ไฟฟาสถิต เป็ นแขนงหนึงของ
      ้
วิชาไฟฟาทีศึกษาเกียวกับประจุ
        ้
ไฟฟา ขณะอย่ ูนิงกับที
    ้
ไฟฟาสถิต เกิดจากการขัดสี ของวัตถุที
        ้
เหมาะสม เมือวัตถุดงกล่ าวขัดสี กนแล้ วจะ
                         ั        ั
มีอานาจดูดวัตถุเบา ๆ ได้ อํานาจดึงดูดที
    ํ
เกิดขึนนีเ& รียกว่ า อํานาจไฟฟา และเรียก
      &                       ้
ตัวกลางบางอย่ างทีทําให้ เกิดแรงดึงดูดว่ า
ประจุไฟฟาหรือประจุ
            ้
ประจุไฟฟา
                  ้
   ( Electric charges )
 ประจุไฟฟามี 2 ชนิด คือ
           ้
ประจุไฟฟ้ าบวก ( Positive charge )
 หรื อประจุบวก (+)
ประจุไฟฟ้ าลบ ( Negative charge )
 หรื อประจุลบ ( )
ประจุชนิดเดียวกันจะเกิดแรงผลักกัน
ประจุต่างชนิดกันจะเกิดแรงดูดกัน
ผลัก
+          +
    ผลัก
               +
     ดูด
-หน่ วยของประจุไฟฟา  ้
   เรียกว่ า คูลอมบ์

   ( Coulomb : C )
จากการศึกษาส่ วนประกอบของสสารใน
ปั จจุบน ทําให้ทราบว่าสสารประกอบด้วย
       ั
อะตอมจํานวนมาก โดยอะตอมประกอบด้วย
นิวเคลียสซึ, งมีประจุบวกและประจุลบโคจรอยู่
รอบ ๆ
วัตถุที,มีความเป็ นกลางทางไฟฟ้ า จะมี
จํานวนโปรตอนและอิเล็กตรอนเท่า ๆ กัน
  อิเล็กตรอนสามารถถ่ายเทได้ง่าย เมื,อ
อิเล็กตรอนถ่ายเทจากวัตถุหนึ,งไปยังอีกวัตถุ
หนึ,งแล้ววัตถุที, สูญเสี ยอิเล็กตรอนจะแสดง
อํานาจไฟฟ้ าบวก และวัตถุที,รับอิเล็กตรอน
จะแสดงอํานาจไฟฟ้ าลบ
อนุภาค      มวล (kg)     ประจุไฟฟา ( C )
                                    ้

อิเล็กตรอน (e) 9.1 × 10 – 31 1.6 × 10 – 19
 โปรตอน (p) 1.67 × 10 – 27 + 1.6 × 10 – 19
 นิวตรอน (n) 1.67 × 10 – 27   เป็ นกลาง
การเกิดประจุไฟฟ้ านอกจากจะเกิดจากการเอา
วัตถุคู่ทเหมาะสมมาถูกนเท่ านั&นแต่ อาจเกิดได้ อก
         ี              ั                        ี
หลายวิธีคอ เกิดจากปฏิกริยาเคมี เกิดจากความ
           ื              ิ
ร้ อน เกิดจากสนามแม่ เหล็ก เป็ นต้ น แต่ ในทีนีจะ
                                               &
กล่ าวถึงวิธีทใช้ กนทัวไป คือ การขัดถู , การแตะ ,
              ี ั
การเหนียวนํา
1) การขัดถู คือ การเอาวัตถุคู่ที,เหมาะสมมาถูกนจะ
                                             ั
เกิดประจุไฟฟ้ าอิสระได้ จากผลการทดลอง
นักวิทยาศาสตร์ได้ทาบัญชีรายชื,อสารไว้ประมาณ
                     ํ
20 ชนิด เรี ยกว่า Frictional Order
โดยเรี ยงลําดับหมายเลขจากสารที,สูญเสี ย
อิเล็กตรอนได้ง่ายที,สุดไปตามลําดับดังนี:
1.ขนสัตว์             1.แก้วผิวขรุขระ
2.ผ้าสักหลาด          2.ผิวหนัง
