Reservoir Pressure
The sensitivity analysis on the reservoir pressure the intersection shows that the minimum and
maximum reservoir pressure needed to cause a flow, there is about 1980 psig. Below this pressure
there is will be no flow of the liquid. The liquid rate increases, as the pressure goes up shown in the
graph above.
6.4.2 Sensitivity Analysis on Gas Oil ratio
Figure 50: Sensitivity on Gas Oil Ratio
The intersection of the lines shows that, as the pressure increases, there is an increase in
the gas oil ratio value while liquid rate decreases. The higher the GOR the higher the lift
curve and this indication that more gas being produced in place of oil.
6.4.3 Sensitivity Analysis on water cut
Figure 51: Sensitivity on Water Cut
In the water cut sensitivity analysis we can conclude that the lower the water cut the lower the
vertical lift performance curve which indicates more oil being produce relative to water.
Figure 52: Sensitivity on tubing diameter
6.5 GAP Model
After running GAP model, the surface separator pressure of 390 psig and temperature of 83.16 deg F,
with the rate of production of 40000 STB/day was obtained.
Figure 53: GAP Model without constraint
7. Surface Production Facilities
After the production, fluid is passed through the well tube to the surface, the oil; gas and
water undergo separation process. The main objective of separation process is to treat
and process production fluids that come out of the well-head so as to meet marketable
standard and specifications required for final product consumer.
Surface Production Operations facilities may include any of the following; mixers, heat
exchanger, gas/oil/water separator, Pump compressor, splitter, desalting, sweetening,
stabilisation, oil, water and gas treatment. It can also include treatment of produced
water for re-injection or disposal. Gas/oil/water separation are always first step followed
by other processes according to what is set out to be achieved. For our oil field will be
separation process equipment’s includes:
• 1 horizontal three phase separator, 2 vertical two phase separators – for
gas/oil/ water separation.
• Pump –to help flow of the water for reinjection.
• Heat exchangers – Two cooler and two heaters for gas and oil so as to stabilize
it before transporting it to where it will be stored or exported.
• Compressors – to compress the gas before transporting it to point of
storage/export.
• One splitter – for final water cut in the gas before exportation
7.1 Production Fluid Separation Operations
The separation of production fluid takes place in a separation plant (separator). Here is
where the production fluids are separated into respective phases (i.e. gas, oil and water),
or gas and oil if the produced fluids contains just oil and gas with very little or a negligible
quantity of water.
For our oil field, due to the high flowing pressure at the well head we decided to use 3
separator stages because the higher the inlet pressure, the higher the number of
separator stages and the operation cost. First the hydrocarbon and water will pass
through the mixer and then the mixture go through the 3 phase vertical separator where
by gas, oil and water are separated
The separator operation cost must be carefully considered, there has to be a balance in
the capital and operating costs relative to the number of separator stages.
7.2 Oil Treatment
Following separation, the oil stream will undergo other processes for further Field
treatment. Then the oil will pass through heater so as to attain required temperature for
condensation and then will undergo another separation stage where by two phases
separator was used to separate any remaining of lighter ends gas in the oil. The oil will
pass through the heater again in order to reach the required temperature and pressure.
The designing of inlet separator of the surface production become more easily by using
HYSYS modelling.
7.3 Gas Treatment
To meet required specifications, the gas from three phase horizontal separator and lighter
ends gas from two phase separator will pass through the mixer and then will undergo
vaporisation process by being cooled by heat exchanger , after that the gas will go through
the vertical two phases separator where by the gas will be separated with water remaining
and the gas will be compressed so that the pressure required to be achieved before passing
through another cooler and finally the water cut process will be follow when the gas pass
through the splitter. Gas will undergo several treatments before it reach to the gas
exporting central. The H2S, CO2 and other impurities remover will be used to purify the
exporting gas.
7.4 Water Treatment
The water from inlet which was separated by three phases vertical separator will pass
through the mixer together with the water cut from gas in splitter and this will be our
final amount of water cut. There will be some of the water remaining in the gas which
was separated by two phases separator will undergo condensation by passing through
the heater and will be pumped as recycle back to the inlet mixer as water injection.
7.5 HYSYS Simulation
HYSYS Simulation
The compositional below was given to be used for the HYSYS simulation modelling to design
the inlet separator of the oil field with these condition must be attained,
 Oil to be exported with a True Vapour Pressure (TVP) of 1 bar and at 37.8 C and
maximum basic sediment and water (B, S & W) of 2 volume%; include a heavy liquid
“carry-over” of 0.01 mole% in the separators.
 Gas to be exported at a pressure of 120 bar and temperature of 50 C with a
maximum water content of 3 lbm/MMSCF and a maximum H2S content of 500
ppm(mol) .
 Produced water to be either re-injected into the reservoir or disposed of overboard
with an oil content < 30 ppm; include a light liquid “carry-over” of 0.01 mol% in your
separators.
Component
Mole
Percent
(percent)
Critical
Temperature
(deg F)
Critical
Pressure
(psig)
Critical
Volume
(ft3/lb.mole)
Acentric
Factor
Molecular
Weight
(lb/lb.mole)
N2 0.20669 -232.51 477.419 89.8 0.00064 28.01
CO2 0.62007 87.89 1054.74 93.9 0.0036 44.01
H2S 0.020669 212.09 1280.96 98.6 0.0016 34.08
C1 24.8028 -116.59 661.049 99.2 0.00018 16.04
C2 5.50063 90.05 702.615 148.3 0.00145 30.07
C3 6.28053 205.97 608.886 203 0.00233 44.1
C4 4.97155 289.49 528.539 263 0.00299 58.12
C5 4.61241 372.83 492.845 255 0.00361 72.05
C6 4.47012 442.109 449.149 400.217 0.00406 84
C7 4.16653 483.247 411.018 455.957 0.00434 94.1122
C8 3.89886 523.677 381.61 510.792 0.00462 105.063
C9 3.65668 562.42 357.885 564.724 0.00489 116.5
C10 3.43393 599.311 338.196 617.752 0.00516 128.24
C11-C13 8.84274 666.317 307.031 720.466 0.00567 151.613
C14-C25 16.0744 851.293 249.881 1020.02 0.00713 228.352
C25-C50 7.57506 1208.16 201.564 1587.61 0.00967 412.478
C50+ 0.86639 1797.91 203.784 2127.16 0.01104 769.801
Table 39: Given values of components
We used these given values to calculate weight, density percentage in weight and density of each
component as shown in the table 36 below, by using these formulas,
Weight = %mole * Molecular weight
Density = weight / critical volume
% Weight = weight / total weight
Density of components = % weight *total density
Table 40: Calculated values
Components Mole% MolecularWeight CriticalVolume Weight Density %Weight Densityofcomponents
N2 0.20669 28.01 89.8 5.7893869 0.064469787 0.000469093 0.009880367
CO2 0.62007 44.01 93.9 27.2892807 0.290620668 0.002211151 0.046572827
H2S 0.020669 34.08 98.6 0.70439952 0.007144011 5.70749E-05 0.001202152
C1 24.8028 16.04 99.2 397.836912 4.010452742 0.032235276 0.67896218
C2 5.50063 30.07 148.3 165.4039441 1.115333406 0.013402079 0.282284069
C3 6.28053 44.1 203 276.971373 1.364391 0.022441982 0.472688887
C4 4.97155 58.12 263 288.946486 1.09865584 0.023412282 0.493126028
C5 4.61241 72.05 255 332.3241405 1.303231924 0.026927015 0.567155827
C6 4.47012 84 400.217 375.49008 0.938216218 0.030424594 0.640824307
C7 4.16653 94.1122 455.957 392.1213047 0.859996238 0.031772161 0.669207728
C8 3.89886 105.063 510.792 409.6259282 0.801942725 0.033190497 0.699081721
C9 3.65668 116.5 564.724 426.00322 0.7543565 0.03451749 0.727031772
C10 3.43393 128.24 617.752 440.3671832 0.712854322 0.035681349 0.751545806
C11-C13 8.84274 151.613 720.466 1340.67434 1.860843315 0.10862996 2.288041016
C14-C25 16.0744 228.352 1020.02 3670.621389 3.59857786 0.297417085 6.264408919
C25-C50 7.57506 412.478 1587.61 3124.545599 1.968081329 0.253170552 5.332457163
C50+ 0.86639 769.801 2127.16 666.9478884 0.313539127 0.054040359 1.138236243
100.000059
Total 12341.66285 21.06270701 21.06270701
Table 41 below, shows the mole fraction and other give factors for designing the oil field
Components Mole fraction
N2 0.0020669
CO2 0.0062007
H2S 0.00020669
C1 0.248028
C2 0.0550063
C3 0.0628053
C4 0.0497155
C5 0.0461241
C6 0.0447012
C7 0.0416653
C8 0.0389886
C9 0.0365668
C10 0.0343393
C11-C13 0.0884274
C14-C25 0.160744
C25-C50 0.0757506
C50+ 0.0086639
H20 1
API 38.0 ° API
Temperature 170°F (60 °C)
Pressure 3950 psi
Daily peak production 5,000 STB/day
Table 41: mole fraction and other give factors
7.6.1 Base Case
The API gravity of a crude specific gravity (SG) is given by:
𝐴𝑃𝐼= 141.5𝑆𝐺−131.5
∴ 𝑆𝐺= 141.538.0+131.5 = 141.5169.6 = 0.8348
Also:
𝜌𝑜𝑖𝑙=𝑆𝐺∗𝜌𝑤𝑎𝑡𝑒𝑟
∴𝜌𝑜𝑖𝑙= 0.8348 * 1000 = 834.8 kgm-3
Conversion of daily peak production (STB/day) to mole flow (kmol/hr)
0.159 m3/day = 1 STB/day
∴ 5,000 STB/ day = (5,000 * 0.159) m3/day = 795 m3/day
Also:
𝑀𝑎𝑠𝑠=𝜌∗𝑣𝑜𝑙𝑢𝑚𝑒
Correspondingly,
∴ Mass flow = 𝜌∗𝑣𝑜𝑙𝑢𝑚𝑒 = 834.8 * 795 = 663,666 kg/day
Thus, hourly mass production = (663,666 kg/day) / 24 = 27652.75 kg/hr
Conversion of mass flow to molar flow
𝑁𝑢𝑚𝑏𝑒𝑟 𝑜𝑓 𝑚𝑜𝑙𝑒𝑠= 𝑚𝑎𝑠𝑠/𝑚𝑜𝑙𝑒𝑐𝑢𝑙𝑎𝑟 𝑤𝑒𝑖𝑔ℎ𝑡
Comparatively,
∴ 𝑀𝑜𝑙𝑎𝑟 𝑓𝑙𝑜𝑤= 𝑚𝑎𝑠𝑠 𝑓𝑙𝑜𝑤/𝑚𝑜𝑙𝑒𝑐𝑢𝑙𝑎𝑟 𝑤𝑒𝑖𝑔ℎ𝑡
∗𝐴𝑣𝑒𝑟𝑎𝑔𝑒 𝑚𝑜𝑙𝑒𝑐𝑢𝑙𝑎𝑟 𝑤𝑒𝑖𝑔ℎ𝑡=Σ 𝑚𝑜𝑙𝑒 𝑓𝑟𝑎𝑐𝑡𝑖𝑜𝑛𝑠∗𝑚𝑜𝑙𝑒𝑐𝑢𝑙𝑎𝑟 𝑤𝑒𝑖𝑔ℎ𝑡
Thus, molar flow is calculated as:
27652.75 / 123.42 = 224.05 kmol/hr
7.6.2 Mass balance
An overall mass balance for our inlet separator designing carried out by the HYSYS
simulation are as shown in the table below,
Table 42: input and output values from HYSYS
H2O HC Total Inlet Oil Export Gas Export Water Out Total Outlet Mass Balance
Nitrogen 0 54.079974 54.07997 0.1088222 53.940645 3.05E-02 54.08 0.00
CO2 0 254.88631 254.8863 3.8364878 248.51372 2.536101 254.89 0.00
H2S 0 6.5784785 6.578478 0.2286571 6.2325277 0.117294 6.58 0.00
Methane 0 3716.5585 3716.558 11.922317 3704.635 1.16E-03 3716.56 0.00
Ethane 0 1544.9051 1544.905 18.389171 1526.5159 6.33E-06 1544.91 0.00
Propane 0 2586.7992 2586.799 72.198686 2514.6005 4.36E-08 2586.80 0.00
n-Butane 0 2699.0112 2699.011 160.13524 2538.876 8.98E-11 2699.01 0.00
n-Pentane 0 3108.3338 3108.334 369.23853 2739.0952 9.97E-14 3108.33 0.00
n-Hexane 0 3598.0938 3598.094 862.40289 2735.6909 7.52E-17 3598.09 0.00
n-Heptane 0 3899.6111 3899.611 1782.6165 2116.9945 3.27E-20 3899.61 0.00
n-Octane 0 4159.8992 4159.899 3011.4774 1148.4219 1.03E-23 4159.90 0.00
n-Nonane 0 4380.5858 4380.586 3936.4816 444.10423 2.30E-27 4380.59 0.00
n-Decane 0 4563.6039 4563.604 4422.5928 141.01113 1.49E-31 4563.60 0.00
C11-C13* 0 12522.202 12522.2 8997.2326 3524.9691 2.66E-31 12522.20 0.00
C14-C25* 0 34284.434 34284.43 32927.941 1356.4928 1.69E-45 34284.43 0.00
C25-C50* 0 29183.961 29183.96 29177.989 5.9728814 3.11E-73 29183.96 0.00
C50+* 0 6229.4441 6229.444 6229.4439 2.35E-04 4.95E-97 6229.44 0.00
H2O 13445.14 0 13445.14 0.4113799 0 13444.73 13445.14 0.00
Inlet Outlet
Note: from the law of conservation of mass,
Σ inlet = Σ outlet
And from our results in the table above, the mass of the component have been balanced.
The flow diagram of HYSYS process is shown below. After designing inlet separator with
HYSYS simulation, all the given requirement specifications in the project were met. These
conditions include pressure, water content and B, S &W of the export gas. The true vapour
pressure of the export oil was also achieved to be 1 bar (100 kPa) at 37.8oC. In addition, the
oil content of the produced water that is to be re-injected or disposed overboard was met.
Figure 54: HYSYS Circuit Diagram
The table 32 and table 33 below shows the compositions in part used in every separation stages in
the HYSYS simulation
Table 43: Results from HYSYS
Table 44: Results from HYSYS
Name gas oil water1 HC H2O gas1 oil2
feedto
seperator gas3 vapour condensate gas4
CompMoleFrac (Methane) 0.7457963 6.87E-02 9.67E-08 0.248028 0 0.1245894 1.82E-03 0.1243238 0.322774 0.438992 6.65E-03 0.322774
CompMoleFrac (Propane) 7.14E-02 5.00E-02 1.33E-12 6.28E-02 0 8.84E-02 4.00E-03 3.27E-02 8.30E-02 0.1084062 1.38E-02 8.30E-02
CompMoleFrac (n-Butane) 2.84E-02 5.02E-02 2.07E-15 4.97E-02 0 8.65E-02 6.73E-03 2.76E-02 6.80E-02 8.30E-02 2.69E-02 6.80E-02
CompMoleFrac (n-Pentane) 1.29E-02 5.69E-02 1.85E-18 4.61E-02 0 9.40E-02 1.25E-02 2.89E-02 6.81E-02 7.22E-02 5.71E-02 6.81E-02
CompMoleFrac (Ethane) 0.1078337 3.07E-02 2.82E-10 5.50E-02 0 5.50E-02 1.49E-03 2.79E-02 7.19E-02 9.65E-02 4.86E-03 7.19E-02
CompMoleFrac (n-Hexane) 6.36E-03 6.93E-02 1.17E-21 4.47E-02 0 0.10682746 2.45E-02 3.41E-02 7.48E-02 6.03E-02 0.114021 7.48E-02
CompMoleFrac (n-Heptane) 3.00E-03 8.03E-02 4.38E-25 4.17E-02 0 0.11107581 4.35E-02 3.89E-02 7.66E-02 4.02E-02 0.1757041 7.66E-02
CompMoleFrac (n-Octane) 1.24E-03 8.15E-02 1.21E-28 3.90E-02 0 9.58E-02 6.44E-02 3.93E-02 6.56E-02 1.91E-02 0.1921334 6.56E-02
CompMoleFrac (n-Nonane) 4.48E-04 6.97E-02 2.41E-32 3.66E-02 0 6.52E-02 7.50E-02 3.35E-02 4.46E-02 6.58E-03 0.1478693 4.46E-02
CompMoleFrac (n-Decane) 1.58E-04 5.56E-02 1.41E-36 3.43E-02 0 3.87E-02 7.59E-02 2.67E-02 2.64E-02 1.88E-03 9.30E-02 2.64E-02
CompMoleFrac (Nitrogen) 6.75E-03 4.28E-04 1.46E-06 2.07E-03 0 7.78E-04 9.49E-06 1.03E-03 2.68E-03 3.66E-03 2.68E-05 2.68E-03
CompMoleFrac (CO2) 1.07E-02 3.71E-03 7.73E-05 6.20E-03 0 6.63E-03 2.13E-04 3.13E-03 7.94E-03 1.07E-02 3.43E-04 7.94E-03
CompMoleFrac (H2S) 2.11E-04 1.62E-04 4.62E-06 2.07E-04 0 2.84E-04 1.64E-05 1.06E-04 2.61E-04 3.48E-04 2.47E-05 2.61E-04
CompMoleFrac (H2O) 2.46E-03 8.99E-04 0.99991647 0 1 1.60E-03 5.58E-05 0.398319 1.88E-03 2.53E-03 8.98E-05 1.88E-03
CompMoleFrac (C11-C13*) 1.51E-03 0.1071807 2.35E-36 8.84E-02 0 7.56E-02 0.144991 5.16E-02 5.20E-02 4.42E-02 7.31E-02 5.20E-02
CompMoleFrac (C14-C25*) 6.49E-04 0.1861027 9.94E-51 0.160744 0 4.72E-02 0.352312 8.94E-02 3.24E-02 1.13E-02 8.97E-02 3.24E-02
CompMoleFrac (C25-C50*) 4.91E-05 7.97E-02 1.01E-78 7.58E-02 0 1.83E-03 0.172831 3.82E-02 1.26E-03 2.75E-05 4.63E-03 1.26E-03
CompMoleFrac (C50+*) 3.55E-06 9.00E-03 8.64E-103 8.66E-03 0 3.82E-06 1.98E-02 4.32E-03 3.73E-06 5.80E-10 1.39E-05 3.73E-06
Name gas export gas export1 condensate1 condensate2
condensate
afterrecyle
gas export
final waterout finalwaterout oil1 oilexport
CompMoleFrac (Methane) 0.438992004 0.438992 6.65E-03 6.65E-03 6.65E-03 0.44010654 0 9.65E-08 6.87E-02 1.82E-03
CompMoleFrac (Propane) 0.108406175 0.10840617 1.38E-02 1.38E-02 1.38E-02 0.1086814 0 1.32E-12 5.00E-02 4.00E-03
CompMoleFrac (n-Butane) 8.30E-02 8.30E-02 2.69E-02 2.69E-02 2.69E-02 8.32E-02 0 2.07E-15 5.02E-02 6.73E-03
CompMoleFrac (n-Pentane) 7.22E-02 7.22E-02 5.71E-02 5.71E-02 5.71E-02 7.24E-02 0 1.85E-18 5.69E-02 1.25E-02
CompMoleFrac (Ethane) 9.65E-02 9.65E-02 4.86E-03 4.86E-03 4.86E-03 9.68E-02 0 2.82E-10 3.07E-02 1.49E-03
CompMoleFrac (n-Hexane) 6.03E-02 6.03E-02 0.11402104 0.11402104 0.11402104 6.05E-02 0 1.17E-21 6.93E-02 2.45E-02
CompMoleFrac (n-Heptane) 4.02E-02 4.02E-02 0.175704089 0.175704089 0.175704089 4.03E-02 0 4.37E-25 8.03E-02 4.35E-02
CompMoleFrac (n-Octane) 1.91E-02 1.91E-02 0.19213338 0.19213338 0.19213338 1.92E-02 0 1.21E-28 8.15E-02 6.44E-02
CompMoleFrac (n-Nonane) 6.58E-03 6.58E-03 0.147869286 0.147869286 0.147869286 6.60E-03 0 2.40E-32 6.97E-02 7.50E-02
CompMoleFrac (n-Decane) 1.88E-03 1.88E-03 9.30E-02 9.30E-02 9.30E-02 1.89E-03 0 1.41E-36 5.56E-02 7.59E-02
CompMoleFrac (Nitrogen) 3.66E-03 3.66E-03 2.68E-05 2.68E-05 2.68E-05 3.67E-03 0 1.46E-06 4.28E-04 9.49E-06
CompMoleFrac (CO2) 1.07E-02 1.07E-02 3.43E-04 3.43E-04 3.43E-04 1.08E-02 0 7.72E-05 3.71E-03 2.13E-04
CompMoleFrac (H2S) 3.48E-04 3.48E-04 2.47E-05 2.47E-05 2.47E-05 3.49E-04 0 4.61E-06 1.62E-04 1.64E-05
CompMoleFrac (H2O) 2.53E-03 2.53E-03 8.98E-05 8.98E-05 8.98E-05 0 1 0.999916624 8.99E-04 5.58E-05
CompMoleFrac (C11-C13*) 4.42E-02 4.42E-02 7.31E-02 7.31E-02 7.31E-02 4.43E-02 0 2.35E-36 0.107181 0.1449906
CompMoleFrac (C14-C25*) 1.13E-02 1.13E-02 8.97E-02 8.97E-02 8.97E-02 1.13E-02 0 9.92E-51 0.186103 0.3523117
CompMoleFrac (C25-C50*) 2.75E-05 2.75E-05 4.63E-03 4.63E-03 4.63E-03 2.76E-05 0 1.01E-78 7.97E-02 0.1728311
CompMoleFrac (C50+*) 5.80E-10 5.80E-10 1.39E-05 1.39E-05 1.39E-05 5.82E-10 0 8.62E-103 9.00E-03 1.98E-02
8. Economics
8.1 Financial System
After the energy crisis in 1973, the United Kingdom government has introduced the PRT
(Petroleum Revenue Tax) in order to stop the exploitation of the hydrocarbons. In the
subsequent year, a corporation tax CT which is also known as ‘ring fence’ is added with the
supplementary charge in addition to PRT tax.
In the recent years, the government of United Kingdom further wants to decrease the
taxation on the projects by eliminating the supplementary charge in North Sea in order to
inspire the companies and maximise the remaining reserves
8.2 Production Forecast
The production rates for all the three forecasted development scenarios in terms of
maximum oil recovery factor are delivered to the department of Petroleum Engineering for
the economic analysis. The production of each well is capped to 5000 STB/day.
The following three cases which are selected for the economics evaluation are as follow:
During the production of first year, 4 producer wells will transported online separately with
the space of 90 days. In the following year, four more producing wells with two injector wells
are added. As in the two years’ time period, there are eight wells all together which are
producing from year 2 but all the eight wells are not producing from the beginning of that
year therefore the full production will start from year 3 onwards.
A shut in well is carried out once for three weeks after every three years to conduct well
testing and maintenance for enhancing the recovery of the well.
The table 34 given below show the production forecast of Oil, Water and Gas for the three
cases for the next 20 years.
Case Number of the wells Types of the wells Water Injection Project life time in years
1 8 8 vertical Yes 20 years
2 6 5 vertical, 1 horizontal Yes 20 years
3 8 8 vertical Yes 18 years
Table 45: Economic Evaluation of three cases
Table 47: Yearly Production Forecast for Case 1
Year Oil (bbl) Water (bbl) Gas (mmscf) Oil (bbl) Water (bbl) Gas (mmscf) Oil (bbl) Water (bbl) Gas (mmscf)
2015 0 0 0 0 0 0 0 0 0
2016 1,579,737 245,263 5,212 1,551,704 273,296 4,479 1,537,595 287,405 5,073
2017 1,500,723 324,277 4,951 1,464,485 360,515 4,228 1,455,174 369,826 4,801
2018 1,456,860 368,140 4,645 1,430,902 394,098 4,131 1,407,796 417,204 4,500
2019 1,381,663 443,337 4,031 1,366,393 458,607 3,693 1,322,820 502,180 3,857
2020 1,266,940 521,108 3,445 1,282,577 542,423 3,249 1,176,637 560,068 3,210
2021 1,053,254 497,681 2,710 1,150,110 589,809 2,763 980,185 559,377 2,539
2022 819,123 428,354 2,046 990,912 592,072 2,281 766,759 518,294 1,923
2023 680,665 386,605 1,663 856,476 555,059 1,907 624,850 484,196 1,538
2024 560,675 349,625 1,352 721,465 488,699 1,573 520,709 443,583 1,263
2025 481,807 323,900 1,149 628,377 453,019 1,350 450,989 409,739 1,080
2026 426,217 305,238 1,009 557,767 431,124 1,180 398,927 360,488 947
2027 385,537 292,254 905 503,265 415,133 1,049 359,356 346,724 845
2028 353,110 282,732 823 458,906 403,783 944 328,014 334,960 766
2029 327,544 275,416 758 422,600 395,147 860 302,887 322,689 702
2030 308,087 270,563 708 393,890 388,158 793 281,972 259,262 649
2031 291,028 266,230 666 369,381 381,639 737 265,948 263,710 610
2032 274,717 262,615 625 348,054 375,570 689 253,789 266,390 579
2033 261,005 260,373 592 329,137 367,276 647 243,548 268,519 554
2034 249,107 249,273 562 312,382 363,822 610 234,528 269,824 532
2035 239,987 250,077 540 297,205 361,287 577 226,868 271,108 513
2036 232,119 250,951 522 282,609 340,149 547 220,172 272,571 497
Case#1 Case#2 Case#3
Yearly Production Forecast
Table 46: Yearly production forecast for three cases
Oil rate Water rate Gas Rate Total Liquid Cumulative
Recovery
Factor
Year Oil (bbl) Water (bbl) Gas (mmscf) bopd bwpd mmscf/d GOR WC % rate bpd oil (bbl) %
2015 0 0 0 0 0 0 0 0.00 0 0
2016 1,579,737 245,263 5211.87 4328 672 14.28 3299 13.44 1,825,000 12637897 3.388
2017 1,500,723 324,277 4951.18 4112 888 13.56 3299 17.77 1,825,000 24643678 6.607
2018 1,456,860 368,140 4644.54 3991 1009 12.72 3188 20.17 1,825,000 36298558 9.732
2019 1,381,663 443,337 4030.67 3785 1215 11.04 2917 24.29 1,825,000 47351863 12.695
2020 1,266,940 521,108 3444.74 3471 1428 9.44 2719 29.14 1,788,047 57487379 15.412
2021 1,053,254 497,681 2709.63 2886 1364 7.42 2573 32.09 1,550,935 65913412 17.671
2022 819,123 428,354 2045.78 2244 1174 5.60 2498 34.34 1,247,477 72466397 19.428
2023 680,665 386,605 1662.63 1865 1059 4.56 2443 36.22 1,067,270 77911719 20.888
2024 560,675 349,625 1351.72 1536 958 3.70 2411 38.41 910,300 82397117 22.090
2025 481,807 323,900 1149.50 1320 887 3.15 2386 40.20 805,706 86251570 23.124
2026 426,217 305,238 1008.99 1168 836 2.76 2367 41.73 731,455 89661304 24.038
2027 385,537 292,254 905.47 1056 801 2.48 2349 43.12 677,792 92745603 24.865
2028 353,110 282,732 822.69 967 775 2.25 2330 44.47 635,841 95570480 25.622
2029 327,544 275,416 757.67 897 755 2.08 2313 45.68 602,960 98190833 26.325
2030 308,087 270,563 708.49 844 741 1.94 2300 46.76 578,650 100655530 26.985
2031 291,028 266,230 665.73 797 729 1.82 2288 47.78 557,258 102983754 27.610
2032 274,717 262,615 625.21 753 719 1.71 2276 48.87 537,332 105181488 28.199
2033 261,005 260,373 591.53 715 713 1.62 2266 49.94 521,378 107269524 28.759
2034 249,107 249,273 562.45 682 683 1.54 2258 50.02 498,380 109262384 29.293
2035 239,987 250,077 540.49 657 685 1.48 2252 51.03 490,063 111182277 29.808
2036 232,119 250,951 521.58 636 688 1.43 2247 51.95 483,070 113039228 30.305
The table 35 shows the production forecast for Case 1 for 20 years. The water cut for the
year 2036 comes out to be 52% but for our case, the project is closed in the year 2035 with
the water cut of 51% instead of 52% and recovery factor of almost 30% because after 2035
the project start to lose money which is not economically viable.
