Week2:
Linear Regression with Multiple Variables
2015/08/27
担当:古賀
Week2で学習すること
• 多変量線形回帰
• 多変量線形回帰の最急降下法によるパラメータ推定
• 特徴の正規化
• 学習率の選定方法
• 特徴の選定方法と多項式による回帰
• 正規方程式によるパラメータ推定
サマリー + わかりにくかったところ
を中心に解説します
単変量 vs. 多変量の線形回帰
仮説:
目的
関数:
パラメータ:
最急降下法によるパラメータ推定法:
多変量単変量
又は、
多変量の線形回帰: J(Θ)
4 x 5 行列 要素数5のベクトル 要素数4のベクトル
要素数4のベクトル
ベクトルの転置 × ベクトル = スカラ
スカラ
多変量の線形回帰: J(Θ)
多変量の線形回帰: min J(Θ)
theta = theta – alpha * 1.0/m * X’ * (X*theta - y);
(m x (n+1))の転置 m ベクトルn+1ベクトル
特徴の正規化
スケールが違いすぎる
すべての特徴𝑥𝑖をおおよそ にしたい
・平均、標準偏差を使った正規化
例)
少し範囲を出ても良い。
𝑥𝑗
𝑖
←
𝑥𝑗
𝑖
− 𝜇 𝑗
𝜎𝑗
𝑋1
以外の各要素に対して正規化する
学習率αの選定方法
・αが小さすぎる: 収束に時間がかかる
・αが大きすぎる: 各繰り返しでJ(Θ)が減少し
ない → J(Θ)が収束しない
αの決め方
…, 0.001, 0.003, 0.01, 0.03, 0.1, 0.3, 1, …..
× 3 × 1/3
多項式回帰
多変量線形回帰のモデルを使って、多項式の回帰モデルを
作ることができる
正規方程式
Octave実装: pinv(X ' * X) * X' * y
最急降下法
・学習率αを選ばなければならない
・繰り返し処理が必要
・特徴数が多くても機能する
%% Load Data
data = load('ex1data2.txt');
X = data(:, 1:2);
y = data(:, 3);
1. Xを正規化
2. 最急降下法でコスト関数最小化→パラメータ推定
(J(Θ)の値ををグラフで確認しつつ)
2’. 正規方程式による方法でパラメータ推定
11
Assignment(Multiple Variablesのみ)
データの準備
ex1data2.txt
解く順序
:
家のサイズ(feet^2)
ベットルーム数 家の価格
問題:学習データを使って、家のサイズとベッドルーム数
から、家の価格を予測する
12
function [X_norm, mu, sigma] = featureNormalize(X)
mu = mean(X); % (1 x 2)
sigma = std(X); % (1 x 2)
mu_m = ones(length(X), 1) * mu; % (m x 1)*(1 x 2)=(m x 2)
sig_m = ones(length(X), 1) * sigma; % (m x 1)*(1 x 2)=(m x 2)
X_norm = (X - mu_m) ./ sig_m; % OK (m x 2)
%X_norm = (X - mu_m) / sig_m; % NG (m x m)
end
Feature Normalization
featureNormalize.m
[X mu sigma] = featureNormalize(X);
X = data(:, 1:2); % (m x 2)
y = data(:, 3); % (m x 1)
13
正規化前
正規化後
14
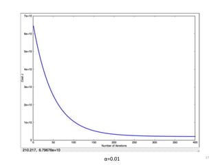
% Choose some alpha value
alpha = 0.01;
num_iters = 400;
% Init Theta and Run Gradient Descent
theta = zeros(3, 1);
[theta, J_history] = gradientDescentMulti(X, y, theta, alpha, num_iters);
Gradient Descent
% Add intercept term to X
X = [ones(m, 1) X]; % (m x 3)
% Estimate the price of a 1650 sq-ft, 3 br house
t = [1650, 3];
price = [1, (t-mu)./sigma] * theta; 正規化が必要(1以外)
[X mu sigma] = featureNormalize(X); Xを正規化
15
function [theta, J_history] = gradientDescentMulti(X, y, theta,
alpha, num_iters)
% Initialize some useful values
m = length(y); % number of training examples
J_history = zeros(num_iters, 1);
for iter = 1:num_iters
h = X * theta;
theta = theta - alpha * 1.0/m * X' * (h-y);
% Save the cost J in every iteration
J_history(iter) = computeCostMulti(X, y, theta);
end
end
gradientDescentMulti.m
16
computeCostMulti.m
function J = computeCostMulti(X, y, theta)
% number of training examples
m = length(y);
% non-vectorized form
%h = X*theta;
%J = 1.0/(2.0*m) * sum((h - y).^2);
% vectorized form
J = 1.0/(2.0*m) * (X*theta-y)' * (X*theta-y);
end
17
α=0.01
α=0.01 α=0.03
α=0.1
α=1.4α=1.0
Selecting learning rates
NG!
19
Normal Equations
function [theta] = normalEqn(X, y)
theta = pinv(X'*X) * X' * y;
end
% Calculate the parameters from the normal equation
theta = normalEqn(X, y);
% Estimate the price of a 1650 sq-ft, 3 br house
price = [1, 1650, 3] * theta;
normalEqn.m
20
最急降下法で
パラメータ推定
正規方程式でパ
ラメータ推定
結果

Coursera Machine Learning Week2まとめ