UNIT IV
COMPLEXATION AND PROTEIN
BINDING
By: Ms. Swati Gaikwad
Assistant Professor
Nagpur Pharmacy College ,wanadongri.Nagpur
INTRODUCTION
Ligands: A ligand is an ion or molecule that binds to a central metal atom to
form a complex.
They are with electron pairs available; they may be neutral or negatively
charged.
They are usually electron donors attracted to the metal (the electron acceptor) at
the center of the complex.
They provides both of the electrons for the bond that forms between itself and
the central metal atom or ion.
A ligand molecule with more than one donor atom is a called a polydentate
ligand.
They are classified as following two types. 1. Monodentdate
2. Polydendate
 1. Monodendate Ligands: Monodentate ligands have only one atom capable
of binding to a central metal atom or ion.
 Examples of neutral monodentate ligands- H2O and NH3
 When H2O is a ligand, oxygen is the donor atom binding to the metal. When NH3
is a ligand, nitrogen is the donor atom binding to the metal.
 Examples of monodentate ligands with charges are halide ions, such as: F-, Cl-,
Br-, I-, and cyano, CN-.
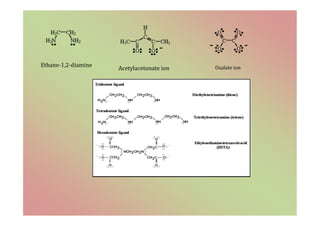
 2. Polydentate Ligands: A ligand molecule with more than one donor atom is a
called a polydentate ligand .
 Polydentate ligands whose geometry enables them to occupy more than one
coordinating position of a central ion act as chelating agents and tend to form
extremely stable complexes known as chelates.
 These are given specific names, depending on how many donor atoms they contain.
They are further classified into three groups:
 Bidendate Ligands
 Tridendate or Higher Ligands
 Ambidendate Ligands
Ethane-1,2-diamine
Acetylacetonate ion Oxalate ion
Ambidentate ligands
Ambidentate ligands are monodentate ligands that can bind in two possible places.
For example, the nitrate ion NO2
- can bind to the central metal atom/ion at either the nitrogen
atom or one of the oxygen atoms.
The thiocyanate ion, SCN- can bind to the central metal at either the sulfur or the nitrogen.
 A coordination complex is one in which a central atom or ion is joined to one or more
ligands through a coordinate covalent bond in which both of the bonding electrons are
supplied by the ligand.
 It is simplest to consider the ligand as the electron pair donor and the metal as the
electron pair acceptor together bonded with coordinate covalent bond.
 The central atom and the ligands coordinated to it constitute the complex.
 Donor is mostly a free nonmetallic atom or ion or a part of neutral or ionic
compound and acceptors are mostly metallic ions or neutral compound.
 There are different intermolecular forces involved in the formation of complexes,
Vander waal’s forces, Hydrogen bonding (Molecular complexes),Coordinate
covalent (Metal ion complexes),Charge transfer, Hydrophobic interactions.
Bonding Forces Operative in Complex Formation
Forces involved in complex formation are classified as follows:
1. Vander waals forces
Dipole-dipole interactions
Dipole- induced dipole interactions
Induced dipole- induce dipole interaction
2. Ion dipole-ion induced dipole
3. Hydrogen bonding (Molecular complexes)
4. Charge transfer
5. Ion pair formation
6. Hydrophobic interactions.
1. Vander Waals forces
 Although many molecules may not have a formal charge may exhibit naturally or
by induction, a partial positive charge in one portion of the molecules and a
partial negative charge on another.
 As a result the molecule is said to have a polar character.
 For example: Water and Ethanol
 In these examples there is partial negative charge in the vicinity of the oxygen atom
due to the electronegativity of this atom relative to the other atoms present.
These can take place in three different forms:
i. Dipole-dipole interaction
• These are the weak attractive forces also known as Keesom Forces.
• They arise between the neutral molecules with permanent dipoles or
between the two dipoles.
• The dipolar attraction may be operative between similar or different molecular
species present in the solution.
• Like molecules may also associate to form dimers, trimers etc.
• Species present in the solution when get associated with polar solvent
molecules a process is called solvation.
https://www.youtube.com/watch?v=63qcSGKjcxA
https://www.youtube.com/watch?v=yIuJfHOVh48
ii. Dipole induced dipole interaction
• These interactions are also known as Debyes Interaction.
• They arise when polar molecules approaches certain non polar molecules which
under the influence of the electric field redistribute their electrons or charges.
• The polar molecule thus can induce the nonpolar species to form a temporary
dipole.
• https://www.youtube.com/watch?v=3YlHGyNDNnc
iii. Induced dipole-induced dipole interaction
In this type of interaction, the two nonpolar molecules can mutually induce
dipole formation in each other and the resulting force of attraction is also called
as London or Dispersion Forces.
