PRML読書会 発表資料
  9.2 混合ガウス分布
  Presented by takmin
この章でやりたいこと
• ある観測データxが混合ガウス分布に従うときの最尤
  推定を行いたい.
 混合ガウス分布
                K
       p(x)    k Ν( x | μ k , Σ k )             (9.7)
               k 1

 尤度関数
                      N
                        K                     
 p( X | π, μ, Σ)     k Ν(x n | μ k , Σ k )
                   n 1  k 1                 
                          観測データが与
                          えられたとき
  こいつを最大化する                          こいつらを求めたい

そのための計算方法を求める = EMアルゴリズムの導出
この章の流れ
• 9.2 混合ガウス分布
  – 混合ガウス分布に潜在変数zと負担率γ という考え
    方を導入する
• 9.2.1 最尤推定
  – 混合ガウス分布の対数尤度関数に対して最尤推定
    を行うのはとにかく難しい,ということを説明する
• 9.2.2 混合ガウス分布のEMアルゴリズム
  – 潜在変数zと負担率γ という考え方を利用して,対数
    尤度関数を最大化するためのアルゴリズムを導出す
    る.
  – アルゴリズムまとめ
9.2 混合ガウス分布
• 混合ガウス分布
                             K
              p(x)    k Ν( x | μ k , Σ k )                                    (9.7)
                            k 1

                          1          1          1                           
 N(x | μ k , Σ k )                         exp (x  μ k )T Σ 1 (x  μ k )
                       (2 ) D / 2 Σ k 1/ 2
                                                                k                (2.43)
                                                2                           
                                                     Σ2

 K=2 の例                      Σ1
                                                    2
                             1

                              μ1                      μ2
潜在変数zを導入
• 潜在変数zを導入することで,以下の形に定式化したい


    p(x)   p(x, z )   p(z) p(x | z )
            z            z


                Z




                X
潜在変数z

z  z1, , zk ,, zK 
                                                           K
                                                                    
                                         zk  0,1,        zk  1
                             T

                                                           k 1    

潜在変数の事前分布 P(z)
 p ( z k  1)   k
           K
 p(z )                                                      
                  zk                                 K
                  k                  0   k  1,
                                    
                                                       k  1 
                                                                    (9.10)
           k 1                                      k 1



K=2 の例      p(z)                             2
                       1

                       z1  (1,0)           z 2  (0,1)
観測データの事後分布 P(x|z)


   p(x | zk  1)  Ν( x | μ k , Σ k )
                 K
   p(x | z )   Ν( x | μ k , Σ k )     zk
                                             (9.11)
                k 1




p(x | z)                                              Σ2
              Σ1
                       p(x | z1  1)                       p(x | z2  1)

              μ1                                      μ2
演習9.3
         K                                            K
p(z )         zk
                 k     (9.10)      と   p(x | z )   Ν( x | μ k , Σ k ) zk     (9.11) から
         k 1                                         k 1
         K
p(x)    k Ν( x | μ k , Σ k )           (9.7)       を導く
        k 1

答え:
p(x)   p(x, z )   p(z) p(x | z )
          z                        z
                K           K                                           K
                         N(x | μ           , Σ k )    k N( x | μ k , Σ k )
                       zk                             zk                                   zk
                       k                    k
          z     k 1        k 1                                    z   k 1

       zは1-of-K表現なので,Ikj= (k==j)? 1 : 0 とすると
          K      K                                           K
         k N( x | μ k , Σ k ) kj    k N( x | μ k , Σ k )
                                                  I

         j 1 k 1                                           j 1
観測データxnには必ず対応する潜在変数znが存在する
                                                        2
 p(z)                          1

                               z1  (1,0)              z 2  (0,1)
                                                                      Σ2
                     Σ1
p(x | z)                     p(x | z1  1)                                  p(x | z2  1)

                      μ1                                               μ2

p ( x)   p ( z ) p ( x | z )
           z


                      1 p(x, z1 | μ1 , Σ1 )    2 p(x, z 2 | μ 2 , Σ 2 )
負担率
xが与えられた元でのzkの条件付き確率
                                         k          Ν( x | μ k , Σ k )

                                     p( zk  1) p(x | zk  1)
 ( z k )  p ( z k  1 | x)    K

                                  p( z
                                 j 1
                                              k    1) p(x | zk  1)

                                      k Ν(x | μ k , Σ k )
                                 K

                                 
                                  j 1
                                         j   Ν( x | μ j , Σ j )

     『混合要素kがxの観測を「説明する」度合いを表す』
                                         ???

