M&S
Convolutional Neural
Network from Theory
to Code
Seongwon Hwang
M&S
Preliminaries
M&S
Tensor :
(Index Notation)
ky
kl
ijy
ijklA
kj
a
ijA iA
ki
jjB
M&S
Order (Rank)
M&S
Range
𝑎 𝑏
𝑐 𝑑
𝑎 𝑏 𝑐
𝑑 𝑒 𝑓
𝑔 ℎ 𝑖
𝑎 𝑏
𝑒 𝑓
𝑐 𝑑
𝑔 ℎ
𝑖 𝑗
𝑚 𝑛
𝑘 𝑙
𝑜 𝑝
𝐴𝑖𝑗
i = 2, j = 2
i = 3, j = 3 i = 4, j = 4
𝑎 𝑏
𝑐 𝑑
𝑒 𝑓
i = 3, j = 2
M&S
Free index : unrepeated index
𝑦1 = 𝑎11 𝑥1+𝑎12 𝑥2
𝑦2 = 𝑎21 𝑥1+𝑎22 𝑥2
𝑦 𝑘 = 𝑎 𝑘1 𝑥1+𝑎 𝑘2 𝑥2, k = 1,2


2
1i
ikik xay
),( 21 yyy 
M&S
Dummy index : repeated index
1,2kixay ikik  ,
Free index Dummy index


2
1i
ikik xay
𝑦1 = 𝑎11 𝑥1+𝑎12 𝑥2
𝑦2 = 𝑎21 𝑥1+𝑎22 𝑥2
M&S
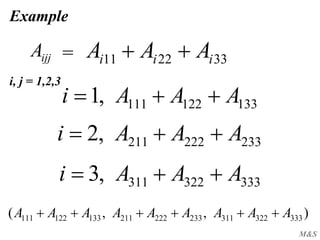
Example
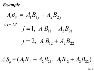
iji BA jj BABA 2211 =
212111,1 BABAj 
222121,2 BABAj 
),( 222121212111 BABABABA iji BA =
i, j = 1,2
M&S
Example
ijjA 332211 iii AAA 
),,( 333322311233222211133122111 AAAAAAAAA 
133122111,1 AAAi 
233222211,2 AAAi 
333322311,3 AAAi 
=
i, j = 1,2,3
M&S
e-Permutation
ijke
M&S
Example – Determinant
bcad
dc
ba
aa
aa
A  detdetdet
2221
1211
bcad
aaaa
aaeaaeaaeaae
aae jiij




00 21122211
221222211221221112211111
21
M&S
Example – Determinant
)(...det 21... matrixNNaaaeA Nkjikij 
M&S
Kronecker delta
M&S
Derivatives
kjjkjj
xx
y
y
x
y
y






2
,, ,
1,2,3jφ
x
φ
z
φ
y
φ
x
φ
φgrad jj










 ),,( ,
Example – Gradient
M&S
CNN Tensor notation in Theano
- Input Images -
4D tensor
1D tensor
[number of feature maps at layer m, number of feature maps at layer m-1,
filter height, filter width]
ij
klx
op
qrW
mb
[ i, j, k, l ] =
[ o, p, q, r ] =
[ m ] =
- Weight -
- Bias -
[n’th feature map number]
[mini-batch size, number of input feature
maps, image height, image width]
M&S
Convolutional Neural
Network
Theory I
M&S
Convolution?





daatwax
twxty
)()(
))(()(




a
anwaxny ][][][
- Continuous Variables -
- Discrete Variables -
M&S
Convolution?




a
anwaxny ][][][
- Discrete Variables -
][][ awax ][][ awax 
)]([][ nawax 
Y-axis transformation
M&S
Y축
X축
Convolution?
X축
X축
M&S
Cross-Correlation?




a
nawaxnwxny ][][])[(][
- Discrete Variables (In real number) -
][][ awax ][][ nawax n step move
★
M&S
Convolution VS. Cross-Correlation
Cross-CorrelationConvolution
M&S
Cross-Correlation in 2D
Output (y) Kernel (w) Input (x)
 