3.ไม้                 3.โลหะต่าง ๆ
4.เชลแล็ก             4.ยางอินเดีย
5.ยางสน               5.อําพัน
6.ครัง                6.กํามะถัน
7.แก้วเรียบ           7.อีโบไนต์
8.ผ้าฝ้ ายหรือสําลี   8.ยาง Gulta – percha
9.กระดาษ              9.ผ้าแพร Amalgamated
10.ผ้าแพรเลียน        10.เซลลูลอยด์
เมือนําเอาสารตามบัญชีนีมาถูกน สาร
                        & ั
ทีมีหมายเลขน้ อยกว่ าจะเกิดประจุ
บวกและสารทีมีหมายเลขมากกว่ าจะ
เกิดประจุลบ
2) ประจุไฟฟาเกิดจากการสั มผัส วิธีนีจะทํา
                     ้                      &
ให้ วตถุทเป็ นกลางมีประจุไฟฟาอิสระได้ โดยการ
     ั ี                     ้
นําเอาวัตถุทมีประจุไฟฟาอิสระมาสั มผัสกับวัตถุ
              ี         ้
ตัวนําทีเป็ นกลาง วัตถุท&งสองจะมีการถ่ ายเทประจุ
                          ั
ให้ กนจนวัตถุท&งสองมีศักย์ ไฟฟาเท่ ากัน ประจุจง
      ั           ั            ้               ึ
หยุดการถ่ ายเท ผลรวมประจุก่อนสั มผัสกับหลัง
สั มผัสต้ องเท่ ากัน
3) ประจุไฟฟาเกิดจากการเหนียวนํา การทําให้ วตถุ
                   ้                               ั
ทีเป็ นกลางทางไฟฟามีประจุไฟฟาอิสระได้ โดยการ
                     ้         ้
นําเอาวัตถุทมีประจุไฟฟาอิสระมาใกล้ วตถุตวนําทีเป็ น
                 ี        ้           ั ั
กลาง ทําให้ ประจุชนิดตรงข้ ามมาอยู่ใกล้ วตถุทมีประจุ
                                         ั ี
และประจุทเหมือนกันอยู่ทางด้ านไกลวัตถุทมีประจุ
               ี                           ี
แล้ วนํามือมาแตะวัตถุทเป็ นกลางหรือนําสายดินมาต่ อ
                        ี
วัตถุทเป็ นกลาง แล้ วนําสายดินหรือมือออก ตามด้ วย
        ี
วัตถุทมีประจุออกไป วัตถุทเป็ นกลางอยู่เดิมก็จะมีประจุ
          ี                 ี
ไฟฟาเกิดขึน
      ้      &
วิธีการตรวจสอบประจุไฟฟา      ้
1. นําวัตถุน: นเข้าใกล้เศษกระดาษเล็ก ๆ หรื อเม็ด
                ั
โฟมเล็ก ๆ           ถ้าดูดแสดงว่าวัตถุน: นมีประจุ
                                         ั
ไฟฟ้ า
2. นําวัตถุน: นมาตรวจสอบกับอิเล็กโตรสโคปแบบ
              ั
ลูกพิธที,ทาด้วยโฟม (ที,ฉาบด้วยโลหะ เช่น
          ํ
อะลูมิเนียม เพื,อให้นาไฟฟ้ าได้ดีข: ึน ) แล้วนําวัตถุที,
                        ํ
มีประจุไฟฟ้ ามาใกล้ ๆ วัตถุน: นจะดูดลูกพิธให้เข้า
                               ั
มาจนเห็นได้ชด     ั
3. นําวัตถุน: นมาตรวจสอบกับอิเล็กโทรสโคปแบบ
              ั
แผ่นโลหะ โดยการเอา วัตถุน: นมาวางไว้ใกล้
