SEMINAR 2
DENTAL
MANPOWER
IN
INDIA
Dr.Payal Dash
PGT
Public Health Dentistry
CONTENTS
1. INTRODUCTION
2. DENTIST
3. DENTAL AUXILIARIES
4. FRONTIER AUXILIARIES
5. NEW AUXILIARY TYPES
6. DEGREES OF SUPERVISION OF
AUXILIARIES
7. DENTAL MANPOWER IN INDIA
8. SUMMARY
9. CONCLUSION
10.REFERENCES
INTRODUCTION
• MANPOWER
• The supply of dental care available in a given area and to a certain extent also the demand
for dental care are linked with the number of people in the dental profession and the way
they make use of the time .
• The dentist themselves of course at the most important people to consider but in order to go
watch the total output we must also consider the auxiliaries
• The vision of the dental team is one of various people in dentistry with different – Roles –
Functions – Period of training all working together to treat patients.
• Health care systems depend not only upon infrastructure and resources, but also on the
availability of skilled human resources.
Dental Needs,Resources and Objectives.Dunning
INTRODUCTION
• WHO Definition (1958) -Auxiliary is a technical worker in a certain field with less than
full professional training.
• A dental auxiliary can be defined as ‘A person who is given responsibilities by a dentist
so that he or she can help the dentists render dental care, but who is not himself or herself
qualified with a dental degree’. -Slack (1960)
• The duties undertaken by dental ancillaries range from simple tasks such as sorting
instruments to relatively complex procedures which form part of the treatment of patients.
INTRODUCTION
• In U.K the corresponding generic term is used called “Dental Ancillary”
• The word auxiliary means being helpful, subsidiary; whereas ancillary means subservient,
subordinate.
DENTIST
A dentist is a person licensed to practice dentistry under
the law of the appropriate state, province, territory, or
nation.
Qualifications :-
1. completion of an approved period of professional
education in an approved institution.
2. demonstration of competence
DENTIST
• DUTIES
• They are legally entitled to treat patients independently
• To prescribe certain drugs
• To employ and supervise auxiliary personnel.
• REGISTRATION OF DENTISTS
• Dentists must be registered
• Registration is the process by which, qualified individuals are listed on
an official roster, maintained by a government or non- governmental
agency
DENTIST
BDS
4 years
Internship
1 year
Registration
MDS
3 years
DENTAL
AUXILLARIES
A dental auxiliary is a person who is given the responsibility by a dentist so that he or she
can help the dentist render dental care, but who is not himself or herself qualified with a
dental degree.
The duties undertaken by dental auxiliaries range from simple tasks such as sorting
instruments to relatively complex procedures which form part of the treatment of patients.
DENTAL AUXILLARIES CLASSIFICATION
Dental
Auxillaries WHO-
1967
Operating
Clinical
Laboratory
Non -Operating
Revised
Classification Slack
GL, Burt BA (1981
Operating
School Dental Nurse
Dental therapist
Dental Hygienist
EFDA
Non Operating
Dental Surgey
Assistant
Dental Secretary
Lab Technician
Heath Educator
DENTAL SURGERY ASSISTANT
• HISTORY OF DENTALASSISSTANT:
• The introduction of anaesthesia in dentistry after 1850 is one
of the reasons for dentists requiring the presence of an dental
assistant and to act as a helper one for female patient.
• In 1885, Dr. Edmund Kells of New Orleans hired the first
woman dental assistant to replace his male "helper".
• This aptly-named "lady in attendance" made it acceptable for
a respectable woman to seek dental treatment
DENTAL SURGERY ASSISTANT
Dr. Kells then realized that the "lady in attendance"
could be helpful in office duties, as well as in
facilitating dental health care delivery for women. •
By 1890, he routinely employed women as both
chair side and secretarial assistants.
In 1921, Juliette A. Southard organized dental
assistants into the Educational and Efficiency
Society.
American Dental Assistants Association (ADAA)
DENTAL SURGERY ASSISTANT
A curriculum committee was organized in 1930 to develop courses
and to provide training
By 1943, the ADAA had determined that sound preparation was key
to successful dental assisting practice
In 1944, the Certification Committee was established to promote
standards and to craft a certification examination for dental
assistants.
The Certifying Board of the ADAA was formed in 1948
Dental Assisting National Board (DANB), joined the National
Commission for Health Certifying Agencies in 1979.
DENTAL SURGERY ASSISTANT
• A non operating auxiliary who assists the dentist or dental hygienist in treating patients,
but who is not legally permitted to treat patient independently.
• May only work under the supervision of a licensed dentist carrying out duties
prescribed by the dentist or by a dental hygienist employed by the dentist.
• Dental assistant
• Chair side dental assistant
• Dental nurse
DENTAL SURGERY ASSISTANT
• Duties of dental assistant
• Preparation of the patient for any treatment he/she may need
• Preparation and provision of all necessary facilities such as mouth washes and napkins
• Sterilization, care, and preparation of instruments
• Preparation and mixing of restorative materials including both filling and impression
materials
• Care of the patient after treatment until he/she leaves including clearing away of
insruments and preparation of instruments for reuse
• Preparation of surgery for the next patient
FOUR HANDED DENTISTRY
• Introduction
• Principles
• Basic tenets
• Motion Economy
• Zones of Activity
• Strategies to ensure effective
fourhanded dentistry
FOUR HANDED DENTISTRY
• With increased use of dental surgery assistant, a new concept had emerged in 1960’s,
called the four handed dentisry
• It is the art of seating both the dentist and dental assistant in such a way that both are
with in easy reach of the the patient’s mouth.
• The assistant will hand the particular instrument that the dentist need
• additional tasks such as retraction, aspiritation...
• The dentist can thus keep his hands and eyes in the field of operation and work with less
fatigue and greater efficiency
• A dental assistant is not required to be legally certified, registered or licenced or to have
completed any particular duration of education
• PRINCIPLES
• 1. Any sort of operation being done in a seated position.
• 2. Utilizing the skills if the dental assistant is skilled.
• 3. Organising every component of the practice.
• 4. Simplifying all tasks to the maximum.
• Basic tenets of four-handed dentistry
• 1. To minimize unnecessary motion, equipment’s
• must be ergonomically designed.
• 2. Both the operating team and the patient should be
comfortably seated
• 3. Practice of motion economy should be
done.