n m
nmwjnimx
jiwxjiy
],[],[
],)[(],[
M&S
Intuition for Cross-Correlation
wx
★
M&S
wx
★
Intuition for Cross-Correlation
M&S
wx
★
Intuition for Cross-Correlation
M&S
wx
★
Intuition for Cross-Correlation
M&S
wx
★
Intuition for Cross-Correlation
Input
)( mapFreature
neuronHidden
fieldrecptiveLocal
filterorkernel
M&S
Convolutional Neural
Network
Theory II
M&S
CNN overall procedures
Input Image Convolutional Layer Pooling MLP Softmax Output
M&S
CNN overall procedures
Input Image
Convolutional
Layer
Pooling
MLP
Softmax Output
M&S
Input Image
Input Image
1D - Input neurons
2D - Input neurons
M&S
Convolutional Layer
Input Image
Convolutional
Layer
Input neurons
Hidden neuron
M&S
Traditional Neural Network
Input layer Hidden layer Output layer
M&S
CNN - Sparse Connectivity
Input layer Hidden layer
(Feature map)
Output layer
M&S
CNN – Dimension shrinkage ( + Pooling)
Input layer Output layerHidden layer
(Feature map)
M&S
Cross-Correlation Input (or Hidden) layer with weight
Input layer Output layer
1W
2W
3W
'3W
'2W
'1W
Hidden layer
(Feature map)(Receptive field)
M&S
Shared Weight representation
Input layer Output layer
1W
2W
3W
'3W
'2W
'1W
Hidden layer
(Feature map)
M&S
Shared Weight representation
Input layer Output layer
1W
2W
3W
'3W
'2W
'1W
Hidden layer
(Feature map)
M&S
Shared Weight representation
Input layer Output layer
1W
2W
3W
'3W
'2W
'1W
Hidden layer
(Feature map)
M&S
Shared Weight representation
Input layer Output layer
1W
2W
3W
'3W
'2W
'1W
Hidden layer
(Feature map)
M&S
Shared Weight representation
Input layer Output layer
1W
2W
3W
'3W
'2W
'1W
Hidden layer
(Feature map)
M&S
Shared Weight representation
Input layer Output layer
1W
2W
3W
'3W
'2W
'1W
Hidden layer
(Feature map)
M&S
Multiple Feature maps
Input Image
Convolutional
Layer
Input neurons
First hidden layer
M&S
Max Pooling
Input Image
Convolutional
Layer
Pooling
Max pooling with
2x2 filters and stride 2
M&S
Why pooling?
Input Image
Convolutional
Layer
Pooling
1. Low computation 2. Translation invariance
3. Transformation invariance
4. Scaling invariance
M&S
Several types of Pooling
Input Image
Convolutional
Layer
Pooling
M&S
Transform data dimension before MLP
Input Image
Convolutional
Layer
Pooling
MLP
1D - Output neurons
2D - Output neurons
M&S
Multilayer Perceptron (MLP)
Input Image
Convolutional
Layer
Pooling
MLP
Input layer Hidden layer 1 Hidden layer 2
M&S
Softmax Output
Input Image
Convolutional
Layer
Pooling
MLP
Softmax Output
Hidden layer 2 Output layer
M&S
Several types of CNN
M&S
Intuition for CNN
Input Image
Convolutional
Layer
Pooling
MLP
Softmax Output
M&S
Convolutional Neural
Network
Code in Theono
M&S
CNN overall procedures
Input Image
Convolutional
Layer
Pooling
MLP
Softmax Output
M&S
Input Image
Input Image
- Input Images -
4D tensor
[mini-batch size, number of input feature
maps, image height, image width]ij
klx
5
...
28
28
500
7
[ i, j, k, l ] =
Mini batch 1
5
...
28
28
500
8
Mini batch 100
. . .
50,000 images
in the training data
M&S
Weight tensor
Input Image
Convolutional
Layer
4D tensor
[number of feature maps at layer m, number of feature maps at layer m-1,
filter height, filter width]
op
qrW [ o, p, q, r ] =
- Weight -
M&S
Exercise for Input and Weight tensor
11
11x
11
11W
Input layer
Convolutional layer 1 Convolutional layer 2
[ 1, 1, 1, 1 ]
[ 1, 1, 1, 1 ]
M&S
Code for Convolutional Layer
28
28
8
def evaluate_lenet5(learning_rate=0.1,
n_epochs=2, dataset=‘minist.pkl.gz’,
nkerns=[20, 50], batch_size=500):
LeNetConvPoolLayer
image_shape=(batch_size, 1, 28, 28)
filter_shape=(nkerns[0], 1, 5, 5)
poolsize=(2, 2)
image_shape=(batch_size, nkerns[0], 12, 12)
filter_shape=(nkerns[1], nkerns[0], 5, 5)
poolsize=(2, 2)
Layer0 – Convolutional layer 1
Layer1 – Convolutional layer 2
5
5
20
24
24
20
5
5
12
12
8
8
4
4
20 50 50 50