The induction of dipole arises because even though the locus of positive and
negative charge in the nonpolar molecule coincides, the electrons and nuclei of
molecules are in relative motion.
During this motion there is unequal distribution of electrons for the fraction of
seconds and thus dipole is induced.
https://www.youtube.com/watch?v=1iYKajMsYPY
2. Ion dipole-ion induced dipole
 An ion dipole interaction is illustrated by the solvation of ions in a polar
solvent which explain high solubility of salts in water.
 Whereas an example of ion induced dipole interaction is the increased
solubility of iodine in the presence of KI.
 It is believed to be the result of iodide ion- iodine molecular complex.
I - + I2 ↔ I3
-
https://www.youtube.com/watch?v=7HCAGSkK1Do
3. Hydrogen bonding
 It is a type of dipole-dipole interaction
 In which proton provides the positive centre for interaction with an
electronegative atom of the dipolar molecule.
 This interaction has bond energies in the range of 2-8 kcal/mole.
 The hydrogen involved in the bonding is usually covalently bonded
to oxygen, carbon, nitrogen or fluorine atom.
 There may also be intramolecular hydrogen bonding along with
intermolecular hydrogen bonding.
 For example : Salicylic acid
 https://www.youtube.com/watch?v=ltxqQbiI6-o
4. Charge transfer interaction
 These are formed between electron donor and an electron acceptor.
 The ground state complex is held together by forces such as Vander Waals forces.
Some ground state complexes may exhibit spontaneous charge transfer of an
electron from the highest occupied orbital of the donor to the lowest empty
orbital of acceptor which results in formation of complex.
 More commonly light energy is required to promote this transfer.
5. Ion pair formation
 When oppositely charged ions are present together in solution in relatively
high concentrations they may interact through electrostatic attraction to
form ion pairs.
 If the ions present in these are relatively large and have a small charge, ion
pairing may be favored, if the water preferentially interacts with other water
molecules rather than with the large poorly hydrated ions.
 As a result the large anions and cations are free to interact due to lack of
insulating solvent.
6. Hydrophobic bonding
 This type of interaction applies to nonpolar molecules present in a polar solvent.
 The interaction arises because the polar solvent molecules preferentially
associated with other similar molecules rather than with the nonpolar solute
molecules.
 Thus, the nonpolar molecules are in a sense forced out of solution.
 The association of the nonpolar molecules may be reinforced through other
bonding forces.
 The principle involved in diagrammatically illustrate.

Complexation 1

  • 1.
    UNIT IV COMPLEXATION ANDPROTEIN BINDING By: Ms. Swati Gaikwad Assistant Professor Nagpur Pharmacy College ,wanadongri.Nagpur
  • 2.
    INTRODUCTION Ligands: A ligandis an ion or molecule that binds to a central metal atom to form a complex. They are with electron pairs available; they may be neutral or negatively charged. They are usually electron donors attracted to the metal (the electron acceptor) at the center of the complex. They provides both of the electrons for the bond that forms between itself and the central metal atom or ion. A ligand molecule with more than one donor atom is a called a polydentate ligand. They are classified as following two types. 1. Monodentdate 2. Polydendate
  • 3.
     1. MonodendateLigands: Monodentate ligands have only one atom capable of binding to a central metal atom or ion.  Examples of neutral monodentate ligands- H2O and NH3  When H2O is a ligand, oxygen is the donor atom binding to the metal. When NH3 is a ligand, nitrogen is the donor atom binding to the metal.  Examples of monodentate ligands with charges are halide ions, such as: F-, Cl-, Br-, I-, and cyano, CN-.
  • 5.
     2. PolydentateLigands: A ligand molecule with more than one donor atom is a called a polydentate ligand .  Polydentate ligands whose geometry enables them to occupy more than one coordinating position of a central ion act as chelating agents and tend to form extremely stable complexes known as chelates.  These are given specific names, depending on how many donor atoms they contain. They are further classified into three groups:  Bidendate Ligands  Tridendate or Higher Ligands  Ambidendate Ligands
  • 6.
  • 7.
    Ambidentate ligands Ambidentate ligandsare monodentate ligands that can bind in two possible places. For example, the nitrate ion NO2 - can bind to the central metal atom/ion at either the nitrogen atom or one of the oxygen atoms. The thiocyanate ion, SCN- can bind to the central metal at either the sulfur or the nitrogen.
  • 8.
