January 27, 2005 11:44    L24-ch04            Sheet number 1 Page number 127                black



                                                              CHAPTER 4
                 Derivatives of Logarithmic, Exponential, and
                       Inverse Trigonometric Functions

              EXERCISE SET 4.1
                                                   2
               1. y = (2x − 5)1/3 ; dy/dx =          (2x − 5)−2/3
                                                   3
                             1                  −2/3                      2                             −2/3
               2. dy/dx =      2 + tan(x2 )            sec2 (x2 )(2x) =     x sec2 (x2 ) 2 + tan(x2 )
                             3                                            3
                                            −1/3
                             2    x+1              x − 2 − (x + 1)             2
               3. dy/dx =                                          =−
                             3    x−2                 (x − 2)2        (x + 1)1/3 (x − 2)5/3

                                            −1/2                                  −1/2
                             1 x2 + 1               d x2 + 1   1 x2 + 1                    −12x               6x
               4. dy/dx =                                    =                                     =−            √
                             2 x2 − 5              dx x2−5     2 x2 − 5                  (x2 − 5)2    (x2 − 5)3/2 x2 + 1

                                       2                                                    1 2
               5. dy/dx = x3 −             (5x2 + 1)−5/3 (10x) + 3x2 (5x2 + 1)−2/3 =          x (5x2 + 1)−5/3 (25x2 + 9)
                                       3                                                    3
                                 √
                                 3
                                     2x − 1 1       2           −4x + 3
               6. dy/dx = −                +                = 2
                                      x2     x 3(2x − 1)2/3  3x (2x − 1)2/3

                             5                                      15[sin(3/x)]3/2 cos(3/x)
               7. dy/dx =      [sin(3/x)]3/2 [cos(3/x)](−3/x2 ) = −
                             2                                                2x2
                                 1            −3/2                          3 2                     −3/2
               8. dy/dx = −        cos(x3 )          − sin(x3 ) (3x2 ) =      x sin(x3 ) cos(x3 )
                                 2                                          2

                                dy            dy    6x2 − y − 1
               9. (a) 1 + y + x    − 6x2 = 0,     =
                                dx            dx          x
                           2 + 2x3 − x   2             dy      2
                   (b) y =             = + 2x2 − 1,        = − 2 + 4x
                                x        x             dx     x
                                      dy         1   1           1  1                    2                        2
                   (c) From Part (a),    = 6x − − y = 6x − −                               + 2x2 − 1     = 4x −
                                      dx         x x             x x                     x                        x2

                       1 −1/2 dy                 dy      √
              10. (a)    y        − cos x = 0 or     = 2 y cos x
                       2      dx                 dx
                                                                 dy
                   (b) y = (2 + sin x) = 4 + 4 sin x + sin2 x so
                                      2
                                                                    = 4 cos x + 2 sin x cos x
                                                                 dx
                                       dy    √
                   (c) from Part (a),     = 2 y cos x = 2 cos x(2 + sin x) = 4 cos x + 2 sin x cos x
                                       dx
                            dy        dy    x
              11. 2x + 2y      = 0 so    =−
                            dx        dx    y

                               dy             dy dy   3y 2 − 3x   y 2 − x2
              12. 3x2 + 3y 2      = 3y 2 + 6xy ,    = 2         = 2
                               dx             dx dx  3y − 6xy    y − 2xy

                      dy                   dy
              13. x2     + 2xy + 3x(3y 2 )    + 3y 3 − 1 = 0
                     dx                    dx
                                 dy                     dy   1 − 2xy − 3y 3
                   (x2 + 9xy 2 )    = 1 − 2xy − 3y 3 so    =
                                 dx                     dx     x2 + 9xy 2

                                                                          127
January 27, 2005 11:44       L24-ch04          Sheet number 2 Page number 128               black



             128                                                                                                           Chapter 4


                          dy                 dy
             14. x3 (2y)     + 3x2 y 2 − 5x2    − 10xy + 1 = 0
                          dx                 dx
                                  dy                         dy   10xy − 3x2 y 2 − 1
                   (2x3 y − 5x2 )    = 10xy − 3x2 y 2 − 1 so    =
                                  dx                         dx      2x3 y − 5x2
                                 dy
                          1             dy    y 3/2
             15. −            − dx = 0,    = − 3/2
                        2x3/2  2y 3/2   dx    x

                        (x − y)(1 + dy/dx) − (x + y)(1 − dy/dx)
             16. 2x =                                           ,
                                        (x − y)2
                                         dy     dy    x(x − y)2 + y
                   2x(x − y)2 = −2y + 2x     so    =
                                         dx     dx          x

                                          dy              dy   1 − 2xy 2 cos(x2 y 2 )
             17. cos(x2 y 2 ) x2 (2y)        + 2xy 2 = 1,    =
                                          dx              dx     2x2 y cos(x2 y 2 )

                                             dy   dy dy      y 2 sin(xy 2 )
             18. − sin(xy 2 ) y 2 + 2xy         =   ,   =−
                                             dx   dx dx    2xy sin(xy 2 ) + 1

                                                            dy        dy
             19. 3 tan2 (xy 2 + y) sec2 (xy 2 + y) 2xy         + y2 +           =1
                                                            dx        dx
                        dy     1 − 3y 2 tan2 (xy 2 + y) sec2 (xy 2 + y)
                   so      =
                        dx   3(2xy + 1) tan2 (xy 2 + y) sec2 (xy 2 + y)

                   (1 + sec y)[3xy 2 (dy/dx) + y 3 ] − xy 3 (sec y tan y)(dy/dx)        dy
             20.                                                                  = 4y 3 ,
                                          (1 + sec y)2                                  dx
                                                                         dy
                   multiply through by (1 + sec y)2 and solve for           to get
                                                                         dx
                   dy                      y(1 + sec y)
                      =
                   dx    4y(1 + sec y)2 − 3x(1 + sec y) + xy sec y tan y

                                                                2
                             dy      dy   2x               dy              d2 y
             21. 4x − 6y        = 0,    =    , 4−6                  − 6y        = 0,
                             dx      dx   3y               dx              dx2
                                      2
                   d2 y    3     dy
                                 dx       −2       2(3y 2 − 2x2 )    8
                        =−                     =                  =− 3
                   dx2             3y                   9y 3        9y

                   dy      x2 d2 y       y 2 (2x) − x2 (2ydy/dx)    2xy 2 − 2x2 y(−x2 /y 2 )    2x(y 3 + x3 )
             22.      = − 2,        =−                           =−                          =−               ,
                   dx      y dx2                     y4                       y4                     y5
                                       d2 y       2x
                   but x3 + y 3 = 1 so        =− 5
                                       dx2        y

                   dy   y d2 y    x(dy/dx) − y(1)    x(−y/x) − y  2y
             23.      =− ,     =−                 =−             = 2
                   dx   x dx2           x2               x2       x

                                                                                            2
                           dy      dy      dy      y      dy   d2 y                    dy              d2 y      d2 y   2y(x + y)
             24. y + x        + 2y    = 0,    =−       ,2    +x 2 +2                            + 2y      2
                                                                                                            = 0,      =
                           dx      dx      dx    x + 2y dx     dx                      dx              dx        dx2    (x + 2y)3

                   dy                   d2 y                            dy       sin y
             25.      = (1 + cos y)−1 ,      = −(1 + cos y)−2 (− sin y)    =
                   dx                   dx2                             dx   (1 + cos y)3
January 27, 2005 11:44      L24-ch04            Sheet number 3 Page number 129          black



              Exercise Set 4.1                                                                                          129


                    dy      cos y
              26.      =             ,
                    dx   1 + x sin y
                    d2 y   (1 + x sin y)(− sin y)(dy/dx) − (cos y)[(x cos y)(dy/dx) + sin y]
                         =
                    dx2                              (1 + x sin y)2
                                 2 sin y cos y + (x cos y)(2 sin2 y + cos2 y)
                         =−                                                   ,
                                                (1 + x sin y)3
                    but x cos y = y, 2 sin y cos y = sin 2y, and sin2 y + cos2 y = 1 so
                    d2 y    sin 2y + y(sin2 y + 1)
                         =−
                    dx2          (1 + x sin y)3


                                                                  dy      x        √       dy     √
              27. By implicit differentiation, 2x + 2y(dy/dx) = 0,    = − ; at (1/2, 3/2),      = − 3/3; at
                                                                  dx      y                dx
                         √       dy       √                                      √        dy       −x
                  (1/2, − 3/2),      = + 3/3. Directly, at the upper point y = 1 − x   2,     = √        =
                                 dx                                                       dx      1 − x2
                     1/2         √                             √        dy      x          √
                  −       = −1/ 3 and at the lower point y = − 1 − x2 ,     =√       = +1/ 3.
                      3/4                                               dx     1−x 2



                                               √                                                       √
              28. If y 2 − x + 1 = 0, then y = x − 1 goes through the point (10, 3) so dy/dx = 1/(2 x − √ By1).
                  implicit differentiation dy/dx = 1/(2y). In both cases, dy/dx|(10,3) = 1/6. Similarly y = − x − 1
                                                          √
                  goes through (10, −3) so dy/dx = −1/(2 x − 1) = −1/6 which yields dy/dx = 1/(2y) = −1/6.


                                  dy         dy    x3      1
              29. 4x3 + 4y 3         = 0, so    = − 3 = − 3/4 ≈ −0.1312.
                                  dx         dx    y     15


                         dy      dy                 dy         dy         y+1
              30. 3y 2      + x2    + 2xy + 2x − 6y    = 0, so    = −2x 2           = 0 at x = 0
                         dx      dx                 dx         dx      3y + x2 − 6y


                                             dy                     dy
              31. 4(x2 + y 2 ) 2x + 2y              = 25 2x − 2y       ,
                                             dx                     dx
                    dy   x[25 − 4(x2 + y 2 )]             dy
                       =                      ; at (3, 1)    = −9/13
                    dx   y[25 + 4(x2 + y 2 )]             dx


                    2                      dy            dy    y 1/3 √           √
              32.        x−1/3 + y −1/3           = 0,      = − 1/3 = 3 at (−1, 3 3)
                    3                      dx            dx    x


                         da                    da             da        da  2t3 + 3a2
              33. 4a3       − 4t3 = 6 a2 + 2at    , solve for    to get    = 3
                         dt                    dt             dt        dt  2a − 6at

                                                  √
                    1 −1/2 du 1 −1/2        du      u
              34.     u       + v    = 0 so    = −√
                    2      dv  2            dv      v


                          dω                dω   b2 λ                                        dx    dx     1
              35. 2a2 ω      + 2b2 λ = 0 so    =− 2                        36. 1 = (cos x)      so    =       = sec x
                          dλ                dλ   a ω                                         dy    dy   cos x
January 27, 2005 11:44        L24-ch04                     Sheet number 4 Page number 130             black



             130                                                                                                                    Chapter 4


             37. (a)                               y



                                               2
                                                                       x
                                  –4                       4

                                           –2




                                                                                                                     dy             dy
                   (b) Implicit differentiation of the equation of the curve yields (4y 3 + 2y)                          = 2x − 1 so    =0
                                                                                                                     dx             dx
                         only if x = 1/2 but y 4 + y 2 ≥ 0, so x = 1/2 is impossible.
                                                                                                       1±     1 + 4y 2 + 4y 4
                   (c) x2 − x − (y 4 + y 2 ) = 0, so by the Quadratic Formula x =                                             = 1 + y 2 , −y 2
                                                                                                                 2
                         which gives the parabolas x = 1 + y 2 , x = −y 2 .

             38. (a)          y
                          2


                                                                       x
                          0                1           2


                         –2



                           dy                                                                    dy
                   (b) 2y      = (x − a)(x − b) + x(x − b) + x(x − a) = 3x2 − 2(a + b)x + ab. If    = 0 then
                           dx                                                                    dx
                         3x2 − 2(a + b)x + ab = 0. By the Quadratic Formula
                                  2(a + b) ±                   4(a + b)2 − 4 · 3ab   1
                         x=                                                        =   a + b ± (a2 + b2 − ab)1/2 .
                                                                 6                   3
                   (c) y = ± x(x − a)(x − b). The square root is only defined for nonnegative arguments, so it is
                       necessary that all three of the factors x, x − a, x − b be nonnegative, or that two of them be
                       nonpositive. If, for example, 0 < a < b then the function is defined on the disjoint intervals
                       0 < x < a and b < x < +∞, so there are two parts.

             39. (a)                           y                                           (b) x ≈ ±1.1547
                                       2


                                                                   x
                          –2                                   2


                                       –2


                                                            dy          dy                 dy   y − 2x        dy
                   (c) Implicit differentiation yields 2x − x   − y + 2y     = 0. Solve for    =         . If     =0
                                                            dx          dx                 dx   2y − x        dx
                                                                                                            2
                         then y − 2x = 0 or y = 2x. Thus 4 = x2 − xy + y 2 = x2 − 2x2 + 4x2 = 3x2 , x = ± √ .
                                                                                                             3

             40. (a) See Exercise 39 (a)
                 (b) Since the equation is symmetric in x and y, we obtain, as in Exercise 39, x ≈ ±1.1547.
January 27, 2005 11:44      L24-ch04            Sheet number 5 Page number 131    black



              Exercise Set 4.1                                                                                      131


                                                             dy            dy                   dx    2y − x       dx
                    (c) Implicit differentiation yields 2x − x   − y + 2y       = 0. Solve for      =         . If     =0
                                                             dx            dx                   dy    y − 2x       dy
                                                                                                2                4
                          then 2y − x = 0 or x = 2y. Thus 4 = 4y 2 − 2y 2 + y 2 = 3y 2 , y = ± √ , x = 2y = ± √ .
                                                                                                 3                3

              41. Solve the simultaneous equations y = x, x2 −xy+y 2 = 4 to get x2 −x2 +x2 = 4, x = ±2, y = x = ±2,
                  so the points of intersection are (2, 2) and (−2, −2).
                                               dy    y − 2x                    dy                          dy
                  From Exercise 39 part (c),      =          . When x = y = 2,    = −1; when x = y = −2,      = −1;
                                               dx    2y − x                    dx                          dx
                  the slopes are equal.

              42. Suppose a2 − 2ab + b2 = 4. Then (−a)2 − 2(−a)(−b) + (−b)2 = a2 − 2ab + b2 = 4 so if P (a, b) lies
                  on C then so does Q(−a, −b).
                                              dy      y − 2x                              dy   b − 2a
                  From Exercise 39 part (c),      =          . When x = a, y = b then        =        , and when
                                              dx      2y − x                              dx   2b − a
                                        dy   b − 2a
                  x = −a, y = −b, then     =        , so the slopes at P and Q are equal.
                                        dx   2b − a

              43. The point (1,1) is on the graph, so 1 + a = b. The slope of the tangent line at (1,1) is −4/3; use
                                                 dy       2xy                      2       4
                  implicit differentiation to get    =− 2         so at (1,1), −        = − , 1 + 2a = 3/2, a = 1/4
                                                 dx     x + 2ay                 1 + 2a     3
                  and hence b = 1 + 1/4 = 5/4.

              44. The slope of the line x + 2y − 2 = 0 is m1 = −1/2, so the line perpendicular has slope m = 2
                  (negative reciprocal). The slope of the curve y 3 = 2x2 can be obtained by implicit differentiation:
                       dy       dy    4x         dy         4x
                  3y 2    = 4x,    = 2 . Set        = 2; 2 = 2, x = (3/2)y 2 . Use this in the equation of the curve:
                       dx       dx    3y         dx        3y
                                                                           2
                                                                      3 2       2
                  y 3 = 2x2 = 2((3/2)y 2 )2 = (9/2)y 4 , y = 2/9, x =        =    .
                                                                      2 9      27

              45. (a)                       y                            (b) x ≈ 0.84
                                        2


                                                        x
                           –3     –1                2
                                       –1



                                       –3

                    (c) Use implicit differentiation to get dy/dx = (2y −3x2 )/(3y 2 −2x), so dy/dx = 0 if y = (3/2)x2 .
                        Substitute this into x3 − 2xy + y 3 = 0 to obtain 27x6 − 16x3 = 0, x3 = 16/27, x = 24/3 /3
                        and hence y = 25/3 /3.

