Logistical And Transportation
Planning Methods
For any help regarding Civil Engineering Assignment Help
visit : https://www.statisticsassignmenthelp.com/ ,
Email - info@statisticsassignmenthelp.com or
call us at - +1 678 648 4277
statisticshomeworkhelper.com
Logistical and Transportation Planning Methods
Problem 1
Consider a I-mile-by-2-mile homogeneous service region served by two mobile patrolling servers as shown in
Figure 1. Here are the assumptions of the model:
1. Customer locations are uniformly independently located over the entire rectangular service region.
2. Over time. customers arrive as a homogeneous Poisson process at aggregate rate 2=2 customers per hour.
3. While not busy sexing customers. each server patrols its sector (sector 1 or 2. respectively). Under this
circumstance. the server's location at a random time is uniformly distributed over its sector. Each sector is a
one-mile-by-one-mile square.
4. Travel distance is right-angle ("Manhattan metric•). with speed equal to 1000 mi/hr.
5. The on-scene time to serve a customer is a random variable having a negative exponential probability density
function with mean equal to 30 minutes. Upon completion of service of a customer at the scene. the server
resumes random patrol of his/her sector.
6. This is the dispatch strategy. For a customer from sector t (r=12). dispatch server t if available. Else dispatch the
other server if available: Else the customer is lost forever.
Problem
statisticshomeworkhelper.com
(a) Is it true that the workload (fraction of time busy) of each server is equal to lit? If true. briefly explain why.
If false. derive the correct figure.
(b) Determine the fraction of dispatches that take server Ito sector 2.
(c) Determine the mean travel time to a random served customer.
Now consider the situation as shown in Figure 2. Assumptions 1 through S above remain correct. However.
Assumption 6 is altered as follows: Case in which both rents are mailable. For a customer from a pan of sector I
not in Buffer Zone I. dispatch saver t. For a customer in Buffer Zone r. dispatch the other server only if that other
saver is within its own buffer zone and server I is not within its buffer zone: else dispatch server i to that
customer. Case in which only one sever is available: Dispatch that saver. Else the customer is lost forever.
(d) Under this new dispatch policy. determine the fraction of dispatch assignments that send server I to sector 2.
(e) Without doing the detailed calculations. describe briefly how you would compute the mean travel time. How
would the magnitude of the numerical answer compare to that of part (c)?
(f) Suppose under the simpler dispatch policy it above. we find that the workload of Sector Ail is twice the
workload of Sector 2. while A remains the same at A = 2. Without doing the calculations. briefly explain how you
would find an optimal boundary line separating Sectors I and 2. where 'optimal' means minimizing mean trawl
time. Would it be to the left of right of x =0? RV?
statisticshomeworkhelper.com
Problem 2
Consider a square one kilometre on a side. as shown in Figure 1. Geometrically. this is the same square that
appeared in Problem 1 of Quiz I. That is. emergency incidents can only occur on the perimeter of the square and
travel can occur only along the perimeter of the square. There is no travel within the square. There are no
emergency incidents within the square. U-turns are allowed and travel always occurs along the shortest path.
The square is served by two ambulances, ambulance #1 garaged in the northeast corner of the square and
ambulance 02 garaged in the southwest corner of the square. as shown in Figure 1. Ambulances always return to
their home garage locations after answering emergencies. So, an ambulance will never be dispatched directly from
one call to another without returning to the home garage location.
Emergency incidents are not uniformly distributed over the square. The number adjacent to each link of the square
is the probability that a random emergency incident will be generated on that link. Once the link of the incident is
known, the conditional pdf of its location on the link is uniform over the link.
We model this system as an N= 2 saver hypercube queueing model with EY = mean service time per incident = 1
how. A= Poisson arrival rate of emergency incidents from entire square = 1 hour. and response travel speed = 100
'unholy. The usual assumptions related to negative exponential service times apply. as does the assumption that on
scene time dominates the very small travel time component of the service time Assume that the dispatcher
dispatches the closest available ambulance (i.e. of the available ambulances. the one whose home garage
statisticshomeworkhelper.com
location is closest to the emergency). Emergency incidents that occur while both ambulances are
simultaneously busy are Lost.