     A coordinationcomplex is one in which a central atom or ion is joined to one or more ligands through a coordinate covalent bond in which both of the bonding electrons are supplied by the ligand.  It is simplest to consider the ligand as the electron pair donor and the metal as the electron pair acceptor together bonded with coordinate covalent bond.  The central atom and the ligands coordinated to it constitute the complex.  Donor is mostly a free nonmetallic atom or ion or a part of neutral or ionic compound and acceptors are mostly metallic ions or neutral compound.  There are different intermolecular forces involved in the formation of complexes, Vander waal’s forces, Hydrogen bonding (Molecular complexes),Coordinate covalent (Metal ion complexes),Charge transfer, Hydrophobic interactions.
  • 9.
    Bonding Forces Operativein Complex Formation Forces involved in complex formation are classified as follows: 1. Vander waals forces Dipole-dipole interactions Dipole- induced dipole interactions Induced dipole- induce dipole interaction 2. Ion dipole-ion induced dipole 3. Hydrogen bonding (Molecular complexes) 4. Charge transfer 5. Ion pair formation 6. Hydrophobic interactions.
  • 10.
    1. Vander Waalsforces  Although many molecules may not have a formal charge may exhibit naturally or by induction, a partial positive charge in one portion of the molecules and a partial negative charge on another.  As a result the molecule is said to have a polar character.  For example: Water and Ethanol  In these examples there is partial negative charge in the vicinity of the oxygen atom due to the electronegativity of this atom relative to the other atoms present.
  • 11.
    These can takeplace in three different forms: i. Dipole-dipole interaction • These are the weak attractive forces also known as Keesom Forces. • They arise between the neutral molecules with permanent dipoles or between the two dipoles. • The dipolar attraction may be operative between similar or different molecular species present in the solution. • Like molecules may also associate to form dimers, trimers etc. • Species present in the solution when get associated with polar solvent molecules a process is called solvation. https://www.youtube.com/watch?v=63qcSGKjcxA https://www.youtube.com/watch?v=yIuJfHOVh48
  • 12.
    ii. Dipole induceddipole interaction • These interactions are also known as Debyes Interaction. • They arise when polar molecules approaches certain non polar molecules which under the influence of the electric field redistribute their electrons or charges. • The polar molecule thus can induce the nonpolar species to form a temporary dipole. • https://www.youtube.com/watch?v=3YlHGyNDNnc
  • 13.
    iii. Induced dipole-induceddipole interaction In this type of interaction, the two nonpolar molecules can mutually induce dipole formation in each other and the resulting force of attraction is also called as London or Dispersion Forces. The induction of dipole arises because even though the locus of positive and negative charge in the nonpolar molecule coincides, the electrons and nuclei of molecules are in relative motion. During this motion there is unequal distribution of electrons for the fraction of seconds and thus dipole is induced. https://www.youtube.com/watch?v=1iYKajMsYPY
  • 14.
    2. Ion dipole-ioninduced dipole  An ion dipole interaction is illustrated by the solvation of ions in a polar solvent which explain high solubility of salts in water.  Whereas an example of ion induced dipole interaction is the increased solubility of iodine in the presence of KI.  It is believed to be the result of iodide ion- iodine molecular complex. I - + I2 ↔ I3 - https://www.youtube.com/watch?v=7HCAGSkK1Do
  • 15.
    3. Hydrogen bonding It is a type of dipole-dipole interaction  In which proton provides the positive centre for interaction with an electronegative atom of the dipolar molecule.  This interaction has bond energies in the range of 2-8 kcal/mole.  The hydrogen involved in the bonding is usually covalently bonded to oxygen, carbon, nitrogen or fluorine atom.  There may also be intramolecular hydrogen bonding along with intermolecular hydrogen bonding.  For example : Salicylic acid  https://www.youtube.com/watch?v=ltxqQbiI6-o
  • 16.
    4. Charge transferinteraction  These are formed between electron donor and an electron acceptor.  The ground state complex is held together by forces such as Vander Waals forces. Some ground state complexes may exhibit spontaneous charge transfer of an electron from the highest occupied orbital of the donor to the lowest empty orbital of acceptor which results in formation of complex.  More commonly light energy is required to promote this transfer.
  • 17.
    5. Ion pairformation  When oppositely charged ions are present together in solution in relatively high concentrations they may interact through electrostatic attraction to form ion pairs.  If the ions present in these are relatively large and have a small charge, ion pairing may be favored, if the water preferentially interacts with other water molecules rather than with the large poorly hydrated ions.  As a result the large anions and cations are free to interact due to lack of insulating solvent.
  • 18.
    6. Hydrophobic bonding This type of interaction applies to nonpolar molecules present in a polar solvent.  The interaction arises because the polar solvent molecules preferentially associated with other similar molecules rather than with the nonpolar solute molecules.  Thus, the nonpolar molecules are in a sense forced out of solution.  The association of the nonpolar molecules may be reinforced through other bonding forces.  The principle involved in diagrammatically illustrate.