• 4. Pre-set cassettes/trays are utilized.
• 5. The dentist assigns all legally delegable
duties to qualified auxiliaries based on the
state’s guidelines.
• 6. Treatment Plan of the patient is designed
in advance in a logical sequence.
• Principles of Motion Economy
• Motion economy refers to the
manner in which
• human energy can be conserved
while performing a task.
• The objective in all areas of the
dental office, clinical, business or
laboratory setting,should be to
minimize the number and magnitude
of motions and conserve energy
while working.
• Classification of Motion
• Motions can be classified into five categories according to the length of the
motion
• The four zones are:
• a) Operator’s zone,
• b) Assistant’s zone,
• c) Transfer zone,
• d) Static zone.
• The operator changes position
depending upon the dental arch and
tooth being treated.
• Strategies to ensure effective fourhanded dentistry:
• a) Teamwork:
• For effective application of true four handed dentistry each member of the dental team
must assume personal as well as team responsibilities.
• The team must be aware of each other’s needs, recognize the need to reposition the
patient and operating team, as necessary, to reduce strain, improve access and
visibility, and reduce unnecessary movement by transferring instruments only within
the transfer zone.
• Strategies to ensure effective fourhanded dentistry:
• B) Strategies for the Operator:
• For basic dental procedures, a standardised routine must be followed involving a non-
verbal signal during exchange of instruments and when necessary a distinct verbal
direction to communicate.
• The dentist/ operator must be willing to accept input from the assistant as it is noted
that chair positions need to be adjusted.
• Strategies to ensure effective fourhanded dentistry:
• C) Strategies for the Dental Assistant:
• The clinical assistant must develop a thorough understanding of the procedure,
recognize the patient’s needs, anticipate the operator’s need, and recognize any
change in the procedure.
• During the procedure the assistant should be seated as close to the patient as possible
with legs parallel to the long axis of the patient’s body.
• The assistant must be alert to changes in position of the dentist and determine a non
verbal signal to indicate to him or her that chair positioning needs to be improved.
SIX HANDED DENTISTRY
• DENTAL SECRETARY/RECEPTIONIST
• This is a person who assist the dentist with his secretarial work and patient reception
duties.
• DENTAL LABORATORY TECHNICIAN
• Fullfills the presciption provided by dentist regarding the extraoral construction and
repair of oral applliances and bridge work
• Also called as dental mechanic
• The formal training period covers as much as 2 years.
• Eligibility-Matriculation,Minimum 15 years ,Medically fit
• DUTIES
• Casting of models from impressions made by the dentist
• Include the fabrication of dentures, splints, orthodontic
• appliance, inlays, crowns and special trays
• Denturist :
• Term applied to those dental lab technicians who are permitted in some states in the
US and elsewhere to fabricate dentures directly for patients without a dentist’s
prescription.
• They may be licensed/registered
• Their craft is called denturism
• ADA defines denturism as the fitting and dispensing of dentures illegally to the public
• DENTAL HEALTH EDUCATOR
• This is the person who instructs in the prevention of dental disease and who may be
permitted to apply preventive agents intraorally
• In some countries, duties of some dental surgery assistants have been extended to
allow them to carry out certain preventive procedures
• In Sweden, two additional weeks of training are given, after which ancillaries are
allowed to conduct Fluoride mouthrinsing programmes to groups of school children.
• The DHE has three areas of responsibility and activity:
• patient relations
• staff relations
• community-wide education
• OPERATING AUXILLARIES
• SCHOOL DENTAL NURSE
• DENTAL THERAPIST
• DENTAL HYGIENIST
• EFDA
• SCHOOL DENTAL NURSE
• Dental nurse scheme was established in Wellington, New zealand in 1921 due to the
extensive dental disease found in army recruits during first World war .
• The man who influenced its formation was T.A Hunter, a founder of the New zealand
dental association and a pioneer in the establishment of a dental school in New
zealand.
• The name of school where they were trained was “The dominion training school for
dental nurses”
• The training extends to over a period of 2 years to cover both the reversible and
irreversible procedures
• DUTIES OF SCHOOL DENTAL NURSE
• Oral examination,Prophylaxis
• Topical fluoride application
• Advice on dietary fluoride supplements
• Administration of local anesthetic
• Cavity preparation and placement of amalgam filling in primary and permanent teeth
• Pulp capping, Extraction of primary teeth
• Individual patient instruction in tooth brushing and oral hygiene
• Classroom and parent teacher dental health education
• Referral of patient to private practitioners for more complex services such as extraction of
permanent teeth, restoration of fractured permanent incisors and orthodontic treatment
• DENTAL THERAPIST
• This is person who is permitted to carry out to the prescription of a supervising
dentist, certain specified preventive and treatment measures including the preparation
of cavities and restoration of teeth
• DUTIES:
• Clinical caries diagnosis
• Technique of cavity preparation in decidous and permanent teeth
• Material handling and restorative skills
• Vital pulpotomies under rubber dam in decidous teeth and extraction of decidous teeth
under local anaesthesia
• In the U.K, they may work in the local authority and hospital services and they are
required to carry out thier duties under the direction of a registered dentist
• DENTAL HYGIENIST
• Operating auxiliary licensed and registered
to practice dental hygiene under the laws
of the appropriate state, province, territory
or nation.
• Work under the supervision of dentists
• In 1905, Fones trained Mrs. Irene
Newmann in the procedures of dental
prophylaxis.
• Dr.Alfred Civilion Fones-father of dental
hygiene
• DENTAL HYGIENIST INDIA
• Duration of course was for a period of about seven months.
• As per Indian Dental Act of 1948, a dental hygienist means a person not being a
dentist or a medical practitioner, who scales, cleans or polishes teeth or give
instructions in dental hygiene
• Aligarh Muslim University - AMU
• Atal Bihari Vajpayee Paramedical
and Health Science
• Banaras Hindu University - BHU
• Bapuji Dental College and
Hospital
• Bareilly International University
• Delhi Paramedical and
Management Institute - DPMI
Siliguri
• Dr. DY Patil Dental College and
Hospital - DYPDCH
• EXPANDED FUNCTION DENTAL AUXILIARY(EFDA)
• Referred to as expanded function dental assistant, expanded function dental hygienist,
expanded function auxiliary, technotherapist, expanded duty dental auxiliary
• They are mostly assistants or hygienists in some case with additional training. Hence
the name expanded functions
• An EFDA is a dental assisatant or a dental hygienist in some cases who had recieved
further training in duties related to the direct treatment of patients, though still
working under the direct supervision of a dentist
• DUTIES OF EFDA
• Placing and removing rubber dams
• Placing and removing temporary restorations
• Placing and removing matrix bands
• Condensing and carving amalgam restoration in previously prepared teeth
• Applying the final finish and polish to the previously listed restorations
• Four level of training and qualification
• Certified dental assistant
• Preventive dental assistant
• Dental hygienist
• Dental hygienist with expanded duties
• Certified dental assistant
• The training course is of 8 months duration.