(a) (10 points) Given that an emergency incident occurs while ambulance 01 is busy and
ambulance # 2 is available, find and plot the conditional pdf of the travel distance for
ambulance #2 to travel to the scene of the emergency incident.
(b) (12 points) Find the workload (fraction of time busy) of each of the two ambulances.
(c) (13 points) If the dispatcher moves to an optimal dispatch strategy, ie., one that minimizes mean
travel time to a random incident. determine the optimal boundaries for response areas 1 and 2.
Problem 3
Problem 5.3 from the textbook
Problem 4
Problem 5.6 from the textbook
Problem 5
Consider a service facility at which Type I and Type 2 customers arrive in a Poisson manner at the
rate of XI= 30 per hour and X2= 24 per hour, respectively. Service at the facility is FIFO and service
times are constant and last exactly 1 minute for either type of customer. The cost of waiting in the
queue per minute is $2 and $3 per Type I and Type 2 customers, respectively. Assume steady state
conditions throughout the problem. Numerical answers are expected in all parts.
statisticshomeworkhelper.com
(a) What is the total expected cost of waiting time at this facility per hour?
(b) Find the internal cost and the eternal cost associated with a marginal Type I customer and repeat for the
internal and external cost associated with a Type 2 customer. How do the external costs compare and why?
Assume now and for parts (c)— (f) of this problem that service to Type I customers lasts exactly 0.5 minute and to
Type 2 customers exactly 1.625 minutes. The cost of waiting per minute is still $2 and $3 per Type 1 and Type 2
customers, respectively, and service is still FIFO.
(c) Repeat part (a). A numerical answer is expected once again.
(d) Repeat part (b) and comment on differences you see with the results of part (b).
Suppose now that you were asked to assign non-preemptive priorities to the two types of customers in a way that
will minimize the total expected cost of waiting at the facility.
(e) Which type of customer should be assigned higher priority and why? (
(f) Under the priorities assigned in part (e), what is the total expected cost of waiting at this facility per hour? How
does this cost compare with the cost you found in part (c)?
Suppose now that the service times for Type 1 customers are negative exponential with an expected
value of 0.5 minute and for Type 2 customers negative exponential with an expected value of 1.625
minutes. As for parts (e) and (f), the cost of waiting per minute is still $2 and $3 per Type 1 and Type
2 customers, respectively, and you are asked to assign non-preemptive priorities to the two types of
customers in a way that will minimize the total expected cost of waiting at the facility.
(g) Which type of customer should be assigned higher priority and why?
(h) Under the priorities assigned in part (g), what is the total expected cost of waiting at this facility
per hour? How does this cost compare with the cost you found in part (c) and part (f)?
statisticshomeworkhelper.com
Solutions
Problem 1
(a) One B tempted to saw yes by setting is not the rate at which
customers are accepted into the system because we have a loss system. Thus the answer is no. and
we must derive the correct figure. We can use the following aggregate birth-death worm (state
transition diagram for an M/M/2 queueiug system with no waiting space) to compute the workloads:
statisticshomeworkhelper.com
(b) The 2-dimensioned hypercube stale transition diagram is given below. From the steady-state
probabilities computed in part (a) and the symmetry of the system, we have
statisticshomeworkhelper.com
statisticshomeworkhelper.com
(d) Consider a long time interval T. In the steady state. the average total number of customers served
is AT(1— P11). Server 1 is sent to sector 2 in the following cases:
(1) A customer arrives from sector 2. server 2 is busy. and server I is idle.