28 – 5 + 1 = 24
Convolution
24 / 2 = 12
Pooling
12 – 5 + 1 = 8
Convolution
8 / 2 = 4
Pooling
Class
M&S
Zero-Padding Input layer Output layerHidden layer
(Feature map)
Input Image
Convolutional
Layer
Pooling
M&S
Zero-Padding Input layer Output layerHidden layer
(Feature map)
0
0
M&S
Zero-Padding Input layer Output layerHidden layer
(Feature map)
0
0
M&S
Zero-Padding Input layer Output layerHidden layer
(Feature map)
0
0
M&S
Zero-Padding Input layer Output layerHidden layer
(Feature map)
0
0
M&S
Zero-Padding Input layer Output layerHidden layer
(Feature map)
0
0
0
0
M&S
Zero-Padding Input layer Output layerHidden layer
(Feature map)
0
0
0
0
M&S
Zero-Padding
0
0
M&S
Zero-Padding
0
0
M&S
Zero-Padding
0
0
M&S
Zero-Padding
0
0
0
0
M&S
Zero-Padding
0
0
0
0
M&S
Zero-Padding
0
0
0
0
M&S
Zero-Padding
No zero-padding Zero-padding 1 Zero-padding 2
Dimension Reduction Dimension Equality Dimension Increase
Zero-
padding in
Theano
Default in
Theano
M&S
Code for Zero-Padding setting in Theano Library
conv.py (In Library File)
def conv2d(input, filters, image_shape=None, filter_shape=None,
border_mode=‘valid’, subsample=(1, 1), **kargs):
‘valid’ ‘full’
We should modify dimension changes in code by ourselves!
Image_shape + filter_shape – 1Image_shape - filter_shape + 1
28 + 5 – 1 = 3228 - 5 + 1 = 24
M&S
1. Border in Pooling
No problem in Border Ingore_border = False Ingore_border = True
M&S
1. Border in Pooling (Code)
No problem in Border
Ingore_border = False Ingore_border = True
pooled_out =
downsample.max_pool_2d(input=conv_out,
ds=poolsize, ignore_border=True)
LeNetConvPoolLayer
Class
Default in Theano library is False!
M&S
2. Stride in Pooling
Default in Theano
stride size = poolsize
Unduplicated!
M&S
2. Stride in Pooling
2
Default in Theano
stride size = poolsize
Unduplicated!
M&S
2. Stride in Pooling
2
Default in Theano
stride size = poolsize = (2,2)
Unduplicated!
M&S
2. Stride in Pooling
2
Default in Theano
stride size = poolsize = (2,2)
Unduplicated!
M&S
2. Stride in Pooling
2
Default in Theano
stride size = poolsize = (2,2)
Unduplicated!
M&S
2. Stride in Pooling
stride size = (1, 1)
6
M&S
2. Stride in Pooling
1
76
M&S
2. Stride in Pooling (Code)
76 8
6 7 8
3 3 4
pooled_out =
downsample.max_pool_2d(input=conv_out,
ds=poolsize, ignore_border=True)
pooled_out =
downsample.max_pool_2d(input=conv_out,
ds=poolsize, ignore_border=True, st = (1,1))
M&S
Activation Function in Convolutional Layer
self.output=T.tanh(pooled_out +
self.b.dimshuffle(‘x’,0,‘x’,‘x’)
Convolution Pooling Activation
LeNetConvPoolLayer
Class
M&S
Dimension Reduction 2D  1D
Input Image
Convolutional
Layer
Pooling
MLP
layer2_input = layer1_input.output.flatten(2)
1D - Output neurons
2D - Output neurons
M&S
Code for MLP in Theano
Input Image
Convolutional
Layer
Pooling
MLP layer2 = HiddenLayer( rng,
input=layer2_input,
n_in-nkerns[1] * 4 * 4,
n_out=500,
activation = T.tanh)
HiddenLayer
Class
Last output size for C+P
Number of node at Hidden layer
Activation function at Hidden layer
***In order to extend the number of Hidden Layer in MLP,
We need to make layer3 by copying this code***
M&S
Code for Softmax Output in Theano
Input Image
Convolutional
Layer
Pooling
MLP
Softmax Output
layer3 =
LogisticRegression( input=layer2.output,
n_in=500,
n_out=10)
LogisticRegression
Class
cost = layer3.negative_log_likelihood(y)
Number of node at previous
Hidden layer
Final Output size
Ex) 0, 1, 2, ,,, 9
Softmax activation function
M&S
CNN application in bioinformatics problem

Convolutional Neural Network (CNN) presentation from theory to code in Theano

Editor's Notes

  • #24 Cross correlation 의 직관적 이해
  • #25 Cross correlation 의 직관적 이해
  • #26 Cross correlation 의 직관적 이해
  • #27 Cross correlation 의 직관적 이해
  • #28 Cross correlation 의 직관적 이해
  • #52 Cross correlation 의 직관적 이해