Dynamics
M.Mohana Malar. M.Sc.,M.Phil,
N.Malathi. M.Sc,
MOTION UNDER THE ACTION OF
CENTRAL FORCES
PROBLEMS
Problem 1:
A Smooth straight thin tube
revolves with uniform angular velocity ‘𝜔′ in a
vertical plane about one extremity which is fixed; if
at zero time the tube be horizontal and a particle
insides it beat a distance ‘a’ from the fixed end,
and be moving with velocity V along the tube,
show that the distance at time ‘t’ is
a cos ℎ 𝜔𝑡 +
𝑉
𝜔
−
𝑔
2𝜔2
sin ℎ 𝜔𝑡 +
𝑔
2𝜔2
sin ℎ 𝜔𝑡
Solution
Let at time t, P be the position of the particle of mass m on the tube OB. The forces
acting at P are (i) its weight mg vertically downwards and (ii)normal reaction R
perpendicular to OB
Let P be (𝑟, 𝜃)
Angular Velocity= 𝜃 =
𝑑𝜃
𝑑𝑡
= 𝜔
Integrating,
𝜃 = 𝜔𝑡 + 𝐴
Initially when t=0,𝜃 = 0
𝜃 = 𝜔𝑡 -------(1)
Resolving along the radius vector OB
m( 𝑟 − 𝑟 𝜃2) = −𝑚𝑔 cos (90 𝑜 − 𝜃) = −𝑚𝑔 sin 𝜃
𝑟 − 𝑟𝜔2 = −𝑔𝑠𝑖𝑛𝜃 = −𝑔𝑠𝑖𝑛𝜔𝑡 (using (1))
𝐷2 − 𝜔2 𝑟 = −𝑔𝑠𝑖𝑛𝜔𝑡 ---------(2) Where D=
𝑑
𝑑𝑡
The complementary function Y is found such that
(𝐷2
− 𝜔2
)𝑌 = 0
The solution of this differential equation is
𝑦 = 𝐴𝑒 𝜔𝑡 + 𝐵𝑒−𝜔𝑡---------(3)
Where A and B are constants. The particular integral u of the equation (2) is
given by
𝐷2 − 𝜔2 𝑢 = −𝑔𝑠𝑖𝑛𝜔𝑡
𝑢 = −
𝑔
𝐷2−𝜔2 𝑠𝑖𝑛𝜔𝑡 = −
𝑔
𝜔2−𝜔2 𝑠𝑖𝑛𝜔𝑡 =
𝑔
2𝜔2 𝑠𝑖𝑛𝜔𝑡 -----------(4)
Hence the general of (2) is
𝑟 = 𝑌 + 𝑢 = 𝐴𝑒 𝜔𝑡 + 𝐵𝑒−𝜔𝑡+
𝑔
2𝜔2 𝑠𝑖𝑛𝜔𝑡 ------------(5)
The initial conditions are : when t=0,r=a and 𝑟 = 𝑉
Hence (5) gives A+B=a --------(6)
Differentiating (5)
𝑟 = 𝐴𝜔𝑒 𝜔𝑡
− 𝐵𝜔𝑒−𝜔𝑡
+
𝑔
2𝜔
cos 𝜔𝑡---------(7)
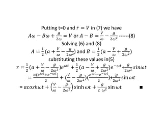
Putting t=0 and 𝑟 = 𝑉 in (7) we have
𝐴𝜔 − 𝐵𝜔 +
𝑔
2𝜔
= 𝑉 or 𝐴 − 𝐵 =
𝑉
𝜔
−
𝑔
2𝜔2 ------(8)
Solving (6) and (8)
𝐴 =
1
2
(𝑎 +
𝑉
𝜔
−
𝑔
2𝜔2) and 𝐵 =
1
2
(𝑎 −
𝑉
𝜔
+
𝑔
2𝜔2)
substituting these values in(5)
𝑟 =
1
2
(𝑎 +
𝑉
𝜔
−
𝑔
2𝜔2 )𝑒 𝜔𝑡 +
1
2
(𝑎 −
𝑉
𝜔
+
𝑔
2𝜔2)𝑒−𝜔𝑡+
𝑔
2𝜔2 𝑠𝑖𝑛𝜔𝑡
=
𝑎(𝑒 𝜔𝑡+𝑒−𝜔𝑡)
2
+ (
𝑉
𝜔
−
𝑔
2𝜔2)(
𝑒 𝜔𝑡−𝑒−𝜔𝑡
2
)+
𝑔
2𝜔2 sin 𝜔𝑡
= 𝑎𝑐𝑜𝑠ℎ𝜔𝑡 +
𝑉
𝜔
−
𝑔
2𝜔2 sinh 𝜔𝑡 +
𝑔
2 𝜔2 sin 𝜔𝑡 ∎
Problem 2:
Find the law of force
towards the pole under which the
curve 𝑟 𝑛
= 𝑎 𝑛
cos 𝑛𝜃 can be
described.
