MASSACHUSETTS INSTITUTE OF TECHNOLOGY
Physics Department
8.044 Statistical Physics I Spring Term 2013
Problem Set #3
Due in hand-in box by 12:40 PM, Wednesday, February 27
Problem 1: Clearing Impurities
p(x)
x
0 a
1 / 3
In an effort to clear impurities from a fabricated nano-wire a laser beam is swept repeatedly
along the wire in the presence of a parallel electric field. After one sweep an impurity initially
at x = 0 has the following probability density of being found at a new position x
1 2
p(x) = δ(x) + exp[−x/a] 0 ≤ x
3 3a
= 0 elsewhere
where a is some characteristic length.
Give an approximate probability density for the total distance d the impurity has moved
along the wire after 36 sweeps of the laser beam.
Problem 2: Probability Densities of Macroscopic verses Microscopic Variables
Consider one cubic centimeter of a dilute gas of atoms of mass M in thermal equilibrium
at temperature T= 0o
C and atmospheric pressure. (Recall that Lochmidt’s number – the
number of atoms (or molecules) in a cubic meter of an ideal gas at T= 0o
C and atmospheric
pressure – has the value 2.69×1025
m−3
.)
a) For the kinetic energy of a single atom, find a numerical value for the ratio of standard
deviation (the square root of the variance) to the mean. You may use the results you
found in problem 4 on Problem Set 2.
b) Find the same ratio for total energy of the gas, assumed to be all kinetic.
1
Problem
Problem 3: Temperature
Systems A and B are paramagnetic salts with coordinates H, M and H'
, M'
respectively.
System C is a gas with coordinates P, V . When A and C are in thermal equilibrium, the
equation
nRCH − MPV = 0
is found to hold. When B and C are in thermal equilibrium, we get
nRΘM'
+ nRC'
H'
− M'
PV = 0
where n, R, C, C'
, and Θ are constants.
a) What are the three functions that are equal to one another at thermal equilibrium?
b) Set each of these functions equal to the ideal gas temperature T and see if you recognize
any of these equations of state.
Problem 4: Work in a Simple Solid
In the simplest model of an elastic solid
dV = −V KT dP + V αdT
where KT is the isothermal compressibility and α is the thermal expansion coefficient. Find
the work done on the solid as it is taken between state (P1, T1) and (P2, T2) by each of
the three paths indicated in the sketch. Assume that the fractional volume change is small
enough that the function V (P, T) which enters the expression for dV can be taken to be
constant at V = V1 = V (P1, T1) during the process.
2
Problem 5: Work and the Radiation Field
The pressure P due to the thermal equilibrium radiation field inside a cavity depends only
on the temperature T of the cavity and not on its volume V ,
1
P = σT4
.
3
In this expression σ is a constant. Find the work done on the radiation field as the cavity is
taken between states (V1, T1) and (V2, T2) along the two paths shown in the diagram.
Practice Problem, do not hand this in: Exact Differentials
Which of the following is an exact differential of a function S(x, y)? Find S where possible.
a) 2x(x3
+ y3
)dx + 3y2
(x2
+ y2
)dy
S(x, y) = (2x5
+ 5x2
y3
+ 3y5
)/5 + C
b) ey
dx + x(ey
+ 1)dy
S(x, y) does not exist.
c) (y − x)ex
dx + (1 + ex
)dy
S(x, y) = y + (1 + y − x)ex
+ C
3
Problem 6: Equation of State for a Ferromagnet
For a ferromagnetic material in the absence of an applied field, H = 0, the spontaneous
magnetization is a maximum at T = 0, decreases to zero at the critical temperature T = Tc,
and is zero for all T > Tc.
For temperatures just below Tc the magnetic susceptibility and the temperature coefficient
of M might be modeled by the expressions
χT ≡
∂M
=
a
+ 3bH2
∂H T (1 − T/Tc)
∂M 1 f(H) 1 M0 1
= −
∂T H Tc (1 − T/Tc)2 2 Tc (1 − T/Tc)1/2
where M0, Tc, a, and b are constants and f(H) is a function of H alone with the property
that f(H = 0) = 0.
a) Find f(H) by using the fact that M is a state function.
b) Find M(H, T).
4
MASSACHUSETTS INSTITUTE OF TECHNOLOGY
Physics Department
8.044 Statistical Physics I Spring Term 2013
Solutions to Problem Set #3
Problem 1: Clearing Impurities
Since we are asked for an approximate answer we will resort to the central limit theorem.
For this we need < x > and < x2
> for a single sweep of the laser beam.
Z ∞
2 ∞
< x > = x p(x) dx = a
Z
2
ξ exp(−ξ) dξ = a
3
∞
|0
{z
1
}
3
< x2
> =
Z ∞
4
x2 2 ∞
p(x) dx = a2
3
Z
ξ2
exp(
0
−ξ) dξ = a2
∞
| {z
2
}
3
2 2

