- 1 -
Crew Resource Management: An Inquiry in to the Differences
Between F/A-18 C and F/A-18D Aircrew
Presented to the Faculty of the
School of Business and Management
of
National University
In Partial Fulfillment of the Requirements
For the Degree of
Masters of Science in Organizational Leadership
By
Raymond J. Scholl
November 18, 2006
- 2 -
Abstract
Historically, research investigating group dynamics of aircraft cockpits has been conducted in
the commercial aviation industry; little research has examined the high risk environments faced
by military aircrews, especially in the F/A-18 “Hornet”. Flying the F/A-18 is a high risk activity;
aircrew are expected to fly out of their comfort zone and voluntarily put themselves in harms
way while striking a balance between mission accomplishment and safety. Intra-cockpit conflict
and poor communication could threaten the lives of aircrew and result in mission failure. This
paper examines whether there is a difference between F/A-18C pilots and F/A-18D aircrew
along the dimensions of authority, teamwork, leadership, and safety, and discusses the
implications differing values could have on safety of flight. Data collection and analyses are used
to help readers gain an understanding of what leadership concepts and skills are valued by
aircrew that operate in high risk environments.
- 3 -
Copyright
Copyright © 2006 by Raymond J. Scholl
All Rights Reserved
- 4 -
Masters Thesis Approval
The following project has met the approval of faculty for quality and scholarship as a
culminating experience for the fulfillment of the Master of Science Degree in Organizational
Leadership:
Type of project ____Comparative Study ____Applied Business Research
_X_ Thesis ____Case Study
Title: Crew Resource Management: An Inquiry in to the Differences Between F/A-18 C and
F/A-18D Aircrew
Approved by:
Julia Buchanan, MA _______________________________________ ______
Lead Faculty, MSOL signature date
- 5 -
Dedication
To my wife Amy, you could probably tell the reader more about this research than I can. Thanks
for listening and for your patience.
- 6 -
Acknowledgements
Several people have been involved in the evolution of this project. I would like to thank
Julia Buchanan, M.A. for her guidance throughout the development and implementation of this
project and her dedication to experiential learning. Additionally, this project would not have
been possible without the participation of several Marine Pilots and WSOs who took time from
their training and administrative duties to participate in my research. Finally, I would like to
thank my brother, Peter F. Scholl Ph.D., for his counsel and sage advice.
- 7 -
Appendices
Appendix A…...……….…………………………………………………………………45
Appendix B...……….……………………………………………………………………47
Appendix C…...……….…………………………………………………………………49
- 8 -
Table of Contents
Abstract……………………………………………………………………………………ii
Copyright…………………………………………………………………………………iii
Master’s Thesis Approval…………………………………………………………...…....iv
Dedication…………………………………………………………………………………v
Acknowledgements……………………………………………………………………….vi
List of Appendices.............................................................................................................vii
IRB Approval Letter……………………………………………………………………viii
Table of Contents……………………………………………………………………….. ix
Chapter 1…………………………………………………………………………..1
Chapter 2…………………………………………………………………………..7
Chapter 3…………………………………………………………………………19
Chapter 4…………………………………………………………………………25
Chapter 5…………………………………………………………………………32
References………………………………………………………………………..41
Appendices……………………………………………………………………….44
- 9 -
Chapter One
Background
The dawn of the jet age in the early 1950s had a positive effect on the aviation industry.
New aircraft technology resulted in the multipiloted aircraft as the norm for aviation operations.
The advent of jet engine technology also greatly reduced the number of aviation mishaps due to
mechanical failure; however, the degree to which human error caused mishaps became more
apparent (Milanovich, Driskell, Stout, and Salas, 1998).
Until the 1980s, little research examined group dynamics in aircraft cockpits. Until this
time, aviation psychology emphasized the performance and proficiency of individual pilots
(Milanovich et al., 1998). The recruitment of pilots focused on individual technical skills and
abilities. Crews fly planes, however little attention has been paid to aircrew interactions and
interpersonal skills, which could foster teamwork and produce effective error management
(Fraher, 2005a). The aviation industry assumed that crews, composed of intelligent well-trained
individuals, could operate a technically sophisticated aircraft safely in multiple complex
environments (Helmreich and Foushee, 1993). However, from 1980 to 1997 “…60%-80% of
aviation incidents and accidents were attributable to human error in the cockpit” (Fraher, 2005b;
Salas et al., 1999, p.161). The aviation community’s assumptions regarding accident prevention,
individual competencies, and teamwork did not hold true.
For instance, in 1972 Eastern Airlines Flight 401 crashed in Florida killing all 104 people
on board (Fraher, 2005b). A light bulb that had burned out in the landing gear handle distracted
the aircrew. While the crew continued to troubleshoot the anomaly, the aircraft began a slow
insidious descent. Despite several inquiries from air traffic control regarding the aircraft’s
altitude the airplane continued a descent until it impacted the ground (Fraher, 2005b).
- 10 -
In response to numerous examples of airline mishaps caused by human error in the
cockpit, the airline industry acknowledged the human element to such disasters. Researchers
began to investigate how to train highly skilled individual crewmembers to work together as an
effective team (Wiener, Kanki, and Helmreich, 1993). An intervention designed to improve
aircrew performance and enhance teamwork within the cockpit was created; it is referred to as
crew resource management (CRM) (Salas et al., 1999). Salas et al. (1999) cited Lauber (1984)
who described CRM as “…using all available resources –information, equipment, and people-to
achieve safe and efficient flight operations” (p.162). Salas added that CRM also includes
optimizing the “acquisition of timely, appropriate information” as well as engaging in
“…interpersonal activities including leadership, effective team formation and maintenance,
problem solving, decision making, and maintaining situational awareness” (Salas et al., 1999,
p.162).
The Department of the Navy, which includes both the Navy and Marine Corps, has also
experienced high aircraft loses due to human error in the cockpit. A study of naval aviation
mishaps ranging from 1990 to 1999, conducted by the Naval Safety Center, found that 60% of
mishaps had at least one CRM failure (Hepfer and Gillian, 2000). Prior to 1990, the U.S. military
“…had no significant research effort aimed at investigating cockpit interaction and resource
use…” (Prince and Salas, 1993, p. 338). Witnessing the success the commercial airline industry
demonstrated with CRM, the military initiated research to develop a CRM program in 1989. The
military’s objective was to reduce high mishap rates resulting from failures in communication,
teamwork, decision-making, and leadership within the cockpit. Additionally, the military hoped
that CRM would increase mission effectiveness for aviation operations (Prince and Salas, 1993).
The Office of the Chief of Naval Operations Instruction (OPNAVINST) 3710.7T is a
- 11 -
U.S. Navy publication that provides guidance and direction to naval aviation activities and
aircrew. OPNAV 3710.7T (2004) states that:
The objective of the Aircrew Coordination Training (CRM) Program is to integrate the
instruction of specifically defined behavioral skills throughout Navy and Marine Corps
aviation training, and to integrate the effective application of these behavioral skills into
operational aviation procedures wherever appropriate. CRM will increase mission
effectiveness, minimize crew preventable error, maximize aircrew coordination, and
optimize risk management. (p.3-11)
In the military context, CRM is a philosophy that focuses on teamwork and the leadership
dynamics of effectively operating an aircraft as well as the prevention and management of error.
In the Navy and Marine Corps CRM is also known as aircrew coordination training (ACT). An
element of CRM is crew coordination, which reinforces the need for teamwork and effective
communication within the cockpit.
Limitations of Existing Research
CRM research has focused on civilian commercial aviation. Although the military has
benefited from previous studies of CRM, there are fundamental differences between military and
civil aviation that must be addressed in any CRM training.
In civilian aviation flight safety is paramount and part of the business model for the
airlines; civilian carriers are in the business of safely transporting people and cargo (Prince and
Salas, 1993). In the military tactical aviation requires aircrew to prepare for combat. Military
aircrew are expected to fly out of their comfort zones and voluntarily put themselves in harms
way while striking a balance between mission accomplishment and safety (Prince and Salas,
1993). This process requires detailed coordination between crewmembers and external agencies,
- 12 -
prior to and during flight. Additionally, while in the cockpit military aircrews must adapt to
distinctions in rank, qualifications, currency, and proficiency (Prince and Salas, 1993).
An additional limitation exists in the way in which the Navy and Marine Corps have
utilized CRM. The Navy’s intent was to create an awareness and understanding of several
critical behavioral skills that would enable aircrew to tactically, and safely, operate aircraft.
Despite the Navy’s best intentions, its curriculum is static and lacks specificity. The CRM
program is not aircraft type, model, or series specific; prescribed behavioral skills are taught to
all aircrew throughout the Navy and Marine Corps regardless of which aircraft they fly. Even
though cargo, transport, helicopter, and tactical jets crews are tasked with disparate missions,
aircraft and mission specific CRM has not formally been addressed.
Purpose
To maintain combat readiness the U.S. Marine Corps maintains several squadrons of the
F/A-18, also known as the Hornet. The USMC operates two versions of the aircraft; one is a
single seat model, known as the F/A-18C. The other aircraft is a two-seat variant designated the
F/A-18D. F/A-18C and D models are designed to be fighter attack aircraft, which serve multiple
roles as bombing platforms and as aerial fighters. Marine F/A-18C squadrons are identified by
the acronym VMFA which stands for Marine Fixed Wing Fighter Attack Squadron. Marine F/A-
18D squadrons are identified using the acronym VMFA (AW), which stands for Marine Fixed
Wing All Weather Fighter Attack Squadron. F/A-18 pilots are trained to be Hornet pilots;
academic and flight instruction does not differ between models. At different points in a Marine
F/A-18 pilot’s career, it is possible for him/her to be assigned to a single seat and two-seat
squadron. Unless a single seat pilot has been previously assigned to a VMFA (AW), they are
unlikely to be familiar with the team dynamics required in an F/A-18D. In the rear cockpit of the
- 13 -
F/A-18D sits a Weapon and Sensors Officer (WSO), not a pilot. A WSO’s mission is to provide
weapons and sensor cuing to targets, as well as facilitate communications to external agencies
while operating in extremely demanding conditions. CRM and crew coordination are essential
elements for aircrew operating the F/A-18D.
Flying the Hornet is a high-risk activity, inter-cockpit conflict and maladaptive
behavioral skills can threaten the lives of both aircrew. If the unique group dynamics of a D
cockpit are not understood or considered by a pilot, new to the two-seat environment, then issues
of authority, leadership, and trust may develop. Intra-cockpit conflict in a high-risk environment
will undermine the ability for a crew to work as a team, inhibit effective communication, hinder
situational awareness, limit a crew’s ability to remain adaptable and flexible, negatively impact
aircrew performance, and could compromise the safety of a crew and mission accomplishment.
The goal of the subsequent research is to answer the question: are attitudes regarding
authority, teamwork, leadership, and safety different between F/A-18C pilots and F/A-18D
aircrew (pilots and WSOs)? Although all of the aircrew identified for the survey have received
CRM training in accordance with OPNAVINST 3710.7T, attitudes regarding each of the four
dimensions is expected to be different among F/A-18C and F/A-18 D aircrew. Different opinions
regarding the importance of the four dimensions could create interpersonal conflict within the
cockpit, which has implications for safety of flight and mission effectiveness. This inquiry is
significant because this question has not been addressed in the Hornet community.
For the purpose of this research leadership will be defined using the OPNAVINST
3710.7T definition which states it is “the ability to direct and coordinate the activities of other
crew members and to encourage the crew to work together as a team” (2004, p.3-12). Authority
is defined as “power legitimated by a team in an individual to perform a service on its behalf”
- 14 -
(Fraher, 2005a, p.16). Teamwork is the collaboration of two or more people, with specific roles
and functions, in order to achieve a goal (Johnson and Johnson, 2006). Safety will be regarded as
protection from harm or injury.
Summary
Aviation is a high-risk activity, a lack of attention to detail while airborne, poor
communication, poor leadership, or a disregard for safety can result in mission failure and the
loss life. The development of crew resource management has vastly improved commercial and
military aviation; as well as significantly reduced the number of fatal mishaps. Despite the
abundance of studies examining CRM and group dynamics in civil aviation, research
investigating CRM in the military has been sparse; little research has been conducted in the
tactical aviation community. Since the operational debut of the F/A-18, no research has been
published which examines the difference in attitudes of aircrew toward CRM and the social
structures which underlie it.
- 15 -
Chapter 2
Literature Review
Although there is little to no scholarly research that investigates crew resource
management in the F/A-18D cockpit, a review of existing CRM research and literature regarding
teamwork, authority, and leadership, should provide the reader with a basic understanding of the
complex social process that occur in this high-risk environment. Communication and decision
making have a persistent influence in how individuals engage in CRM; each element will be
addressed as it pertains to the three dimensions.
Teamwork.
A flight crew, also known as aircrew, constitutes a group (Ginnett, 1993). Ginnett (1993)
described the culture in the United States as individualistic, and stated that it does not easily lend
itself to group concepts or issues. As a result, the U.S. work force in many occupational
environments has had difficulty “making the transition from individual work to group work”
(Ginnett, 1993, p.71). In assessing the history of aviation Ginnett (1993) and Fraher (2005a)
pointed out that since humans first took to the sky in planes a flight student’s goal has been to fly
solo. Helmreich (1998) described the archetypal pilot as the lone man who braved the elements
with “imperturbable competence” (p.28). Ginnett (1993) stated that the airline industry has been
primarily interested in individual qualifications and performance when conducting evaluations,
even when training pilots to fly in a crew served cockpit. He also argued that flight training must
discontinue its individual focus.
Johnson and Johnson (2006) defined a team as “a set of interpersonal interactions
structured to achieve established goals” (p.532). The authors described teams as having limited
life spans and maintained that team members are aware of their positive interdependence as they
- 16 -
attempt to accomplish clearly defined goals (Johnson and Johnson, 2006, Fraher 2005a).
Additionally, Fraher (2005a) stated that teams “organize themselves in a systemic way”; team
members have specific roles and functions and understand the importance of their contributions
(p.11). While working towards goals, team members share leadership responsibilities and
individual accountability is maintained as they engage in problem solving (Fraher 2005a;
Johnson and Johnson, 2006). The result of a team effort is an outcome that is greater than the
sum of its parts (Johnson and Johnson, 2006, p.533).
Teams are more likely to be successful if they can cooperate. Johnson and Johnson
(2006) identified two basic elements of cooperation that create a positive team dynamic and
decrease the likelihood that team members will attempt to pursue their own self-interests.
The first element is positive interdependence, which exists when a team member
perceives that he/she is linked with others in the group and “…that one cannot succeed unless
they do” (Johnson and Johnson, 2006, p.107). The authors maintain that team members have two
responsibilities, which are to maximize their own productivity and to maximize the productivity
of other group members. Two categories of interdependence have been identified by the authors:
outcome interdependence and means interdependence (Johnson and Johnson, 2006). Outcome
interdependence exists when a team is oriented toward a desired goal, without a goal there would
be no need for cooperation. Means interdependence occurs when specific actions are required
and “The way in which the goal is to be accomplished determines what courses of action
members take and the roles the play” (Johnson and Johnson, 2006, p.107). The presence or lack
of positive interdependence will affect individual motivation and contributions to the team
(Johnson and Johnson, 2006). Johnson and Johnson (2006) referenced a study conducted by Kerr
(1983) and stated that team members who believe that their contributions are unnecessary or
- 17 -
pointless may reduce their effort. This behavior in a high-risk environment could become a
liability and result in a failure to achieve a goal. Additionally, the authors noted that Harkins and
Petty (1982) found that team members who believe their efforts are beneficial to the team are
likely to increase their effort (Johnson and Johnson, 2006).
The second element necessary for cooperation identified by is Johnson and Johnson
(2006) is individual accountability/personal responsibility. The authors maintain that work is
required from all team members in order to accomplish a goal; this effort requires the investment
of personal resources such as time and thought. The benefit of team membership is that
achievements are awarded to all members regardless of individual effort. Johnson and Johnson
(2006) maintain that having a sense of personal interdependence will engender personal
responsibility and prevent social loafing. Additionally, responsibility is increased when
individual and group accountability exists. Accountability occurs when individual and group
effort has been assessed and feedback is provided (Johnson and Johnson, 2006). Maintaining
accountability of team members could highlight their sense of interdependence, decrease apathy,
and improve individual performance. Failure to maintain individual accountability “…may
reduce feelings of personal responsibility” and hinder a team’s ability to accomplish a goal
(Johnson and Johnson, 2006, p.110).
Research conducted by Prince and Salas (1993) examined teamwork skills which would
enhance team training for naval aviators. The researchers utilized information taken from
“…critical incident interviews with aviators, and a team task inventory form on which aviators
rated team process behaviors for importance to training…mission accomplishment and safety”
(Salas et al., 1999, p.327). Prince and Salas (1993) identified the following seven critical
- 18 -
behavioral skills for naval aviators: decision-making, assertiveness, mission analysis,
communication, leadership, adaptability/ flexibility, and situational awareness.
The U.S. Navy adopted the seven behavioral skills identified by Prince and Salas and
made them the foundation for its CRM program; the goal of implementing the skills was to
increase mission effectiveness and enhance safety. OPNAVINST 3710.7T (2004) lists and
defines each behavioral skill. The first skill identified in the naval publication is decision
making. Decision-making is defined as “The ability to choose a course of action using logical
and sound judgment based on available information” (p.3-12). This skill requires an accurate
assessment of the situation, verification of information, identification of solutions, an
understanding of consequences, the act of deciding, informing others and evaluation of the
decision. Assertiveness is described as “an individual’s willingness to actively participate, state,
and maintain a position, until convinced by the facts that other options are better” (p.3-12). The
Navy publication defines mission analysis as “The ability to develop short-term, long-term, and
contingency plans and to coordinate, allocate, and monitor crew and aircraft resources” (p.3-12).
Mission analysis is intended to reduce uncertainty within the cockpit, and enable crewmembers
to make sensible decisions based on their commander’s intent for the mission. Communication
is described as “the ability to clearly and accurately send and acknowledge information,
instructions, or commands, and provide useful feedback” (p.3-12). The ability to communicate
effectively enables aircrew to engage in a meaningful exchange of mission critical information
and safely operate aircraft. OPNAVINST 3710.7T defines leadership as “the ability to direct and
coordinate the activities of other crew members and to encourage the crew to work together as a
team” (2004, p.3-12). Adaptability and flexibility are defined together as the “ability to alter a
course of action based on new information, maintain constructive behavior under pressure, and
- 19 -
adapt to internal and external environmental changes” (p.3-12). OPNAVINST 3710.7T
maintains that mission effectiveness is highly dependant on aircrews’ ability to adjust to rapidly
changing situations. Lastly, situational awareness is described as “the degree of accuracy by
which ones perception of the current environment mirrors reality” (p.3-12).
Fraher (2006a) has researched the dynamics of teams that operate in high-risk
environments and described them as high-risk teams. High-risk teams are defined as “…two or
more people working together in an environment where there is significant risk of injury or death
to themselves or to others as a result of their performance” (Fraher, 2006a, p.2). Aviation is a
high-risk occupation that is technically demanding and “strictly guided by licensing,
qualifications, and regulations” (Fraher, 2005b, p.164). Fraher (2006a) points out that high risk
teams are not unique to the military or aviation and explains that other professions such as law
enforcement, firefighting, medicine, offshore drilling, and the nuclear power industry all posses
high-risk teams. According to Fraher (2006a), members of teams operating in high-risk
environments can experience extreme amounts of stress when they are required to expose
themselves to life threatening risk, negotiate interpersonal conflicts, and make time critical
decisions. High-risk environments can affect team members’ ability to communicate effectively
and can lead to team dysfunction. Fraher (2006a) maintains that developing an understanding of
high-risk teams will expand the knowledge of group dynamics, increase knowledge of authority
relations, and reveal the interdependent nature of leadership.