(2) A customer arrives Amu buffer zone 2, tenter 2 is Idle outside buffer zone 2, and server 1 is idle
inside buffer zone 1
The average number of customers served by the first case is A2T.Fin. To compute the average
manly°, of customers serval by the second case. let us first find the probability that server 2 is idle
outside buffer zone 2 and server 1 Is Idle inside buffer zone I. Using geometrical probability and the
independence of the two servers, we know that the probability is . Slum the arrival rate
from buffer zone 2 is 'If, the average number of customers served by the second ease during time
interval . Using these quantities, WP obtain the fraction of dispatch assignments
chat send server 1 to Rector 2 under the new dispatch policy as follows:
statisticshomeworkhelper.com
statisticshomeworkhelper.com
We have :
statisticshomeworkhelper.com
(f) First, do not use Carter, Chaiken, and Iola11 formula (Equation (5.16)). It only applies when
server locations are fixed. The hest option is to compute T(x), where x is the location of a boundary
line, and use calculus to find an optimal value of re (as we did in the 2-server numerical example in
the book and in class). The problem with Equation (5.18) is that 71(B) and T2(B) depend on the
location of the boundary line separating sectors 1 and 2. This is bemuse each available server
patrol: uniformly its sector while it is idle and thus its travel time in B depends on sector design.
Problem 2
(a) With probability 0.3, the emergency occurs on one of the two links incident to the garage
location of ambulance 2. In this case, the travel distance is U(0,1). With probability 0.7, the
emergency occurs on one of the two links not incident to the garage location of ambulance 2. In this
