Expresiones
Algebraicas
República Bolivariana de Venezuela
Ministerio del Poder Popular Para la Educación Universitaria
Universidad Politécnica Territorial “Andrés Eloy Blanco”
Barquisimeto Estado Lara.
Elaborado por:
Carlos Ramos
28.454.680
PNF:
Administración
Sección: AD0103
¿Que es una expresión algebraica?
Una expresión algebraica es una combinación de letras
ó letras y números unidos por medio de las operaciones: suma,
resta, multiplicación, división, potenciación ó radicación, de
manera finita.
Usualmente las primeras letras de nuestro alfabeto: a,
b, c, d, etc. si no se dice otra cosa, representan valores fijos en la
expresión. Estas letras también se pueden llamar parámetros.
Las últimas letras de nuestro alfabeto: x, y, z, u otros
símbolos, representan variables que pueden tomar valores
dentro de un subconjunto de números reales.
Suma de expresiones algebraicas
Para sumar dos o más expresiones algebraicas con uno o
más términos, se deben reunir todos los términos semejantes que
existan, en uno sólo. Se puede aplicar la propiedad distributiva de
la multiplicación con respecto de la suma.
Ejemplo N° 1 : Efectué las operaciones indicadas y simplifique
0.7𝑥2 − 2𝑥𝑦 + 3𝑥𝑦 − 𝑦2 − (0.3𝑥2 + 1.1𝑦2)
Solución :
0.7x2 − 2xy + 3xy − y2 − 0.3x2 + 1.1y2 = 0.7x2 − 2xy + 3xy − y2 − 0.3x2 − 1.1y2
= 0.7x2 − 0.3x2 + −2xy + 3xy + −y2 − 1.1y2
= 0.7 − 0.3 x2 + −2 + 3 xy + −1 − 1.1 y2
= 0.4x2 + xy − 2.1y2
Ejemplo N° 2 : Sumar 5𝑥 − 3𝑦 + 5 𝑐𝑜𝑛 4𝑦 − 2𝑥 − 7
Solución :
5x − 3y + 5 + 4y − 2𝑥 − 7 =
5𝑥 − 3𝑦 + 5 + 4𝑦 − 2𝑥 − 7 =
= 3𝑥 + 𝑦 − 2
Resta de expresiones algebraicas
La resta algebraica es una de las operaciones
fundamentales en el estudio del álgebra. Sirve para restar
monomios y polinomios. Con la resta algebraica sustraemos el
valor de una expresión algebraica de otra.
Ejemplo N° 1: De −15𝑏 − 6𝑛 + 20𝑧 𝑟𝑒𝑠𝑡𝑎𝑟 4𝑛 − 20𝑏 − 25𝑐
Solución :
(−15𝑏−6𝑛+20𝑧)−(4𝑛−20𝑏−25𝑐)=
−15𝑏−6𝑛+20𝑧−4𝑛+20𝑏+25𝑐=
= 5𝑏 − 10𝑛 + 45𝑧
Ejemplo N° 2: De 5𝑥 − 10𝑦 − 3𝑧 𝑟𝑒𝑠𝑡𝑎𝑟 8𝑥 − 5𝑦 − 15𝑧
Solución :
(5𝑥−10𝑦−3𝑧)−(8𝑥 − 5𝑦 − 15𝑧) =
5𝑥 − 10𝑦 − 3𝑧 − 8𝑥 + 5𝑦 + 15𝑧=
= 3𝑥 − 5𝑦 + 12𝑧
Valor numérico
de expresiones algebraicas
Para hallar el valor numérico de una expresión algebraica, se
reemplaza el valor dado de la(s) letra(s) y se realizan las operaciones
indicadas en la expresión, ahora, entre números, El valor obtenido, es
el valor numérico de la expresión dada.
𝐄𝐣𝐞𝐦𝐩𝐥𝐨 𝐍° 𝟏 ∶ Evalúe la expresión (3(−x)2 − 2)2 para x = −1.
Solución:
(3(−x)2 − 2)2 = (3. (− −1 )3 − 2)2
= (3. (1)3 − 2)2
= (3 − 2)2
= 1
Luego el valor numérico de la expresión (3(−x)3 − 2)2 para x = -1 , es 1.