Authority.
Understanding the concept of authority and its dynamic nature in a team setting is critical
when examining interpersonal relations in a cockpit. In the cockpit environment, authority
- 20 -
dynamics can influence the degree to which aircrew communicate and it can affect the decision
making process.
Fraher (2005a) maintains that authority “emerges through a leader-follower exchange of
trust and power” (p.16). Ginnett stated “…authority is the right to use power and influence”
(1993, p.81). Individuals may obtain formal authority from the legitimate power of their position
within an organization. Military rank is an example of a source of legitimate power and formal
authority. Authority can also be derived from “recognized expertise”, or expert power, which
individuals possess when they demonstrate competence and proficiency of a valued skill
(Ginnett, 1993, p.81). Expert power can enable individuals to hold formal as well as informal
positions of authority. Despite a lack of formal designation, an individual with expert knowledge
can earn the trust and respect of other group members; this may provide him/her with the ability
to influence others (Fraher, 2005a).
Individuals who are not in a position of authority are dependent upon those who are.
Ginnett describes dependency as neither good nor bad; a person’s level of dependency must be
matched with the situation (1993). Ginnett (1993) refers to a study conducted by Harper, Kidera,
and Cullen (1971) which demonstrates a mismatch between dependency and the needs of the
situation. Harper et al. conducted an experiment where the captains of a commercial airline
would feign incapacitation in a simulator during an approach to land. In the study, 25% of the
flights crashed because the first officer failed to take the controls from the captain when he/she
knew the situation required a correction (Ginnett, 1993). This research demonstrated that
authority can have a powerful effect on aircrew relationships in the cockpit, which may override
one’s own sense of self-preservation.
- 21 -
Milanovich et al. (1998) described the unwillingness of authority figures in the cockpit to
accept input from other crewmembers as superordinate; additionally the authors described first
officers’ reluctance to question their captains as subordinate. The authors state that superordinate
and subordinate can have negative effects on relationships and represent status generalization
(Milanovich et al., 1998). Status generalization “refers to the importing of status distinctions
from the outside world into the immediate environment of the task group” (Milanovich et al.,
1998, p.157). Status generalization occurs when readily evident social cues, such as rank, gender,
age, or occupational status are used to develop perceptions regarding an individual’s competence
and level of social influence (Milanovich et al., 1998). The authors also noted that in groups
where status differences distinguished members, certain people achieve superordinate positions;
as a result, their opinions and ideas commanded more support from other group members
(Milanovich et al., 1998). A consequence of this dynamic is that lower status individuals are less
likely to offer their thoughts, opinions, suggestions, or take necessary action when it may be
appropriate to do so. It is important to note that individuals’s self-perception of their own status
is subjective. If one believes that they have more influence than other group members do, the
individual may be more inclined to speak and actually obtain an influential role in the group.
Torrance’s study (as cited in Milanovich et al., 1998) of U.S. Air Force bomber crews
found that status had an influence on military tasks and decision making tasks even when
expertise was not relevant to the decision making process. Torrance discovered that pilots were
less likely to change their opinions when input was provided from other crewmembers; where as
non-pilot crew members were more likely to alter their opinions based on the input of the pilot
(Milanovich et al., 1998).
- 22 -
Milanovich et al. (1998) identified several implications of status generalization on group
dynamics. The authors stated that individuals with “…high status in a group are more likely to be
directive, are less likely to attend to input from other group members, and have a
disproportionate impact on group decision making” (p.157). Conversely, lower status members
are less likely to have influence. A second implication identified by the authors (Milanovich et
al., 1998) is that status differences not relevant to the current task will also influence the
interactions between crewmembers; this could result in the misappropriation of authority and
influence at time where critical team decisions must be made. For instance, if a crewmember
detects that the aircraft is approaching, or currently in, a dangerous situation he/she may engage
in self-censorship, or be ignored, despite having the authority and obligation to immediately
correct the situation.
Prince and Salas (1993) noted that organizations possess structures that can influence
authority dynamics inside the cockpit. The authors identified military rank as a “…notable
structure that exists in the military but not in the air carrier cockpit” (Prince and Salas, 1993,
p.345). Rank is a cultural artifact that is likely to influence authority dynamics in the cockpit, as
well as affect the ways in which military aircrew communicate and engage in decision-making.
Cavanaugh and Williams (as cited in Prince and Salas, 1993) described “rank reversal” as a
situation which occurs when a person of lower rank is designated as the pilot in command, or the
mission commander; and has legitimate authority over a senior ranking officer (Prince and Salas,
1993, p.345). Rank reversal is an occurrence unique to the military cockpit and may create a
level of ambiguity and not likely to occur in civilian cockpit. Prince and Salas point out that this
situation can become even more complex if rank differences are “compounded by the position of
the individual (i.e. Commanding Officer…)”; meaning the pilot in command is not only junior in
- 23 -
rank but he/she is a direct subordinate of the other aircrew (Prince and Salas, 1993, p.346).
Cavanaugh and Williams believe that this situation creates the potential for tension because usual
organizational hierarchies are superseded by the authority structure unique to the military
cockpit. This unique authority dynamic has the potential to create barriers to effective
communication, impact effective decision making, and become a threat to flight safety if it
distracts aircrew from their primary responsibility of flying the plane. Assertiveness is a social
tool that can be utilized to minimize confusing interpersonal exchanges that could result from
rank reversal in a military cockpit.
Leadership.
Mission effectiveness, safe operation of aircraft, and effective crew coordination in the
cockpit of a multi-seat fighter attack aircraft is a delicate balance between leadership and
authority. Leadership and authority are often used as synonyms for one another; however
“leadership is distinct from authority” (Fraher 2005a, Bolman and Deal, 2003, p.87). Bolman and
Deal (2003) argue that authority, whether through regulation or law, commands obedience,
whereas obedience to leaders is voluntary. The authors also contrast leadership with authority by
stating that leaders persuade and inspire others to act rather than by giving orders (Bolman and
Deal, 2003).
Several definitions of leadership exist in the context of groups and teams. Levi (2001)
describes leadership as “…a process in which an individual influences the progress of other
group members toward the attainment of a goal” (p.174). Johnson and Johnson (2006) state that
“a leader is a person who can influence others to be more effective in working to achieve their
mutual goals and maintain effective working relationships among members” (p.168). Hawkins
(as cited in Mearns, Flin, and O’Connor 2001) identified a leader as “…a person whose ideas and
- 24 -
actions influence the thought and behavior of others” (p.384). Literature discussed thus far has
demonstrated that influence is an intended result of both leadership and authority. However,
effective leaders are interested in more than simply influencing others to act in a prescribed
manner; leadership also addresses ones ability to affect positive outcomes. Additionally,
definitions of leadership emphasize the maintenance of effective working relationships, whereas
the importance of maintaining nurturing relationships was not discussed in the literature on
authority.
Heifetz and Laurie (2003) identified adaptive change as one of the biggest challenges
leaders face. Adaptive challenges result from ambiguous situations with ill-defined problems and
lack clear solutions. Adaptive work requires leaders to be creative in the ways in which they
orient, observe, evaluate, and engage in problem solving. Working through adaptive challenges
often requires leaders to delegate authority in order to work towards solutions (Heifetz and
Laurie, 2003). Adaptive challenges are contrasted with technical challenges, which are
characterized by clearly defined problems. Technical change can be achieved by implementing
solutions such as “…steps dictated by manuals, procedures, or checklists…” (Fraher, 2006a,
p.36). The author also points out that most high risk teams are action-oriented and trained to
react to their circumstances using technical solutions (i.e. cockpit checklists). Additionally,
Fraher (2006a) remarks that when faced with adaptive challenges “…high-risk teams may find it
difficult to tolerate ambiguity and wait for vital information to become available to assist in
decision making” (p.36). The demanding and rapidly changing nature of environments in which
high-risk teams operate, makes waiting for sufficient information a hazardous behavior. Fraher
(2006a) submits that a leadership challenge for leaders of high-risk teams is to learn to tolerate
ambiguity and uncertainty, demonstrate confidence, and manage anxiety.
- 25 -
The ambiguity of high-risk environments coupled with adaptive challenges begs the
following question: Is leadership shared. Fraher argues that successful teams operating in high
risk environments share the leadership role and that every team member has leadership potential
(2006a). According to Fraher, the nature of a team’s task is a key factor in determining who the
most qualified individual to lead the team is. The OPNAVINST 3710.7T does not implicitly state
that responsibility of leadership rests in the hands of one individual (i.e. the pilot), nor does it
designate a specific crewmember as the leader in the cockpit. Additionally, the instruction
identifies two different types of leadership which exist in the cockpit; the first is designated
leadership which is described as “normal leadership” based on “…authority, crew position, rank
or title” (p.3-12). The second type of leadership identified by OPNAVINST 3710.7T is
functional leadership; which is “leadership by knowledge or expertise” (p.3-12). Functional
leadership is described as temporary and allows the most qualified member of the aircrew to take
charge of a situation. Prince and Salas (1993) also recognized that military cockpits may produce
conditions in which dual leadership roles exist:
The captain of an airline flight is the single individual in charge, but a military flight may
have two commanders, one who leads the mission and one who is responsible for safety
of flight. With each mission having the dual goals of completing the mission safely and
completing it effectively, there can exist opportunities for honest disagreement between
the two (p.343).
Summary.
Leadership, authority, and teamwork are three fundamental elements that allow high-risk
teams to safely work in high-risk environments and accomplish their missions. Literature that
discusses the three elements demonstrates that there are several complex social processes at work
- 26 -
in the cockpit environment. The degree to which aircrew members work as an effective team
depends on their perceived level of interdependence, their ability to effectively communicate,
and to understand information in a stressful and demanding environment. The majority of
research discussing authority and leadership has used these terms interchangeably.
Comprehending the distinctions between the two concepts is essential for understanding how and
why aircrew members behave, communicate, and make decisions. High-risk environments
require shared leadership, distributed authority, and effective teamwork.
.
- 27 -
Chapter 3
Methodology
Participants.
CRM training in the Navy and Marine Corps has drawn on the seven behavioral skills
identified by Prince and Salas (1993) to improve social dynamics within the cockpit. However,
in the author’s opinion the comprehension of these skills provides only a partial understanding of
the complex social processes that occur between crewmembers. Put another way, the seven
behavioral skills represent a technical solution to an adaptive challenge. The seven skills are
presented and taught to aircrew in a checklist format, and are oriented toward changing
individual behaviors; aircrew attitudes toward the skills are not addressed. Although this training
has helped reduce mishap rates in the Navy and Marine Corps, it is incomplete because it merely
tells aircrew how to behave.
In addition to distinguishing between the adaptive and technical challenges, Heifetz and
Laurie (2003) used the metaphor of getting on a balcony and observing patterns of behavior and
occurrences in order to identify and understand an organizational dilemma. Using their paradigm
the author recognized that current CRM training does not provide aircrew with an understanding
of either the complex nature of authority dynamics or the interdependent nature of relationships
often found in high-risk teams (Fraher, 2005a). Prince and Salas’s seven behavioral skills are
prescriptions for conduct that help aircrew in demanding and stressful situations manage the
social complexities associated with leadership, authority, and teamwork without ever examining
aircrew’s predispositions to these dimensions. It appears that behavioral training has occurred
without regard for developing an understanding of how aircrew value leadership, authority,
teamwork, and safety.
- 28 -
Survey Design.
A cross-sectional survey was developed to measure F/A-18 aircrew attitudes toward the
dimensions of leadership, authority, teamwork, and safety in order to examine the adaptive
challenges associated with CRM training for F/A-18 aircrew. Respondents were also asked to
rank order the seven behavioral skills currently used in CRM training. This measurement was
taken to observe if respondents’ reported values of the seven behavioral skills was in some way
associated with their attitudes toward each of the four dimensions of interest.
The survey design utilized Helmreich’s Flight Management Attitude Questionnaire
(1998) as a model for the survey instrument. Helmreich’s survey measured “…attitudes toward
stress, status, status hierarchies, leadership and interpersonal interaction issues” (Sexton,
Thomas, and Helmreich, 2000, p.745). Sexton et al. (2000) stated that the questionnaire has been
“…reliable, sensitive to change, and the elicited attitudes have been shown to predict
performance” (Sexton et al., 2000, p.746). A portion of the survey conducted for this research
was taken directly from Helmreich’s survey; for clarity and contextual relevance, minor
modifications to wording were made. For instance, under the safety dimension participants were
asked, “I am ashamed when I make a mistake in front of other aircrew while airborne.” This
statement was originally asked, as “I am ashamed when I make a mistake in front of my other
crew members” (Helmreich, 1998, p.252). This adjustment was made because the nature of the
current research is investigating cockpit dynamics in flight; whereas the original survey
statements could be interpreted as occurring at any time aircrew were interacting.
Other survey statements were created in an effort to be contextually relevant to the
participants and to solicit a response relevant to the dimension of interest. For instance, under the
section regarding leadership, the same statement is made twice but with minor adjustments
- 29 -
(Recall that the F/A-18D has two people inside the cockpit, whereas the F/A-18C has a single
person). The first version of the statement is “AnF/A-18D crew has a defined leader”, the second
version is “A flight of (section or division) F/A-18s has a defined leader”. When aircraft are
operating together, they are referred to as a flight; a flight of two is called a section and a flight
of four is a division. The term “flight of F-18s” is used in the survey in order to solicit a genuine
response from F/A-18C pilots. Although they do not have another person in their cockpit, F/A-
18C pilots still work as a part of a team when flying in section or division. For the purposes of
this research it was important to understand how F/A-18C pilots viewed leadership while flying
in section or division.
A self-administered questionnaire was selected for this study due to the limited amount of
time available to conduct necessary research. A survey format allowed the researcher to have
contact with more respondents in the time allotted than observations or interviews could have
provided. Additionally, Creswell (2003) recommended survey as a tool when attempting to
measure attitudes toward an item of interest; the measurement of attitudes toward specific
dimensions was a central part of this research. Observations would have been better suited for
research intended to directly measure how aircrew apply the seven behavioral skills. Interviews
may have provided useful information for this research; however due to the lack of anonymity,
interviewees would have been inclined to avoid negative discussions and attempted to describe
their conduct in a socially accepting manner.
To improve the quality of the survey, and to ensure that respondents understood the intent
of each question, the survey was initially distributed to a few highly experienced F/A-18 aircrew
and faculty within the School of Business and Management for review. Feedback was solicited
regarding the clarity of the instrument and an effort was made to correct any discrepancies.
- 30 -
Population and Sample.
The population of interest for the study was active duty Marine Corps F/A-18C and D
aircrew. There are approximately 700 Marine officers that make up this population. All
respondents are active duty winged naval aviators. Additionally, members of this population
have completed F/A-18 fleet replacement training, which means they have completed basic
academic, simulator, and flight training in the aircraft and are no longer students. Approximately
half of the population is stationed on the east coast at Marine Corps Air Station (MCAS)
Beaufort, located in South Carolina and in Japan at MCAS Iwakuni. The other half is stationed
locally at MCAS Miramar. Due to the limited number of available participants and in order to
collect enough data points, participants were not randomly selected. All participants completed
the survey on a voluntary basis, and no one was approached without a command representative
granting prior approval to the researcher. Time and financial restrictions prevented sampling
from the east coast squadrons.
Survey Deployment Process and Timeline.
The method for distribution consisted of the primary researcher addressing participants at
a weekly staff meeting commonly referred to as an all officers meeting. A verbal description of
the study and the intent of the research were provided to all potential respondents. The survey
and consent forms were distributed to respondents and two envelopes were provided for
collection of the surveys and consent forms. The researcher then excused himself from the
respondents and returned later to pick up completed surveys and consent forms from the
participating unit. In an effort to get sincere responses, participants were asked not to sign or
print their names to the survey. The only location participants were requested to sign was on the
consent form, which were placed in an envelope apart from the surveys.
- 31 -
The Survey Instrument.
The survey consisted of four-parts. In the first section, respondents were asked to read
and sign a consent statement that described the purpose of the survey. A brief explanation of why
the survey is important was provided, as well as an explanation of how respondents’
participation will contribute to the study of crew resource management and flight safety.
Additionally, section one provided basic instructions explaining how to take the survey.
The second section contained 69 questions built on a five point Likert scale (1= strongly
disagree and 5=strongly agree) which asked participants to respond to statements regarding
leadership, teamwork, authority, and safety. The questions were divided into 4 subsections; each
subsection represented a dimension of interest and provided a definition for the dimension. The
definition of leadership in the survey was altered from the definition provided in chapter one.
This change was made because the definition of leadership in OPNAVINST 3710.7T only
addressed crewmembers and failed to account for CRM that is accomplished between pilots in
two different aircraft that are part of the same flight.
The third section asked respondents to rank order the seven behavioral skills identified by
Prince and Salas (1993) and currently taught to Navy and Marine Corps aircrew. A rank of 1
represented the most important skill and 7 represented the least important skill. This
measurement was taken to determine if any trends might exist between attitudes towards
leadership, authority, teamwork, and safety and the rank order assigned to the seven behavioral
skills.
The final section of the survey requested specific demographic information from each
respondent. Demographics requested included age, gender, rank, and delineation of whether the
respondent is in a single seat or two seat squadron, total flight hours in the F/A-18, and total
- 32 -
flight hours in the F/A-18D (the two-seat model). A space was also provided for participants to
provide any comments or feedback regarding the survey. The survey was estimated to take 20
minutes to complete.
- 33 -
Chapter 4
Research Findings
The sample surveyed for the study consisted of 47 participants. Thirty-four respondents
were pilots, 17 flew the F/A-18C and 17 flew F/A-18Ds. The remaining 13 respondents were
WSOs. The entire sample consisted of 44 men and 3 women. The average number of total flight
hours of the sample was 1190.63 hours. The average number of F/A-18 flight hours of the
sample was 1035.88 hours, while the average number of F/A-18D flight hours for the sample
was 585.30 hours. Table 1 provides average flight hours for each of the three groups within the
sample. F/A-18C average total flight hours and average total Hornet flight hours are larger than
Table 1
Average Flight Hours
Total Flight Hours Total F/A-18 Hours Total F/A-18D Hours
F/A-18C Pilots 1580.59 1283.24 367.79
F/A-18D Pilots 1062.06 788.53 641.18
WSOs 929.23 746.92 746.92
Sample Mean 1190.63 939.56 585.30
Note: Total Flight hours comprises total time in all military type, model, and series aircraft.
Total F/A-18 hours includes hours flown in the F/A-18D.
the other two groups in the sample because 3 of the 17 F/A-18C pilots were Lieutenant Colonels,
each reported over 3000 hours of total flight time.
The following four sections provide responses to specific items on the survey. Tables
depicting the results may be reviewed in the appendices. In order to simplify the presentation of
results responses of “Strongly Agree” and “Agree” are annotated as “Agree”; the same technique
was used for “Strongly Disagree” and “Disagree”.
Attitudes Toward Leadership
- 34 -
Seventy three percent of participants disagreed with the statement “In the F/A-18D
leadership is ambiguous.” Six percent of F/A-18C pilots agreed with the statement, as did 12%
of F/A-18D pilots; none of the WSOs agreed. The mean response to the statement was 2.04.