case, the trawl distance 15 U(1.2). Accordingly. as shown in Figure 1, the conditional pdf of the travel
distance for ambulance 2 to travel to the we're of the emergency Incident Is
statisticshomeworkhelper.com
statisticshomeworkhelper.com
where T„ (B) gives the average Irma time for unit n to travel to a random service request from anywhere
in the entire service region. Note that an is therefore given in time units. Let us multiply the RHS through
by the travel speed and let D.(13) denote the average travel distance for unit n to travel to a. random
service request from anywhere in the entire service region. We can then write se as follows, in units of
distance rather than time,
statisticshomeworkhelper.com
Problem 3
statisticshomeworkhelper.com
statisticshomeworkhelper.com
statisticshomeworkhelper.com
statisticshomeworkhelper.com
statisticshomeworkhelper.com
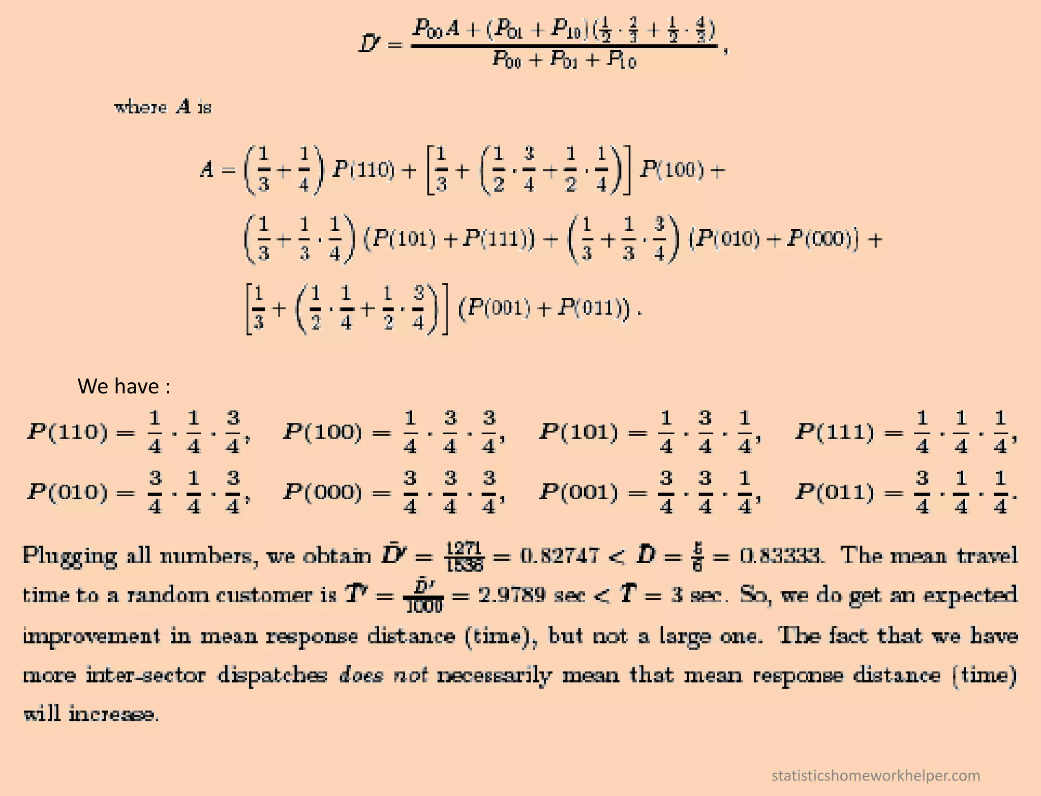
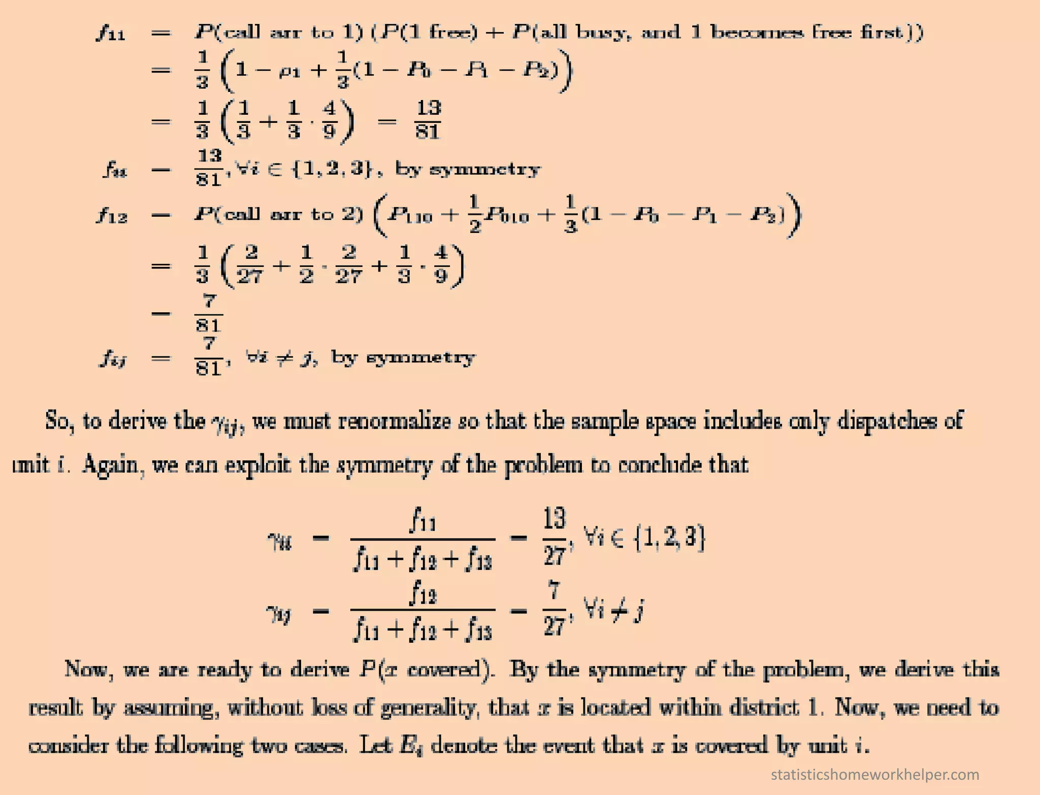
First, let us derive may, the fractions of i dispatches whose destination is district j, i,j E (1. 2, 3). Note that
the Iv are not the seen as the bj defined in the text, since the latter ht given to he the fraction of all
dispatches (nut just i dispzttches), which take unit i to district j. We will derive the -yo from the ftj via
rcnonnalization. Recall that each fu is the sum of a term corresponding to the fraction of dispatches of i
to j that incur no queueing delay and those that do incur a delay in queue. For any till delayed in queue
(arrives when all of the units are busy), became of the ineinorylessne of the exponential dimlibation, the
call is equally likely to be answered by any one of the three units.