𝐄𝐣𝐞𝐦𝐩𝐥𝐨 𝐍° 𝟐 ∶ Evalúe la expresión x[(1 − x2)2 + 1 + x ] para x = −2.
Solución:
x[(1 − x2)2 + 1 + x = (−2)[(1 − (−2)2 + 1 + −2 ]
= (−2)[(1 − 4)2 + 1 − 2 ]
= −2 9 − 1 = −16
= −16
El valor numérico de la expresión dada es -16.
Multiplicación de
expresiones algebraicas
Para multiplicar expresiones algebraicas con uno o más
términos usar la propiedad distributiva de la multiplicación con
respecto de la suma, las reglas de los exponentes como también los
productos notables.
𝐄𝐣𝐞𝐦𝐩𝐥𝐨𝐬
N°1: (𝑎 + 𝑏)2 = 𝑎2 + 𝑏2 + 2𝑎. 𝑏
(3𝑥 + 2𝑦)2 = (3𝑥)2 + (2𝑦)2 + 2.3𝑥. 2𝑦
= 9𝑥2 + 4𝑦2 + 12𝑥. 𝑦
N°2: (𝑎 − 𝑏)2 = 𝑎2 + 𝑏2 − 2. 𝑎. 𝑏
(7𝑥 − 2𝑦)2 = (7𝑥)2 + (2𝑦)2 − 2.7𝑥. 2𝑦
= 49𝑥2 + 4𝑦2 − 28𝑥. 𝑦
División de
expresiones algebraicas
La división algebraica es una operación entre dos
expresiones algebraicas llamadas dividendo y divisor para obtener
otra expresión llamado cociente por medio de un algoritmo.
Debemos tener en cuenta un punto importante: el mayor exponente
de algún término del dividendo debe ser mayor o igual al mayor
exponente de algún término del divisor.
𝐄𝐣𝐞𝐦𝐩𝐥𝐨𝐬
N°1 Metodo Estandar : (5𝑥2 − 7𝑥 − 10) = (𝑥 − 2)
5𝑥2 − 7𝑥 − 10 𝑥 − 2
−5𝑥2 + 10𝑥 5𝑥 + 3
3𝑥 − 10
−3𝑥 + 6
−4
N°2 Metodo Ruffini : (4𝑥3 − 5𝑥2 − 7𝑥 + 1) = (𝑥 + 1)
4 − 5 − 7 1
−1 − 4 9 − 2
4 − 9 2 − 1
𝐶𝑜𝑐𝑖𝑒𝑛𝑡𝑒 ∶ 4𝑥2 − 9𝑥 + 2
Productos Notables de Expresiones
algebraicas
Es el nombre que reciben multiplicaciones con expresiones
algebraicas cuyo resultado se puede escribir mediante simple inspección,
sin verificar la multiplicación que cumplen ciertas reglas fijas. Su aplicación
simplifica y sistematiza la resolución de muchas multiplicaciones
habituales.
Cada producto notable corresponde a una fórmula de factorización.
𝐄𝐣𝐞𝐦𝐩𝐥𝐨𝐬
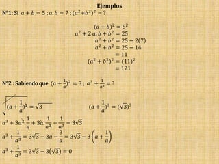
N°1: Si 𝑎 + 𝑏 = 5 ; 𝑎. 𝑏 = 7 ; (𝑎2
+𝑏2
)2
= ?
(𝑎 + 𝑏)2 = 52
𝑎2
+ 2 𝑎. 𝑏 + 𝑏2
= 25
𝑎2 + 𝑏2 = 25 − 2 7
𝑎2 + 𝑏2 = 25 − 14
= 11
(𝑎2
+ 𝑏2
)2
= (11)2
= 121
N°2 : Sabiendo que (𝑎 +
1
𝑎
)2
= 3 ; 𝑎3
+
1
𝑎3 = ?
(𝑎 +
1
𝑎
)2 = 3 (𝑎 +
1
𝑎
)3 = ( 3)3
𝑎3
+ 3𝑎2
.
1
𝑎
+ 3𝑎.