4 4
Var(x) =  x  −  x  =
3
−
9

a2 8
= a2
9
The general form of the central limit theorem is
1
p(d) ≈ √ exp[−(d 
2πσ2
− d )2
/2σ2
]
with
 d  = 36
2
×  x  = 24 a
σ = 36 × Var(x) = 32 a2
Although it was not asked for, here is a sketch of the resulting probability density.
d
p(d)
10a 20a 30a 40a 50a
0.1a
1
Solution
Problem 2: Probability Densities of Macroscopic verses Microscopic Variables
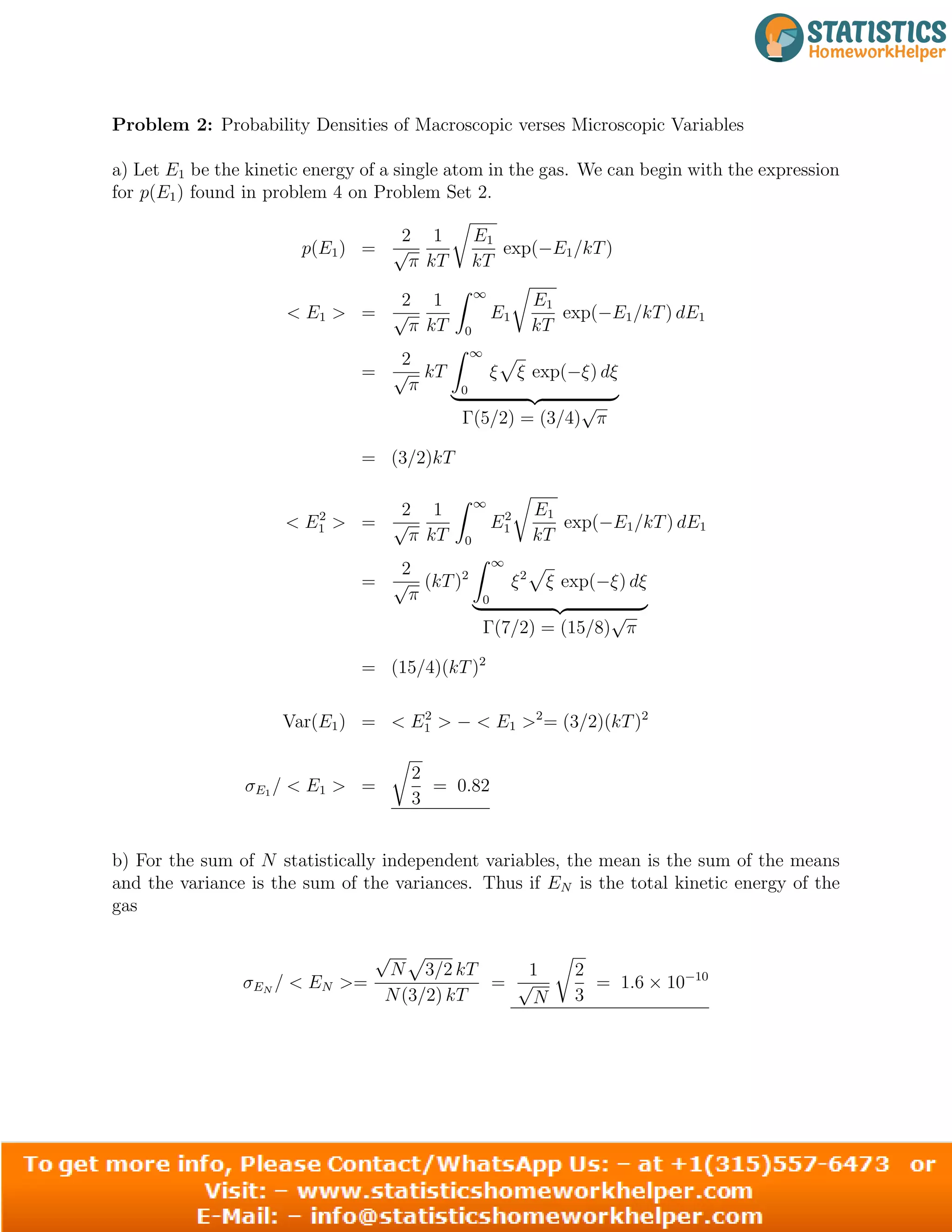
a) Let E1 be the kinetic energy of a single atom in the gas. We can begin with the expression
for p(E1) found in problem 4 on Problem Set 2.
2 1 E
p(E1) = √ 1
exp( E1/kT)
π kT
r
kT
−
2 1 ∞
E1
 E1  = √ E
π
Z
1
kT 0
r
exp(
T
−E1/kT) dE1
k
2 ∞
= √ kT
π
Z
ξ
0
p
ξ exp(−ξ) dξ
|
Γ(5/2) =
= (3/2)kT
{z
(3/4)
√
π
}
2 1 1
 E2
1  = √
Z ∞
E2
1
r
E
exp(−E1/kT) dE1
π kT 0 kT
2 ∞
= √ (kT)2
Z
ξ2
p
ξ exp(
π 0
−ξ) dξ
=
|
Γ(7/2) =
{z
(15/8)
√
π
(15/4)(kT)2
}
Var(E1) =  E2
1  −  E1 2
= (3/2)(kT)2
2
σE1 /  E1  =
r
= 0.82
3
b) For the sum of N statistically independent variables, the mean is the sum of the means
and the variance is the sum of the variances. Thus if EN is the total kinetic energy of the
gas
√
N 3/2 kT 1 2
σ =
r
10
EN
/  EN  =
N(3
p
/2) kT
√ = 1.6
3
× 10−
N
2
Problem 3: Temperature
a) Solve each equation for V.
nR cH nR c0
H0
V = ( )( ) V = ( )(Θ + )
P M P M0
Equate these two and factor out nR/P.
cH c0
H0
some constant,
= Θ + =