Recovery factor can be calculated with the help volume calculation (STOIIP) which is taken
from petrel and it comes out to be 373 million STB.
8.3 Capital Expenditure (CAPEX)
Capital expenditure is the amount which is invested before the start of the production of the
project. It means that significant amount is needed to be spend before the production. The
most considerable amount is spend on vertical and lateral drilling of the wells. The cost of
drilling of each vertical well is £29,000,000 whereas for lateral well it is assumed that the
cost of each well is 2.5 times more the cost of vertical well. Altogether there are 8 producer
wells and 2 injector wells for case 1.
Abandonment cost is also added to the Capex at the end of the life of the project when the
wells are abandoned. Abandonment cost for each well is £8,000,000. Capital Expenditures
for Case 1 are shown in Table 4 given below:
Figure 55: Production of Water and Oil for Case 1
£ '000 £ '000
Item Description No off Each Product
a Separator 3 1000 3000
a Compressor 1 1100 1100
a Spliter 1 1000 1000
a Pump 1 1200 1200
a Scrubber 1 1000 1000
a Cooler/Heater 5 700 3500
a Control valve 3 47 141
a Hydrocyclone 2 448 896
a Coalescer modification 1 430 430
a Metering 3 996 2988
a Drilling (1 well) 10 29000 290000
a Flowline 2 7000 14000
a Total equipment cost (A) 319255
b Piping, 30% of (A) 95777
c Control Room upgrade 1 700 700
d Electrical cabling, 17% of (A) 54273.35
Subtotal a-d 470005
e Cost of site works, 32% of a-d 150401.552
Subtotal a-e 620406
f Design and engineering, 17% of a-e 105469.088
Subtotal a-f 725875
g Contractor's contingency, 4% of a-f 29035.0196
h Contractor's profit, 12% of a-f 87105.0588
i Total of plant and works contract 842016
Provision of onshore support services (20% of i) 168403.114
j Well Abandonment 10 8000 80000
k CAPEX increment ( unforeseen expediture etc) 0% 0 0
Total CAPEX investment /£ 1010419
CAPEX distribution /£ Year % total CAPEX / yr
1 60% 606251.400
2 25% 252604.750
3 15% 151562.850
Total 1010419
Table 48: Capital Expenditures for Case 1
8.4 Operating Expenditure (OPEX)
Operational cost is the cost that is used for production and maintenance of the field.
Operational cost consist of variable cost which includes process tariff, chemical and water
treatment, process utilities and maintenance cost along with fixed cost which consists of
salary cost, salary overhead and operating cost of the well.
Table 38 shows the operational expenditures of variable cost for Case 1.
Year Oil (bbl) Water (bbl)
Total Liquid
(oil +
water)
Water Cut % Gas (mmscf) WOC ($/day) Total WOC
Process Tariff for
Offshore Production
facility
Chemical and
Water
Treatment
costs
Process utilities
(power)
Total process
cost
Maintainence(7% of
total process cost)
General
company
overhead(8%
total process
cost)
Total Variable
Cost
2014
2015 0 0 0 0 0 0 0 0 0 0 0 0 0 0
2016 1,579,737 245,263 1,825,000 13 5211.87 10000 100000 6476922.422 1054630 1496500 9028052.59 631963.6813 722244.2072 10382260.48
2017 1,500,723 324,277 1,825,000 18 4951.18 10000 100000 6152962.507 1394393 1496500 9043855.555 633069.8889 723508.4444 10400433.89
2018 1,456,860 368,140 1,825,000 20 4644.54 10000 100000 5,973,126 1583002 1496500 9052627.895 633683.9526 724210.2316 10410522.08
2019 1,381,663 443,337 1,825,000 24 4030.67 10000 100000 5,664,818 1906349 1496500 9067667.424 634736.7197 725413.3939 10427817.54
2020 1,266,940 521,108 1,788,047 29 3444.74 10000 100000 5,194,452 2240763 1466199 8901413.648 623098.9554 712113.0919 10236625.7
2021 1,053,254 497,681 1,550,935 32 2709.63 10000 100000 4,318,342 2140026 1271766 7730134.561 541109.4192 618410.7648 8889654.745
2022 819,123 428,354 1,247,477 34 2045.78 10000 100000 3,358,405 1841921 1022931 6223256.391 435627.9474 497860.5113 7156744.849
2023 680,665 386,605 1,067,270 36 1662.63 10000 100000 2,790,728 1662402 875162 5328291.473 372980.4031 426263.3179 6127535.194
2024 560,675 349,625 910,300 38 1351.72 10000 100000 2,298,767 1503389 746446 4548601.642 318402.115 363888.1314 5230891.889
2025 481,807 323,900 805,706 40 1149.50 10000 100000 1,975,407 1392768 660679 4028854.039 282019.7827 322308.3231 4633182.145
2026 426,217 305,238 731,455 42 1008.99 10000 100000 1,747,489 1312523 599793 3659804.909 256186.3436 292784.3927 4208775.645
2027 385,537 292,254 677,792 43 905.47 10000 100000 1,580,703 1256694 555789 3393185.788 237523.0051 271454.863 3902163.656
2028 353,110 282,732 635,841 44 822.69 10000 100000 1,447,750 1215746 521390 3184885.61 222941.9927 254790.8488 3662618.451
2029 327,544 275,416 602,960 46 757.67 10000 100000 1,342,931 1184287 494427 3021644.716 211515.1301 241731.5773 3474891.423
2030 308,087 270,563 578,650 47 708.49 10000 100000 1,263,157 1163419 474493 2901068.755 203074.8129 232085.5004 3336229.068
2031 291,028 266,230 557,258 48 665.73 10000 100000 1,193,215 1144791 456952 2794957.558 195647.029 223596.6046 3214201.191
2032 274,717 262,615 537,332 49 625.21 10000 100000 1,126,339 1129244 440612 2696195.189 188733.6632 215695.6151 3100624.467
2033 261,005 260,373 521,378 50 591.53 10000 100000 1,070,119 1119605 427530 2617252.937 183207.7056 209380.235 3009840.878
2034 249,107 249,273 498,380 50 562.45 10000 100000 1,021,340 1071874 408672 2501885.866 175132.0106 200150.8693 2877168.746
2035 239,987 250,077 490,063 51 540.49 10000 100000 983,946 1075330 401852 2461127.49 172278.9243 196890.1992 2830296.614
2036 232,119 250,951 483,070 52 521.58 10000 100000 951,687 1079091 396118 2426895.522 169882.6865 194151.6417 2790929.85
Total till
2035 13,897,785 6,854,011 20,983,914 57932604.51 29472245.47 17206809.57 104611659.6 7322816.169 8368932.765 120,303,408
Table 49: Variable cost for case 1
Salary
Cost(50,000 per
person per
year)
Salary
overhead(31%
of the salary)
Maintance(10%
of the total
Capital Cost)
Operating Cost
of Well
Total Fixed Cost
0 0 0 0 0
2,100,000 651,000 101,041,900 36,500,000 140292900
2,100,000 651,000 101,041,900 36,500,000 140292900
2,100,000 651,000 101,041,900 36,500,000 140292900
2,100,000 651,000 101,041,900 36,500,000 140292900
2,100,000 651,000 101,041,900 36,500,000 140292900
2,100,000 651,000 101,041,900 36,500,000 140292900
2,100,000 651,000 101,041,900 36,500,000 140292900
2,100,000 651,000 101,041,900 36,500,000 140292900
2,100,000 651,000 101,041,900 36,500,000 140292900
2,100,000 651,000 101,041,900 36,500,000 140292900
2,100,000 651,000 101,041,900 36,500,000 140292900
2,100,000 651,000 101,041,900 36,500,000 140292900
2,100,000 651,000 101,041,900 36,500,000 140292900
2,100,000 651,000 101,041,900 36,500,000 140292900
2,100,000 651,000 101,041,900 36,500,000 140292900
2,100,000 651,000 101,041,900 36,500,000 140292900
2,100,000 651,000 101,041,900 36,500,000 140292900
2,100,000 651,000 101,041,900 36,500,000 140292900
2,100,000 651,000 101,041,900 36,500,000 140292900
2,100,000 651,000 101,041,900 36,500,000 140292900
2,100,000 651,000 101,041,900 36,500,000 140292900
44100000 13671000 2121879900 766500000 2,946,150,900
Table 50: Fixed cost for Case 1
Year
Opex(Variable+Fixed) Capex Capex+Opex
2014 0 606251400 606251400
2015 0 252604750 252604750
2016 150675160.5 151562850 302238010.5
2017 150693333.9 150693333.9
2018 150703422.1 150703422.1
2019 150720717.5 150720717.5
2020 150529525.7 150529525.7
2021 149182554.7 149182554.7
2022 147449644.8 147449644.8
2023 146420435.2 146420435.2
2024 145523791.9 145523791.9
2025 144926082.1 144926082.1
2026 144501675.6 144501675.6
2027 144195063.7 144195063.7
2028 143955518.5 143955518.5
2029 143767791.4 143767791.4
2030 143629129.1 143629129.1
2031 143507101.2 143507101.2
2032 143393524.5 143393524.5
2033 143302740.9 143302740.9
2034 143170068.7 143170068.7
2035 143123196.6 143123196.6
2036 143083829.9 143083829.9
Total till
2035 3066454308 1010419000 3933789479
Year Oil (bbl) Water (bbl)
Total Liquid
(oil +
water)
Water Cut % Gas (mmscf) WOC ($/day) Total WOC
2014
2015 0 0 0 0 0 0 0
2016 1,579,737 245,263 1,825,000 13 5211.87 10000 100000
2017 1,500,723 324,277 1,825,000 18 4951.18 10000 100000
2018 1,456,860 368,140 1,825,000 20 4644.54 10000 100000
2019 1,381,663 443,337 1,825,000 24 4030.67 10000 100000
2020 1,266,940 521,108 1,788,047 29 3444.74 10000 100000
2021 1,053,254 497,681 1,550,935 32 2709.63 10000 100000
2022 819,123 428,354 1,247,477 34 2045.78 10000 100000
2023 680,665 386,605 1,067,270 36 1662.63 10000 100000
2024 560,675 349,625 910,300 38 1351.72 10000 100000
2025 481,807 323,900 805,706 40 1149.50 10000 100000
2026 426,217 305,238 731,455 42 1008.99 10000 100000
2027 385,537 292,254 677,792 43 905.47 10000 100000
2028 353,110 282,732 635,841 44 822.69 10000 100000
2029 327,544 275,416 602,960 46 757.67 10000 100000
2030 308,087 270,563 578,650 47 708.49 10000 100000
2031 291,028 266,230 557,258 48 665.73 10000 100000
2032 274,717 262,615 537,332 49 625.21 10000 100000
2033 261,005 260,373 521,378 50 591.53 10000 100000
2034 249,107 249,273 498,380 50 562.45 10000 100000
2035 239,987 250,077 490,063 51 540.49 10000 100000
2036 232,119 250,951 483,070 52 521.58 10000 100000
Total till
2035 13,897,785 6,854,011 20,983,914
Table 51: OPEX for Case 1
8.5 Revenue and Cash Flow
For the development of the field, oil price is set at $75 per barrel and the price of gas export
is set at $4000 MMscf. Financial rates include Petroleum Revenue Tax which is set at 35%,
Corporation tax is set at 20% whereas Supplementary tax is set at around 1%. The revenues
on the basis of these taxation rates for the next 20 years are as follow:
The net cash flow is calculated by taking off the total revenue from the sum of Capex and
Total Annual Net Annual Net Annual
Year CAPEX OPEX Oil price Gas Price Oil Revenue Gas Revenue Revenue Cash Flow PRT CT ST
Cash Flow After
Tax
£ £ £ / bbl £/MMscf £ £ £ 35% 20% 1% £
2014 606,251,400- 606,251,400- 0 0 0 606,251,400.00-
2015 252,604,750- 75 4000 252,604,750- 0 0 0 252,604,750.00-
2016 151,562,850- 150,675,160- 75 4000 947,842,306 20,847,475 968,689,781 666,451,771 233,258,120 133,290,354 3,332,259 296,571,037.96
2017 150,693,334- 75 4000 900,433,538 19,804,735 920,238,273 769,544,939 269,340,729 153,908,988 3,847,725 342,447,497.84
2018 150,703,422- 75 4000 874,116,037 18,578,156 892,694,194 741,990,772 259,696,770 148,398,154 3,709,954 330,185,893.35
2019 150,720,718- 75 4000 828,997,813 16,122,666 845,120,480 694,399,762 243,039,917 138,879,952 3,471,999 309,007,894.07
2020 150,529,526- 75 4000 760,163,730 13,778,967 773,942,697 623,413,172 218,194,610 124,682,634 3,117,066 277,418,861.43
2021 149,182,555- 75 4000 631,952,483 10,838,506 642,790,989 493,608,434 172,762,952 98,721,687 2,468,042 219,655,753.31
2022 147,449,645- 75 4000 491,473,844 8,183,121 499,656,966 352,207,321 123,272,562 70,441,464 1,761,037 156,732,257.88
2023 146,420,435- 75 4000 408,399,174 6,650,529 415,049,702 268,629,267 94,020,244 53,725,853 1,343,146 119,540,023.92
2024 145,523,792- 75 4000 336,404,870 5,406,873 341,811,744 196,287,952 68,700,783 39,257,590 981,440 87,348,138.50
2025 144,926,082- 75 4000 289,083,955 4,597,990 293,681,945 148,755,863 52,064,552 29,751,173 743,779 66,196,359.08
2026 144,501,676- 75 4000 255,730,054 4,035,966 259,766,019 115,264,344 40,342,520 23,052,869 576,322 51,292,632.92
2027 144,195,064- 75 4000 231,322,402 3,621,876 234,944,279 90,749,215 31,762,225 18,149,843 453,746 40,383,400.62
2028 143,955,518- 75 4000 211,865,802 3,290,741 215,156,543 71,201,025 24,920,359 14,240,205 356,005 31,684,455.99
2029 143,767,791- 75 4000 196,526,492 3,030,661 199,557,153 55,789,361 19,526,276 11,157,872 278,947 24,826,265.83
2030 143,629,129- 75 4000 184,852,274 2,833,943 187,686,217 44,057,088 15,419,981 8,811,418 220,285 19,605,404.09
2031 143,507,101- 75 4000 174,616,766 2,662,916 177,279,682 33,772,580 11,820,403 6,754,516 168,863 15,028,798.31
2032 143,393,524- 75 4000 164,830,050 2,500,830 167,330,879 23,937,355 8,378,074 4,787,471 119,687 10,652,122.93
2033 143,302,741- 75 4000 156,602,734 2,366,111 158,968,846 15,666,105 5,483,137 3,133,221 78,331 6,971,416.67
2034 143,170,069- 75 4000 149,464,453 2,249,811 151,714,264 8,544,196 2,990,468 1,708,839 42,721 3,802,167.01
2035 143,123,197- 75 4000 143,992,027 2,161,965 146,153,992 3,030,796 1,060,779 606,159 15,154 1,348,704.15
2036 -80000000 143,083,830- 75 4000 139,271,319 2,086,301 141,357,620 81,726,210- 28,604,173- 16,345,242- 408,631- 36,368,163.30-
Table 52: Revenue and Cash Flow for Case 1
Opex.
According to table 49, the project should stop at the year 2035 because the cash flow is
going to be negative in the year 2036 which is not acceptable economically. Figure 2 show
annual cash flow after tax with respect to the number of years.
Figure 56: Annual Cash Flow for Case 1
Figure 57: Cumulative Cash Flow for Case 1
Taxes are not apply on those years where’s the company’s cash flow is negative.
8.6 Net Present Value (NPV)
From the Case 1, maximum NPV is obtained which is £800,805,935. The Case 1 comprises of
8 producer wells which are all vertical and 2 injector wells for the project life of 20 years.
NPV obtained from Case 2 is £749,325,846 which is less from Case 1 but the NPV obtained
from Case 3 is £683,993,930 which is less as compared to both of the first two cases.
Figure 58: Discounted Cash Flow for Case 1
Case NPV(£)
1 800,805,935
2 749,325,846
3 683,993,930
Table 53: NPV for all three cases
If NPV is increasing, it means that project is in profitable range but if NPV starts decreasing
and cash flow starts to become negative then in that case production is needed to be
stopped because the project will not remain profitable at decreasing Net Present Values.
Figure 49: NPV vs Time
Discount factor
Annual Cash
flow
Discounted
cash flow Net present value
2014 0 1.000 -606251400 -606251400 606,251,400-
2015 1 0.935 -252604750 -236079206 842,330,606-
2016 2 0.873 296571038 259036630 583,293,975-
2017 3 0.816 342447498 279539165 303,754,810-
2018 4 0.763 330185893 251897237 51,857,573-
2019 5 0.713 309007894 220318358 168,460,785
2020 6 0.666 277418861 184855901 353,316,686
2021 7 0.623 219655753 136790564 490,107,250
2022 8 0.582 156732258 91219601 581,326,851
2023 9 0.544 119540024 65021853 646,348,703
2024 10 0.508 87348138 44403364 690,752,068
2025 11 0.475 66196359 31449413 722,201,481
2026 12 0.444 51292633 22774542 744,976,024
2027 13 0.415 40383401 16757676 761,733,699
2028 14 0.388 31684456 12287778 774,021,477
2029 15 0.362 24826266 8998181 783,019,659
2030 16 0.339 19605404 6641029 789,660,687
2031 17 0.317 15028798 4757733 794,418,420
2032 18 0.296 10652123 3151579 797,569,999
2033 19 0.277 6971417 1927655 799,497,654
2034 20 0.258 3802167 982552 800,480,206
2035 21 0.242 1348704 325730 800,805,935
2036 22 0.226 -36368163 -8208773 792,597,162
Year
Table 54: NPV for Case 1
8.7 Payback
The most suitable payback period is 4 years for Case 1. Since the Capex and Opex for both
Case 1 and Case 3 are same because same number of wells and injectors are drilled for both
the cases along with the same well strategies but payback of Case 2 is 4.5 years. Case 2
differs from both case 1 and case 3 because payback time for case 2 is 5 years (2020).
Figure 60: Payback time of the project for Case 1
Table 55: Summary chart for Case 1
Pay back time 5 Years (in 2020)
Project Life time 20 Years
Unit technical cost £/bbl (Capex) 8.77
Unit technical cost £/bbl (Capex + Opex) 33
Internal rate of return (IRR) 22%
Recovery Factor 29%
NPV(£) 749,325,846
Case#02
Table 56: Summary chart for Case 2
Pay back time 4 Years (in 2019)
Project Life time 20 Years
Unit technical cost £/bbl (Capex) 9
Unit technical cost £/bbl (Capex + Opex) 35
Internal rate of return (IRR) 24%
Recovery Factor 30%
NPV(£) 800,805,935
Case#01
According to table 11 and figure 7, the unit technical cost (Capex) is £9 whereas unit
technical cost ( Capex + Opex) is £35 which shows that both of them are well below the
selling price of oil which is £75/bbl. Also from Table 15, both of them are reasonably below
from the forecasted drop of oil’s price.
8.8 Internal Rate of Return
The IRR allows the company to make a better judgement on the development of the field
according to economics point of view. The IRR for case 1 is calculated to be 24% which is
reasonably greater than the discount factor which was taken to be 7% and it is positive sign
for the project and project will be in profit. NPV can be adjusted to zero by using the IRR and
by making changes in discount rates.
Pay back time 4.5Years (in 2019)
Project Life time 18 Years
Unit technical cost £/bbl (Capex) 9.45
Unit technical cost £/bbl (Capex + Opex) 37
Internal rate of return (IRR) 22%
Recovery Factor 27%
NPV(£) 683,993,930
Case#03
Table 57: Summary chart for Case 3
Case IRR
1 24%
2 22%
3 22%
Table 58: IRR for all three cases
Figure 61: UTC (Capex) and UTC (Capex+Opex) for Case 1
8.9Sensitivity Analysis
The sensitivity analysis is carried out for four different parameters:
 Oil Price
 Capex
 Corporation Tax
 Discounted Cash Factor
It indicates that different parameters have different effects on NPV. It also indicates that there
is a linear relationship between the four parameters and NPV. It can be seen from the Table
15 that as the oil’s price is increased, value of NPV is also increased. The sensitivity plot and
tornado diagram shows the steepest slope for the price of the oil which means that the
greatest risk is involved with the oil’s price. From Table 16, Table 17 and Table 18, it is noted
that as the values of Capex, DCF and CT are increased, NPV began to decrease and vice
versa. It is also noted from tornado diagram that Capex and CT are less risky as compared to
oil’s price. The parameter which is the least threat to the economics of the field is DCF
.
Factor £ / bbl % £/bbl NPV % NPV
-20% 60.0 -20.0 339453104 -58
-15% 63.8 -15.0 456329155 -43
-10% 67.5 -10.0 570129520 -29
-5% 71.3 -5.0 687005571 -14
Base case 0% 75.0 0.0 800805935 0
5% 78.8 5.0 917681986 15
10% 82.5 10.0 1031482351 29
15% 86.3 15.0 1148358402 43
20% 90.0 20.0 1262158767 58
Oil Price
Factor CAPEX £'000 Capex change % NPV % NPV
-20% 808335 -20 1070090762 34
-15% 858856 -15 1002769555 25
-10% 909377 -10 935448349 17
-5% 959898 -5 868127142 8
Base case 0% 1010419 0 800805935 0
5% 1060940 5 733484729 -8
10% 1111461 10 666163522 -17
15% 1161981 15 598843648 -25
20% 1212502 20 531522441 -34
CAPEX
Table 59: Sensitivity Analysis of Oil price for Case 1
Factor DF DF % change NPV % NPV
-20% 5.60% -20 918387687 15
-15% 5.95% -15 887771646 11
-10% 6.30% -10 857988797 7
-5% 6.65% -5 829009635 4
Base case 0% 7.00% 0 800805935 0
5% 7.35% 5 773350687 -3
10% 7.70% 10 746618031 -7
15% 8.05% 15 720583203 -10
20% 8.40% 20 695222481 -13
Discounted Cash Factor
Table 60: Sensitivity Analysis of DCF for Case 1
Table 61: Sensitivity Analysis of Capex for Case 1
Figure 62: Tornado Diagram for Case 1
Factor Corporation Tax CT% change NPV % NPV
-20% 16.00% -20 948503602 18
-15% 17.00% -15 911579185 14
-10% 18.00% -10 874654769 9
-5% 19.00% -5 837730352 5
Base case 0% 20.00% 0 800805935 0
5% 21.00% 5 763881519 -5
10% 22.00% 10 726957102 -9
15% 23.00% 15 690032686 -14
20% 24.00% 20 653108269 -18
Corporation Tax
Table 62: Sensitivity Analysis of CT for Case 1
8.9.1 Economic Justification
Case 1 is economically the strongest case which has highest NPV of £800,805,935. Case 1 has
approximately 12% more NPV than Case 3. Other than this, Case 1 also represents the
earliest payback period at 4 years.
The value of IRR for Case 1 is 24% whereas for Case 2 and Case 3, the value of IRR is
calculated to be 22%. Also the recovery factor for the Case 1 is nearly 30% whereas for Case
2 and Case 3, recovery factors are 29% and 27% respectively. The life time of project for Case
1 is also considered to be best for 20 years, though it is same to the life time of the project of
Case 2 but the value of NPV of Case 2 is relatively lower as compared to Case 1. Therefore
Case 1 is economically best scenario from any aspect for the development of the field.
9. Health, Safety and Environment Impact
9.1 Health and Safety Overview
To follow and maintain health and safety in the working area should be main goal of any
organization. Safety to all the staff members and environmental impact has to be carefully
under consideration before oil field development.
Environmental Impact assessment should be conducted to determine the possible hazard
and safety issues and the impact of the project on the environment during project’s life. In
order to achieve this task, for various different emergency scenarios, Safety procedures must
be understood and well-practised by all staff members of the oil field,
The organization should make sure that, they are training all staff members to conduct
health and safety regulation in the working area, and having them refreshment safety
courses for every few of years.
Environmental management standards should be followed to avoid or to reduce to the
minimum the oil field development impact on environment and local inhabits of the nearby
the area.
Tool box talks on Rig
Tool box talks before and after working are very important for all staff members who are involved in
development of the oil field to keep them updated about their daily work plan and any potential risk
and danger which may be arises while performing their duties, and how to avoid or to minimize
them.
Weekly safety meeting
It is important to conduct a weekly safety meeting. So as all staff members should be aware with
what happened during that week regarding to the health and safety regulation and to review and
improving the situation for the safety all and environmental impact.
Training courses
One of the responsibilities of organisation is to train operations how to deal with environmental
challenges and to how to respond when emergency situation happens due to activities at different
stages of the production of the oil field.
Emissions of gases and dust e.g. H2S gas, Oil spills and blowout incident are some of the emergency
situation which may arises.
9.2 Drill Cuttings Disposal
Toxic and non-toxic waste generated from the Oilfield will be disposed of in accordance to
European Union and International Standards to ensure that the environment is preserved.
During drilling process, drill cuttings which are small rock particles from large chunk of the
Rock will be recycled and the rest disposed. Or drilling cuttings can be disposal s after
separation from the drilling mud; depending on the drilling fluid used them may be taken
onshore and dealt with there.
Figure 63: Drill Cuttings
9.3 Containment of Spills of Contaminated Fluids
Failure of equipment and facilities may result to Oil spills. The degree of damage that is likely
to ensue as a result of oil spills vary from case to case depending on quite a few factors.
These factors include; amount of spilled oil, the location of spill, type and viscosity of the oil
and the living things in the area.
Environmental pollution Control will be applied during the development of the Oilfield. And
reservoir fluid must be carefully controlled during drilling and production. Measures will be
taken to prevent any oil spill and blowout or pipeline leakage also Spill contingency plans will
be in placed in an event of any spillage.
Figure 64: An example of a blowout incident
Figure 65: Oil Spill
9.4 Environmental Conservation
9.4.2 Emissions Control
The 1999 act for Pollution prevention and control governs the emissions associated with
Field operation, classified under industrial emissions.
The oil field development should be designed to control the carbon emission and other
polluting emissions from gas flaring and the burning of fuel so as to reduce air pollution.
10. Abandonment/Decommissioning
When the field is no longer economic profitable, abandonment of the field will commence
During this final stage of the Field, a suitable plan is required to allow the safe, efficient and
environmentally responsible removal and disposal of equipment and structures while
complying with all relevant government regulations and cooperating with all involved parties
at each stage of the decommissioning.
The purpose of the abandonment plan is to use minimum cost as possible to retain the place
as closely as it was before.
The effective plans for down hole abandonment, treatment and disposal of operating fluids,
removal of top surface equipment such as wellheads and completion piping, and also
isolation of any equipment to be left in place such as certain section of buried piping and
tanks. A full environmental impact study for the abandonment process will need to be
conducted in addition to the study for the Field development and operation, in order to
examine the risks of these issues occurring Field, and ways in which the risk may be reduced,
and the consequences from such an incidence occurring reduced.