1
𝑎2 +
1
𝑎3 = 3 3
𝑎3
+
1
𝑎3
= 3 3 − 3𝑎 −
3
𝑎
= 3 3 − 3 𝑎 +
1
𝑎
𝑎3
+
1
𝑎3
= 3 3 − 3 3 = 0
Factorización
por Productos Notables
Se establecen los principales productos notables cuyos
desarrollos se suelen identificar con la expresión a factorizar.
Particularmente se trabaja con el trinomio que puede ser
identificado con el desarrollo del producto
(x + a )(x + b ) con a y b números enteros
𝐄𝐣𝐞𝐦𝐩𝐥𝐨𝐬
N°1 Factorizar : 𝑥2 − 𝑎𝑥 + 4𝑥 + 4 − 2𝑎
𝑥2 + 4𝑥 + 4 − 𝑎𝑥 − 2𝑎
𝑥2 + 2 2 𝑥 + (2)2−𝑎 𝑥 + 2
(𝑥 + 2)2−𝑎 𝑥 + 2
(𝑥 + 2)(𝑥 + 2 − 𝑎)
N°2 Factorizar la siguiente expresión : 4𝑎(𝑎 + 𝑏 − 1 2
4𝑎2 − 4𝑎𝑏 + 4𝑎 + 𝑏2 − 2𝑏 + 1
(2𝑎)2−2 2𝑎 𝑏 + 𝑏2 + 4𝑎 − 2𝑏 + 1
(2𝑎 − 𝑏)2+2 2𝑎 − 𝑏 . 1 + 12
(2𝑎 − 𝑏 + 1)2
http://proyectos.javerianacali.edu.co/cursos_virtuales/pregrado/matematicas
_fundamentales/Expresiones/Cap2/#:~:text=SUMA%20DE%20EXPRESIONES%
20ALGEBRAICAS,con%20respecto%20de%20la%20suma
https://www.ejemplode.com/5-matematicas/4671-
ejemplo_de_resta_algebraica.html#:~:text=La%20resta%20algebraica%20es%
20una,una%20expresi%C3%B3n%20algebraica%20de%20otra
https://ciencias-basicas.com/matematica/elemental/operaciones-
algebraicas/5-division-algebraica/
https://sites.google.com/site/algebra2611/unidad-2/productos-
notables#:~:text=Productos%20notables%20es%20el%20nombre,que%20cum
plen%20ciertas%20reglas%20fijas.&text=Cada%20producto%20notable%20co
rresponde%20a%20una%20f%C3%B3rmula%20de%20factorizaci%C3%B3n
http://www.matematicatuya.com/NIVELACION/ALGEBRA/S7.html
Bibliografía

Expresiones algebraicas

  • 1.
    Expresiones Algebraicas República Bolivariana deVenezuela Ministerio del Poder Popular Para la Educación Universitaria Universidad Politécnica Territorial “Andrés Eloy Blanco” Barquisimeto Estado Lara. Elaborado por: Carlos Ramos 28.454.680 PNF: Administración Sección: AD0103
  • 2.
    ¿Que es unaexpresión algebraica? Una expresión algebraica es una combinación de letras ó letras y números unidos por medio de las operaciones: suma, resta, multiplicación, división, potenciación ó radicación, de manera finita. Usualmente las primeras letras de nuestro alfabeto: a, b, c, d, etc. si no se dice otra cosa, representan valores fijos en la expresión. Estas letras también se pueden llamar parámetros. Las últimas letras de nuestro alfabeto: x, y, z, u otros símbolos, representan variables que pueden tomar valores dentro de un subconjunto de números reales.
  • 3.
    Suma de expresionesalgebraicas Para sumar dos o más expresiones algebraicas con uno o más términos, se deben reunir todos los términos semejantes que existan, en uno sólo. Se puede aplicar la propiedad distributiva de la multiplicación con respecto de la suma. Ejemplo N° 1 : Efectué las operaciones indicadas y simplifique 0.7𝑥2 − 2𝑥𝑦 + 3𝑥𝑦 − 𝑦2 − (0.3𝑥2 + 1.1𝑦2) Solución : 0.7x2 − 2xy + 3xy − y2 − 0.3x2 + 1.1y2 = 0.7x2 − 2xy + 3xy − y2 − 0.3x2 − 1.1y2 = 0.7x2 − 0.3x2 + −2xy + 3xy + −y2 − 1.1y2 = 0.7 − 0.3 x2 + −2 + 3 xy + −1 − 1.1 y2 = 0.4x2 + xy − 2.1y2
  • 4.