Only 36% of all participants indicated that leadership can shift between pilot and WSO
throughout the course of a mission. Fifty two percent of F/A-18C pilots agreed to the statement,
whereas only 39% of WSOs and 18% of F/A-18D pilots agreed. The mean response to the
statement was 2.79.
Overall, 54% percent of aircrew surveyed agreed with the statement “An F/A-18D crew
has a defined leader” (see Table C1). Sixty percent of F/A-18C pilots agreed with the statement,
while 41% of the F/A-18D pilots and 69% of the WSOs agreed. The mean response to this
statement was 3.38. Nineteen percent of aircrew surveyed agreed with the statement that
leadership in the cockpit was dependant on rank. Sixty-two percent disagreed, the mean response
was 2.45. Ninety one percent of all participants disagreed with the statement “In the F/A-18D
leadership is expected to come solely from the pilot in command”; one WSO did agree to the
statement, that individual reported 1400 hours in the cockpit. The mean response to the statement
was 1.51.
The majority of participants disagreed with the statement that “Leadership is the same as
authority.” Eighty-two percent of the F/A-18C pilots, 70% of the F/A-18D pilots, and 77% of the
WSOs surveyed disagreed with the statement. The mean response to the statement was 1.87.
Four respondents reported that authority and leadership are the same; they were all pilots and had
an average of 342.5 F/A-18 hours. Three WSOs and 2 pilots (one F/A-18C pilot and one F/A-
18D pilots) reported a neutral attitude toward the statement, their average F/A-18 flight hours
was 1391.7.
- 35 -
Attitudes Toward Authority
Eighty two percent of all participants agreed with the statement “Authority is different
than leadership.” The average response was 4.26. One pilot and one WSO, with an average of
385 F/A-18 flight hours, disagreed with the statement. Four pilots and two WSOs provided a
neutral response; their average number of F/A-18 flight hours was 900 hours. Seventy nine
percent of all participants disagreed with the statement “In the F/A-18D the mission commander
should be the pilot in command”; the mean rank was 1.81. Additionally, 96% of respondents
disagreed with the statement “In the F/A-18D the mission commander should be the senior
ranking officer” (see Table C2). The mean response was 1.30. One WSO did agree with the
statement, that individual reported 300 hours in the cockpit and indicated that he was a Marine
Captain. Eighty five percent of all participants disagreed with the statement “In the F/A-18D the
mission commander should be the aircrew with the most flight hours.” The mean response was
1.55. F/A-18C & D pilots disagreed 89% and 94% respectively, 69% percent of the WSOs
disagreed.
Participant responses’ to the statement “In the F/A-18D the pilot in command has final
authority on all matters” were almost equally divided; the mean response was 3.0. Forty three
percent of all participants disagreed with the statement; responses based on crew position ranged
from 42% to 48% in disagreement (see Table C2). Additionally, 64% of all aircrew surveyed
disagreed with “In the F/A-18D the pilot in command has final authority regarding all mission
critical matters.” Eighty-four percent of WSOs, 70% of F/A-18D pilots, and 47% of F/A-18C
pilots disagreed; the mean rank was 2.38.
Attitudes Toward Teamwork
- 36 -
All participants disagreed with the statement “As long as the mission succeeds, aircrew
errors committed during the course of the flight are not important.” The average response was a
1.28. Responses to the statement “In the F/A-18 when managing critical tasks I prefer to be solo”
were divided; the mean response was 2.65. Overall, 39% of the participants agreed, 40%
disagreed, and 21% were neutral. Eighty two percent of F/A-18C pilots agreed, 24% of the F/A-
18D pilots agreed and 100% of the WSOs disagreed (see Table C3). Ninety three percent of
those surveyed agreed with the statement “In the F/A-18D, aircrew share responsibility for
prioritizing activities in high workload situations.” The mean response was 4.57.
Attitudes toward rank in the cockpit were revealed when 72% of all participants
disagreed with the statement “During flights I hesitate to ask questions if other aircrew present
are senior to me.” The mean response was 2.11. Responses varied by cockpit position and are
presented in Table C3.
Attitudes Toward Safety
Varying attitudes toward the perception of the safe operation of a crewed aircraft were
demonstrated by responses to the following statement “The operation of crewed aircraft is safer
than single seat aircraft.” The mean response was 3.21. Overall, 49% of participants agreed,
while 26% did not; the other 26% remained neutral. Eighteen percent of single seat Hornet pilots
agreed, whereas 77% of WSOs and 58% of F/A-18D pilots agreed.
When asked if “My decision making skills are as good in emergencies as during routine
operations” 58% of the participants, agreed. The level of agreement varied with crew position,
for instance only 36% of F/A-18C pilots agreed, D aircrew agreement ranged from 74 to 77%
(see Table C4). Additionally, 43% of all aircrew disagreed with the statement “In the F/A-18 I
am more likely to make judgment errors in an emergency situation”; their average number of
- 37 -
reported flight hours in the Hornet was 783.3. The mean response was 2.60. Only 12% of F/A-
18C pilots, 23% of WSOs, and 24% of F/A-18D pilots thought their judgment would be
impaired in an emergency; their average number of reported flight hours in the Hornet was
1127.2.
Different perspectives toward the willingness to communicate stress were demonstrated
when examining responses to the statement “During flight I let other aircrew members know
when my workload is becoming (or about to become) excessive.” The mean response was 3.7,
with 70% of all respondents agreeing to the statement. Forty seven percent of F/A-18C pilots
agreed, whereas D aircrew agreement ranged between 82% and 84% (see table C4).
Eighty five percent of participants indicated that a mark of a professional crewmember is
one who can leave personal problems behind when flying. Agreement varied depending crew
position, but ranged from 76% to 100%. The mean response was 4.21
CRM behavioral skills
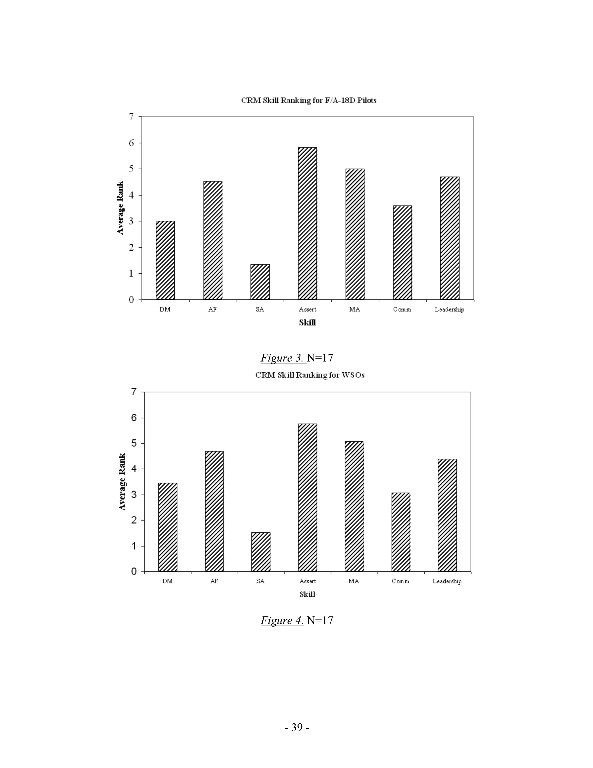
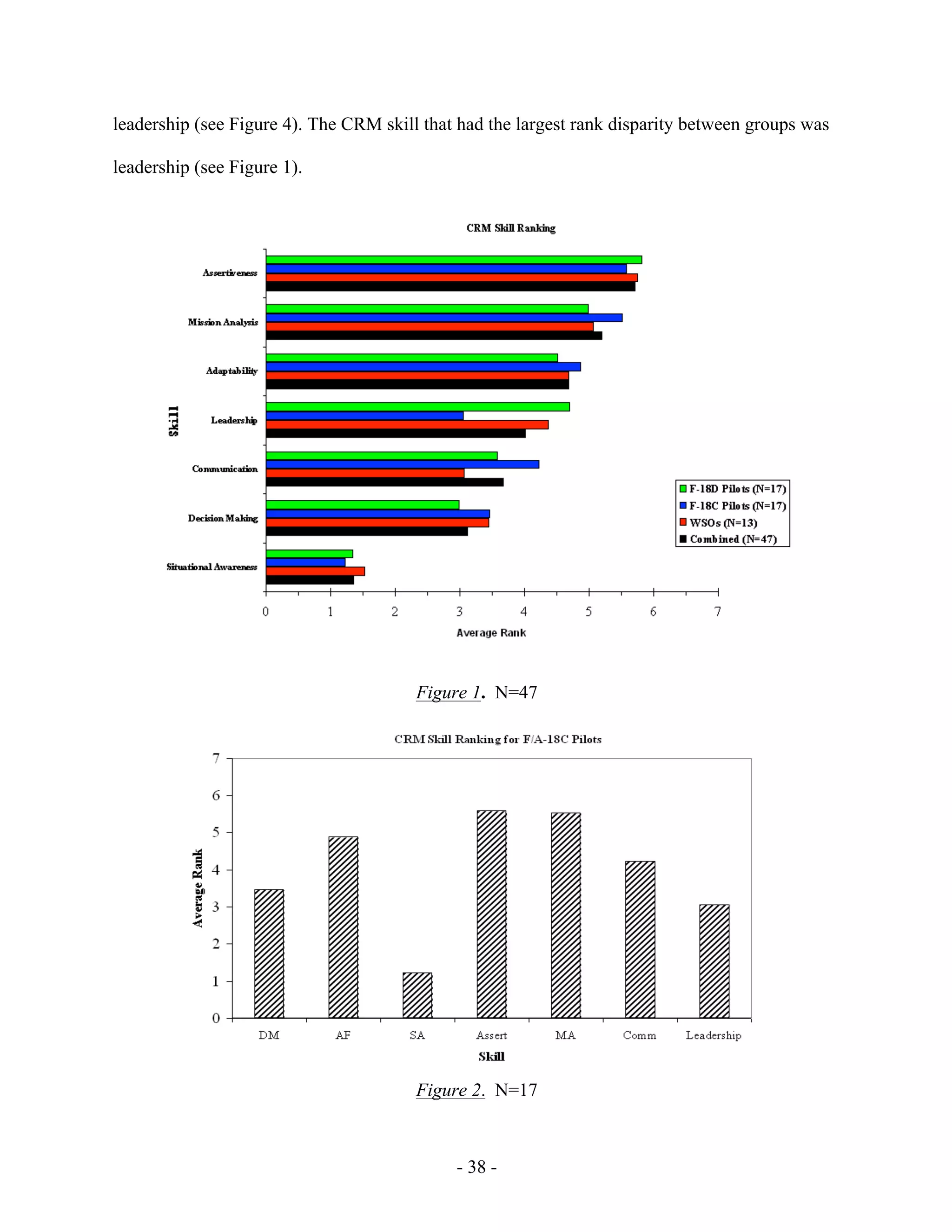
Figure 1 provides a graphical representation of the skills in rank order. Recall that a rank
of 1 indicates the most important skill and 7 least important. The three least important skills did
not vary among pilots or WSOs; however, there was variation in ranking of the top four skills.
Responses indicate that situational awareness was the CRM skill held in highest regard
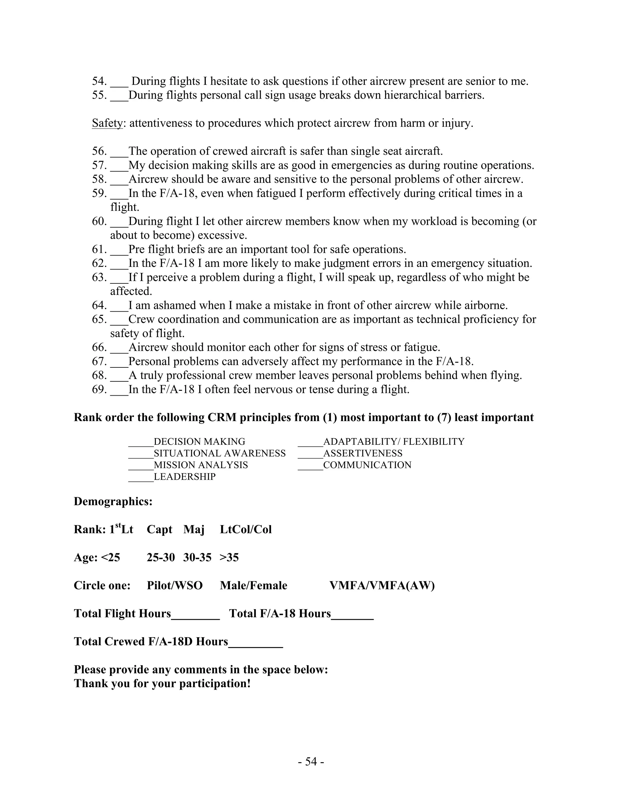
among all of the Hornet aircrew surveyed. Figure 2 illustrates that for F/A-18C pilots situational
awareness was followed by leadership, decision making, then communication; skill labels have
been abbreviated for clarity of presentation. For F/A-18D pilots’ situational awareness was
followed by decision-making, communication, and then leadership (see Figure 3). WSOs ranked
communication second to situational awareness; decision-making was ranked third followed by
- 38 -
leadership (see Figure 4). The CRM skill that had the largest rank disparity between groups was
leadership (see Figure 1).
Figure 1. N=47
Figure 2. N=17
- 39 -
Figure 3. N=17
Figure 4. N=17
- 40 -
Chapter 5
Discussion
The intent of this research was to determine if there is a difference in attitudes regarding
leadership, authority, teamwork, and safety among F/A-18C pilots and F/A-18D aircrew. This
inquiry is the result of my personal experience as a Weapons Systems Officer. I have been flying
the F/A-18D since 2001 and have logged approximately 1500 hours in the aircraft. My
experience has taught me that flying at speeds in excess of 500 miles per hour in order to avoid
threats and deliver ordnance on enemy targets, without killing innocents or allies, is a high-risk
environment. Hence, the successful and safe operation of the F/A-18 requires highly skilled
individuals to interact effectively under a multitude of complex and demanding situations.
An underlying assumption in this study is that a break down in effective communication,
decision-making, and teamwork, combined with a poor understanding of leadership and
authority, can have fatal consequences for F/A-18 crewmembers. It is assumed that the four
dimensions described in this study are instrumental in allowing missions to be safely and
effectively executed.
Measuring Leadership and Authority
Based on the results of the survey it appears that neither F/A-18C pilots, nor D aircrew,
support absolutism when considering how leadership and authority exist in the cockpit.
Attitudes toward leadership indicate that a high percentage of single seat, and two seat,
Hornet aircrew do not believe that leadership is ambiguous in the F/A-18 cockpit; however they
did not identify who held the leadership role. Additionally, leadership in the cockpit does not
appear to be based on rank or crew position, nor is it expected to emanate from a specific
individual. Aircrew responses support the idea that crewmembers engage in “functional
- 41 -
leadership” (OPNAVINST 3710, 2004, p.3-12). It is possible that pilots and WSOs make real
time assessments of their environment and allow the individual with the most situational
awareness to take charge, regardless of crew position, rank, or previous flight experience.
Furthermore, the reported attitudes support Fraher’s belief that members of high-risk teams share
the leadership role in order to successfully cope with complex and stressful environments and to
minimize error.
The difference in the ranking of leadership, as a CRM skill, by C pilots and D aircrew
indicates that there is some difference between the two groups along that dimension. A possible
explanation for this difference is that a D aircrews’ patterns of behavior more closely represent
that of a team. In the F/A-18D aircrew are physically in close proximity to one another,
communication is relatively simple, and by sharing cockpit displays they can monitor what the
other is doing. An effective D crew has clearly defined roles and tasks, crewmembers are keenly
aware their means interdependence; as a result, the requirement for one individual to exert
influence over the other is probably not a necessity, nor a priority for either aircrew. In a flight of
two F/A-18Cs, there is a physical distance between the two pilots and it is likely that one cannot
ever be certain of what the other is doing in their own cockpit. The potential for uncertainty
makes it probable that influence exerted by the flight lead is more of a requirement and thus
makes leadership a higher priority for C pilots. Further research should explore how attitudes
differ toward leadership within the F/A-18C community. An inquiry as to how levels of
interpersonal trust differ between F/A-18C pilots and D aircrew may also be warranted.
Attitudes toward authority were similar to those expressed toward leadership, few aircrew
expressed the opinion that anyone individual has absolute authority in the aircraft. The author
thought that single seat pilots might engage in status generalization and demonstrate
- 42 -
superordinate attitudes, as described Milanovich et al., toward WSOs. However, responses from
F/A-18C pilots to survey statements #26 and #28, compared to responses from F/A-18D aircrew,
indicated that F/A-18C pilots are no more inclined to marginalize the authoritative capacity of a
second crewmember than are D Pilots. If superordinate attitudes were present, it is thought that
there would have been more agreement among F/A-18C pilots to statements #26 and #28.
Measuring Teamwork and Safety
Attitudes expressed toward the dimensions of teamwork and safety were not as uniform
between C and D crews as they were for leadership and authority. The differences in attitudes
may be simply the result of dissimilar experiences between the two communities, however these
differences have repercussions that should be understood and considered when transferring a C
pilot to a D squadron.
Differences
The near unanimity among F/A-18C pilots to fly solo even when managing critical tasks
is consistent with the macho archetype characteristic of pilots described by Ginnett (1993) and
Fraher (2005a); this could be maladaptive for C pilots who transition to D squadrons. According
to Fraher, “In many high risk environments team skills become devalued in favor of technical
competence and individual prowess” (2006a, p. 67); this tendency is critical to understand when
attempting to effectively teach CRM to C pilots who transition to a two seat F/A-18 squadron. If
a former F/A-18C pilot persists in attempting to complete all cockpit tasks on their own while
flying in an F/A-18D with a WSO, he/she could unintentionally marginalize his/her WSO and
lose the benefit of their cooperation. Left unaddressed, this bias could prevent single seat pilots
from learning and understanding the roles and tasks that create means interdependence in an
- 43 -
F/A-18D. This attitude could have a negative effect on the safe and successful employment of
the aircraft.
F/A-18C pilots’ responses to statement #60 were alarming. The fact that less than 50% of
single seat pilots were willing to speak up when they felt task saturated was much less than either
D pilots or WSOs. Their response indicates an unhealthy reaction to stress, which could
adversely affect one’s ability to manage error. If a single seat pilot is going to fly with a WSO, it
is imperative that he/she is forthright when feeling overwhelmed; the consequences of not
speaking up range from mission failure to death. Moreover, a pilot’s hesitation to shed tasks to
the WSO could be perceived as a lack of trust and further diminish the team dynamic.
Additionally, a C pilot must learn to recognize when a WSO is becoming task saturated and be
able to manage that circumstance as well. Otherwise, the team will not perform efficiently, the
mission could fail, and the safety of the crew could be unnecessarily compromised.
Based on this finding it is suggested that additional crew resource management training
be provided to single seat pilots who transition to a two-seat squadron. This additional training
should diverge from the conventional instruction, which teaches individual CRM skills, and
instead focus on effective team training and crew coordination.