              46. (a)                       y                            (b) Evidently the tangent line at the point
                                        2
                                                                             x = 1, y = 1 has slope −1.

                                                        x
                           –3     –1                2
                                       –1



                                       –3
January 27, 2005 11:44     L24-ch04       Sheet number 6 Page number 132           black



             132                                                                                               Chapter 4


                   (c) Use implicit differentiation to get dy/dx = (2y −3x2 )/(3y 2 −2x), so dy/dx = −1 if 2y −3x2 =
                       −3y 2 +2x, 2(y−x)+3(y−x)(y+x) = 0. One solution is y = x; this together with x3 +y 3 = 2xy
                       yields x = y = 1. For these values dy/dx = −1, so that (1, 1) is a solution.
                         To prove that there is no other solution, suppose y = x. From dy/dx = −1 it follows
                         that 2(y − x) + 3(y − x)(y + x) = 0. But y = x, so x + y = −2/3. Then x3 + y 3 =
                         (x + y)(x2 − xy + y 2 ) = 2xy, so replacing x + y with −2/3 we get x2 + 2xy + y 2 = 0, or
                         (x + y)2 = 0, so y = −x. Substitute that into x3 + y 3 = 2xy to obtain x3 − x3 = −2x2 , x = 0.
                         But at x = y = 0 the derivative is not defined.

             47. (a) The curve is the circle (x − 2)2 + y 2 = 1 about the point (2, 0) of radius 1. One tangent
                     line is tangent at a point P(x,y) in the first quadrant. Let Q(2, 0) be the center of the
                     circle. Then OP Q is a right angle, with sides |P Q| = r = 1 and |OP | = x2 + y 2 . By
                     the Pythagorean Theorem x2 + y 2 + 12 = 22 . Substitute this into (x − 2)2 + y 2 = 1 to
                                                            √          √
                     obtain √ − 4x + 4 = 1, x = 3/2, y = 3 − x2 = 3/2. So the required tangent lines are
                             3
                     y = ±( 3/3)x.
                   (b) Let P (x0 , y0 ) be a point where a line through the origin is tangent to the curve
                       x2 − 4x + y 2 + 3 = 0. Implicit differentiation applied to the equation of the curve gives
                       dy/dx = (2 − x)/y. At P the slope of the curve must equal the slope of the line so
                       (2 − x0 )/y0 = y0 /x0 , or y0 = 2x0 − x2 . But x2 − 4x0 + y0 + 3 = 0 because (x0 , y0 ) is on the
                                                   2
                                                               0       0
                                                                                   2

                       curve, and elimination of y0 in the latter two equations gives x2 − 4x0 + (2x0 − x√) + 3 = 0,
                                                     2
                                                                                          0
                                                                                                            2
                                                                                                            0
                       x0 = 3/2 which when substituted into y0 =√ 0 − x0 yields y0 = 3/4, so y0 = ± 3/2. The
                                                   √
                                                                  2
                                                                      2x      2         2
                                                                                                           √
                       slopes of the lines are (± 3/2)/(3/2) = ± 3/3 and their equations are y = ( 3/3)x and
                              √
                       y = −( 3/3)x.

             48. Let P (x0 , y0 ) be a point where a line through the origin is tangent to the curve
                 2x2 − 4x + y 2 + 1 = 0. Implicit differentiation applied to the equation of the curve gives
                 dy/dx = (2 − 2x)/y. At P the slope of the curve must equal the slope of the line so
                 (2 − 2x0 )/y0 = y0 /x0 , or y0 = 2x0 (1 − x0 ). But 2x2 − 4x0 + y0 + 1 = 0 because (x0 , y0 ) is on the
                                              2
                                                                       0
                                                                                   2

                 curve, and elimination of y0 in the latter two equations gives 2x0 = 4x0 − 1, x0 = 1/2 which when
                                              2
                                                                                    √
                 substituted into y0 = 2x0 (1 − x0 ) yields y0 = 1/2, √ y0 = ± 2/2. The slopes of the lines are
                    √
                                      2
                                        √
                                                                2
                                                                         so             √
                 (± 2/2)/(1/2) = ± 2 and their equations are y = 2x and y = − 2x.

             49. The linear equation axr−1 x + by0 y = c is the equation of a line . Implicit differentiation of the
                                           0
                                                     r−1

                                                                dy      dy      axr−1
                 equation of the curve yields raxr−1 + rby r−1     = 0,     = − r−1 . At the point (x0 , y0 ) the slope
                                                                dx      dx      by
                                           axr−1
                 of the line must be − r−1 , which is the slope of . Moreover, the equation of is satisfied by
                                             0
                                           by0
                 the point (x0 , y0 ), so this point lies on . By the point-slope formula, must be the line tangent
                 to the curve at (x0 , y0 ).
                                                                                            dy
             50. Implicit differentiation of the equation of the curve yields rxr−1 + ry r−1    = 0. At the point (1, 1)
                                    dy        dy                                            dx
                 this becomes r + r     = 0,     = −1.
                                    dx        dx
                                      dy   dy dt
             51. By the chain rule,      =       . Use implicit differentiation on 2y 3 t + t3 y = 1 to get
                                      dx   dt dx
                   dy    2y 3 + 3t2 y       dt    1       dy       2y 3 + 3t2 y
                      =−              , but    =       so    =−                     .
                   dt     6ty 2 + t3        dx   cos t    dx    (6ty 2 + t3 ) cos t

                                4 1/3           4
             52. (a) f (x) =      x , f (x) = x−2/3
                                3               9
                                7 4/3           28 1/3           28 −2/3
                   (b) f (x) = x , f (x) =         x , f (x) =      x
                                3                9               27
                   (c) generalize parts (a) and (b) with k = (n − 1) + 1/3 = n − 2/3
January 27, 2005 11:44       L24-ch04           Sheet number 7 Page number 133                black



              Exercise Set 4.2                                                                                           133


              53. y = rxr−1 , y = r(r − 1)xr−2 so 3x2 r(r − 1)xr−2 + 4x rxr−1 − 2xr = 0,
                  3r(r − 1)xr + 4rxr − 2xr = 0, (3r2 + r − 2)xr = 0,
                  3r2 + r − 2 = 0, (3r − 2)(r + 1) = 0; r = −1, 2/3

              54. y = rxr−1 , y = r(r − 1)xr−2 so 16x2 r(r − 1)xr−2 + 24x rxr−1 + xr = 0,
                  16r(r − 1)xr + 24rxr + xr = 0, (16r2 + 8r + 1)xr = 0,
                  16r2 + 8r + 1 = 0, (4r + 1)2 = 0; r = −1/4

              55. We shall find when the curves intersect and check that the slopes are negative reciprocals. For the
                  intersection solve the simultaneous equations x2 + (y − c)2 = c2 and (x − k)2 + y 2 = k 2 to obtain
                               1                                                                   y−c         x−k
                  cy = kx = (x2 + y 2 ). Thus x2 + y 2 = cy + kx, or y 2 − cy = −x2 + kx, and             =−        .
                               2                                                                     x           y
                                                                 dy        x               dy     x−k
                  Differentiating the two families yields (black)    =−        , and (gray)    =−        . But it was
                                                                 dx      y−c               dx        y
                  proven that these quantities are negative reciprocals of each other.

                                                                 dy                            dy
              56. Differentiating, we get the equations (black) x    + y = 0 and (gray) 2x − 2y    = 0. The first
                                                                 dx                            dx
                                               y                                        x
                  says the (black) slope is = − and the second says the (gray) slope is , and these are negative
                                               x                                        y
                  reciprocals of each other.



              EXERCISE SET 4.2

                     1       1                                                        1 1    1
               1.      (5) =                                                    2.         =
                    5x       x                                                       x/3 3   x

                     1                                                                 1         1             1
               3.                                                               4.      √        √       = √     √
                    1+x                                                              2+ x      2 x        2 x(2 + x)

                      1          2x                                                   3x2 − 14x
               5.    2−1
                         (2x) = 2                                               6.
                    x          x −1                                                  x3 − 7x2 − 3

                        1      (1 + x2 )(1) − x(2x)    1 − x2
               7.           2)              2 )2
                                                    =
                    x/(1 + x        (1 + x            x(1 + x2 )

                           1       1−x+1+x        2                                   d              d      2
               8.                            =                                  9.      (2 ln x) = 2 ln x =
                    (1 + x)/(1 − x) (1 − x)2   1 − x2                                dx             dx      x

                                 1                                                   1               1          1
                                                                                       (ln x)−1/2
                             2
              10. 3 (ln x)                                                    11.                        =     √
                                 x                                                   2               x       2x ln x

                     1 1    1                                                                1
              12.   √ √ =                                                     13. ln x + x     = 1 + ln x
                      x2 x 2x                                                                x

                         1                                                                                   2x2
              14. x3             + (3x2 ) ln x = x2 (1 + 3 ln x)              15. 2x log2 (3 − 2x) −
                         x                                                                               (3 − 2x) ln 2

                                        3                          2      2x − 2
              16.    log2 (x2 − 2x)         + 3x log2 (x2 − 2x)
                                                                       (x2 − 2x) ln 2
January 27, 2005 11:44         L24-ch04        Sheet number 8 Page number 134                  black



             134                                                                                                              Chapter 4


                   2x(1 + log x) − x/(ln 10)
             17.                                                             18. 1/[x(ln 10)(1 + log x)2 ]
                         (1 + log x)2

                    1      1            1                                                1      1 1
             19.                 =                                           20.
                   ln x    x         x ln x                                          ln(ln(x)) ln x x

                     1                                                                 1
             21.         (sec2 x) = sec x csc x                              22.           (− sin x) = − tan x
                   tan x                                                             cos x

                  1                                                                               1   sin(2 ln x)   sin(ln x2 )
             23. − sin(ln x)                                    24.       2 sin(ln x) cos(ln x)     =             =
                  x                                                                               x       x             x
                        1                         cot x
             25.            2 (2 sin x cos x) = 2 ln 10
                   ln 10 sin x
                            1                               2 sin x cos x    2 tan x
             26.                      (−2 sin x cos x) = −                =−
                   (ln 10)(1 − sin x)
                                  2                        (ln 10) cos 2x     ln 10

                    d                               3    8x    11x2 − 8x + 3
             27.      3 ln(x − 1) + 4 ln(x2 + 1) =    + 2   =
                   dx                              x−1 x +1   (x − 1)(x2 + 1)

                    d              1                            2x3
             28.      [2 ln cos x + ln(1 + x4 )] = −2 tan x +
                   dx              2                          1 + x4

                    d           1                           3x
             29.      ln cos x − ln(4 − 3x2 ) = − tan x +
                   dx           2                         4 − 3x2

                    d     1                                 1    1   1
             30.            [ln(x − 1) − ln(x + 1)]     =          −
                   dx     2                                 2   x−1 x+1

                                        1               dy            1    2x
             31. ln |y| = ln |x| +        ln |1 + x2 |,
                                                              3
                                                           = x 1 + x2   +
                                        3               dx            x 3(1 + x2 )

                               1                            dy   1        x−1  1   1
             32. ln |y| =        [ln |x − 1| − ln |x + 1|],    =      5
                                                                                 −
                               5                            dx   5        x+1 x−1 x+1

                          1              1
             33. ln |y| =   ln |x2 − 8| + ln |x3 + 1| − ln |x6 − 7x + 5|
                          3              2
                                    √
                   dy   (x2 − 8)1/3 x3 + 1       2x            3x2       6x5 − 7
                      =                                  +           − 6
                   dx       x6 − 7x + 5       3(x2 − 8) 2(x3 + 1) x − 7x + 5

                                                                          1
             34. ln |y| = ln | sin x| + ln | cos x| + 3 ln | tan x| −       ln |x|
                                                                          2
                   dy   sin x cos x tan3 x                 3 sec2 x    1
                      =        √           cot x − tan x +          −
                   dx             x                         tan x     2x
                                                                                                    √           √
                                                                                  √         1 dy      10 dy       10
             35. f (x) = ex      e−1
                                                                36.       ln y = − 10 ln x,      =−     ,   =−    √
                                                                                            y dx     x dx      x1+ 10

                                       ln e    1    d               1
             37. (a) logx e =               =     , [logx e] = −
                                       ln x   ln x dx            x(ln x)2
                                       ln 2 d               ln 2
                   (b) logx 2 =            , [logx 2] = −
                                       ln x dx            x(ln x)2
January 27, 2005 11:44      L24-ch04        Sheet number 9 Page number 135                  black



              Exercise Set 4.2                                                                                                 135


                                        ln b                                             ln e      1
              38. (a) From loga b =          for a, b > 0 it follows that log(1/x) e =         =−      , hence
                                        ln a                                           ln(1/x)    ln x
                           d                   1
                             log(1/x) e =
                          dx                x(ln x)2
                                          ln e        1           d                      1         1              1
                    (b) log(ln x) e =            =          , so    log(ln x) e = −                    =−
                                        ln(ln x)   ln(ln x)      dx                 (ln(ln x))2 x ln x    x(ln x)(ln(ln x))2

                                                       1
              39. f (x0 ) = f (e−1 ) = −1, f (x) =       , f (x0 ) = e, y − (−1) = e(x − 1/e) = ex − 1, y = ex − 2
                                                       x

                                                               dy                    1
              40. y0 = log 10 = 1, y = log x = (log e) ln x,               = log e      ,
                                                               dx   x=10             10
                         log e               log e
                    y−1=       (x − 10), y =       x + 1 − log e
                          10                  10

                                                         1                            1              1
              41. f (x0 ) = f (−e) = 1, f (x)          =− ,           42. y − ln 2 = − (x + 2), y = − x + ln 2 − 1
                                                x=−e     e                            2              2
                             1              1
                    y − 1 = − (x + e), y = − x
                             e              e

              43. Let the equation of the tangent line be y = mx and suppose that it meets the curve at (x0 , y0 ).
                             1          1                                1    ln x0                              1
                  Then m =          =      and y0 = mx0 = ln x0 . So m =    =       and ln x0 = 1, x0 = e, m =
                             x x=x0    x0                                x0    x0                                e
                                                             1
                  and the equation of the tangent line is y = x.
                                                             e

              44. Let y = mx + b be a line tangent to the curve at (x0 , y0 ). Then b is the y-intercept and the
                                                         1
                  slope of the tangent line is m =         . Moreover, at the point of tangency, mx0 + b = ln x0 or
                                                        x0
                   1
                     x0 + b = ln x0 , b = ln x0 − 1, as required.
                  x0
                                                                                                         y
              45. The area of the triangle P QR, given by |P Q||QR|/2 is
                  required. |P Q| = w, and, by Exercise 44, |QR| = 1, so                             1
                                                                                                             P (w, ln w)
                  area = w/2.                                                                       Q                           x
                                                                                                                   w       2
                                                                                                    R

                                                                                                    –2




              46. Since y = 2 ln x, let y = 2z; then z = ln x and we apply the result of Exercise 45 to find that the
                  area is, in the x-z plane, w/2. In the x-y plane, since y = 2z, the vertical dimension gets doubled,
                  so the area is w.

                                                       dy    1                       dy   1
              47. If x = 0 then y = ln e = 1, and         =     . But ey = x + e, so    = y = e−y .
                                                       dx   x+e                      dx  e

                                                                    dy     1
                                                                              . But ey = e− ln(e −x) = (e2 − x)−1 , so
                                                                                                2
              48. When x = 0, y = − ln(e2 ) = −2. Next,                = 2
                                                                    dx   e −x
                    dy
                       = ey .
                    dx
January 27, 2005 11:44     L24-ch04             Sheet number 10 Page number 136           black



             136                                                                                                          Chapter 4


                                                                          dy    1
             49. Let y = ln(x + a). Following Exercise 47 we get             =     = e−y , and when x = 0, y = ln(a) = 0
                                                                          dx   x+a
                   if a = 1, so let a = 1, then y = ln(x + 1).