M M0 call it h
Substitution into the first equation gives PV/nR = h, so at equilibrium
PV cH c0
H0
= = Θ +
nR M M0
b) PV/nR = h looks like the ideal gas law with h → T, so call h ≡ T and thus find the
following equations of state.
PV = nRT for an ideal gas
H
M = c for a Curie Law Paramagnet
T
Paramagnet with ordering
H0
M0
= c0
phase transition to a
T − Θ
ferromagnet at t = Θ
Problem 4: Work in a Simple Solid
Substitute the given model expression relating volume changes to changes in the pressure and
the temperature, dV = −V KT dP +V α dT, into the differential for work. As a simplification
we are told to replace the actual volume V by its value at the starting point V1 in the
coefficients entering the differential for the work. Of course the volume itself can not really
remain constant, for in that case d
/ W = −P dV = 0.
d
/ W = −P dV = KT PV1 dP − αPV1 dT
Along path “a”
W1 2 =
Z
d
/ W +
Z
d
/ W
→
where dP=0 where dT=0
2 2
= −αP1V1 dT + KT V1 P dP
1 1
Z Z
1
= −αP1V1(T2 − T1) +
2
KT (P2
2 − P2
1 )V1
3
Along path “b”
W1→2 =
Z
d
/ W + d
/ W
where dT=0
Z
where dP=0
= KT V1
Z 2
P dP
1
− αP2V1
Z 2
dT
1
1
= KT (P2
2 − P2
1 )V1 α
2
− P2V1(T2 − T1)
Along “c” dT and dP are related at every point along the path,
T2
dT =
− T1
dP,
P2 − P1
so the expression for the differential of work can be written as
T2
d
/ W = T PV1 dP αPV1(
− T
K −
1
) dP
P2 − P1