Although rank was not reported as important factor to the assignment of leadership or
authority in the cockpit, it appears to have a role in affecting how aircrew communicate and may
have an influence on team dynamics and decision making. Responses from F/A-18C pilots were
more varied than responses from F/A-18D aircrew when asked if rank was barrier to effective
communication in the cockpit (see Table C3). The difference in attitudes could be the result of D
crews experiencing high levels of interdependence because they work in close proximity to each
other and depend on one another’s input to successfully employ the aircraft. It is possible that
- 44 -
F/A-18C pilots are unable to achieve the same level of interdependence experienced by F/A-18D
aircrew. This could be a result of the physical distance between F/A-18C pilots when operating
their aircraft. The resultant condition could lead F/A-18C pilots to engage in self-censorship
while airborne and communicating with a senior ranking pilot. The CRM skill assertiveness,
which may help overcome barriers to communication, may be much more difficult to utilize over
a radio. It is possible that C pilots are concerned that transmissions could be misinterpreted as
insubordination and/or taken out of context. Further research should be conducted to see if rank
reversal is more likely to occur within a flight of single seat Hornets or within the cockpit of an
F/A-18D.
Similarities
An encouraging similarity between both C and D aircrews’ was their willingness to hold
each other accountable for errors regardless of mission outcome. Sexton et al. (2000) received
the same response from intensive care staff while examining attitudes about error and safety. In
their study, medical staff was asked to rate the following statement, “Errors committed during
patient management are not important, as long as the patient improves”; ninety four percent of
the respondents disagreed with the statement (Sexton et al., 2000, p.746). The Marines’ attitudes
reflect that they are interested in error management and learning from their experiences.
Agreement among participants that F/A-18D aircrew must share responsibility for
prioritizing tasks indicates, on a basic level, that both F/A-18C pilots and F/A-18D aircrew are
aware of the interdependence required in a crewed aircraft environment. This response was
expected from two-seat aircrew but more variation was expected from the single seat
community. Despite possessing attitudes that may negatively affect a single seat pilot’s
- 45 -
integration into a D squadron, it is encouraging to see that there is potential for understanding the
requirement for task differentiation.
Implications to Leadership
It appears that, at least among members of the sample, that there is a basic understanding
among Marine F/A-18 aircrew that leadership is not simply a function of status, position, or
experience. Responses also indicated that leadership does not reside with one individual;
however, who that person is, or can be, is still unknown. This uncertainty supports the belief that
leadership is shared in high-risk teams, it is not static nor the domain of one person. Members of
high-risk teams may not be able to identify their leader but they know that leadership exists. The
significance of this finding is that it moves theory away from solitary models that study only one
aspect of leadership such as traits, behavior, or situation. Understanding that leadership is shared
in a high-risk team compels researchers and students to view leadership as an experience that
occurs as a result of the intersection of several complex social phenomena.
The ability for more than one person to exert influence in the group is likely the result of
individuals demonstrating technical competence and trustworthy behaviors. This combination
allows individuals to develop some level of informal authority and over time expand their
influence over a group. The result of this influence is leadership.
Limitations
The purpose of conducting this study was to determine if there was a difference in
attitudes regarding leadership, authority, teamwork, and safety between F/A-18C pilots and F/A-
18D aircrew. The study was not designed to derive a measure magnitude or to detect significant
differences in attitudes; hence, the results lack rigorous statistical evaluation and are only
- 46 -
descriptive in nature. The researcher’s goal was simply to examine a relatively unexplored area
of leadership and to determine if further study is warranted.
The survey data could be limited in value because it does not control for the possibility
that participant’s responded in ways in which they believed to be to be socially acceptable.
Furthermore, administering a survey is only one of several possible ways to collect data; one has
to be cautious about making gross generalizations about populations based on only one method
of research.
Another issue with administering this survey is the possibility for weak contextual
relevance. There are social and environmental conditions that may have been considered by
participants while taking the survey that were not considered by the researcher. For example, if
respondents placed the survey items in the context of combat they may have responded
differently then if they utilized a training context. The survey was not designed to control for this
eventuality.
In addition to identifying which platform the participants were currently assigned to, they
also provided data on rank and flight hours. However, due to time limitations these
demographics were largely ignored in the analysis of the data. Additionally, some F/A-18C
pilots had several hundred hours flying in the F/A-18D, however there data was treated as if they
were simply a single seat pilot. Further research may want to examine if responses from F/A-18C
with considerable F/A-18D experience, differed from those of F/A-18C pilots who lacked
crewed flight time.
Finally, the sample was limited due to the distribution of forces within the fleet Marine
Corps in a time of war and consisted of aircrew located at MCAS Miramar. A Random sample
- 47 -
was not taken, all participants were volunteers and selected based on accessibility and
availability.
Recommendations for Further Research
In addition to recommendations provided so far, an additional recommendation is to
replicate this research. In doing so, it is recommended that researchers first establish what the
similarities and differences are between F/A-18D pilots and WSOs; these differences were not
considered for this study but could provide a better understanding of how high-risk teams
function. It is also recommended that this study be replicated using the Navy’s F/A-18E and F
aircrew. The E and F models are one and two seat F/A-18s utilized by the U.S Navy. Results
could then be compared to results form a study of Marines and could provide insight as to how
organizational culture influences aircrew attitudes toward leadership, authority, teamwork, and
safety.
More research into the differences in communication should be conducted. It is suggested
that researchers record or observe cockpit exchanges between F/A-18D pilots and WSOs and
F/A-18C pilots and WSOs. They could conduct a communication analysis and listen for the
language that denotes a team mindset. For example, the frequency of terms like “we” and “us”
versus “I” or “me” could be recorded and analyzed. An additional recommendation is to
replicate Torrance’s research for Hornet aircrew to determine if status has an effect on decision-
making and influence.
Conclusion
The study of crew resource management and the education of aircrew in CRM behavior
are valuable tools for aviation training. CRM programs have enabled aircrew to manage stress
and operate with a greater degree of safety in high-risk environments. However, merely the
- 48 -
identification of which behaviors are important for effective CRM skill does not ensure that
aircrew actually understand what is occurring in the greater social context; it is similar to having
a tool without being instructed how to use it.
This study has attempted to construct a conceptual bridge that links the seven CRM
behavioral skills identified by Prince and Salas to the study of leadership. The current research
has put crew resource management in to the context of leadership and contends that the seven
behavioral skills are subcomponents of leadership, authority, and teamwork. The skills serve as
recommendations for behavior that will enable aircrew to exercise effective leadership, manage
issues of authority, successfully operate as a team, operate aircraft safely, and accomplish
assigned missions.
Based on a review of literature regarding high-risk teams, and his personal experience,
the author developed the equation in Figure 5 to explain how the four dimensions are
interrelated. The equation is simply a tool to help conceptualize a specific social phenomenon
and not intended for actual mathematical calculations.
Leadership + Authority + Teamwork = Safety and Mission Effectiveness
Figure 5.
Hopefully members of the Marine F/A-18 community will realize that there are
differences in the way in which they regard teamwork and safety, despite being similarly trained.
Recognition of differences in attitudes will enable aircrew to make smoother transitions from the
single seat to two-seat community. Additionally, it would help the process of managing potential
interpersonal conflict within the cockpit, increase mission effectiveness, and enhance flight
safety.
- 49 -
References
Bolman L.G. & Deal T.E (2003). Reframing organizations: Artistry, choice, and leadership (3rd
ed.) San Francisco: Jossey-Bass.
Business Leadership: A Jossey-Bass reader. (2003). San Francisco, CA: Wiley.
Creswell, J.W. (2003). Research design: Qualitative, quantitative, and mixed methods
approaches (2nd
ed.). Thousand Oaks: Sage.
Fraher, A.L. (2005a). Group Dynamics for high-risk teams: A team resource management (TRM)
primer. iUniverse: New York.
Fraher, A.L. (2005b). Team resource management (TRM): A Tavistock approach to leadership in
high-risk environments, resonances of 9/11. Organisational & Social Dynamics, 5 (2),
163-182.
Ginnett, R.C. (1993). Crews as groups: Their formation and their leadership. In E.L. Wiener,
B.G. Kanki, & R.L. Helmreich (Eds.), Cockpit resource management (pp. 71-97). San
Diego, CA: Academic.
Heifetz, R. & Laurie, D. (2001). The work of leadership. In Jossey-Bass (Ed.), Business
leadership: A Jossey Bass Reader (pp. 543-567). San Francisco, Ca: Wiley.
Helmreich, R.L. & Foushee, H.C. (1993). Why crew resource management? Empirical and
theoretical bases of human factors training in aviation. In E.L. Wiener, B.G. Kanki, &
R.L. Helmreich (Eds.), Cockpit resource management (pp. 3-45). San Diego, CA:
Academic.
Helmreich, R.L. & Merritt, A.C. (1998). Culture at work in aviation and medicine: National,
organizational and professional influences. England: Ashgate.
- 50 -
Hepfer, D. and Gillian, C. (2000). Naval aviation crew resource management (CRM) initiative:
Human factors QMB/training improvements working group brief. Retrieved September
15, 2006, from United States Naval Safety Center Web site: http://www.safety center.
Navy.mil/presentations/aviation/crm.htm
Johnson D.W. & Johnson, F.P (2006). Joining together: Group theory and group skills (9th
ed.).
San Francisco: Pearson Education.
Levi, D. (2001). Group dynamics for teams. Thousand Oaks: Sage.
Milanovich, D.M., Driskell, J.E., Stout, R.J., & Salas, E. (1998). Status and Dynamics: A review
and empirical study. Group Dynamics: Theory, Research, and Practice, 2 (3), 155-167.
OPNAVINST 3710.7T: NATOPS general flight and operating instruction. (2004). Retrieved
September 15, 2006, from the Department of Navy Issuances website
http://doni.daps.dla.mil/OPNAV.aspx
Prince, C., Salas, E. (1993). Training and research for teamwork in the military aircrew. In E.L.
Wiener, B.G. Kanki, & R.L. Helmreich (Eds.), Cockpit resource management (pp. 337-
366). San Diego, CA: Academic.
Salas, E., Prince, C., Bowers, C.A., Stout, R.J., Oser, R.L., & Cannon-Bowers, J.A. (1999). A
methodology for enhancing crew resource management training. Human Factors. 41 (1),
161-172.
Salas, E., Prince, C., Fowlkes, J.E., Stout, R.J., Milanovich, D.M., & Prince, C. (1999). Does
CRM training improve teamwork skills in the cockpit?: Two evaluation studies. Human
Factors. 41 (2), 326-343.
Sexton, J.B., Thomas, E.J., & Helmreich, R.L. (2000). Error, stress, and teamwork in medicine
and aviation: Cross sectional surveys. BMJ. 320, 745-749.
- 51 -
Wiener E.L., Kanki, B.G., & Helmreich, R.L. (Eds.). (1993). Cockpit resource management.
San Diego, CA: Academic.
- 52 -
Appendix A
This questionnaire is designed to gain a better understanding of how Hornet
aircrew view CRM. All data is strictly confidential and anonymous. If you are in a
VMFA please respond to questions pertaining to CRM in the F/A-18D as you would
expect it to be conducted. Your participation in this study is valued and
appreciated.
Please respond to each statement with the number that best represents your
opinion.
1 2 3 4 5
Strongly
Disagree
Disagree
Slightly Neutral Agree Slightly Strongly Agree
Leadership: the ability to direct and coordinate the activities of other crew, or flight,
members and to encourage the aircrew to work together as a team.
1. ___A F/A-18D crew has a defined leader.
2. ___A flight of (section or division) F/A-18s has a defined leader.
3. ___In the F/A-18D leadership is dependant on past experience.
4. ___In a flight of F/A-18s leadership is dependant on past experience.
5. ___In the F/A-18D leadership is dependant on rank.
6. ___In a flight of F/A-18s leadership is dependant on rank.
7. ___In the F/A-18D leadership responsibilities are shared among crew members.
8. ___In a flight of F/A-18s leadership responsibilities are shared among pilots in the flight.
9. ___In the F/A-18D leadership is ambiguous.
10. ___In a flight of F/A-18s leadership is ambiguous.
11. ___In the F/A-18D leadership can shift throughout the course of a mission.
12. ___In a flight of F/A-18s leadership can shift throughout the course of a mission.
13. ___In the F/A-18D leadership is expected to come solely from the pilot in command.
14. ___ Leadership is the same as authority.
Authority: power bestowed to an individual, by an organization, to perform a service on its
behalf.
15. ___In the F/A-18D the mission commander should be the pilot in command.
16. ___In the F/A-18D the mission commander should be the senior ranking officer.
17. ___In a flight of F/A-18s the mission commander should be the senior ranking officer.
18. ___In the F/A-18D the mission commander should be the aircrew with the most flight
hours.
19. ___In a flight of F/A-18s the mission commander should be the pilot with the most flight
hours.
20. ___In the F/A-18D authority should not be questioned in the cockpit.
21. ___In a flight of F/A-18s authority should not be questioned.
22. ___In the F/A-18D authority is ambiguous in the cockpit.
23. ___In a flight of F/A-18s authority is ambiguous.
24. ___In the F/A-18D WSOs should not question the pilot in command’s decisions.
- 53 -
25. ___In a flight of F/A-18s wingmen should not question their flight lead’s decisions.
26. ___In the F/A-18D the pilot in command has final authority on all matters.
27. ___In a flight of F/A-18s the element lead has final authority on all matters.
28. ___In the F/A-18D the pilot in command has final authority regarding all mission critical
matters.
29. ___In a flight of F/A-18s the element lead has final authority regarding all mission
critical matters.
30. ___In the F/A-18D the WSO has final authority on all matters.
31. ___In the F/A-18D the WSO has final authority on all mission critical matters.
32. ___In the F/A-18D rank is relevant in the cockpit.
33. ___In a flight of F/A-18s rank is relevant within the section.
34. ___Authority is different than leadership.
Team work: the collaboration of two or more people, with specific roles and functions, in
order to achieve a goal.
35. ___As long as the mission succeeds, aircrew errors committed during the course of the
flight are not important.
36. ___In the F/A-18D mission accomplishment depends on both crew members’
contribution to the flight.
37. ___In a flight of F/A-18s mission accomplishment depends the contribution of all pilots
the flight.
38. ___In the F/A-18D in flight discussion of conflict and/or disagreement is encouraged.
39. ___In a flight of F/A-18s in flight discussion of conflict and/or disagreement is
encouraged.
40. ___Post flight discussion of conflict and/or disagreement is encouraged.
41. ___In the F/A-18D unanimity is valued over dissent.
42. ___In a flight of F/A-18s unanimity is valued over dissent.
43. ___In the F/A-18 when managing critical tasks I prefer to be solo.
44. ___In the F/A-18D, aircrew share responsibility for prioritizing activities in high
workload situations.
45. ___In a flight of F/A-18s pilots share responsibility for prioritizing activities in high
workload situations.
46. ___In the F/A-18D mission success is primarily a function of the pilot in commands
flying proficiency.
47. ___In a flight of F/A-18s mission success is primarily a function of the lead pilot.
48. ___In the F/A-18D crew coordination and communication are important as technical
proficiency for mission success.
49. ___In a flight of F/A-18s crew coordination and communication are important as
technical proficiency for mission success.
50. ___My performance is not adversely affected by working with an inexperienced or less
capable aircrew.
51. ___Effective crew coordination requires crew members to take into account the
personalities of other crew members.
52. ___In the F/A-18 uncertain situations require quick decision making.
53. ___During flights I am comfortable asking questions in the cockpit.
- 54 -
54. ___ During flights I hesitate to ask questions if other aircrew present are senior to me.
55. ___During flights personal call sign usage breaks down hierarchical barriers.
Safety: attentiveness to procedures which protect aircrew from harm or injury.
56. ___The operation of crewed aircraft is safer than single seat aircraft.
57. ___My decision making skills are as good in emergencies as during routine operations.
58. ___Aircrew should be aware and sensitive to the personal problems of other aircrew.
59. ___In the F/A-18, even when fatigued I perform effectively during critical times in a
flight.
60. ___During flight I let other aircrew members know when my workload is becoming (or
about to become) excessive.
61. ___Pre flight briefs are an important tool for safe operations.
62. ___In the F/A-18 I am more likely to make judgment errors in an emergency situation.
63. ___If I perceive a problem during a flight, I will speak up, regardless of who might be
affected.
64. ___I am ashamed when I make a mistake in front of other aircrew while airborne.
65. ___Crew coordination and communication are as important as technical proficiency for
safety of flight.
66. ___Aircrew should monitor each other for signs of stress or fatigue.
67. ___Personal problems can adversely affect my performance in the F/A-18.
68. ___A truly professional crew member leaves personal problems behind when flying.
69. ___In the F/A-18 I often feel nervous or tense during a flight.
Rank order the following CRM principles from (1) most important to (7) least important
_____DECISION MAKING _____ADAPTABILITY/ FLEXIBILITY
_____SITUATIONAL AWARENESS _____ASSERTIVENESS
_____MISSION ANALYSIS _____COMMUNICATION
_____LEADERSHIP
Demographics:
Rank: 1st
Lt Capt Maj LtCol/Col
Age: <25 25-30 30-35 >35
Circle one: Pilot/WSO Male/Female VMFA/VMFA(AW)
Total Flight Hours________ Total F/A-18 Hours_______
Total Crewed F/A-18D Hours_________
Please provide any comments in the space below:
Thank you for your participation!
- 55 -
Appendix B
NATIONAL UNIVERSITY. LA JOLLA, CA
INFORMED CONSENT FORM
INFORMATION ABOUT: Crew Resource Management: An Inquiry into the Differences
between F/A-18C and F/A-18D Aircrew
RESPONSIBLE INVESTIGATOR: Capt Raymond J. Scholl, 1975 Woodland Valley Glen,
Escondido, CA 92026. (W) 577-8569 (C) 858-752-9410
CONSENT:
I have been asked to participate in a research study that investigates the difference between F/A-
18C and F/A-18D aircrews’ perceptions regarding leadership, authority, teamwork, and safety as
they relate to Crew Resource Management (CRM). I understand that my input may result in a
better understanding of team dynamics in the F/A-18 cockpit, greater mission effectiveness, and
facilitate safer administrative and tactical operation of the F/A-18.
In participating in this study I agree to take an anonymous survey in which I will provide my
opinion to statements that address leadership, authority, teamwork, and safety in the F/A-18
cockpit. I understand that a follow up survey or interview will not be conducted and that my
participation is completely voluntary.
I understand that:
a) There are no potential side effects.
b) There are no possible benefits of this study to me.
c) I understand appropriate alternative procedures or courses of treatment, if any, that might
be advantageous or available to me.
d) I understand that my participation is voluntary and I may refuse to participate in or I may
withdraw from this study at any time without any negative consequences.
e) I understand that the investigator may stop the study at any time.
f) I also understand that:
i. no information that identifies me will be released without my separate
consent and that all identifiable information will be protected to the limits
allowed by law;
g) If the study design or the use of the data is to be changed, I will be so informed and my
consent re-obtained.
- 56 -
h) I understand that if I have any questions, comments, or concerns about the study or the
informed consent process, I may write or call the Office of the Provost, National
University, 11255 North Torrey Pines Road, La Jolla, CA 92037; Telephone (858) 642-
8125.
i) I acknowledge that I have received a copy of this form.
j) I understand the extent, if any, to which confidentiality of records identifying the subject
will be maintained;
k) I acknowledge that for research involving more than a minimal risk, an explanation as to
whether any compensation will be given or if medical treatments are available, if injury
occurs, and, if so, what they consist of or where further information can be obtained;
l) I understand whom to contact for answers to questions about the research and research
subjects’ rights, or in the event of a research-related injury;
I acknowledge that I have received a copy of this form.
_________________________________________ _____________________
Signature of Participant or Responsible Party Date
__________________________________________ _____________________
Signature of Witness Date
__________________________________________ _____________________
Signature of Investigator Date
Revision 01/2005
- 57 -
Appendix C
Table C1
Responses to statements addressing leadership. Values are percentages.