statisticshomeworkhelper.com
statisticshomeworkhelper.com
statisticshomeworkhelper.com
statisticshomeworkhelper.com
statisticshomeworkhelper.com
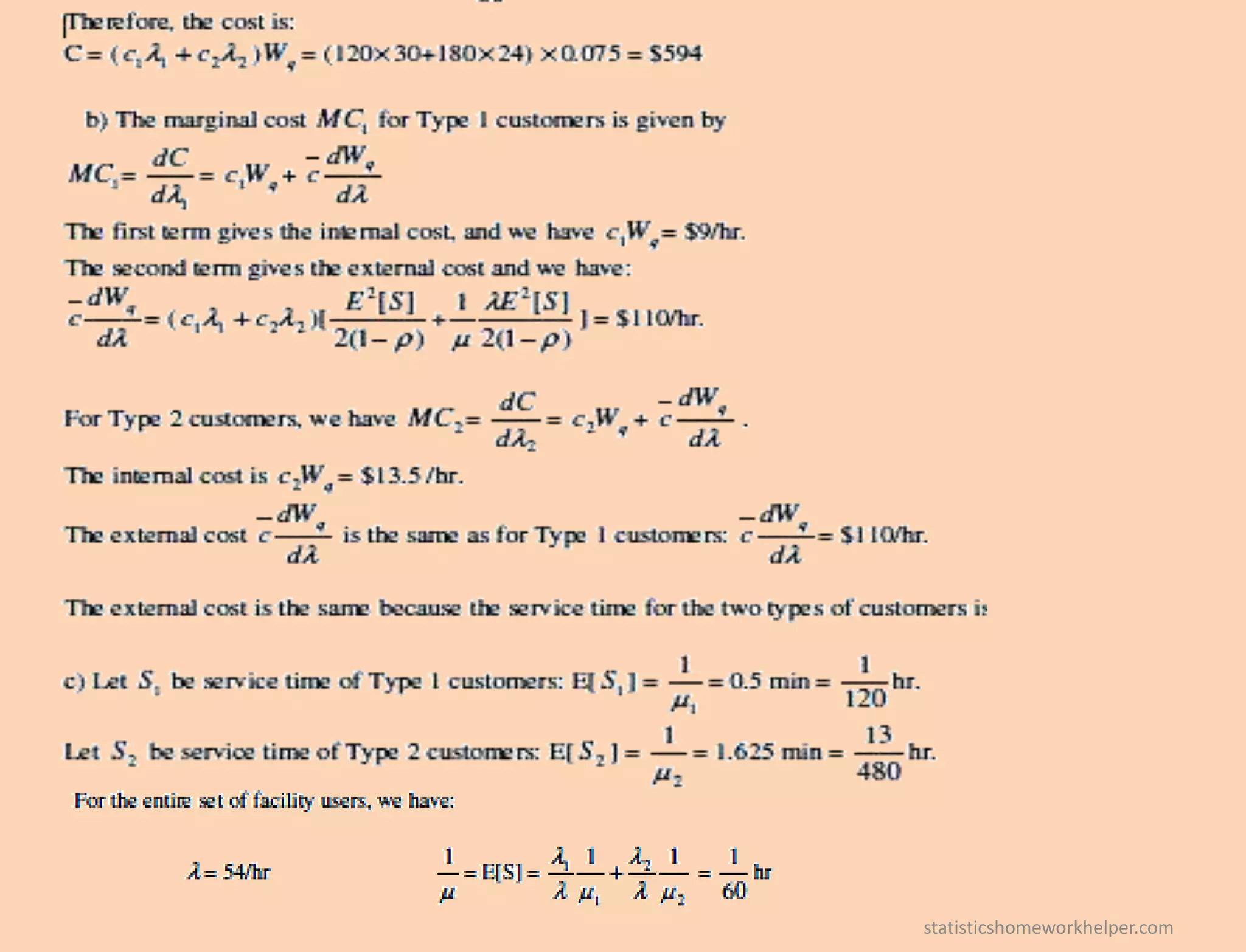
We are in the case of congestion pricing. Type 1 customers: 1 l= 30 /hr and 1 c = $2/min = $120/hr
Type 2 customers A = 24 /hr and 2 c = $3/min = $180/hr Thus l = 1 l+ 2 l = 54/hr.