T
K
2 − T
−
1
= T V1 αV1
P2 − P1

P dP
Now we can carry out the integral along the path.
T 2
W1 2 =

KT V −
2 T1
1 αV
→ 1
−
P2 − P1
 Z
P dP
1
1
(P2
2 2 −
|
P
P
{z
2
1 ) =
1
(P1 + 2)(P2
2
}
− P1)
1
= 2
T (P2 1
P )V1 α(P1 + P2)(T2 T1)V1
2
K 2 − 1 −
2
−
Note that the work done along each path is different due to the different contributions from
the α (thermal expansion) term. Path “b” requires the least work; path “a” requires the
most.
4
Problem 5: Work and the Radiation Field
The differential of work is d
/ W = −P dV and one immediately thinks about trying to express
P in terms of V in order to simplify the integral. However, along path “a” this is not
necessary: along one part dV = 0 and along the other the temperature, and hence the
pressure, is a constant.
2
W1→2 =
Z
P dV
1 T constant
−
Z 2
P dV
1 2
4 1
= σT1 dV =
|1 V constan
σT4
1 (V2
{z t
−
3
Z
0
}
1
−
3
− V1)
1
= σT4 V1
3 1 V2(
V2
− 1)
Since the figure in the problem indicates that V1  V2, the underlined result is positive.
Along path “b” there are no shortcuts and we must prepare to carry out the integral. Since
d
/ W is expressed in terms of dV , we convert the T dependence of P into a function of V .
V T3
= a constant ≡ V1T3
1
V1
T = ( )1/3
T1
V
T4
= T4 V1
( )4/3 4 V
1 = T
V 1 ( )−4/3
V1
Now we can carry out the integral over the path to obtain the total work done.
1
W
Z 2
1→2 = − P dV =
1
− σ
3
Z 2
T4
(V ) dV
1
1 2
= − σT4 V
(
3 1
Z
)−4/3
dV
1 V1
1 2 V
= − σT4 1
V1 ( )−1/3
3 1
h
1
−
1/3 V1
= σT4
1 V1

V2
( )−1/3
V1
− 1

= σT4 V
1 V1

1
( )1/3
V2
− 1

Since V1  V2, this quantity is also positive.
5
Problem 6: Equation of State for a Ferromagnet
a) We are looking for the magnetization as a function of the field and the temperature,
M(H, T), so we form the differential of M as follows.
dM =

∂M
∂H

dH +
T

∂M
∂T

dT
H
We are given the two coefficients in the expansion, but must make sure that their cross
derivatives are equal as is required for an exact differential.
∂
∂T

∂M
∂H

1 a
=
T Tc (1 − T/Tc)2
∂

∂M
∂H ∂T

1 f0
(H)
=
T (1 − T/T )2
H c c
The equality of these two expressions requires that f0
(H) = a. Integration gives f(H) =
aH + c but we are told that f(0) = 0 so we know that c = 0. Thus
f(H) = aH
b) Now we must integrate the exact differential to find the state function M(H, T).
∂M
M(H, T) =
Z 
∂T

dT + g(H)
H
f(H)
= + M (1 − T/T )1/2
0
(1 −
c + g(H)
T/Tc)

∂M

f0
(H)
= + g0
(H) by calculation from above
∂H T (1 − T/Tc)
a
= + 3bH2
as given
1 − T/Tc
Now we set about finding an expression for g(H).
g0
(H) = 3bH2
g(H) = bH3
+ K
M(H = 0, T = Tc) = 0 ⇒ K = 0
Now putting all the pieces together gives
aH
M(H, T) = M0(1 − T/T 1
c) /2
+ + bH3
(1 − T/Tc)
6