    Ejemplo N° 2: Sumar 5𝑥 − 3𝑦 + 5 𝑐𝑜𝑛 4𝑦 − 2𝑥 − 7 Solución : 5x − 3y + 5 + 4y − 2𝑥 − 7 = 5𝑥 − 3𝑦 + 5 + 4𝑦 − 2𝑥 − 7 = = 3𝑥 + 𝑦 − 2 Resta de expresiones algebraicas La resta algebraica es una de las operaciones fundamentales en el estudio del álgebra. Sirve para restar monomios y polinomios. Con la resta algebraica sustraemos el valor de una expresión algebraica de otra. Ejemplo N° 1: De −15𝑏 − 6𝑛 + 20𝑧 𝑟𝑒𝑠𝑡𝑎𝑟 4𝑛 − 20𝑏 − 25𝑐 Solución : (−15𝑏−6𝑛+20𝑧)−(4𝑛−20𝑏−25𝑐)= −15𝑏−6𝑛+20𝑧−4𝑛+20𝑏+25𝑐= = 5𝑏 − 10𝑛 + 45𝑧
  • 5.
    Ejemplo N° 2:De 5𝑥 − 10𝑦 − 3𝑧 𝑟𝑒𝑠𝑡𝑎𝑟 8𝑥 − 5𝑦 − 15𝑧 Solución : (5𝑥−10𝑦−3𝑧)−(8𝑥 − 5𝑦 − 15𝑧) = 5𝑥 − 10𝑦 − 3𝑧 − 8𝑥 + 5𝑦 + 15𝑧= = 3𝑥 − 5𝑦 + 12𝑧 Valor numérico de expresiones algebraicas Para hallar el valor numérico de una expresión algebraica, se reemplaza el valor dado de la(s) letra(s) y se realizan las operaciones indicadas en la expresión, ahora, entre números, El valor obtenido, es el valor numérico de la expresión dada.
  • 6.
    𝐄𝐣𝐞𝐦𝐩𝐥𝐨 𝐍° 𝟏∶ Evalúe la expresión (3(−x)2 − 2)2 para x = −1. Solución: (3(−x)2 − 2)2 = (3. (− −1 )3 − 2)2 = (3. (1)3 − 2)2 = (3 − 2)2 = 1 Luego el valor numérico de la expresión (3(−x)3 − 2)2 para x = -1 , es 1. 𝐄𝐣𝐞𝐦𝐩𝐥𝐨 𝐍° 𝟐 ∶ Evalúe la expresión x[(1 − x2)2 + 1 + x ] para x = −2. Solución: x[(1 − x2)2 + 1 + x = (−2)[(1 − (−2)2 + 1 + −2 ] = (−2)[(1 − 4)2 + 1 − 2 ] = −2 9 − 1 = −16 = −16 El valor numérico de la expresión dada es -16.
  • 7.
    Multiplicación de expresiones algebraicas Paramultiplicar expresiones algebraicas con uno o más términos usar la propiedad distributiva de la multiplicación con respecto de la suma, las reglas de los exponentes como también los productos notables. 𝐄𝐣𝐞𝐦𝐩𝐥𝐨𝐬 N°1: (𝑎 + 𝑏)2 = 𝑎2 + 𝑏2 + 2𝑎. 𝑏 (3𝑥 + 2𝑦)2 = (3𝑥)2 + (2𝑦)2 + 2.3𝑥. 2𝑦 = 9𝑥2 + 4𝑦2 + 12𝑥. 𝑦 N°2: (𝑎 − 𝑏)2 = 𝑎2 + 𝑏2 − 2. 𝑎. 𝑏 (7𝑥 − 2𝑦)2 = (7𝑥)2 + (2𝑦)2 − 2.7𝑥. 2𝑦 = 49𝑥2 + 4𝑦2 − 28𝑥. 𝑦
  • 8.