                                             dy       1                1        dy
             50. Let y = − ln(a − x), then      =        . But ey =        , so    = ey .
                                             dx     a−x              a−x        dx
                   If x = 0 then y = − ln(a) = − ln 2 provided a = 2, so y = − ln(2 − x).

                                                        ln(e2 + ∆x) − 2    d                      1
             51. (a) f (x) = ln x; f (e2 ) = lim                        =    (ln x)           =              = e−2
                                                   ∆x→0       ∆x          dx           x=e2       x   x=e2

                                                           ln(1 + h) − ln 1       ln(1 + h)   1
                   (b) f (w) = ln w; f (1) = lim                            = lim           =           =1
                                                   h→0            h           h→0     h       w   w=1

                                                                                                                  f (x) − f (0)
             52. (a) Let f (x) = ln(cos x), then f (0) = ln(cos 0) = ln 1 = 0, so f (0) = lim                                   =
                                                                                                              x→0       x
                               ln(cos x)
                         lim             , and f (0) = − tan 0 = 0.
                         x→0       x                                                                                 √
                                           √
                                            2                         f (1 + h) − f (1)       (1 + h)                 2
                                                                                                                          −1
                   (b) Let f (x) = x , then f (1) = 1, so f (1) = lim                   = lim                                  , and
                               √ √              √                 h→0         h           h→0       h
                       f (x) = 2x 2−1 , f (1) = 2.

                    d                logb (x + h) − logb (x)
             53.      [logb x] = lim
                   dx            h→0            h
                                         1        x+h
                               = lim       logb                           Theorem 1.6.2(b)
                                   h→0   h         x
                                         1          h
                               = lim       logb 1 +
                                   h→0   h          x
                                          1
                               = lim        logb (1 + v)                  Let v = h/x and note that v → 0 as h → 0
                                   v→0   vx
                                   1     1
                               =     lim logb (1 + v)                     h and v are variable, whereas x is constant
                                   x v→0 v
                                   1
                               =     lim log (1 + v)1/v                   Theorem 1.6.2.(c)
                                   x v→0 b
                                   1
                               =     logb lim (1 + v)1/v                  Theorem 2.5.5
                                   x      v→0

                                   1
                               =     logb e                               Formula 7 of Section 7.1
                                   x



             EXERCISE SET 4.3
              1. (a) f (x) = 5x4 + 3x2 + 1 ≥ 1 so f is one-to-one on −∞ < x < +∞.
                                                        d −1           1                         1     1
                   (b) f (1) = 3 so 1 = f −1 (3);         f (x) =      −1 (x))
                                                                               , (f −1 ) (3) =       =
                                                       dx         f (f                         f (1)   9

              2. (a) f (x) = 3x2 + 2ex ; for −1 < x < 1, f (x) ≥ 2e−1 = 2/e, and for |x| > 1, f (x) ≥ 3x2 ≥ 3, so
                     f is increasing and one-to-one
                                                       d −1           1                         1     1
                   (b) f (0) = 2 so 0 = f −1 (2);        f (x) =              , (f −1 ) (2) =       =
                                                      dx         f (f −1 (x))                 f (0)   2
January 27, 2005 11:44      L24-ch04        Sheet number 11 Page number 137            black



              Exercise Set 4.3                                                                                      137


                              2                     d −1         2
               3. f −1 (x) =    − 3, so directly      f (x) = − 2 . Using Formula (1),
                              x                    dx           x
                               −2              1
                    f (x) =          , so              = −(1/2)(f −1 (x) + 3)2 ,
                            (x + 3)2      f (f −1 (x))
                                                2
                     d −1                   2            2
                       f (x) = −(1/2)               =−
                    dx                      x            x2

                                 ex − 1                 d −1     ex                 2
               4. f −1 (x) =            , so directly,    f (x) = . Next, f (x) =        , and using Formula (1),
                                    2                  dx         2               2x + 1
                     d −1      2f −1 (x) + 1   ex
                       f (x) =               =
                    dx                2         2

               5. (a) f (x) = 2x + 8; f < 0 on (−∞, −4) and f > 0 on (−4, +∞); not enough information. By
                      inspection, f (1) = 10 = f (−9), so not one-to-one
                  (b) f (x) = 10x4 + 3x2 + 3 ≥ 3 > 0; f (x) is positive for all x, so f is one-to-one
                  (c) f (x) = 2 + cos x ≥ 1 > 0 for all x, so f is one-to-one
                                          x
                  (d) f (x) = −(ln 2) 1 < 0 because ln 2 > 0, so f is one-to-one for all x.
                                        2

               6. (a) f (x) = 3x2 + 6x = x(3x + 6) changes sign at x = −2, 0, so √ enough information; by
                                                                                   not               √
                      observation (of the graph, and using some guesswork), f (−1 + 3) = −6 = f (−1 − 3), so
                      f is not one-to-one.
                    (b) f (x) = 5x4 + 24x2 + 2 ≥ 2 > 0; f is positive for all x, so f is one-to-one
                                    1
                    (c) f (x) =           ; f is one-to-one because:
                                 (x + 1)2
                        if x1 < x2 < −1 then f > 0 on [x1 , x2 ], so f (x1 ) = f (x2 )
                        if −1 < x1 < x2 then f > 0 on [x1 , x2 ], so f (x1 ) = f (x2 )
                        if x1 < −1 < x2 then f (x1 ) > 1 > f (x2 ) since f (x) > 1 on (−∞, −1) and f (x) < 1 on
                        (−1, +∞)
                                                                          d              1
                    (d) Note that f (x) is only defined for x > 0.            logb x =         , which is always negative
                                                                         dx            x ln b
                        (0 < b < 1), so f is one-to-one.

                                                              dx              dy       1
               7. y = f −1 (x), x = f (y) = 5y 3 + y − 7,        = 15y 2 + 1,    =           ;
                                                              dy              dx   15y 2 + 1
                                       dy   dy dy       1
                    check: 1 = 15y 2      +   ,   =     2+1
                                       dx dx dx     15y

                                                      dx            dy
               8. y = f −1 (x), x = f (y) = 1/y 2 ,      = −2y −3 ,    = −y 3 /2;
                                                      dy            dx
                                        dy dy
                    check: 1 = −2y −3     ,   = −y 3 /2
                                        dx dx

                                                        dx                     dy         1
               9. y = f −1 (x), x = f (y) = 2y 5 + y 3 + 1,   = 10y 4 + 3y 2 ,    =     4 + 3y 2
                                                                                                 ;
                                                        dy                     dx   10y
                                     dy       dy dy         1
                    check: 1 = 10y 4    + 3y 2 ,    =
                                     dx       dx dx   10y 4 + 3y 2

                                                       dx                 dy        1
              10. y = f −1 (x), x = f (y) = 5y − sin 2y,  = 5 − 2 cos 2y,    =              ;
                                                       dy                 dx   5 − 2 cos 2y
                                             dy dy        1
                    check: 1 = (5 − 2 cos 2y) ,    =
                                             dx dx   5 − 2 cos 2y
January 27, 2005 11:44       L24-ch04             Sheet number 12 Page number 138                black



             138                                                                                                           Chapter 4


                                                                           12. −10xe−5x
                                                                                             2
             11. 7e7x

                                                                                    1 1/x
             13. x3 ex + 3x2 ex = x2 ex (x + 3)                            14. −       e
                                                                                    x2

                   dy   (ex + e−x )(ex + e−x ) − (ex − e−x )(ex − e−x )
             15.      =
                   dx                    (ex + e−x )2

                           (e2x + 2 + e−2x ) − (e2x − 2 + e−2x )
                       =                                         = 4/(ex + e−x )2
                                       (ex + e−x )2

             16. ex cos(ex )

                                                                                  dy   (ln x)ex − ex (1/x)   ex (x ln x − 1)
             17. (x sec2 x + tan x)ex tan x                                18.       =                     =
                                                                                  dx         (ln x)2             x(ln x)2

                                                                                  15 2
                                                                                     x (1 + 5x3 )−1/2 exp( 1 + 5x3 )
                                     3x
             19. (1 − 3e3x )e(x−e         )
                                                                           20.
                                                                                   2

                   (x − 1)e−x   x−1                                                  1
             21.              = x                                          22.             [− sin(ex )]ex = −ex tan(ex )
                    1 − xe−x   e −x                                               cos(ex )

                                                                 1
             23. f (x) = 2x ln 2; y = 2x , ln y = x ln 2,          y = ln 2, y = y ln 2 = 2x ln 2
                                                                 y

                                                                        1
             24. f (x) = −3−x ln 3; y = 3−x , ln y = −x ln 3,             y = − ln 3, y = −y ln 3 = −3−x ln 3
                                                                        y

             25. f (x) = π sin x (ln π) cos x;
                                                         1
                   y = π sin x , ln y = (sin x) ln π,      y = (ln π) cos x, y = π sin x (ln π) cos x
                                                         y

             26. f (x) = π x tan x (ln π)(x sec2 x + tan x);
                                                             1
                   y = π x tan x , ln y = (x tan x) ln π,      y = (ln π)(x sec2 x + tan x)
                                                             y
                   y = π x tan x (ln π)(x sec2 x + tan x)

                                                     1 dy  3x2 − 2       1
             27. ln y = (ln x) ln(x3 − 2x),               = 3      ln x + ln(x3 − 2x),
                                                     y dx  x − 2x        x

                   dy                 3x2 − 2       1
                      = (x3 − 2x)ln x 3       ln x + ln(x3 − 2x)
                   dx                 x − 2x        x

                                              1 dy   sin x                 dy          sin x
             28. ln y = (sin x) ln x,              =       + (cos x) ln x,    = xsin x       + (cos x) ln x
                                              y dx     x                   dx            x

                                                  1 dy      1
             29. ln y = (tan x) ln(ln x),              =        tan x + (sec2 x) ln(ln x),
                                                  y dx   x ln x
                   dy               tan x
                      = (ln x)tan x        + (sec2 x) ln(ln x)
                   dx               x ln x
January 27, 2005 11:44        L24-ch04           Sheet number 13 Page number 139             black



              Exercise Set 4.3                                                                                                   139


                                                  1 dy    2x       1
              30. ln y = (ln x) ln(x2 + 3),            = 2   ln x + ln(x2 + 3),
                                                  y dx  x +3       x
                    dy                 2x        1
                       = (x2 + 3)ln x 2    ln x + ln(x2 + 3)
                    dx                x +3       x


              31. f (x) = exe−1

              32. (a) because xx is not of the form ax where a is constant
                                             1
                  (b) y = xx , ln y = x ln x, y = 1 + ln x, y = xx (1 + ln x)
                                             y

                          3                  3                                         1/2                      1
              33.                     =√                                 34. −                       =−
                       1−     (3x)2        1 − 9x2                                   1−     x+1 2           4 − (x + 1)2
                                                                                             2

                          1                               1                          sin x       sin x            1, sin x > 0
              35.                 (−1/x2 ) = −          √                36.   √              =          =
                       1 − 1/x2                      |x| x2 − 1                    1 − cos2 x   | sin x|         −1, sin x < 0

                       3x2         3x2                                                5x4                     5
              37.              =                                         38.                         =      √
                    1 + (x3 )2   1 + x6                                        |x5 | (x5 )2 − 1          |x| x10 − 1

              39. y = 1/ tan x = cot x, dy/dx = − csc2 x

                                                                        1
              40. y = (tan−1 x)−1 , dy/dx = −(tan−1 x)−2
                                                                     1 + x2

                        ex                                                                 1
              41.      √       + ex sec−1 x                              42. −              √
                    |x| x2 − 1                                                   (cos−1   x) 1 − x2

                                                                               3x2 (sin−1 x)2
              43. 0                                                      44.     √            + 2x(sin−1 x)3
                                                                                    1 − x2

                                                                                √
              45. 0                                                      46. −1/ e2x − 1

                       1         1 −1/2                1                              1
              47. −                x        =−            √              48. − √
                      1+x        2                2(1 + x) x                       −1
                                                                              2 cot x(1 + x2 )

              49. (a) Let x = f (y) = cot y, 0 < y < π, −∞ < x < +∞. Then f is differentiable and one-to-one
                      and f (f −1 (x)) = − csc2 (cot−1 x) = −x2 − 1 = 0, and
                           d                                  1                 1
                             [cot−1 x]           = lim                = − lim 2     = −1.
                          dx               x=0
                                                   x→0   f (f −1 (x))     x→0 x + 1


                    (b) If x = 0 then, from Exercise 50(a) of Section 1.5,
                         d             d       1       1      1             1
                            cot−1 x =     tan−1 = − 2                =− 2      . For x = 0, Part (a) shows the same;
                        dx            dx       x      x 1 + (1/x)2        x +1
                                                  d                  1
                        thus for −∞ < x < +∞, [cot−1 x] = − 2            .
                                                 dx               x +1

                                                                                           d                 1 du
                    (c) For −∞ < u < +∞, by the chain rule it follows that                   [cot−1 u] = − 2       .
                                                                                          dx              u + 1 dx
January 27, 2005 11:44       L24-ch04          Sheet number 14 Page number 140                        black



             140                                                                                                                 Chapter 4


                                                    d              d      1    1                       1                −1
             50. (a) By the chain rule,               [csc−1 x] =    sin−1 = − 2                                =      √
                                                   dx             dx      x   x                   1−   (1/x)2       |x| x2 − 1
                                                    d             du d                  −1     du
                   (b) By the chain rule,             [csc−1 u] =       [csc−1 u] =    √
                                                   dx             dx du             |u| u2 − 1 dx

                                                         x                             (3x2 + tan−1 y)(1 + y 2 )
             51. x3 + x tan−1 y = ey , 3x2 +                  y + tan−1 y = ey y , y =
                                                        1+y 2                               (1 + y 2 )ey − x

                                                             1                                1
             52. sin−1 (xy) = cos−1 (x − y),                              (xy + y) = −                     (1 − y ),
                                                          1−     x2 y 2                  1 − (x − y)2
                         y    1 − (x − y)2 +        1 − x2 y 2
                   y =
                             1 − x2 y 2 − x 1 − (x − y)2

             53. (a) f (x) = x3 − 3x2 + 2x = x(x − 1)(x − 2) so f (0) = f (1) = f (2) = 0 thus f is not one-to-one.
                                                                        √
                                                                    6 ± 36 − 24            √
                 (b) f (x) = 3x − 6x + 2, f (x) = 0 when x =
                                 2
                                                                                    = 1 ± 3/3. f (x) > 0 (f is
                                            √                              6        √                √
                     increasing) if x < 1 − 3/3, f (x) < 0 (f is decreasing) if 1 − 3/3 < x < 1 + 3/3, so f (x)
                                                     √                           √              √
                     takes on values less than f (1 − 3/3) on both sides of 1 − 3/3 thus 1 − 3/3 is the largest
                     value of k.

             54. (a) f (x) = x3 (x − 2) so f (0) = f (2) = 0 thus f is not one to one.
                 (b) f (x) = 4x3 − 6x2 = 4x2 (x − 3/2), f (x) = 0 when x = 0 or 3/2; f is decreasing on (−∞, 3/2]
                     and increasing on [3/2, +∞) so 3/2 is the smallest value of k.

             55. (a) f (x) = 4x3 + 3x2 = (4x + 3)x2 = 0 only at x = 0. But on [0, 2], f has no sign change, so f
                     is one-to-one.
                 (b) F (x) = 2f (2g(x))g (x) so F (3) = 2f (2g(3))g (3). By inspection f (1) = 3, so
                     g(3) = f −1 (3) = 1 and g (3) = (f −1 ) (3) = 1/f (f −1 (3)) = 1/f (1) = 1/7 because
                     f (x) = 4x3 + 3x2 . Thus F (3) = 2f (2)(1/7) = 2(44)(1/7) = 88/7.
                     F (3) = f (2g(3)) = f (2·1) = f (2) = 24, so the line tangent to F (x) at (3, 25) has the equation
                     y − 25 = (88/7)(x − 3), y = (88/7)x − 89/7.