• The assistant was taught traditional chairside duties
• The only intraoral duty was exposing radiographs
• Preventive dental assistant
• Course duration: 3-6 weeks
• They were permitted to:
• 1)Polish the coronal portions of teeth without instrumentation
• 2)Take impressions for study models
• 3)Topically apply caries preventive agents
• 4)Place and remove rubber dams
• Dental hygienist Course duration: 8 months Permitted to :
• 1) Carry out scaling
• 2) Conduct a preliminary examination of oral cavity including taking a case history,
aperiodontal examination and recording clinical findings
• 3) Provide a coplete prophylaxis including scaling, root planing and polishing of fillings
• 4) Apply and remove a periodontal pack
• 5) Apply fissure sealants
• FRONTIER AUXILIARIES
• In developed countries, dentist remain in the urban centres and the number of areas too
distant from public or private dental offices for the inhabitants to recieve regular
comprensive care or emergency pain relief is very large
• Nurses and former dental assistants can in such areas, provide valuable service with the
minimum of training.
• -simple dental prophylaxis can be performed
• -basic dental education can be provided
• -dental first aid can be renderd in cases with pain
• -patient can be referred to the nearest dentists
• -can organise fluoride rinse programs
• -can perform simple denture repairs
• NEW AUXILIARY TYPES
• The expert committee on Auxiliary Dental Personnel of the WHO has suggested two new
types of dental auxiliaries:
• 1) Dental licentiate
• 2) Dental aide
Dental licentiate:
Semi-dependent operator
Trained for 2 years
Duties:
-Dental prophylaxis
-Cavity preparation and filling of the primary and permanent teeth
-Extractions under local anaesthesia
-Drainage of dental abcesses
-Treatment of the most prevalent diseases of supporting tissues of the teeth
-Early recognition of more serious dental conditions
• Dental aide
• Suggested in 1959
• Training period extends from 4-6 months, followed by a period of field training under
direct and constant supervision.
• Duties:
• -Extraction of teeth under local anesthesia
• -Control of hemorrhage
• -Recognition of dental diseases important enough to justify transportation of patient to
a center where proper dental care is available
• DEGREE OF SUPERVISION OF AUXILIARIES
• ADA (1975) defined four degrees of supervision of Auxiliaries
• 1) General supervision:-The dentist have authorised the procedures and they are
being carried out, inaccordance with the diagnosis and treatment plan completed by
the dentist
• 2) Indirect supervision:-The dentist is in the dental office, authorises the procedure
and remains in the dental office while the procedures are being performed by the
auxiliary
• 3) Direct supervision:- The dentist is in dental office,personally diagnosis the
condition to be treated, personally authorises the procedure and before dismissal of
the patient, evaluates the performance of the Dental Auxiliary.
• 4) Personal supervision:- The dentist is personally operating on a patient and
authorises the auxiliary to aid treatment by concurrently performing supportive
procedures
DENTAL MANPOWER IN INDIA
• India has put its dental education in shape to
meet the oral health requirements of this large
population.
• The number of dental colleges and the number
of individuals who have joined the dental
profession have expanded significantly in
India, especially in the last 15 years
• Indian population is rising by 1.31 percent per
year, the number of dentists is rising by around
8% per year.
• In India, 30,570 dentists are created annually.
However, it is astonishing to find that just 10%
of dentists serve rural people who make up
around 65.1% of the population of the country.
Jaiswal, Ashish K.; Srinivas, Pachava; Suresh, Sanikommu (2014). Dental manpower in India:
changing trends since 1920. International Dental Journal, 64(4), 213–218.
Jaiswal, Ashish K.; Srinivas, Pachava; Suresh, Sanikommu (2014). Dental manpower in India:
changing trends since 1920. International Dental Journal, 64(4), 213–218.
Vundavalli, Sudhakar (2014). Dental manpower planning in India: current scenario and future
projections for the year 2020. International Dental Journal, 64(2), 62–67.
Jaiswal, Ashish K.; Srinivas, Pachava; Suresh, Sanikommu (2014). Dental manpower in India:
changing trends since 1920. International Dental Journal, 64(4), 213–218.
Jaiswal, Ashish K.; Srinivas, Pachava; Suresh, Sanikommu (2014). Dental manpower in India:
changing trends since 1920. International Dental Journal, 64(4), 213–218.
Vundavalli, Sudhakar (2014). Dental manpower planning in India: current scenario and future
projections for the year 2020. International Dental Journal, 64(2), 62–67.
Jaiswal, Ashish K.; Srinivas, Pachava; Suresh, Sanikommu (2014). Dental manpower in India:
changing trends since 1920. International Dental Journal, 64(4), 213–218.
Vundavalli, Sudhakar (2014). Dental manpower planning in India: current scenario and future
projections for the year 2020. International Dental Journal, 64(2), 62–67.
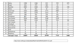
State-wise distribution of dentists 2008 – 2019
Dentist Population ratio from 2011- 2018.
Annual increase in population projections of population & dentists
(2020 – 2025).
Vundavalli, Sudhakar (2014). Dental manpower planning in India: current scenario and future
projections for the year 2020. International Dental Journal, 64(2), 62–67.
PRIMARY HEALTH CENTRES
Under the National Health Mission (NHM), Primary Health Centre (PHC) are
established to cover a population of 30,000 in rural areas and 20,000 in hilly, tribal
and desert areas.
PHCs are established to cover defined population. As per the Rural Health
Statistics-2019, as on 31.03.2019, a total of 24,855 rural PHCs and 5,190 urban
PHCs have been functional in the country.