                                 ั
จานของอิเล็กโทรสโคป ถ้าแผ่นโลหะของอิเล็กโท
รสโคปกางออก แสดงว่าวัตถุน: นมีประจุไฟฟ้ า
                            ั
    ** อิเล็กโทรสโคป Electroscope)
ตัวนําไฟฟ้ า (Conductor) และฉนวนไฟฟ้ า
(Insulator)
       ตัวนําไฟฟ้ า คือ วัตถุที,ยอมให้
ประจุไฟฟ้ าเคลื,อนที,ไปได้สะดวก
ตลอดเนื:อวัตถุโดยง่าย เช่น โลหะต่าง
ๆ สารละลายของกรด เบสและเกลือ
เป็ นต้น
ฉนวนไฟฟ้ า คือ วัตถุที,
ไม่ยอมให้ประจุไฟฟ้ าเคลื,อนที,
ไปได้สะดวกหรื อไม่ยอมให้
                      ่
ประจุไฟฟ้ าเคลื,อนที,ผานไปได้
เช่น ยาง กระเบื:องเคลือบ แก้ว
กระดาษ เป็ นต้น
การกระจายของประจุ
    ถ้ าวัตถุหนึงมีประจุไฟฟา้
การกระจายของประจุบนวัตถุ
นั&นจะมีลกษณะอย่ างใดขึนอย่ ูกบ
           ั              &   ั
ชนิดของวัตถุน&ัน เช่ น
1) วัตถุทเป็ นฉนวน เมือทําให้ เกิด
          ี
ประจุไฟฟาขึน ณ ส่ วนใดของวัตถุที
            ้ &
เป็ นฉนวนประจุกจะปรากฏอยู่แต่
                     ็
เฉพาะส่ วนนั&น จะไม่ กระจายไปสู่
ส่ วนอืน ทั&งนีเ& พราะสมบัตของ
                           ิ
ฉนวน ประจุจะถ่ ายเทได้ ไม่ สะดวก
2) วัตถุทเป็ นตัวนํา เมือทําให้ เกิดประจุ
         ี
ไฟฟาขึน ณ ส่ วนใดของวัตถุทเป็ นตัวนํา
     ้ &                        ี
ประจุจะกระจายไปทัวทั&งก้ อนของวัตถุน&ัน
และจะหยุดกระจายก็ต่อเมือศักย์ ไฟฟาบน   ้
ตัวนํานั&นมีค่าเท่ ากันตลอดทั&งก้ อนวัตถุ
ทั&งนีเ& พราะสมบัตของตัวนําประจุสามารถ
                    ิ
เคลือนทีไปมาได้ สะดวกบนตัวนํา
การกระจายของประจุบนตัวนํามีลกษณะ ั
พิเศษที,น่าสนใจดังนี:คือ
ประจุจะกระจายอยูเ่ ฉพาะผิวนอกของ
ตัวนําเท่านั:นประจุ ปรากฏหนาแน่นใน
บริ เวณที,เป็ นปลายแหลมหรื อเป็ นคม
**** วัตถุที,มีประจุไฟฟ้ าสถิตเมื,อทิ:งเอาไว้นาน
ๆ อํานาจไฟฟ้ าจะค่อย ๆ หมดไปเองจน
กลายเป็ นกลางในที,สุด เพราะวัตถุที,มีประจุน: น ั
         ่ ั
สัมผัสอยูกบอากาศตลอดเวลาจึงค่อย ๆ เสี ย
           ั
ประจุให้กบอากาศไป โดยเฉพาะถ้าอากาศที,มี
                               ั
ความชื:นมากการเสี ยประจุให้กบอากาศจะง่าย
ขึ:น
แรงระหว่ างประจุและกฎของคูลอมบ์
  ( Electric Forces and
       Coulomb’s law )
  ปี 1785 Charles Augustin de
 Coulomb นักวิทยาศาสตร์ชาวฝรั,งเศสได้ทาํ การศึกษา
เกี,ยวกับแรงระหว่างประจุแล้วตั:งทฤษฎีข: ึนมา โดยอาศัยหลักที,วาประจุ
                                                             ่
           เหมือนกันจะผลักกันและประจุต่างกันจะดึงดูดกัน
ประจุเหมือนกันผลักกัน
ประจุต่างกันจะดึงดูดกัน