Solution
Given curve, 𝑟 𝑛
= 𝑎 𝑛
cos 𝑛𝜃
Since 𝑟 =
1
𝑢
, the equations is
un 𝑎 𝑛 cos 𝑛𝜃 = 1 ------(1)
Taking log on both sides
𝑛 log 𝑢 + 𝑛 log 𝑎 + log cos 𝑛𝜃 = 0-----(2)
Differentiating (2) with respect to 𝜃 ,
𝑛.
1
𝑢
𝑑𝑢
𝑑𝜃
−
𝑛𝑠𝑖𝑛 𝑛𝜃
cos 𝑛𝜃
= 0
(ie)
𝑑𝑢
𝑑𝜃
= 𝑢 tan 𝑛𝜃-------(3)
Differentiating (3) with respect to 𝜃𝑑2
𝑢
𝑑𝜃2
= 𝑢 𝑛 sec2 𝑛𝜃 + tan 𝑛𝜃 .
𝑑𝑢
𝑑𝜃
𝑢 +
𝑑2 𝑢
𝑑𝜃2 = 𝑢 + 𝑛𝑢 sec2
𝑛𝜃 + 𝑢 tan2
𝑛𝜃
= 𝑛𝑢 sec2
𝑛𝜃 + 𝑢(1 + tan2
𝑛𝜃)
= 𝑛𝑢 𝑠𝑒𝑐2 𝑛𝜃 + 𝑢 𝑠𝑒𝑐2 𝑛𝜃
= 𝑛 + 1 𝑢 𝑠𝑒𝑐2
𝑛𝜃
= 𝑛 + 1 𝑢. 𝑢2𝑛 𝑎2𝑛 using (1) to substitute for sec2 𝑛𝜃
= 𝑛 + 1 𝑎2𝑛 𝑢2𝑛+1
P∝
1
𝑟2𝑛+3 which means that the central acceleration varies inversely as the(2n+3) rd
power of the distance.
∎
Problem 3:
Find the law of force to an
internal point under which a
body will describe a circle.
Solution :
From the pedal equation of the circle for general position of the pole is 𝑐2
=
𝑟2 + 𝑎2 − 2𝑎𝑝 -----(1)
Differentiating with respect to r,
0 = 2𝑟 − 2𝑎
𝑑𝑝
𝑑𝑟
(i.e)
𝑑𝑝
𝑑𝑟
=
𝑟
𝑎
Now the central acceleration
𝑃 =
ℎ2
𝑝3
𝑑𝑝
𝑑𝑟
substituting for p from (1) ∎
Problem 4:
A particle moves in
an ellipse under a force which is
always directed towards its focus. Find
the law of force, the velocity at any
point of the path and its periodic time.
Solution
The polar equation to the ellipse is
𝑙
𝑟
= 1 + 𝑒𝑐𝑜𝑠𝜃 -----(1)
where e is the eccentricity and 𝑙 is the semi latus rectum.