160713 Sub
Centres
157411 rural
7821
Converted to
HWCs
3302 urban
98
• There is a significant
increase in the number of
SCs in the States of
• Rajasthan (3000)
• Gujarat (1892)
• Karnataka (1615)
• Madhya Pradesh (1352)
• Chhattisgarh (1387)
Jammu & Kashmir
(1146)
• Odisha(761)
• Tripura (433)
30045 Primary
Health Centres
24855 rural
8242
Converted to
HWCs
5190 urban
51909
• Karnataka (446)
• Gujarat (406)
• Rajasthan (369)
• Assam (336)
• Jammu &
Kashmir(288)
• Chhattisgarh (275)
5685
CHCs
5335 rural
8242
Converted to
HWCs
350 urban
51909
• Uttar Pradesh (293),
• Tamil Nadu(350)
• West Bengal (253)
• Rajasthan (245)
• Odisha (146
• Jharkhand (124)
• Kerala (121)
• There are 1022 functional CHCs in the
tribal areas as on 31st March 2019
• 4211 functional PHCs
• 28682 functional Sub Centres
CHC TUMUDIBANDHA,KANDHAMAL
PHC BELGHAR ,KANDHAMAL
https://main.mohfw.gov.in/sites/default/files/Final%20RHS%202018-19_0.pdf
https://main.mohfw.gov.in/sites/default/files/Final%20RHS%202018-19_0.pdf
https://main.mohfw.gov.in/sites/default/files/Final%20RHS%202018-19_0.pdf
https://main.mohfw.gov.in/sites/default/files/Final%20RHS%202018-19_0.pdf
https://main.mohfw.gov.in/sites/default/files/Final%20RHS%202018-19_0.pdf
https://main.mohfw.gov.in/sites/default/files/Final%20RHS%202018-19_0.pdf
https://main.mohfw.gov.in/sites/default/files/Final%20RHS%202018-19_0.pdf
https://main.mohfw.gov.in/sites/default/files/Final%20RHS%202018-19_0.pdf
https://main.mohfw.gov.in/sites/default/files/Final%20RHS%202018-19_0.pdf
https://main.mohfw.gov.in/sites/default/files/Final%20RHS%202018-19_0.pdf
CRITICAL APPRAISAL
• In 1947 there were just two colleges for a population of 350 million.
• In the next 25 years, there has been a 10-fold rise, and India currently has nearly 313
dental colleges with a population of 1.35 billion and more than 33,177 new students
enrolling for dental graduation programs every year.
• Of the over 2.7 lakh dentists registered with the Dental Council of India (DCI), the
government employs just 7,239 dentists, or only 2.7 percent, according to the
National Health Profile (NHP) 2018.
• Therefore, the average population served by a dentist employed by the government is
1.76 lakh, compared to approximately 11,082 individuals per government doctor.
CRITICAL APPRAISAL
• There will be a massive oversupply of dentists in the next 10 years; the country will
have a surplus of over 100,000 dentists.
• Moreover, the increase in the number of dentists in India exceeds the rate of
population growth by more than three times.
• Even if India joins the group of developed countries by 2020, where the dentist-to-
population ratio recommended is 1:5,000, the total number of needed dentists will be
265,218 and more than 50,000 dentists will still be over-supplied.
CRITICAL APPRAISAL
• A market-based estimate of dental manpower needs in India indicates that one dentist
will be adequate for every 13,239 individuals, and this number increases to 18,738
individuals when the assessment was made on the basis of successful demand.
RECOMMENDATIONS
• Equal distribution of dentists
• Workforce planning
• New organizational systems
• Availability of PHC Dentist
• availability of dental materials and equipments should be improved
• Certain parts of the task require top-level skill and knowledge and in dentistry, these are
called professional services. Some other parts of the task require less skill and knowledge.
These may safely and advantageously be delegated to auxiliary personnel.
• The community benefits from this sort of division of labour are that, training time for
professional personnel can be conserved, thereby saving the cost and man power to tackle
the enormous untreated disease burden of the society.
• Hence, the training of dental auxiliaries, not only helps in tackling the major problem of
the common dental diseases of the developing countries in particular, but also the
philosophy of preventive dentistry can be practiced more efficiently in the countries
suffering from financial crisis and lack of professional personnel
CONCLUSION
SUMMARY
A dentist is a person licensed to practice dentistry under the law of the appropriate state, province, territory, or nation
A dental auxiliary is a person who is given the responsibility by a dentist so that he or she can help the dentist render dental
care, but who is not himself or herself qualified with a dental degree.
DEGREES OF SUPERVISION • Auxiliaries of all types operate under varying degrees of supervision by dentists
• In 1975, American Dental Association (ADA) defined four degrees of supervision of auxiliaries as : – General supervision
– Direct supervision – Indirect supervision – Personal supervision
WHO CLASSIFICATION
NON OPERATING AUXILIARIES
a) CLINICAL - a person who assists the dentist in his clinical work but does not carry out any independent procedures in
the oral cavity.
b) LABORATORY - a person who assist the professional (dentist) by carrying out certain technical laboratory procedures.
OPERATING AUXILIARIES • This is a person who not being a professional is permitted to carry out certain treatment
procedures in the mouth under the direction and supervision of a professional. • This classification is particularly useful in
that it draws a distinction between operating and non – operating auxiliaries.
SUMMARY
REVISED CLASSIFICATION Slack GL, Burt BA (1981)
NON OPERATING AUXILIARIES
• Dental surgery assistant
• Dental secretary/ receptionist
• Dental laboratory technician
• Dental health educator
OPERATING AUXILIARIES
• School dental nurse (New Zealand type)
• Dental therapist
• Dental hygienist
• Expanded function dental auxiliaries
NEW TYPES OF DENTAL MANPOWER
• Dental licentiate
• Dental aides
• Preventive and Community Dentistry, Soben Peter(Sixth edition)
• Textbook of Preventive and Community Dentistry, S.S. Hiremath
• Dentistry, Dental Practice and the Community- Brian.A.Burt, Stephen.A.Eklund
• Textbook of Preventive Dentistry, Joseph John
• Yadav S, Rawal G. The current status of dental graduates in India. Pan Afr Med J. 2016;23:22.
Published 2016 Feb 1. doi:10.11604/pamj.2016.23.22.7381
• Jaiswal, Ashish K.; Srinivas, Pachava; Suresh, Sanikommu (2014). Dental manpower in India:
changing trends since 1920. International Dental Journal, 64(4), 213 –218.