10.1 Environment Impact Mitigation
A full comprehensive Environmental Impact Assessment (EIA) is to be conducted and
Environmental Impact Statement (EIS) to be published especially to ensure the wellbeing of
marine life in the region. Hazard and Operability Analysis (HAZOP) and Hazard Identification
(HAZID) workshops are required to be conducted.
Reliability and maintenance plans and schedules needs to be implemented and costing to be
implemented. This is to prevent potential leakages and “blow-outs” damaging the
environment and may lead to eventual well shut-ins.
The Company will look into carbon emission trading schemes to offset any excess carbon
dioxide released into the atmosphere to maintain environmental responsibility and ethical
policies in the North Sea region.
11.References
1. Abdel-Aal H. K. and Alsalawi M. A., (2014). Petroleum Economics and Engineering
(Third Edition). United Sates of America: Taylor and Francis Group
2. Abdel-Aal, H.K, Fahim, M.A and Aggour, M. (2003). Petroleum and Gas Field
Processing. New York: Marcel Dekker Inc., Chapter 3-12.
3. A.T. Bourgoyne et al; (1986) Applied Drilling Engineering, SPE Textbook Vol. 2.
4. American Petroleum Institute (1998) Recommended Practice for Drill Stem Design
and Operating Limits: API Recommended Practice 7G. 16th ed. Washington DC.
[Online] Available from: http://www.api.org/publications [Accessed: 15 June 2014].
5. Gluyas. J, Hichens. M. (Eds.) (2003) United Kingdom Oil and Gas Fields
Commemorative Millennium Volume. London: The Geological Society.
6. British Geological Survey. (No Date) The BGS Lexicon of Named Rock Units —
Result Details (Online) Available at:
http://www.bgs.ac.uk/lexicon/lexicon.cfm?pub=KC [ Accessed 18th
June 2014]
7. BP (May 2011). Don Field Decommissioning Programme
8. Department of Energy and Climate Change (March 2014) Oil and gas:
decommissioning of offshore installations and pipelines. Last accessed 23rd
June
2014. Available at: https://www.gov.uk/oil-and-gas-decommissioning-of-
offshorehttps://www.gov.uk/oil-and-gas-decommissioning-of-offshore-installations-
and-pipelinesinstallations-and-pipelines
9. Economides M, Hill A. D. and Ehlig-Economides C. (2009) Petroleum Production
System, New Jersey
10. Fauzi M.H. and Sulaiman R.W., (2014) Department of Petroleum Engineering Faculty
of Petroleum & Renewable Engineering Universiti Technologi Malaysia. [Online]
Available from: http://ocw.utm.my/file.php/12/Chapter_6-OCW.pdf [Accessed 20 June
2014].
11. Gautier. L. (May 2005) Kimmeridgian Shales Total Petroleum System of the North
Sea Graben Province (Online) Available at: http://www.usgs.gov/ [ Accessed 18th
June 2014]
12. Glennie. K. W. (2009) Petroleum Geology of the North Sea: Basic Concepts and
Recent Advances. Fourth Edition. John Wiley and Sons (Online) Available at:
http://books.google.co.uk/books?id=VDMBxuRu32QC&printsec=frontcover&source=
gbs_ge_summary_r&cad=0#v=onepage&q&f=false
13. Hannesson R, (1998). Petroleum Economics: Issues and Strategies of Oil and
Natural Gas Production. United States of America: Quorum Books
14. Ide. S, Friedmann. S, Herzog. H. (2006). CO2 Leakage through Existing Wells:
Current Technology and Regulations. Presented at the 8th Greenhouse Gas
Technology Conference, June 19-22, 2006, Trondheim, Norway.
15. Jahn, F., Cook, M., and Graham, M. (2008) Hydrocarbon Exploration and Production.
2nd ed. Amsterdam: Elsevier, pp. 265-290.
16. Johnson. H, Leslie. A, Wilson. C, Andrews. I, Cooper. R. (2005). Middle Jurassic,
Upper Jurassic and Lower Cretaceous of the UK Central and Northern North Sea.
Nottingham: British Geological Survey.
17. Oil Industry Safety Directorate. (No Date) Guideline for Well Abandonment. Last
accessed 20th
June 2014. Available at:
http://oisd.gov.in/PDF/GuidelinesForWellAbandonment.pdf
18. Petroleum Experts (IPM Tutorials). (2004). Petroleum Experts
19. Rabia H. and Law K (1986). Oilwell Drilling Engineering: Principles and Practice,
Kluwer Law International
20. Rahman, S. S., & Chilingarian, G. V. (1995). Casing Design-Theory and Practice (Vol.
42). Elsevier.
21. Rigzone (No Date). How Does Decommissioning Work? (Online) Last accessed 20th
June 2014 Available at: http://www.rigzone.com/training/insight.asp?i_id=354
22. Scotchman. I, Johnes. L, Miller. R (15th
February 1989). Clay Diagenesis and Oil
Migration in Brent Group Sandstones of NW Hutton Field, UK North Sea. (Online) The
Mineralogical Society. Last accessed on 24th
June 2014 Available at:
http://www.minersoc.org/pages/Archive-CM/Volume_24/24-2-339.pdf
23. Trice Jr M.L. (1992), Reservoir Management Practices, JPT December 1992
12. Appendix
Production Forecast:
Case 2:
Case 3
Revenue and Cash Flow:
Oil rate Water rate Gas Rate Total Liquid Cumulative
Recovery
Factor
Year Oil (bbl) Water (bbl) Gas (mmscf) bopd bwpd mmscf/d GOR WC % rate bpd oil (bbl) %
2015 0 0 0 0 0 0 0 0.00 0 0
2016 1,537,595 287,405 5072.83 4213 787 13.90 3299 15.75 1,825,000 12300759 3.298
2017 1,455,174 369,826 4800.91 3987 1013 13.15 3299 20.26 1,825,000 23942150 6.419
2018 1,407,796 417,204 4499.93 3857 1143 12.33 3196 22.86 1,825,000 35204519 9.438
2019 1,322,820 502,180 3856.68 3624 1376 10.57 2916 27.52 1,825,000 45787075 12.275
2020 1,176,637 560,068 3209.59 3224 1534 8.79 2728 32.25 1,736,705 55200169 14.799
2021 980,185 559,377 2538.62 2685 1533 6.96 2590 36.33 1,539,561 63041646 16.901
2022 766,759 518,294 1922.72 2101 1420 5.27 2508 40.33 1,285,053 69175718 18.546
2023 624,850 484,196 1538.00 1712 1327 4.21 2461 43.66 1,109,045 74174515 19.886
2024 520,709 443,583 1262.63 1427 1215 3.46 2425 46.00 964,293 78340190 21.003
2025 450,989 409,739 1079.99 1236 1123 2.96 2395 47.60 860,728 81948100 21.970
2026 398,927 360,488 946.74 1093 988 2.59 2373 47.47 759,415 85139514 22.826
2027 359,356 346,724 845.49 985 950 2.32 2353 49.11 706,079 88014361 23.596
2028 328,014 334,960 765.54 899 918 2.10 2334 50.52 662,974 90638471 24.300
2029 302,887 322,689 701.70 830 884 1.92 2317 51.58 625,576 93061564 24.949
2030 281,972 259,262 649.49 773 710 1.78 2303 47.90 541,233 95317338 25.554
2031 265,948 263,710 609.61 729 722 1.67 2292 49.79 529,658 97444920 26.125
2032 253,789 266,390 579.42 695 730 1.59 2283 51.21 520,179 99475230 26.669
2033 243,548 268,519 554.15 667 736 1.52 2275 52.44 512,067 101423612 27.191
2034 234,528 269,824 532.02 643 739 1.46 2268 53.50 504,352 103299838 27.694
2035 226,868 271,108 513.23 622 743 1.41 2262 54.44 497,976 105114781 28.181
2036 220,172 272,571 496.83 603 747 1.36 2257 55.32 492,743 106876160 28.653
Oil rate Water rate Gas Rate Total Liquid Cumulative
Recovery
Factor
Year Oil (bbl) Water (bbl) Gas (mmscf) bopd bwpd mmscf/d GOR WC % rate bpd oil (bbl) %
2015 0 0 0 0 0 0 0 0.00 0 0
2016 1,551,704 273,296 4479.46 4251 749 12.27 2887 14.98 1,825,000 10861928 2.912
2017 1,464,485 360,515 4227.68 4012 988 11.58 2887 19.75 1,825,000 21113325 5.660
2018 1,430,902 394,098 4130.73 3920 1080 11.32 2887 21.59 1,825,000 31129639 8.346
2019 1,366,393 458,607 3692.68 3744 1256 10.12 2703 25.13 1,825,000 40694394 10.910
2020 1,282,577 542,423 3248.69 3514 1486 8.90 2533 29.72 1,825,000 49672432 13.317
2021 1,150,110 589,809 2763.13 3151 1616 7.57 2402 33.90 1,739,919 57723205 15.475
2022 990,912 592,072 2280.90 2715 1622 6.25 2302 37.40 1,582,985 64659591 17.335
2023 856,476 555,059 1907.35 2347 1521 5.23 2227 39.32 1,411,534 70654923 18.942
2024 721,465 488,699 1573.35 1977 1339 4.31 2181 40.38 1,210,165 75705180 20.296
2025 628,377 453,019 1349.84 1722 1241 3.70 2148 41.89 1,081,395 80103817 21.476
2026 557,767 431,124 1179.54 1528 1181 3.23 2115 43.60 988,891 84008184 22.522
2027 503,265 415,133 1049.12 1379 1137 2.87 2085 45.20 918,398 87531038 23.467
2028 458,906 403,783 944.37 1257 1106 2.59 2058 46.81 862,689 90743380 24.328
2029 422,600 395,147 859.68 1158 1083 2.36 2034 48.32 817,747 93701580 25.121
2030 393,890 388,158 793.21 1079 1063 2.17 2014 49.63 782,048 96458810 25.860
2031 369,381 381,639 737.08 1012 1046 2.02 1995 50.82 751,020 99044477 26.553
2032 348,054 375,570 688.83 954 1029 1.89 1979 51.90 723,623 101480853 27.207
2033 329,137 367,276 646.79 902 1006 1.77 1965 52.74 696,413 103784813 27.824
2034 312,382 363,822 610.07 856 997 1.67 1953 53.80 676,204 105971489 28.411
2035 297,205 361,287 577.24 814 990 1.58 1942 54.87 658,492 108051921 28.968
2036 282,609 340,149 546.51 774 932 1.50 1934 54.62 622,758 110030183 29.499
Case 2
Case 3
Total Annual Net Annual Net Annual
Year CAPEX OPEX Oil price Gas Price Oil Revenue Gas Revenue Revenue Cash Flow PRT CT ST
Cash Flow After
Tax
£ £ £ / bbl £/MMscf £ £ £ 35% 20% 1% £
2014 578,757,356- 578,757,356- 0 0 0 578,757,355.94-
2015 241,148,898- 75 4000 241,148,898- 0 0 0 241,148,898.31-
2016 144,689,339- 138,799,267- 75 4000 814,644,578 17,917,836 832,562,414 549,073,808 192,175,833 109,814,762 2,745,369 244,337,844.46
2017 138,819,328- 75 4000 768,854,765 16,910,704 785,765,469 646,946,141 226,431,149 129,389,228 3,234,731 287,891,032.62
2018 138,827,052- 75 4000 751,223,614 16,522,913 767,746,527 628,919,475 220,121,816 125,783,895 3,144,597 279,869,166.35
2019 138,841,889- 75 4000 717,356,575 14,770,714 732,127,289 593,285,400 207,649,890 118,657,080 2,966,427 264,012,003.14
2020 138,861,167- 75 4000 673,352,847 12,994,777 686,347,624 547,486,457 191,620,260 109,497,291 2,737,432 243,631,473.39
2021 138,390,678- 75 4000 603,807,962 11,052,536 614,860,498 476,469,820 166,764,437 95,293,964 2,382,349 212,029,069.81
2022 137,503,262- 75 4000 520,228,990 9,123,581 529,352,570 391,849,308 137,147,258 78,369,862 1,959,247 174,372,942.02
2023 136,524,685- 75 4000 449,649,864 7,629,394 457,279,257 320,754,573 112,264,100 64,150,915 1,603,773 142,735,784.77
2024 135,370,073- 75 4000 378,769,305 6,293,395 385,062,701 249,692,628 87,392,420 49,938,526 1,248,463 111,113,219.38
2025 134,633,288- 75 4000 329,897,771 5,399,376 335,297,146 200,663,858 70,232,350 40,132,772 1,003,319 89,295,416.93
2026 134,104,861- 75 4000 292,827,551 4,718,172 297,545,724 163,440,863 57,204,302 32,688,173 817,204 72,731,183.91
2027 133,702,335- 75 4000 264,214,038 4,196,466 268,410,504 134,708,169 47,147,859 26,941,634 673,541 59,945,135.14
2028 133,384,524- 75 4000 240,925,604 3,777,479 244,703,083 111,318,558 38,961,495 22,263,712 556,593 49,536,758.45
2029 133,128,257- 75 4000 221,865,024 3,438,720 225,303,744 92,175,487 32,261,421 18,435,097 460,877 41,018,091.85
2030 132,924,663- 75 4000 206,792,233 3,172,824 209,965,057 77,040,394 26,964,138 15,408,079 385,202 34,282,975.31
2031 132,747,610- 75 4000 193,925,083 2,948,301 196,873,384 64,125,774 22,444,021 12,825,155 320,629 28,535,969.43
2032 132,591,200- 75 4000 182,728,173 2,755,318 185,483,491 52,892,290 18,512,302 10,578,458 264,461 23,537,069.23
2033 132,435,337- 75 4000 172,797,024 2,587,166 175,384,191 42,948,854 15,032,099 8,589,771 214,744 19,112,239.84
2034 132,320,203- 75 4000 164,000,699 2,440,299 166,440,999 34,120,795 11,942,278 6,824,159 170,604 15,183,753.89
2035 132,219,403- 75 4000 156,032,404 2,308,940 158,341,344 26,121,941 9,142,679 5,224,388 130,610 11,624,263.86
2036 132,012,359- 75 4000 148,369,601 2,186,058 150,555,659 18,543,300 6,490,155 3,708,660 92,716 8,251,768.34
Total Annual Net Annual Net Annual
Year CAPEX OPEX Oil price Gas Price Oil Revenue Gas Revenue Revenue Cash Flow PRT CT ST
Cash Flow After
Tax
£ £ £ / bbl £/MMscf £ £ £ 35% 20% 1% £
2014 606,251,400- 606,251,400- 0 0 0 606,251,400.00-
2015 252,604,750- 75 4000 252,604,750- 0 0 0 252,604,750.00-
2016 151,562,850- 150,684,853- 75 4000 922,556,928 20,291,332 942,848,261 640,600,557 224,210,195 128,120,111 3,203,003 285,067,248.08
2017 150,703,810- 75 4000 873,104,332 19,203,639 892,307,970 741,604,160 259,561,456 148,320,832 3,708,021 330,013,851.37
2018 150,714,707- 75 4000 844,677,660 17,999,718 862,677,378 711,962,671 249,186,935 142,392,534 3,559,813 316,823,388.69
2019 150,734,251- 75 4000 793,691,729 15,426,728 809,118,458 658,384,206 230,434,472 131,676,841 3,291,921 292,980,971.71
2020 150,247,993- 75 4000 705,982,055 12,838,378 718,820,434 568,572,441 199,000,354 113,714,488 2,842,862 253,014,736.25
2021 149,132,394- 75 4000 588,110,736 10,154,468 598,265,204 449,132,810 157,196,484 89,826,562 2,245,664 199,864,100.56
2022 147,682,936- 75 4000 460,055,408 7,690,886 467,746,294 320,063,357 112,022,175 64,012,671 1,600,317 142,428,194.04
2023 146,679,244- 75 4000 374,909,749 6,152,000 381,061,749 234,382,505 82,033,877 46,876,501 1,171,913 104,300,214.74
2024 145,850,891- 75 4000 312,425,679 5,050,505 317,476,184 171,625,292 60,068,852 34,325,058 858,126 76,373,255.09
2025 145,257,138- 75 4000 270,593,190 4,319,959 274,913,149 129,656,011 45,379,604 25,931,202 648,280 57,696,924.69
2026 144,672,583- 75 4000 239,356,120 3,786,977 243,143,097 98,470,513 34,464,680 19,694,103 492,353 43,819,378.43
2027 144,367,643- 75 4000 215,613,487 3,381,966 218,995,453 74,627,810 26,119,733 14,925,562 373,139 33,209,375.28
2028 144,121,047- 75 4000 196,808,260 3,062,140 199,870,400 55,749,353 19,512,274 11,149,871 278,747 24,808,462.29
2029 143,906,628- 75 4000 181,731,968 2,806,787 184,538,756 40,632,128 14,221,245 8,126,426 203,161 18,081,296.75
2030 143,414,829- 75 4000 169,183,046 2,597,946 171,780,991 28,366,162 9,928,157 5,673,232 141,831 12,622,942.24
2031 143,350,357- 75 4000 159,568,683 2,438,435 162,007,118 18,656,761 6,529,866 3,731,352 93,284 8,302,258.76
2032 143,297,342- 75 4000 152,273,219 2,317,667 154,590,886 11,293,544 3,952,740 2,258,709 56,468 5,025,627.19
2033 143,251,934- 75 4000 146,128,661 2,216,619 148,345,280 5,093,346 1,782,671 1,018,669 25,467 2,266,539.16
2034 -80000000 143,208,583- 75 4000 140,716,949 2,128,095 142,845,044 80,363,540- 28,127,239- 16,072,708- 401,818- 35,761,775.10-
2035 143,172,805- 75 4000 136,120,735 2,052,934 138,173,668 4,999,137- 1,749,698- 999,827- 24,996- 2,224,615.90-
2036 143,143,532- 75 4000 132,103,419 1,987,329 134,090,749 9,052,784- 3,168,474- 1,810,557- 45,264- 4,028,488.84-
Case 2
Case 3
NPV:
Case 2
Discount factor
Annual Cash
flow
Discounted
cash flow Net present value
2014 0 1.000 -578757356 -578757356 578,757,356-
2015 1 0.935 -241148898 -225372802 804,130,158-
2016 2 0.873 244337844 213414136 590,716,022-
2017 3 0.816 287891033 235004839 355,711,183-
2018 4 0.763 279869166 213510847 142,200,336-
2019 5 0.713 264012003 188236909 46,036,573
2020 6 0.666 243631473 162341938 208,378,511
2021 7 0.623 212029070 132041048 340,419,559
2022 8 0.582 174372942 101486640 441,906,199
2023 9 0.544 142735785 77638810 519,545,009
2024 10 0.508 111113219 56484326 576,029,335
2025 11 0.475 89295417 42423609 618,452,945
2026 12 0.444 72731184 32293515 650,746,460
2027 13 0.415 59945135 24875100 675,621,560
2028 14 0.388 49536758 19211209 694,832,769
2029 15 0.362 41018092 14866844 709,699,613
2030 16 0.339 34282975 11612830 721,312,443
2031 17 0.317 28535969 9033757 730,346,200
2032 18 0.296 23537069 6963769 737,309,970
2033 19 0.277 19112240 5284694 742,594,663
2034 20 0.258 15183754 3923771 746,518,434
2035 21 0.242 11624264 2807412 749,325,846
2036 22 0.226 8251768 1862533 751,188,378
Year
Case 3
Payback:
Case 2
Discount factor
Annual Cash
flow
Discounted
cash flow Net present value
2014 0 1.000 -606251400 -606251400 606,251,400-
2015 1 0.935 -252604750 -236079206 842,330,606-
2016 2 0.873 285067248 248988775 593,341,831-
2017 3 0.816 330013851 269389606 323,952,225-
2018 4 0.763 316823389 241703046 82,249,178-
2019 5 0.713 292980972 208891384 126,642,205
2020 6 0.666 253014736 168594402 295,236,607
2021 7 0.623 199864101 124465317 419,701,924
2022 8 0.582 142428194 82894506 502,596,430
2023 9 0.544 104300215 56732406 559,328,836
2024 10 0.508 76373255 38824290 598,153,126
2025 11 0.475 57696925 27411393 625,564,520
2026 12 0.444 43819378 19456328 645,020,848
2027 13 0.415 33209375 13780710 658,801,558
2028 14 0.388 24808462 9621149 668,422,707
2029 15 0.362 18081297 6553494 674,976,201
2030 16 0.339 12622942 4275827 679,252,028
2031 17 0.317 8302259 2628283 681,880,311
2032 18 0.296 5025627 1486902 683,367,213
2033 19 0.277 2266539 626717 683,993,930
2034 20 0.258 -35761775 -9241522 674,752,407
2035 21 0.242 -2224616 -537274 674,215,134
2036 22 0.226 -4028489 -909283 673,305,851
Year
Case 3
13. Minutes of Meeting Group 06 for Field Development
Group Project: Field Development
Date: 12th June 2015 Attendees:
Time: 10:00 – 18:00 Muhammad Kamal
Muhammad Raja
Ali Mohammed
Ally Mohamed
Meeting Location: Extension Block E-258
Apologies: None
Agenda Action by:
Designation of research areas: All
Geological analysis,
decommissioning/abandonment,
formatting/editing, and meeting
minutes.
Muhammad Kamal
Well technology and Completion;
Production, Drilling and Reservoir
management
Ally Mohamed
Reservoir simulation development
and field development analysis.
Ali Mohammed
Economic sustainability,
Environmental considerations,
formatting/editing, and meeting
minutes.
Muhammad Raja
Next meeting date 19th June 2015, same location.
Group Project: Field Development
Date: 19th June 2014 Attendees:
Time: 10:00 – 18:00 Muhammad Kamal
Muhammad Raja
Ali Mohammed
Ally Mohamed
Meeting Location: Extension Block E-258
Apologies: None
Agenda Action by:
Progress check All
Presentation and discussion of
research to group.
Muhammad Kamal
Muhammad Raja
Selected field location based on
research presented to group.
Ali Mohammed
Ally Mohamed
Next meeting date 22nd June 2015, same location.
Group Project: Field Development
Date: 22nd June 2015 Attendees:
Time: 10:00 – 18:00 Muhammad Kamal
Muhammad Raja
Ali Mohammed
Ally Mohamed
Meeting Location: Extension Block E-258
Apologies: None
Agenda Action by:
Discussion of well placement in
Petrel with consideration of
geological structure.
Muhammad Kamal
Muhammad Raja
Ali Mohammed
Ally Mohamed
Next meeting date 26th June 2015, same location.
Group Project: Field Development
Date: 26th June 2015 Attendees:
Time: 10:00 – 18:00 Muhammad Kamal
Muhammad Raja
Ali Mohammed
Ally Mohamed
Meeting Location: Extension Block E-258
Apologies: None
Agenda Action by:
Explanation and discussion of
simulation and evaluation of total
reserves using PETREL.
Muhammad Kamal
Muhammad Raja
Ali Mohammed
Ally Mohamed
Next meeting date 29th June 2015, same location.
Group Project: Field Development
Date: 29th June 2015 Attendees:
Time: 10:00 – 18:00 Muhammad Kamal
Muhammad Raja
Ali Muhammed
Ally Mohamed
Meeting Location: Extension Block E-258
Apologies: None
Agenda Action by:
Presentation and explanations
of project to all group
members.
All
Next meeting date 30th June 2015, same location.
Group Project: Field Development
Date: 30th June 2015 Attendees:
Time: 10:00 – 18:00 Muhammad Kamal
Muhammad Raja
Ali Mohammed
Ally Mohamed
Meeting Location: Extension Block E-258
Apologies: None
Agenda Action by:
Presentation and explanations of all
sections to other group members.
All
Choice of field development made
with consideration of economic
survey.
Muhammad Kamal
Muhammad Raja
Calculation of drill string parameters
and reservoir management
Ali Mohammed
Ally Mohamed
Next meeting date 1st July 2015, same location.
Group Project: Field Development
Date: 1st July 2015 Attendees:
Time: 10:00 – 18:00 Muhammad Kamal
Muhammad Raja
Ali Mohammed
Ally Mohamed
Meeting Location: Extension Block E-258
Apologies: None
Agenda Action by:
Selection of strategy for simulated field
using PETREL, Selection and design
of casing, Discussion on IPM
All
Next meeting date 2nd June 2015, same location.
Group Project: Field Development
Date: 2nd July 2015 Attendees:
Time: 10:00 – 18:00 Muhammad Kamal
Muhammad Raja
Ali Mohammed
Ally Mohamed
Meeting Location: Extension Block E-258
Apologies: None
Agenda Action by:
Conclusions and recommendation
presentation to all group
members.
All
Discussion about final report
format layout.
Ally Mohamed
Next meeting date 5th July 2015
Group Project: Field Development
Date: 05th July 2015 Attendees:
Time: 10:00 – 18:00 Muhammad Kamal
Muhammad Raja
Ali Mohammed
Ally Mohamed
Meeting Location: Perry library
Apologies: None
Agenda Action by:
Final document compiling Muhammad Kamal
Proof reading and language check. Muhammad Raja
Formal write up and compilation of
meeting minutes.
Ali Mohammed
Ally Mohamed

Field Development Project Report - EAB_7_157

  • 2.
    Contents 1. Summary................................................................................................................................5 2. Introduction............................................................................................................................6 2.1 Objectives ........................................................................................................................6 2.2 Given Data .......................................................................................................................7 3. PETROLEUM GEOSCIENCE ...........................................................................................8 3.1 Location of the Field....................................................................................................8 3.2 Reservoir Properties ......................................................................................................10 3.2.1 Structural Properties ...............................................................................................10 3.2.2 Petrophysical Properties .........................................................................................11 Table 3: Reservoir conditions are given as follows .........................................................12 3.2.3 Real Field Example - Brent Field, Northern North Sea, UK ...................................13 3.2.3 Deposition Environment - Stratigraphy & Facies of the field..................................15 3.5 Petroleum System.....................................................................................................19 3.5.1 Reservoir Rocks......................................................................................................19 3.5.2 Source Rocks..........................................................................................................19 3.5.3 Traps & Seal Potential ............................................................................................20 3.6 Limitations and Risks Associated With the Field......................................................20 4. Reservoir Modelling and Simulation....................................................................................21 4.1 Static Model Construction .........................................................................................21 4.2 Dynamic Model Construction ....................................................................................23 4.2.1 Fluid Model the Field...............................................................................................26 4.2.2 Petrophysical properties of the rock .......................................................................27 4.2.3 Aquifer Support .......................................................................................................30 4.3 Distribution of the Properties .........................................................................................31 4.4 Production profiles ...................................................................................................34 4.5 Wells..........................................................................................................................36 4.5.1 Well Numbers and Production Strategy .....................................................................36 4.5.2 Well Location and Type ..............................................................................................37 4.6 SENSITIVITY ANALYSIS..........................................................................................37 4.6.1 Transmissibility........................................................................................................37 5. Drilling and Well Completion ...............................................................................................38
  • 3.