เมื,อนําอนุภาคที,มีประจุไฟฟ้ า
                ั
มาวางไว้ใกล้กนในระยะที,
เหมาะสมดังรู ป ประจุไฟฟ้ าทั:ง
สองจะออกแรงกระทําต่อกันด้วย
แรงที,เท่ากัน ถึงแม้จะมีประจุ
เท่ากันหรื อไม่เท่ากันก็ตาม
เมื,อ Q1 และ Q2 เป็ นประจุ
ไฟฟ้ าบนอนุภาคทั:งสอง มีหน่วย
เป็ น คูลอมบ์ (C)
v          v
 FA   และ
            FB
  เป็ นแรงกระทําระหว่างประจุทง   ั
  สอง มีหน่วยเป็ น นิวตัน (N)
 r เป็ นระยะห่างระหว่างประจุท: ง
                               ั
สอง มีหน่วยเป็ น เมตร (m)
v         v
     FA
 *** แรง   และ F
                B
  จะมีขนาดเท่ากันตามกฎ
ข้อที 3 ของนิวตัน ทีว่า
action = reaction
่
คูลอมบ์สรุ ปได้วา “ แรงระหว่ าง
ประจจะเป็ นสัดส่ วนกับผลคณของ
      ุ                     ู
ประจุ และแปรผกผันกับระยะห่ าง
ระหว่ างประจยกกําลังสอง ” ซึ, ง
             ุ
                          ่
เขียนเป็ นความสัมพันธ์ได้วา
v
         F α Q1Q 2
          v 1
 และ      Fα 2
            r
         v Q1Q 2
ดังนัน
     N   Fα 2
             r
เขียนในรู ปสมการได้ ว่า

     v KQ1Q 2
     F= 2
         r
จากสมการทีได้ เรียกว่ า กฎของคู
ลอมบ์ (Coulomb’s law)
ใช้ คานวณหาแรงกระทําระหว่ าง
     ํ
ประจุบนอนุภาค ซึงเรียกว่ า จด
                            ุ
ประจุ
*** ค่ า K คือค่ าคงทีทีหาได้
จากการทดลองมีค่าประมาณ K
=   9 × 109   N-m 2/C2
1.ในการคํานวณไม่ตองใส่
                  ้
เครื, องหมายแสดงประจุลงไปใน
สมการ เพราะจะทําให้สบสนในการ
                     ั
มองทิศทางของแรงที,เกิดขึ:นกับประจุ
หาแรงลัพธ์แบบการหาเวกเตอร์ ลัพธ์
ทุกประการ
2.ในการมองทิศของแรงให้ใช้หลัก
ประจุเหมือนกันจะผลักกันและประจุ
ที,ต่างกันจะดูดกันเท่านั:น
3. แรงกระทําระหว่างประจุเป็ นแรง
กระทําร่ วม จึงมีขนาดเท่ากัน แต่
ทิศทางตรงข้ามกัน
4. ถ้าบนประจุใดมีแรงกระทําหลาย
แรง ในการคํานวณต้องหาแรงลัพธ์
แบบการหาเวกเตอร์ ลัพธ์ทุกประการ
ตัวอย่ าง ลูกพิธ 2 ลูกแต่ละลูกมีประจุ 1 ไม
โครคูลอมบ์ เมื,อวางห่างกัน 50 เซนติเมตร
และถือว่าลูกพิธนี:มีขนาดเล็กมากจนถือได้วา ่
เป็ นจุด จงหาว่ามีแรงกระทําที,เกิดบนลูกพิธ
เป็ นเท่าไร
• ตัวอย่ าง มีประจุ + 1 คูลอมบ์ และ + 2 คูลอมบ์ วางห่างกัน 3
  เมตร จงหาแรงระหว่างประจุ
แบบฝึ กหัด
จงหาคําตอบให้ ถูกต้ อง
1) ประจุไฟฟ้ า +2 ไมโครคูลอมบ์ , 3 ไมโครคูลอมบ์, +4 ไมโครคูลอมบ์ และ
 1 ไมโครคูลอมบ์ วางไว้ที,จุด A , B , C และ D ดังรู ป จงหาแรงกระทํา

ต่อประจุที,จุด B เป็ นเท่าไร   ( 18.9 N ไปทาง C )