And for both types of customers: E[S] =
statisticshomeworkhelper.com
statisticshomeworkhelper.com
statisticshomeworkhelper.com
statisticshomeworkhelper.com
statisticshomeworkhelper.com

Logistics Management Homework Help

  • 1.
    Logistical And Transportation PlanningMethods For any help regarding Civil Engineering Assignment Help visit : https://www.statisticsassignmenthelp.com/ , Email - info@statisticsassignmenthelp.com or call us at - +1 678 648 4277 statisticshomeworkhelper.com
  • 2.
    Logistical and TransportationPlanning Methods Problem 1 Consider a I-mile-by-2-mile homogeneous service region served by two mobile patrolling servers as shown in Figure 1. Here are the assumptions of the model: 1. Customer locations are uniformly independently located over the entire rectangular service region. 2. Over time. customers arrive as a homogeneous Poisson process at aggregate rate 2=2 customers per hour. 3. While not busy sexing customers. each server patrols its sector (sector 1 or 2. respectively). Under this circumstance. the server's location at a random time is uniformly distributed over its sector. Each sector is a one-mile-by-one-mile square. 4. Travel distance is right-angle ("Manhattan metric•). with speed equal to 1000 mi/hr. 5. The on-scene time to serve a customer is a random variable having a negative exponential probability density function with mean equal to 30 minutes. Upon completion of service of a customer at the scene. the server resumes random patrol of his/her sector. 6. This is the dispatch strategy. For a customer from sector t (r=12). dispatch server t if available. Else dispatch the other server if available: Else the customer is lost forever. Problem statisticshomeworkhelper.com
  • 3.
    (a) Is ittrue that the workload (fraction of time busy) of each server is equal to lit? If true. briefly explain why. If false. derive the correct figure. (b) Determine the fraction of dispatches that take server Ito sector 2. (c) Determine the mean travel time to a random served customer. Now consider the situation as shown in Figure 2. Assumptions 1 through S above remain correct. However. Assumption 6 is altered as follows: Case in which both rents are mailable. For a customer from a pan of sector I not in Buffer Zone I. dispatch saver t. For a customer in Buffer Zone r. dispatch the other server only if that other saver is within its own buffer zone and server I is not within its buffer zone: else dispatch server i to that customer. Case in which only one sever is available: Dispatch that saver. Else the customer is lost forever. (d) Under this new dispatch policy. determine the fraction of dispatch assignments that send server I to sector 2. (e) Without doing the detailed calculations. describe briefly how you would compute the mean travel time. How would the magnitude of the numerical answer compare to that of part (c)? (f) Suppose under the simpler dispatch policy it above. we find that the workload of Sector Ail is twice the workload of Sector 2. while A remains the same at A = 2. Without doing the calculations. briefly explain how you would find an optimal boundary line separating Sectors I and 2. where 'optimal' means minimizing mean trawl time. Would it be to the left of right of x =0? RV? statisticshomeworkhelper.com
  • 4.