Multiple Linear Regression Homework Help

  • 1.
    MASSACHUSETTS INSTITUTE OFTECHNOLOGY Physics Department 8.044 Statistical Physics I Spring Term 2013 Problem Set #3 Due in hand-in box by 12:40 PM, Wednesday, February 27 Problem 1: Clearing Impurities p(x) x 0 a 1 / 3 In an effort to clear impurities from a fabricated nano-wire a laser beam is swept repeatedly along the wire in the presence of a parallel electric field. After one sweep an impurity initially at x = 0 has the following probability density of being found at a new position x 1 2 p(x) = δ(x) + exp[−x/a] 0 ≤ x 3 3a = 0 elsewhere where a is some characteristic length. Give an approximate probability density for the total distance d the impurity has moved along the wire after 36 sweeps of the laser beam. Problem 2: Probability Densities of Macroscopic verses Microscopic Variables Consider one cubic centimeter of a dilute gas of atoms of mass M in thermal equilibrium at temperature T= 0o C and atmospheric pressure. (Recall that Lochmidt’s number – the number of atoms (or molecules) in a cubic meter of an ideal gas at T= 0o C and atmospheric pressure – has the value 2.69×1025 m−3 .) a) For the kinetic energy of a single atom, find a numerical value for the ratio of standard deviation (the square root of the variance) to the mean. You may use the results you found in problem 4 on Problem Set 2. b) Find the same ratio for total energy of the gas, assumed to be all kinetic. 1 Problem
  • 2.
    Problem 3: Temperature SystemsA and B are paramagnetic salts with coordinates H, M and H' , M' respectively. System C is a gas with coordinates P, V . When A and C are in thermal equilibrium, the equation nRCH − MPV = 0 is found to hold. When B and C are in thermal equilibrium, we get nRΘM' + nRC' H' − M' PV = 0 where n, R, C, C' , and Θ are constants. a) What are the three functions that are equal to one another at thermal equilibrium? b) Set each of these functions equal to the ideal gas temperature T and see if you recognize any of these equations of state. Problem 4: Work in a Simple Solid In the simplest model of an elastic solid dV = −V KT dP + V αdT where KT is the isothermal compressibility and α is the thermal expansion coefficient. Find the work done on the solid as it is taken between state (P1, T1) and (P2, T2) by each of the three paths indicated in the sketch. Assume that the fractional volume change is small enough that the function V (P, T) which enters the expression for dV can be taken to be constant at V = V1 = V (P1, T1) during the process. 2
  • 3.
    Problem 5: Workand the Radiation Field The pressure P due to the thermal equilibrium radiation field inside a cavity depends only on the temperature T of the cavity and not on its volume V , 1 P = σT4 . 3 In this expression σ is a constant. Find the work done on the radiation field as the cavity is taken between states (V1, T1) and (V2, T2) along the two paths shown in the diagram. Practice Problem, do not hand this in: Exact Differentials Which of the following is an exact differential of a function S(x, y)? Find S where possible. a) 2x(x3 + y3 )dx + 3y2 (x2 + y2 )dy S(x, y) = (2x5 + 5x2 y3 + 3y5 )/5 + C b) ey dx + x(ey + 1)dy S(x, y) does not exist. c) (y − x)ex dx + (1 + ex )dy S(x, y) = y + (1 + y − x)ex + C 3