2) ประจุไฟฟ้ า 3 ตัว ขนาด +6 ไมโครคูลอมบ์ ,+10ไมโครคูลอมบ์
และ 8 ไมโครคูลอมบ์ วางอยู่ในตําแหน่ งดังแสดงในรู ป จงหา
แรงลัพธ์ ทเกิดขึนกับประจุ +10 ไมโครคูลอมบ์
          ี &                                ( 19 N )
3)สี เหลียมจัตุรัส ABCD มี
 ความยาวด้ านละ10 เซนติเมตร
 ทีมุมทั&งสี มีประจุดงรูป จงหาแรง
                     ั
 กระทําระหว่ างประจุทจุด A
                         ี
 ( 0.82 N )
5) ทรงกลม A และ B หนักเท่ ากัน มีประจุ 3 คูลอมบ์ และ 5 คู
ลอมบ์ ตามลําดับ วางห่ างกัน 3 เซนติเมตรดังรู ป โดย B ลอยนิงอยู่
ในอากาศเหนือ A จงหาว่ าวัตถุท&งสองหนักกีนิวตัน( 1.5 × 10 N )
                                ั                   14
6) ทรงกลม A และ B มีมวล 0.1
กิโลกรัมเท่ากัน วางไว้บนพื:นเอียงลื,น
ซึ, งเอียงทํามุม 30 องศากับแนวราบ เมื,อ
ให้ประจุแก่ทรงกลมทั:งสองเท่ากัน ทํา
                     ่
ให้ทรงกลม B อยูน,ิงบนพื:นเอียงห่าง
จากทรงกลม A 3 เมตร
7) ทรงกลมตัวนํา 2 อัน มีมวล 0.1 กรัม
ผูกไว้ดวยเส้นด้ายยาว 20 เซนติเมตร
        ้
เมื,อให้ประจุไฟฟ้ าแก่ทรงกลมทั:งสอง
แล้วแขวนเส้นด้ายตรงกลาง พบว่า ตัวนํา
ทั:งสองจะผลักกันจนเส้นด้ายทั:งสองทํา
มุมฉากต่อกัน
จงหา
ก)ความตึงในเส้นเชือก ( 1.4 × 10 – 3 N )
ข)ประจุบนทรงกลมตัวนําแต่ละ
อัน ( 4.7 × 10 – 8 C )
สนามไฟฟา ( Electric Fields )
                  ้
      หมายถึง บริ เวณโดยรอบประจุ
ไฟฟ้ า ซึ, งประจุไฟฟ้ าสามารถส่ งอํานาจ
 ทางไฟฟ้ าไปถึง หรื อ บริ เวณที,เมื,อนํา
  ประจุทดสอบไปวางแล้วจะเกิดแรง
      กระทําบนประจุทดสอบนั:น
ขนาดของสนามไฟฟ้ า ณ จุด
ใด ๆ คือ ค่าของแรงทางไฟฟ้ าที,
กระทําต่อประจุทดสอบบวก
ขนาดหนึ,งหน่วย (+1 C ) ที,นามา
                           ํ
วาง ณ จุดนั:น
ฉะนัน ถ้ากําหนดให้วางประจุ q คู
ลอมบ์ ไว้ในบริเวณทีมสนามไฟฟ้า
                   . ี
 v                      v
 E ปรากฎว่ามีแรงขนาด F
 กระทําต่อประจุ q นี จากนิยาม
ของขนาดสนามไฟฟ้า เขียนเป็ น
สมการได้วา่
r
r F
E=
   q
เมื,อ
E คือ ขนาดของสนามไฟฟ้ า
      ณ ตําแหน่งนั:น มีหน่วยเป็ น
      นิวตันต่อคูลอมบ์ (N/C)
F คือ ขนาดของแรงไฟฟ้ าที,กระทําต่อ
ประจุทดสอบ มีหน่วยเป็ น นิวตัน (N)
q คือ ประจุทดสอบที,วางไว้ มี
 หน่วยเป็ น คูลอมบ์ (C)
สนามไฟฟา เป็ นปริมาณเวกเตอร์
       ้
ทิศของสนามไฟฟ้ าที,กระทําต่อ
ประจุทดสอบใดๆ จะมีทิศเดียวกับ
ทิศของแรงที,กระทําต่อประจุ
ทดสอบบวก (+) และมีทิศตรงข้าม
กับทิศของแรงที,กระทําต่อประจุ
ทดสอบลบ ( )
สนามไฟฟาเนืองจากจุดประจุ
       ้
เมือวางประจุทดสอบบวกรอบ ๆ จุด
      .