    5.1 Drilling facilities..............................................................................................................38 5.2 Drilling Planning and well completion............................................................................39 5.3 Well Location.............................................................................................................40 5.4 Casing and Tubing Designing...................................................................................41 5.4.1 Tubing Calculation.................................................................................................45 5.4.2 Casing Calculation.................................................................................................45 5.4.2.1 Conductor Casing Section.................................................................................47 5.4.2.2 Surface Casing Section .....................................................................................49 5.4.2.3 Intermediate 1 Casing Section ..........................................................................50 5.4.2.4 Intermediate 2 Casing Section ..........................................................................51 5.4.2.5 Production Casing Section ................................................................................52 5.5 Drilling Fluids..................................................................................................................54 5.5.1 Drilling Fluids for Conductor casing Section ..............................................................55 5.5.2 Drilling Fluids for Surface casing Section...................................................................55 5.5.3 Drilling Fluids for Intermediate 1 casing Section........................................................56 5.5.4 Drilling Fluids for Intermediate 2 casing Section........................................................56 5.5.5 Drilling Fluids for Production casing Section..............................................................56 6. Well Production Optimisation ..............................................................................................57 6.1 Well Modelling (PROSPER)......................................................................................57 6.1.1 Well Deliverability....................................................................................................57 6.2 Inflow Performance Relation (IPR) Curve ................................................................58 6.3 Optimum Well Flow Rate...............................................................................................59 6.4 Sensitivity Analysis....................................................................................................60 6.4.1 Sensitivity Analysis on Reservoir Pressure......................................................60 6.4.2 Sensitivity Analysis on Gas Oil ratio..................................................................61 6.4.3 Sensitivity Analysis on water cut .......................................................................62 6.5 GAP Model ................................................................................................................63 7. Surface Production Facilities...............................................................................................63 7.1 Production Fluid Separation Operations..................................................................64 7.2 Oil Treatment.............................................................................................................65 7.3 Gas Treatment ..........................................................................................................65 7.4 Water Treatment .......................................................................................................65
  • 4.
    7.5 HYSYS Simulation....................................................................................................66 7.6.1 Base Case...............................................................................................................68 7.6.2 Mass balance ..........................................................................................................69 8. Economics ...........................................................................................................................72 8.1 Financial System.......................................................................................................72 8.2 Production Forecast ..................................................................................................72 8.3 Capital Expenditure (CAPEX)........................................................................................74 8.4 Operating Expenditure (OPEX).................................................................................76 8.5 Revenue and Cash Flow...........................................................................................78 8.6 Net Present Value (NPV) ...........................................................................................80 8.7 Payback......................................................................................................................82 8.8 Internal Rate of Return...............................................................................................83 8.9Sensitivity Analysis......................................................................................................84 87 8.9.1 Economic Justification.............................................................................................87 9. Health, Safety and Environment Impact .............................................................................87 9.1 Health and Safety Overview .....................................................................................87 9.2 Drill Cuttings Disposal....................................................................................................88 9.3 Containment of Spills of Contaminated Fluids..........................................................88 9.4 Environmental Conservation.....................................................................................90 9.4.2 Emissions Control ...................................................................................................90 10. Abandonment/Decommissioning..................................................................................90 10.1 Environment Impact Mitigation ....................................................................................90 11.References .........................................................................................................................91 12. Appendix............................................................................................................................93 13. Minutes of Meeting Group 06 for Field Development .......................................................98
  • 5.
    1. Summary The aimof this project was to evaluate and propose the best development plan for the given simulated field by managing and optimizing a shallow oilfield that is located Offshore using the given data. A 3D static model for the simulated oilfield was given for the purpose of interpretation and based on that interpretation the best plan is chosen keeping in mind all the pros and cons necessary in the development of an oilfield. The location of the field was concluded keeping in mind all the geological structures from the given data such has folding and faulting that was seen on the model created using the Petrel suite and also using the given petrophysical properties like porosity, permeability and net to gross values. Considering all these given properties, the North Sea was chosen as the location of the field and the real field example was chosen as Brent Oil Field. The formations that are playing active in producing and containing the hydrocarbons in the area are all the formations present in the Brent Group. There are excessive geological structures present in the formations of the Brent Group like tilted heavy faulting which is due to the deposition of the sandstone formation in the early Jurassic age and creating of the North Viking Graben. The model created in petrel is therefore considered to have a major lithology of sandstone, of the Brent Group the depositional environment for the field is therefore understood to be a combination of several energy fronts of a northward prograding marine delta fan. The Kimmeridge is an important formation to discuss as it holds the major portion of the trapped hydrocarbons in the Brent area. The Shales present in this formation are acting as a source rock for the emergence of the petroleum system as overall and the tilted faults blocks are holding and acting as an impermeable layer to stop the further movement of these hydrocarbons. Considering the maximum, minimum and mean values for the porosity, permeability and net to gross, the petrophysical properties for all the points for the given simulated field were interpreted which shows that the field has a high potential to act as a good reservoir along with the given major faults. Form the interpretation of the given model using all the provided data and software suites the volume of oil was predicted as 373 MMSTB within the reservoir, furthermore deeper testing is recommended by all the team members in order to obtain the total volume of the recoverable oil reserves due to the uncertainty and compartmentalisation of the reservoir which is mainly due to the presence of excessive folding and faulting. At the end of the PETREL reservoir simulation, the oil and gas in place were estimated to be 373E6 STB and 153949 MSCF respectively. At the end of 20 years, 30% of the oil will have been recovered. Sensitivity analysis was carried out on the transmissibility factor to really ascertain the nature of the fault. After production, HYSYS simulation software was used to perform simulation on how the produced fluids will be separated and treated before exporting them, so as to meet the specifications for metering and or export. A fixed steel jacketed platform was selected after taking into account all economic and technical constraints and the depth of sea water, casing will have two section of
  • 6.
    intermediate and productioncasing in order to reach depth of 6600 ft. Drill string and mud fluids used were designed in a such a way that to avoid burst and collapse of wellbore. PROSPER is used to check effect of water cut, gas oil ratio and pressure on production of oilfield. Sensitivity analysis is carried out on these factors. Also gap was used to calculate total production per day of the oil field, pressure and temperature at the surface separator. Some few development plans were considered for the development of oil Field by compare their recovery factors. Finally, to develop the oil field with 8 vertical producer wells and two injections well was chosen. This is due to positive outcomes of important factors such as NPV, IRR, and payback period etc. 2. Introduction 2.1 Objectives The purpose of this group project is to make a full comprehensive field development plan which will include all the previous knowledge of geology and geophysics for the interpretation and information about the location of the reservoir and its properties, the concepts of drilling and production engineering, the overall economics of the project and the best outcome plan for the project. To use different process and steps in Petrel (RE - G&G), PROSPER, GAP and HYSYS according to the required information to devise a field strategy development plan for the hydrocarbon field, to conclude the geological settings for the development and to include an economic analysis with reference to environmental conditions. To get the information about the hydrocarbons in place, the surface facilities that will be required for the processing of the crude produced, the cost of development of the field and also if required what will the required facilities costs. To obtain the highest production rate and recovery factor with the minimum cost for the processing and extraction for the hydrocarbons. Staying within the limited values assigned for the project like for instance water cut. To achieve the required and planned production rate from each well for the number of years using the best recovery method available after investigating the reservoir properties and to keep the cost for the project to minimum. The given field that is a three dimensional model for an unspecified reservoir with an unknown location requires interpretation for the development and expansion of the field. To define the location of the field, we use the regional geological data and based on this data we compared it with the real field example. With the help of regional structural geology and knowing that the field is offshore and in the North Sea all the nearby field were considered in defining the simulated field with the real field. Using these strategies any uncertainties that may are involved in the identification of the location of the simulated field and any conclusion before moving on the next stages in the field development. Other objective was to use the given number of wells including production and injectors by considering the overall economies of the field and on bases of that to identify if vertical wells are sufficient or horizontal wells are also to be considered. Produce the production profile for the optimum well configuration with respect to the given recovery factor, this could be
  • 7.
    achieve keeping theconstraints agreed by the Exploration & Production Oil & Gas Company. For the reservoir analysis the IMP suite should be used mainly GAP & PROSPER whereas for handling, processing and exportation of the hydrocarbons produced will selected using HYSYS. The final objective of the report includes the overall economic strategy for the development of the simulated field by determining the best option for the recovery factor without compromising the important equipment’s that are required for the development of the field to maximize the profits for the company. For this part of the report the Microsoft Excel suite will be used to show the results and suggest the best feasible strategy for the development of the simulated field. 2.2 Given Data The simulated field comprises of a static reservoir model with the grid size of 21x52x10 grid cells yielding a total of 10920 active cells which are to be build based on the given parameters for certain formations and fluid parameters using the Petrel suite. The purpose for using this suite is to obtain the total volume of the hydrocarbons in place. Other parameters like porosity, permeability and Net to gross are also given which are included in the relevant part of this report in terms of tables and figures. Rock compaction, reservoir properties, and fluid properties were also given. For the field development the relevant data was given including the number of producer wells that are capped at 10 and there with the maximum two injector wells to be used in order to achieve the target production for the simulated field. The maximum production capacity of each well is given as 5000 STB/day. For economics the given data includes the sales price for oil to be USD$75/barrel and water treatment is $4.3/barrel. The cost of drilling a well is USD$29 million with operational cost per day for each well forecasted is USD$10,000/day.
  • 8.
    3. PETROLEUM GEOSCIENCE 3.1Location of the Field The location of the given field is in the Northern North Sea that is the Viking Graben Provence with the near juxtaposition to the Shetland Isles in the UK. Other nearby fields that are prominent includes the Don Field and Thistle Field. According to the excessive faulting that can be seen in the area under study, all this structural activity had been taken place in the late Jurassic period beneath the formation of Viking Graben which is among the three rifts that are linked in the North Sea region that was formed with in this period. Moreover few factors were also considered in defining the location of the field that is the matching API gravity of 38° of the given field with the Brent crude and also the resemblance of regional geological data available. Figure 1: showing the location and regional geological setting of the simulated field
  • 9.
    Figure 1 (A)shows the timing of major structural events with respect to deposition of the Brent Group. Figure 1(B) shows the regional setting of the simulated field and the position of above lying Triassic rift basins and major faults that were active in the deposition of the Brent deposition. Figure 1(C) shows the area of the Brent Group in the present day faults and well locations on Brent top depth map. Figure 2: showing the normal and thrust faulting in the North Sea The above figure shows the series of normal and reverse-thrust faulting in the area of northern Sea UK in which the simulated field is present and also shows the geological differences and boundaries with in the area. Considering the development and analysing the model we created using Petrel of the simulated field, there were few assumptions made in order to define the reservoir geology which includes mainly lithology. Keeping in mind all the given background information about the simulated field which includes that the field was developed in the shallow marine environment (discussed with more detail in depositional environment section). When interpreting the model in Petrel, the main feather seen to identify is the substantial faulting which is primarily normal faulting which means that hanging wall has moved in the downwards direction with respect to the footwall of the fault. There are three major faults that can be seen on the model that are intersecting parallel to
  • 10.
    one and otherin the NW-SE direction. The largest fault intersects across the full length of the given model. Due to three major faults and number of minor faults and considering the geological structure and history of the Northern North Sea it is certain that the area has horst and graben structure which means that there are number of normal and reverse/thrust faults on small scale besides these three major faults in the area of interest. Figure 3: Top surface grid with horizons showing three major faults 3.2 Reservoir Properties 3.2.1 Structural Properties The reservoir produced from the available data set is a heterogeneous reservoir and has an elongated shape in the N-S direction. The reservoir is divided into two zones which give a better understanding of the presence of major faults present. There are three major faults
  • 11.
    among which twoare elongated in SE-NW direction (South Trending) and one in N-S direction (North Trending) with an aquifer in the north side. There are number of folding structures also present and some of the extensive folding and fracturing is also present along the fault boundary which suggests that these faults can be strike slip faults. The huge amount of folding present along the faults is in both north and south of the reservoir. The two zones of the reservoir! That is the upper and lower zone, both contrasts with depth and horizontal extension of the formations forming the reservoir. A pinch out structure can also be seen in the very upper most part of the reservoir where the formations extension is ended in a point shape south direction. The maximum depth of the reservoir is (6500ft – 6600ft) & 400ft (depth of the offshore water). 3.2.2 Petrophysical Properties The porosity and permeability values show the heterogeneity as the reservoir itself. The values of porosity are between 2-37 % and the values of permeability lies between 50- 700mD with the mean value of 21% & 350mD for both porosity and permeability respectively. As it can be seen from the reservoir that the values for the porosity and permeability are higher where the contours are closing in the figure. The close values for the contours on the figure shows the elevated are inside the reservoir and where the values are high contours are far apart from each other which show the low values for porosity and permeability. The two major faults that are both SE-NW originates from the area in the reservoir where the values of porosity and permeability are lower than the surrounding. But both of these faults terminate in the high porosity & permeability zone. The area where the faults are present in the reservoir has surely provided a restriction to the flow for the hydrocarbon and therefore the value of transmissibility in there is lesser then unity and by this fact it’s obvious that the trapping here is due to structural. All the traps are structural so there is excessive series of folding and faulting in the area and this also suggests that there can also be major chances for the horst and graben structures (series of normal and thrust faulting) to be present. The water-oil contact is present at the depth of 6660ft and the API value for oil is 38 which mean that this crude oil lies between the categories of light crude oil.
  • 12.
    Figure 4:surfaces showsHigh and low porosity and permeability area. Table 1: Data for porosity, Permeability and Net to Gross Table 2: Reservoir fluid properties are given as follows Table 3: Reservoir conditions are given as follows
  • 13.
    3.2.3 Real FieldExample - Brent Field, Northern North Sea, UK Figure 5: showing the Brent Field location and its summary After careful discussions between all the team members of our group and considering all the available data provided for the simulated field including all the petrophysical properties like porosity, permeability, transmissibility and also the geoscience related terms such as folding, faulting and structure of the reservoir under study plus the petroleum engineering terms as
  • 14.
    the values ofAPI gravity and geographical location of the field that is North sea, Offshore have resulted that the Brent Field in the north sea, is a probable real example for this given simulated field. According the table below the values provided in the given data suggests that given simulated field lies probably in the point III in the table which is the top of Ness formation and base of Tarbert formation. So in conclusion and considering all the above mentioned factors the Brent Field has been chosen as a practical field example to study this simulated field in more detail Figure 6: Comparison of the geological features between the Real Field Example and Model
  • 15.
    Figure 7: Comparis on of Petrophys ical properties ofthe Real Field with the Simulated Field 3.2.3 Deposition Environment - Stratigraphy & Facies of the field Economically, the Brent Group is geologically the most active succession in the North Sea. Most of the hydrocarbon reserves lie in the Middle Jurassic sandstones of this group which are mainly trapped mainly due to extensive folding and faulting in the area. After excusive research work done by (Brown et al. 1987; Graue et al. 1987) the Brent Group has been refer to as regressive- transgression wedge. The Northward prograding regressive part is usually considered as the following formation that are Broom, Rannoch, Etive and Ness (Probably Lower Ness) and the succeeding Ness formation and Tarbert formation has been deposited during retreat of the system in rise of the relative sea level during that time.
  • 16.
    Figure 8: SequenceStratigraphy of the Brent Group with respect to all formations The above figure shows the lateral extension of the Brent Group in the southwest-northeast direction, showing the different formations present in the Brent Group and their possible interpretation Figure 9: Reservoir distribution on the surface generated on Petrel Suite
  • 17.
    The Brent Groupconsists of five formations which are Broom, Rannoch, Etive, Ness and Tarbert Formation. On the upper boundary the Oseberg formation is defined as the part of Brent Group, furthermore the upper boundary is the Heather formation which consists of mudstones of the Viking Group that are forming the regional seal for this group. The lower boundary is mainly silts and mudstones of the Dunlin Group. The recognizable regional location of the Brent Group originates from within the East Shetland Platform and the northern part of the Horda Platform. At south of the Frigg area, the comparable stratigraphical sequence of the Brent Group are termed as Vestland Group. In the north the deltaic rocks of the Brent shale’s are the marine mudstones. There is a considerable variation in the group’s thickness which is due to unconformable subsidence and late to middle Jurassic faulting and erosion, this effect of erosion can be seen as near the crests of the rotating fault block there is areas of no deposition at all. The depositional environment of the Brent Group shows the major deltaic sequence in the south direction and the subsequent back stepping or backward movement retreat. In the east it consists of mainly sandstones which have number of fan shaped sand bodies – units that have relatively good values of porosity and permeability to act as a potential reservoir. The sandstones were deposited in shallow marine environment in the lower part of the Brent Group which is overlain by alluvial sands. Figure 10: showing sequence stratigraphy of Brent Group
  • 18.
    The Broom Formationlithology is cracked and developed locally. Consisting of shallow marine, coarse-grained and poorly sorted conglomeratic sandstones and is a continuation for the regressive sequence of the above Rannoch Formation. The Rannoch Formation lithology is well-sorted very fine sandstones which show a coarsening upwards sequence that was deposited in deltaic environment in front of shoreface sands. The upper boundary is identified by much finer sandstones of the above lying Etive Formation. The thickness of the Rannoch Formation varies from 30 and 65 m. The Etive Formation lithology contains less fine sandstones than the underlying Rannoch Formation. The upper boundary is significantly shale and coal of the above lying Ness Formation. The depositional environment for the Etive Formation is interpreted as upper shoreface and can be termed as channel deposits. The thickness for this formation varies extensively from 10 m to more than 55 m.The Ness Formation lithology consists of mixture of coals, mudstones, siltstones and fine to medium sandstones. Consists of numerous rootlet horizons and have a high carbonaceous content present within the formation. The upper boundary varies from massive to cleaner sandstones of the above lying Tarbert Formation. The formation is interpreted to have an environment of deposition as deltaic plain or coastal plain. Siltstone and mudstone present in this formation are acting as a potential seal to the major reservoirs. The Ness Formation has thickness variations ranging from 25 m to 145 m. The Tarbert Formation lithology consists of dark grey to light brown sandstones. The base of the formation is taken at the top of the last fining upward unit of the Ness Formation, which are either coal shale’s or a coal beds. The environment of deposition for the Tarbert Formation is marine, mainly marginal marine and the thickness for the formation lies in the range between 12 m to 50 m. Figure 11: Depth variations of the Mid Jurassic compared with the elevation depth from the model
  • 19.
    The Brent Groupis located at a wide range of depths this is due to the Upper Jurassic faulting, uplifting of the blocks resulting in horst and graben structures throughout the area and also due to the differential subsidence. The above figure shows the variations in depth for the Brent Group which is also compared with the simulated field produced using Petrel, varying from 1500 m on one nearby field to more than 3500 m on the other nearby field so as a result there are lots of complex distribution in this area for the values of porosity and permeability. 3.5 Petroleum System Having good production development, the sediments of Brent group have gained excessive significance in the province. There were more than nine major fields in the Brent Group in 1973 and due to this rapid production rate the province was considered as the 13th largest petroleum production province in the world by 1980. Regarding the petroleum system of the field there are still researches going on regarding the exact time of deposition of strata, structural evolution, sedimentation, and variation in grain size, compaction and cementation and also the presence of unconformity. There are also vast variations in the values of porosity and permeability, which plays and important role in recoverable reserves. 3.5.1 Reservoir Rocks The Brent Field lies in the East Shetland Basin in the North Sea which includes the tilted fault blocks that are playing an important role holding the Brent formation besides the boundary faults. The formation allow the migration from the deeper side by side areas where the Kimmeridge clay formation becomes fully mature and enrich of hydrocarbons. Due to number of folding and faulting in this area and also due to juxtaposition of the sand units the reservoir of this field, the reservoir geology is complex to understand. The back thrust faults that originate from the reserves faults are the main reason for this juxtaposition of the sand units in the reservoir. The stratigraphy of the reservoir indicates that the deposition of the sediments was in a shallow marine to coastal plain environment and the sediments where deposited in the form of layers and formed beds, the finer grain sediments were deposited first followed by the medium and then coarser. The complex variations in the values of porosity and permeability are mainly due to the Bioturbation factor 3.5.2 Source Rocks The two main source areas for hydrocarbons in the Brent Fields include the Viking Graben and the East Shetland Basin. As discussed in reservoir rock section that Kimmeridge formation once matured to become enrich in terms of hydrocarbons so the dominant oil source rock is the Kimmeridge Clay Formation. Furthermore the coals from the Brent and the Heather formation also have the potential to act as a source rock in this field. Thickness of Kimmeridge is nearly 480 m in the East Shetland Basin and its more than 1000 m thick in the
  • 20.
    North Viking Graben.The TOC (total organic carbon) is 5.6 percent to a maximum of 12 percent in the East Shetland Basin and the kyrogen is of type II in majority. One of the most distinguishing features present in this formation is the presence of fossils. 3.5.3 Traps & Seal Potential Due to the tilted block faulting and number of normal and back thrust faulting which resulted into horst and graben structure all over the Brent Field the Statfjord formation and Brent Group reservoirs have fault bounded, monoclonal structure, dipping 8 degrees to the west with the truncation in the form of unconformity and traps. The juxtaposition of the faults of lower Cretaceous mudstones, and these mudstones and marls are also acting as a seal in this field. The unconformity also plays a critical role and acts as a trapping mechanism for this field. Comparing to the other nearby fields in this area the Brent Field structure is much simpler and is a closure structure (lateral closure) that is provided by an impermeable juxtaposition of faults in the East West to North West direction. Trap was formed in the Mid Cretaceous age before the migration of oil in the structure in the Eocene age. 3.6 Limitations and Risks Associated With the Field There are number of limitations associated with the development of the field. For the Petrel model as there was no seismic data given and also for the well logs, so it was difficult to exactly know the location of the field and to achieve the detailed information about the total number of faults and there orientation. Making the faults on the model using the Petrel suite was also individual dependent and can vary from geoscientist to geoscientist. So there are chances for the misinterpretation of the data given. As the location of the field was offshore and considering the values for petrophysical properties the location of the field was chosen and then the simulated field was compared with the real field example and then the area was identified with lot of folding and faulting usually tiled fault blocks and geological structures like horst and graben. With the number of excessive faulting in the area, imprecisions in forecasting the production rates and recoverable reserves is a limitation, with the interconnectivity between fault blocks unknown which means there is no link between the faults hydraulics. Furthermore which fault blocked moved and acted as an impermeable layer to resist the further flow of the hydrocarbons is also a limitation of the project. The Petrel model helps to give the fault probable location, but gives a little info into regarding the faults that either they are sealing or active by which the permeability across the faults is also a limitation, conducting deeper analysis is a must do approach in order to understand the reservoir characteristics in more detail. As with all model elements the results can never be considered as absolute accurate but transmissibility analysis may be carried out in order to overcome these limitations or by
  • 21.
    doing it anestimate can be made for these limitations. With the help of seismic section that has been done on the field prior to the development of the field, the breaks in the seismic reflections on each line are referred to as an area where there is a fault present. So as a result of these variations in the values of velocity, amplitude and acoustic impedance confirms the exact location of the faults which later by further analysis can also give information about the transmissibility of the faults present in the area of interest. Furthermore fractures and small faults are often not covered by the seismic entirely so deeper studies are required for understanding the reservoir characteristics in more detail. With this level of uncertainty due to the geoscience, the development of the field may be considered as a potential risk with potentially limited recoverable reserves due to the Field compartmentalisation. Even without consideration of the geology, there will be an essential inaccuracy due to nature of using models, as models are based on assumptions used to interpose. Contrariwise, excessive faulting may also advance the production opportunities of the field as faulting can also increase the permeability of the reservoir, providing links through fractures of lowered resistance for the channel of hydrocarbons. By accompanying additional well tests on the Field more statistics can be gather round about the effective volume of the reservoir. 4. Reservoir Modelling and Simulation 4.1 Static Model Construction In order to construction the static model of our oil field, we have to show the structure of the field by construct a grid model from the given properties.. For this project, our team were already given the seismic and exploration data as shown in Figure below. The static model consist of 3256 active cells with dimensions of 21 x 52 x 10 cells in the X, Y and Z directions respectively. The model also includes some faults which were not juxtaposing in nature. Figure12 and 13 shows the static model with horizons and layers
  • 22.
    Figure 12: Staticmodel Figure 13: Static model with horizons
  • 23.
    Figure 14 finalsimulated field 4.2 Dynamic Model Construction . Figures 15, 16 and 17 shows the three best cases are which are viable on the given conditions. Figure 15 shows the development strategy with one lateral well but it got risk involved in it i.e. uncertainty to fault extension. Hence in future well test can be performed and lateral well can be drilled. Figure 16 and 17 show the development strategy with 8 producers and 2 injectors, both the cases are viable but the best amount of oil is recovered by the case which is shown in figure 17. Hence the case shown in figure in 17 was chosen
  • 24.
    Figure 15: Casewith lateral well
  • 25.
    Figure 16: casewith 8 producers and 2 injectors Figure 17: Top Surface with wells (The chosen case)
  • 26.
    4.2.1 Fluid Modelthe Field A “black oil” model with three phases ( oil, gas and water ) were used to construct the fluid model. The summary of the fluid properties that were used to create the fluid model are shown in the table 4 below .After that we generated a graph of oil formation volume factor versus pressure by PETREL is shown in figure 18 below. Properties Value Reference Pressure 3950 psi Maximum pressure 5076 psi Minimum Pressure 1160 psi Bubble point pressure 1800 psi Reservoir temperature 170 Gas gravity 0.6636 sg air Gas- Oil ratio 412.4 SCF/STB Oil gravity 38° API Water salinity 30000 ppm Water compressibility 1e-5 1/psi Datum depth 6660 Water formation volume factor 2e9 ft3 Table 4: summary of the fluid properties Figure 18: Oil Formation volume factor versus pressure
  • 27.
    4.2.2 Petrophysical propertiesof the rock Water and oil saturation, relative permeability, capillary pressure etc. are some of the physical properties of the rock in our oil field. The relation between relative permeability with for oil-water and gas are shown in the Figures 19 and 120 respectively. Table 5: Oil-Water Relative Permeability Sw Krw Kro 0.21 0 0.9 0.23 0 0.8101 0.3 0.0002 0.5427 0.37 0.0031 0.3417 0.44 0.0158 0.1978 0.51 0.05 0.1013 0.58 0.1221 0.0427 0.65 0.2531 0.0127 0.72 0.4689 0.0016 0.79 0.8 0 1 1 0 Table 6: Gas-Oil Relative Permeabilities Sg Krg Kro 0 0 0.9 0.05 0 0.6867 0.1163 0 0.4601 0.1825 0.0002 0.2897 0.2488 0.0022 0.1677 0.315 0.0125 0.0858 0.3813 0.0477 0.0362 0.4475 0.1424 0.0107 0.5312 0.359 0.0013 0.58 0.8 0 0.79 0.9 0 As the relative water saturation is one, which means that water is wetting phase and it displaces oil forming it a non-wetting phase. As water displaces oil which means rock is water wet, hence water flooding is a possible option.
  • 28.
    Figure 28: oilwater relative permeability Figure 19: oil water relative permeability curve
  • 29.
    Figure 20 :Rock pressure Figure 21: Gas saturation
  • 30.
    4.2.3 Aquifer Support Accordingto the aquifer data given in the project specification, an active aquifer was connected at the north end of the Field to provide the reservoir with adequate pressure maintenance. The aquifer provides pressure support to the reservoir from the edges. Table 7 below shows the given aquifer data as an initial estimate of the aquifer strength. Datum Volume 2e9 ft3 Compressibility 1e-5 1/psi Productivity Index 50 STB/psi/day Table 7: initial estimate of the aquifer strength. The figure below shows a static model with aquifer and oil . Figure 22: Static model with Aquifer Aquifer
  • 31.
    4.3 Distribution ofthe Properties In order to be able to use the property model distribution function in PETREL, the seed number of 3256 was given to use in our project. Property distribution is very important in reservoir simulation because in reality, reservoirs are not homogenous, rather they are heterogeneous. Table 8 shows the data for porosity, permeability and net to gross distribution. Properties Minimum Maximum Mean STD.Deviation Distribution Porosity 0.0281 0.3759 0.215 0.0625 Normal Permeability 50.414 700 350 250 Log-normal Net to Gross 0.2304 0.79 0.4967 0.1309 Normal Table 8: Property distribution data Figures below shows a results obtained for the property distribution of the above mentioned properties. Figure 23: Static model with porosity distribution
  • 32.
    Figure 24: Porositydistribution Figure 25: Static model with Permeability distribution Figure 26: Permeability distribution
  • 33.
    Figure 27: Staticmodel with Net to Gross distribution Figure 28: Net to Gross distribution
  • 34.