• Dalai DR, Bhaskar DJ, Agali CR, Gupta V, Singh N, Bumb SS. Four Handed Dentistry: An
Indispensable Part for Efficient Clinical Practice. Int J Adv Health Sci. 2014; 1(1): 16 -20
• Vundavalli, Sudhakar (2014). Dental manpower planning in India: current scenario and future
projections for the year 2020. International Dental Journal, 64(2), 62 –67.
REFERENCES

DENTAL MANPOWER.pptx

  • 1.
  • 2.
    CONTENTS 1. INTRODUCTION 2. DENTIST 3.DENTAL AUXILIARIES 4. FRONTIER AUXILIARIES 5. NEW AUXILIARY TYPES 6. DEGREES OF SUPERVISION OF AUXILIARIES 7. DENTAL MANPOWER IN INDIA 8. SUMMARY 9. CONCLUSION 10.REFERENCES
  • 3.
    INTRODUCTION • MANPOWER • Thesupply of dental care available in a given area and to a certain extent also the demand for dental care are linked with the number of people in the dental profession and the way they make use of the time . • The dentist themselves of course at the most important people to consider but in order to go watch the total output we must also consider the auxiliaries • The vision of the dental team is one of various people in dentistry with different – Roles – Functions – Period of training all working together to treat patients. • Health care systems depend not only upon infrastructure and resources, but also on the availability of skilled human resources. Dental Needs,Resources and Objectives.Dunning
  • 4.
    INTRODUCTION • WHO Definition(1958) -Auxiliary is a technical worker in a certain field with less than full professional training. • A dental auxiliary can be defined as ‘A person who is given responsibilities by a dentist so that he or she can help the dentists render dental care, but who is not himself or herself qualified with a dental degree’. -Slack (1960) • The duties undertaken by dental ancillaries range from simple tasks such as sorting instruments to relatively complex procedures which form part of the treatment of patients.
  • 5.
    INTRODUCTION • In U.Kthe corresponding generic term is used called “Dental Ancillary” • The word auxiliary means being helpful, subsidiary; whereas ancillary means subservient, subordinate.
  • 6.
    DENTIST A dentist isa person licensed to practice dentistry under the law of the appropriate state, province, territory, or nation. Qualifications :- 1. completion of an approved period of professional education in an approved institution. 2. demonstration of competence
  • 7.
    DENTIST • DUTIES • Theyare legally entitled to treat patients independently • To prescribe certain drugs • To employ and supervise auxiliary personnel. • REGISTRATION OF DENTISTS • Dentists must be registered • Registration is the process by which, qualified individuals are listed on an official roster, maintained by a government or non- governmental agency
  • 8.
  • 9.
    DENTAL AUXILLARIES A dental auxiliaryis a person who is given the responsibility by a dentist so that he or she can help the dentist render dental care, but who is not himself or herself qualified with a dental degree. The duties undertaken by dental auxiliaries range from simple tasks such as sorting instruments to relatively complex procedures which form part of the treatment of patients.
  • 10.
    DENTAL AUXILLARIES CLASSIFICATION Dental AuxillariesWHO- 1967 Operating Clinical Laboratory Non -Operating Revised Classification Slack GL, Burt BA (1981 Operating School Dental Nurse Dental therapist Dental Hygienist EFDA Non Operating Dental Surgey Assistant Dental Secretary Lab Technician Heath Educator
  • 11.
    DENTAL SURGERY ASSISTANT •HISTORY OF DENTALASSISSTANT: • The introduction of anaesthesia in dentistry after 1850 is one of the reasons for dentists requiring the presence of an dental assistant and to act as a helper one for female patient. • In 1885, Dr. Edmund Kells of New Orleans hired the first woman dental assistant to replace his male "helper". • This aptly-named "lady in attendance" made it acceptable for a respectable woman to seek dental treatment
  • 12.
    DENTAL SURGERY ASSISTANT Dr.Kells then realized that the "lady in attendance" could be helpful in office duties, as well as in facilitating dental health care delivery for women. • By 1890, he routinely employed women as both chair side and secretarial assistants. In 1921, Juliette A. Southard organized dental assistants into the Educational and Efficiency Society. American Dental Assistants Association (ADAA)
  • 13.
    DENTAL SURGERY ASSISTANT Acurriculum committee was organized in 1930 to develop courses and to provide training By 1943, the ADAA had determined that sound preparation was key to successful dental assisting practice In 1944, the Certification Committee was established to promote standards and to craft a certification examination for dental assistants. The Certifying Board of the ADAA was formed in 1948 Dental Assisting National Board (DANB), joined the National Commission for Health Certifying Agencies in 1979.
  • 14.
    DENTAL SURGERY ASSISTANT •A non operating auxiliary who assists the dentist or dental hygienist in treating patients, but who is not legally permitted to treat patient independently. • May only work under the supervision of a licensed dentist carrying out duties prescribed by the dentist or by a dental hygienist employed by the dentist. • Dental assistant • Chair side dental assistant • Dental nurse
  • 15.
    DENTAL SURGERY ASSISTANT •Duties of dental assistant • Preparation of the patient for any treatment he/she may need • Preparation and provision of all necessary facilities such as mouth washes and napkins • Sterilization, care, and preparation of instruments • Preparation and mixing of restorative materials including both filling and impression materials • Care of the patient after treatment until he/she leaves including clearing away of insruments and preparation of instruments for reuse • Preparation of surgery for the next patient
  • 16.
    FOUR HANDED DENTISTRY •Introduction • Principles • Basic tenets • Motion Economy • Zones of Activity • Strategies to ensure effective fourhanded dentistry
  • 17.
    FOUR HANDED DENTISTRY •With increased use of dental surgery assistant, a new concept had emerged in 1960’s, called the four handed dentisry • It is the art of seating both the dentist and dental assistant in such a way that both are with in easy reach of the the patient’s mouth. • The assistant will hand the particular instrument that the dentist need • additional tasks such as retraction, aspiritation... • The dentist can thus keep his hands and eyes in the field of operation and work with less fatigue and greater efficiency • A dental assistant is not required to be legally certified, registered or licenced or to have completed any particular duration of education
  • 18.
    • PRINCIPLES • 1.Any sort of operation being done in a seated position. • 2. Utilizing the skills if the dental assistant is skilled. • 3. Organising every component of the practice. • 4. Simplifying all tasks to the maximum.