                                           2            1
             56. (a) f (x) = −e4−x                 2+         < 0 for all x > 0, so f is one-to-one.
                                                        x2
                   (b) By inspection, f (2) = 1/2, so 2 = f −1 (1/2) = g(1/2). By inspection,
                                               1       9
                         f (2) = − 2 +              = − , and
                                               4       4
                                                         d
                         F (1/2) = f ([g(x)]2 )            [g(x)2 ]           = f ([g(x)]2 )2g(x)g (x)
                                                        dx            x=1/2                                x=1/2
                                                                                   −12      1
                                             1                        f (4)    e (2 +      16 )        33    11
                         = f (22 )2 · 2                          =4         =4                    =        = 12
                                          f (g(x))      x=1/2         f (2)     (2 + 1 )
                                                                                     4
                                                                                                      9e12  3e

             57. (a) f (x) = kekx , f (x) = k 2 ekx , f (x) = k 3 ekx , . . . , f (n) (x) = k n ekx
                   (b) g (x) = −ke−kx , g (x) = k 2 e−kx , g (x) = −k 3 e−kx , . . . , g (n) (x) = (−1)n k n e−kx

                   dy
             58.      = e−λt (ωA cos ωt − ωB sin ωt) + (−λ)e−λt (A sin ωt + B cos ωt)
                   dt
                      = e−λt [(ωA − λB) cos ωt − (ωB + λA) sin ωt]
January 27, 2005 11:44        L24-ch04             Sheet number 15 Page number 141                             black



              Exercise Set 4.3                                                                                                              141

                                                                    2                             2
                                   1         1        x−µ                d   1          x−µ
              59. f (x) = √            exp −                               −
                                   2πσ       2         σ                dx   2           σ
                                                                    2
                                   1         1        x−µ                         x−µ         1
                          =√           exp −                              −
                                   2πσ       2         σ                           σ          σ
                                                                                    2
                                     1                  1               x−µ
                          = −√            (x − µ) exp −
                                    2πσ 3               2                σ

              60. y = Aekt , dy/dt = kAekt = k(Aekt ) = ky

              61. y = Ae2x + Be−4x , y = 2Ae2x − 4Be−4x , y = 4Ae2x + 16Be−4x so
                  y + 2y − 8y = (4Ae2x + 16Be−4x ) + 2(2Ae2x − 4Be−4x ) − 8(Ae2x + Be−4x ) = 0

              62. (a) y = −xe−x + e−x = e−x (1 − x), xy = xe−x (1 − x) = y(1 − x)
                    (b) y = −x2 e−x                + e−x          = e−x          (1 − x2 ), xy = xe−x
                                          2              2              2                                 2
                                              /2             /2             /2                                /2
                                                                                                                   (1 − x2 ) = y(1 − x2 )

                    dy
              63.      = 100(−0.2)e−0.2x = −20y, k = −0.2
                    dx

              64. ln y = (5x + 1) ln 3 − (x/2) ln 4, so
                  y /y = 5 ln 3 − (1/2) ln 4 = 5 ln 3 − ln 2, and
                  y = (5 ln 3 − ln 2)y

                                                           y     7e−t     7e−t + 5 − 5       1
              65. ln y = ln 60 − ln(5 + 7e−t ),              =          =              = 1 − y, so
                                                           y   5 + 7e−t     5 + 7e−t        12
                    dy       y
                       =r 1−   y, with r = 1, K = 12.
                    dt       K

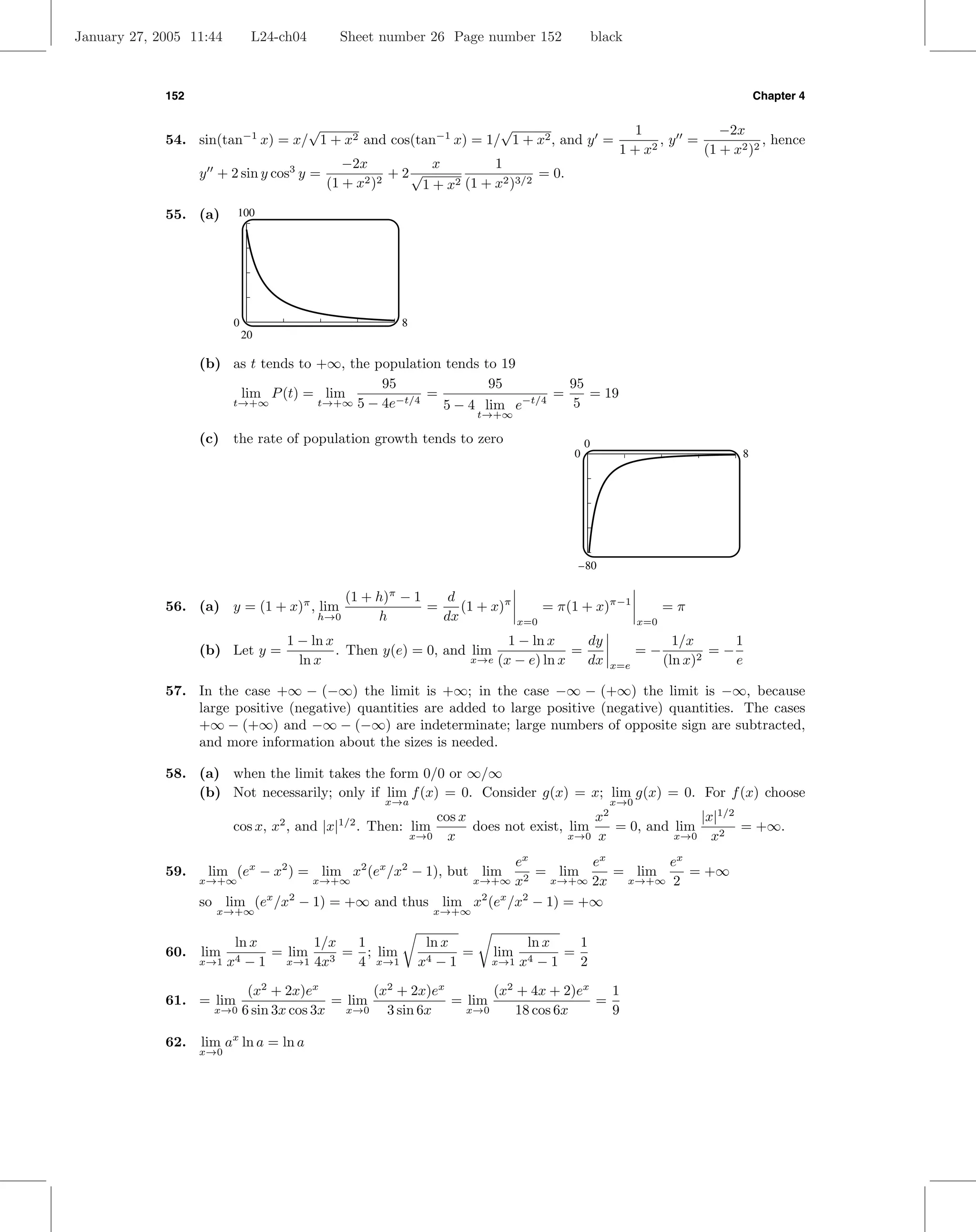
              66. (a)         12




                          0                                        9
                              0

                                                                                                         60            60        60
                    (b) P tends to 12 as t gets large; lim P (t) = lim                                         =               =    = 12
                                                                        t→+∞              t→+∞        5 + 7e−t   5 + 7 lim e−t   5
                                                                                                                             t→+∞
                    (c) the rate of population growth tends to zero
                           3.2




                          0                                        9
                              0


                        10h − 1    d x                         d x ln 10
              67.   lim         =    10                  =       e                  = ln 10
                    h→0    h      dx               x=0        dx              x=0
January 27, 2005 11:44          L24-ch04         Sheet number 16 Page number 142                          black



             142                                                                                                                      Chapter 4


                       tan−1 (1 + h) − π/4    d                                   1                  1
             68.   lim                     =    tan−1 x                   =                      =
                   h→0          h            dx                     x=1        1 + x2      x=1       2
                                    √
                           9[sin−1 ( 23   + ∆x)]2 − π 2    d                                                          3
             69.    lim                                 =    (3 sin−1 x)2              √
                                                                                                 = 2(3 sin−1 x) √              √
                   ∆x→0                   ∆x              dx                         x= 3/2                         1 − x2   x= 3/2
                        π            3
                   = 2(3 )                    = 12π
                        3         1 − (3/4)

                        (2 + ∆x)(2+∆x) − 4    d x                         d x ln x
             70.    lim                    =    x                   =       e
                   ∆x→0        ∆x            dx               x=2        dx              x=2

                   = (1 + ln x)ex ln x           = (1 + ln 2)22 = 4(1 + ln 2)
                                           x=2

                                                                                √
                     3 sec−1 w − π    d                                 3         3
             71. lim               =    3 sec−1 x                  = √        =
                 w→2     w−2         dx                      x=2    |2| 2 2−1    2

                       4(tan−1 w)w − π    d                                        d x ln tan−1 x
             72.   lim                 =    4(tan−1 x)x                       =      4e
                   w→1      w−1          dx                             x=1       dx                     x=1
                                                                    2
                                                         1/(1 + x )                                       14
                   = 4(tan−1 x)x ln tan−1 x + x                                     = π ln(π/4) +                 == 2 + π ln(π/4)
                                                          tan−1 x             x=1                         2π



             EXERCISE SET 4.4
                                    x2 − 4        (x − 2)(x + 2)       x+2   2
              1. (a)       lim              = lim                = lim     =
                           x→2 x2   + 2x − 8 x→2 (x + 4)(x − 2) x→2 x + 4    3
                                             5
                            2x − 5   2 − lim     2
                                        x→+∞ x
                   (b)  lim        =           =
                       x→+∞ 3x + 7           7   3
                                     3 + lim
                                        x→+∞ x


                           sin x         cos x                sin x
              2. (a)             = sin x       = cos x so lim       = lim cos x = 1
                           tan x         sin x            x→0 tan x   x→0

                           x2 − 1      (x − 1)(x + 1)        x+1        x2 − 1   2
                   (b)      3−1
                                  =                      = 2     so lim 3      =
                           x        (x − 1)(x 2 + x + 1)  x +x+1    x→1 x − 1    3

                                                                                                               π                  π
              3. Tf (x) = −2(x + 1), Tg (x) = −3(x + 1),                            4. Tf (x) = − x −            , Tg (x) = − x −
                                                                                                               2                  2
                 limit = 2/3                                                             limit = 1
                            x
                           e                                                                       1
              5.   lim          =1                                                  6.    lim           = 1/5
                   x→0    cos x                                                          x→3    6x − 13

                       sec2 θ                                                                tet + et
              7.   lim        =1                                                    8. lim            = −1
                   θ→0   1                                                               t→0   −et
                           cos x                                                                 cos x
              9.    lim+         = −1                                             10.     lim          = +∞
                   x→π       1                                                           x→0+     2x

                       1/x                                                                   3e3x       9e3x
             11.    lim    =0                                                     12.      lim    = lim      = +∞
                   x→+∞ 1                                                                x→+∞ 2x   x→+∞ 2
January 27, 2005 11:44        L24-ch04          Sheet number 17 Page number 143              black



              Exercise Set 4.4                                                                                          143


                            − csc2 x        −x            −1
              13.    lim+            = lim   2  = lim+             = −∞
                    x→0       1/x     x→0 sin x
                                          +      x→0 2 sin x cos x


                               −1/x              x
              14.    lim                 = lim 1/x = 0
                    x→0+    (−1/x2 )e1/x  x→0+ e


                         100x99       (100)(99)x98               (100)(99)(98) · · · (1)
              15.    lim    x
                                = lim       x
                                                   = · · · = lim                         =0
                    x→+∞   e     x→+∞      e                x→+∞         ex
                                                                                       √
                        cos x/ sin x                                                 2/ 1 − 4x2
              16. lim                = lim+ cos2 x = 1                       17. lim            =2
                  x→0+ sec2 x/ tan x  x→0                                        x→0     1

                                    1
                           1−                     1        1                                           x         1
              18.   lim          1 + x2 = lim            =                   19.   lim xe−x = lim         = lim x = 0
                    x→0         3x 2      x→0 3(1 + x2 )   3                       x→+∞         x→+∞   ex  x→+∞ e


                                                          x−π                1
              20.   lim (x − π) tan(x/2) = lim                   = lim                  = −2
                    x→π                           x→π    cot(x/2) x→π −(1/2) csc2 (x/2)

                                                 sin(π/x)       (−π/x2 ) cos(π/x)
              21.    lim x sin(π/x) = lim                 = lim                   = lim π cos(π/x) = π
                    x→+∞                    x→+∞    1/x    x→+∞     −1/x2          x→+∞


                                                  ln x        1/x         − sin2 x        −2 sin x cos x
              22.    lim tan x ln x = lim              = lim+      = lim+          = lim+                =0
                    x→0+                  x→0+   cot x x→0 − csc2 x x→0      x      x→0         1

                                                                cos 5x          −5 sin 5x    −5(+1)     5
              23.      lim       sec 3x cos 5x =        lim            = lim              =          =−
                    x→(π/2)−                       x→(π/2)−     cos 3x x→(π/2)− −3 sin 3x   (−3)(−1)    3

                                                   x−π           1
              24.   lim (x − π) cot x = lim              = lim        =1
                    x→π                     x→π    tan x   x→π sec2 x


                                                                   ln(1 − 3/x)         −3
              25. y = (1 − 3/x)x , lim ln y = lim                              = lim         = −3, lim y = e−3
                                          x→+∞            x→+∞         1/x      x→+∞ 1 − 3/x      x→+∞


                                                                  3 ln(1 + 2x)            6
              26. y = (1 + 2x)−3/x , lim ln y = lim −                          = lim −        = −6, lim y = e−6
                                           x→0            x→0           x        x→0   1 + 2x       x→0


                                                            ln(ex + x)       ex + 1
              27. y = (ex + x)1/x , lim ln y = lim                     = lim x      = 2, lim y = e2
                                          x→0           x→0     x        x→0 e + x       x→0


                                                                     b ln(1 + a/x)          ab
              28. y = (1 + a/x)bx , lim ln y = lim                                 = lim         = ab, lim y = eab
                                          x→+∞                x→+∞        1/x       x→+∞ 1 + a/x      x→+∞


                                                                   ln(2 − x)       2 sin2 (πx/2)
              29. y = (2 − x)tan(πx/2) , lim ln y = lim                      = lim               = 2/π, lim y = e2/π
                                                x→1            x→1 cot(πx/2)   x→1   π(2 − x)           x→1


                                      2                         ln cos(2/x)       (−2/x2 )(− tan(2/x))
              30. y = [cos(2/x)]x , lim ln y = lim                          = lim
                                          x→+∞             x→+∞     1/x2     x→+∞       −2/x3
                               − tan(2/x)       (2/x2 ) sec2 (2/x)
                      = lim               = lim                    = −2,               lim y = e−2
                          x→+∞    1/x      x→+∞     −1/x2                             x→+∞


                               1    1                 x − sin x          1 − cos x                sin x
              31.   lim           −        = lim                = lim                 = lim                   =0
                    x→0      sin x x         x→0       x sin x    x→0 x cos x + sin x   x→0 2 cos x − x sin x
January 27, 2005 11:44      L24-ch04      Sheet number 18 Page number 144          black



             144                                                                                         Chapter 4


                         1 − cos 3x       3 sin 3x       9        9
             32.   lim        2
                                    = lim          = lim cos 3x =
                   x→0       x        x→0    2x      x→0 2        2