    4.4 Production profiles Thefigure27 shows the production profile of the field for 20 years, which produced maximum in the beginning with 8 producers and 2 injectors and gradually decreases by the end of 20years and the total recovered oil in 20years was 30%. Figure28 shows the production profile with water cut, at the beginning of the production. Water cut is less and gradually water cut increases with the decrease in production, giving a water cut of 51% at the end of 20years Figure 29: oil production profile of the field Figure 30: oil production and water cut
  • 35.
    Figure31: water cutof field Figure 32 shows the cumulative oil productions of field for 20years Figure 32: cumulative oil productions
  • 36.
    Figure 33 showsthe oil production rate of each well in which new well 4 produces maximum amount of oil Figure 33: production profile of each well 4.5 Wells 4.5.1 Well Numbers and Production Strategy Case Number of wells Types of Wells Project life time in years Water injection Recovery factor 1 8 8 vertical 20 Yes 30% 2 6 5 vertical & 1 horizontal 20 Yes 29% 3 8 8 vertical 20 Yes 27% Table 9: strategies for production For the given field different development strategies were applied and best three production strategies were chosen out of it and all three fields are capable of production economically as well. The best among the three is the first one with maximum recovery of 30%. In future a well testing can be done to know the extension of the faults and a horizontal well can be drilled as done in case 2. The case 1 gave best as the NPV value is more when compared with other two cases. Hence case 1 was chosen
  • 37.
    4.5.2 Well Locationand Type The best case among the three cases is case 1 with 8 producing and two injectors are shown below. The parameters that were considered for selection of wells were the HCPV, STOOIP, porosity and permeability. The injectors increased the overall recoverable oil by almost 5%. Figure 33: well location of the field 4.6 SENSITIVITY ANALYSIS 4.6.1 Transmissibility The transmissibility was carried on the best case and the following results were obtained. With zero transmissibility i.e. no flow through faults or fault is sealed and the same sensitivity was carried out with 0.175 and 0.35 and the difference in recovery factor is shown below Transmissibility Recovery factor 0 30.77% 0.175 31.04% 0.35 31.08% Table 10: Transmissibility sensitivity
  • 38.
    5. Drilling andWell Completion 5.1 Drilling facilities The only way to get hydrocarbon from the reservoir is to drill wells safely and economically as possible and to make sure the health and safety regulation are well conducted. The depth of the oil field reservoir and sea water (120 meter) for Oil field all together is 7260 ft and we are expecting the reservoir to be economically viable for 20 years. Due to the fact that the oilfield is on offshore, we needed the production facilities to be resistant to sea condition and very stable in bad weather. Hence we decided to use fixed steel platform even if the capital cost is very high it’s very cost effective for long lifetime like 20 years and above and also the ability to drill and complete wells from the platform, this gives possibility of future intervention when needed. More advantage of using fixed steel platform are • Stands on steel and concrete legs driven into the sea-bed. • The structure consists of multiple steel decks above sea level. • Platforms are manned (require accommodation) or unmanned. • Fixed platforms are economic in water depths to 500m. • Cost effective for long lifetime developments (greater than 20 years). • can act as hubs or production centres for production from neighbouring satellite fields. • Wells can be drilled and completed from the platform. • This gives accessibility to the wells for future intervention needs. • Fixed platforms are resistant to sea conditions, very stable in bad weather. . Figure 35: Fixed steel platform
  • 39.
    5.2 Drilling Planningand well completion After taken into account multiple cases and under serious consideration with Petrel, we decided to drill eight (8) vertical production wells and two (2) injection wells. This would give good production recovery about 30% along with economically viable. For well completion designing, we decided to use perforated casing completions after considered factors including depth of the reservoir, volume of fluids to be produced, well location, control of stimulation, pressure control, and wellbore stability. We will have two sections of intermediate casing. All casing were cemented and finally perforated. Figure 36: Perforated Casing Perforated Production casing Packer Tubing
  • 40.
    5.3 Well Location Thelocations where the wells will be drill mostly depend on the oil saturation of the area. From the Petrel simulation, as the oil saturation is scattered within the reservoir, we decided to drill eight production wells and two injection wells in the place where there is high oil content. The area marked with faults is the place where there is high oil content, as we could find it in the Petrel simulation model, wells location and direction are shown in the table 9 below, Wells Wellhead X Wellhead Y MD TVD Well 1 458218.00 6784656.00 6700.00 6700.00 Well 2 455990.74 6781777.76 6850.00 6850.00 New well 1 458090.44 6785138.13 6700.00 6700.00 New well 2 457489.50 6783018.41 6700.00 6700.00 New well 3 457189.50 6782439.12 6700.00 6700.00 New well 4 456430.18 6782404.50 6700.00 6700.00 New well 5 457794.67 6783946.07 6700.00 6700.00 New well 6 457443.23 6784057.55 6700.00 6700.00 Injector 1 458274.05 6783470.72 6950.00 6950.00 Injector 2 455506.22 6783115.88 6690.00 6690.00 Table 11: well locations and measurements
  • 41.
    Figure 37: Welllocations 5.4 Casing and Tubing Designing For casing, we have to design a set of casing strings capable of withstanding a variety of external and internal pressures, thermal loads and loads related to the self-weight of the casing. These casing strings are subjected to time-dependent corrosion, wear and possibly fatigue, which down rate their resistance to these loads during their service life. As the reservoir depth increases, the pore and fracture pressure increases as shown in the pressure gradient in graph 10 below, for this reason we must have different type of casing and tube size. The tube and casing size reduced as the depth increases. Depth (Ft) Pore Pressure (psi) Fracture Pressure (psi) Density Pore (lb/gal) Density Fractur e (lb/gal) Safety Pore +0.3 Safety Fracture -0.3 0 0 0 0.0 0.0 0 0 500 225 338 8.7 13.0 9.0 12.7 1000 450 676 8.7 13.0 9.0 12.7 1500 686 1014 8.8 13.0 9.1 12.7 2000 915 1248 8.8 12.0 9.1 11.7 2500 1170 1560 9.0 12.0 9.3 11.7 3000 1482 2184 9.5 14.0 9.8 13.7 3450 1973 2601 11.0 14.5 11.3 14.2 4000 2288 2912 11.0 14.0 11.3 13.7 4500 2691 3393 11.5 14.5 11.8 14.2 5000 3250 4420 12.5 17.0 12.8 16.7 5500 4290 4862 15.0 17.0 15.3 16.7 5800 4524 5730 15.0 19.0 15.3 18.7 6000 4680 5928 15.0 19.0 15.3 18.7 6100 4758 6027 15.0 19.0 15.3 18.7 6300 4259 5405 13.0 16.5 13.3 16.2 6500 4394 5408 13.0 16.0 13.3 15.7 6600 4462 5491 13.0 16.0 13.3 15.7 6700 4529 5574 13.0 16.0 13.3 15.7 6800 4597 5658 13.0 16.0 13.3 15.7 Table 12: pore and fracture pressure
  • 42.
    The table belowshows the relation between Pore, Fracture pressure with depth Depth (Ft) Pore Pressure (psi) Fracture Pressure (psi) 0 0 0 6800 4597 5658 Table 13: pore and fracture pressure relation with Depth Figure 38: Pore pressure Gradient Figure 39: Fracture pressure Gradient 0 1000 2000 3000 4000 5000 6000 7000 8000 0 1000 2000 3000 4000 5000 Depth(ft) Pore Pressure (psi) Pore Pressure Gradient Pore Pressure Gradient 0 1000 2000 3000 4000 5000 6000 7000 8000 0 2000 4000 6000 Depth(ft) Fracture Pressure (psi) Fracture Pressure Gradient Fracture Pressure Gradient
  • 43.
    Figure 40: PressureGradient 0 1000 2000 3000 4000 5000 6000 7000 8000 0 1000 2000 3000 4000 5000 6000 Depth(ft) Pressure (psi) Pressure Gradient Graph Pore Gradient Fracture Gradient
  • 44.
    Figure 41: PressureGradient Plot From the Figure 36 above, to drill to a depth of 6800 feet, a 16.2 lb/gal mud density will be needed. And there are two intermediate casing between 2900 -6300 feet. In this case, we will have to use surface casing which serves the function of protecting fresh-water aquifers and to provide pressure integrity even if the aquifer is at the bottom (about 6000 feet). And a mud density of 10 lb/gal has to be used. At approximately 500 feet, a conductor casing will be set to protect the wellbore. For the casing size, this was designed considering a production casing of 6 5/8” plug as simulated in PETREL. From table above, a 6 5/8 ” plug production casing will require a hole of 6 1/2”. Then a 9 5/8” of diameter and 9 1/2’’ bit plug was selected to drill to the first intermediate casing depth. 0 1000 2000 3000 4000 5000 6000 7000 8000 4.00 6.00 8.00 10.00 12.00 14.00 16.00 18.00 20.00 Depth(Ft) EMD (ppg) Pore and Fracture gradient plot Pore Gradient Conductor Surface Intermediate 1 Production Casing D= 6300 - 6660 ft Intermediate 2 Conductor Casing D 0 -500 ft Surface Casing D = 500 -2900 ft Intermediate Casing D = 2900 - 5000 Production Intermediate Casing D = 5000 - 6300 ft
  • 45.
    Casing (type) Depth (ft) Diameter (OD in) Bit size (in) EMD(ppg) Production 6660 - 6300 6 5/8 6 ½ 15 Intermediate 6300 - 5000 9 5/8 9 ½ 16 Intermediate 5000 - 2900 10 ¾ 12 ¼ 13 Surface 2900 - 500 13 3/8 17 ½ 10 Conductor 500 - 0 20 24 or 26 10 Table 14: Casing Section measurements 5.4.1 Tubing Calculation The tubing diameter can be calculate by using the data in the table and the following formula below, Term Value Unit Conversion Unit IPA 38 ˚ Pwh 600 psi 4 136 854.38 Pa Pwf 1160 psi 7 997 918.46 Pa L 6100 ft 1859.28 m Q 500 stb 680 t/d Table 15: Values for calculating Tubing Diameter D = 0.074 ( 𝛾𝑙 𝐿 𝑃 𝑤𝑓−𝑃 𝑤ℎ ) 0.5 [ 𝑄𝑙 𝐿 𝛾𝑙 𝐿−10(𝑃 𝑤𝑓−𝑃 𝑤ℎ) ] 1/3 × 25.4 And the value of γl = 0.66077739 The calculated value of tubing diameter, D = 4.77909531 inch 5.4.2 Casing Calculation We need to calculate burst pressure and collapse pressure in order to design casing, as in the internal pressure and external pressure must be equal. Burst Pressure The casing is exposed to burst pressure loading, If the internal pressure is higher than external, when designing of the casing we must make sure this condition is not happening., Burst pressure loading conditions occur during well control operations, casing pressure integrity tests, pumping operations, and production operations.
  • 46.
    Collapse Pressure The casingis subjected to collapse, if the external pressure exceeds internal pressure; such conditions may exist during cementing operations, trapped fluid expansion, or well evacuation. This is material's yield strength primary function, and it’s determined by the yield strength and D/t. Assumptions made, Gas density (psi/ft) = 0.1 Design factor (burst) = 1.1 Design Factor (collapse) = 1 Table 16: casing sections size and properties The effect of collapse pressure, Burst pressure at shoe and at the surface variation can be calculated seen below, Collapse Pressure 𝑃 = 𝜌𝑔ℎ Burst Pressure at shoe 𝐵𝑢𝑟𝑠𝑡 𝑃𝑟𝑒𝑠𝑠𝑢𝑟𝑒 = 𝐼𝑛𝑡𝑒𝑟𝑛𝑎𝑙 𝑃𝑟𝑒𝑠𝑠𝑢𝑟𝑒 − 𝐸𝑥𝑡𝑒𝑟𝑛𝑎𝑙 𝑃𝑟𝑒𝑠𝑠𝑢𝑟𝑒 𝐼𝑛𝑡𝑒𝑟𝑛𝑎𝑙 𝑃𝑟𝑒𝑠𝑠𝑢𝑟𝑒 = 0.052 × (𝜌 + 𝑠𝑎𝑓𝑒𝑡𝑦 𝑚𝑎𝑟𝑔𝑖𝑛) × ℎ 𝐸𝑥𝑡𝑒𝑟𝑛𝑎𝑙 𝑃𝑟𝑒𝑠𝑠𝑢𝑟𝑒 = 𝐵𝑟𝑖𝑛𝑒 𝑃𝑟𝑒𝑠𝑠𝑢𝑟𝑒 𝐺𝑟𝑎𝑑𝑖𝑒𝑛𝑡 × ℎ Burst Pressure at surface 𝐼𝑛𝑡𝑒𝑟𝑛𝑎𝑙 𝑃𝑟𝑒𝑠𝑠𝑢𝑟𝑒 = 𝐼𝑛𝑗𝑒𝑐𝑡𝑖𝑜𝑛 𝑃𝑟𝑒𝑠𝑠𝑢𝑟𝑒 − (0.1 × ℎ) × 𝑠𝑎𝑓𝑒𝑡𝑦𝑓𝑎𝑐𝑡𝑜𝑟 Conductor Surface Int 1 Int 2 Production Hole size 24'' 500 17 1/2 '' 2900 12 1/4 '' 5000 9 1/2 '' 6300 6 1/2 '' 6660 Casing Size 20'' 13 3/8 10 3/4 9 5/8 6 5/8 Expected min/max pore press gradient (PPG) 8.65/8.95 9.5/9.8 12.5/12.8 13.0/13.3 13.0/13.3 Expected LOT press grad (PPG) 13 14 17 16.5 18 Mud weight (PPG) 10 10 13 16 15 Conductor Surface Int1 Int2 Production Casing size 20'' 13.375 10.75 9.625 6 5/8 Setting depth (ft) 500 2900 5000 6300 6660 Pore pressure above 2900 ft 8.65 9.5 12.5 13 13 Mud weight casing to be run 10 10 13 16 15 Depth of next hole 17.5 2900 5000 6200 6660 0 Max pore pressure at botom of 17.5 hole 9.8 12.8 13.3 13.3 0 Frac pressure gradient at 20'' shoe 13 14 17 16.5 0 Expected gas gradient 0.1 0.1 0.1 0.1 0
  • 47.
    Table 17: casingsections size and other properties 5.4.2.1 Conductor Casing Section Conductor casing used to prevent cave in of the surface, and the burst and collapse pressure must be calculate so that the casing used can meet its requirements. The hole size can be big as 36 inches because as the drilling goes on the hole diameter decreases. Once the conductor hole is drilled the casing is cemented in it. Burst Pore pressure at the bottom of 17.5 = Max pore pressure at bottom of 17.5 hole * Depth of next hole 17.5*0.052 = 9.8 * 2900 = 1477.84 pressure at surface = Pore pressure at the bottom of 17.5 8 - (0.1* Depth of next hole 17.5) = 14477.84 – (0.1 * 2900) = 1187.84 Pressure at 20’’ casing shoe = Fracture Pressure at 20’’ shoe – ( 0.1 * setting depth,ft) = 1477.84 – (0.1 *500) = 1427.84 LOT pressure @ 20'' casing shoe = Expected LOT pressure gradient – (0.0052 * setting depth) = 13 * 0.052 *500 =338 Max pressure @ surface = LOT pressure @ 20'' casing shoe – (0.1* setting depth) = 338 – (0.1 * 500) = 288 Pore pressure @ casing shoe = Pore pressure above 2900 ft * 0.052 *setting depth = 8.65 * 0.0052 *500 = 224.9 There is no any external force acting, then External pressure at surface = 0 Collapse Collapse calculation for conductor casing, external, internal pressure at the surface and at the shoe is zero (0). Pore pressure at casing shoe = Pore pressure above 2900 ft * 0.052 *setting depth = 8.65 * 0.0052 *500 = 224.9
  • 48.
    The summary forburst and collapse pressure calculation is shown in the table 15 and 16 below, Depth External load Internal load Net load Design Load Depth Conductor 0 288 288 316.8 0 Casing shoe 224.9 338 113.1 124.41 500 Table 18: Burst values Depth External load Internal load Net load Design Load Depth Conductor 0 0 0 0 0 Casing shoe 224.9 0 224.9 224.9 500 Table 19: Burst values Figure 42: Conductor casing Loads The casing Data sheet which used to approximate the Burst and collapse pressures in the casing designing with different measurements is shown in the table below 0 100 200 300 400 500 600 0 100 200 300 400 Depth(ft) Pressure (psi) Conductor Casing Loads Collapse Burst
  • 49.
    Table 20: CasingDesigning Data sheet 5.4.2.2 Surface Casing Section This part of the casing used to prevent fresh water zone to inter in the drilled well. The hole size can be up 17 inches in diameter. The depth of surface hole set by regulatory agencies and they require the surface hole to be drilled by all fresh water zone and surface case to set and cemented to protect the zone from damage from addition drilling operation. This casing must be strong enough to support BOP when connected and also to be able to support the additional casing strings hanging inside it. Burst and collapse calculations for surface casing section is same as for conductor. And Table 18 and 19 are the summaries for their values after calculations Depth External load Internal load Net load Design Load Depth Surface 0 1821.2 1821.2 2003.32 0 Casing shoe 1432.6 2111.2 678.6 746.46 2900 Table 21: Burst values Depth External load Internal load Net load Design Load Depth Surface 0 0 0 0 0 Casing shoe 1432.6 0 1432.6 1432.6 2900 Table 22: Collapse values Casing PE STC LTC BTC STC LTC BTC Production 65/8 24 J-55 4560 5110 5110 5110 5110 314 340 453 382 0.352 5.921 5.796 0.00858 0.03406 Intermediate2 95/8 43.5 HCL-80 5600 6330 6330 6330 936 1142 1005 0.435 8.755 8.599 0.01553 0.07446 Intermediate1 103/4 51 HCL-80 4460 5860 5860 5860 906 1316 1165 0.45 9.85 9.694 0.01801 0.09425 Surface 133/8 61 J-55 1540 3090 3090 3090 595 1025 962 0.43 12.515 12.359 0.02163 0.15215 Conductor 20 94 H-40 520 1530 1530 1530 581 1041 1077 0.438 19.124 18.936 0.03329 0.35528 I.D. (inch) Drift Diamet Displac ement Capaci ty Grade Collap se InternalYieldPressureMinimum JointStrength1000lbs Body Yield Wall (inch) O.D. (inch) Nomin al
  • 50.
    Figure 43: Surfacecasing Loads 5.4.2.3 Intermediate 1 Casing Section This part sometimes called troublesome formation, can be drill by adjusting drilling fluids, And once drilled need to be sealed off in order to prevent problems in drilling deeper portion of the well. The hole of this section must be easily fitted inside the surface casing, and can be up to 12 inches in diameter. And often it the longest section of the well. Burst and collapse calculations for this casing section is same as for conductor. And Table 20 and 21 are the summaries for their values after calculations Depth External load Internal load Net load Design Load Depth Inter 0 3920 3920 4312 0 Casing shoe 3250 4420 1170 1287 5000 Table 23: Burst values Depth External load Internal load Net load Design Load Depth Inter 0 0 0 0 0 Casing shoe 3250 0 3250 3250 5000 Table 24: Collapse values 0 500 1000 1500 2000 2500 3000 3500 0 500 1000 1500 2000 2500 Depth(ft) Pressure (psi) Surface Casing Loads Collapse Burst
  • 51.
    Figure 44: Intermediate1 casing Loads 5.4.2.4 Intermediate 2 Casing Section We needed to divide two section of intermediate casing because it’s the longest section in the well and function of this part is same as the intermediate 1 as in is to prevent troublesome formation, and also can be drill by adjusting drilling fluids, And once drilled need to be sealed off in order to prevent problems in drilling deeper portion of the well. Burst and collapse calculations for this casing section is same as for conductor. And Table 22 and 23 are the summaries for their values after calculations Depth External load Internal load Net load Design Load Depth Inter 2 0 4775.4 4775.4 5252.94 0 Casing shoe 4258.8 5405.4 1146.6 1261.26 6300 Table 25: Burst values Depth External load Internal load Net load Design Load Depth Inter 2 0 0 0 0 0 Casing shoe 4258.8 0 4258.8 4258.8 6300 Table 26: Collapse values 0 1000 2000 3000 4000 5000 6000 0 1000 2000 3000 4000 5000 Depth(ft) Pressure (psi) Intermediate 1 Casing Loads Collapse Burst
  • 52.
    Figure 45: Intermediate2 casing Loads 5.4.2.5 Production Casing Section The hole size of this section is between 8- 10 inches in diameter. This part of the zone penetrate the producing zone. Once the production zone is drilled is needed to be protected and sealed .so the production casing used to isolate the production zone and be ready for production after perforation. The calculation for casing burst and collapse pressure at production section is differ from all other section and mostly depend on if there is liner or not. Test Perforation depth 6650 Mud weight 13.3 casing shoe 6660 Press @6660 casing shoe 13 Mud weight casing to be run 15 Max pore press @ tops of production zone = Test perforation depth * Mud weight * 0.052 = 6650 * 13.3 * 0.052 = 4599.14 CITHP at surface = Max pore press @ tops of production zone – (0.15 * Test perforation depth) = 4599.14 – (0.15 * 6650) = 3601.64 Pore press at top of liner = Casing shoe *Press @6660 casing shoe * 0.052 0 1000 2000 3000 4000 5000 6000 7000 0 1000 2000 3000 4000 5000 6000 Depth(ft) Pressure (psi) Intermediate 2 Casing Loads Collapse Burst
  • 53.
    = 6660 *13 * 0.052 = 4502.16 Internal load = Mud weight casing to be run * casing shoe *0.052 = 15 * 6660 * 0.052 = 5194.8 External pressure = 0 (there is no external force act on it) Depth External load Internal load Net load Design Load Depth Surface 0 3601.64 3601.64 3961.8 0 TOL 4502.16 6233.76 1731.6 1904.76 6000 Table 27: Burst values Depth External load Internal load Net load Design Load Depth surface 0 0 0 0 0 TOL 4502.16 0 4502.16 4502.16 6000 Table 28: Collapse values Figure 46: Production casing Loads 0 1000 2000 3000 4000 5000 6000 7000 0 1000 2000 3000 4000 5000 Dpeth(ft) Pressure (psi) Production Casing Loads burst collapse
  • 54.
    5.5 Drilling Fluids Inorder to satisfy various regulatory and environmental standards, as well as achieve the highest performance and function, drilling mud usually serves many functions including,  Cleaning the hole, this allow the drilling bit to drill to uncut formation in the hole  Lifting cuttings to the surface  Cooling and lubricate drilling string  Carrying information about formations  Stabilizing wellbore by forming mud cake and prevent the hole walls  Control formation pressure  Suspending the cuttings Drilling fluids have a huge impact on drilling performance from controlling wellbore stability, allowing high penetration rates, preventing premature failure and enabling high angle and extended reach wells to be drilled. Technical requirements and local availability of the drilling fluid products are some of the factors determine the type of the mud fluid to be used for drilling a well. In this project, water based fluids (WBF) for well stability and temperature stability. Due pressure variation in the well, types of drilling fluids used differ depend on the casing section. The amount of the mud fluid needed are calculated by using safety factor and the volume of the drilling string used. Our safety factor for this project is 4. Table below summarizes the measurements, components and mud used in every part of the casing for this project. Table 29: Casing Properties and safety factor values Calculation; Radius (inch) = Bit size /2 Volume (ft3) = 𝜋 × 𝑟2 × 𝐻 Ft3 to BBL = V × (1/𝑟2 ) × (1/5.615) Safety Factor = V in bbl × 4 Total safety = ∑ of safety factor of the area Casing ρMud Bit Size Radius(inch)Height(ft) Volume(ft3 ) bbl Mud Density Safetyfactor Totalsafety Conductor 10 24 12 500 226194.671 279.750014 WBM 10 1119.00 1119.00005 Surface 10 171/2 83/4 2900 6975313/4 862.683961 WBM 10 3450.74 4569.74 Intermediate1 13 121/4 61/8 5000 589294.059 728.819209 WBM 13 2915.28 7485.01 Intermediate2 16 95/8 44/5 6200 451110.616 557.918541 WBM 16 2231.67 9716.69 Production 15 65/8 31/3 6660 229581 283.938068 WBM 15 1135.75 10852.44
  • 55.
    The mass balanceequation was used to calculate the components in the mud fluid used in every part of the casing 𝜌 𝑚 𝑉𝑚 = 𝜌 𝑤 𝑉𝑤 + 𝜌 𝐵𝑒𝑛 𝑉𝐵𝑒𝑛 𝑉𝑚 = 𝑉𝑤 + 𝑉𝐵𝑒𝑛 5.5.1 Drilling Fluids for Conductor casing Section It was decided to use mix of water and bentonite for Mud A with density of 10 ppg and volume of 1119 bbl for designing conductor section casing and the table below summaries the mud used for this section. Volume of Mud A = 1119 bbl 𝑽 𝒘 = (𝝆 𝑩𝒆𝒏 ∗ 𝑽 𝒎) – (𝝆 𝒎 ∗ 𝑽 𝒎)/ (𝝆 𝑩𝒆𝒏 - 𝝆 𝒘 ) = (21.7 *1119) – (10 *1119) / (21.7- 8.54) =994.86 Volume of Bentonite = 𝑉𝐵𝑒𝑛– 𝑉𝑤 = 1119 -994.86 = 124.14 bbl Mass of water Mw = 𝜌 𝑤 * 𝑉𝑤*42 =356834.83 Ib Mass of Bentonite Mb = 𝜌 𝐵𝑒𝑛 ∗ 𝑉𝐵𝑒𝑛*42 =113145.19Ib Mass of Mud A = 𝜌 𝑚 * 𝑉𝑚 =11190 Ib Table 30: Mud fluid values for conductor Where: 𝑉𝑚 = Volume of Mud A 𝑉𝑤 = Volume of water 𝑉𝐵𝑒𝑛 =Volume of Bentone 𝜌 𝑚= Density of Mud A 𝜌 𝑤 = Density of water 𝜌 𝐵𝑒𝑛 =Density of Bentonite 5.5.2 Drilling Fluids for Surface casing Section By using the mass balance equation, the calculation of surface section of the casing is same as or the conductor section and we used the same mud A fluid but with volume of 4569.74 bbl .the table 28 below shows the mud designing for surface casing. Component ρ (ppg) V (bbl) Mass (lb) Sacs Water 8.54 4062.76 1457230.44 Bentonite 21.7 506.98 462058.64 4620.59 Mud A 10 4569.74 45697.36 Table 31: Mud fluid values for Surface Component ρ (ppg) V (bbl) Mass (lb) Sacs Water 8.54 994.86 356834.83 Bentonite 21.7 124.14 113145.19 1131.45 Mud A 10 1119.00 11190.00
  • 56.
    5.5.3 Drilling Fluidsfor Intermediate 1 casing Section In this section, the mix of Mud A, Mud B and barite used, the volume of Mud A needed was 6586.81 bbl. and the amount of mud A already used in the system was 45697.36 bbl. So it was required to add up volume of 2017.07 of Mud A in the intermediate 1 section. After calculation using the mass balance equation the Table below summarizes the properties of mud fluid used Component ρ (ppg) V (bbl) Mass (lb) Sacs Mud A 10 6586.81 2766459.7 Barite 35 898.20 1320355.76 13203.558 Mud B 13 7485.01 Table 32: Mud fluid values for Intermediate 1 Component ρ (ppg) V (bbl) Mass (lb) Sacs Water 8.54 223.78 80264.90981 Bentonite 21.7 1793.29 1634408.421 16344.1 Mud A 10 2017.07 847170.6178 Table 33: Mud fluid addition values for Intermediate 5.5.4 Drilling Fluids for Intermediate 2 casing Section The mixing of barite and Mud B used to form volume of 9716.69 Mud C which were used as drilling fluid in this section as shown below Component ρ (ppg) V (bbl) Mass (lb) Sacs Mud B 13 1325.00 723451.5065 Barite 35 8391.68 12335775.69 123358 Mud C 16 9716.69 6529613.597 Table 34: Mud fluid values for Intermediate 2 5.5.5 Drilling Fluids for Production casing Section The amount of 10852.44 Mud D are needed for this section ,we had already the volume of 9716.69 mud C used for intermediate 2 .we only add up 857.10 bbl of water to get 10852.44 bbl of mud D. Component ρ (ppg) V (bbl) Mass (lb) Sacs Water 8.54 857.10 307423.0817 Mud C 16 9716.69 6529613.597 65296.1 Mud D 15 10852.44 162786.5876 Table 35: Mud fluid values for Production
  • 57.
