Estimating Sums and Differences

           Lesson 6-5
Benchmark Numbers
A benchmark is a number that is easy to use when you estimate.
When estimating the sums and differences of fractions, we use the
benchmarks 0, ½, and 1.
• Change each fraction to 0, ½, or 1.
• Add or subtract.


 5 + 3
 11  25

         +
• Change each fraction to 0, ½, or 1.
• Add or subtract.


 5 + 3
 11  25

         +
• Change each fraction to 0, ½, or 1.
• Add or subtract.


 5 + 3
 11  25

  ½      +
• Change each fraction to 0, ½, or 1.
• Add or subtract.


 5 + 3
 11  25

  ½      +
• Change each fraction to 0, ½, or 1.
• Add or subtract.


 5 + 3
 11  25

  ½      + 0
• Change each fraction to 0, ½, or 1.
• Add or subtract.


 5 + 3
 11  25

  ½      + 0 =
• Change each fraction to 0, ½, or 1.
• Add or subtract.


 5 + 3
 11  25

  ½      + 0 =           ½
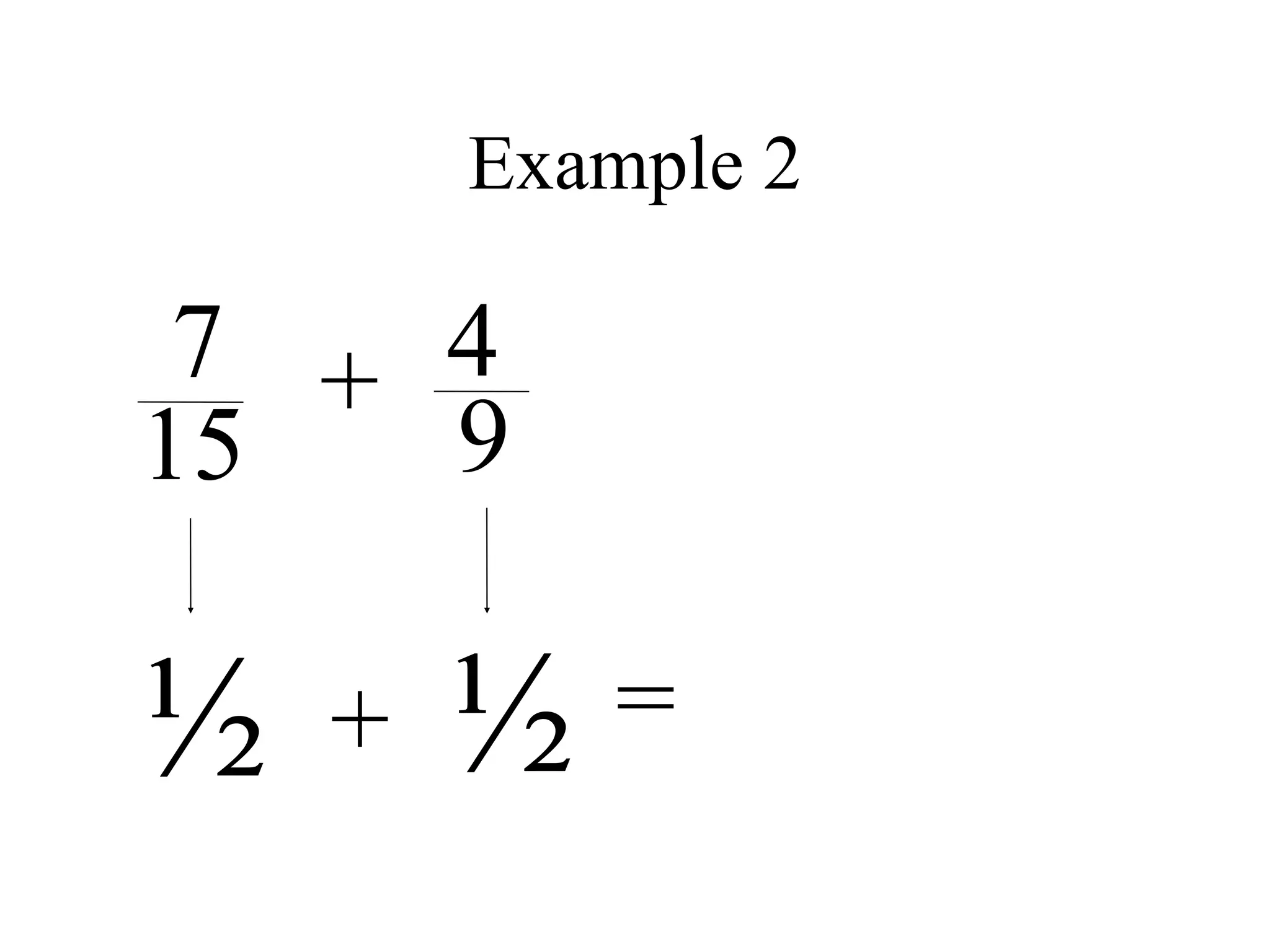
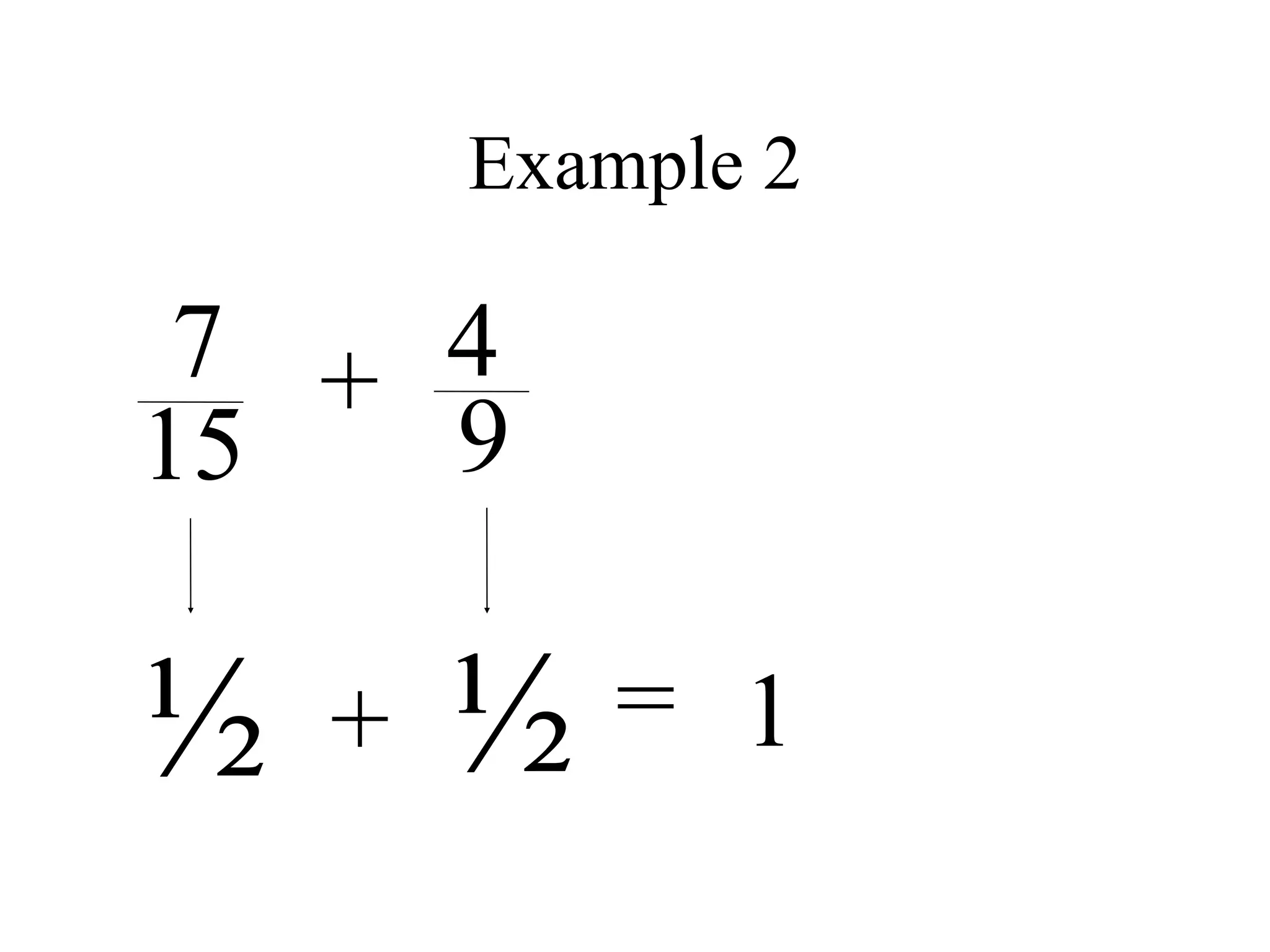
Example 2

 7 + 4
15   9

   +
Example 2

 7 + 4
15   9

   +
Example 2

 7 + 4
15   9

½   +
Example 2

 7 + 4
15   9

½   +
Example 2

 7 + 4
15   9

½   +   ½
Example 2

 7 + 4
15   9

½   +   ½   =
Example 2

 7 + 4
15   9

½   +   ½   = 1
Estimating Mixed Numbers
• If you have mixed numbers, then round the
  fraction part up to 1 or down to 0.
• If the fraction is greater than ½, then round
  up to 1.
• If it is less than ½, then round down to 0.
Example


15   3
     4   10   1
              8
Example


15   3
     4   10   1
              8
Example


15   3
     4   10   1
              8



 16
Example


15   3
     4   10   1
              8



 16
Example


15   3
     4   10    1
               8



 16       10
Example


15   3
     4   10    1
               8



 16       10       =
Example


15   3
     4   10    1
               8



 16       10       =6
Homework Time

Estimating sums and differences (lesson 6.5)