                        (x2 + x) − x2           x                             1
             33.    lim  √            = lim √        = lim                                = 1/2
                   x→+∞    x2+x+x      x→+∞   x2+x+x  x→+∞                1 + 1/x + 1

                      ex − 1 − x         ex − 1             ex
             34.   lim           = lim x           = lim x        = 1/2
                   x→0 xex − x     x→0 xe + ex − 1   x→0 xe + 2ex


                                                                                    ex
             35.    lim [x − ln(x2 + 1)] = lim [ln ex − ln(x2 + 1)] = lim ln             ,
                   x→+∞                    x→+∞                       x→+∞        x2 + 1
                              x            x              x
                             e         e       e
                    lim          = lim   = lim   = +∞ so lim [x − ln(x2 + 1)] = +∞
                   x→+∞    x2 + 1 x→+∞ 2x x→+∞ 2        x→+∞


                               x           1
             36.    lim ln        = lim ln      = ln(1) = 0
                   x→+∞      1 + x x→+∞ 1/x + 1

                            ln x        1/x         1
             38. (a)       lim   = lim       = lim     =0
                             xn
                          x→+∞    x→+∞ nxn−1  x→+∞ nxn

                             xn        nxn−1
                   (b)  lim      = lim       = lim nxn = +∞
                       x→+∞ ln x  x→+∞ 1/x    x→+∞


                                                                           3x2 − 2x + 1                    0
             39. (a) L’Hˆpital’s Rule does not apply to the problem lim
                        o                                                               because it is not a form.
                                                                       x→1   3x2 − 2x                      0
                              3x2 − 2x + 1
                   (b) lim                 =2
                          x→1   3x2 − 2x

                                                                 e3x −12x+12
                                                                      2
                                                                                                    e0
             40. L’Hˆpital’s Rule does not apply to the problem
                    o                                                        , which is of the form    , and from
                                                                   x4 − 16                          0
                 which it follows that lim− and lim+ exist, with values −∞ if x approaches 2 from the left and
                                         x→2        x→2
                   +∞ if from the right. The general limit lim does not exist.
                                                              x→2


                           1/(x ln x)          2
             41.    lim         √     = lim √        =0                                0.15
                   x→+∞    1/(2 x)     x→+∞   x ln x




                                                                                    100                     10000
                                                                                          0


                                               ln x
             42. y = xx , lim ln y = lim            = lim −x = 0, lim y = 1                       1
                            x→0+       x→0+    1/x x→0+          x→0+




                                                                                              0                0.5
                                                                                                  0
January 27, 2005 11:44        L24-ch04        Sheet number 19 Page number 145     black



              Exercise Set 4.4                                                                             145




              43. y = (sin x)3/ ln x ,                                                            25
                                         3 ln sin x                   x
                     lim ln y = lim                 = lim (3 cos x)       = 3,
                    x→0+          x→0+      ln x     x→0+           sin x
                     lim y = e3
                    x→0+


                                                                                              0             0.5
                                                                                                  19




                                4 sec2 x           4                                          4.1
              44.     lim −              = lim         =4
                    x→π/2     sec x tan x x→π/2− sin x




                                                                                          1.4               1.6
                                                                                                3.3




                                          1        e−x ln x − 1
              45. ln x − ex = ln x −           =                ;                                     0
                                         e−x           e−x                                        0           3

                                                ln x       1/x
                     lim e−x ln x = lim              = lim     = 0 by L’Hˆpital’s Rule,
                                                                         o
                    x→+∞                 x→+∞    ex   x→+∞ ex

                                                    e−x ln x − 1
                    so lim [ln x − ex ] = lim                    = −∞
                       x→+∞                    x→+∞     e−x
                                                                                                  –16




                                                                  ex
              46.    lim [ln ex − ln(1 + 2ex )] = lim ln                                      –0.6
                    x→+∞                              x→+∞      1 + 2ex                       0              12
                                    1       1
                    = lim ln            = ln ;
                       x→+∞      e−x +2     2
                    horizontal asymptote y = − ln 2


                                                                                              –1.2




                                                                                      1.02
              47. y = (ln x)1/x ,
                                       ln(ln x)          1
                     lim ln y = lim             = lim        = 0;
                    x→+∞          x→+∞    x      x→+∞ x ln x

                     lim y = 1, y = 1 is the horizontal asymptote
                    x→+∞


                                                                                    100                   10000
                                                                                          1
January 27, 2005 11:44       L24-ch04                Sheet number 20 Page number 146           black



             146                                                                                                               Chapter 4


                                                              x+1
                           x+1
                                      x                           ln
             48. y =                      , lim ln y = lim    x+2                                          1
                           x+2             x→+∞       x→+∞   1/x
                                                                −x2
                                                     = lim                = −1;
                                                      x→+∞ (x + 1)(x + 2)

                    lim y = e−1 is the horizontal asymptote
                   x→+∞

                                                                                                       0                              50
                                                                                                           0


             49. (a) 0                      (b) +∞             (c) 0              (d) −∞               (e) +∞               (f ) −∞

                                                                                   (ln a) ln x        (ln a)/x
             50. (a) Type 00 ; y = x(ln a)/(1+ln x) ; lim ln y = lim                           = lim+          = lim+ ln a = ln a,
                                                              x→0+          x→0+    1 + ln x    x→0     1/x     x→0
                           lim y = eln a = a
                           x→0+

                   (b) Type ∞0 ; same calculation as Part (a) with x → +∞
                                                                                  (ln a) ln(x + 1)        ln a
                   (c) Type 1∞ ; y = (x + 1)(ln a)/x , lim ln y = lim                              = lim       = ln a,
                                                                x→0         x→0           x          x→0 x + 1
                           lim y = eln a = a
                           x→0


                            1 + 2 cos 2x                                   x + sin 2x          sin 2x
             51.    lim                  does not exist, nor is it ±∞; lim            = lim 1+                                 =1
                   x→+∞          1                                    x→+∞     x       x→+∞      x

                            2 − cos x                                   2x − sin x       2 − (sin x)/x   2
             52.    lim               does not exist, nor is it ±∞; lim            = lim               =
                   x→+∞     3 + cos x                              x→+∞ 3x + sin x  x→+∞ 3 + (sin x)/x   3

                                                                                   x(2 + sin 2x)       2 + sin 2x
             53.    lim (2 + x cos 2x + sin 2x) does not exist, nor is it ±∞; lim                = lim            ,
                   x→+∞                                                                x+1
                                                                                         x→+∞     x→+∞ 1 + 1/x
                   which does not exist because sin 2x oscillates between −1 and 1 as x → +∞

                             1 1        sin x
             54.    lim       + cos x +                    does not exist, nor is it ±∞;
                   x→+∞      x 2         2x
                            x(2 + sin x)       2 + sin x
                    lim                  = lim           =0
                   x→+∞       x2 + 1      x→+∞ x + 1/x


                           V t −Rt/L
                           L e                  Vt
             55.    lim+                    =
                   R→0            1             L

                                                                  π/2 − x          −1
             56. (a)        lim (π/2 − x) tan x = lim                     = lim           = lim sin2 x = 1
                           x→π/2                          x→π/2    cot x   x→π/2 − csc2 x  x→π/2

                                         1                                 1     sin x                     cos x − (π/2 − x) sin x
                   (b)      lim               − tan x = lim                    −            = lim
                           x→π/2      π/2 − x          x→π/2            π/2 − x cos x          x→π/2           (π/2 − x) cos x
                                                                          −(π/2 − x) cos x
                                                            = lim
                                                               x→π/2   −(π/2 − x) sin x − cos x
                                                                      (π/2 − x) sin x + cos x
                                                            = lim                               =0
                                                               x→π/2 −(π/2 − x) cos x + 2 sin x


                   (c) 1/(π/2 − 1.57) ≈ 1255.765534, tan 1.57 ≈ 1255.765592;
                       1/(π/2 − 1.57) − tan 1.57 ≈ 0.000058
January 27, 2005 11:44      L24-ch04          Sheet number 21 Page number 147                   black



              Review Exercises, Chapter 4                                                                                   147


                                                  kt − 1         (ln k)k t
              57. (b)       lim x(k 1/x − 1) = lim       = lim             = ln k
                        x→+∞                         t
                                                     t→0+  t→0 +     1
                                                    √
                    (c) ln 0.3 = −1.20397, 1024 1024 0.3 − 1 = −1.20327;
                                               √
                        ln 2 = 0.69315, 1024 1024 2 − 1 = 0.69338

                                                                   k + cos x
              58. If k = −1 then lim (k + cos x) = k + 1 = 0, so lim         = ±∞. Hence k = −1, and by the
                                   x→0                         x→0    x2
                             −1 + cos x       − sin x       − 2 cos x      2             √
                    rule lim            = lim         = lim           = − = −4 if = ±2 2.
                         x→0     x2       x→0   2x      x→0     2          2

              59. (a) No; sin(1/x) oscillates as x → 0.                          (b)                     0.05




                                                                                        –0.35                        0.35




                                                                                                        –0.05

                    (c) For the limit as x → 0 use the Squeezing Theorem together with the inequalities
                                                       +

                        −x2 ≤ x2 sin(1/x) ≤ x2 . For x → 0− do the same; thus lim f (x) = 0.
                                                                                                x→0


                                                          − cos(1/x) + 2x sin(1/x)
              60. (a) Apply the rule to get lim                                    which does not exist (nor is it ±∞).
                                                      x→0          cos x
                                                    x                           x           1
                    (b) Rewrite as lim                  [x sin(1/x)], but lim       = lim       = 1 and lim x sin(1/x) = 0,
                                       x→0        sin x                   x→0 sin x   x→0 cos x         x→0
                                        x
                           thus lim         [x sin(1/x)] = (1)(0) = 0
                                x→0   sin x

                           sin(1/x)        sin x
              61.   lim             , lim+       = 1 but lim+ sin(1/x) does not exist because sin(1/x) oscillates between
                    x→0+   (sin x)/x x→0     x          x→0

                                                            x sin(1/x)
                    −1 and 1 as x → +∞, so lim+                        does not exist.
                                                     x→0       sin x

                                                                   f (x)   (f (x) − f (0)/(x − a)
              62. Since f (0) = g(0) = 0, then for x = a,                =                        . Now take the limit:
                                                                   g(x)    (g(x) − g(0))/(x − a)
                          f (x)       (f (x) − f (0)/(x − a)   f (a)
                    lim         = lim                        =
                    x→a   g(x) x→a (g(x) − g(0))/(x − a)       g (a)



              REVIEW EXERCISES, CHAPTER 4
                         1                  3                                         1                     2x + 1
               1.                (6) =                                      2.                (2x + 1) =
                    4(6x − 5)3/4       2(6x − 5)3/4                              3(x2 + x)2/3            3(x2 + x)2/3

                                            1/2                                        1/2
                              3 x−1                d x−1         9     x−1
               3. dy/dx =                                  =
                              2 x+2               dx x + 2   2(x + 2)2 x + 2

                            4
                          x2 (3 − 2x)1/3 (−2) − (3 − 2x)4/3 (2x)   2(3 − 2x)1/3 (2x − 9)
               4. dy/dx =   3                                    =
                                           x4                              3x3
January 27, 2005 11:44         L24-ch04      Sheet number 22 Page number 148         black



             148                                                                                             Chapter 4


                               dy              dy    2 − y − 3x2
              5. (a) 3x2 + x      + y − 2 = 0,    =
                               dx              dx         x
                   (b) y = (1 + 2x − x3 )/x = 1/x + 2 − x2 , dy/dx = −1/x2 − 2x
                           dy   2 − (1/x + 2 − x2 ) − 3x2
                   (c)        =                           = −1/x2 − 2x
                           dx              x
                                     dy          dy dy     1−y
              6. (a) xy = x − y, x       +y =1−    ,    =
                                     dx          dx dx     x+1
                                          x          1
                   (b) y(x + 1) = x, y =     ,y =
                                         x+1      (x + 1)2
                           dy   1−y   1 − x+1
                                           x
                                                  1
                   (c)        =     =         = 2
                           dx   x+1    1+x     x +1
                     1 dy    1        dy   y2
              7. −         − 2 = 0 so    =− 2
                     y 2 dx x         dx   x

                                dy       dy                    dy               dy  x2 − 2y
              8. 3x2 − 3y 2        = 6(x    + y), −(3y 2 + 6x)    = 6y − 3x2 so    = 2
                                dx       dx                    dx               dx  y + 2x

                         dy                       dy dy     y sec(xy) tan(xy)
              9.    x       + y sec(xy) tan(xy) =   ,   =
                         dx                       dx dx   1 − x sec(xy) tan(xy)

                         (1 + csc y)(− csc2 y)(dy/dx) − (cot y)(− csc y cot y)(dy/dx)
             10. 2x =                                                                 ,
                                                  (1 + csc y)2
                                                                    dy
                   2x(1 + csc y)2 = − csc y(csc y + csc2 y − cot2 y) ,
                                                                    dx
                                               dy       2x(1 + csc y)
                   but csc2 y − cot2 y = 1, so     =−
                                               dx           csc y

                   dy   3x d2 y   (4y)(3) − (3x)(4dy/dx)   12y − 12x(3x/(4y))   12y 2 − 9x2   −3(3x2 − 4y 2 )
             11.      =   ,   2
                                =              2
                                                         =            2
                                                                              =        3
                                                                                            =                 ,
                   dx   4y dx              16y                    16y              16y            16y 3
                                            d2 y   −3(7)     21
                   but 3x2 − 4y 2 = 7 so         =       =−
                                            dx2    16y 3    16y 3
                   dy    y
             12.      =     ,
                   dx   y−x
                                                                          y           y
                                                               (y − x)          −y       −1
                   d2 y   (y − x)(dy/dx) − y(dy/dx − 1)                  y−x         y−x
                        =                               =
                   dx 2              (y − x)2                               (y − x)2
                              y 2 − 2xy                        d2 y       3
                          =             but y 2 − 2xy = −3, so      =−
                              (y − x)3                         dx2     (y − x)3

                   dy                     dy            dy            dy    dy    2
             13.      = tan(πy/2) + x(π/2) sec2 (πy/2),    = 1 + (π/4) (2),    =
                   dx                     dx            dx            dx    dx   π−2
             14. Let P (x0 , y0 ) be the required point. The slope of the line 4x − 3y + 1 = 0 is 4/3 so the slope of
                 the tangent to y 2 = 2x3 at P must be −3/4. By implicit differentiation dy/dx = 3x2 /y, so at P ,
                 3x2 /y0 = −3/4, or y0 = −4x2 . But y0 = 2x3 because P is on the curve y 2 = 2x3 . Elimination of
                   0                             0
                                                         2
                                                               0
                 y0 gives 16x0 = 2x0 , x0 (8x0 − 1) = 0, so x0 = 0 or 1/8. From y0 = −4x2 it follows that y0 = 0
                               4       3   3
                                                                                             0
                 when x0 = 0, and y0 = −1/16 when x0 = 1/8. It does not follow, however, that (0, 0) is a solution
                 because dy/dx = 3x2 /y (the slope of the curve as determined by implicit differentiation) is valid
                 only if y = 0. Further analysis shows that the curve is tangent to the x-axis at (0, 0), so the point
                 (1/8, −1/16) is the only solution.
January 27, 2005 11:44      L24-ch04        Sheet number 23 Page number 149               black



              Review Exercises, Chapter 4                                                                                149


              15. Substitute y = mx into x2 + xy + y 2 = 4 to get x2 + mx2 + m2 x2 = 4, which has distinct solutions
                            √
                  x = ±2/ m2 + m + 1. They are distinct because m2 + m + 1 = (m + 1/2)2 + 3/4 ≥ 3/4, so
                  m2 + m + 1 is never zero.
                  Note that the points of intersection occur in pairs (x0 , y0 ) and (−x0 , y0 ). By implicit differentiation,
                  the slope of the tangent line to the ellipse is given by dy/dx = −(2x + y)/(x + 2y). Since the slope
                  is unchanged if we replace (x, y) with (−x, −y), it follows that the slopes are equal at the two point
                  of intersection.
                  Finally we must examine the special case x = 0 which cannot be written in the form y = mx. If
                  x = 0 then y = ±2, and the formula for dy/dx gives dy/dx = −1/2, so the slopes are equal.