    División de expresiones algebraicas Ladivisión algebraica es una operación entre dos expresiones algebraicas llamadas dividendo y divisor para obtener otra expresión llamado cociente por medio de un algoritmo. Debemos tener en cuenta un punto importante: el mayor exponente de algún término del dividendo debe ser mayor o igual al mayor exponente de algún término del divisor. 𝐄𝐣𝐞𝐦𝐩𝐥𝐨𝐬 N°1 Metodo Estandar : (5𝑥2 − 7𝑥 − 10) = (𝑥 − 2) 5𝑥2 − 7𝑥 − 10 𝑥 − 2 −5𝑥2 + 10𝑥 5𝑥 + 3 3𝑥 − 10 −3𝑥 + 6 −4
  • 9.
    N°2 Metodo Ruffini: (4𝑥3 − 5𝑥2 − 7𝑥 + 1) = (𝑥 + 1) 4 − 5 − 7 1 −1 − 4 9 − 2 4 − 9 2 − 1 𝐶𝑜𝑐𝑖𝑒𝑛𝑡𝑒 ∶ 4𝑥2 − 9𝑥 + 2 Productos Notables de Expresiones algebraicas Es el nombre que reciben multiplicaciones con expresiones algebraicas cuyo resultado se puede escribir mediante simple inspección, sin verificar la multiplicación que cumplen ciertas reglas fijas. Su aplicación simplifica y sistematiza la resolución de muchas multiplicaciones habituales. Cada producto notable corresponde a una fórmula de factorización.
  • 10.
    𝐄𝐣𝐞𝐦𝐩𝐥𝐨𝐬 N°1: Si 𝑎+ 𝑏 = 5 ; 𝑎. 𝑏 = 7 ; (𝑎2 +𝑏2 )2 = ? (𝑎 + 𝑏)2 = 52 𝑎2 + 2 𝑎. 𝑏 + 𝑏2 = 25 𝑎2 + 𝑏2 = 25 − 2 7 𝑎2 + 𝑏2 = 25 − 14 = 11 (𝑎2 + 𝑏2 )2 = (11)2 = 121 N°2 : Sabiendo que (𝑎 + 1 𝑎 )2 = 3 ; 𝑎3 + 1 𝑎3 = ? (𝑎 + 1 𝑎 )2 = 3 (𝑎 + 1 𝑎 )3 = ( 3)3 𝑎3 + 3𝑎2 . 1 𝑎 + 3𝑎. 1 𝑎2 + 1 𝑎3 = 3 3 𝑎3 + 1 𝑎3 = 3 3 − 3𝑎 − 3 𝑎 = 3 3 − 3 𝑎 + 1 𝑎 𝑎3 + 1 𝑎3 = 3 3 − 3 3 = 0
  • 11.
    Factorización por Productos Notables Seestablecen los principales productos notables cuyos desarrollos se suelen identificar con la expresión a factorizar. Particularmente se trabaja con el trinomio que puede ser identificado con el desarrollo del producto (x + a )(x + b ) con a y b números enteros
  • 12.
    𝐄𝐣𝐞𝐦𝐩𝐥𝐨𝐬 N°1 Factorizar :𝑥2 − 𝑎𝑥 + 4𝑥 + 4 − 2𝑎 𝑥2 + 4𝑥 + 4 − 𝑎𝑥 − 2𝑎 𝑥2 + 2 2 𝑥 + (2)2−𝑎 𝑥 + 2 (𝑥 + 2)2−𝑎 𝑥 + 2 (𝑥 + 2)(𝑥 + 2 − 𝑎) N°2 Factorizar la siguiente expresión : 4𝑎(𝑎 + 𝑏 − 1 2 4𝑎2 − 4𝑎𝑏 + 4𝑎 + 𝑏2 − 2𝑏 + 1 (2𝑎)2−2 2𝑎 𝑏 + 𝑏2 + 4𝑎 − 2𝑏 + 1 (2𝑎 − 𝑏)2+2 2𝑎 − 𝑏 . 1 + 12 (2𝑎 − 𝑏 + 1)2
  • 13.