    Problem 2 Consider asquare one kilometre on a side. as shown in Figure 1. Geometrically. this is the same square that appeared in Problem 1 of Quiz I. That is. emergency incidents can only occur on the perimeter of the square and travel can occur only along the perimeter of the square. There is no travel within the square. There are no emergency incidents within the square. U-turns are allowed and travel always occurs along the shortest path. The square is served by two ambulances, ambulance #1 garaged in the northeast corner of the square and ambulance 02 garaged in the southwest corner of the square. as shown in Figure 1. Ambulances always return to their home garage locations after answering emergencies. So, an ambulance will never be dispatched directly from one call to another without returning to the home garage location. Emergency incidents are not uniformly distributed over the square. The number adjacent to each link of the square is the probability that a random emergency incident will be generated on that link. Once the link of the incident is known, the conditional pdf of its location on the link is uniform over the link. We model this system as an N= 2 saver hypercube queueing model with EY = mean service time per incident = 1 how. A= Poisson arrival rate of emergency incidents from entire square = 1 hour. and response travel speed = 100 'unholy. The usual assumptions related to negative exponential service times apply. as does the assumption that on scene time dominates the very small travel time component of the service time Assume that the dispatcher dispatches the closest available ambulance (i.e. of the available ambulances. the one whose home garage statisticshomeworkhelper.com
  • 5.
    location is closestto the emergency). Emergency incidents that occur while both ambulances are simultaneously busy are Lost. (a) (10 points) Given that an emergency incident occurs while ambulance 01 is busy and ambulance # 2 is available, find and plot the conditional pdf of the travel distance for ambulance #2 to travel to the scene of the emergency incident. (b) (12 points) Find the workload (fraction of time busy) of each of the two ambulances. (c) (13 points) If the dispatcher moves to an optimal dispatch strategy, ie., one that minimizes mean travel time to a random incident. determine the optimal boundaries for response areas 1 and 2. Problem 3 Problem 5.3 from the textbook Problem 4 Problem 5.6 from the textbook Problem 5 Consider a service facility at which Type I and Type 2 customers arrive in a Poisson manner at the rate of XI= 30 per hour and X2= 24 per hour, respectively. Service at the facility is FIFO and service times are constant and last exactly 1 minute for either type of customer. The cost of waiting in the queue per minute is $2 and $3 per Type I and Type 2 customers, respectively. Assume steady state conditions throughout the problem. Numerical answers are expected in all parts. statisticshomeworkhelper.com
  • 6.
    (a) What isthe total expected cost of waiting time at this facility per hour? (b) Find the internal cost and the eternal cost associated with a marginal Type I customer and repeat for the internal and external cost associated with a Type 2 customer. How do the external costs compare and why? Assume now and for parts (c)— (f) of this problem that service to Type I customers lasts exactly 0.5 minute and to Type 2 customers exactly 1.625 minutes. The cost of waiting per minute is still $2 and $3 per Type 1 and Type 2 customers, respectively, and service is still FIFO. (c) Repeat part (a). A numerical answer is expected once again. (d) Repeat part (b) and comment on differences you see with the results of part (b). Suppose now that you were asked to assign non-preemptive priorities to the two types of customers in a way that will minimize the total expected cost of waiting at the facility. (e) Which type of customer should be assigned higher priority and why? ( (f) Under the priorities assigned in part (e), what is the total expected cost of waiting at this facility per hour? How does this cost compare with the cost you found in part (c)? Suppose now that the service times for Type 1 customers are negative exponential with an expected value of 0.5 minute and for Type 2 customers negative exponential with an expected value of 1.625 minutes. As for parts (e) and (f), the cost of waiting per minute is still $2 and $3 per Type 1 and Type 2 customers, respectively, and you are asked to assign non-preemptive priorities to the two types of customers in a way that will minimize the total expected cost of waiting at the facility. (g) Which type of customer should be assigned higher priority and why? (h) Under the priorities assigned in part (g), what is the total expected cost of waiting at this facility per hour? How does this cost compare with the cost you found in part (c) and part (f)? statisticshomeworkhelper.com
  • 7.