F/A-18C F/A-18D
Pilots WSO Pilot
(n=17) (n=13) (n=17)
Item Description
#1 An F/A-18D crew has a defined leader.
Agree 60 69 41
Neutral 22 8 29
Disagree 18 23 30
100 100 100
#5 In the F/A-18D leadership is dependant on rank.
Agree 12 15 29
Neutral 29 23 6
Disagree 59 62 65
100 100 100
#9 In an F/A-18D leadership is ambiguous.
Agree 6 0 12
Neutral 29 16 18
Disagree 65 84 70
100 100 100
#12 In a flight of F/A-18s leadership can shift throughout the course of a
mission.
Agree 52 39 18
Neutral 12 0 17
Disagree 36 61 65
100 100 100
#13 In the F/A-18D leadership is expected to come solely from the pilot in
command.
Agree 0 8 6
Neutral 18 0 0
Disagree 82 92 94
100 100 100
#14 Leadership is the same as authority.
Agree 6 0 24
Neutral 12 23 6
Disagree 82 77 70
100 100 100
- 58 -
Appendix C
Table C2
Responses to statements addressing authority. Values are percentages.
F/A-18C F/A-18D
Pilots WSO Pilot
(n=17) (n=13) (n=17)
Item Description
#15 In the F/A-18D the mission commander should be the pilot in command.
Agree 6 0 12
Neutral 18 0 18
Disagree 76 100 70
100 100 100
#16 In the of F/A-18D the mission commander should be the senior ranking
officer.
Agree 0 8 0
Neutral 6 0 0
Disagree 94 92 100
100 100 100
#18 In the F/A-18D the mission commander should be the aircrew with the
most flight hours.
Agree 0 31 6
Neutral 11 0 0
Disagree 89 69 94
100 100 100
#26 In the F/A-18D the pilot in command has final authority on all matters.
Agree 46 38 42
Neutral 12 16 10
Disagree 42 46 48
100 100 100
#28 In the F/A-18D the pilot in command has final authority regarding all
mission critical matters.
Agree 24 38 30
Neutral 29 16 0
Disagree 47 46 70
100 100 100
# 34 Authority is different than leadership.
Agree 88 77 82
Neutral 12 15 12
Disagree 0 8 6
100 100 100
- 59 -
Appendix C
Table C3
Responses to statements addressing teamwork. Values are percentages.
F/A-18C F/A-18D
Pilots WSO Pilot
(n=17) (n=13) (n=17)
Item Description
# 35 As long as the mission succeeds, aircrew errors committed during
the course of the flight are not important.
Agree 0 0 0
Neutral 0 0 0
Disagree 100 100 100
100 100 100
# 43 In the F/A-18 when managing critical tasks I prefer to be solo.
Agree 82 0 24
Neutral 12 31 23
Disagree 6 69 53
100 100 100
# 44 In the F/A-18D, aircrew share responsibility for prioritizing
activities in high workload situations.
Agree 94 84 100
Neutral 6 8 0
Disagree 0 8 0
100 100 100
#54 During flights I hesitate to ask questions if other aircrew present
are senior to me.
Agree 29 0 12
Neutral 24 8 6
Disagree 47 92 82
100 100 100
- 60 -
Appendix C
Table C4
Responses to statements addressing safety. Values are percentages.
F/A-18C F/A-18D
Pilots WSO Pilot
(n=17) (n=13) (n=17)
Item Description
#56 The operation of crewed aircraft is safer than single seat aircraft.
Agree 18 77 58
Neutral 29 23 24
Disagree 53 0 18
100 100 100
#57 My decision making skills are as good in emergencies as during routine
operations.
Agree 36 77 64
Neutral 35 23 18
Disagree 29 0 18
100 100 100
#60 During flight I let other aircrew members know when my workload is
Becoming (or about to become) excessive.
Agree 47 84 82
Neutral 29 8 6
Disagree 24 8 12
100 100 100
# 62 In the F/A-18 I am more likely to make judgment errors in an
emergency situation.
Agree 12 23 24
Neutral 41 23 46
Disagree 47 54 30
100 100 100
# 68 A truly professional crew member leaves personal problems behind
when flying.
Agree 76 100 82
Neutral 12 0 0
Disagree 12 0 18
100 100 100

Crew Resource Management- An Inquiry in to the Differences Between F:A-18 C and F:A-18D Aircrew

  • 1.
    - 1 - CrewResource Management: An Inquiry in to the Differences Between F/A-18 C and F/A-18D Aircrew Presented to the Faculty of the School of Business and Management of National University In Partial Fulfillment of the Requirements For the Degree of Masters of Science in Organizational Leadership By Raymond J. Scholl November 18, 2006
  • 2.
    - 2 - Abstract Historically,research investigating group dynamics of aircraft cockpits has been conducted in the commercial aviation industry; little research has examined the high risk environments faced by military aircrews, especially in the F/A-18 “Hornet”. Flying the F/A-18 is a high risk activity; aircrew are expected to fly out of their comfort zone and voluntarily put themselves in harms way while striking a balance between mission accomplishment and safety. Intra-cockpit conflict and poor communication could threaten the lives of aircrew and result in mission failure. This paper examines whether there is a difference between F/A-18C pilots and F/A-18D aircrew along the dimensions of authority, teamwork, leadership, and safety, and discusses the implications differing values could have on safety of flight. Data collection and analyses are used to help readers gain an understanding of what leadership concepts and skills are valued by aircrew that operate in high risk environments.
  • 3.
    - 3 - Copyright Copyright© 2006 by Raymond J. Scholl All Rights Reserved
  • 4.
    - 4 - MastersThesis Approval The following project has met the approval of faculty for quality and scholarship as a culminating experience for the fulfillment of the Master of Science Degree in Organizational Leadership: Type of project ____Comparative Study ____Applied Business Research _X_ Thesis ____Case Study Title: Crew Resource Management: An Inquiry in to the Differences Between F/A-18 C and F/A-18D Aircrew Approved by: Julia Buchanan, MA _______________________________________ ______ Lead Faculty, MSOL signature date
  • 5.
    - 5 - Dedication Tomy wife Amy, you could probably tell the reader more about this research than I can. Thanks for listening and for your patience.
  • 6.
    - 6 - Acknowledgements Severalpeople have been involved in the evolution of this project. I would like to thank Julia Buchanan, M.A. for her guidance throughout the development and implementation of this project and her dedication to experiential learning. Additionally, this project would not have been possible without the participation of several Marine Pilots and WSOs who took time from their training and administrative duties to participate in my research. Finally, I would like to thank my brother, Peter F. Scholl Ph.D., for his counsel and sage advice.
  • 7.
    - 7 - Appendices AppendixA…...……….…………………………………………………………………45 Appendix B...……….……………………………………………………………………47 Appendix C…...……….…………………………………………………………………49
  • 8.
    - 8 - Tableof Contents Abstract……………………………………………………………………………………ii Copyright…………………………………………………………………………………iii Master’s Thesis Approval…………………………………………………………...…....iv Dedication…………………………………………………………………………………v Acknowledgements……………………………………………………………………….vi List of Appendices.............................................................................................................vii IRB Approval Letter……………………………………………………………………viii Table of Contents……………………………………………………………………….. ix Chapter 1…………………………………………………………………………..1 Chapter 2…………………………………………………………………………..7 Chapter 3…………………………………………………………………………19 Chapter 4…………………………………………………………………………25 Chapter 5…………………………………………………………………………32 References………………………………………………………………………..41 Appendices……………………………………………………………………….44
  • 9.
    - 9 - ChapterOne Background The dawn of the jet age in the early 1950s had a positive effect on the aviation industry. New aircraft technology resulted in the multipiloted aircraft as the norm for aviation operations. The advent of jet engine technology also greatly reduced the number of aviation mishaps due to mechanical failure; however, the degree to which human error caused mishaps became more apparent (Milanovich, Driskell, Stout, and Salas, 1998). Until the 1980s, little research examined group dynamics in aircraft cockpits. Until this time, aviation psychology emphasized the performance and proficiency of individual pilots (Milanovich et al., 1998). The recruitment of pilots focused on individual technical skills and abilities. Crews fly planes, however little attention has been paid to aircrew interactions and interpersonal skills, which could foster teamwork and produce effective error management (Fraher, 2005a). The aviation industry assumed that crews, composed of intelligent well-trained individuals, could operate a technically sophisticated aircraft safely in multiple complex environments (Helmreich and Foushee, 1993). However, from 1980 to 1997 “…60%-80% of aviation incidents and accidents were attributable to human error in the cockpit” (Fraher, 2005b; Salas et al., 1999, p.161). The aviation community’s assumptions regarding accident prevention, individual competencies, and teamwork did not hold true. For instance, in 1972 Eastern Airlines Flight 401 crashed in Florida killing all 104 people on board (Fraher, 2005b). A light bulb that had burned out in the landing gear handle distracted the aircrew. While the crew continued to troubleshoot the anomaly, the aircraft began a slow insidious descent. Despite several inquiries from air traffic control regarding the aircraft’s altitude the airplane continued a descent until it impacted the ground (Fraher, 2005b).
  • 10.
    - 10 - Inresponse to numerous examples of airline mishaps caused by human error in the cockpit, the airline industry acknowledged the human element to such disasters. Researchers began to investigate how to train highly skilled individual crewmembers to work together as an effective team (Wiener, Kanki, and Helmreich, 1993). An intervention designed to improve aircrew performance and enhance teamwork within the cockpit was created; it is referred to as crew resource management (CRM) (Salas et al., 1999). Salas et al. (1999) cited Lauber (1984) who described CRM as “…using all available resources –information, equipment, and people-to achieve safe and efficient flight operations” (p.162). Salas added that CRM also includes optimizing the “acquisition of timely, appropriate information” as well as engaging in “…interpersonal activities including leadership, effective team formation and maintenance, problem solving, decision making, and maintaining situational awareness” (Salas et al., 1999, p.162). The Department of the Navy, which includes both the Navy and Marine Corps, has also experienced high aircraft loses due to human error in the cockpit. A study of naval aviation mishaps ranging from 1990 to 1999, conducted by the Naval Safety Center, found that 60% of mishaps had at least one CRM failure (Hepfer and Gillian, 2000). Prior to 1990, the U.S. military “…had no significant research effort aimed at investigating cockpit interaction and resource use…” (Prince and Salas, 1993, p. 338). Witnessing the success the commercial airline industry demonstrated with CRM, the military initiated research to develop a CRM program in 1989. The military’s objective was to reduce high mishap rates resulting from failures in communication, teamwork, decision-making, and leadership within the cockpit. Additionally, the military hoped that CRM would increase mission effectiveness for aviation operations (Prince and Salas, 1993). The Office of the Chief of Naval Operations Instruction (OPNAVINST) 3710.7T is a
  • 11.
    - 11 - U.S.Navy publication that provides guidance and direction to naval aviation activities and aircrew. OPNAV 3710.7T (2004) states that: The objective of the Aircrew Coordination Training (CRM) Program is to integrate the instruction of specifically defined behavioral skills throughout Navy and Marine Corps aviation training, and to integrate the effective application of these behavioral skills into operational aviation procedures wherever appropriate. CRM will increase mission effectiveness, minimize crew preventable error, maximize aircrew coordination, and optimize risk management. (p.3-11) In the military context, CRM is a philosophy that focuses on teamwork and the leadership dynamics of effectively operating an aircraft as well as the prevention and management of error. In the Navy and Marine Corps CRM is also known as aircrew coordination training (ACT). An element of CRM is crew coordination, which reinforces the need for teamwork and effective communication within the cockpit. Limitations of Existing Research CRM research has focused on civilian commercial aviation. Although the military has benefited from previous studies of CRM, there are fundamental differences between military and civil aviation that must be addressed in any CRM training. In civilian aviation flight safety is paramount and part of the business model for the airlines; civilian carriers are in the business of safely transporting people and cargo (Prince and Salas, 1993). In the military tactical aviation requires aircrew to prepare for combat. Military aircrew are expected to fly out of their comfort zones and voluntarily put themselves in harms way while striking a balance between mission accomplishment and safety (Prince and Salas, 1993). This process requires detailed coordination between crewmembers and external agencies,
  • 12.
    - 12 - priorto and during flight. Additionally, while in the cockpit military aircrews must adapt to distinctions in rank, qualifications, currency, and proficiency (Prince and Salas, 1993). An additional limitation exists in the way in which the Navy and Marine Corps have utilized CRM. The Navy’s intent was to create an awareness and understanding of several critical behavioral skills that would enable aircrew to tactically, and safely, operate aircraft. Despite the Navy’s best intentions, its curriculum is static and lacks specificity. The CRM program is not aircraft type, model, or series specific; prescribed behavioral skills are taught to all aircrew throughout the Navy and Marine Corps regardless of which aircraft they fly. Even though cargo, transport, helicopter, and tactical jets crews are tasked with disparate missions, aircraft and mission specific CRM has not formally been addressed. Purpose To maintain combat readiness the U.S. Marine Corps maintains several squadrons of the F/A-18, also known as the Hornet. The USMC operates two versions of the aircraft; one is a single seat model, known as the F/A-18C. The other aircraft is a two-seat variant designated the F/A-18D. F/A-18C and D models are designed to be fighter attack aircraft, which serve multiple roles as bombing platforms and as aerial fighters. Marine F/A-18C squadrons are identified by the acronym VMFA which stands for Marine Fixed Wing Fighter Attack Squadron. Marine F/A- 18D squadrons are identified using the acronym VMFA (AW), which stands for Marine Fixed Wing All Weather Fighter Attack Squadron. F/A-18 pilots are trained to be Hornet pilots; academic and flight instruction does not differ between models. At different points in a Marine F/A-18 pilot’s career, it is possible for him/her to be assigned to a single seat and two-seat squadron. Unless a single seat pilot has been previously assigned to a VMFA (AW), they are unlikely to be familiar with the team dynamics required in an F/A-18D. In the rear cockpit of the
  • 13.
    - 13 - F/A-18Dsits a Weapon and Sensors Officer (WSO), not a pilot. A WSO’s mission is to provide weapons and sensor cuing to targets, as well as facilitate communications to external agencies while operating in extremely demanding conditions. CRM and crew coordination are essential elements for aircrew operating the F/A-18D. Flying the Hornet is a high-risk activity, inter-cockpit conflict and maladaptive behavioral skills can threaten the lives of both aircrew. If the unique group dynamics of a D cockpit are not understood or considered by a pilot, new to the two-seat environment, then issues of authority, leadership, and trust may develop. Intra-cockpit conflict in a high-risk environment will undermine the ability for a crew to work as a team, inhibit effective communication, hinder situational awareness, limit a crew’s ability to remain adaptable and flexible, negatively impact aircrew performance, and could compromise the safety of a crew and mission accomplishment. The goal of the subsequent research is to answer the question: are attitudes regarding authority, teamwork, leadership, and safety different between F/A-18C pilots and F/A-18D aircrew (pilots and WSOs)? Although all of the aircrew identified for the survey have received CRM training in accordance with OPNAVINST 3710.7T, attitudes regarding each of the four dimensions is expected to be different among F/A-18C and F/A-18 D aircrew. Different opinions regarding the importance of the four dimensions could create interpersonal conflict within the cockpit, which has implications for safety of flight and mission effectiveness. This inquiry is significant because this question has not been addressed in the Hornet community. For the purpose of this research leadership will be defined using the OPNAVINST 3710.7T definition which states it is “the ability to direct and coordinate the activities of other crew members and to encourage the crew to work together as a team” (2004, p.3-12). Authority is defined as “power legitimated by a team in an individual to perform a service on its behalf”
  • 14.
    - 14 - (Fraher,2005a, p.16). Teamwork is the collaboration of two or more people, with specific roles and functions, in order to achieve a goal (Johnson and Johnson, 2006). Safety will be regarded as protection from harm or injury. Summary Aviation is a high-risk activity, a lack of attention to detail while airborne, poor communication, poor leadership, or a disregard for safety can result in mission failure and the loss life. The development of crew resource management has vastly improved commercial and military aviation; as well as significantly reduced the number of fatal mishaps. Despite the abundance of studies examining CRM and group dynamics in civil aviation, research investigating CRM in the military has been sparse; little research has been conducted in the tactical aviation community. Since the operational debut of the F/A-18, no research has been published which examines the difference in attitudes of aircrew toward CRM and the social structures which underlie it.
  • 15.
    - 15 - Chapter2 Literature Review Although there is little to no scholarly research that investigates crew resource management in the F/A-18D cockpit, a review of existing CRM research and literature regarding teamwork, authority, and leadership, should provide the reader with a basic understanding of the complex social process that occur in this high-risk environment. Communication and decision making have a persistent influence in how individuals engage in CRM; each element will be addressed as it pertains to the three dimensions. Teamwork. A flight crew, also known as aircrew, constitutes a group (Ginnett, 1993). Ginnett (1993) described the culture in the United States as individualistic, and stated that it does not easily lend itself to group concepts or issues. As a result, the U.S. work force in many occupational environments has had difficulty “making the transition from individual work to group work” (Ginnett, 1993, p.71). In assessing the history of aviation Ginnett (1993) and Fraher (2005a) pointed out that since humans first took to the sky in planes a flight student’s goal has been to fly solo. Helmreich (1998) described the archetypal pilot as the lone man who braved the elements with “imperturbable competence” (p.28). Ginnett (1993) stated that the airline industry has been primarily interested in individual qualifications and performance when conducting evaluations, even when training pilots to fly in a crew served cockpit. He also argued that flight training must discontinue its individual focus. Johnson and Johnson (2006) defined a team as “a set of interpersonal interactions structured to achieve established goals” (p.532). The authors described teams as having limited life spans and maintained that team members are aware of their positive interdependence as they
  • 16.
    - 16 - attemptto accomplish clearly defined goals (Johnson and Johnson, 2006, Fraher 2005a). Additionally, Fraher (2005a) stated that teams “organize themselves in a systemic way”; team members have specific roles and functions and understand the importance of their contributions (p.11). While working towards goals, team members share leadership responsibilities and individual accountability is maintained as they engage in problem solving (Fraher 2005a; Johnson and Johnson, 2006). The result of a team effort is an outcome that is greater than the sum of its parts (Johnson and Johnson, 2006, p.533). Teams are more likely to be successful if they can cooperate. Johnson and Johnson (2006) identified two basic elements of cooperation that create a positive team dynamic and decrease the likelihood that team members will attempt to pursue their own self-interests. The first element is positive interdependence, which exists when a team member perceives that he/she is linked with others in the group and “…that one cannot succeed unless they do” (Johnson and Johnson, 2006, p.107). The authors maintain that team members have two responsibilities, which are to maximize their own productivity and to maximize the productivity of other group members. Two categories of interdependence have been identified by the authors: outcome interdependence and means interdependence (Johnson and Johnson, 2006). Outcome interdependence exists when a team is oriented toward a desired goal, without a goal there would be no need for cooperation. Means interdependence occurs when specific actions are required and “The way in which the goal is to be accomplished determines what courses of action members take and the roles the play” (Johnson and Johnson, 2006, p.107). The presence or lack of positive interdependence will affect individual motivation and contributions to the team (Johnson and Johnson, 2006). Johnson and Johnson (2006) referenced a study conducted by Kerr (1983) and stated that team members who believe that their contributions are unnecessary or
  • 17.