  • 19.
    • Basic tenetsof four-handed dentistry • 1. To minimize unnecessary motion, equipment’s • must be ergonomically designed. • 2. Both the operating team and the patient should be comfortably seated
  • 20.
    • 3. Practiceof motion economy should be done. • 4. Pre-set cassettes/trays are utilized. • 5. The dentist assigns all legally delegable duties to qualified auxiliaries based on the state’s guidelines. • 6. Treatment Plan of the patient is designed in advance in a logical sequence.
  • 21.
    • Principles ofMotion Economy • Motion economy refers to the manner in which • human energy can be conserved while performing a task. • The objective in all areas of the dental office, clinical, business or laboratory setting,should be to minimize the number and magnitude of motions and conserve energy while working.
  • 22.
    • Classification ofMotion • Motions can be classified into five categories according to the length of the motion
  • 24.
    • The fourzones are: • a) Operator’s zone, • b) Assistant’s zone, • c) Transfer zone, • d) Static zone. • The operator changes position depending upon the dental arch and tooth being treated.
  • 25.
    • Strategies toensure effective fourhanded dentistry: • a) Teamwork: • For effective application of true four handed dentistry each member of the dental team must assume personal as well as team responsibilities. • The team must be aware of each other’s needs, recognize the need to reposition the patient and operating team, as necessary, to reduce strain, improve access and visibility, and reduce unnecessary movement by transferring instruments only within the transfer zone.
  • 26.
    • Strategies toensure effective fourhanded dentistry: • B) Strategies for the Operator: • For basic dental procedures, a standardised routine must be followed involving a non- verbal signal during exchange of instruments and when necessary a distinct verbal direction to communicate. • The dentist/ operator must be willing to accept input from the assistant as it is noted that chair positions need to be adjusted.
  • 27.
    • Strategies toensure effective fourhanded dentistry: • C) Strategies for the Dental Assistant: • The clinical assistant must develop a thorough understanding of the procedure, recognize the patient’s needs, anticipate the operator’s need, and recognize any change in the procedure. • During the procedure the assistant should be seated as close to the patient as possible with legs parallel to the long axis of the patient’s body. • The assistant must be alert to changes in position of the dentist and determine a non verbal signal to indicate to him or her that chair positioning needs to be improved.
  • 28.
  • 29.
    • DENTAL SECRETARY/RECEPTIONIST •This is a person who assist the dentist with his secretarial work and patient reception duties.
  • 30.
    • DENTAL LABORATORYTECHNICIAN • Fullfills the presciption provided by dentist regarding the extraoral construction and repair of oral applliances and bridge work • Also called as dental mechanic • The formal training period covers as much as 2 years. • Eligibility-Matriculation,Minimum 15 years ,Medically fit • DUTIES • Casting of models from impressions made by the dentist • Include the fabrication of dentures, splints, orthodontic • appliance, inlays, crowns and special trays
  • 31.
    • Denturist : •Term applied to those dental lab technicians who are permitted in some states in the US and elsewhere to fabricate dentures directly for patients without a dentist’s prescription. • They may be licensed/registered • Their craft is called denturism • ADA defines denturism as the fitting and dispensing of dentures illegally to the public
  • 33.
    • DENTAL HEALTHEDUCATOR • This is the person who instructs in the prevention of dental disease and who may be permitted to apply preventive agents intraorally • In some countries, duties of some dental surgery assistants have been extended to allow them to carry out certain preventive procedures • In Sweden, two additional weeks of training are given, after which ancillaries are allowed to conduct Fluoride mouthrinsing programmes to groups of school children. • The DHE has three areas of responsibility and activity: • patient relations • staff relations • community-wide education
  • 34.
    • OPERATING AUXILLARIES •SCHOOL DENTAL NURSE • DENTAL THERAPIST • DENTAL HYGIENIST • EFDA
  • 35.
    • SCHOOL DENTALNURSE • Dental nurse scheme was established in Wellington, New zealand in 1921 due to the extensive dental disease found in army recruits during first World war . • The man who influenced its formation was T.A Hunter, a founder of the New zealand dental association and a pioneer in the establishment of a dental school in New zealand. • The name of school where they were trained was “The dominion training school for dental nurses” • The training extends to over a period of 2 years to cover both the reversible and irreversible procedures
  • 36.
    • DUTIES OFSCHOOL DENTAL NURSE • Oral examination,Prophylaxis • Topical fluoride application • Advice on dietary fluoride supplements • Administration of local anesthetic • Cavity preparation and placement of amalgam filling in primary and permanent teeth • Pulp capping, Extraction of primary teeth • Individual patient instruction in tooth brushing and oral hygiene • Classroom and parent teacher dental health education • Referral of patient to private practitioners for more complex services such as extraction of permanent teeth, restoration of fractured permanent incisors and orthodontic treatment
  • 38.
    • DENTAL THERAPIST •This is person who is permitted to carry out to the prescription of a supervising dentist, certain specified preventive and treatment measures including the preparation of cavities and restoration of teeth • DUTIES: • Clinical caries diagnosis • Technique of cavity preparation in decidous and permanent teeth • Material handling and restorative skills • Vital pulpotomies under rubber dam in decidous teeth and extraction of decidous teeth under local anaesthesia • In the U.K, they may work in the local authority and hospital services and they are required to carry out thier duties under the direction of a registered dentist
  • 39.
    • DENTAL HYGIENIST •Operating auxiliary licensed and registered to practice dental hygiene under the laws of the appropriate state, province, territory or nation. • Work under the supervision of dentists • In 1905, Fones trained Mrs. Irene Newmann in the procedures of dental prophylaxis. • Dr.Alfred Civilion Fones-father of dental hygiene
  • 40.
    • DENTAL HYGIENISTINDIA • Duration of course was for a period of about seven months. • As per Indian Dental Act of 1948, a dental hygienist means a person not being a dentist or a medical practitioner, who scales, cleans or polishes teeth or give instructions in dental hygiene
  • 41.
    • Aligarh MuslimUniversity - AMU • Atal Bihari Vajpayee Paramedical and Health Science • Banaras Hindu University - BHU • Bapuji Dental College and Hospital • Bareilly International University • Delhi Paramedical and Management Institute - DPMI Siliguri • Dr. DY Patil Dental College and Hospital - DYPDCH
  • 42.