    Solutions Problem 1 (a) OneB tempted to saw yes by setting is not the rate at which customers are accepted into the system because we have a loss system. Thus the answer is no. and we must derive the correct figure. We can use the following aggregate birth-death worm (state transition diagram for an M/M/2 queueiug system with no waiting space) to compute the workloads: statisticshomeworkhelper.com
  • 8.
    (b) The 2-dimensionedhypercube stale transition diagram is given below. From the steady-state probabilities computed in part (a) and the symmetry of the system, we have statisticshomeworkhelper.com
  • 9.
  • 10.
    (d) Consider along time interval T. In the steady state. the average total number of customers served is AT(1— P11). Server 1 is sent to sector 2 in the following cases: (1) A customer arrives from sector 2. server 2 is busy. and server I is idle. (2) A customer arrives Amu buffer zone 2, tenter 2 is Idle outside buffer zone 2, and server 1 is idle inside buffer zone 1 The average number of customers served by the first case is A2T.Fin. To compute the average manly°, of customers serval by the second case. let us first find the probability that server 2 is idle outside buffer zone 2 and server 1 Is Idle inside buffer zone I. Using geometrical probability and the independence of the two servers, we know that the probability is . Slum the arrival rate from buffer zone 2 is 'If, the average number of customers served by the second ease during time interval . Using these quantities, WP obtain the fraction of dispatch assignments chat send server 1 to Rector 2 under the new dispatch policy as follows: statisticshomeworkhelper.com
  • 11.
  • 12.
  • 13.
    (f) First, donot use Carter, Chaiken, and Iola11 formula (Equation (5.16)). It only applies when server locations are fixed. The hest option is to compute T(x), where x is the location of a boundary line, and use calculus to find an optimal value of re (as we did in the 2-server numerical example in the book and in class). The problem with Equation (5.18) is that 71(B) and T2(B) depend on the location of the boundary line separating sectors 1 and 2. This is bemuse each available server patrol: uniformly its sector while it is idle and thus its travel time in B depends on sector design. Problem 2 (a) With probability 0.3, the emergency occurs on one of the two links incident to the garage location of ambulance 2. In this case, the travel distance is U(0,1). With probability 0.7, the emergency occurs on one of the two links not incident to the garage location of ambulance 2. In this case, the trawl distance 15 U(1.2). Accordingly. as shown in Figure 1, the conditional pdf of the travel distance for ambulance 2 to travel to the we're of the emergency Incident Is statisticshomeworkhelper.com
  • 14.
  • 15.
    where T„ (B)gives the average Irma time for unit n to travel to a random service request from anywhere in the entire service region. Note that an is therefore given in time units. Let us multiply the RHS through by the travel speed and let D.(13) denote the average travel distance for unit n to travel to a. random service request from anywhere in the entire service region. We can then write se as follows, in units of distance rather than time, statisticshomeworkhelper.com
  • 16.
  • 17.
  • 18.
  • 19.
  • 20.
  • 21.
    First, let usderive may, the fractions of i dispatches whose destination is district j, i,j E (1. 2, 3). Note that the Iv are not the seen as the bj defined in the text, since the latter ht given to he the fraction of all dispatches (nut just i dispzttches), which take unit i to district j. We will derive the -yo from the ftj via rcnonnalization. Recall that each fu is the sum of a term corresponding to the fraction of dispatches of i to j that incur no queueing delay and those that do incur a delay in queue. For any till delayed in queue (arrives when all of the units are busy), became of the ineinorylessne of the exponential dimlibation, the call is equally likely to be answered by any one of the three units. statisticshomeworkhelper.com
  • 22.
  • 23.
  • 24.
  • 25.
  • 26.
    We are inthe case of congestion pricing. Type 1 customers: 1 l= 30 /hr and 1 c = $2/min = $120/hr Type 2 customers A = 24 /hr and 2 c = $3/min = $180/hr Thus l = 1 l+ 2 l = 54/hr. And for both types of customers: E[S] = statisticshomeworkhelper.com
  • 27.
  • 28.
  • 29.
  • 30.