From (1) 𝑢 =
1
𝑟
=
1+𝑒 cos 𝜃
𝑙
Hence
𝑑𝑢
𝑑𝜃
= −
𝑒𝑠𝑖𝑛𝜃
𝑙
and
𝑑2 𝑢
𝑑𝜃2 = −
𝑒𝑐𝑜𝑠𝜃
𝑙
𝑢 +
𝑑2
𝑢
𝑑𝜃2
=
1 + 𝑒 cos 𝜃
𝑙
−
𝑒 cos 𝜃
𝑙
=
1
𝑙
We know that
𝑃
ℎ2 𝑢2
= 𝑢 +
𝑑2 𝑢
𝑑𝜃2
=
1
𝑙
i.e The force varies inversely as the square of the distance from the pole.
1
𝑝2 = 𝑢2
+
𝑑𝑢
𝑑𝜃
2
=
1 + 𝑒𝑐𝑜𝑠𝜃
𝑙
2
+
𝑒𝑠𝑖𝑛𝜃
𝑙
=
1 + 2𝑒𝑐𝑜𝑠𝜃 + 𝑒2
𝑙2
Hence 𝑣2
=
ℎ2
𝑝2 =
ℎ2(!+2𝑒𝑐𝑜𝑠𝜃+𝑒2)
𝑙2
=
𝜇𝑙
𝑙2 (1 + 𝑒2 + 2
𝑙
𝑟
− 1 ) substituting for 𝑒𝑐𝑜𝑠𝜃 from (1)
=
𝜇
𝑙
𝑒2
+
2𝑙
𝑟
− 1
=
𝜇
𝑙
(
2𝑙
𝑟
− 1 − e2
)
= 𝜇[
2
𝑟
−
1−𝑒2
𝑙
)------(2)
Now if a and b are the semi axes of ellipse. We know that
𝑙 =
𝑏2
𝑎
=
𝑎2(1 − 𝑒2)
𝑎
= 𝑎(1 − 𝑒2
)
𝑣2 = 𝜇
2
𝑟
−
1
𝑎
, giving the velocity v.
Areal velocity in the orbit =
1
2
ℎ and this is constant.
The total area of the ellipse = 𝜋𝑎𝑏.
Periodic Time T=
𝜋𝑎𝑏
(
1
2
ℎ)
=
2𝜋𝑎𝑏
ℎ
=
2𝜋𝑎𝑏
√𝜇𝑙
where 𝜇 =
ℎ2
𝑙
=
2𝜋𝑎𝑏
𝜇.𝑏
. √𝑎, since 𝑙 =
𝑏2
𝑎
=
2𝜋
√𝜇
. 𝑎3/2 ∎
Problem 5:
A particle moves in a
curve under a central attraction so
that its velocity at any point is equal to
that in a circle at the same distance
and under the same attraction. Show
that the path is an equiangular spiral
and that the law of force is that of the
inverse cube.
Solution
Let the central acceleration be P. If v is the velocity in a circle at a distance r under the
normal acceleration P, then
𝑣2
𝑟
= 𝑃
i.e 𝑣2
= 𝑃𝑟 -------(1)
Since v is also the velocity in the central orbit,
ℎ = 𝑝𝑣 or 𝑣 =
ℎ
𝑝
putting this is (1),
ℎ2
𝑝2 = 𝑃𝑟 ------(2)
We know that, 𝑃 =
ℎ2
𝑃3 .
𝑑𝑝
𝑑𝑟
----------(3)
Substituting (3) in (2)
ℎ2
𝑝2 =
ℎ2
𝑝3 .
𝑑𝑝
𝑑𝑟
. 𝑟
(i.e)
𝑑𝑝
𝑝
= 𝐴
Substituting this in (3),
𝑃 =
ℎ2
𝑝3 . 𝐴 =
𝐴ℎ2
𝐴3 𝑟3 using (4)
=
ℎ2
𝐴2 (
1
𝑟3) (ie)𝑃 ∝
1
𝑟3 ∎
Thank You

Dynamics slideshare

  • 1.