     データxが混合要素kから発生したものである可能性
負担率
                                   k Ν(x | μ k , Σ k )
                     ( zk )    K

                                 
                                 j 1
                                        j   Ν( x | μ j , Σ j )


                  L1
 ( z n1 ) 
               L1  L2
                                                           2 p(x, z 2 | μ 2 , Σ 2 )

 ( zn 2 )       L2
                             1 p(x, z1 | μ1 , Σ1 )
               L1  L2

                                              L1
                                                     L2

                                                xn
ランダムサンプルの生成
混合ガウスモデルに従うランダムサンプルを生成したい
伝承サンプリング
z→xの順にサンプルを生成する


Z
          p(z)                  2
                  1

                  z1  (1,0)   z 2  (0,1)
X
ランダムサンプルの生成
混合ガウスモデルに従うランダムサンプルを生成したい
伝承サンプリング
z→xの順にサンプルを生成する     Σ1
                         p(x | z1  1)
Z

                    μ1

                    Σ2

X                        p(x | z2  1)
         p(x | z)
                    μ2
ランダムサンプルの生成
混合ガウスモデルに従うランダムサンプルを生成したい
伝承サンプリング
z→xの順にサンプルを生成する


Z
           ランダムサンプルを繰り返して,最終的
           に得られる分布

           p(x)
X
ランダムサンプルの生成




(a) 同時分布p(x,z)からのサンプル
     • xは2次元空間上の位置
     • zは3つの状態を色で表す
(b) p(x)
     • xがどのzから生成されたのかわからない
(c) 負担率γ
9.2.1 最尤推定
観測したデータ集合Xに混合ガウス分布を当てはめたい。


Z  (z ,, z )
       T
       1
                T T
                N               zn
                            π
z n  ( zn1 ,, znK )   T




X  (x1 ,, xT )T
      T
             N                  xn
                            μ            Σ
xn  ( xn1 ,, xnD )    T
                                     N
対数尤度関数
混合ガウス分布の対数尤度を最大化したい

                     K
                          K                       
ln p( X | π, μ, Σ)   ln  k Ν(x n | μ k , Σ k )
                     k 1  k 1                   
                          観測データが与
                          えられたとき
  こいつを最大化する                      こいつらを求めたい




               色々と困難な問題がある
特異性の問題
Σ k  σ k I の混合ガウス分布を例に
        2



あるデータnについて                 μ j  x n が成り立ったとする。

N( x n | μ n , σ 2 I )  N( x n | x n , σ 2 I )
                 j                        j

                           1       1          1                2 1            
                                         exp (x n  x n ) (σ j ) (x n  x n )
                                                            T

                        (2 ) D/2  2 1/ 2
                                  σj          2                                
                             1         1
                      
                          (2 ) D / 2  j

                            σ j  0 の時,無限大に発散してしまう
特異性の問題




μをxnにσを0に近づけると尤度が無限大になる
特異性の問題
単一のガウス分布の場合




μをxnにσを0に近づけると,尤度は0になる
識別不可能性
                                     2 p(x, z 2 | μ 2 , Σ 2 )

       1 p(x, z1 | μ1 , Σ1 )
p(x)


                                    1 p(x, z1 | μ1 , Σ1 )

        2 p(x, z 2 | μ 2 , Σ 2 )




                  同等な解がK!個存在する
対数尤度関数
混合ガウス分布の対数尤度を用いた最尤推定の困難さ

                     N
                          K                       
ln p( X | π, μ, Σ)   ln  k Ν(x n | μ k , Σ k )
                     n 1  k 1                   
                            対数の中に和が入ってしまっ
                                 ている


                                •特異性の問題
                                •識別不可能性
9.2.2 混合ガウス分布のEMアルゴリ
          ズム
対数尤度関数を最大化したい
対数尤度関数:

                      K
                           K                       
 ln p( X | π, μ, Σ)   ln  k Ν(x n | μ k , Σ k )
                      k 1  k 1                   

極大値を求めるために,それぞれのパラメータ μ k , Σ k
の導関数が0となる値を求める
               K
 k については   k  1 の制約のもとラグランジュ未定
              k 1
係数法で解く
μkについて
                                       N   K                     
μ k
     ln p( X | π, μ, Σ) 
                          μ k
                                         ln j Ν(xn | μ j , Σ j )
                                        n 1  j 1                 

                   N
                           K                                                         
                        ln  j Ν(x n | μ j , Σ j )       
                                                                 ln( f (x))            x
                                                                                            f ( x)
                n 1 μ k    j 1                          x                           f ( x)
                      
                           k Ν( x n | μ k , Σ k )  
                 N
                     μ k                               N( x n | μ k , Σ k )
                K                                μ k
                n 1
                        j Ν(x n | μ j , Σ j )  Σ 1 (x  μ ) N(x
                          j 1
                                                                      k     n   k   n   | μk , Σk )
                  N
                           k Ν( x n | μ k , Σ k )
                       K
                                                            Σ 1 (x n   k )
                                                              k
                  n 1
                         
                         j 1
                                 j   Ν( x n | μ j , Σ j )