              16. Use implicit differentiation to get dy/dx = (y − 3x2 )/(3y 2 − x), so dy/dx = 0 if y = 3x2 . Substitute
                                                                                          √                     √
                  this into x3 − xy + y 3 = 0 to obtain 27x6 − 2x3 = 0, x3 = 2/27, x = 3 2/3 and hence y = 3 4/3.

              17. By implicit differentiation, 3x2 − y − xy + 3y 2 y = 0, so y = (3x2 − y)/(x − 3y 2 ). This derivative
                  exists except when x = 3y 2 . Substituting this into the original equation x3 − xy + y 3 = 0, one has
                  27y 6 − 3y 3 + y 3 = 0, y 3 (27y 3 − 2) = 0. The unique solution in the first quadrant is
                  y = 21/3 /3, x = 3y 2 = 22/3 /3

              18. By implicit differentiation, dy/dx = k/(2y) so the slope of the tangent to y 2 = kx at (x0 , y0 ) is
                                                                                  k
                  k/(2y0 ) if y0 = 0. The tangent line in this case is y − y0 =      (x − x0 ), or 2y0 y − 2y0 = kx − kx0 .
                                                                                                             2
                                                                                 2y0
                  But y0 = kx0 because (x0 , y0 ) is on the curve y 2 = kx, so the equation of the tangent line becomes
                        2

                  2y0 y − 2kx0 = kx − kx0 which gives y0 y = k(x + x0 )/2. If y0 = 0, then x0 = 0; the graph of
                  y 2 = kx has a vertical tangent at (0, 0) so its equation is x = 0, but y0 y = k(x + x0 )/2 gives the
                  same result when x0 = y0 = 0.

                                                                                            1   2   3   4
              19. y = ln(x + 1) + 2 ln(x + 2) − 3 ln(x + 3) − 4 ln(x + 4), dy/dx =            +   −   −
                                                                                           x+1 x+2 x+3 x+4

                         1       1
              20. y =      ln x + ln(x + 1) − ln sin x + ln cos x, so
                         2       3
                    dy    1    1       cos x   sin x    5x + 3
                       =    +        −       −       =           − cot x − tan x
                    dx   2x 3(x + 1)   sin x   cos x   6x(x + 1)

                     1                                                                1         2 ln x
              21.      (2) = 1/x                                     22. 2(ln x)            =
                    2x                                                                x            x
                           1                                                    1                           1
              23.                                                    24. y =    3   ln(x + 1), y =
                    3x(ln x + 1)2/3                                                                      3(x + 1)

                                 ln ln x             1
              25. log10 ln x =           ,y =
                                  ln 10       (ln 10)(x ln x)

                         1 + ln x/ ln 10   ln 10 + ln x      (ln 10 − ln x)/x + (ln 10 + ln x)/x        2 ln 10
              26. y =                    =              ,y =                                     =
                         1 − ln x/ ln 10   ln 10 − ln x                 (ln 10 − ln x)2            x(ln 10 − ln x)2

                         3       1                  3   2x3
              27. y =      ln x + ln(1 + x4 ), y =    +
                         2       2                 2x (1 + x4 )

                         1                                     1   sin x   2x    1 − 3x2
              28. y =      ln x + ln cos x − ln(1 + x2 ), y =    −       −    =             − tan x
                         2                                    2x cos x 1 + x2   2x(1 + x2 )

              29. y = x2 + 1 so y = 2x.
January 27, 2005 11:44        L24-ch04                    Sheet number 24 Page number 150               black



             150                                                                                                                      Chapter 4


                              (1 + ex + e2x )                       dy     ex
             30. y = ln                            = − ln(1 − ex ),    =
                          (1 − ex )(1 + ex + e2x )                  dx   1 − ex
                              √
                               x
                                             √
                                              x       d √       √   √ √
             31. y = 2e            + 2xe                  x = 2e x + xe x
                                                     dx
                            abe−x                                                                  2
             32. y =                                                                33. y =
                         (1 + be−x )2                                                          π(1 + 4x2 )
                              −1                           ln 2       −1
             34. y = e(sin         x) ln 2
                                             ,y =√                2sin x
                                                           1−x  2


                                        y                  1          dy     x         1                      x
                                                                                                                  −1       x
             35. ln y = ex ln x,          = ex               + ln x ,    = xe ex         + ln x    = ex xe             + xe ln x
                                        y                  x          dx               x
                          ln(1 + x) y    x/(1 + x) − ln(1 + x)      1       ln(1 + x)
             36. ln y =            ,   =                       =          −           ,
                              x      y            x2             x(1 + x)      x2
                   dy  1                 (1 + x)(1/x)
                      = (1 + x)(1/x)−1 −              ln(1 + x)
                   dx  x                     x2
                                             2
             37. y =
                         |2x + 1| (2x + 1)2 − 1
                        1       d                  1        x
             38. y = √            cos−1 x2 = − √         √
                    2 cos−1 x2 dx                cos−1 x2 1 − x4
                                        1                   3    x      3x2       x4
             39. ln y = 3 ln x −          ln(x2 + 1), y /y = − 2   ,y=√       − 2
                                        2                   x x +1      x2 + 1 (x + 1)3/2

                          1                        y   1                         2x     2x                4x              4x              x2 − 1
                            (ln(x2 −1)−ln(x2 +1)),                                   −
                                                                                                                                      3
             40. ln y =                              =                                             =            so y =
                          3                        y   3                     x2   − 1 x2 + 1           3(x4− 1)        3(x4 − 1)          x2 + 1
                                                                                  dy  1 1   dy                  dy
             41. (b)          y                                            (c)       = − so    < 0 at x = 1 and    > 0 at x = e
                                                                                  dx  2 x   dx                  dx
                          6

                          4

                          2
                                                            x
                                   1   2         3    4

                   (d) The slope is a continuous function which goes from a negative value at x = 1 to a positive
                       value at x = e; therefore it must take the value zero between, by the Intermediate Value
                       Theorem.
                       dy
                   (e)     = 0 when x = 2
                       dx
                                                           dβ      10
             42. β = 10 log I − 10 log I0 ,                   =
                                                           dI   I ln 10
                          dβ                             1                                        dβ                       1
                   (a)                       =                db/W/m2                    (b)                      =               db/W/m2
                          dI       I=10I0            I0 ln 10                                     dI   I=100I0         10I0 ln 10
                          dβ                              1
                   (c)                           =                db/W/m2
                          dI       I=100I0            100I0 ln 10

                         dy     dx                        dy   dy dx             dx
             43. Solve       =3    given y = x ln x. Then    =       = (1 + ln x) , so 1 + ln x = 3, ln x = 2,
                          dt    dt                        dt   dx dt             dt
                   x = e2 .
January 27, 2005 11:44      L24-ch04         Sheet number 25 Page number 151           black



              Review Exercises, Chapter 4                                                                                   151


              44. x = 2, y = 0; y = −2x/(5 − x2 ) = −4 at x = 2, so y − 0 = −4(x − 2) or y = −4x + 8

                                                               1                                                y
              45. Set y = logb x and solve y = 1: y =               = 1 so
                                                             x ln b
                         1
                  x =        . The curves intersect when (x, x) lies on the
                        ln b                                                                                2
                  graph of y = logb x, so x = logb x. From Formula (8),                                                         x
                                         ln x                                                                           2
                  Section 1.6, logb x =       from which ln x = 1, x = e,
                                         ln b
                  ln b = 1/e, b = e1/e ≈ 1.4447.


                                                              √                                         y
              46. (a) Find the point of intersection: f (x) = x + k = ln x. The
                                                                                                    2
                                                 1            1 √
                      slopes are equal, so m1 = = m2 = √ , x = 2, x = 4.                                                    x
                                                 x           2 x
                                   √                                                                            2
                      Then ln 4 = 4 + k, k = ln 4 − 2.

                                                               k              1
                    (b) Since the slopes are equal m1 =        √ = m2 = , so                            y
                                                             2 x              x
                          √                                     √                                   2
                         k x = 2. At the point of intersection k x = ln x, 2 = ln x,                                        x
                         x = e2 , k = 2/e.                                                          0               5



              47. Where f is differentiable and f = 0, g must be differentiable; this can be inferred from the graphs.
                  In general, however, g need not be differentiable: consider f (x) = x3 , g(x) = x1/3 .

              48. (a) f (x) = −3/(x + 1)2 . If x = f (y) = 3/(y + 1) then y = f −1 (x) = (3/x) − 1, so
                           d −1        3            1          (f −1 (x) + 1)2    (3/x)2     3
                             f (x) = − 2 ; and      −1 (x))
                                                            =−                 =−        = − 2.
                          dx          x        f (f                   3              3      x
                                                                                                            d −1     2
                    (b) f (x) = ex/2 , f (x) = 1 ex/2 . If x = f (y) = ey/2 then y = f −1 (x) = 2 ln x, so
                                               2                                                              f (x) = ;
                                                                                                           dx        x
                                  1               −1                            2
                        and               = 2e−f (x)/2 = 2e− ln x = 2x−1 =
                             f (f −1 (x))                                      x

              49. Let P (x0 , y0 ) be a point on y = e3x then y0 = e3x0 . dy/dx = 3e3x so mtan = 3e3x0 at P and an
                  equation of the tangent line at P is y − y0 = 3e3x0 (x − x0 ), y − e3x0 = 3e3x0 (x − x0 ). If the line
                  passes through the origin then (0, 0) must satisfy the equation so −e3x0 = −3x0 e3x0 which gives
                  x0 = 1/3 and thus y0 = e. The point is (1/3, e).

                                              dy/dx            dy
              50. ln y = ln 5000 + 1.07x;           = 1.07, or    = 1.07y
                                                y              dx

                                              dy/dx                       dy
              51. ln y = 2x ln 3 + 7x ln 5;         = 2 ln 3 + 7 ln 5, or    = (2 ln 3 + 7 ln 5)y
                                                y                         dx

                    dk            q(T − T0 )             q          qk0        q(T − T0 )
              52.      = k0 exp −                   −          =−        exp −
                    dT              2T0 T               2T 2        2T 2         2T0 T

              53. y = aeax sin bx + beax cos bx and y = (a2 − b2 )eax sin bx + 2abeax cos bx, so y − 2ay + (a2 + b2 )y
                    = (a2 − b2 )eax sin bx + 2abeax cos bx − 2a(aeax sin bx + beax cos bx) + (a2 + b2 )eax sin bx = 0.
January 27, 2005 11:44        L24-ch04        Sheet number 26 Page number 152                       black



             152                                                                                                                  Chapter 4

                                  √                            √                                           1           −2x
             54. sin(tan−1 x) = x/ 1 + x2 and cos(tan−1 x) = 1/ 1 + x2 , and y =                               ,y =            , hence
                                                                                                        1 + x2      (1 + x2 )2
                                               −2x           x        1
                   y + 2 sin y cos3 y =                + 2√                   = 0.
                                            (1 + x2 )2      1+x2 (1 + x2 )3/2


             55. (a)     100




                         0                                 8
                             20

                   (b) as t tends to +∞, the population tends to 19
                                              95               95        95
                        lim P (t) = lim              =                 =    = 19
                       t→+∞          t→+∞ 5 − 4e−t/4   5 − 4 lim e−t/4   5
                                                                           t→+∞

                   (c) the rate of population growth tends to zero                              0
                                                                                            0                                 8




                                                                                             –80

                                              (1 + h)π − 1    d
             56. (a) y = (1 + x)π , lim                    =    (1 + x)π                = π(1 + x)π−1              =π
                                          h→0      h         dx                   x=0                        x=0

                                      1 − ln x                            1 − ln x     dy                            1/x      1
                   (b) Let y =                 . Then y(e) = 0, and lim              =                       =−            =−
                                        ln x                        x→e (x − e) ln x   dx                          (ln x)2    e
                                                                                                       x=e

             57. In the case +∞ − (−∞) the limit is +∞; in the case −∞ − (+∞) the limit is −∞, because
                 large positive (negative) quantities are added to large positive (negative) quantities. The cases
                 +∞ − (+∞) and −∞ − (−∞) are indeterminate; large numbers of opposite sign are subtracted,
                 and more information about the sizes is needed.

             58. (a) when the limit takes the form 0/0 or ∞/∞
                 (b) Not necessarily; only if lim f (x) = 0. Consider g(x) = x; lim g(x) = 0. For f (x) choose
                                                        x→a                                            x→0
                                                                cos x                     x2              |x|1/2
                         cos x, x , and |x|
                                  2           1/2
                                                    . Then: lim       does not exist, lim    = 0, and lim        = +∞.
                                                            x→0 x                     x→0 x           x→0 x2

                                                                 ex         ex       ex
             59.    lim (ex − x2 ) = lim x2 (ex /x2 − 1), but lim   = lim      = lim    = +∞
                   x→+∞             x→+∞                 x→+∞ x2       x→+∞ 2x  x→+∞ 2

                   so lim (ex /x2 − 1) = +∞ and thus lim x2 (ex /x2 − 1) = +∞
                     x→+∞                                           x→+∞


                         ln x       1/x  1                      ln x               ln x   1
             60.   lim        = lim     = ; lim                      =      lim         =
                   x→1 x4  − 1 x→1 4x 3  4 x→1                 x4 −1        x→1 x4   −1   2

                          (x2 + 2x)ex          (x2 + 2x)ex       (x2 + 4x + 2)ex   1
             61. = lim                   = lim             = lim                 =
                     x→0 6 sin 3x cos 3x   x→0   3 sin 6x    x→0     18 cos 6x     9