  • 2.
    MOTION UNDER THEACTION OF CENTRAL FORCES PROBLEMS
  • 3.
    Problem 1: A Smoothstraight thin tube revolves with uniform angular velocity ‘𝜔′ in a vertical plane about one extremity which is fixed; if at zero time the tube be horizontal and a particle insides it beat a distance ‘a’ from the fixed end, and be moving with velocity V along the tube, show that the distance at time ‘t’ is a cos ℎ 𝜔𝑡 + 𝑉 𝜔 − 𝑔 2𝜔2 sin ℎ 𝜔𝑡 + 𝑔 2𝜔2 sin ℎ 𝜔𝑡
  • 4.
  • 5.
    Let at timet, P be the position of the particle of mass m on the tube OB. The forces acting at P are (i) its weight mg vertically downwards and (ii)normal reaction R perpendicular to OB Let P be (𝑟, 𝜃) Angular Velocity= 𝜃 = 𝑑𝜃 𝑑𝑡 = 𝜔 Integrating, 𝜃 = 𝜔𝑡 + 𝐴 Initially when t=0,𝜃 = 0 𝜃 = 𝜔𝑡 -------(1) Resolving along the radius vector OB m( 𝑟 − 𝑟 𝜃2) = −𝑚𝑔 cos (90 𝑜 − 𝜃) = −𝑚𝑔 sin 𝜃 𝑟 − 𝑟𝜔2 = −𝑔𝑠𝑖𝑛𝜃 = −𝑔𝑠𝑖𝑛𝜔𝑡 (using (1)) 𝐷2 − 𝜔2 𝑟 = −𝑔𝑠𝑖𝑛𝜔𝑡 ---------(2) Where D= 𝑑 𝑑𝑡 The complementary function Y is found such that (𝐷2 − 𝜔2 )𝑌 = 0
  • 6.
    The solution ofthis differential equation is 𝑦 = 𝐴𝑒 𝜔𝑡 + 𝐵𝑒−𝜔𝑡---------(3) Where A and B are constants. The particular integral u of the equation (2) is given by 𝐷2 − 𝜔2 𝑢 = −𝑔𝑠𝑖𝑛𝜔𝑡 𝑢 = − 𝑔 𝐷2−𝜔2 𝑠𝑖𝑛𝜔𝑡 = − 𝑔 𝜔2−𝜔2 𝑠𝑖𝑛𝜔𝑡 = 𝑔 2𝜔2 𝑠𝑖𝑛𝜔𝑡 -----------(4) Hence the general of (2) is 𝑟 = 𝑌 + 𝑢 = 𝐴𝑒 𝜔𝑡 + 𝐵𝑒−𝜔𝑡+ 𝑔 2𝜔2 𝑠𝑖𝑛𝜔𝑡 ------------(5) The initial conditions are : when t=0,r=a and 𝑟 = 𝑉 Hence (5) gives A+B=a --------(6) Differentiating (5) 𝑟 = 𝐴𝜔𝑒 𝜔𝑡 − 𝐵𝜔𝑒−𝜔𝑡 + 𝑔 2𝜔 cos 𝜔𝑡---------(7)
  • 7.