    6. Well ProductionOptimisation 6.1 Well Modelling (PROSPER) To analyse well performance and optimization of a well including determination of inflow performance relationship, we used Prosper. The PVT analysis and VLP co-relation of well can be also addressed by this well modelling. Tables below were used to carry out the PROSPER AND GAP modelling. Depth (feet) TVD (feet) Explanation 0 0 Point of original deviation survey 500 500 Sea floor level 3000 3000 surface casing section 5000 5000 Intermediate casing section 6660 6660 Top of perforation Table 36: Deviation survey Type Length (feet) TVD (feet) Inside diameter (feet) Inside roughness Rate Multiplier Tubing 6149.95 6299.95 5 0.0006 1 Casing 6660 6660 6.25 0.0006 1 Xmass tree 150 150 N/A N/A 1 Table 37: Downhole equipment 6.1.1 Well Deliverability The well deliverability was modelled by the inflow performance relation in PROSPER as shown in Figure 41. The data used is shown Table 35 below. IPR model PI Entry Reservoir Pressure 3950 psi Reservoir Temperature 170 deg F Water Cut 51.03 Table 38: Data given to use
  • 58.
    Figure 47: IPRGraph 6.2 Inflow Performance Relation (IPR) Curve Inflow Performance Relation (IPR) Curve Is the relation used to assess well performance by plotting the well production rate against the flowing buttonhole pressure (BHP). The data required to create the IPR are obtained by measuring the production rates under various drawdown pressures. The reservoir fluid composition and behaviour of the fluid phases under flowing conditions determine the shape of the curve. Inflow performance relation gives the productivity index (PI) which is ratio of flow rate upon pressure drawdown. PI is the inverse of slope of above graph. 𝑃𝐼=𝑄/Δ𝑃 Where: PI = Productivity Index (STB/day/psi) Q = Flowrate (STB/day) ΔP = Drawdown (Psi)
  • 59.
    6.3 Optimum WellFlow Rate In order to estimate the optimum well flow rate, the fluid properties (PVT), reservoir data (IPR) and the tubing response (VLP) have to be integrated to produce a VLP/IPR curve with the intersection of the curve being the well flow rate. Figure below shows the IPR versus VLP plot. Figure 48: IPR Vs VLP curve The optimum flow rate in our case is 36055.4 STB/day., with wellhead pressure of 400 psig and Wellhead temperature of154.97 deg F. Optimum flow rate
  • 60.
    6.4 Sensitivity Analysis Sensitivityanalysis was carried out for the reservoir pressure, GOR, tubing diameter and water cut will change. Therefore, sensitivities were carried out on them. Because during the life of the wells, it is expected that some changes in the well properties. 6.4.1 Sensitivity Analysis on Reservoir Pressure Figure 49: Sensitivity analysis on Reservoir Pressure The sensitivity analysis on the reservoir pressure the intersection shows that the minimum and maximum reservoir pressure needed to cause a flow, there is about 1980 psig. Below this pressure there is will be no flow of the liquid. The liquid rate increases, as the pressure goes up shown in the graph above.
  • 61.
    6.4.2 Sensitivity Analysison Gas Oil ratio Figure 50: Sensitivity on Gas Oil Ratio The intersection of the lines shows that, as the pressure increases, there is an increase in the gas oil ratio value while liquid rate decreases. The higher the GOR the higher the lift curve and this indication that more gas being produced in place of oil.
  • 62.
    6.4.3 Sensitivity Analysison water cut Figure 51: Sensitivity on Water Cut In the water cut sensitivity analysis we can conclude that the lower the water cut the lower the vertical lift performance curve which indicates more oil being produce relative to water. Figure 52: Sensitivity on tubing diameter
  • 63.
    6.5 GAP Model Afterrunning GAP model, the surface separator pressure of 390 psig and temperature of 83.16 deg F, with the rate of production of 40000 STB/day was obtained. Figure 53: GAP Model without constraint 7. Surface Production Facilities After the production, fluid is passed through the well tube to the surface, the oil; gas and water undergo separation process. The main objective of separation process is to treat and process production fluids that come out of the well-head so as to meet marketable standard and specifications required for final product consumer. Surface Production Operations facilities may include any of the following; mixers, heat exchanger, gas/oil/water separator, Pump compressor, splitter, desalting, sweetening,
  • 64.
    stabilisation, oil, waterand gas treatment. It can also include treatment of produced water for re-injection or disposal. Gas/oil/water separation are always first step followed by other processes according to what is set out to be achieved. For our oil field will be separation process equipment’s includes: • 1 horizontal three phase separator, 2 vertical two phase separators – for gas/oil/ water separation. • Pump –to help flow of the water for reinjection. • Heat exchangers – Two cooler and two heaters for gas and oil so as to stabilize it before transporting it to where it will be stored or exported. • Compressors – to compress the gas before transporting it to point of storage/export. • One splitter – for final water cut in the gas before exportation 7.1 Production Fluid Separation Operations The separation of production fluid takes place in a separation plant (separator). Here is where the production fluids are separated into respective phases (i.e. gas, oil and water), or gas and oil if the produced fluids contains just oil and gas with very little or a negligible quantity of water. For our oil field, due to the high flowing pressure at the well head we decided to use 3 separator stages because the higher the inlet pressure, the higher the number of separator stages and the operation cost. First the hydrocarbon and water will pass through the mixer and then the mixture go through the 3 phase vertical separator where by gas, oil and water are separated The separator operation cost must be carefully considered, there has to be a balance in the capital and operating costs relative to the number of separator stages.
  • 65.
    7.2 Oil Treatment Followingseparation, the oil stream will undergo other processes for further Field treatment. Then the oil will pass through heater so as to attain required temperature for condensation and then will undergo another separation stage where by two phases separator was used to separate any remaining of lighter ends gas in the oil. The oil will pass through the heater again in order to reach the required temperature and pressure. The designing of inlet separator of the surface production become more easily by using HYSYS modelling. 7.3 Gas Treatment To meet required specifications, the gas from three phase horizontal separator and lighter ends gas from two phase separator will pass through the mixer and then will undergo vaporisation process by being cooled by heat exchanger , after that the gas will go through the vertical two phases separator where by the gas will be separated with water remaining and the gas will be compressed so that the pressure required to be achieved before passing through another cooler and finally the water cut process will be follow when the gas pass through the splitter. Gas will undergo several treatments before it reach to the gas exporting central. The H2S, CO2 and other impurities remover will be used to purify the exporting gas. 7.4 Water Treatment The water from inlet which was separated by three phases vertical separator will pass through the mixer together with the water cut from gas in splitter and this will be our final amount of water cut. There will be some of the water remaining in the gas which was separated by two phases separator will undergo condensation by passing through the heater and will be pumped as recycle back to the inlet mixer as water injection.
  • 66.
    7.5 HYSYS Simulation HYSYSSimulation The compositional below was given to be used for the HYSYS simulation modelling to design the inlet separator of the oil field with these condition must be attained,  Oil to be exported with a True Vapour Pressure (TVP) of 1 bar and at 37.8 C and maximum basic sediment and water (B, S & W) of 2 volume%; include a heavy liquid “carry-over” of 0.01 mole% in the separators.  Gas to be exported at a pressure of 120 bar and temperature of 50 C with a maximum water content of 3 lbm/MMSCF and a maximum H2S content of 500 ppm(mol) .  Produced water to be either re-injected into the reservoir or disposed of overboard with an oil content < 30 ppm; include a light liquid “carry-over” of 0.01 mol% in your separators. Component Mole Percent (percent) Critical Temperature (deg F) Critical Pressure (psig) Critical Volume (ft3/lb.mole) Acentric Factor Molecular Weight (lb/lb.mole) N2 0.20669 -232.51 477.419 89.8 0.00064 28.01 CO2 0.62007 87.89 1054.74 93.9 0.0036 44.01 H2S 0.020669 212.09 1280.96 98.6 0.0016 34.08 C1 24.8028 -116.59 661.049 99.2 0.00018 16.04 C2 5.50063 90.05 702.615 148.3 0.00145 30.07 C3 6.28053 205.97 608.886 203 0.00233 44.1 C4 4.97155 289.49 528.539 263 0.00299 58.12 C5 4.61241 372.83 492.845 255 0.00361 72.05 C6 4.47012 442.109 449.149 400.217 0.00406 84 C7 4.16653 483.247 411.018 455.957 0.00434 94.1122 C8 3.89886 523.677 381.61 510.792 0.00462 105.063 C9 3.65668 562.42 357.885 564.724 0.00489 116.5 C10 3.43393 599.311 338.196 617.752 0.00516 128.24 C11-C13 8.84274 666.317 307.031 720.466 0.00567 151.613 C14-C25 16.0744 851.293 249.881 1020.02 0.00713 228.352 C25-C50 7.57506 1208.16 201.564 1587.61 0.00967 412.478 C50+ 0.86639 1797.91 203.784 2127.16 0.01104 769.801 Table 39: Given values of components We used these given values to calculate weight, density percentage in weight and density of each component as shown in the table 36 below, by using these formulas,
  • 67.
    Weight = %mole* Molecular weight Density = weight / critical volume % Weight = weight / total weight Density of components = % weight *total density Table 40: Calculated values Components Mole% MolecularWeight CriticalVolume Weight Density %Weight Densityofcomponents N2 0.20669 28.01 89.8 5.7893869 0.064469787 0.000469093 0.009880367 CO2 0.62007 44.01 93.9 27.2892807 0.290620668 0.002211151 0.046572827 H2S 0.020669 34.08 98.6 0.70439952 0.007144011 5.70749E-05 0.001202152 C1 24.8028 16.04 99.2 397.836912 4.010452742 0.032235276 0.67896218 C2 5.50063 30.07 148.3 165.4039441 1.115333406 0.013402079 0.282284069 C3 6.28053 44.1 203 276.971373 1.364391 0.022441982 0.472688887 C4 4.97155 58.12 263 288.946486 1.09865584 0.023412282 0.493126028 C5 4.61241 72.05 255 332.3241405 1.303231924 0.026927015 0.567155827 C6 4.47012 84 400.217 375.49008 0.938216218 0.030424594 0.640824307 C7 4.16653 94.1122 455.957 392.1213047 0.859996238 0.031772161 0.669207728 C8 3.89886 105.063 510.792 409.6259282 0.801942725 0.033190497 0.699081721 C9 3.65668 116.5 564.724 426.00322 0.7543565 0.03451749 0.727031772 C10 3.43393 128.24 617.752 440.3671832 0.712854322 0.035681349 0.751545806 C11-C13 8.84274 151.613 720.466 1340.67434 1.860843315 0.10862996 2.288041016 C14-C25 16.0744 228.352 1020.02 3670.621389 3.59857786 0.297417085 6.264408919 C25-C50 7.57506 412.478 1587.61 3124.545599 1.968081329 0.253170552 5.332457163 C50+ 0.86639 769.801 2127.16 666.9478884 0.313539127 0.054040359 1.138236243 100.000059 Total 12341.66285 21.06270701 21.06270701
  • 68.
    Table 41 below,shows the mole fraction and other give factors for designing the oil field Components Mole fraction N2 0.0020669 CO2 0.0062007 H2S 0.00020669 C1 0.248028 C2 0.0550063 C3 0.0628053 C4 0.0497155 C5 0.0461241 C6 0.0447012 C7 0.0416653 C8 0.0389886 C9 0.0365668 C10 0.0343393 C11-C13 0.0884274 C14-C25 0.160744 C25-C50 0.0757506 C50+ 0.0086639 H20 1 API 38.0 ° API Temperature 170°F (60 °C) Pressure 3950 psi Daily peak production 5,000 STB/day Table 41: mole fraction and other give factors 7.6.1 Base Case The API gravity of a crude specific gravity (SG) is given by: 𝐴𝑃𝐼= 141.5𝑆𝐺−131.5 ∴ 𝑆𝐺= 141.538.0+131.5 = 141.5169.6 = 0.8348 Also: 𝜌𝑜𝑖𝑙=𝑆𝐺∗𝜌𝑤𝑎𝑡𝑒𝑟 ∴𝜌𝑜𝑖𝑙= 0.8348 * 1000 = 834.8 kgm-3
  • 69.
    Conversion of dailypeak production (STB/day) to mole flow (kmol/hr) 0.159 m3/day = 1 STB/day ∴ 5,000 STB/ day = (5,000 * 0.159) m3/day = 795 m3/day Also: 𝑀𝑎𝑠𝑠=𝜌∗𝑣𝑜𝑙𝑢𝑚𝑒 Correspondingly, ∴ Mass flow = 𝜌∗𝑣𝑜𝑙𝑢𝑚𝑒 = 834.8 * 795 = 663,666 kg/day Thus, hourly mass production = (663,666 kg/day) / 24 = 27652.75 kg/hr Conversion of mass flow to molar flow 𝑁𝑢𝑚𝑏𝑒𝑟 𝑜𝑓 𝑚𝑜𝑙𝑒𝑠= 𝑚𝑎𝑠𝑠/𝑚𝑜𝑙𝑒𝑐𝑢𝑙𝑎𝑟 𝑤𝑒𝑖𝑔ℎ𝑡 Comparatively, ∴ 𝑀𝑜𝑙𝑎𝑟 𝑓𝑙𝑜𝑤= 𝑚𝑎𝑠𝑠 𝑓𝑙𝑜𝑤/𝑚𝑜𝑙𝑒𝑐𝑢𝑙𝑎𝑟 𝑤𝑒𝑖𝑔ℎ𝑡 ∗𝐴𝑣𝑒𝑟𝑎𝑔𝑒 𝑚𝑜𝑙𝑒𝑐𝑢𝑙𝑎𝑟 𝑤𝑒𝑖𝑔ℎ𝑡=Σ 𝑚𝑜𝑙𝑒 𝑓𝑟𝑎𝑐𝑡𝑖𝑜𝑛𝑠∗𝑚𝑜𝑙𝑒𝑐𝑢𝑙𝑎𝑟 𝑤𝑒𝑖𝑔ℎ𝑡 Thus, molar flow is calculated as: 27652.75 / 123.42 = 224.05 kmol/hr 7.6.2 Mass balance An overall mass balance for our inlet separator designing carried out by the HYSYS simulation are as shown in the table below, Table 42: input and output values from HYSYS H2O HC Total Inlet Oil Export Gas Export Water Out Total Outlet Mass Balance Nitrogen 0 54.079974 54.07997 0.1088222 53.940645 3.05E-02 54.08 0.00 CO2 0 254.88631 254.8863 3.8364878 248.51372 2.536101 254.89 0.00 H2S 0 6.5784785 6.578478 0.2286571 6.2325277 0.117294 6.58 0.00 Methane 0 3716.5585 3716.558 11.922317 3704.635 1.16E-03 3716.56 0.00 Ethane 0 1544.9051 1544.905 18.389171 1526.5159 6.33E-06 1544.91 0.00 Propane 0 2586.7992 2586.799 72.198686 2514.6005 4.36E-08 2586.80 0.00 n-Butane 0 2699.0112 2699.011 160.13524 2538.876 8.98E-11 2699.01 0.00 n-Pentane 0 3108.3338 3108.334 369.23853 2739.0952 9.97E-14 3108.33 0.00 n-Hexane 0 3598.0938 3598.094 862.40289 2735.6909 7.52E-17 3598.09 0.00 n-Heptane 0 3899.6111 3899.611 1782.6165 2116.9945 3.27E-20 3899.61 0.00 n-Octane 0 4159.8992 4159.899 3011.4774 1148.4219 1.03E-23 4159.90 0.00 n-Nonane 0 4380.5858 4380.586 3936.4816 444.10423 2.30E-27 4380.59 0.00 n-Decane 0 4563.6039 4563.604 4422.5928 141.01113 1.49E-31 4563.60 0.00 C11-C13* 0 12522.202 12522.2 8997.2326 3524.9691 2.66E-31 12522.20 0.00 C14-C25* 0 34284.434 34284.43 32927.941 1356.4928 1.69E-45 34284.43 0.00 C25-C50* 0 29183.961 29183.96 29177.989 5.9728814 3.11E-73 29183.96 0.00 C50+* 0 6229.4441 6229.444 6229.4439 2.35E-04 4.95E-97 6229.44 0.00 H2O 13445.14 0 13445.14 0.4113799 0 13444.73 13445.14 0.00 Inlet Outlet
  • 70.
    Note: from thelaw of conservation of mass, Σ inlet = Σ outlet And from our results in the table above, the mass of the component have been balanced. The flow diagram of HYSYS process is shown below. After designing inlet separator with HYSYS simulation, all the given requirement specifications in the project were met. These conditions include pressure, water content and B, S &W of the export gas. The true vapour pressure of the export oil was also achieved to be 1 bar (100 kPa) at 37.8oC. In addition, the oil content of the produced water that is to be re-injected or disposed overboard was met. Figure 54: HYSYS Circuit Diagram
  • 71.
    The table 32and table 33 below shows the compositions in part used in every separation stages in the HYSYS simulation Table 43: Results from HYSYS Table 44: Results from HYSYS Name gas oil water1 HC H2O gas1 oil2 feedto seperator gas3 vapour condensate gas4 CompMoleFrac (Methane) 0.7457963 6.87E-02 9.67E-08 0.248028 0 0.1245894 1.82E-03 0.1243238 0.322774 0.438992 6.65E-03 0.322774 CompMoleFrac (Propane) 7.14E-02 5.00E-02 1.33E-12 6.28E-02 0 8.84E-02 4.00E-03 3.27E-02 8.30E-02 0.1084062 1.38E-02 8.30E-02 CompMoleFrac (n-Butane) 2.84E-02 5.02E-02 2.07E-15 4.97E-02 0 8.65E-02 6.73E-03 2.76E-02 6.80E-02 8.30E-02 2.69E-02 6.80E-02 CompMoleFrac (n-Pentane) 1.29E-02 5.69E-02 1.85E-18 4.61E-02 0 9.40E-02 1.25E-02 2.89E-02 6.81E-02 7.22E-02 5.71E-02 6.81E-02 CompMoleFrac (Ethane) 0.1078337 3.07E-02 2.82E-10 5.50E-02 0 5.50E-02 1.49E-03 2.79E-02 7.19E-02 9.65E-02 4.86E-03 7.19E-02 CompMoleFrac (n-Hexane) 6.36E-03 6.93E-02 1.17E-21 4.47E-02 0 0.10682746 2.45E-02 3.41E-02 7.48E-02 6.03E-02 0.114021 7.48E-02 CompMoleFrac (n-Heptane) 3.00E-03 8.03E-02 4.38E-25 4.17E-02 0 0.11107581 4.35E-02 3.89E-02 7.66E-02 4.02E-02 0.1757041 7.66E-02 CompMoleFrac (n-Octane) 1.24E-03 8.15E-02 1.21E-28 3.90E-02 0 9.58E-02 6.44E-02 3.93E-02 6.56E-02 1.91E-02 0.1921334 6.56E-02 CompMoleFrac (n-Nonane) 4.48E-04 6.97E-02 2.41E-32 3.66E-02 0 6.52E-02 7.50E-02 3.35E-02 4.46E-02 6.58E-03 0.1478693 4.46E-02 CompMoleFrac (n-Decane) 1.58E-04 5.56E-02 1.41E-36 3.43E-02 0 3.87E-02 7.59E-02 2.67E-02 2.64E-02 1.88E-03 9.30E-02 2.64E-02 CompMoleFrac (Nitrogen) 6.75E-03 4.28E-04 1.46E-06 2.07E-03 0 7.78E-04 9.49E-06 1.03E-03 2.68E-03 3.66E-03 2.68E-05 2.68E-03 CompMoleFrac (CO2) 1.07E-02 3.71E-03 7.73E-05 6.20E-03 0 6.63E-03 2.13E-04 3.13E-03 7.94E-03 1.07E-02 3.43E-04 7.94E-03 CompMoleFrac (H2S) 2.11E-04 1.62E-04 4.62E-06 2.07E-04 0 2.84E-04 1.64E-05 1.06E-04 2.61E-04 3.48E-04 2.47E-05 2.61E-04 CompMoleFrac (H2O) 2.46E-03 8.99E-04 0.99991647 0 1 1.60E-03 5.58E-05 0.398319 1.88E-03 2.53E-03 8.98E-05 1.88E-03 CompMoleFrac (C11-C13*) 1.51E-03 0.1071807 2.35E-36 8.84E-02 0 7.56E-02 0.144991 5.16E-02 5.20E-02 4.42E-02 7.31E-02 5.20E-02 CompMoleFrac (C14-C25*) 6.49E-04 0.1861027 9.94E-51 0.160744 0 4.72E-02 0.352312 8.94E-02 3.24E-02 1.13E-02 8.97E-02 3.24E-02 CompMoleFrac (C25-C50*) 4.91E-05 7.97E-02 1.01E-78 7.58E-02 0 1.83E-03 0.172831 3.82E-02 1.26E-03 2.75E-05 4.63E-03 1.26E-03 CompMoleFrac (C50+*) 3.55E-06 9.00E-03 8.64E-103 8.66E-03 0 3.82E-06 1.98E-02 4.32E-03 3.73E-06 5.80E-10 1.39E-05 3.73E-06 Name gas export gas export1 condensate1 condensate2 condensate afterrecyle gas export final waterout finalwaterout oil1 oilexport CompMoleFrac (Methane) 0.438992004 0.438992 6.65E-03 6.65E-03 6.65E-03 0.44010654 0 9.65E-08 6.87E-02 1.82E-03 CompMoleFrac (Propane) 0.108406175 0.10840617 1.38E-02 1.38E-02 1.38E-02 0.1086814 0 1.32E-12 5.00E-02 4.00E-03 CompMoleFrac (n-Butane) 8.30E-02 8.30E-02 2.69E-02 2.69E-02 2.69E-02 8.32E-02 0 2.07E-15 5.02E-02 6.73E-03 CompMoleFrac (n-Pentane) 7.22E-02 7.22E-02 5.71E-02 5.71E-02 5.71E-02 7.24E-02 0 1.85E-18 5.69E-02 1.25E-02 CompMoleFrac (Ethane) 9.65E-02 9.65E-02 4.86E-03 4.86E-03 4.86E-03 9.68E-02 0 2.82E-10 3.07E-02 1.49E-03 CompMoleFrac (n-Hexane) 6.03E-02 6.03E-02 0.11402104 0.11402104 0.11402104 6.05E-02 0 1.17E-21 6.93E-02 2.45E-02 CompMoleFrac (n-Heptane) 4.02E-02 4.02E-02 0.175704089 0.175704089 0.175704089 4.03E-02 0 4.37E-25 8.03E-02 4.35E-02 CompMoleFrac (n-Octane) 1.91E-02 1.91E-02 0.19213338 0.19213338 0.19213338 1.92E-02 0 1.21E-28 8.15E-02 6.44E-02 CompMoleFrac (n-Nonane) 6.58E-03 6.58E-03 0.147869286 0.147869286 0.147869286 6.60E-03 0 2.40E-32 6.97E-02 7.50E-02 CompMoleFrac (n-Decane) 1.88E-03 1.88E-03 9.30E-02 9.30E-02 9.30E-02 1.89E-03 0 1.41E-36 5.56E-02 7.59E-02 CompMoleFrac (Nitrogen) 3.66E-03 3.66E-03 2.68E-05 2.68E-05 2.68E-05 3.67E-03 0 1.46E-06 4.28E-04 9.49E-06 CompMoleFrac (CO2) 1.07E-02 1.07E-02 3.43E-04 3.43E-04 3.43E-04 1.08E-02 0 7.72E-05 3.71E-03 2.13E-04 CompMoleFrac (H2S) 3.48E-04 3.48E-04 2.47E-05 2.47E-05 2.47E-05 3.49E-04 0 4.61E-06 1.62E-04 1.64E-05 CompMoleFrac (H2O) 2.53E-03 2.53E-03 8.98E-05 8.98E-05 8.98E-05 0 1 0.999916624 8.99E-04 5.58E-05 CompMoleFrac (C11-C13*) 4.42E-02 4.42E-02 7.31E-02 7.31E-02 7.31E-02 4.43E-02 0 2.35E-36 0.107181 0.1449906 CompMoleFrac (C14-C25*) 1.13E-02 1.13E-02 8.97E-02 8.97E-02 8.97E-02 1.13E-02 0 9.92E-51 0.186103 0.3523117 CompMoleFrac (C25-C50*) 2.75E-05 2.75E-05 4.63E-03 4.63E-03 4.63E-03 2.76E-05 0 1.01E-78 7.97E-02 0.1728311 CompMoleFrac (C50+*) 5.80E-10 5.80E-10 1.39E-05 1.39E-05 1.39E-05 5.82E-10 0 8.62E-103 9.00E-03 1.98E-02
  • 72.
    8. Economics 8.1 FinancialSystem After the energy crisis in 1973, the United Kingdom government has introduced the PRT (Petroleum Revenue Tax) in order to stop the exploitation of the hydrocarbons. In the subsequent year, a corporation tax CT which is also known as ‘ring fence’ is added with the supplementary charge in addition to PRT tax. In the recent years, the government of United Kingdom further wants to decrease the taxation on the projects by eliminating the supplementary charge in North Sea in order to inspire the companies and maximise the remaining reserves 8.2 Production Forecast The production rates for all the three forecasted development scenarios in terms of maximum oil recovery factor are delivered to the department of Petroleum Engineering for the economic analysis. The production of each well is capped to 5000 STB/day. The following three cases which are selected for the economics evaluation are as follow: During the production of first year, 4 producer wells will transported online separately with the space of 90 days. In the following year, four more producing wells with two injector wells are added. As in the two years’ time period, there are eight wells all together which are producing from year 2 but all the eight wells are not producing from the beginning of that year therefore the full production will start from year 3 onwards. A shut in well is carried out once for three weeks after every three years to conduct well testing and maintenance for enhancing the recovery of the well. The table 34 given below show the production forecast of Oil, Water and Gas for the three cases for the next 20 years. Case Number of the wells Types of the wells Water Injection Project life time in years 1 8 8 vertical Yes 20 years 2 6 5 vertical, 1 horizontal Yes 20 years 3 8 8 vertical Yes 18 years Table 45: Economic Evaluation of three cases
  • 73.