             62.   lim ax ln a = ln a
                   x→0

Chapter 04

  • 1.
    January 27, 200511:44 L24-ch04 Sheet number 1 Page number 127 black CHAPTER 4 Derivatives of Logarithmic, Exponential, and Inverse Trigonometric Functions EXERCISE SET 4.1 2 1. y = (2x − 5)1/3 ; dy/dx = (2x − 5)−2/3 3 1 −2/3 2 −2/3 2. dy/dx = 2 + tan(x2 ) sec2 (x2 )(2x) = x sec2 (x2 ) 2 + tan(x2 ) 3 3 −1/3 2 x+1 x − 2 − (x + 1) 2 3. dy/dx = =− 3 x−2 (x − 2)2 (x + 1)1/3 (x − 2)5/3 −1/2 −1/2 1 x2 + 1 d x2 + 1 1 x2 + 1 −12x 6x 4. dy/dx = = =− √ 2 x2 − 5 dx x2−5 2 x2 − 5 (x2 − 5)2 (x2 − 5)3/2 x2 + 1 2 1 2 5. dy/dx = x3 − (5x2 + 1)−5/3 (10x) + 3x2 (5x2 + 1)−2/3 = x (5x2 + 1)−5/3 (25x2 + 9) 3 3 √ 3 2x − 1 1 2 −4x + 3 6. dy/dx = − + = 2 x2 x 3(2x − 1)2/3 3x (2x − 1)2/3 5 15[sin(3/x)]3/2 cos(3/x) 7. dy/dx = [sin(3/x)]3/2 [cos(3/x)](−3/x2 ) = − 2 2x2 1 −3/2 3 2 −3/2 8. dy/dx = − cos(x3 ) − sin(x3 ) (3x2 ) = x sin(x3 ) cos(x3 ) 2 2 dy dy 6x2 − y − 1 9. (a) 1 + y + x − 6x2 = 0, = dx dx x 2 + 2x3 − x 2 dy 2 (b) y = = + 2x2 − 1, = − 2 + 4x x x dx x dy 1 1 1 1 2 2 (c) From Part (a), = 6x − − y = 6x − − + 2x2 − 1 = 4x − dx x x x x x x2 1 −1/2 dy dy √ 10. (a) y − cos x = 0 or = 2 y cos x 2 dx dx dy (b) y = (2 + sin x) = 4 + 4 sin x + sin2 x so 2 = 4 cos x + 2 sin x cos x dx dy √ (c) from Part (a), = 2 y cos x = 2 cos x(2 + sin x) = 4 cos x + 2 sin x cos x dx dy dy x 11. 2x + 2y = 0 so =− dx dx y dy dy dy 3y 2 − 3x y 2 − x2 12. 3x2 + 3y 2 = 3y 2 + 6xy , = 2 = 2 dx dx dx 3y − 6xy y − 2xy dy dy 13. x2 + 2xy + 3x(3y 2 ) + 3y 3 − 1 = 0 dx dx dy dy 1 − 2xy − 3y 3 (x2 + 9xy 2 ) = 1 − 2xy − 3y 3 so = dx dx x2 + 9xy 2 127
  • 2.
    January 27, 200511:44 L24-ch04 Sheet number 2 Page number 128 black 128 Chapter 4 dy dy 14. x3 (2y) + 3x2 y 2 − 5x2 − 10xy + 1 = 0 dx dx dy dy 10xy − 3x2 y 2 − 1 (2x3 y − 5x2 ) = 10xy − 3x2 y 2 − 1 so = dx dx 2x3 y − 5x2 dy 1 dy y 3/2 15. − − dx = 0, = − 3/2 2x3/2 2y 3/2 dx x (x − y)(1 + dy/dx) − (x + y)(1 − dy/dx) 16. 2x = , (x − y)2 dy dy x(x − y)2 + y 2x(x − y)2 = −2y + 2x so = dx dx x dy dy 1 − 2xy 2 cos(x2 y 2 ) 17. cos(x2 y 2 ) x2 (2y) + 2xy 2 = 1, = dx dx 2x2 y cos(x2 y 2 ) dy dy dy y 2 sin(xy 2 ) 18. − sin(xy 2 ) y 2 + 2xy = , =− dx dx dx 2xy sin(xy 2 ) + 1 dy dy 19. 3 tan2 (xy 2 + y) sec2 (xy 2 + y) 2xy + y2 + =1 dx dx dy 1 − 3y 2 tan2 (xy 2 + y) sec2 (xy 2 + y) so = dx 3(2xy + 1) tan2 (xy 2 + y) sec2 (xy 2 + y) (1 + sec y)[3xy 2 (dy/dx) + y 3 ] − xy 3 (sec y tan y)(dy/dx) dy 20. = 4y 3 , (1 + sec y)2 dx dy multiply through by (1 + sec y)2 and solve for to get dx dy y(1 + sec y) = dx 4y(1 + sec y)2 − 3x(1 + sec y) + xy sec y tan y 2 dy dy 2x dy d2 y 21. 4x − 6y = 0, = , 4−6 − 6y = 0, dx dx 3y dx dx2 2 d2 y 3 dy dx −2 2(3y 2 − 2x2 ) 8 =− = =− 3 dx2 3y 9y 3 9y dy x2 d2 y y 2 (2x) − x2 (2ydy/dx) 2xy 2 − 2x2 y(−x2 /y 2 ) 2x(y 3 + x3 ) 22. = − 2, =− =− =− , dx y dx2 y4 y4 y5 d2 y 2x but x3 + y 3 = 1 so =− 5 dx2 y dy y d2 y x(dy/dx) − y(1) x(−y/x) − y 2y 23. =− , =− =− = 2 dx x dx2 x2 x2 x 2 dy dy dy y dy d2 y dy d2 y d2 y 2y(x + y) 24. y + x + 2y = 0, =− ,2 +x 2 +2 + 2y 2 = 0, = dx dx dx x + 2y dx dx dx dx dx2 (x + 2y)3 dy d2 y dy sin y 25. = (1 + cos y)−1 , = −(1 + cos y)−2 (− sin y) = dx dx2 dx (1 + cos y)3
  • 3.
    January 27, 200511:44 L24-ch04 Sheet number 3 Page number 129 black Exercise Set 4.1 129 dy cos y 26. = , dx 1 + x sin y d2 y (1 + x sin y)(− sin y)(dy/dx) − (cos y)[(x cos y)(dy/dx) + sin y] = dx2 (1 + x sin y)2 2 sin y cos y + (x cos y)(2 sin2 y + cos2 y) =− , (1 + x sin y)3 but x cos y = y, 2 sin y cos y = sin 2y, and sin2 y + cos2 y = 1 so d2 y sin 2y + y(sin2 y + 1) =− dx2 (1 + x sin y)3 dy x √ dy √ 27. By implicit differentiation, 2x + 2y(dy/dx) = 0, = − ; at (1/2, 3/2), = − 3/3; at dx y dx √ dy √ √ dy −x (1/2, − 3/2), = + 3/3. Directly, at the upper point y = 1 − x 2, = √ = dx dx 1 − x2 1/2 √ √ dy x √ − = −1/ 3 and at the lower point y = − 1 − x2 , =√ = +1/ 3. 3/4 dx 1−x 2 √ √ 28. If y 2 − x + 1 = 0, then y = x − 1 goes through the point (10, 3) so dy/dx = 1/(2 x − √ By1). implicit differentiation dy/dx = 1/(2y). In both cases, dy/dx|(10,3) = 1/6. Similarly y = − x − 1 √ goes through (10, −3) so dy/dx = −1/(2 x − 1) = −1/6 which yields dy/dx = 1/(2y) = −1/6. dy dy x3 1 29. 4x3 + 4y 3 = 0, so = − 3 = − 3/4 ≈ −0.1312. dx dx y 15 dy dy dy dy y+1 30. 3y 2 + x2 + 2xy + 2x − 6y = 0, so = −2x 2 = 0 at x = 0 dx dx dx dx 3y + x2 − 6y dy dy 31. 4(x2 + y 2 ) 2x + 2y = 25 2x − 2y , dx dx dy x[25 − 4(x2 + y 2 )] dy = ; at (3, 1) = −9/13 dx y[25 + 4(x2 + y 2 )] dx 2 dy dy y 1/3 √ √ 32. x−1/3 + y −1/3 = 0, = − 1/3 = 3 at (−1, 3 3) 3 dx dx x da da da da 2t3 + 3a2 33. 4a3 − 4t3 = 6 a2 + 2at , solve for to get = 3 dt dt dt dt 2a − 6at √ 1 −1/2 du 1 −1/2 du u 34. u + v = 0 so = −√ 2 dv 2 dv v dω dω b2 λ dx dx 1 35. 2a2 ω + 2b2 λ = 0 so =− 2 36. 1 = (cos x) so = = sec x dλ dλ a ω dy dy cos x
  • 4.
    January 27, 200511:44 L24-ch04 Sheet number 4 Page number 130 black 130 Chapter 4 37. (a) y 2 x –4 4 –2 dy dy (b) Implicit differentiation of the equation of the curve yields (4y 3 + 2y) = 2x − 1 so =0 dx dx only if x = 1/2 but y 4 + y 2 ≥ 0, so x = 1/2 is impossible. 1± 1 + 4y 2 + 4y 4 (c) x2 − x − (y 4 + y 2 ) = 0, so by the Quadratic Formula x = = 1 + y 2 , −y 2 2 which gives the parabolas x = 1 + y 2 , x = −y 2 . 38. (a) y 2 x 0 1 2 –2 dy dy (b) 2y = (x − a)(x − b) + x(x − b) + x(x − a) = 3x2 − 2(a + b)x + ab. If = 0 then dx dx 3x2 − 2(a + b)x + ab = 0. By the Quadratic Formula 2(a + b) ± 4(a + b)2 − 4 · 3ab 1 x= = a + b ± (a2 + b2 − ab)1/2 . 6 3 (c) y = ± x(x − a)(x − b). The square root is only defined for nonnegative arguments, so it is necessary that all three of the factors x, x − a, x − b be nonnegative, or that two of them be nonpositive. If, for example, 0 < a < b then the function is defined on the disjoint intervals 0 < x < a and b < x < +∞, so there are two parts. 39. (a) y (b) x ≈ ±1.1547 2 x –2 2 –2 dy dy dy y − 2x dy (c) Implicit differentiation yields 2x − x − y + 2y = 0. Solve for = . If =0 dx dx dx 2y − x dx 2 then y − 2x = 0 or y = 2x. Thus 4 = x2 − xy + y 2 = x2 − 2x2 + 4x2 = 3x2 , x = ± √ . 3 40. (a) See Exercise 39 (a) (b) Since the equation is symmetric in x and y, we obtain, as in Exercise 39, x ≈ ±1.1547.
  • 5.
    January 27, 200511:44 L24-ch04 Sheet number 5 Page number 131 black Exercise Set 4.1 131 dy dy dx 2y − x dx (c) Implicit differentiation yields 2x − x − y + 2y = 0. Solve for = . If =0 dx dx dy y − 2x dy 2 4 then 2y − x = 0 or x = 2y. Thus 4 = 4y 2 − 2y 2 + y 2 = 3y 2 , y = ± √ , x = 2y = ± √ . 3 3 41. Solve the simultaneous equations y = x, x2 −xy+y 2 = 4 to get x2 −x2 +x2 = 4, x = ±2, y = x = ±2, so the points of intersection are (2, 2) and (−2, −2). dy y − 2x dy dy From Exercise 39 part (c), = . When x = y = 2, = −1; when x = y = −2, = −1; dx 2y − x dx dx the slopes are equal. 42. Suppose a2 − 2ab + b2 = 4. Then (−a)2 − 2(−a)(−b) + (−b)2 = a2 − 2ab + b2 = 4 so if P (a, b) lies on C then so does Q(−a, −b). dy y − 2x dy b − 2a From Exercise 39 part (c), = . When x = a, y = b then = , and when dx 2y − x dx 2b − a dy b − 2a x = −a, y = −b, then = , so the slopes at P and Q are equal. dx 2b − a 43. The point (1,1) is on the graph, so 1 + a = b. The slope of the tangent line at (1,1) is −4/3; use dy 2xy 2 4 implicit differentiation to get =− 2 so at (1,1), − = − , 1 + 2a = 3/2, a = 1/4 dx x + 2ay 1 + 2a 3 and hence b = 1 + 1/4 = 5/4. 44. The slope of the line x + 2y − 2 = 0 is m1 = −1/2, so the line perpendicular has slope m = 2 (negative reciprocal). The slope of the curve y 3 = 2x2 can be obtained by implicit differentiation: dy dy 4x dy 4x 3y 2 = 4x, = 2 . Set = 2; 2 = 2, x = (3/2)y 2 . Use this in the equation of the curve: dx dx 3y dx 3y 2 3 2 2 y 3 = 2x2 = 2((3/2)y 2 )2 = (9/2)y 4 , y = 2/9, x = = . 2 9 27 45. (a) y (b) x ≈ 0.84 2 x –3 –1 2 –1 –3 (c) Use implicit differentiation to get dy/dx = (2y −3x2 )/(3y 2 −2x), so dy/dx = 0 if y = (3/2)x2 . Substitute this into x3 − 2xy + y 3 = 0 to obtain 27x6 − 16x3 = 0, x3 = 16/27, x = 24/3 /3 and hence y = 25/3 /3. 46. (a) y (b) Evidently the tangent line at the point 2 x = 1, y = 1 has slope −1. x –3 –1 2 –1 –3
  • 6.
    January 27, 200511:44 L24-ch04 Sheet number 6 Page number 132 black 132 Chapter 4 (c) Use implicit differentiation to get dy/dx = (2y −3x2 )/(3y 2 −2x), so dy/dx = −1 if 2y −3x2 = −3y 2 +2x, 2(y−x)+3(y−x)(y+x) = 0. One solution is y = x; this together with x3 +y 3 = 2xy yields x = y = 1. For these values dy/dx = −1, so that (1, 1) is a solution. To prove that there is no other solution, suppose y = x. From dy/dx = −1 it follows that 2(y − x) + 3(y − x)(y + x) = 0. But y = x, so x + y = −2/3. Then x3 + y 3 = (x + y)(x2 − xy + y 2 ) = 2xy, so replacing x + y with −2/3 we get x2 + 2xy + y 2 = 0, or (x + y)2 = 0, so y = −x. Substitute that into x3 + y 3 = 2xy to obtain x3 − x3 = −2x2 , x = 0. But at x = y = 0 the derivative is not defined. 47. (a) The curve is the circle (x − 2)2 + y 2 = 1 about the point (2, 0) of radius 1. One tangent line is tangent at a point P(x,y) in the first quadrant. Let Q(2, 0) be the center of the circle. Then OP Q is a right angle, with sides |P Q| = r = 1 and |OP | = x2 + y 2 . By the Pythagorean Theorem x2 + y 2 + 12 = 22 . Substitute this into (x − 2)2 + y 2 = 1 to √ √ obtain √ − 4x + 4 = 1, x = 3/2, y = 3 − x2 = 3/2. So the required tangent lines are 3 y = ±( 3/3)x. (b) Let P (x0 , y0 ) be a point where a line through the origin is tangent to the curve x2 − 4x + y 2 + 3 = 0. Implicit differentiation applied to the equation of the curve gives dy/dx = (2 − x)/y. At P the slope of the curve must equal the slope of the line so (2 − x0 )/y0 = y0 /x0 , or y0 = 2x0 − x2 . But x2 − 4x0 + y0 + 3 = 0 because (x0 , y0 ) is on the 2 0 0 2 curve, and elimination of y0 in the latter two equations gives x2 − 4x0 + (2x0 − x√) + 3 = 0, 2 0 2 0 x0 = 3/2 which when substituted into y0 =√ 0 − x0 yields y0 = 3/4, so y0 = ± 3/2. The √ 2 2x 2 2 √ slopes of the lines are (± 3/2)/(3/2) = ± 3/3 and their equations are y = ( 3/3)x and √ y = −( 3/3)x. 48. Let P (x0 , y0 ) be a point where a line through the origin is tangent to the curve 2x2 − 4x + y 2 + 1 = 0. Implicit differentiation applied to the equation of the curve gives dy/dx = (2 − 2x)/y. At P the slope of the curve must equal the slope of the line so (2 − 2x0 )/y0 = y0 /x0 , or y0 = 2x0 (1 − x0 ). But 2x2 − 4x0 + y0 + 1 = 0 because (x0 , y0 ) is on the 2 0 2 curve, and elimination of y0 in the latter two equations gives 2x0 = 4x0 − 1, x0 = 1/2 which when 2 √ substituted into y0 = 2x0 (1 − x0 ) yields y0 = 1/2, √ y0 = ± 2/2. The slopes of the lines are √ 2 √ 2 so √ (± 2/2)/(1/2) = ± 2 and their equations are y = 2x and y = − 2x. 49. The linear equation axr−1 x + by0 y = c is the equation of a line . Implicit differentiation of the 0 r−1 dy dy axr−1 equation of the curve yields raxr−1 + rby r−1 = 0, = − r−1 . At the point (x0 , y0 ) the slope dx dx by axr−1 of the line must be − r−1 , which is the slope of . Moreover, the equation of is satisfied by 0 by0 the point (x0 , y0 ), so this point lies on . By the point-slope formula, must be the line tangent to the curve at (x0 , y0 ). dy 50. Implicit differentiation of the equation of the curve yields rxr−1 + ry r−1 = 0. At the point (1, 1) dy dy dx this becomes r + r = 0, = −1. dx dx dy dy dt 51. By the chain rule, = . Use implicit differentiation on 2y 3 t + t3 y = 1 to get dx dt dx dy 2y 3 + 3t2 y dt 1 dy 2y 3 + 3t2 y =− , but = so =− . dt 6ty 2 + t3 dx cos t dx (6ty 2 + t3 ) cos t 4 1/3 4 52. (a) f (x) = x , f (x) = x−2/3 3 9 7 4/3 28 1/3 28 −2/3 (b) f (x) = x , f (x) = x , f (x) = x 3 9 27 (c) generalize parts (a) and (b) with k = (n − 1) + 1/3 = n − 2/3