    • EXPANDED FUNCTIONDENTAL AUXILIARY(EFDA) • Referred to as expanded function dental assistant, expanded function dental hygienist, expanded function auxiliary, technotherapist, expanded duty dental auxiliary • They are mostly assistants or hygienists in some case with additional training. Hence the name expanded functions • An EFDA is a dental assisatant or a dental hygienist in some cases who had recieved further training in duties related to the direct treatment of patients, though still working under the direct supervision of a dentist
  • 43.
    • DUTIES OFEFDA • Placing and removing rubber dams • Placing and removing temporary restorations • Placing and removing matrix bands • Condensing and carving amalgam restoration in previously prepared teeth • Applying the final finish and polish to the previously listed restorations • Four level of training and qualification • Certified dental assistant • Preventive dental assistant • Dental hygienist • Dental hygienist with expanded duties
  • 44.
    • Certified dentalassistant • The training course is of 8 months duration. • The assistant was taught traditional chairside duties • The only intraoral duty was exposing radiographs • Preventive dental assistant • Course duration: 3-6 weeks • They were permitted to: • 1)Polish the coronal portions of teeth without instrumentation • 2)Take impressions for study models • 3)Topically apply caries preventive agents • 4)Place and remove rubber dams
  • 45.
    • Dental hygienistCourse duration: 8 months Permitted to : • 1) Carry out scaling • 2) Conduct a preliminary examination of oral cavity including taking a case history, aperiodontal examination and recording clinical findings • 3) Provide a coplete prophylaxis including scaling, root planing and polishing of fillings • 4) Apply and remove a periodontal pack • 5) Apply fissure sealants
  • 46.
    • FRONTIER AUXILIARIES •In developed countries, dentist remain in the urban centres and the number of areas too distant from public or private dental offices for the inhabitants to recieve regular comprensive care or emergency pain relief is very large • Nurses and former dental assistants can in such areas, provide valuable service with the minimum of training. • -simple dental prophylaxis can be performed • -basic dental education can be provided • -dental first aid can be renderd in cases with pain • -patient can be referred to the nearest dentists • -can organise fluoride rinse programs • -can perform simple denture repairs
  • 47.
    • NEW AUXILIARYTYPES • The expert committee on Auxiliary Dental Personnel of the WHO has suggested two new types of dental auxiliaries: • 1) Dental licentiate • 2) Dental aide Dental licentiate: Semi-dependent operator Trained for 2 years Duties: -Dental prophylaxis -Cavity preparation and filling of the primary and permanent teeth -Extractions under local anaesthesia -Drainage of dental abcesses -Treatment of the most prevalent diseases of supporting tissues of the teeth -Early recognition of more serious dental conditions
  • 48.
    • Dental aide •Suggested in 1959 • Training period extends from 4-6 months, followed by a period of field training under direct and constant supervision. • Duties: • -Extraction of teeth under local anesthesia • -Control of hemorrhage • -Recognition of dental diseases important enough to justify transportation of patient to a center where proper dental care is available
  • 49.
    • DEGREE OFSUPERVISION OF AUXILIARIES • ADA (1975) defined four degrees of supervision of Auxiliaries • 1) General supervision:-The dentist have authorised the procedures and they are being carried out, inaccordance with the diagnosis and treatment plan completed by the dentist • 2) Indirect supervision:-The dentist is in the dental office, authorises the procedure and remains in the dental office while the procedures are being performed by the auxiliary • 3) Direct supervision:- The dentist is in dental office,personally diagnosis the condition to be treated, personally authorises the procedure and before dismissal of the patient, evaluates the performance of the Dental Auxiliary. • 4) Personal supervision:- The dentist is personally operating on a patient and authorises the auxiliary to aid treatment by concurrently performing supportive procedures
  • 50.
    DENTAL MANPOWER ININDIA • India has put its dental education in shape to meet the oral health requirements of this large population. • The number of dental colleges and the number of individuals who have joined the dental profession have expanded significantly in India, especially in the last 15 years • Indian population is rising by 1.31 percent per year, the number of dentists is rising by around 8% per year. • In India, 30,570 dentists are created annually. However, it is astonishing to find that just 10% of dentists serve rural people who make up around 65.1% of the population of the country.
  • 51.
    Jaiswal, Ashish K.;Srinivas, Pachava; Suresh, Sanikommu (2014). Dental manpower in India: changing trends since 1920. International Dental Journal, 64(4), 213–218.
  • 52.
    Jaiswal, Ashish K.;Srinivas, Pachava; Suresh, Sanikommu (2014). Dental manpower in India: changing trends since 1920. International Dental Journal, 64(4), 213–218.
  • 53.
    Vundavalli, Sudhakar (2014).Dental manpower planning in India: current scenario and future projections for the year 2020. International Dental Journal, 64(2), 62–67.
  • 54.
    Jaiswal, Ashish K.;Srinivas, Pachava; Suresh, Sanikommu (2014). Dental manpower in India: changing trends since 1920. International Dental Journal, 64(4), 213–218.
  • 55.
    Jaiswal, Ashish K.;Srinivas, Pachava; Suresh, Sanikommu (2014). Dental manpower in India: changing trends since 1920. International Dental Journal, 64(4), 213–218.
  • 56.
    Vundavalli, Sudhakar (2014).Dental manpower planning in India: current scenario and future projections for the year 2020. International Dental Journal, 64(2), 62–67.
  • 57.
    Jaiswal, Ashish K.;Srinivas, Pachava; Suresh, Sanikommu (2014). Dental manpower in India: changing trends since 1920. International Dental Journal, 64(4), 213–218.
  • 58.
    Vundavalli, Sudhakar (2014).Dental manpower planning in India: current scenario and future projections for the year 2020. International Dental Journal, 64(2), 62–67.
  • 62.
    State-wise distribution ofdentists 2008 – 2019
  • 64.
    Dentist Population ratiofrom 2011- 2018.
  • 65.
    Annual increase inpopulation projections of population & dentists (2020 – 2025). Vundavalli, Sudhakar (2014). Dental manpower planning in India: current scenario and future projections for the year 2020. International Dental Journal, 64(2), 62–67.
  • 67.