  • 4.
    Problem 6: Equationof State for a Ferromagnet For a ferromagnetic material in the absence of an applied field, H = 0, the spontaneous magnetization is a maximum at T = 0, decreases to zero at the critical temperature T = Tc, and is zero for all T > Tc. For temperatures just below Tc the magnetic susceptibility and the temperature coefficient of M might be modeled by the expressions χT ≡ ∂M = a + 3bH2 ∂H T (1 − T/Tc) ∂M 1 f(H) 1 M0 1 = − ∂T H Tc (1 − T/Tc)2 2 Tc (1 − T/Tc)1/2 where M0, Tc, a, and b are constants and f(H) is a function of H alone with the property that f(H = 0) = 0. a) Find f(H) by using the fact that M is a state function. b) Find M(H, T). 4
  • 5.
    MASSACHUSETTS INSTITUTE OFTECHNOLOGY Physics Department 8.044 Statistical Physics I Spring Term 2013 Solutions to Problem Set #3 Problem 1: Clearing Impurities Since we are asked for an approximate answer we will resort to the central limit theorem. For this we need < x > and < x2 > for a single sweep of the laser beam. Z ∞ 2 ∞ < x > = x p(x) dx = a Z 2 ξ exp(−ξ) dξ = a 3 ∞ |0 {z 1 } 3 < x2 > = Z ∞ 4 x2 2 ∞ p(x) dx = a2 3 Z ξ2 exp( 0 −ξ) dξ = a2 ∞ | {z 2 } 3 2 2 4 4 Var(x) = x − x = 3 − 9 a2 8 = a2 9 The general form of the central limit theorem is 1 p(d) ≈ √ exp[−(d 2πσ2 − d )2 /2σ2 ] with d = 36 2 × x = 24 a σ = 36 × Var(x) = 32 a2 Although it was not asked for, here is a sketch of the resulting probability density. d p(d) 10a 20a 30a 40a 50a 0.1a 1 Solution
  • 6.
    Problem 2: ProbabilityDensities of Macroscopic verses Microscopic Variables a) Let E1 be the kinetic energy of a single atom in the gas. We can begin with the expression for p(E1) found in problem 4 on Problem Set 2. 2 1 E p(E1) = √ 1 exp( E1/kT) π kT r kT − 2 1 ∞ E1 E1 = √ E π Z 1 kT 0 r exp( T −E1/kT) dE1 k 2 ∞ = √ kT π Z ξ 0 p ξ exp(−ξ) dξ | Γ(5/2) = = (3/2)kT {z (3/4) √ π } 2 1 1 E2 1 = √ Z ∞ E2 1 r E exp(−E1/kT) dE1 π kT 0 kT 2 ∞ = √ (kT)2 Z ξ2 p ξ exp( π 0 −ξ) dξ = | Γ(7/2) = {z (15/8) √ π (15/4)(kT)2 } Var(E1) = E2 1 − E1 2 = (3/2)(kT)2 2 σE1 / E1 = r = 0.82 3 b) For the sum of N statistically independent variables, the mean is the sum of the means and the variance is the sum of the variances. Thus if EN is the total kinetic energy of the gas √ N 3/2 kT 1 2 σ = r 10 EN / EN = N(3 p /2) kT √ = 1.6 3 × 10− N 2
  • 7.
    Problem 3: Temperature a)Solve each equation for V. nR cH nR c0 H0 V = ( )( ) V = ( )(Θ + ) P M P M0 Equate these two and factor out nR/P. cH c0 H0 some constant, = Θ + = M M0 call it h Substitution into the first equation gives PV/nR = h, so at equilibrium PV cH c0 H0 = = Θ + nR M M0 b) PV/nR = h looks like the ideal gas law with h → T, so call h ≡ T and thus find the following equations of state. PV = nRT for an ideal gas H M = c for a Curie Law Paramagnet T Paramagnet with ordering H0 M0 = c0 phase transition to a T − Θ ferromagnet at t = Θ Problem 4: Work in a Simple Solid Substitute the given model expression relating volume changes to changes in the pressure and the temperature, dV = −V KT dP +V α dT, into the differential for work. As a simplification we are told to replace the actual volume V by its value at the starting point V1 in the coefficients entering the differential for the work. Of course the volume itself can not really remain constant, for in that case d / W = −P dV = 0. d / W = −P dV = KT PV1 dP − αPV1 dT Along path “a” W1 2 = Z d / W + Z d / W → where dP=0 where dT=0 2 2 = −αP1V1 dT + KT V1 P dP 1 1 Z Z 1 = −αP1V1(T2 − T1) + 2 KT (P2 2 − P2 1 )V1 3