    - 17 - pointlessmay reduce their effort. This behavior in a high-risk environment could become a liability and result in a failure to achieve a goal. Additionally, the authors noted that Harkins and Petty (1982) found that team members who believe their efforts are beneficial to the team are likely to increase their effort (Johnson and Johnson, 2006). The second element necessary for cooperation identified by is Johnson and Johnson (2006) is individual accountability/personal responsibility. The authors maintain that work is required from all team members in order to accomplish a goal; this effort requires the investment of personal resources such as time and thought. The benefit of team membership is that achievements are awarded to all members regardless of individual effort. Johnson and Johnson (2006) maintain that having a sense of personal interdependence will engender personal responsibility and prevent social loafing. Additionally, responsibility is increased when individual and group accountability exists. Accountability occurs when individual and group effort has been assessed and feedback is provided (Johnson and Johnson, 2006). Maintaining accountability of team members could highlight their sense of interdependence, decrease apathy, and improve individual performance. Failure to maintain individual accountability “…may reduce feelings of personal responsibility” and hinder a team’s ability to accomplish a goal (Johnson and Johnson, 2006, p.110). Research conducted by Prince and Salas (1993) examined teamwork skills which would enhance team training for naval aviators. The researchers utilized information taken from “…critical incident interviews with aviators, and a team task inventory form on which aviators rated team process behaviors for importance to training…mission accomplishment and safety” (Salas et al., 1999, p.327). Prince and Salas (1993) identified the following seven critical
  • 18.
    - 18 - behavioralskills for naval aviators: decision-making, assertiveness, mission analysis, communication, leadership, adaptability/ flexibility, and situational awareness. The U.S. Navy adopted the seven behavioral skills identified by Prince and Salas and made them the foundation for its CRM program; the goal of implementing the skills was to increase mission effectiveness and enhance safety. OPNAVINST 3710.7T (2004) lists and defines each behavioral skill. The first skill identified in the naval publication is decision making. Decision-making is defined as “The ability to choose a course of action using logical and sound judgment based on available information” (p.3-12). This skill requires an accurate assessment of the situation, verification of information, identification of solutions, an understanding of consequences, the act of deciding, informing others and evaluation of the decision. Assertiveness is described as “an individual’s willingness to actively participate, state, and maintain a position, until convinced by the facts that other options are better” (p.3-12). The Navy publication defines mission analysis as “The ability to develop short-term, long-term, and contingency plans and to coordinate, allocate, and monitor crew and aircraft resources” (p.3-12). Mission analysis is intended to reduce uncertainty within the cockpit, and enable crewmembers to make sensible decisions based on their commander’s intent for the mission. Communication is described as “the ability to clearly and accurately send and acknowledge information, instructions, or commands, and provide useful feedback” (p.3-12). The ability to communicate effectively enables aircrew to engage in a meaningful exchange of mission critical information and safely operate aircraft. OPNAVINST 3710.7T defines leadership as “the ability to direct and coordinate the activities of other crew members and to encourage the crew to work together as a team” (2004, p.3-12). Adaptability and flexibility are defined together as the “ability to alter a course of action based on new information, maintain constructive behavior under pressure, and
  • 19.
    - 19 - adaptto internal and external environmental changes” (p.3-12). OPNAVINST 3710.7T maintains that mission effectiveness is highly dependant on aircrews’ ability to adjust to rapidly changing situations. Lastly, situational awareness is described as “the degree of accuracy by which ones perception of the current environment mirrors reality” (p.3-12). Fraher (2006a) has researched the dynamics of teams that operate in high-risk environments and described them as high-risk teams. High-risk teams are defined as “…two or more people working together in an environment where there is significant risk of injury or death to themselves or to others as a result of their performance” (Fraher, 2006a, p.2). Aviation is a high-risk occupation that is technically demanding and “strictly guided by licensing, qualifications, and regulations” (Fraher, 2005b, p.164). Fraher (2006a) points out that high risk teams are not unique to the military or aviation and explains that other professions such as law enforcement, firefighting, medicine, offshore drilling, and the nuclear power industry all posses high-risk teams. According to Fraher (2006a), members of teams operating in high-risk environments can experience extreme amounts of stress when they are required to expose themselves to life threatening risk, negotiate interpersonal conflicts, and make time critical decisions. High-risk environments can affect team members’ ability to communicate effectively and can lead to team dysfunction. Fraher (2006a) maintains that developing an understanding of high-risk teams will expand the knowledge of group dynamics, increase knowledge of authority relations, and reveal the interdependent nature of leadership. Authority. Understanding the concept of authority and its dynamic nature in a team setting is critical when examining interpersonal relations in a cockpit. In the cockpit environment, authority
  • 20.
    - 20 - dynamicscan influence the degree to which aircrew communicate and it can affect the decision making process. Fraher (2005a) maintains that authority “emerges through a leader-follower exchange of trust and power” (p.16). Ginnett stated “…authority is the right to use power and influence” (1993, p.81). Individuals may obtain formal authority from the legitimate power of their position within an organization. Military rank is an example of a source of legitimate power and formal authority. Authority can also be derived from “recognized expertise”, or expert power, which individuals possess when they demonstrate competence and proficiency of a valued skill (Ginnett, 1993, p.81). Expert power can enable individuals to hold formal as well as informal positions of authority. Despite a lack of formal designation, an individual with expert knowledge can earn the trust and respect of other group members; this may provide him/her with the ability to influence others (Fraher, 2005a). Individuals who are not in a position of authority are dependent upon those who are. Ginnett describes dependency as neither good nor bad; a person’s level of dependency must be matched with the situation (1993). Ginnett (1993) refers to a study conducted by Harper, Kidera, and Cullen (1971) which demonstrates a mismatch between dependency and the needs of the situation. Harper et al. conducted an experiment where the captains of a commercial airline would feign incapacitation in a simulator during an approach to land. In the study, 25% of the flights crashed because the first officer failed to take the controls from the captain when he/she knew the situation required a correction (Ginnett, 1993). This research demonstrated that authority can have a powerful effect on aircrew relationships in the cockpit, which may override one’s own sense of self-preservation.
  • 21.
    - 21 - Milanovichet al. (1998) described the unwillingness of authority figures in the cockpit to accept input from other crewmembers as superordinate; additionally the authors described first officers’ reluctance to question their captains as subordinate. The authors state that superordinate and subordinate can have negative effects on relationships and represent status generalization (Milanovich et al., 1998). Status generalization “refers to the importing of status distinctions from the outside world into the immediate environment of the task group” (Milanovich et al., 1998, p.157). Status generalization occurs when readily evident social cues, such as rank, gender, age, or occupational status are used to develop perceptions regarding an individual’s competence and level of social influence (Milanovich et al., 1998). The authors also noted that in groups where status differences distinguished members, certain people achieve superordinate positions; as a result, their opinions and ideas commanded more support from other group members (Milanovich et al., 1998). A consequence of this dynamic is that lower status individuals are less likely to offer their thoughts, opinions, suggestions, or take necessary action when it may be appropriate to do so. It is important to note that individuals’s self-perception of their own status is subjective. If one believes that they have more influence than other group members do, the individual may be more inclined to speak and actually obtain an influential role in the group. Torrance’s study (as cited in Milanovich et al., 1998) of U.S. Air Force bomber crews found that status had an influence on military tasks and decision making tasks even when expertise was not relevant to the decision making process. Torrance discovered that pilots were less likely to change their opinions when input was provided from other crewmembers; where as non-pilot crew members were more likely to alter their opinions based on the input of the pilot (Milanovich et al., 1998).
  • 22.
    - 22 - Milanovichet al. (1998) identified several implications of status generalization on group dynamics. The authors stated that individuals with “…high status in a group are more likely to be directive, are less likely to attend to input from other group members, and have a disproportionate impact on group decision making” (p.157). Conversely, lower status members are less likely to have influence. A second implication identified by the authors (Milanovich et al., 1998) is that status differences not relevant to the current task will also influence the interactions between crewmembers; this could result in the misappropriation of authority and influence at time where critical team decisions must be made. For instance, if a crewmember detects that the aircraft is approaching, or currently in, a dangerous situation he/she may engage in self-censorship, or be ignored, despite having the authority and obligation to immediately correct the situation. Prince and Salas (1993) noted that organizations possess structures that can influence authority dynamics inside the cockpit. The authors identified military rank as a “…notable structure that exists in the military but not in the air carrier cockpit” (Prince and Salas, 1993, p.345). Rank is a cultural artifact that is likely to influence authority dynamics in the cockpit, as well as affect the ways in which military aircrew communicate and engage in decision-making. Cavanaugh and Williams (as cited in Prince and Salas, 1993) described “rank reversal” as a situation which occurs when a person of lower rank is designated as the pilot in command, or the mission commander; and has legitimate authority over a senior ranking officer (Prince and Salas, 1993, p.345). Rank reversal is an occurrence unique to the military cockpit and may create a level of ambiguity and not likely to occur in civilian cockpit. Prince and Salas point out that this situation can become even more complex if rank differences are “compounded by the position of the individual (i.e. Commanding Officer…)”; meaning the pilot in command is not only junior in
  • 23.
    - 23 - rankbut he/she is a direct subordinate of the other aircrew (Prince and Salas, 1993, p.346). Cavanaugh and Williams believe that this situation creates the potential for tension because usual organizational hierarchies are superseded by the authority structure unique to the military cockpit. This unique authority dynamic has the potential to create barriers to effective communication, impact effective decision making, and become a threat to flight safety if it distracts aircrew from their primary responsibility of flying the plane. Assertiveness is a social tool that can be utilized to minimize confusing interpersonal exchanges that could result from rank reversal in a military cockpit. Leadership. Mission effectiveness, safe operation of aircraft, and effective crew coordination in the cockpit of a multi-seat fighter attack aircraft is a delicate balance between leadership and authority. Leadership and authority are often used as synonyms for one another; however “leadership is distinct from authority” (Fraher 2005a, Bolman and Deal, 2003, p.87). Bolman and Deal (2003) argue that authority, whether through regulation or law, commands obedience, whereas obedience to leaders is voluntary. The authors also contrast leadership with authority by stating that leaders persuade and inspire others to act rather than by giving orders (Bolman and Deal, 2003). Several definitions of leadership exist in the context of groups and teams. Levi (2001) describes leadership as “…a process in which an individual influences the progress of other group members toward the attainment of a goal” (p.174). Johnson and Johnson (2006) state that “a leader is a person who can influence others to be more effective in working to achieve their mutual goals and maintain effective working relationships among members” (p.168). Hawkins (as cited in Mearns, Flin, and O’Connor 2001) identified a leader as “…a person whose ideas and
  • 24.
    - 24 - actionsinfluence the thought and behavior of others” (p.384). Literature discussed thus far has demonstrated that influence is an intended result of both leadership and authority. However, effective leaders are interested in more than simply influencing others to act in a prescribed manner; leadership also addresses ones ability to affect positive outcomes. Additionally, definitions of leadership emphasize the maintenance of effective working relationships, whereas the importance of maintaining nurturing relationships was not discussed in the literature on authority. Heifetz and Laurie (2003) identified adaptive change as one of the biggest challenges leaders face. Adaptive challenges result from ambiguous situations with ill-defined problems and lack clear solutions. Adaptive work requires leaders to be creative in the ways in which they orient, observe, evaluate, and engage in problem solving. Working through adaptive challenges often requires leaders to delegate authority in order to work towards solutions (Heifetz and Laurie, 2003). Adaptive challenges are contrasted with technical challenges, which are characterized by clearly defined problems. Technical change can be achieved by implementing solutions such as “…steps dictated by manuals, procedures, or checklists…” (Fraher, 2006a, p.36). The author also points out that most high risk teams are action-oriented and trained to react to their circumstances using technical solutions (i.e. cockpit checklists). Additionally, Fraher (2006a) remarks that when faced with adaptive challenges “…high-risk teams may find it difficult to tolerate ambiguity and wait for vital information to become available to assist in decision making” (p.36). The demanding and rapidly changing nature of environments in which high-risk teams operate, makes waiting for sufficient information a hazardous behavior. Fraher (2006a) submits that a leadership challenge for leaders of high-risk teams is to learn to tolerate ambiguity and uncertainty, demonstrate confidence, and manage anxiety.
  • 25.
    - 25 - Theambiguity of high-risk environments coupled with adaptive challenges begs the following question: Is leadership shared. Fraher argues that successful teams operating in high risk environments share the leadership role and that every team member has leadership potential (2006a). According to Fraher, the nature of a team’s task is a key factor in determining who the most qualified individual to lead the team is. The OPNAVINST 3710.7T does not implicitly state that responsibility of leadership rests in the hands of one individual (i.e. the pilot), nor does it designate a specific crewmember as the leader in the cockpit. Additionally, the instruction identifies two different types of leadership which exist in the cockpit; the first is designated leadership which is described as “normal leadership” based on “…authority, crew position, rank or title” (p.3-12). The second type of leadership identified by OPNAVINST 3710.7T is functional leadership; which is “leadership by knowledge or expertise” (p.3-12). Functional leadership is described as temporary and allows the most qualified member of the aircrew to take charge of a situation. Prince and Salas (1993) also recognized that military cockpits may produce conditions in which dual leadership roles exist: The captain of an airline flight is the single individual in charge, but a military flight may have two commanders, one who leads the mission and one who is responsible for safety of flight. With each mission having the dual goals of completing the mission safely and completing it effectively, there can exist opportunities for honest disagreement between the two (p.343). Summary. Leadership, authority, and teamwork are three fundamental elements that allow high-risk teams to safely work in high-risk environments and accomplish their missions. Literature that discusses the three elements demonstrates that there are several complex social processes at work
  • 26.
    - 26 - inthe cockpit environment. The degree to which aircrew members work as an effective team depends on their perceived level of interdependence, their ability to effectively communicate, and to understand information in a stressful and demanding environment. The majority of research discussing authority and leadership has used these terms interchangeably. Comprehending the distinctions between the two concepts is essential for understanding how and why aircrew members behave, communicate, and make decisions. High-risk environments require shared leadership, distributed authority, and effective teamwork. .
  • 27.
    - 27 - Chapter3 Methodology Participants. CRM training in the Navy and Marine Corps has drawn on the seven behavioral skills identified by Prince and Salas (1993) to improve social dynamics within the cockpit. However, in the author’s opinion the comprehension of these skills provides only a partial understanding of the complex social processes that occur between crewmembers. Put another way, the seven behavioral skills represent a technical solution to an adaptive challenge. The seven skills are presented and taught to aircrew in a checklist format, and are oriented toward changing individual behaviors; aircrew attitudes toward the skills are not addressed. Although this training has helped reduce mishap rates in the Navy and Marine Corps, it is incomplete because it merely tells aircrew how to behave. In addition to distinguishing between the adaptive and technical challenges, Heifetz and Laurie (2003) used the metaphor of getting on a balcony and observing patterns of behavior and occurrences in order to identify and understand an organizational dilemma. Using their paradigm the author recognized that current CRM training does not provide aircrew with an understanding of either the complex nature of authority dynamics or the interdependent nature of relationships often found in high-risk teams (Fraher, 2005a). Prince and Salas’s seven behavioral skills are prescriptions for conduct that help aircrew in demanding and stressful situations manage the social complexities associated with leadership, authority, and teamwork without ever examining aircrew’s predispositions to these dimensions. It appears that behavioral training has occurred without regard for developing an understanding of how aircrew value leadership, authority, teamwork, and safety.
  • 28.
    - 28 - SurveyDesign. A cross-sectional survey was developed to measure F/A-18 aircrew attitudes toward the dimensions of leadership, authority, teamwork, and safety in order to examine the adaptive challenges associated with CRM training for F/A-18 aircrew. Respondents were also asked to rank order the seven behavioral skills currently used in CRM training. This measurement was taken to observe if respondents’ reported values of the seven behavioral skills was in some way associated with their attitudes toward each of the four dimensions of interest. The survey design utilized Helmreich’s Flight Management Attitude Questionnaire (1998) as a model for the survey instrument. Helmreich’s survey measured “…attitudes toward stress, status, status hierarchies, leadership and interpersonal interaction issues” (Sexton, Thomas, and Helmreich, 2000, p.745). Sexton et al. (2000) stated that the questionnaire has been “…reliable, sensitive to change, and the elicited attitudes have been shown to predict performance” (Sexton et al., 2000, p.746). A portion of the survey conducted for this research was taken directly from Helmreich’s survey; for clarity and contextual relevance, minor modifications to wording were made. For instance, under the safety dimension participants were asked, “I am ashamed when I make a mistake in front of other aircrew while airborne.” This statement was originally asked, as “I am ashamed when I make a mistake in front of my other crew members” (Helmreich, 1998, p.252). This adjustment was made because the nature of the current research is investigating cockpit dynamics in flight; whereas the original survey statements could be interpreted as occurring at any time aircrew were interacting. Other survey statements were created in an effort to be contextually relevant to the participants and to solicit a response relevant to the dimension of interest. For instance, under the section regarding leadership, the same statement is made twice but with minor adjustments
  • 29.
    - 29 - (Recallthat the F/A-18D has two people inside the cockpit, whereas the F/A-18C has a single person). The first version of the statement is “AnF/A-18D crew has a defined leader”, the second version is “A flight of (section or division) F/A-18s has a defined leader”. When aircraft are operating together, they are referred to as a flight; a flight of two is called a section and a flight of four is a division. The term “flight of F-18s” is used in the survey in order to solicit a genuine response from F/A-18C pilots. Although they do not have another person in their cockpit, F/A- 18C pilots still work as a part of a team when flying in section or division. For the purposes of this research it was important to understand how F/A-18C pilots viewed leadership while flying in section or division. A self-administered questionnaire was selected for this study due to the limited amount of time available to conduct necessary research. A survey format allowed the researcher to have contact with more respondents in the time allotted than observations or interviews could have provided. Additionally, Creswell (2003) recommended survey as a tool when attempting to measure attitudes toward an item of interest; the measurement of attitudes toward specific dimensions was a central part of this research. Observations would have been better suited for research intended to directly measure how aircrew apply the seven behavioral skills. Interviews may have provided useful information for this research; however due to the lack of anonymity, interviewees would have been inclined to avoid negative discussions and attempted to describe their conduct in a socially accepting manner. To improve the quality of the survey, and to ensure that respondents understood the intent of each question, the survey was initially distributed to a few highly experienced F/A-18 aircrew and faculty within the School of Business and Management for review. Feedback was solicited regarding the clarity of the instrument and an effort was made to correct any discrepancies.
  • 30.
    - 30 - Populationand Sample. The population of interest for the study was active duty Marine Corps F/A-18C and D aircrew. There are approximately 700 Marine officers that make up this population. All respondents are active duty winged naval aviators. Additionally, members of this population have completed F/A-18 fleet replacement training, which means they have completed basic academic, simulator, and flight training in the aircraft and are no longer students. Approximately half of the population is stationed on the east coast at Marine Corps Air Station (MCAS) Beaufort, located in South Carolina and in Japan at MCAS Iwakuni. The other half is stationed locally at MCAS Miramar. Due to the limited number of available participants and in order to collect enough data points, participants were not randomly selected. All participants completed the survey on a voluntary basis, and no one was approached without a command representative granting prior approval to the researcher. Time and financial restrictions prevented sampling from the east coast squadrons. Survey Deployment Process and Timeline. The method for distribution consisted of the primary researcher addressing participants at a weekly staff meeting commonly referred to as an all officers meeting. A verbal description of the study and the intent of the research were provided to all potential respondents. The survey and consent forms were distributed to respondents and two envelopes were provided for collection of the surveys and consent forms. The researcher then excused himself from the respondents and returned later to pick up completed surveys and consent forms from the participating unit. In an effort to get sincere responses, participants were asked not to sign or print their names to the survey. The only location participants were requested to sign was on the consent form, which were placed in an envelope apart from the surveys.