ประจุไฟฟ้าบวก จะเกิดแรงผลักประจุ
ทดสอบบวกนีและมีทศพุงออกจากจุด
                  ิ ่
ประจุไฟฟ้าบวก ดังนันทิศทางของ
สนามไฟฟ้าทีเกิดจากประจุไฟฟ้าบวกจะมี
             .
+




ทิศทางพุงออกจากจุดประจุบวกทุก
         ่
ทิศทาง ดังรูป
ให้ แทนประจุทดสอบบวก
 ลูกศรแทนทิศของสนามไฟฟ้ า
ั
ในทํานองกลับกนถ้าเป็ น
สนามไฟฟ้ าที,เกิดจากประจุ
                     ่
ไฟฟ้ าลบจะมีทิศทางพุงเข้าหาจุด
ประจุไฟฟ้ าลบนั:นทุกทิศทาง
ดังรู ป
การหาขนาดของสนามไฟฟา ้
    เนืองจากจุดประจุ
่
    กําหนดให้มีจุดประจุ Q อยูที,
ตําแหน่งหนึ,ง ถ้าวางประจุทดสอบ
q ไว้ห่างจาก Q เป็ นระยะ r
แล้วจะเกิดแรงซึ, งมีขนาด F
กระทําต่อประจุ q นั:น
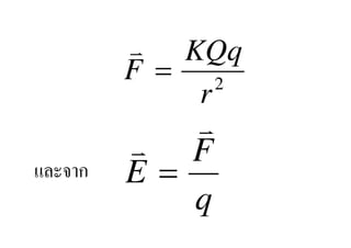
v KQq
         F = 2
             r
            v
         v F
และจาก   E=
            q
v   KQq    1
  ดังนั&น   E =    2
                     ×
                 r     q
จะได้ขนาดของสนามไฟฟ้ าเนื,องจากจุดประจุเท่ากับ
             v KQ
             E= 2
                r
ถ้ากรณี ตาแหน่งที,พิจารณามีสนามไฟฟ้ า
           ํ
เนื,องจากจุดประจุหลาย ๆ ประจุ ขนาดและ
ทิศทางของสนามไฟฟ้ าลัพธ์ตองคิดแบบการ
                            ้
หาเวกเตอร์ลพธ์ทุกประการ
             ั
เส้ นแรงไฟฟา ( Electric line of
           ้
force )
   คือ เส้นที,เขียนขึ:นเพื,อแสดง
ทิศทางของแรงลัพธ์ที,กระทําต่อ
ประจุบวกในบริ เวณที,มี
สนามไฟฟ้ า จะมีสมบัติดงนี:  ั
่
1) เส้นแรงไฟฟ้ าพุงออกจากประจุ
ไฟฟ้ าบวก และพุงเข้าสู่ประจุไฟฟ้ า
               ่
ลบ
2)  เส้นแรงไฟฟ้ าแต่ละเส้นไม่ตดกันเลย
                                ั
3) เส้นแรงไฟฟ้ าจากประจุไฟฟ้ าชนิ ด
เดียวกัน ไม่เสริ มเป็ นแนวเดียวกัน แต่จะ
เบนแยกออกจากกันเป็ นแต่ละแนว ส่ วน
เส้นแรงไฟฟ้ าจากประจุไฟฟ้ าต่างชนิด
กันจะเสริ มเป็ นแนวเดียวกัน
4.เส้นแรงไฟฟ้ าที,พงออกหรื อพุงเข้าสู่ผวของวัตถุ
                    ุ่          ่      ิ
ย่อมตั:งฉากกับผิววัตถุน: น ๆ เสมอ
                         ั
5.เส้นแรงไฟฟ้ า จะไม่พงผาน  ุ่ ่
วัตถุตวนําเลย เส้นแรงไฟฟ้ าจะ
         ั
            ่ ิ
สิ: นสุ ดอยูที,ผวของวัตถุตวนํา
                          ั
เท่านั:น
เส้นแรงไฟฟ้ าเนื,องจากประจุต่างชนิด
กันของแผ่นตัวนําขนาน