                                      ( z nk )
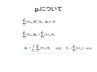
μkについて
 N

  ( znk ) Σ 1 (x n  μ k )  0
n 1
                k




N                      N

 (z
n 1
        nk   )μ k    ( znk )x n
                       n 1


                N
       1                                               N
  μk 
       Nk
                (z
                n 1
                              nk   )x n   ただし   N k    ( znk )   (9.17)
                                                      n 1
Σkについて
  
      ln p( X | π, μ, Σ)  0      の時
 Σ k
          N
     1
Σk         ( z nk )x n  μ k x n  μ k T となる   (9.19)
     Nk   n 1




スイマセン!解き方がわかりませんでした!
π kについて
                              K
     ln p(X | π,μ,Σ) を        
                              k 1
                                     k    1 の制約のもとで最大化したい

     ラグランジュ未定係数法
                                           K        
       L( k ,  )  ln p( X | π,μ,Σ)      k  1
                                           k 1     
                  N
                               K                           K            
     L( k ,  )           ln  j Ν( x n | μ j , Σ j )        k  1
 k               n 1 π k     j 1                     π k  k 1      
                     N
                             Ν( x n | μ k , Σ k )
                  K                               0
                   n 1
                          j Ν(x n | μ j , Σ j )
                       j 1
π kについて
   N
                 Ν( x n | μ k , Σ k )
         K
                                                  0           N
  n 1
                    j   Ν( x n | μ j , Σ j )                   1    0
                                                                 n 1
          j 1

                                   両辺にπ kをかける
 N
           k Ν( x n | μ k , Σ k )                                     N
        K
                                               k  0
 n 1
         
         j 1
                  j   Ν( x n | μ j , Σ j )
                                                          N
                                  1-Kまでの和                  (z
                                                          n 1
                                                                     nk   )  N k  0
                               1            
 K  N
                                          1
            k Ν( x n | μ k , Σ k )         
  K                                  k   0                k 
                                                                       Nk
                                                                                    (9.22)
k 1  n 1
      j 1
              j Ν(x n | μ j , Σ j )        
                                             
                                                                       N
                                            
EMアルゴリズム概要
(9.17),(9.19),(9.22)の結果は,  ( z nk ) を固定した時の最尤推
定の解

         ( z nk ) 自体がμ, Σ, π の影響を受ける.


 ( z nk ) の計算と μ, Σ, πの推定を交互に繰り返しながら,最適
な解を求める

Eステップ: 負担率  ( z nk ) を計算する.
Mステップ: μ, Σ, π を計算する.
Old Faithful間欠泉データの例
EMアルゴリズム
1. 平均 μ ,分散Σ ,そして混合係数 π を初期
  化し,対数尤度の初期値を計算する.
                           N
                              K                       
    ln p( X | π, μ, Σ)   ln  k Ν(x n | μ k , Σ k )
                         n 1  k 1                   
                                       Σ2

                     Σ1
                                                   のlnの総和=対数尤度

  K=2 の例                               2
                     1

                      μ1                μ2
EMアルゴリズム
2. Eステップ:現在のパラメータ値を使って,次
  式の負担率を計算する.
                                             k Ν(x | μ k , Σ k )
                               ( zk )     K

                                           
                                           j 1
                                                     j   Ν( x | μ j , Σ j )

                    L1
 ( z n1 )                                                2 p(x, z 2 | μ 2 , Σ 2 )
               L1       L2


                    L2
                              1 p(x, z1 | μ1 , Σ1 )
 ( zn 2 ) 
               L1       L2

                                                L1
                                                         L2

                                                  xn
EMアルゴリズム
3. Mステップ:現在の負担率を使って,次式で
  パラメータを再計算する.N
       1 N                    1
  μk      ( z nk )x n Σk      ( z nk )x n  μ k x n  μ k T
        Nk   n 1                       Nk   n 1

        Nk                 N
   k              N k    ( znk )
        N                 n 1
EMアルゴリズム
4. 対数尤度を計算し,パラメータ値の変化または対数尤
   度の変化を見て,収束性を確認し,収束基準を満たし
   ていなければステップ2に戻る.
                        K
                             K                       
   ln p( X | π, μ, Σ)   ln  k Ν(x n | μ k , Σ k )
                        k 1  k 1                   
この章のまとめ
• 9.2 混合ガウス分布(Mixtures of Gaussians)
  – 混合ガウス分布は潜在変数zによって生成されたk個のガウス
    分布が合わさったものだと考えよう
     • 負担率=観測xがどれだけzに起因してそうか
• 9.2.1 最尤推定
  – 混合ガウス分布の対数尤度関数に対して最尤推定を行うのは
    結構難しい
• 9.2.2 混合ガウス分布のEMアルゴリズム
  – アルゴリズムの導出方法
     • 負担率を固定して,それぞれのパラメータの微分値が0となる値を求
       める
  – アルゴリズムまとめ
     • Eステップ:パラメータを固定して負担率を計算
     • Mステップ:負担率を固定して,尤度を最大化するパラメータを計算

Chapter9 2