  • 31.
    - 31 - TheSurvey Instrument. The survey consisted of four-parts. In the first section, respondents were asked to read and sign a consent statement that described the purpose of the survey. A brief explanation of why the survey is important was provided, as well as an explanation of how respondents’ participation will contribute to the study of crew resource management and flight safety. Additionally, section one provided basic instructions explaining how to take the survey. The second section contained 69 questions built on a five point Likert scale (1= strongly disagree and 5=strongly agree) which asked participants to respond to statements regarding leadership, teamwork, authority, and safety. The questions were divided into 4 subsections; each subsection represented a dimension of interest and provided a definition for the dimension. The definition of leadership in the survey was altered from the definition provided in chapter one. This change was made because the definition of leadership in OPNAVINST 3710.7T only addressed crewmembers and failed to account for CRM that is accomplished between pilots in two different aircraft that are part of the same flight. The third section asked respondents to rank order the seven behavioral skills identified by Prince and Salas (1993) and currently taught to Navy and Marine Corps aircrew. A rank of 1 represented the most important skill and 7 represented the least important skill. This measurement was taken to determine if any trends might exist between attitudes towards leadership, authority, teamwork, and safety and the rank order assigned to the seven behavioral skills. The final section of the survey requested specific demographic information from each respondent. Demographics requested included age, gender, rank, and delineation of whether the respondent is in a single seat or two seat squadron, total flight hours in the F/A-18, and total
  • 32.
    - 32 - flighthours in the F/A-18D (the two-seat model). A space was also provided for participants to provide any comments or feedback regarding the survey. The survey was estimated to take 20 minutes to complete.
  • 33.
    - 33 - Chapter4 Research Findings The sample surveyed for the study consisted of 47 participants. Thirty-four respondents were pilots, 17 flew the F/A-18C and 17 flew F/A-18Ds. The remaining 13 respondents were WSOs. The entire sample consisted of 44 men and 3 women. The average number of total flight hours of the sample was 1190.63 hours. The average number of F/A-18 flight hours of the sample was 1035.88 hours, while the average number of F/A-18D flight hours for the sample was 585.30 hours. Table 1 provides average flight hours for each of the three groups within the sample. F/A-18C average total flight hours and average total Hornet flight hours are larger than Table 1 Average Flight Hours Total Flight Hours Total F/A-18 Hours Total F/A-18D Hours F/A-18C Pilots 1580.59 1283.24 367.79 F/A-18D Pilots 1062.06 788.53 641.18 WSOs 929.23 746.92 746.92 Sample Mean 1190.63 939.56 585.30 Note: Total Flight hours comprises total time in all military type, model, and series aircraft. Total F/A-18 hours includes hours flown in the F/A-18D. the other two groups in the sample because 3 of the 17 F/A-18C pilots were Lieutenant Colonels, each reported over 3000 hours of total flight time. The following four sections provide responses to specific items on the survey. Tables depicting the results may be reviewed in the appendices. In order to simplify the presentation of results responses of “Strongly Agree” and “Agree” are annotated as “Agree”; the same technique was used for “Strongly Disagree” and “Disagree”. Attitudes Toward Leadership
  • 34.
    - 34 - Seventythree percent of participants disagreed with the statement “In the F/A-18D leadership is ambiguous.” Six percent of F/A-18C pilots agreed with the statement, as did 12% of F/A-18D pilots; none of the WSOs agreed. The mean response to the statement was 2.04. Only 36% of all participants indicated that leadership can shift between pilot and WSO throughout the course of a mission. Fifty two percent of F/A-18C pilots agreed to the statement, whereas only 39% of WSOs and 18% of F/A-18D pilots agreed. The mean response to the statement was 2.79. Overall, 54% percent of aircrew surveyed agreed with the statement “An F/A-18D crew has a defined leader” (see Table C1). Sixty percent of F/A-18C pilots agreed with the statement, while 41% of the F/A-18D pilots and 69% of the WSOs agreed. The mean response to this statement was 3.38. Nineteen percent of aircrew surveyed agreed with the statement that leadership in the cockpit was dependant on rank. Sixty-two percent disagreed, the mean response was 2.45. Ninety one percent of all participants disagreed with the statement “In the F/A-18D leadership is expected to come solely from the pilot in command”; one WSO did agree to the statement, that individual reported 1400 hours in the cockpit. The mean response to the statement was 1.51. The majority of participants disagreed with the statement that “Leadership is the same as authority.” Eighty-two percent of the F/A-18C pilots, 70% of the F/A-18D pilots, and 77% of the WSOs surveyed disagreed with the statement. The mean response to the statement was 1.87. Four respondents reported that authority and leadership are the same; they were all pilots and had an average of 342.5 F/A-18 hours. Three WSOs and 2 pilots (one F/A-18C pilot and one F/A- 18D pilots) reported a neutral attitude toward the statement, their average F/A-18 flight hours was 1391.7.
  • 35.
    - 35 - AttitudesToward Authority Eighty two percent of all participants agreed with the statement “Authority is different than leadership.” The average response was 4.26. One pilot and one WSO, with an average of 385 F/A-18 flight hours, disagreed with the statement. Four pilots and two WSOs provided a neutral response; their average number of F/A-18 flight hours was 900 hours. Seventy nine percent of all participants disagreed with the statement “In the F/A-18D the mission commander should be the pilot in command”; the mean rank was 1.81. Additionally, 96% of respondents disagreed with the statement “In the F/A-18D the mission commander should be the senior ranking officer” (see Table C2). The mean response was 1.30. One WSO did agree with the statement, that individual reported 300 hours in the cockpit and indicated that he was a Marine Captain. Eighty five percent of all participants disagreed with the statement “In the F/A-18D the mission commander should be the aircrew with the most flight hours.” The mean response was 1.55. F/A-18C & D pilots disagreed 89% and 94% respectively, 69% percent of the WSOs disagreed. Participant responses’ to the statement “In the F/A-18D the pilot in command has final authority on all matters” were almost equally divided; the mean response was 3.0. Forty three percent of all participants disagreed with the statement; responses based on crew position ranged from 42% to 48% in disagreement (see Table C2). Additionally, 64% of all aircrew surveyed disagreed with “In the F/A-18D the pilot in command has final authority regarding all mission critical matters.” Eighty-four percent of WSOs, 70% of F/A-18D pilots, and 47% of F/A-18C pilots disagreed; the mean rank was 2.38. Attitudes Toward Teamwork
  • 36.
    - 36 - Allparticipants disagreed with the statement “As long as the mission succeeds, aircrew errors committed during the course of the flight are not important.” The average response was a 1.28. Responses to the statement “In the F/A-18 when managing critical tasks I prefer to be solo” were divided; the mean response was 2.65. Overall, 39% of the participants agreed, 40% disagreed, and 21% were neutral. Eighty two percent of F/A-18C pilots agreed, 24% of the F/A- 18D pilots agreed and 100% of the WSOs disagreed (see Table C3). Ninety three percent of those surveyed agreed with the statement “In the F/A-18D, aircrew share responsibility for prioritizing activities in high workload situations.” The mean response was 4.57. Attitudes toward rank in the cockpit were revealed when 72% of all participants disagreed with the statement “During flights I hesitate to ask questions if other aircrew present are senior to me.” The mean response was 2.11. Responses varied by cockpit position and are presented in Table C3. Attitudes Toward Safety Varying attitudes toward the perception of the safe operation of a crewed aircraft were demonstrated by responses to the following statement “The operation of crewed aircraft is safer than single seat aircraft.” The mean response was 3.21. Overall, 49% of participants agreed, while 26% did not; the other 26% remained neutral. Eighteen percent of single seat Hornet pilots agreed, whereas 77% of WSOs and 58% of F/A-18D pilots agreed. When asked if “My decision making skills are as good in emergencies as during routine operations” 58% of the participants, agreed. The level of agreement varied with crew position, for instance only 36% of F/A-18C pilots agreed, D aircrew agreement ranged from 74 to 77% (see Table C4). Additionally, 43% of all aircrew disagreed with the statement “In the F/A-18 I am more likely to make judgment errors in an emergency situation”; their average number of
  • 37.
    - 37 - reportedflight hours in the Hornet was 783.3. The mean response was 2.60. Only 12% of F/A- 18C pilots, 23% of WSOs, and 24% of F/A-18D pilots thought their judgment would be impaired in an emergency; their average number of reported flight hours in the Hornet was 1127.2. Different perspectives toward the willingness to communicate stress were demonstrated when examining responses to the statement “During flight I let other aircrew members know when my workload is becoming (or about to become) excessive.” The mean response was 3.7, with 70% of all respondents agreeing to the statement. Forty seven percent of F/A-18C pilots agreed, whereas D aircrew agreement ranged between 82% and 84% (see table C4). Eighty five percent of participants indicated that a mark of a professional crewmember is one who can leave personal problems behind when flying. Agreement varied depending crew position, but ranged from 76% to 100%. The mean response was 4.21 CRM behavioral skills Figure 1 provides a graphical representation of the skills in rank order. Recall that a rank of 1 indicates the most important skill and 7 least important. The three least important skills did not vary among pilots or WSOs; however, there was variation in ranking of the top four skills. Responses indicate that situational awareness was the CRM skill held in highest regard among all of the Hornet aircrew surveyed. Figure 2 illustrates that for F/A-18C pilots situational awareness was followed by leadership, decision making, then communication; skill labels have been abbreviated for clarity of presentation. For F/A-18D pilots’ situational awareness was followed by decision-making, communication, and then leadership (see Figure 3). WSOs ranked communication second to situational awareness; decision-making was ranked third followed by
  • 38.
    - 38 - leadership(see Figure 4). The CRM skill that had the largest rank disparity between groups was leadership (see Figure 1). Figure 1. N=47 Figure 2. N=17
  • 39.
    - 39 - Figure3. N=17 Figure 4. N=17
  • 40.
    - 40 - Chapter5 Discussion The intent of this research was to determine if there is a difference in attitudes regarding leadership, authority, teamwork, and safety among F/A-18C pilots and F/A-18D aircrew. This inquiry is the result of my personal experience as a Weapons Systems Officer. I have been flying the F/A-18D since 2001 and have logged approximately 1500 hours in the aircraft. My experience has taught me that flying at speeds in excess of 500 miles per hour in order to avoid threats and deliver ordnance on enemy targets, without killing innocents or allies, is a high-risk environment. Hence, the successful and safe operation of the F/A-18 requires highly skilled individuals to interact effectively under a multitude of complex and demanding situations. An underlying assumption in this study is that a break down in effective communication, decision-making, and teamwork, combined with a poor understanding of leadership and authority, can have fatal consequences for F/A-18 crewmembers. It is assumed that the four dimensions described in this study are instrumental in allowing missions to be safely and effectively executed. Measuring Leadership and Authority Based on the results of the survey it appears that neither F/A-18C pilots, nor D aircrew, support absolutism when considering how leadership and authority exist in the cockpit. Attitudes toward leadership indicate that a high percentage of single seat, and two seat, Hornet aircrew do not believe that leadership is ambiguous in the F/A-18 cockpit; however they did not identify who held the leadership role. Additionally, leadership in the cockpit does not appear to be based on rank or crew position, nor is it expected to emanate from a specific individual. Aircrew responses support the idea that crewmembers engage in “functional
  • 41.
    - 41 - leadership”(OPNAVINST 3710, 2004, p.3-12). It is possible that pilots and WSOs make real time assessments of their environment and allow the individual with the most situational awareness to take charge, regardless of crew position, rank, or previous flight experience. Furthermore, the reported attitudes support Fraher’s belief that members of high-risk teams share the leadership role in order to successfully cope with complex and stressful environments and to minimize error. The difference in the ranking of leadership, as a CRM skill, by C pilots and D aircrew indicates that there is some difference between the two groups along that dimension. A possible explanation for this difference is that a D aircrews’ patterns of behavior more closely represent that of a team. In the F/A-18D aircrew are physically in close proximity to one another, communication is relatively simple, and by sharing cockpit displays they can monitor what the other is doing. An effective D crew has clearly defined roles and tasks, crewmembers are keenly aware their means interdependence; as a result, the requirement for one individual to exert influence over the other is probably not a necessity, nor a priority for either aircrew. In a flight of two F/A-18Cs, there is a physical distance between the two pilots and it is likely that one cannot ever be certain of what the other is doing in their own cockpit. The potential for uncertainty makes it probable that influence exerted by the flight lead is more of a requirement and thus makes leadership a higher priority for C pilots. Further research should explore how attitudes differ toward leadership within the F/A-18C community. An inquiry as to how levels of interpersonal trust differ between F/A-18C pilots and D aircrew may also be warranted. Attitudes toward authority were similar to those expressed toward leadership, few aircrew expressed the opinion that anyone individual has absolute authority in the aircraft. The author thought that single seat pilots might engage in status generalization and demonstrate
  • 42.
    - 42 - superordinateattitudes, as described Milanovich et al., toward WSOs. However, responses from F/A-18C pilots to survey statements #26 and #28, compared to responses from F/A-18D aircrew, indicated that F/A-18C pilots are no more inclined to marginalize the authoritative capacity of a second crewmember than are D Pilots. If superordinate attitudes were present, it is thought that there would have been more agreement among F/A-18C pilots to statements #26 and #28. Measuring Teamwork and Safety Attitudes expressed toward the dimensions of teamwork and safety were not as uniform between C and D crews as they were for leadership and authority. The differences in attitudes may be simply the result of dissimilar experiences between the two communities, however these differences have repercussions that should be understood and considered when transferring a C pilot to a D squadron. Differences The near unanimity among F/A-18C pilots to fly solo even when managing critical tasks is consistent with the macho archetype characteristic of pilots described by Ginnett (1993) and Fraher (2005a); this could be maladaptive for C pilots who transition to D squadrons. According to Fraher, “In many high risk environments team skills become devalued in favor of technical competence and individual prowess” (2006a, p. 67); this tendency is critical to understand when attempting to effectively teach CRM to C pilots who transition to a two seat F/A-18 squadron. If a former F/A-18C pilot persists in attempting to complete all cockpit tasks on their own while flying in an F/A-18D with a WSO, he/she could unintentionally marginalize his/her WSO and lose the benefit of their cooperation. Left unaddressed, this bias could prevent single seat pilots from learning and understanding the roles and tasks that create means interdependence in an
  • 43.
    - 43 - F/A-18D.This attitude could have a negative effect on the safe and successful employment of the aircraft. F/A-18C pilots’ responses to statement #60 were alarming. The fact that less than 50% of single seat pilots were willing to speak up when they felt task saturated was much less than either D pilots or WSOs. Their response indicates an unhealthy reaction to stress, which could adversely affect one’s ability to manage error. If a single seat pilot is going to fly with a WSO, it is imperative that he/she is forthright when feeling overwhelmed; the consequences of not speaking up range from mission failure to death. Moreover, a pilot’s hesitation to shed tasks to the WSO could be perceived as a lack of trust and further diminish the team dynamic. Additionally, a C pilot must learn to recognize when a WSO is becoming task saturated and be able to manage that circumstance as well. Otherwise, the team will not perform efficiently, the mission could fail, and the safety of the crew could be unnecessarily compromised. Based on this finding it is suggested that additional crew resource management training be provided to single seat pilots who transition to a two-seat squadron. This additional training should diverge from the conventional instruction, which teaches individual CRM skills, and instead focus on effective team training and crew coordination. Although rank was not reported as important factor to the assignment of leadership or authority in the cockpit, it appears to have a role in affecting how aircrew communicate and may have an influence on team dynamics and decision making. Responses from F/A-18C pilots were more varied than responses from F/A-18D aircrew when asked if rank was barrier to effective communication in the cockpit (see Table C3). The difference in attitudes could be the result of D crews experiencing high levels of interdependence because they work in close proximity to each other and depend on one another’s input to successfully employ the aircraft. It is possible that
  • 44.
    - 44 - F/A-18Cpilots are unable to achieve the same level of interdependence experienced by F/A-18D aircrew. This could be a result of the physical distance between F/A-18C pilots when operating their aircraft. The resultant condition could lead F/A-18C pilots to engage in self-censorship while airborne and communicating with a senior ranking pilot. The CRM skill assertiveness, which may help overcome barriers to communication, may be much more difficult to utilize over a radio. It is possible that C pilots are concerned that transmissions could be misinterpreted as insubordination and/or taken out of context. Further research should be conducted to see if rank reversal is more likely to occur within a flight of single seat Hornets or within the cockpit of an F/A-18D. Similarities An encouraging similarity between both C and D aircrews’ was their willingness to hold each other accountable for errors regardless of mission outcome. Sexton et al. (2000) received the same response from intensive care staff while examining attitudes about error and safety. In their study, medical staff was asked to rate the following statement, “Errors committed during patient management are not important, as long as the patient improves”; ninety four percent of the respondents disagreed with the statement (Sexton et al., 2000, p.746). The Marines’ attitudes reflect that they are interested in error management and learning from their experiences. Agreement among participants that F/A-18D aircrew must share responsibility for prioritizing tasks indicates, on a basic level, that both F/A-18C pilots and F/A-18D aircrew are aware of the interdependence required in a crewed aircraft environment. This response was expected from two-seat aircrew but more variation was expected from the single seat community. Despite possessing attitudes that may negatively affect a single seat pilot’s
  • 45.
    - 45 - integrationinto a D squadron, it is encouraging to see that there is potential for understanding the requirement for task differentiation. Implications to Leadership It appears that, at least among members of the sample, that there is a basic understanding among Marine F/A-18 aircrew that leadership is not simply a function of status, position, or experience. Responses also indicated that leadership does not reside with one individual; however, who that person is, or can be, is still unknown. This uncertainty supports the belief that leadership is shared in high-risk teams, it is not static nor the domain of one person. Members of high-risk teams may not be able to identify their leader but they know that leadership exists. The significance of this finding is that it moves theory away from solitary models that study only one aspect of leadership such as traits, behavior, or situation. Understanding that leadership is shared in a high-risk team compels researchers and students to view leadership as an experience that occurs as a result of the intersection of several complex social phenomena. The ability for more than one person to exert influence in the group is likely the result of individuals demonstrating technical competence and trustworthy behaviors. This combination allows individuals to develop some level of informal authority and over time expand their influence over a group. The result of this influence is leadership. Limitations The purpose of conducting this study was to determine if there was a difference in attitudes regarding leadership, authority, teamwork, and safety between F/A-18C pilots and F/A- 18D aircrew. The study was not designed to derive a measure magnitude or to detect significant differences in attitudes; hence, the results lack rigorous statistical evaluation and are only
  • 46.
    - 46 - descriptivein nature. The researcher’s goal was simply to examine a relatively unexplored area of leadership and to determine if further study is warranted. The survey data could be limited in value because it does not control for the possibility that participant’s responded in ways in which they believed to be to be socially acceptable. Furthermore, administering a survey is only one of several possible ways to collect data; one has to be cautious about making gross generalizations about populations based on only one method of research. Another issue with administering this survey is the possibility for weak contextual relevance. There are social and environmental conditions that may have been considered by participants while taking the survey that were not considered by the researcher. For example, if respondents placed the survey items in the context of combat they may have responded differently then if they utilized a training context. The survey was not designed to control for this eventuality. In addition to identifying which platform the participants were currently assigned to, they also provided data on rank and flight hours. However, due to time limitations these demographics were largely ignored in the analysis of the data. Additionally, some F/A-18C pilots had several hundred hours flying in the F/A-18D, however there data was treated as if they were simply a single seat pilot. Further research may want to examine if responses from F/A-18C with considerable F/A-18D experience, differed from those of F/A-18C pilots who lacked crewed flight time. Finally, the sample was limited due to the distribution of forces within the fleet Marine Corps in a time of war and consisted of aircrew located at MCAS Miramar. A Random sample
  • 47.