  • 8.
    Along path “b” W1→2= Z d / W + d / W where dT=0 Z where dP=0 = KT V1 Z 2 P dP 1 − αP2V1 Z 2 dT 1 1 = KT (P2 2 − P2 1 )V1 α 2 − P2V1(T2 − T1) Along “c” dT and dP are related at every point along the path, T2 dT = − T1 dP, P2 − P1 so the expression for the differential of work can be written as T2 d / W = T PV1 dP αPV1( − T K − 1 ) dP P2 − P1 T K 2 − T − 1 = T V1 αV1 P2 − P1 P dP Now we can carry out the integral along the path. T 2 W1 2 = KT V − 2 T1 1 αV → 1 − P2 − P1 Z P dP 1 1 (P2 2 2 − | P P {z 2 1 ) = 1 (P1 + 2)(P2 2 } − P1) 1 = 2 T (P2 1 P )V1 α(P1 + P2)(T2 T1)V1 2 K 2 − 1 − 2 − Note that the work done along each path is different due to the different contributions from the α (thermal expansion) term. Path “b” requires the least work; path “a” requires the most. 4
  • 9.
    Problem 5: Workand the Radiation Field The differential of work is d / W = −P dV and one immediately thinks about trying to express P in terms of V in order to simplify the integral. However, along path “a” this is not necessary: along one part dV = 0 and along the other the temperature, and hence the pressure, is a constant. 2 W1→2 = Z P dV 1 T constant − Z 2 P dV 1 2 4 1 = σT1 dV = |1 V constan σT4 1 (V2 {z t − 3 Z 0 } 1 − 3 − V1) 1 = σT4 V1 3 1 V2( V2 − 1) Since the figure in the problem indicates that V1 V2, the underlined result is positive. Along path “b” there are no shortcuts and we must prepare to carry out the integral. Since d / W is expressed in terms of dV , we convert the T dependence of P into a function of V . V T3 = a constant ≡ V1T3 1 V1 T = ( )1/3 T1 V T4 = T4 V1 ( )4/3 4 V 1 = T V 1 ( )−4/3 V1 Now we can carry out the integral over the path to obtain the total work done. 1 W Z 2 1→2 = − P dV = 1 − σ 3 Z 2 T4 (V ) dV 1 1 2 = − σT4 V ( 3 1 Z )−4/3 dV 1 V1 1 2 V = − σT4 1 V1 ( )−1/3 3 1 h 1 − 1/3 V1 = σT4 1 V1 V2 ( )−1/3 V1 − 1 = σT4 V 1 V1 1 ( )1/3 V2 − 1 Since V1 V2, this quantity is also positive. 5
  • 10.
    Problem 6: Equationof State for a Ferromagnet a) We are looking for the magnetization as a function of the field and the temperature, M(H, T), so we form the differential of M as follows. dM = ∂M ∂H dH + T ∂M ∂T dT H We are given the two coefficients in the expansion, but must make sure that their cross derivatives are equal as is required for an exact differential. ∂ ∂T ∂M ∂H 1 a = T Tc (1 − T/Tc)2 ∂ ∂M ∂H ∂T 1 f0 (H) = T (1 − T/T )2 H c c The equality of these two expressions requires that f0 (H) = a. Integration gives f(H) = aH + c but we are told that f(0) = 0 so we know that c = 0. Thus f(H) = aH b) Now we must integrate the exact differential to find the state function M(H, T). ∂M M(H, T) = Z ∂T dT + g(H) H f(H) = + M (1 − T/T )1/2 0 (1 − c + g(H) T/Tc) ∂M f0 (H) = + g0 (H) by calculation from above ∂H T (1 − T/Tc) a = + 3bH2 as given 1 − T/Tc Now we set about finding an expression for g(H). g0 (H) = 3bH2 g(H) = bH3 + K M(H = 0, T = Tc) = 0 ⇒ K = 0 Now putting all the pieces together gives aH M(H, T) = M0(1 − T/T 1 c) /2 + + bH3 (1 − T/Tc) 6