    Putting t=0 and𝑟 = 𝑉 in (7) we have 𝐴𝜔 − 𝐵𝜔 + 𝑔 2𝜔 = 𝑉 or 𝐴 − 𝐵 = 𝑉 𝜔 − 𝑔 2𝜔2 ------(8) Solving (6) and (8) 𝐴 = 1 2 (𝑎 + 𝑉 𝜔 − 𝑔 2𝜔2) and 𝐵 = 1 2 (𝑎 − 𝑉 𝜔 + 𝑔 2𝜔2) substituting these values in(5) 𝑟 = 1 2 (𝑎 + 𝑉 𝜔 − 𝑔 2𝜔2 )𝑒 𝜔𝑡 + 1 2 (𝑎 − 𝑉 𝜔 + 𝑔 2𝜔2)𝑒−𝜔𝑡+ 𝑔 2𝜔2 𝑠𝑖𝑛𝜔𝑡 = 𝑎(𝑒 𝜔𝑡+𝑒−𝜔𝑡) 2 + ( 𝑉 𝜔 − 𝑔 2𝜔2)( 𝑒 𝜔𝑡−𝑒−𝜔𝑡 2 )+ 𝑔 2𝜔2 sin 𝜔𝑡 = 𝑎𝑐𝑜𝑠ℎ𝜔𝑡 + 𝑉 𝜔 − 𝑔 2𝜔2 sinh 𝜔𝑡 + 𝑔 2 𝜔2 sin 𝜔𝑡 ∎
  • 8.
    Problem 2: Find thelaw of force towards the pole under which the curve 𝑟 𝑛 = 𝑎 𝑛 cos 𝑛𝜃 can be described.
  • 9.
    Solution Given curve, 𝑟𝑛 = 𝑎 𝑛 cos 𝑛𝜃 Since 𝑟 = 1 𝑢 , the equations is un 𝑎 𝑛 cos 𝑛𝜃 = 1 ------(1) Taking log on both sides 𝑛 log 𝑢 + 𝑛 log 𝑎 + log cos 𝑛𝜃 = 0-----(2) Differentiating (2) with respect to 𝜃 , 𝑛. 1 𝑢 𝑑𝑢 𝑑𝜃 − 𝑛𝑠𝑖𝑛 𝑛𝜃 cos 𝑛𝜃 = 0 (ie) 𝑑𝑢 𝑑𝜃 = 𝑢 tan 𝑛𝜃-------(3) Differentiating (3) with respect to 𝜃𝑑2 𝑢 𝑑𝜃2 = 𝑢 𝑛 sec2 𝑛𝜃 + tan 𝑛𝜃 . 𝑑𝑢 𝑑𝜃 𝑢 + 𝑑2 𝑢 𝑑𝜃2 = 𝑢 + 𝑛𝑢 sec2 𝑛𝜃 + 𝑢 tan2 𝑛𝜃 = 𝑛𝑢 sec2 𝑛𝜃 + 𝑢(1 + tan2 𝑛𝜃)
  • 10.
    = 𝑛𝑢 𝑠𝑒𝑐2𝑛𝜃 + 𝑢 𝑠𝑒𝑐2 𝑛𝜃 = 𝑛 + 1 𝑢 𝑠𝑒𝑐2 𝑛𝜃 = 𝑛 + 1 𝑢. 𝑢2𝑛 𝑎2𝑛 using (1) to substitute for sec2 𝑛𝜃 = 𝑛 + 1 𝑎2𝑛 𝑢2𝑛+1 P∝ 1 𝑟2𝑛+3 which means that the central acceleration varies inversely as the(2n+3) rd power of the distance. ∎
  • 11.
    Problem 3: Find thelaw of force to an internal point under which a body will describe a circle.
  • 12.
    Solution : From thepedal equation of the circle for general position of the pole is 𝑐2 = 𝑟2 + 𝑎2 − 2𝑎𝑝 -----(1) Differentiating with respect to r, 0 = 2𝑟 − 2𝑎 𝑑𝑝 𝑑𝑟 (i.e) 𝑑𝑝 𝑑𝑟 = 𝑟 𝑎 Now the central acceleration 𝑃 = ℎ2 𝑝3 𝑑𝑝 𝑑𝑟 substituting for p from (1) ∎
  • 13.
    Problem 4: A particlemoves in an ellipse under a force which is always directed towards its focus. Find the law of force, the velocity at any point of the path and its periodic time.
  • 14.