    - 47 - wasnot taken, all participants were volunteers and selected based on accessibility and availability. Recommendations for Further Research In addition to recommendations provided so far, an additional recommendation is to replicate this research. In doing so, it is recommended that researchers first establish what the similarities and differences are between F/A-18D pilots and WSOs; these differences were not considered for this study but could provide a better understanding of how high-risk teams function. It is also recommended that this study be replicated using the Navy’s F/A-18E and F aircrew. The E and F models are one and two seat F/A-18s utilized by the U.S Navy. Results could then be compared to results form a study of Marines and could provide insight as to how organizational culture influences aircrew attitudes toward leadership, authority, teamwork, and safety. More research into the differences in communication should be conducted. It is suggested that researchers record or observe cockpit exchanges between F/A-18D pilots and WSOs and F/A-18C pilots and WSOs. They could conduct a communication analysis and listen for the language that denotes a team mindset. For example, the frequency of terms like “we” and “us” versus “I” or “me” could be recorded and analyzed. An additional recommendation is to replicate Torrance’s research for Hornet aircrew to determine if status has an effect on decision- making and influence. Conclusion The study of crew resource management and the education of aircrew in CRM behavior are valuable tools for aviation training. CRM programs have enabled aircrew to manage stress and operate with a greater degree of safety in high-risk environments. However, merely the
  • 48.
    - 48 - identificationof which behaviors are important for effective CRM skill does not ensure that aircrew actually understand what is occurring in the greater social context; it is similar to having a tool without being instructed how to use it. This study has attempted to construct a conceptual bridge that links the seven CRM behavioral skills identified by Prince and Salas to the study of leadership. The current research has put crew resource management in to the context of leadership and contends that the seven behavioral skills are subcomponents of leadership, authority, and teamwork. The skills serve as recommendations for behavior that will enable aircrew to exercise effective leadership, manage issues of authority, successfully operate as a team, operate aircraft safely, and accomplish assigned missions. Based on a review of literature regarding high-risk teams, and his personal experience, the author developed the equation in Figure 5 to explain how the four dimensions are interrelated. The equation is simply a tool to help conceptualize a specific social phenomenon and not intended for actual mathematical calculations. Leadership + Authority + Teamwork = Safety and Mission Effectiveness Figure 5. Hopefully members of the Marine F/A-18 community will realize that there are differences in the way in which they regard teamwork and safety, despite being similarly trained. Recognition of differences in attitudes will enable aircrew to make smoother transitions from the single seat to two-seat community. Additionally, it would help the process of managing potential interpersonal conflict within the cockpit, increase mission effectiveness, and enhance flight safety.
  • 49.
    - 49 - References BolmanL.G. & Deal T.E (2003). Reframing organizations: Artistry, choice, and leadership (3rd ed.) San Francisco: Jossey-Bass. Business Leadership: A Jossey-Bass reader. (2003). San Francisco, CA: Wiley. Creswell, J.W. (2003). Research design: Qualitative, quantitative, and mixed methods approaches (2nd ed.). Thousand Oaks: Sage. Fraher, A.L. (2005a). Group Dynamics for high-risk teams: A team resource management (TRM) primer. iUniverse: New York. Fraher, A.L. (2005b). Team resource management (TRM): A Tavistock approach to leadership in high-risk environments, resonances of 9/11. Organisational & Social Dynamics, 5 (2), 163-182. Ginnett, R.C. (1993). Crews as groups: Their formation and their leadership. In E.L. Wiener, B.G. Kanki, & R.L. Helmreich (Eds.), Cockpit resource management (pp. 71-97). San Diego, CA: Academic. Heifetz, R. & Laurie, D. (2001). The work of leadership. In Jossey-Bass (Ed.), Business leadership: A Jossey Bass Reader (pp. 543-567). San Francisco, Ca: Wiley. Helmreich, R.L. & Foushee, H.C. (1993). Why crew resource management? Empirical and theoretical bases of human factors training in aviation. In E.L. Wiener, B.G. Kanki, & R.L. Helmreich (Eds.), Cockpit resource management (pp. 3-45). San Diego, CA: Academic. Helmreich, R.L. & Merritt, A.C. (1998). Culture at work in aviation and medicine: National, organizational and professional influences. England: Ashgate.
  • 50.
    - 50 - Hepfer,D. and Gillian, C. (2000). Naval aviation crew resource management (CRM) initiative: Human factors QMB/training improvements working group brief. Retrieved September 15, 2006, from United States Naval Safety Center Web site: http://www.safety center. Navy.mil/presentations/aviation/crm.htm Johnson D.W. & Johnson, F.P (2006). Joining together: Group theory and group skills (9th ed.). San Francisco: Pearson Education. Levi, D. (2001). Group dynamics for teams. Thousand Oaks: Sage. Milanovich, D.M., Driskell, J.E., Stout, R.J., & Salas, E. (1998). Status and Dynamics: A review and empirical study. Group Dynamics: Theory, Research, and Practice, 2 (3), 155-167. OPNAVINST 3710.7T: NATOPS general flight and operating instruction. (2004). Retrieved September 15, 2006, from the Department of Navy Issuances website http://doni.daps.dla.mil/OPNAV.aspx Prince, C., Salas, E. (1993). Training and research for teamwork in the military aircrew. In E.L. Wiener, B.G. Kanki, & R.L. Helmreich (Eds.), Cockpit resource management (pp. 337- 366). San Diego, CA: Academic. Salas, E., Prince, C., Bowers, C.A., Stout, R.J., Oser, R.L., & Cannon-Bowers, J.A. (1999). A methodology for enhancing crew resource management training. Human Factors. 41 (1), 161-172. Salas, E., Prince, C., Fowlkes, J.E., Stout, R.J., Milanovich, D.M., & Prince, C. (1999). Does CRM training improve teamwork skills in the cockpit?: Two evaluation studies. Human Factors. 41 (2), 326-343. Sexton, J.B., Thomas, E.J., & Helmreich, R.L. (2000). Error, stress, and teamwork in medicine and aviation: Cross sectional surveys. BMJ. 320, 745-749.
  • 51.
    - 51 - WienerE.L., Kanki, B.G., & Helmreich, R.L. (Eds.). (1993). Cockpit resource management. San Diego, CA: Academic.
  • 52.
    - 52 - AppendixA This questionnaire is designed to gain a better understanding of how Hornet aircrew view CRM. All data is strictly confidential and anonymous. If you are in a VMFA please respond to questions pertaining to CRM in the F/A-18D as you would expect it to be conducted. Your participation in this study is valued and appreciated. Please respond to each statement with the number that best represents your opinion. 1 2 3 4 5 Strongly Disagree Disagree Slightly Neutral Agree Slightly Strongly Agree Leadership: the ability to direct and coordinate the activities of other crew, or flight, members and to encourage the aircrew to work together as a team. 1. ___A F/A-18D crew has a defined leader. 2. ___A flight of (section or division) F/A-18s has a defined leader. 3. ___In the F/A-18D leadership is dependant on past experience. 4. ___In a flight of F/A-18s leadership is dependant on past experience. 5. ___In the F/A-18D leadership is dependant on rank. 6. ___In a flight of F/A-18s leadership is dependant on rank. 7. ___In the F/A-18D leadership responsibilities are shared among crew members. 8. ___In a flight of F/A-18s leadership responsibilities are shared among pilots in the flight. 9. ___In the F/A-18D leadership is ambiguous. 10. ___In a flight of F/A-18s leadership is ambiguous. 11. ___In the F/A-18D leadership can shift throughout the course of a mission. 12. ___In a flight of F/A-18s leadership can shift throughout the course of a mission. 13. ___In the F/A-18D leadership is expected to come solely from the pilot in command. 14. ___ Leadership is the same as authority. Authority: power bestowed to an individual, by an organization, to perform a service on its behalf. 15. ___In the F/A-18D the mission commander should be the pilot in command. 16. ___In the F/A-18D the mission commander should be the senior ranking officer. 17. ___In a flight of F/A-18s the mission commander should be the senior ranking officer. 18. ___In the F/A-18D the mission commander should be the aircrew with the most flight hours. 19. ___In a flight of F/A-18s the mission commander should be the pilot with the most flight hours. 20. ___In the F/A-18D authority should not be questioned in the cockpit. 21. ___In a flight of F/A-18s authority should not be questioned. 22. ___In the F/A-18D authority is ambiguous in the cockpit. 23. ___In a flight of F/A-18s authority is ambiguous. 24. ___In the F/A-18D WSOs should not question the pilot in command’s decisions.
  • 53.
    - 53 - 25.___In a flight of F/A-18s wingmen should not question their flight lead’s decisions. 26. ___In the F/A-18D the pilot in command has final authority on all matters. 27. ___In a flight of F/A-18s the element lead has final authority on all matters. 28. ___In the F/A-18D the pilot in command has final authority regarding all mission critical matters. 29. ___In a flight of F/A-18s the element lead has final authority regarding all mission critical matters. 30. ___In the F/A-18D the WSO has final authority on all matters. 31. ___In the F/A-18D the WSO has final authority on all mission critical matters. 32. ___In the F/A-18D rank is relevant in the cockpit. 33. ___In a flight of F/A-18s rank is relevant within the section. 34. ___Authority is different than leadership. Team work: the collaboration of two or more people, with specific roles and functions, in order to achieve a goal. 35. ___As long as the mission succeeds, aircrew errors committed during the course of the flight are not important. 36. ___In the F/A-18D mission accomplishment depends on both crew members’ contribution to the flight. 37. ___In a flight of F/A-18s mission accomplishment depends the contribution of all pilots the flight. 38. ___In the F/A-18D in flight discussion of conflict and/or disagreement is encouraged. 39. ___In a flight of F/A-18s in flight discussion of conflict and/or disagreement is encouraged. 40. ___Post flight discussion of conflict and/or disagreement is encouraged. 41. ___In the F/A-18D unanimity is valued over dissent. 42. ___In a flight of F/A-18s unanimity is valued over dissent. 43. ___In the F/A-18 when managing critical tasks I prefer to be solo. 44. ___In the F/A-18D, aircrew share responsibility for prioritizing activities in high workload situations. 45. ___In a flight of F/A-18s pilots share responsibility for prioritizing activities in high workload situations. 46. ___In the F/A-18D mission success is primarily a function of the pilot in commands flying proficiency. 47. ___In a flight of F/A-18s mission success is primarily a function of the lead pilot. 48. ___In the F/A-18D crew coordination and communication are important as technical proficiency for mission success. 49. ___In a flight of F/A-18s crew coordination and communication are important as technical proficiency for mission success. 50. ___My performance is not adversely affected by working with an inexperienced or less capable aircrew. 51. ___Effective crew coordination requires crew members to take into account the personalities of other crew members. 52. ___In the F/A-18 uncertain situations require quick decision making. 53. ___During flights I am comfortable asking questions in the cockpit.
  • 54.
    - 54 - 54.___ During flights I hesitate to ask questions if other aircrew present are senior to me. 55. ___During flights personal call sign usage breaks down hierarchical barriers. Safety: attentiveness to procedures which protect aircrew from harm or injury. 56. ___The operation of crewed aircraft is safer than single seat aircraft. 57. ___My decision making skills are as good in emergencies as during routine operations. 58. ___Aircrew should be aware and sensitive to the personal problems of other aircrew. 59. ___In the F/A-18, even when fatigued I perform effectively during critical times in a flight. 60. ___During flight I let other aircrew members know when my workload is becoming (or about to become) excessive. 61. ___Pre flight briefs are an important tool for safe operations. 62. ___In the F/A-18 I am more likely to make judgment errors in an emergency situation. 63. ___If I perceive a problem during a flight, I will speak up, regardless of who might be affected. 64. ___I am ashamed when I make a mistake in front of other aircrew while airborne. 65. ___Crew coordination and communication are as important as technical proficiency for safety of flight. 66. ___Aircrew should monitor each other for signs of stress or fatigue. 67. ___Personal problems can adversely affect my performance in the F/A-18. 68. ___A truly professional crew member leaves personal problems behind when flying. 69. ___In the F/A-18 I often feel nervous or tense during a flight. Rank order the following CRM principles from (1) most important to (7) least important _____DECISION MAKING _____ADAPTABILITY/ FLEXIBILITY _____SITUATIONAL AWARENESS _____ASSERTIVENESS _____MISSION ANALYSIS _____COMMUNICATION _____LEADERSHIP Demographics: Rank: 1st Lt Capt Maj LtCol/Col Age: <25 25-30 30-35 >35 Circle one: Pilot/WSO Male/Female VMFA/VMFA(AW) Total Flight Hours________ Total F/A-18 Hours_______ Total Crewed F/A-18D Hours_________ Please provide any comments in the space below: Thank you for your participation!
  • 55.
    - 55 - AppendixB NATIONAL UNIVERSITY. LA JOLLA, CA INFORMED CONSENT FORM INFORMATION ABOUT: Crew Resource Management: An Inquiry into the Differences between F/A-18C and F/A-18D Aircrew RESPONSIBLE INVESTIGATOR: Capt Raymond J. Scholl, 1975 Woodland Valley Glen, Escondido, CA 92026. (W) 577-8569 (C) 858-752-9410 CONSENT: I have been asked to participate in a research study that investigates the difference between F/A- 18C and F/A-18D aircrews’ perceptions regarding leadership, authority, teamwork, and safety as they relate to Crew Resource Management (CRM). I understand that my input may result in a better understanding of team dynamics in the F/A-18 cockpit, greater mission effectiveness, and facilitate safer administrative and tactical operation of the F/A-18. In participating in this study I agree to take an anonymous survey in which I will provide my opinion to statements that address leadership, authority, teamwork, and safety in the F/A-18 cockpit. I understand that a follow up survey or interview will not be conducted and that my participation is completely voluntary. I understand that: a) There are no potential side effects. b) There are no possible benefits of this study to me. c) I understand appropriate alternative procedures or courses of treatment, if any, that might be advantageous or available to me. d) I understand that my participation is voluntary and I may refuse to participate in or I may withdraw from this study at any time without any negative consequences. e) I understand that the investigator may stop the study at any time. f) I also understand that: i. no information that identifies me will be released without my separate consent and that all identifiable information will be protected to the limits allowed by law; g) If the study design or the use of the data is to be changed, I will be so informed and my consent re-obtained.
  • 56.
    - 56 - h)I understand that if I have any questions, comments, or concerns about the study or the informed consent process, I may write or call the Office of the Provost, National University, 11255 North Torrey Pines Road, La Jolla, CA 92037; Telephone (858) 642- 8125. i) I acknowledge that I have received a copy of this form. j) I understand the extent, if any, to which confidentiality of records identifying the subject will be maintained; k) I acknowledge that for research involving more than a minimal risk, an explanation as to whether any compensation will be given or if medical treatments are available, if injury occurs, and, if so, what they consist of or where further information can be obtained; l) I understand whom to contact for answers to questions about the research and research subjects’ rights, or in the event of a research-related injury; I acknowledge that I have received a copy of this form. _________________________________________ _____________________ Signature of Participant or Responsible Party Date __________________________________________ _____________________ Signature of Witness Date __________________________________________ _____________________ Signature of Investigator Date Revision 01/2005
  • 57.
    - 57 - AppendixC Table C1 Responses to statements addressing leadership. Values are percentages. F/A-18C F/A-18D Pilots WSO Pilot (n=17) (n=13) (n=17) Item Description #1 An F/A-18D crew has a defined leader. Agree 60 69 41 Neutral 22 8 29 Disagree 18 23 30 100 100 100 #5 In the F/A-18D leadership is dependant on rank. Agree 12 15 29 Neutral 29 23 6 Disagree 59 62 65 100 100 100 #9 In an F/A-18D leadership is ambiguous. Agree 6 0 12 Neutral 29 16 18 Disagree 65 84 70 100 100 100 #12 In a flight of F/A-18s leadership can shift throughout the course of a mission. Agree 52 39 18 Neutral 12 0 17 Disagree 36 61 65 100 100 100 #13 In the F/A-18D leadership is expected to come solely from the pilot in command. Agree 0 8 6 Neutral 18 0 0 Disagree 82 92 94 100 100 100 #14 Leadership is the same as authority. Agree 6 0 24 Neutral 12 23 6 Disagree 82 77 70 100 100 100
  • 58.
    - 58 - AppendixC Table C2 Responses to statements addressing authority. Values are percentages. F/A-18C F/A-18D Pilots WSO Pilot (n=17) (n=13) (n=17) Item Description #15 In the F/A-18D the mission commander should be the pilot in command. Agree 6 0 12 Neutral 18 0 18 Disagree 76 100 70 100 100 100 #16 In the of F/A-18D the mission commander should be the senior ranking officer. Agree 0 8 0 Neutral 6 0 0 Disagree 94 92 100 100 100 100 #18 In the F/A-18D the mission commander should be the aircrew with the most flight hours. Agree 0 31 6 Neutral 11 0 0 Disagree 89 69 94 100 100 100 #26 In the F/A-18D the pilot in command has final authority on all matters. Agree 46 38 42 Neutral 12 16 10 Disagree 42 46 48 100 100 100 #28 In the F/A-18D the pilot in command has final authority regarding all mission critical matters. Agree 24 38 30 Neutral 29 16 0 Disagree 47 46 70 100 100 100 # 34 Authority is different than leadership. Agree 88 77 82 Neutral 12 15 12 Disagree 0 8 6 100 100 100
  • 59.
    - 59 - AppendixC Table C3 Responses to statements addressing teamwork. Values are percentages. F/A-18C F/A-18D Pilots WSO Pilot (n=17) (n=13) (n=17) Item Description # 35 As long as the mission succeeds, aircrew errors committed during the course of the flight are not important. Agree 0 0 0 Neutral 0 0 0 Disagree 100 100 100 100 100 100 # 43 In the F/A-18 when managing critical tasks I prefer to be solo. Agree 82 0 24 Neutral 12 31 23 Disagree 6 69 53 100 100 100 # 44 In the F/A-18D, aircrew share responsibility for prioritizing activities in high workload situations. Agree 94 84 100 Neutral 6 8 0 Disagree 0 8 0 100 100 100 #54 During flights I hesitate to ask questions if other aircrew present are senior to me. Agree 29 0 12 Neutral 24 8 6 Disagree 47 92 82 100 100 100
  • 60.
    - 60 - AppendixC Table C4 Responses to statements addressing safety. Values are percentages. F/A-18C F/A-18D Pilots WSO Pilot (n=17) (n=13) (n=17) Item Description #56 The operation of crewed aircraft is safer than single seat aircraft. Agree 18 77 58 Neutral 29 23 24 Disagree 53 0 18 100 100 100 #57 My decision making skills are as good in emergencies as during routine operations. Agree 36 77 64 Neutral 35 23 18 Disagree 29 0 18 100 100 100 #60 During flight I let other aircrew members know when my workload is Becoming (or about to become) excessive. Agree 47 84 82 Neutral 29 8 6 Disagree 24 8 12 100 100 100 # 62 In the F/A-18 I am more likely to make judgment errors in an emergency situation. Agree 12 23 24 Neutral 41 23 46 Disagree 47 54 30 100 100 100 # 68 A truly professional crew member leaves personal problems behind when flying. Agree 76 100 82 Neutral 12 0 0 Disagree 12 0 18 100 100 100