สนามไฟฟาเนืองจากประจุบนตัวนําทรงกลม
       ้

  - ตัวนําทรงกลมกลวงหรื อตันที,มี
  ประจุไฟฟ้ าอิสระประจุจะกระจาย
     ่ ิ
  อยูที,ผวนอกอย่างสมํ,าเสมอ
-เส้นแรงไฟฟ้ าจะตั:งฉากกับผิว
ของตัวนํา และไม่สามารถผ่าน
ทะลุไปในตัวนําได้ ดังนั:น ภายใน
ตัวนําขนาดของสนามไฟฟ้ าจึงมี
ค่าเท่ากับศูนย์ (0) เสมอ
- การหาสนามไฟฟ้ าที,จุดใด ๆ ซึ, งอยู่
ห่างจากจุดศูนย์กลางของทรงกลมเป็ น
ระยะ r อาจคิดเสมือนว่าประจุท: งหมด
                              ั
        ่
รวมอยูที,จุดศูนย์กลางของทรงกลม
ดังนั:น การหาขนาดของสนามไฟฟ้ า ณ
ระยะห่าง r จากจุดศูนย์กลางของ
ทรงกลม โดยต้องมากกว่าหรื อ
                            ่
เท่ากับรัศมีของทรงกลม จะได้วา
KQ
E= 2
   r
?ทีผวทรงกลมตัวนําจะมีขนาดของ
   . ิ
สนามไฟฟ้ามากทีสด ซึงหาได้จาก
               .ุ .
              KQ
            E= 2
               r
เมือ r ในทีนีคือ รัศมีของทรงกลมตัวนํา
  .        .
?ขนาดของสนามไฟฟ้าทีระยะ
                      .
ต่างๆ จากผิวตัวนําทรงกลม
จะมีคาลดลงเรือยๆ ตาม
     ่       .
สมการ E =      KQ
                2
 ดังกราฟ    r
แบบฝึ กหัด
จงตอบคําถามต่ อไปนีให้ ถูกต้ อง
                   &
1) ทิศของสนามไฟฟ้ า กําหนดขึ:น
โดยใช้ขอตกลงว่าอย่างไร
        ้
2) ประจุทดสอบ 3 C วางอยูใน   ่
สนามไฟฟ้ าที,มีความเข้ม 8.0 ×
10 15 N/C จะเกิดแรงกระทําต่อ

ประจุทดสอบเท่าใด( 2.4 × 1010 N )
3) อนุภาคมวล 1.5 × 10 – 6 kg     มี
ประจุ 3 × 10             ่
             – 9 C วางอยูใน

สนามไฟฟ้ า 2,000 N/C จงหา
ความเร่ งของอนุภาคนี:
                    ( 4 m/s2 )
4) จงหาสนามไฟฟ้ า ณ จุด A
ซึ, งอยูห่างจากจุดประจุ 6 C
        ่
เป็ นระยะ 10 cm   ( 5.4 × 10 6 N/C )
่
5) จุด A , B และ C อยูบนแนว
เส้นตรงเดียวกัน ห่างกันช่วงละ 10
cm วางจุดประจุ – 4 C และ 5
  C ที,จุด A และ C ตามลําดับ
จงหาสนามไฟฟ้ าที,จุด B ( 8.1
× 10 6 N/C )
ไฟฟ้าสถิต [Compatibility mode]
ไฟฟ้าสถิต [Compatibility mode]
ไฟฟ้าสถิต [Compatibility mode]
ไฟฟ้าสถิต [Compatibility mode]
ไฟฟ้าสถิต [Compatibility mode]
ไฟฟ้าสถิต [Compatibility mode]
ไฟฟ้าสถิต [Compatibility mode]
ไฟฟ้าสถิต [Compatibility mode]
ไฟฟ้าสถิต [Compatibility mode]

ไฟฟ้าสถิต [Compatibility mode]