    PRIMARY HEALTH CENTRES Underthe National Health Mission (NHM), Primary Health Centre (PHC) are established to cover a population of 30,000 in rural areas and 20,000 in hilly, tribal and desert areas. PHCs are established to cover defined population. As per the Rural Health Statistics-2019, as on 31.03.2019, a total of 24,855 rural PHCs and 5,190 urban PHCs have been functional in the country.
  • 68.
    160713 Sub Centres 157411 rural 7821 Convertedto HWCs 3302 urban 98 • There is a significant increase in the number of SCs in the States of • Rajasthan (3000) • Gujarat (1892) • Karnataka (1615) • Madhya Pradesh (1352) • Chhattisgarh (1387) Jammu & Kashmir (1146) • Odisha(761) • Tripura (433)
  • 69.
    30045 Primary Health Centres 24855rural 8242 Converted to HWCs 5190 urban 51909 • Karnataka (446) • Gujarat (406) • Rajasthan (369) • Assam (336) • Jammu & Kashmir(288) • Chhattisgarh (275)
  • 70.
    5685 CHCs 5335 rural 8242 Converted to HWCs 350urban 51909 • Uttar Pradesh (293), • Tamil Nadu(350) • West Bengal (253) • Rajasthan (245) • Odisha (146 • Jharkhand (124) • Kerala (121)
  • 71.
    • There are1022 functional CHCs in the tribal areas as on 31st March 2019 • 4211 functional PHCs • 28682 functional Sub Centres CHC TUMUDIBANDHA,KANDHAMAL PHC BELGHAR ,KANDHAMAL
  • 76.
  • 77.
  • 78.
  • 79.
  • 80.
  • 81.
  • 82.
  • 83.
  • 84.
  • 85.
  • 86.
    CRITICAL APPRAISAL • In1947 there were just two colleges for a population of 350 million. • In the next 25 years, there has been a 10-fold rise, and India currently has nearly 313 dental colleges with a population of 1.35 billion and more than 33,177 new students enrolling for dental graduation programs every year. • Of the over 2.7 lakh dentists registered with the Dental Council of India (DCI), the government employs just 7,239 dentists, or only 2.7 percent, according to the National Health Profile (NHP) 2018. • Therefore, the average population served by a dentist employed by the government is 1.76 lakh, compared to approximately 11,082 individuals per government doctor.
  • 87.
    CRITICAL APPRAISAL • Therewill be a massive oversupply of dentists in the next 10 years; the country will have a surplus of over 100,000 dentists. • Moreover, the increase in the number of dentists in India exceeds the rate of population growth by more than three times. • Even if India joins the group of developed countries by 2020, where the dentist-to- population ratio recommended is 1:5,000, the total number of needed dentists will be 265,218 and more than 50,000 dentists will still be over-supplied.
  • 88.
    CRITICAL APPRAISAL • Amarket-based estimate of dental manpower needs in India indicates that one dentist will be adequate for every 13,239 individuals, and this number increases to 18,738 individuals when the assessment was made on the basis of successful demand. RECOMMENDATIONS • Equal distribution of dentists • Workforce planning • New organizational systems • Availability of PHC Dentist • availability of dental materials and equipments should be improved
  • 89.
    • Certain partsof the task require top-level skill and knowledge and in dentistry, these are called professional services. Some other parts of the task require less skill and knowledge. These may safely and advantageously be delegated to auxiliary personnel. • The community benefits from this sort of division of labour are that, training time for professional personnel can be conserved, thereby saving the cost and man power to tackle the enormous untreated disease burden of the society. • Hence, the training of dental auxiliaries, not only helps in tackling the major problem of the common dental diseases of the developing countries in particular, but also the philosophy of preventive dentistry can be practiced more efficiently in the countries suffering from financial crisis and lack of professional personnel CONCLUSION
  • 90.
    SUMMARY A dentist isa person licensed to practice dentistry under the law of the appropriate state, province, territory, or nation A dental auxiliary is a person who is given the responsibility by a dentist so that he or she can help the dentist render dental care, but who is not himself or herself qualified with a dental degree. DEGREES OF SUPERVISION • Auxiliaries of all types operate under varying degrees of supervision by dentists • In 1975, American Dental Association (ADA) defined four degrees of supervision of auxiliaries as : – General supervision – Direct supervision – Indirect supervision – Personal supervision WHO CLASSIFICATION NON OPERATING AUXILIARIES a) CLINICAL - a person who assists the dentist in his clinical work but does not carry out any independent procedures in the oral cavity. b) LABORATORY - a person who assist the professional (dentist) by carrying out certain technical laboratory procedures. OPERATING AUXILIARIES • This is a person who not being a professional is permitted to carry out certain treatment procedures in the mouth under the direction and supervision of a professional. • This classification is particularly useful in that it draws a distinction between operating and non – operating auxiliaries.
  • 91.
    SUMMARY REVISED CLASSIFICATION SlackGL, Burt BA (1981) NON OPERATING AUXILIARIES • Dental surgery assistant • Dental secretary/ receptionist • Dental laboratory technician • Dental health educator OPERATING AUXILIARIES • School dental nurse (New Zealand type) • Dental therapist • Dental hygienist • Expanded function dental auxiliaries NEW TYPES OF DENTAL MANPOWER • Dental licentiate • Dental aides
  • 92.
    • Preventive andCommunity Dentistry, Soben Peter(Sixth edition) • Textbook of Preventive and Community Dentistry, S.S. Hiremath • Dentistry, Dental Practice and the Community- Brian.A.Burt, Stephen.A.Eklund • Textbook of Preventive Dentistry, Joseph John • Yadav S, Rawal G. The current status of dental graduates in India. Pan Afr Med J. 2016;23:22. Published 2016 Feb 1. doi:10.11604/pamj.2016.23.22.7381 • Jaiswal, Ashish K.; Srinivas, Pachava; Suresh, Sanikommu (2014). Dental manpower in India: changing trends since 1920. International Dental Journal, 64(4), 213 –218. • Dalai DR, Bhaskar DJ, Agali CR, Gupta V, Singh N, Bumb SS. Four Handed Dentistry: An Indispensable Part for Efficient Clinical Practice. Int J Adv Health Sci. 2014; 1(1): 16 -20 • Vundavalli, Sudhakar (2014). Dental manpower planning in India: current scenario and future projections for the year 2020. International Dental Journal, 64(2), 62 –67. REFERENCES