    Table 47: YearlyProduction Forecast for Case 1 Year Oil (bbl) Water (bbl) Gas (mmscf) Oil (bbl) Water (bbl) Gas (mmscf) Oil (bbl) Water (bbl) Gas (mmscf) 2015 0 0 0 0 0 0 0 0 0 2016 1,579,737 245,263 5,212 1,551,704 273,296 4,479 1,537,595 287,405 5,073 2017 1,500,723 324,277 4,951 1,464,485 360,515 4,228 1,455,174 369,826 4,801 2018 1,456,860 368,140 4,645 1,430,902 394,098 4,131 1,407,796 417,204 4,500 2019 1,381,663 443,337 4,031 1,366,393 458,607 3,693 1,322,820 502,180 3,857 2020 1,266,940 521,108 3,445 1,282,577 542,423 3,249 1,176,637 560,068 3,210 2021 1,053,254 497,681 2,710 1,150,110 589,809 2,763 980,185 559,377 2,539 2022 819,123 428,354 2,046 990,912 592,072 2,281 766,759 518,294 1,923 2023 680,665 386,605 1,663 856,476 555,059 1,907 624,850 484,196 1,538 2024 560,675 349,625 1,352 721,465 488,699 1,573 520,709 443,583 1,263 2025 481,807 323,900 1,149 628,377 453,019 1,350 450,989 409,739 1,080 2026 426,217 305,238 1,009 557,767 431,124 1,180 398,927 360,488 947 2027 385,537 292,254 905 503,265 415,133 1,049 359,356 346,724 845 2028 353,110 282,732 823 458,906 403,783 944 328,014 334,960 766 2029 327,544 275,416 758 422,600 395,147 860 302,887 322,689 702 2030 308,087 270,563 708 393,890 388,158 793 281,972 259,262 649 2031 291,028 266,230 666 369,381 381,639 737 265,948 263,710 610 2032 274,717 262,615 625 348,054 375,570 689 253,789 266,390 579 2033 261,005 260,373 592 329,137 367,276 647 243,548 268,519 554 2034 249,107 249,273 562 312,382 363,822 610 234,528 269,824 532 2035 239,987 250,077 540 297,205 361,287 577 226,868 271,108 513 2036 232,119 250,951 522 282,609 340,149 547 220,172 272,571 497 Case#1 Case#2 Case#3 Yearly Production Forecast Table 46: Yearly production forecast for three cases Oil rate Water rate Gas Rate Total Liquid Cumulative Recovery Factor Year Oil (bbl) Water (bbl) Gas (mmscf) bopd bwpd mmscf/d GOR WC % rate bpd oil (bbl) % 2015 0 0 0 0 0 0 0 0.00 0 0 2016 1,579,737 245,263 5211.87 4328 672 14.28 3299 13.44 1,825,000 12637897 3.388 2017 1,500,723 324,277 4951.18 4112 888 13.56 3299 17.77 1,825,000 24643678 6.607 2018 1,456,860 368,140 4644.54 3991 1009 12.72 3188 20.17 1,825,000 36298558 9.732 2019 1,381,663 443,337 4030.67 3785 1215 11.04 2917 24.29 1,825,000 47351863 12.695 2020 1,266,940 521,108 3444.74 3471 1428 9.44 2719 29.14 1,788,047 57487379 15.412 2021 1,053,254 497,681 2709.63 2886 1364 7.42 2573 32.09 1,550,935 65913412 17.671 2022 819,123 428,354 2045.78 2244 1174 5.60 2498 34.34 1,247,477 72466397 19.428 2023 680,665 386,605 1662.63 1865 1059 4.56 2443 36.22 1,067,270 77911719 20.888 2024 560,675 349,625 1351.72 1536 958 3.70 2411 38.41 910,300 82397117 22.090 2025 481,807 323,900 1149.50 1320 887 3.15 2386 40.20 805,706 86251570 23.124 2026 426,217 305,238 1008.99 1168 836 2.76 2367 41.73 731,455 89661304 24.038 2027 385,537 292,254 905.47 1056 801 2.48 2349 43.12 677,792 92745603 24.865 2028 353,110 282,732 822.69 967 775 2.25 2330 44.47 635,841 95570480 25.622 2029 327,544 275,416 757.67 897 755 2.08 2313 45.68 602,960 98190833 26.325 2030 308,087 270,563 708.49 844 741 1.94 2300 46.76 578,650 100655530 26.985 2031 291,028 266,230 665.73 797 729 1.82 2288 47.78 557,258 102983754 27.610 2032 274,717 262,615 625.21 753 719 1.71 2276 48.87 537,332 105181488 28.199 2033 261,005 260,373 591.53 715 713 1.62 2266 49.94 521,378 107269524 28.759 2034 249,107 249,273 562.45 682 683 1.54 2258 50.02 498,380 109262384 29.293 2035 239,987 250,077 540.49 657 685 1.48 2252 51.03 490,063 111182277 29.808 2036 232,119 250,951 521.58 636 688 1.43 2247 51.95 483,070 113039228 30.305
  • 74.
    The table 35shows the production forecast for Case 1 for 20 years. The water cut for the year 2036 comes out to be 52% but for our case, the project is closed in the year 2035 with the water cut of 51% instead of 52% and recovery factor of almost 30% because after 2035 the project start to lose money which is not economically viable. Recovery factor can be calculated with the help volume calculation (STOIIP) which is taken from petrel and it comes out to be 373 million STB. 8.3 Capital Expenditure (CAPEX) Capital expenditure is the amount which is invested before the start of the production of the project. It means that significant amount is needed to be spend before the production. The most considerable amount is spend on vertical and lateral drilling of the wells. The cost of drilling of each vertical well is £29,000,000 whereas for lateral well it is assumed that the cost of each well is 2.5 times more the cost of vertical well. Altogether there are 8 producer wells and 2 injector wells for case 1. Abandonment cost is also added to the Capex at the end of the life of the project when the wells are abandoned. Abandonment cost for each well is £8,000,000. Capital Expenditures for Case 1 are shown in Table 4 given below: Figure 55: Production of Water and Oil for Case 1
  • 75.
    £ '000 £'000 Item Description No off Each Product a Separator 3 1000 3000 a Compressor 1 1100 1100 a Spliter 1 1000 1000 a Pump 1 1200 1200 a Scrubber 1 1000 1000 a Cooler/Heater 5 700 3500 a Control valve 3 47 141 a Hydrocyclone 2 448 896 a Coalescer modification 1 430 430 a Metering 3 996 2988 a Drilling (1 well) 10 29000 290000 a Flowline 2 7000 14000 a Total equipment cost (A) 319255 b Piping, 30% of (A) 95777 c Control Room upgrade 1 700 700 d Electrical cabling, 17% of (A) 54273.35 Subtotal a-d 470005 e Cost of site works, 32% of a-d 150401.552 Subtotal a-e 620406 f Design and engineering, 17% of a-e 105469.088 Subtotal a-f 725875 g Contractor's contingency, 4% of a-f 29035.0196 h Contractor's profit, 12% of a-f 87105.0588 i Total of plant and works contract 842016 Provision of onshore support services (20% of i) 168403.114 j Well Abandonment 10 8000 80000 k CAPEX increment ( unforeseen expediture etc) 0% 0 0 Total CAPEX investment /£ 1010419 CAPEX distribution /£ Year % total CAPEX / yr 1 60% 606251.400 2 25% 252604.750 3 15% 151562.850 Total 1010419 Table 48: Capital Expenditures for Case 1
  • 76.
    8.4 Operating Expenditure(OPEX) Operational cost is the cost that is used for production and maintenance of the field. Operational cost consist of variable cost which includes process tariff, chemical and water treatment, process utilities and maintenance cost along with fixed cost which consists of salary cost, salary overhead and operating cost of the well. Table 38 shows the operational expenditures of variable cost for Case 1. Year Oil (bbl) Water (bbl) Total Liquid (oil + water) Water Cut % Gas (mmscf) WOC ($/day) Total WOC Process Tariff for Offshore Production facility Chemical and Water Treatment costs Process utilities (power) Total process cost Maintainence(7% of total process cost) General company overhead(8% total process cost) Total Variable Cost 2014 2015 0 0 0 0 0 0 0 0 0 0 0 0 0 0 2016 1,579,737 245,263 1,825,000 13 5211.87 10000 100000 6476922.422 1054630 1496500 9028052.59 631963.6813 722244.2072 10382260.48 2017 1,500,723 324,277 1,825,000 18 4951.18 10000 100000 6152962.507 1394393 1496500 9043855.555 633069.8889 723508.4444 10400433.89 2018 1,456,860 368,140 1,825,000 20 4644.54 10000 100000 5,973,126 1583002 1496500 9052627.895 633683.9526 724210.2316 10410522.08 2019 1,381,663 443,337 1,825,000 24 4030.67 10000 100000 5,664,818 1906349 1496500 9067667.424 634736.7197 725413.3939 10427817.54 2020 1,266,940 521,108 1,788,047 29 3444.74 10000 100000 5,194,452 2240763 1466199 8901413.648 623098.9554 712113.0919 10236625.7 2021 1,053,254 497,681 1,550,935 32 2709.63 10000 100000 4,318,342 2140026 1271766 7730134.561 541109.4192 618410.7648 8889654.745 2022 819,123 428,354 1,247,477 34 2045.78 10000 100000 3,358,405 1841921 1022931 6223256.391 435627.9474 497860.5113 7156744.849 2023 680,665 386,605 1,067,270 36 1662.63 10000 100000 2,790,728 1662402 875162 5328291.473 372980.4031 426263.3179 6127535.194 2024 560,675 349,625 910,300 38 1351.72 10000 100000 2,298,767 1503389 746446 4548601.642 318402.115 363888.1314 5230891.889 2025 481,807 323,900 805,706 40 1149.50 10000 100000 1,975,407 1392768 660679 4028854.039 282019.7827 322308.3231 4633182.145 2026 426,217 305,238 731,455 42 1008.99 10000 100000 1,747,489 1312523 599793 3659804.909 256186.3436 292784.3927 4208775.645 2027 385,537 292,254 677,792 43 905.47 10000 100000 1,580,703 1256694 555789 3393185.788 237523.0051 271454.863 3902163.656 2028 353,110 282,732 635,841 44 822.69 10000 100000 1,447,750 1215746 521390 3184885.61 222941.9927 254790.8488 3662618.451 2029 327,544 275,416 602,960 46 757.67 10000 100000 1,342,931 1184287 494427 3021644.716 211515.1301 241731.5773 3474891.423 2030 308,087 270,563 578,650 47 708.49 10000 100000 1,263,157 1163419 474493 2901068.755 203074.8129 232085.5004 3336229.068 2031 291,028 266,230 557,258 48 665.73 10000 100000 1,193,215 1144791 456952 2794957.558 195647.029 223596.6046 3214201.191 2032 274,717 262,615 537,332 49 625.21 10000 100000 1,126,339 1129244 440612 2696195.189 188733.6632 215695.6151 3100624.467 2033 261,005 260,373 521,378 50 591.53 10000 100000 1,070,119 1119605 427530 2617252.937 183207.7056 209380.235 3009840.878 2034 249,107 249,273 498,380 50 562.45 10000 100000 1,021,340 1071874 408672 2501885.866 175132.0106 200150.8693 2877168.746 2035 239,987 250,077 490,063 51 540.49 10000 100000 983,946 1075330 401852 2461127.49 172278.9243 196890.1992 2830296.614 2036 232,119 250,951 483,070 52 521.58 10000 100000 951,687 1079091 396118 2426895.522 169882.6865 194151.6417 2790929.85 Total till 2035 13,897,785 6,854,011 20,983,914 57932604.51 29472245.47 17206809.57 104611659.6 7322816.169 8368932.765 120,303,408 Table 49: Variable cost for case 1
  • 77.
    Salary Cost(50,000 per person per year) Salary overhead(31% ofthe salary) Maintance(10% of the total Capital Cost) Operating Cost of Well Total Fixed Cost 0 0 0 0 0 2,100,000 651,000 101,041,900 36,500,000 140292900 2,100,000 651,000 101,041,900 36,500,000 140292900 2,100,000 651,000 101,041,900 36,500,000 140292900 2,100,000 651,000 101,041,900 36,500,000 140292900 2,100,000 651,000 101,041,900 36,500,000 140292900 2,100,000 651,000 101,041,900 36,500,000 140292900 2,100,000 651,000 101,041,900 36,500,000 140292900 2,100,000 651,000 101,041,900 36,500,000 140292900 2,100,000 651,000 101,041,900 36,500,000 140292900 2,100,000 651,000 101,041,900 36,500,000 140292900 2,100,000 651,000 101,041,900 36,500,000 140292900 2,100,000 651,000 101,041,900 36,500,000 140292900 2,100,000 651,000 101,041,900 36,500,000 140292900 2,100,000 651,000 101,041,900 36,500,000 140292900 2,100,000 651,000 101,041,900 36,500,000 140292900 2,100,000 651,000 101,041,900 36,500,000 140292900 2,100,000 651,000 101,041,900 36,500,000 140292900 2,100,000 651,000 101,041,900 36,500,000 140292900 2,100,000 651,000 101,041,900 36,500,000 140292900 2,100,000 651,000 101,041,900 36,500,000 140292900 2,100,000 651,000 101,041,900 36,500,000 140292900 44100000 13671000 2121879900 766500000 2,946,150,900 Table 50: Fixed cost for Case 1 Year Opex(Variable+Fixed) Capex Capex+Opex 2014 0 606251400 606251400 2015 0 252604750 252604750 2016 150675160.5 151562850 302238010.5 2017 150693333.9 150693333.9 2018 150703422.1 150703422.1 2019 150720717.5 150720717.5 2020 150529525.7 150529525.7 2021 149182554.7 149182554.7 2022 147449644.8 147449644.8 2023 146420435.2 146420435.2 2024 145523791.9 145523791.9 2025 144926082.1 144926082.1 2026 144501675.6 144501675.6 2027 144195063.7 144195063.7 2028 143955518.5 143955518.5 2029 143767791.4 143767791.4 2030 143629129.1 143629129.1 2031 143507101.2 143507101.2 2032 143393524.5 143393524.5 2033 143302740.9 143302740.9 2034 143170068.7 143170068.7 2035 143123196.6 143123196.6 2036 143083829.9 143083829.9 Total till 2035 3066454308 1010419000 3933789479 Year Oil (bbl) Water (bbl) Total Liquid (oil + water) Water Cut % Gas (mmscf) WOC ($/day) Total WOC 2014 2015 0 0 0 0 0 0 0 2016 1,579,737 245,263 1,825,000 13 5211.87 10000 100000 2017 1,500,723 324,277 1,825,000 18 4951.18 10000 100000 2018 1,456,860 368,140 1,825,000 20 4644.54 10000 100000 2019 1,381,663 443,337 1,825,000 24 4030.67 10000 100000 2020 1,266,940 521,108 1,788,047 29 3444.74 10000 100000 2021 1,053,254 497,681 1,550,935 32 2709.63 10000 100000 2022 819,123 428,354 1,247,477 34 2045.78 10000 100000 2023 680,665 386,605 1,067,270 36 1662.63 10000 100000 2024 560,675 349,625 910,300 38 1351.72 10000 100000 2025 481,807 323,900 805,706 40 1149.50 10000 100000 2026 426,217 305,238 731,455 42 1008.99 10000 100000 2027 385,537 292,254 677,792 43 905.47 10000 100000 2028 353,110 282,732 635,841 44 822.69 10000 100000 2029 327,544 275,416 602,960 46 757.67 10000 100000 2030 308,087 270,563 578,650 47 708.49 10000 100000 2031 291,028 266,230 557,258 48 665.73 10000 100000 2032 274,717 262,615 537,332 49 625.21 10000 100000 2033 261,005 260,373 521,378 50 591.53 10000 100000 2034 249,107 249,273 498,380 50 562.45 10000 100000 2035 239,987 250,077 490,063 51 540.49 10000 100000 2036 232,119 250,951 483,070 52 521.58 10000 100000 Total till 2035 13,897,785 6,854,011 20,983,914 Table 51: OPEX for Case 1
  • 78.
    8.5 Revenue andCash Flow For the development of the field, oil price is set at $75 per barrel and the price of gas export is set at $4000 MMscf. Financial rates include Petroleum Revenue Tax which is set at 35%, Corporation tax is set at 20% whereas Supplementary tax is set at around 1%. The revenues on the basis of these taxation rates for the next 20 years are as follow: The net cash flow is calculated by taking off the total revenue from the sum of Capex and Total Annual Net Annual Net Annual Year CAPEX OPEX Oil price Gas Price Oil Revenue Gas Revenue Revenue Cash Flow PRT CT ST Cash Flow After Tax £ £ £ / bbl £/MMscf £ £ £ 35% 20% 1% £ 2014 606,251,400- 606,251,400- 0 0 0 606,251,400.00- 2015 252,604,750- 75 4000 252,604,750- 0 0 0 252,604,750.00- 2016 151,562,850- 150,675,160- 75 4000 947,842,306 20,847,475 968,689,781 666,451,771 233,258,120 133,290,354 3,332,259 296,571,037.96 2017 150,693,334- 75 4000 900,433,538 19,804,735 920,238,273 769,544,939 269,340,729 153,908,988 3,847,725 342,447,497.84 2018 150,703,422- 75 4000 874,116,037 18,578,156 892,694,194 741,990,772 259,696,770 148,398,154 3,709,954 330,185,893.35 2019 150,720,718- 75 4000 828,997,813 16,122,666 845,120,480 694,399,762 243,039,917 138,879,952 3,471,999 309,007,894.07 2020 150,529,526- 75 4000 760,163,730 13,778,967 773,942,697 623,413,172 218,194,610 124,682,634 3,117,066 277,418,861.43 2021 149,182,555- 75 4000 631,952,483 10,838,506 642,790,989 493,608,434 172,762,952 98,721,687 2,468,042 219,655,753.31 2022 147,449,645- 75 4000 491,473,844 8,183,121 499,656,966 352,207,321 123,272,562 70,441,464 1,761,037 156,732,257.88 2023 146,420,435- 75 4000 408,399,174 6,650,529 415,049,702 268,629,267 94,020,244 53,725,853 1,343,146 119,540,023.92 2024 145,523,792- 75 4000 336,404,870 5,406,873 341,811,744 196,287,952 68,700,783 39,257,590 981,440 87,348,138.50 2025 144,926,082- 75 4000 289,083,955 4,597,990 293,681,945 148,755,863 52,064,552 29,751,173 743,779 66,196,359.08 2026 144,501,676- 75 4000 255,730,054 4,035,966 259,766,019 115,264,344 40,342,520 23,052,869 576,322 51,292,632.92 2027 144,195,064- 75 4000 231,322,402 3,621,876 234,944,279 90,749,215 31,762,225 18,149,843 453,746 40,383,400.62 2028 143,955,518- 75 4000 211,865,802 3,290,741 215,156,543 71,201,025 24,920,359 14,240,205 356,005 31,684,455.99 2029 143,767,791- 75 4000 196,526,492 3,030,661 199,557,153 55,789,361 19,526,276 11,157,872 278,947 24,826,265.83 2030 143,629,129- 75 4000 184,852,274 2,833,943 187,686,217 44,057,088 15,419,981 8,811,418 220,285 19,605,404.09 2031 143,507,101- 75 4000 174,616,766 2,662,916 177,279,682 33,772,580 11,820,403 6,754,516 168,863 15,028,798.31 2032 143,393,524- 75 4000 164,830,050 2,500,830 167,330,879 23,937,355 8,378,074 4,787,471 119,687 10,652,122.93 2033 143,302,741- 75 4000 156,602,734 2,366,111 158,968,846 15,666,105 5,483,137 3,133,221 78,331 6,971,416.67 2034 143,170,069- 75 4000 149,464,453 2,249,811 151,714,264 8,544,196 2,990,468 1,708,839 42,721 3,802,167.01 2035 143,123,197- 75 4000 143,992,027 2,161,965 146,153,992 3,030,796 1,060,779 606,159 15,154 1,348,704.15 2036 -80000000 143,083,830- 75 4000 139,271,319 2,086,301 141,357,620 81,726,210- 28,604,173- 16,345,242- 408,631- 36,368,163.30- Table 52: Revenue and Cash Flow for Case 1
  • 79.
    Opex. According to table49, the project should stop at the year 2035 because the cash flow is going to be negative in the year 2036 which is not acceptable economically. Figure 2 show annual cash flow after tax with respect to the number of years. Figure 56: Annual Cash Flow for Case 1 Figure 57: Cumulative Cash Flow for Case 1
  • 80.
    Taxes are notapply on those years where’s the company’s cash flow is negative. 8.6 Net Present Value (NPV) From the Case 1, maximum NPV is obtained which is £800,805,935. The Case 1 comprises of 8 producer wells which are all vertical and 2 injector wells for the project life of 20 years. NPV obtained from Case 2 is £749,325,846 which is less from Case 1 but the NPV obtained from Case 3 is £683,993,930 which is less as compared to both of the first two cases. Figure 58: Discounted Cash Flow for Case 1 Case NPV(£) 1 800,805,935 2 749,325,846 3 683,993,930 Table 53: NPV for all three cases
  • 81.
    If NPV isincreasing, it means that project is in profitable range but if NPV starts decreasing and cash flow starts to become negative then in that case production is needed to be stopped because the project will not remain profitable at decreasing Net Present Values. Figure 49: NPV vs Time Discount factor Annual Cash flow Discounted cash flow Net present value 2014 0 1.000 -606251400 -606251400 606,251,400- 2015 1 0.935 -252604750 -236079206 842,330,606- 2016 2 0.873 296571038 259036630 583,293,975- 2017 3 0.816 342447498 279539165 303,754,810- 2018 4 0.763 330185893 251897237 51,857,573- 2019 5 0.713 309007894 220318358 168,460,785 2020 6 0.666 277418861 184855901 353,316,686 2021 7 0.623 219655753 136790564 490,107,250 2022 8 0.582 156732258 91219601 581,326,851 2023 9 0.544 119540024 65021853 646,348,703 2024 10 0.508 87348138 44403364 690,752,068 2025 11 0.475 66196359 31449413 722,201,481 2026 12 0.444 51292633 22774542 744,976,024 2027 13 0.415 40383401 16757676 761,733,699 2028 14 0.388 31684456 12287778 774,021,477 2029 15 0.362 24826266 8998181 783,019,659 2030 16 0.339 19605404 6641029 789,660,687 2031 17 0.317 15028798 4757733 794,418,420 2032 18 0.296 10652123 3151579 797,569,999 2033 19 0.277 6971417 1927655 799,497,654 2034 20 0.258 3802167 982552 800,480,206 2035 21 0.242 1348704 325730 800,805,935 2036 22 0.226 -36368163 -8208773 792,597,162 Year Table 54: NPV for Case 1
  • 82.
    8.7 Payback The mostsuitable payback period is 4 years for Case 1. Since the Capex and Opex for both Case 1 and Case 3 are same because same number of wells and injectors are drilled for both the cases along with the same well strategies but payback of Case 2 is 4.5 years. Case 2 differs from both case 1 and case 3 because payback time for case 2 is 5 years (2020). Figure 60: Payback time of the project for Case 1 Table 55: Summary chart for Case 1 Pay back time 5 Years (in 2020) Project Life time 20 Years Unit technical cost £/bbl (Capex) 8.77 Unit technical cost £/bbl (Capex + Opex) 33 Internal rate of return (IRR) 22% Recovery Factor 29% NPV(£) 749,325,846 Case#02 Table 56: Summary chart for Case 2 Pay back time 4 Years (in 2019) Project Life time 20 Years Unit technical cost £/bbl (Capex) 9 Unit technical cost £/bbl (Capex + Opex) 35 Internal rate of return (IRR) 24% Recovery Factor 30% NPV(£) 800,805,935 Case#01
  • 83.
    According to table11 and figure 7, the unit technical cost (Capex) is £9 whereas unit technical cost ( Capex + Opex) is £35 which shows that both of them are well below the selling price of oil which is £75/bbl. Also from Table 15, both of them are reasonably below from the forecasted drop of oil’s price. 8.8 Internal Rate of Return The IRR allows the company to make a better judgement on the development of the field according to economics point of view. The IRR for case 1 is calculated to be 24% which is reasonably greater than the discount factor which was taken to be 7% and it is positive sign for the project and project will be in profit. NPV can be adjusted to zero by using the IRR and by making changes in discount rates. Pay back time 4.5Years (in 2019) Project Life time 18 Years Unit technical cost £/bbl (Capex) 9.45 Unit technical cost £/bbl (Capex + Opex) 37 Internal rate of return (IRR) 22% Recovery Factor 27% NPV(£) 683,993,930 Case#03 Table 57: Summary chart for Case 3 Case IRR 1 24% 2 22% 3 22% Table 58: IRR for all three cases Figure 61: UTC (Capex) and UTC (Capex+Opex) for Case 1
  • 84.
    8.9Sensitivity Analysis The sensitivityanalysis is carried out for four different parameters:  Oil Price  Capex  Corporation Tax  Discounted Cash Factor It indicates that different parameters have different effects on NPV. It also indicates that there is a linear relationship between the four parameters and NPV. It can be seen from the Table 15 that as the oil’s price is increased, value of NPV is also increased. The sensitivity plot and tornado diagram shows the steepest slope for the price of the oil which means that the greatest risk is involved with the oil’s price. From Table 16, Table 17 and Table 18, it is noted that as the values of Capex, DCF and CT are increased, NPV began to decrease and vice versa. It is also noted from tornado diagram that Capex and CT are less risky as compared to oil’s price. The parameter which is the least threat to the economics of the field is DCF .
  • 85.
    Factor £ /bbl % £/bbl NPV % NPV -20% 60.0 -20.0 339453104 -58 -15% 63.8 -15.0 456329155 -43 -10% 67.5 -10.0 570129520 -29 -5% 71.3 -5.0 687005571 -14 Base case 0% 75.0 0.0 800805935 0 5% 78.8 5.0 917681986 15 10% 82.5 10.0 1031482351 29 15% 86.3 15.0 1148358402 43 20% 90.0 20.0 1262158767 58 Oil Price Factor CAPEX £'000 Capex change % NPV % NPV -20% 808335 -20 1070090762 34 -15% 858856 -15 1002769555 25 -10% 909377 -10 935448349 17 -5% 959898 -5 868127142 8 Base case 0% 1010419 0 800805935 0 5% 1060940 5 733484729 -8 10% 1111461 10 666163522 -17 15% 1161981 15 598843648 -25 20% 1212502 20 531522441 -34 CAPEX Table 59: Sensitivity Analysis of Oil price for Case 1 Factor DF DF % change NPV % NPV -20% 5.60% -20 918387687 15 -15% 5.95% -15 887771646 11 -10% 6.30% -10 857988797 7 -5% 6.65% -5 829009635 4 Base case 0% 7.00% 0 800805935 0 5% 7.35% 5 773350687 -3 10% 7.70% 10 746618031 -7 15% 8.05% 15 720583203 -10 20% 8.40% 20 695222481 -13 Discounted Cash Factor Table 60: Sensitivity Analysis of DCF for Case 1 Table 61: Sensitivity Analysis of Capex for Case 1
  • 86.
    Figure 62: TornadoDiagram for Case 1 Factor Corporation Tax CT% change NPV % NPV -20% 16.00% -20 948503602 18 -15% 17.00% -15 911579185 14 -10% 18.00% -10 874654769 9 -5% 19.00% -5 837730352 5 Base case 0% 20.00% 0 800805935 0 5% 21.00% 5 763881519 -5 10% 22.00% 10 726957102 -9 15% 23.00% 15 690032686 -14 20% 24.00% 20 653108269 -18 Corporation Tax Table 62: Sensitivity Analysis of CT for Case 1
  • 87.
    8.9.1 Economic Justification Case1 is economically the strongest case which has highest NPV of £800,805,935. Case 1 has approximately 12% more NPV than Case 3. Other than this, Case 1 also represents the earliest payback period at 4 years. The value of IRR for Case 1 is 24% whereas for Case 2 and Case 3, the value of IRR is calculated to be 22%. Also the recovery factor for the Case 1 is nearly 30% whereas for Case 2 and Case 3, recovery factors are 29% and 27% respectively. The life time of project for Case 1 is also considered to be best for 20 years, though it is same to the life time of the project of Case 2 but the value of NPV of Case 2 is relatively lower as compared to Case 1. Therefore Case 1 is economically best scenario from any aspect for the development of the field. 9. Health, Safety and Environment Impact 9.1 Health and Safety Overview To follow and maintain health and safety in the working area should be main goal of any organization. Safety to all the staff members and environmental impact has to be carefully under consideration before oil field development. Environmental Impact assessment should be conducted to determine the possible hazard and safety issues and the impact of the project on the environment during project’s life. In order to achieve this task, for various different emergency scenarios, Safety procedures must be understood and well-practised by all staff members of the oil field, The organization should make sure that, they are training all staff members to conduct health and safety regulation in the working area, and having them refreshment safety courses for every few of years. Environmental management standards should be followed to avoid or to reduce to the minimum the oil field development impact on environment and local inhabits of the nearby the area. Tool box talks on Rig Tool box talks before and after working are very important for all staff members who are involved in development of the oil field to keep them updated about their daily work plan and any potential risk and danger which may be arises while performing their duties, and how to avoid or to minimize them. Weekly safety meeting It is important to conduct a weekly safety meeting. So as all staff members should be aware with what happened during that week regarding to the health and safety regulation and to review and improving the situation for the safety all and environmental impact.