    Solution The polar equationto the ellipse is 𝑙 𝑟 = 1 + 𝑒𝑐𝑜𝑠𝜃 -----(1) where e is the eccentricity and 𝑙 is the semi latus rectum. From (1) 𝑢 = 1 𝑟 = 1+𝑒 cos 𝜃 𝑙 Hence 𝑑𝑢 𝑑𝜃 = − 𝑒𝑠𝑖𝑛𝜃 𝑙 and 𝑑2 𝑢 𝑑𝜃2 = − 𝑒𝑐𝑜𝑠𝜃 𝑙 𝑢 + 𝑑2 𝑢 𝑑𝜃2 = 1 + 𝑒 cos 𝜃 𝑙 − 𝑒 cos 𝜃 𝑙 = 1 𝑙 We know that 𝑃 ℎ2 𝑢2 = 𝑢 + 𝑑2 𝑢 𝑑𝜃2 = 1 𝑙 i.e The force varies inversely as the square of the distance from the pole. 1 𝑝2 = 𝑢2 + 𝑑𝑢 𝑑𝜃 2 = 1 + 𝑒𝑐𝑜𝑠𝜃 𝑙 2 + 𝑒𝑠𝑖𝑛𝜃 𝑙 = 1 + 2𝑒𝑐𝑜𝑠𝜃 + 𝑒2 𝑙2 Hence 𝑣2 = ℎ2 𝑝2 = ℎ2(!+2𝑒𝑐𝑜𝑠𝜃+𝑒2) 𝑙2
  • 15.
    = 𝜇𝑙 𝑙2 (1 +𝑒2 + 2 𝑙 𝑟 − 1 ) substituting for 𝑒𝑐𝑜𝑠𝜃 from (1) = 𝜇 𝑙 𝑒2 + 2𝑙 𝑟 − 1 = 𝜇 𝑙 ( 2𝑙 𝑟 − 1 − e2 ) = 𝜇[ 2 𝑟 − 1−𝑒2 𝑙 )------(2) Now if a and b are the semi axes of ellipse. We know that 𝑙 = 𝑏2 𝑎 = 𝑎2(1 − 𝑒2) 𝑎 = 𝑎(1 − 𝑒2 ) 𝑣2 = 𝜇 2 𝑟 − 1 𝑎 , giving the velocity v. Areal velocity in the orbit = 1 2 ℎ and this is constant. The total area of the ellipse = 𝜋𝑎𝑏. Periodic Time T= 𝜋𝑎𝑏 ( 1 2 ℎ) = 2𝜋𝑎𝑏 ℎ = 2𝜋𝑎𝑏 √𝜇𝑙 where 𝜇 = ℎ2 𝑙 = 2𝜋𝑎𝑏 𝜇.𝑏 . √𝑎, since 𝑙 = 𝑏2 𝑎 = 2𝜋 √𝜇 . 𝑎3/2 ∎
  • 16.
    Problem 5: A particlemoves in a curve under a central attraction so that its velocity at any point is equal to that in a circle at the same distance and under the same attraction. Show that the path is an equiangular spiral and that the law of force is that of the inverse cube.
  • 17.
    Solution Let the centralacceleration be P. If v is the velocity in a circle at a distance r under the normal acceleration P, then 𝑣2 𝑟 = 𝑃 i.e 𝑣2 = 𝑃𝑟 -------(1) Since v is also the velocity in the central orbit, ℎ = 𝑝𝑣 or 𝑣 = ℎ 𝑝 putting this is (1), ℎ2 𝑝2 = 𝑃𝑟 ------(2) We know that, 𝑃 = ℎ2 𝑃3 . 𝑑𝑝 𝑑𝑟 ----------(3) Substituting (3) in (2) ℎ2 𝑝2 = ℎ2 𝑝3 . 𝑑𝑝 𝑑𝑟 . 𝑟 (i.e) 𝑑𝑝 𝑝 = 𝐴 Substituting this in (3), 𝑃 = ℎ2 𝑝3 . 𝐴 = 𝐴ℎ2 𝐴3 𝑟3 using (4) = ℎ2 𝐴2 ( 1 𝑟3) (ie)𝑃 ∝ 1 𝑟3 ∎
  • 18.