  • 88.
    Training courses One ofthe responsibilities of organisation is to train operations how to deal with environmental challenges and to how to respond when emergency situation happens due to activities at different stages of the production of the oil field. Emissions of gases and dust e.g. H2S gas, Oil spills and blowout incident are some of the emergency situation which may arises. 9.2 Drill Cuttings Disposal Toxic and non-toxic waste generated from the Oilfield will be disposed of in accordance to European Union and International Standards to ensure that the environment is preserved. During drilling process, drill cuttings which are small rock particles from large chunk of the Rock will be recycled and the rest disposed. Or drilling cuttings can be disposal s after separation from the drilling mud; depending on the drilling fluid used them may be taken onshore and dealt with there. Figure 63: Drill Cuttings 9.3 Containment of Spills of Contaminated Fluids Failure of equipment and facilities may result to Oil spills. The degree of damage that is likely to ensue as a result of oil spills vary from case to case depending on quite a few factors.
  • 89.
    These factors include;amount of spilled oil, the location of spill, type and viscosity of the oil and the living things in the area. Environmental pollution Control will be applied during the development of the Oilfield. And reservoir fluid must be carefully controlled during drilling and production. Measures will be taken to prevent any oil spill and blowout or pipeline leakage also Spill contingency plans will be in placed in an event of any spillage. Figure 64: An example of a blowout incident Figure 65: Oil Spill
  • 90.
    9.4 Environmental Conservation 9.4.2Emissions Control The 1999 act for Pollution prevention and control governs the emissions associated with Field operation, classified under industrial emissions. The oil field development should be designed to control the carbon emission and other polluting emissions from gas flaring and the burning of fuel so as to reduce air pollution. 10. Abandonment/Decommissioning When the field is no longer economic profitable, abandonment of the field will commence During this final stage of the Field, a suitable plan is required to allow the safe, efficient and environmentally responsible removal and disposal of equipment and structures while complying with all relevant government regulations and cooperating with all involved parties at each stage of the decommissioning. The purpose of the abandonment plan is to use minimum cost as possible to retain the place as closely as it was before. The effective plans for down hole abandonment, treatment and disposal of operating fluids, removal of top surface equipment such as wellheads and completion piping, and also isolation of any equipment to be left in place such as certain section of buried piping and tanks. A full environmental impact study for the abandonment process will need to be conducted in addition to the study for the Field development and operation, in order to examine the risks of these issues occurring Field, and ways in which the risk may be reduced, and the consequences from such an incidence occurring reduced. 10.1 Environment Impact Mitigation A full comprehensive Environmental Impact Assessment (EIA) is to be conducted and Environmental Impact Statement (EIS) to be published especially to ensure the wellbeing of marine life in the region. Hazard and Operability Analysis (HAZOP) and Hazard Identification (HAZID) workshops are required to be conducted. Reliability and maintenance plans and schedules needs to be implemented and costing to be implemented. This is to prevent potential leakages and “blow-outs” damaging the environment and may lead to eventual well shut-ins. The Company will look into carbon emission trading schemes to offset any excess carbon dioxide released into the atmosphere to maintain environmental responsibility and ethical policies in the North Sea region.
  • 91.
    11.References 1. Abdel-Aal H.K. and Alsalawi M. A., (2014). Petroleum Economics and Engineering (Third Edition). United Sates of America: Taylor and Francis Group 2. Abdel-Aal, H.K, Fahim, M.A and Aggour, M. (2003). Petroleum and Gas Field Processing. New York: Marcel Dekker Inc., Chapter 3-12. 3. A.T. Bourgoyne et al; (1986) Applied Drilling Engineering, SPE Textbook Vol. 2. 4. American Petroleum Institute (1998) Recommended Practice for Drill Stem Design and Operating Limits: API Recommended Practice 7G. 16th ed. Washington DC. [Online] Available from: http://www.api.org/publications [Accessed: 15 June 2014]. 5. Gluyas. J, Hichens. M. (Eds.) (2003) United Kingdom Oil and Gas Fields Commemorative Millennium Volume. London: The Geological Society. 6. British Geological Survey. (No Date) The BGS Lexicon of Named Rock Units — Result Details (Online) Available at: http://www.bgs.ac.uk/lexicon/lexicon.cfm?pub=KC [ Accessed 18th June 2014] 7. BP (May 2011). Don Field Decommissioning Programme 8. Department of Energy and Climate Change (March 2014) Oil and gas: decommissioning of offshore installations and pipelines. Last accessed 23rd June 2014. Available at: https://www.gov.uk/oil-and-gas-decommissioning-of- offshorehttps://www.gov.uk/oil-and-gas-decommissioning-of-offshore-installations- and-pipelinesinstallations-and-pipelines 9. Economides M, Hill A. D. and Ehlig-Economides C. (2009) Petroleum Production System, New Jersey 10. Fauzi M.H. and Sulaiman R.W., (2014) Department of Petroleum Engineering Faculty of Petroleum & Renewable Engineering Universiti Technologi Malaysia. [Online] Available from: http://ocw.utm.my/file.php/12/Chapter_6-OCW.pdf [Accessed 20 June 2014]. 11. Gautier. L. (May 2005) Kimmeridgian Shales Total Petroleum System of the North Sea Graben Province (Online) Available at: http://www.usgs.gov/ [ Accessed 18th June 2014]
  • 92.
    12. Glennie. K.W. (2009) Petroleum Geology of the North Sea: Basic Concepts and Recent Advances. Fourth Edition. John Wiley and Sons (Online) Available at: http://books.google.co.uk/books?id=VDMBxuRu32QC&printsec=frontcover&source= gbs_ge_summary_r&cad=0#v=onepage&q&f=false 13. Hannesson R, (1998). Petroleum Economics: Issues and Strategies of Oil and Natural Gas Production. United States of America: Quorum Books 14. Ide. S, Friedmann. S, Herzog. H. (2006). CO2 Leakage through Existing Wells: Current Technology and Regulations. Presented at the 8th Greenhouse Gas Technology Conference, June 19-22, 2006, Trondheim, Norway. 15. Jahn, F., Cook, M., and Graham, M. (2008) Hydrocarbon Exploration and Production. 2nd ed. Amsterdam: Elsevier, pp. 265-290. 16. Johnson. H, Leslie. A, Wilson. C, Andrews. I, Cooper. R. (2005). Middle Jurassic, Upper Jurassic and Lower Cretaceous of the UK Central and Northern North Sea. Nottingham: British Geological Survey. 17. Oil Industry Safety Directorate. (No Date) Guideline for Well Abandonment. Last accessed 20th June 2014. Available at: http://oisd.gov.in/PDF/GuidelinesForWellAbandonment.pdf 18. Petroleum Experts (IPM Tutorials). (2004). Petroleum Experts 19. Rabia H. and Law K (1986). Oilwell Drilling Engineering: Principles and Practice, Kluwer Law International 20. Rahman, S. S., & Chilingarian, G. V. (1995). Casing Design-Theory and Practice (Vol. 42). Elsevier. 21. Rigzone (No Date). How Does Decommissioning Work? (Online) Last accessed 20th June 2014 Available at: http://www.rigzone.com/training/insight.asp?i_id=354 22. Scotchman. I, Johnes. L, Miller. R (15th February 1989). Clay Diagenesis and Oil Migration in Brent Group Sandstones of NW Hutton Field, UK North Sea. (Online) The Mineralogical Society. Last accessed on 24th June 2014 Available at: http://www.minersoc.org/pages/Archive-CM/Volume_24/24-2-339.pdf 23. Trice Jr M.L. (1992), Reservoir Management Practices, JPT December 1992
  • 93.
    12. Appendix Production Forecast: Case2: Case 3 Revenue and Cash Flow: Oil rate Water rate Gas Rate Total Liquid Cumulative Recovery Factor Year Oil (bbl) Water (bbl) Gas (mmscf) bopd bwpd mmscf/d GOR WC % rate bpd oil (bbl) % 2015 0 0 0 0 0 0 0 0.00 0 0 2016 1,537,595 287,405 5072.83 4213 787 13.90 3299 15.75 1,825,000 12300759 3.298 2017 1,455,174 369,826 4800.91 3987 1013 13.15 3299 20.26 1,825,000 23942150 6.419 2018 1,407,796 417,204 4499.93 3857 1143 12.33 3196 22.86 1,825,000 35204519 9.438 2019 1,322,820 502,180 3856.68 3624 1376 10.57 2916 27.52 1,825,000 45787075 12.275 2020 1,176,637 560,068 3209.59 3224 1534 8.79 2728 32.25 1,736,705 55200169 14.799 2021 980,185 559,377 2538.62 2685 1533 6.96 2590 36.33 1,539,561 63041646 16.901 2022 766,759 518,294 1922.72 2101 1420 5.27 2508 40.33 1,285,053 69175718 18.546 2023 624,850 484,196 1538.00 1712 1327 4.21 2461 43.66 1,109,045 74174515 19.886 2024 520,709 443,583 1262.63 1427 1215 3.46 2425 46.00 964,293 78340190 21.003 2025 450,989 409,739 1079.99 1236 1123 2.96 2395 47.60 860,728 81948100 21.970 2026 398,927 360,488 946.74 1093 988 2.59 2373 47.47 759,415 85139514 22.826 2027 359,356 346,724 845.49 985 950 2.32 2353 49.11 706,079 88014361 23.596 2028 328,014 334,960 765.54 899 918 2.10 2334 50.52 662,974 90638471 24.300 2029 302,887 322,689 701.70 830 884 1.92 2317 51.58 625,576 93061564 24.949 2030 281,972 259,262 649.49 773 710 1.78 2303 47.90 541,233 95317338 25.554 2031 265,948 263,710 609.61 729 722 1.67 2292 49.79 529,658 97444920 26.125 2032 253,789 266,390 579.42 695 730 1.59 2283 51.21 520,179 99475230 26.669 2033 243,548 268,519 554.15 667 736 1.52 2275 52.44 512,067 101423612 27.191 2034 234,528 269,824 532.02 643 739 1.46 2268 53.50 504,352 103299838 27.694 2035 226,868 271,108 513.23 622 743 1.41 2262 54.44 497,976 105114781 28.181 2036 220,172 272,571 496.83 603 747 1.36 2257 55.32 492,743 106876160 28.653 Oil rate Water rate Gas Rate Total Liquid Cumulative Recovery Factor Year Oil (bbl) Water (bbl) Gas (mmscf) bopd bwpd mmscf/d GOR WC % rate bpd oil (bbl) % 2015 0 0 0 0 0 0 0 0.00 0 0 2016 1,551,704 273,296 4479.46 4251 749 12.27 2887 14.98 1,825,000 10861928 2.912 2017 1,464,485 360,515 4227.68 4012 988 11.58 2887 19.75 1,825,000 21113325 5.660 2018 1,430,902 394,098 4130.73 3920 1080 11.32 2887 21.59 1,825,000 31129639 8.346 2019 1,366,393 458,607 3692.68 3744 1256 10.12 2703 25.13 1,825,000 40694394 10.910 2020 1,282,577 542,423 3248.69 3514 1486 8.90 2533 29.72 1,825,000 49672432 13.317 2021 1,150,110 589,809 2763.13 3151 1616 7.57 2402 33.90 1,739,919 57723205 15.475 2022 990,912 592,072 2280.90 2715 1622 6.25 2302 37.40 1,582,985 64659591 17.335 2023 856,476 555,059 1907.35 2347 1521 5.23 2227 39.32 1,411,534 70654923 18.942 2024 721,465 488,699 1573.35 1977 1339 4.31 2181 40.38 1,210,165 75705180 20.296 2025 628,377 453,019 1349.84 1722 1241 3.70 2148 41.89 1,081,395 80103817 21.476 2026 557,767 431,124 1179.54 1528 1181 3.23 2115 43.60 988,891 84008184 22.522 2027 503,265 415,133 1049.12 1379 1137 2.87 2085 45.20 918,398 87531038 23.467 2028 458,906 403,783 944.37 1257 1106 2.59 2058 46.81 862,689 90743380 24.328 2029 422,600 395,147 859.68 1158 1083 2.36 2034 48.32 817,747 93701580 25.121 2030 393,890 388,158 793.21 1079 1063 2.17 2014 49.63 782,048 96458810 25.860 2031 369,381 381,639 737.08 1012 1046 2.02 1995 50.82 751,020 99044477 26.553 2032 348,054 375,570 688.83 954 1029 1.89 1979 51.90 723,623 101480853 27.207 2033 329,137 367,276 646.79 902 1006 1.77 1965 52.74 696,413 103784813 27.824 2034 312,382 363,822 610.07 856 997 1.67 1953 53.80 676,204 105971489 28.411 2035 297,205 361,287 577.24 814 990 1.58 1942 54.87 658,492 108051921 28.968 2036 282,609 340,149 546.51 774 932 1.50 1934 54.62 622,758 110030183 29.499
  • 94.
    Case 2 Case 3 TotalAnnual Net Annual Net Annual Year CAPEX OPEX Oil price Gas Price Oil Revenue Gas Revenue Revenue Cash Flow PRT CT ST Cash Flow After Tax £ £ £ / bbl £/MMscf £ £ £ 35% 20% 1% £ 2014 578,757,356- 578,757,356- 0 0 0 578,757,355.94- 2015 241,148,898- 75 4000 241,148,898- 0 0 0 241,148,898.31- 2016 144,689,339- 138,799,267- 75 4000 814,644,578 17,917,836 832,562,414 549,073,808 192,175,833 109,814,762 2,745,369 244,337,844.46 2017 138,819,328- 75 4000 768,854,765 16,910,704 785,765,469 646,946,141 226,431,149 129,389,228 3,234,731 287,891,032.62 2018 138,827,052- 75 4000 751,223,614 16,522,913 767,746,527 628,919,475 220,121,816 125,783,895 3,144,597 279,869,166.35 2019 138,841,889- 75 4000 717,356,575 14,770,714 732,127,289 593,285,400 207,649,890 118,657,080 2,966,427 264,012,003.14 2020 138,861,167- 75 4000 673,352,847 12,994,777 686,347,624 547,486,457 191,620,260 109,497,291 2,737,432 243,631,473.39 2021 138,390,678- 75 4000 603,807,962 11,052,536 614,860,498 476,469,820 166,764,437 95,293,964 2,382,349 212,029,069.81 2022 137,503,262- 75 4000 520,228,990 9,123,581 529,352,570 391,849,308 137,147,258 78,369,862 1,959,247 174,372,942.02 2023 136,524,685- 75 4000 449,649,864 7,629,394 457,279,257 320,754,573 112,264,100 64,150,915 1,603,773 142,735,784.77 2024 135,370,073- 75 4000 378,769,305 6,293,395 385,062,701 249,692,628 87,392,420 49,938,526 1,248,463 111,113,219.38 2025 134,633,288- 75 4000 329,897,771 5,399,376 335,297,146 200,663,858 70,232,350 40,132,772 1,003,319 89,295,416.93 2026 134,104,861- 75 4000 292,827,551 4,718,172 297,545,724 163,440,863 57,204,302 32,688,173 817,204 72,731,183.91 2027 133,702,335- 75 4000 264,214,038 4,196,466 268,410,504 134,708,169 47,147,859 26,941,634 673,541 59,945,135.14 2028 133,384,524- 75 4000 240,925,604 3,777,479 244,703,083 111,318,558 38,961,495 22,263,712 556,593 49,536,758.45 2029 133,128,257- 75 4000 221,865,024 3,438,720 225,303,744 92,175,487 32,261,421 18,435,097 460,877 41,018,091.85 2030 132,924,663- 75 4000 206,792,233 3,172,824 209,965,057 77,040,394 26,964,138 15,408,079 385,202 34,282,975.31 2031 132,747,610- 75 4000 193,925,083 2,948,301 196,873,384 64,125,774 22,444,021 12,825,155 320,629 28,535,969.43 2032 132,591,200- 75 4000 182,728,173 2,755,318 185,483,491 52,892,290 18,512,302 10,578,458 264,461 23,537,069.23 2033 132,435,337- 75 4000 172,797,024 2,587,166 175,384,191 42,948,854 15,032,099 8,589,771 214,744 19,112,239.84 2034 132,320,203- 75 4000 164,000,699 2,440,299 166,440,999 34,120,795 11,942,278 6,824,159 170,604 15,183,753.89 2035 132,219,403- 75 4000 156,032,404 2,308,940 158,341,344 26,121,941 9,142,679 5,224,388 130,610 11,624,263.86 2036 132,012,359- 75 4000 148,369,601 2,186,058 150,555,659 18,543,300 6,490,155 3,708,660 92,716 8,251,768.34 Total Annual Net Annual Net Annual Year CAPEX OPEX Oil price Gas Price Oil Revenue Gas Revenue Revenue Cash Flow PRT CT ST Cash Flow After Tax £ £ £ / bbl £/MMscf £ £ £ 35% 20% 1% £ 2014 606,251,400- 606,251,400- 0 0 0 606,251,400.00- 2015 252,604,750- 75 4000 252,604,750- 0 0 0 252,604,750.00- 2016 151,562,850- 150,684,853- 75 4000 922,556,928 20,291,332 942,848,261 640,600,557 224,210,195 128,120,111 3,203,003 285,067,248.08 2017 150,703,810- 75 4000 873,104,332 19,203,639 892,307,970 741,604,160 259,561,456 148,320,832 3,708,021 330,013,851.37 2018 150,714,707- 75 4000 844,677,660 17,999,718 862,677,378 711,962,671 249,186,935 142,392,534 3,559,813 316,823,388.69 2019 150,734,251- 75 4000 793,691,729 15,426,728 809,118,458 658,384,206 230,434,472 131,676,841 3,291,921 292,980,971.71 2020 150,247,993- 75 4000 705,982,055 12,838,378 718,820,434 568,572,441 199,000,354 113,714,488 2,842,862 253,014,736.25 2021 149,132,394- 75 4000 588,110,736 10,154,468 598,265,204 449,132,810 157,196,484 89,826,562 2,245,664 199,864,100.56 2022 147,682,936- 75 4000 460,055,408 7,690,886 467,746,294 320,063,357 112,022,175 64,012,671 1,600,317 142,428,194.04 2023 146,679,244- 75 4000 374,909,749 6,152,000 381,061,749 234,382,505 82,033,877 46,876,501 1,171,913 104,300,214.74 2024 145,850,891- 75 4000 312,425,679 5,050,505 317,476,184 171,625,292 60,068,852 34,325,058 858,126 76,373,255.09 2025 145,257,138- 75 4000 270,593,190 4,319,959 274,913,149 129,656,011 45,379,604 25,931,202 648,280 57,696,924.69 2026 144,672,583- 75 4000 239,356,120 3,786,977 243,143,097 98,470,513 34,464,680 19,694,103 492,353 43,819,378.43 2027 144,367,643- 75 4000 215,613,487 3,381,966 218,995,453 74,627,810 26,119,733 14,925,562 373,139 33,209,375.28 2028 144,121,047- 75 4000 196,808,260 3,062,140 199,870,400 55,749,353 19,512,274 11,149,871 278,747 24,808,462.29 2029 143,906,628- 75 4000 181,731,968 2,806,787 184,538,756 40,632,128 14,221,245 8,126,426 203,161 18,081,296.75 2030 143,414,829- 75 4000 169,183,046 2,597,946 171,780,991 28,366,162 9,928,157 5,673,232 141,831 12,622,942.24 2031 143,350,357- 75 4000 159,568,683 2,438,435 162,007,118 18,656,761 6,529,866 3,731,352 93,284 8,302,258.76 2032 143,297,342- 75 4000 152,273,219 2,317,667 154,590,886 11,293,544 3,952,740 2,258,709 56,468 5,025,627.19 2033 143,251,934- 75 4000 146,128,661 2,216,619 148,345,280 5,093,346 1,782,671 1,018,669 25,467 2,266,539.16 2034 -80000000 143,208,583- 75 4000 140,716,949 2,128,095 142,845,044 80,363,540- 28,127,239- 16,072,708- 401,818- 35,761,775.10- 2035 143,172,805- 75 4000 136,120,735 2,052,934 138,173,668 4,999,137- 1,749,698- 999,827- 24,996- 2,224,615.90- 2036 143,143,532- 75 4000 132,103,419 1,987,329 134,090,749 9,052,784- 3,168,474- 1,810,557- 45,264- 4,028,488.84-
  • 95.
  • 96.
    NPV: Case 2 Discount factor AnnualCash flow Discounted cash flow Net present value 2014 0 1.000 -578757356 -578757356 578,757,356- 2015 1 0.935 -241148898 -225372802 804,130,158- 2016 2 0.873 244337844 213414136 590,716,022- 2017 3 0.816 287891033 235004839 355,711,183- 2018 4 0.763 279869166 213510847 142,200,336- 2019 5 0.713 264012003 188236909 46,036,573 2020 6 0.666 243631473 162341938 208,378,511 2021 7 0.623 212029070 132041048 340,419,559 2022 8 0.582 174372942 101486640 441,906,199 2023 9 0.544 142735785 77638810 519,545,009 2024 10 0.508 111113219 56484326 576,029,335 2025 11 0.475 89295417 42423609 618,452,945 2026 12 0.444 72731184 32293515 650,746,460 2027 13 0.415 59945135 24875100 675,621,560 2028 14 0.388 49536758 19211209 694,832,769 2029 15 0.362 41018092 14866844 709,699,613 2030 16 0.339 34282975 11612830 721,312,443 2031 17 0.317 28535969 9033757 730,346,200 2032 18 0.296 23537069 6963769 737,309,970 2033 19 0.277 19112240 5284694 742,594,663 2034 20 0.258 15183754 3923771 746,518,434 2035 21 0.242 11624264 2807412 749,325,846 2036 22 0.226 8251768 1862533 751,188,378 Year
  • 97.
    Case 3 Payback: Case 2 Discountfactor Annual Cash flow Discounted cash flow Net present value 2014 0 1.000 -606251400 -606251400 606,251,400- 2015 1 0.935 -252604750 -236079206 842,330,606- 2016 2 0.873 285067248 248988775 593,341,831- 2017 3 0.816 330013851 269389606 323,952,225- 2018 4 0.763 316823389 241703046 82,249,178- 2019 5 0.713 292980972 208891384 126,642,205 2020 6 0.666 253014736 168594402 295,236,607 2021 7 0.623 199864101 124465317 419,701,924 2022 8 0.582 142428194 82894506 502,596,430 2023 9 0.544 104300215 56732406 559,328,836 2024 10 0.508 76373255 38824290 598,153,126 2025 11 0.475 57696925 27411393 625,564,520 2026 12 0.444 43819378 19456328 645,020,848 2027 13 0.415 33209375 13780710 658,801,558 2028 14 0.388 24808462 9621149 668,422,707 2029 15 0.362 18081297 6553494 674,976,201 2030 16 0.339 12622942 4275827 679,252,028 2031 17 0.317 8302259 2628283 681,880,311 2032 18 0.296 5025627 1486902 683,367,213 2033 19 0.277 2266539 626717 683,993,930 2034 20 0.258 -35761775 -9241522 674,752,407 2035 21 0.242 -2224616 -537274 674,215,134 2036 22 0.226 -4028489 -909283 673,305,851 Year
  • 98.
    Case 3 13. Minutesof Meeting Group 06 for Field Development Group Project: Field Development Date: 12th June 2015 Attendees: Time: 10:00 – 18:00 Muhammad Kamal Muhammad Raja Ali Mohammed Ally Mohamed Meeting Location: Extension Block E-258 Apologies: None Agenda Action by: Designation of research areas: All Geological analysis, decommissioning/abandonment, formatting/editing, and meeting minutes. Muhammad Kamal Well technology and Completion; Production, Drilling and Reservoir management Ally Mohamed Reservoir simulation development and field development analysis. Ali Mohammed Economic sustainability, Environmental considerations, formatting/editing, and meeting minutes. Muhammad Raja Next meeting date 19th June 2015, same location. Group Project: Field Development
  • 99.
    Date: 19th June2014 Attendees: Time: 10:00 – 18:00 Muhammad Kamal Muhammad Raja Ali Mohammed Ally Mohamed Meeting Location: Extension Block E-258 Apologies: None Agenda Action by: Progress check All Presentation and discussion of research to group. Muhammad Kamal Muhammad Raja Selected field location based on research presented to group. Ali Mohammed Ally Mohamed Next meeting date 22nd June 2015, same location. Group Project: Field Development Date: 22nd June 2015 Attendees: Time: 10:00 – 18:00 Muhammad Kamal Muhammad Raja Ali Mohammed Ally Mohamed Meeting Location: Extension Block E-258 Apologies: None Agenda Action by: Discussion of well placement in Petrel with consideration of geological structure. Muhammad Kamal Muhammad Raja Ali Mohammed Ally Mohamed Next meeting date 26th June 2015, same location. Group Project: Field Development Date: 26th June 2015 Attendees: Time: 10:00 – 18:00 Muhammad Kamal Muhammad Raja Ali Mohammed Ally Mohamed Meeting Location: Extension Block E-258 Apologies: None Agenda Action by: Explanation and discussion of simulation and evaluation of total reserves using PETREL. Muhammad Kamal Muhammad Raja Ali Mohammed
  • 100.
    Ally Mohamed Next meetingdate 29th June 2015, same location. Group Project: Field Development Date: 29th June 2015 Attendees: Time: 10:00 – 18:00 Muhammad Kamal Muhammad Raja Ali Muhammed Ally Mohamed Meeting Location: Extension Block E-258 Apologies: None Agenda Action by: Presentation and explanations of project to all group members. All Next meeting date 30th June 2015, same location. Group Project: Field Development Date: 30th June 2015 Attendees: Time: 10:00 – 18:00 Muhammad Kamal Muhammad Raja Ali Mohammed Ally Mohamed Meeting Location: Extension Block E-258 Apologies: None Agenda Action by: Presentation and explanations of all sections to other group members. All Choice of field development made with consideration of economic survey. Muhammad Kamal Muhammad Raja Calculation of drill string parameters and reservoir management Ali Mohammed Ally Mohamed Next meeting date 1st July 2015, same location. Group Project: Field Development Date: 1st July 2015 Attendees: Time: 10:00 – 18:00 Muhammad Kamal Muhammad Raja Ali Mohammed Ally Mohamed Meeting Location: Extension Block E-258 Apologies: None
  • 101.
    Agenda Action by: Selectionof strategy for simulated field using PETREL, Selection and design of casing, Discussion on IPM All Next meeting date 2nd June 2015, same location. Group Project: Field Development Date: 2nd July 2015 Attendees: Time: 10:00 – 18:00 Muhammad Kamal Muhammad Raja Ali Mohammed Ally Mohamed Meeting Location: Extension Block E-258 Apologies: None Agenda Action by: Conclusions and recommendation presentation to all group members. All Discussion about final report format layout. Ally Mohamed Next meeting date 5th July 2015 Group Project: Field Development Date: 05th July 2015 Attendees: Time: 10:00 – 18:00 Muhammad Kamal Muhammad Raja Ali Mohammed Ally Mohamed Meeting Location: Perry library Apologies: None Agenda Action by: Final document compiling Muhammad Kamal Proof reading and language check. Muhammad Raja Formal write up and compilation of meeting minutes. Ali Mohammed Ally Mohamed