  • 7.
    January 27, 200511:44 L24-ch04 Sheet number 7 Page number 133 black Exercise Set 4.2 133 53. y = rxr−1 , y = r(r − 1)xr−2 so 3x2 r(r − 1)xr−2 + 4x rxr−1 − 2xr = 0, 3r(r − 1)xr + 4rxr − 2xr = 0, (3r2 + r − 2)xr = 0, 3r2 + r − 2 = 0, (3r − 2)(r + 1) = 0; r = −1, 2/3 54. y = rxr−1 , y = r(r − 1)xr−2 so 16x2 r(r − 1)xr−2 + 24x rxr−1 + xr = 0, 16r(r − 1)xr + 24rxr + xr = 0, (16r2 + 8r + 1)xr = 0, 16r2 + 8r + 1 = 0, (4r + 1)2 = 0; r = −1/4 55. We shall find when the curves intersect and check that the slopes are negative reciprocals. For the intersection solve the simultaneous equations x2 + (y − c)2 = c2 and (x − k)2 + y 2 = k 2 to obtain 1 y−c x−k cy = kx = (x2 + y 2 ). Thus x2 + y 2 = cy + kx, or y 2 − cy = −x2 + kx, and =− . 2 x y dy x dy x−k Differentiating the two families yields (black) =− , and (gray) =− . But it was dx y−c dx y proven that these quantities are negative reciprocals of each other. dy dy 56. Differentiating, we get the equations (black) x + y = 0 and (gray) 2x − 2y = 0. The first dx dx y x says the (black) slope is = − and the second says the (gray) slope is , and these are negative x y reciprocals of each other. EXERCISE SET 4.2 1 1 1 1 1 1. (5) = 2. = 5x x x/3 3 x 1 1 1 1 3. 4. √ √ = √ √ 1+x 2+ x 2 x 2 x(2 + x) 1 2x 3x2 − 14x 5. 2−1 (2x) = 2 6. x x −1 x3 − 7x2 − 3 1 (1 + x2 )(1) − x(2x) 1 − x2 7. 2) 2 )2 = x/(1 + x (1 + x x(1 + x2 ) 1 1−x+1+x 2 d d 2 8. = 9. (2 ln x) = 2 ln x = (1 + x)/(1 − x) (1 − x)2 1 − x2 dx dx x 1 1 1 1 (ln x)−1/2 2 10. 3 (ln x) 11. = √ x 2 x 2x ln x 1 1 1 1 12. √ √ = 13. ln x + x = 1 + ln x x2 x 2x x 1 2x2 14. x3 + (3x2 ) ln x = x2 (1 + 3 ln x) 15. 2x log2 (3 − 2x) − x (3 − 2x) ln 2 3 2 2x − 2 16. log2 (x2 − 2x) + 3x log2 (x2 − 2x) (x2 − 2x) ln 2
  • 8.
    January 27, 200511:44 L24-ch04 Sheet number 8 Page number 134 black 134 Chapter 4 2x(1 + log x) − x/(ln 10) 17. 18. 1/[x(ln 10)(1 + log x)2 ] (1 + log x)2 1 1 1 1 1 1 19. = 20. ln x x x ln x ln(ln(x)) ln x x 1 1 21. (sec2 x) = sec x csc x 22. (− sin x) = − tan x tan x cos x 1 1 sin(2 ln x) sin(ln x2 ) 23. − sin(ln x) 24. 2 sin(ln x) cos(ln x) = = x x x x 1 cot x 25. 2 (2 sin x cos x) = 2 ln 10 ln 10 sin x 1 2 sin x cos x 2 tan x 26. (−2 sin x cos x) = − =− (ln 10)(1 − sin x) 2 (ln 10) cos 2x ln 10 d 3 8x 11x2 − 8x + 3 27. 3 ln(x − 1) + 4 ln(x2 + 1) = + 2 = dx x−1 x +1 (x − 1)(x2 + 1) d 1 2x3 28. [2 ln cos x + ln(1 + x4 )] = −2 tan x + dx 2 1 + x4 d 1 3x 29. ln cos x − ln(4 − 3x2 ) = − tan x + dx 2 4 − 3x2 d 1 1 1 1 30. [ln(x − 1) − ln(x + 1)] = − dx 2 2 x−1 x+1 1 dy 1 2x 31. ln |y| = ln |x| + ln |1 + x2 |, 3 = x 1 + x2 + 3 dx x 3(1 + x2 ) 1 dy 1 x−1 1 1 32. ln |y| = [ln |x − 1| − ln |x + 1|], = 5 − 5 dx 5 x+1 x−1 x+1 1 1 33. ln |y| = ln |x2 − 8| + ln |x3 + 1| − ln |x6 − 7x + 5| 3 2 √ dy (x2 − 8)1/3 x3 + 1 2x 3x2 6x5 − 7 = + − 6 dx x6 − 7x + 5 3(x2 − 8) 2(x3 + 1) x − 7x + 5 1 34. ln |y| = ln | sin x| + ln | cos x| + 3 ln | tan x| − ln |x| 2 dy sin x cos x tan3 x 3 sec2 x 1 = √ cot x − tan x + − dx x tan x 2x √ √ √ 1 dy 10 dy 10 35. f (x) = ex e−1 36. ln y = − 10 ln x, =− , =− √ y dx x dx x1+ 10 ln e 1 d 1 37. (a) logx e = = , [logx e] = − ln x ln x dx x(ln x)2 ln 2 d ln 2 (b) logx 2 = , [logx 2] = − ln x dx x(ln x)2
  • 9.
    January 27, 200511:44 L24-ch04 Sheet number 9 Page number 135 black Exercise Set 4.2 135 ln b ln e 1 38. (a) From loga b = for a, b > 0 it follows that log(1/x) e = =− , hence ln a ln(1/x) ln x d 1 log(1/x) e = dx x(ln x)2 ln e 1 d 1 1 1 (b) log(ln x) e = = , so log(ln x) e = − =− ln(ln x) ln(ln x) dx (ln(ln x))2 x ln x x(ln x)(ln(ln x))2 1 39. f (x0 ) = f (e−1 ) = −1, f (x) = , f (x0 ) = e, y − (−1) = e(x − 1/e) = ex − 1, y = ex − 2 x dy 1 40. y0 = log 10 = 1, y = log x = (log e) ln x, = log e , dx x=10 10 log e log e y−1= (x − 10), y = x + 1 − log e 10 10 1 1 1 41. f (x0 ) = f (−e) = 1, f (x) =− , 42. y − ln 2 = − (x + 2), y = − x + ln 2 − 1 x=−e e 2 2 1 1 y − 1 = − (x + e), y = − x e e 43. Let the equation of the tangent line be y = mx and suppose that it meets the curve at (x0 , y0 ). 1 1 1 ln x0 1 Then m = = and y0 = mx0 = ln x0 . So m = = and ln x0 = 1, x0 = e, m = x x=x0 x0 x0 x0 e 1 and the equation of the tangent line is y = x. e 44. Let y = mx + b be a line tangent to the curve at (x0 , y0 ). Then b is the y-intercept and the 1 slope of the tangent line is m = . Moreover, at the point of tangency, mx0 + b = ln x0 or x0 1 x0 + b = ln x0 , b = ln x0 − 1, as required. x0 y 45. The area of the triangle P QR, given by |P Q||QR|/2 is required. |P Q| = w, and, by Exercise 44, |QR| = 1, so 1 P (w, ln w) area = w/2. Q x w 2 R –2 46. Since y = 2 ln x, let y = 2z; then z = ln x and we apply the result of Exercise 45 to find that the area is, in the x-z plane, w/2. In the x-y plane, since y = 2z, the vertical dimension gets doubled, so the area is w. dy 1 dy 1 47. If x = 0 then y = ln e = 1, and = . But ey = x + e, so = y = e−y . dx x+e dx e dy 1 . But ey = e− ln(e −x) = (e2 − x)−1 , so 2 48. When x = 0, y = − ln(e2 ) = −2. Next, = 2 dx e −x dy = ey . dx
  • 10.
    January 27, 200511:44 L24-ch04 Sheet number 10 Page number 136 black 136 Chapter 4 dy 1 49. Let y = ln(x + a). Following Exercise 47 we get = = e−y , and when x = 0, y = ln(a) = 0 dx x+a if a = 1, so let a = 1, then y = ln(x + 1). dy 1 1 dy 50. Let y = − ln(a − x), then = . But ey = , so = ey . dx a−x a−x dx If x = 0 then y = − ln(a) = − ln 2 provided a = 2, so y = − ln(2 − x). ln(e2 + ∆x) − 2 d 1 51. (a) f (x) = ln x; f (e2 ) = lim = (ln x) = = e−2 ∆x→0 ∆x dx x=e2 x x=e2 ln(1 + h) − ln 1 ln(1 + h) 1 (b) f (w) = ln w; f (1) = lim = lim = =1 h→0 h h→0 h w w=1 f (x) − f (0) 52. (a) Let f (x) = ln(cos x), then f (0) = ln(cos 0) = ln 1 = 0, so f (0) = lim = x→0 x ln(cos x) lim , and f (0) = − tan 0 = 0. x→0 x √ √ 2 f (1 + h) − f (1) (1 + h) 2 −1 (b) Let f (x) = x , then f (1) = 1, so f (1) = lim = lim , and √ √ √ h→0 h h→0 h f (x) = 2x 2−1 , f (1) = 2. d logb (x + h) − logb (x) 53. [logb x] = lim dx h→0 h 1 x+h = lim logb Theorem 1.6.2(b) h→0 h x 1 h = lim logb 1 + h→0 h x 1 = lim logb (1 + v) Let v = h/x and note that v → 0 as h → 0 v→0 vx 1 1 = lim logb (1 + v) h and v are variable, whereas x is constant x v→0 v 1 = lim log (1 + v)1/v Theorem 1.6.2.(c) x v→0 b 1 = logb lim (1 + v)1/v Theorem 2.5.5 x v→0 1 = logb e Formula 7 of Section 7.1 x EXERCISE SET 4.3 1. (a) f (x) = 5x4 + 3x2 + 1 ≥ 1 so f is one-to-one on −∞ < x < +∞. d −1 1 1 1 (b) f (1) = 3 so 1 = f −1 (3); f (x) = −1 (x)) , (f −1 ) (3) = = dx f (f f (1) 9 2. (a) f (x) = 3x2 + 2ex ; for −1 < x < 1, f (x) ≥ 2e−1 = 2/e, and for |x| > 1, f (x) ≥ 3x2 ≥ 3, so f is increasing and one-to-one d −1 1 1 1 (b) f (0) = 2 so 0 = f −1 (2); f (x) = , (f −1 ) (2) = = dx f (f −1 (x)) f (0) 2
  • 11.
    January 27, 200511:44 L24-ch04 Sheet number 11 Page number 137 black Exercise Set 4.3 137 2 d −1 2 3. f −1 (x) = − 3, so directly f (x) = − 2 . Using Formula (1), x dx x −2 1 f (x) = , so = −(1/2)(f −1 (x) + 3)2 , (x + 3)2 f (f −1 (x)) 2 d −1 2 2 f (x) = −(1/2) =− dx x x2 ex − 1 d −1 ex 2 4. f −1 (x) = , so directly, f (x) = . Next, f (x) = , and using Formula (1), 2 dx 2 2x + 1 d −1 2f −1 (x) + 1 ex f (x) = = dx 2 2 5. (a) f (x) = 2x + 8; f < 0 on (−∞, −4) and f > 0 on (−4, +∞); not enough information. By inspection, f (1) = 10 = f (−9), so not one-to-one (b) f (x) = 10x4 + 3x2 + 3 ≥ 3 > 0; f (x) is positive for all x, so f is one-to-one (c) f (x) = 2 + cos x ≥ 1 > 0 for all x, so f is one-to-one x (d) f (x) = −(ln 2) 1 < 0 because ln 2 > 0, so f is one-to-one for all x. 2 6. (a) f (x) = 3x2 + 6x = x(3x + 6) changes sign at x = −2, 0, so √ enough information; by not √ observation (of the graph, and using some guesswork), f (−1 + 3) = −6 = f (−1 − 3), so f is not one-to-one. (b) f (x) = 5x4 + 24x2 + 2 ≥ 2 > 0; f is positive for all x, so f is one-to-one 1 (c) f (x) = ; f is one-to-one because: (x + 1)2 if x1 < x2 < −1 then f > 0 on [x1 , x2 ], so f (x1 ) = f (x2 ) if −1 < x1 < x2 then f > 0 on [x1 , x2 ], so f (x1 ) = f (x2 ) if x1 < −1 < x2 then f (x1 ) > 1 > f (x2 ) since f (x) > 1 on (−∞, −1) and f (x) < 1 on (−1, +∞) d 1 (d) Note that f (x) is only defined for x > 0. logb x = , which is always negative dx x ln b (0 < b < 1), so f is one-to-one. dx dy 1 7. y = f −1 (x), x = f (y) = 5y 3 + y − 7, = 15y 2 + 1, = ; dy dx 15y 2 + 1 dy dy dy 1 check: 1 = 15y 2 + , = 2+1 dx dx dx 15y dx dy 8. y = f −1 (x), x = f (y) = 1/y 2 , = −2y −3 , = −y 3 /2; dy dx dy dy check: 1 = −2y −3 , = −y 3 /2 dx dx dx dy 1 9. y = f −1 (x), x = f (y) = 2y 5 + y 3 + 1, = 10y 4 + 3y 2 , = 4 + 3y 2 ; dy dx 10y dy dy dy 1 check: 1 = 10y 4 + 3y 2 , = dx dx dx 10y 4 + 3y 2 dx dy 1 10. y = f −1 (x), x = f (y) = 5y − sin 2y, = 5 − 2 cos 2y, = ; dy dx 5 − 2 cos 2y dy dy 1 check: 1 = (5 − 2 cos 2y) , = dx dx 5 − 2 cos 2y
  • 12.
    January 27, 200511:44 L24-ch04 Sheet number 12 Page number 138 black 138 Chapter 4 12. −10xe−5x 2 11. 7e7x 1 1/x 13. x3 ex + 3x2 ex = x2 ex (x + 3) 14. − e x2 dy (ex + e−x )(ex + e−x ) − (ex − e−x )(ex − e−x ) 15. = dx (ex + e−x )2 (e2x + 2 + e−2x ) − (e2x − 2 + e−2x ) = = 4/(ex + e−x )2 (ex + e−x )2 16. ex cos(ex ) dy (ln x)ex − ex (1/x) ex (x ln x − 1) 17. (x sec2 x + tan x)ex tan x 18. = = dx (ln x)2 x(ln x)2 15 2 x (1 + 5x3 )−1/2 exp( 1 + 5x3 ) 3x 19. (1 − 3e3x )e(x−e ) 20. 2 (x − 1)e−x x−1 1 21. = x 22. [− sin(ex )]ex = −ex tan(ex ) 1 − xe−x e −x cos(ex ) 1 23. f (x) = 2x ln 2; y = 2x , ln y = x ln 2, y = ln 2, y = y ln 2 = 2x ln 2 y 1 24. f (x) = −3−x ln 3; y = 3−x , ln y = −x ln 3, y = − ln 3, y = −y ln 3 = −3−x ln 3 y 25. f (x) = π sin x (ln π) cos x; 1 y = π sin x , ln y = (sin x) ln π, y = (ln π) cos x, y = π sin x (ln π) cos x y 26. f (x) = π x tan x (ln π)(x sec2 x + tan x); 1 y = π x tan x , ln y = (x tan x) ln π, y = (ln π)(x sec2 x + tan x) y y = π x tan x (ln π)(x sec2 x + tan x) 1 dy 3x2 − 2 1 27. ln y = (ln x) ln(x3 − 2x), = 3 ln x + ln(x3 − 2x), y dx x − 2x x dy 3x2 − 2 1 = (x3 − 2x)ln x 3 ln x + ln(x3 − 2x) dx x − 2x x 1 dy sin x dy sin x 28. ln y = (sin x) ln x, = + (cos x) ln x, = xsin x + (cos x) ln x y dx x dx x 1 dy 1 29. ln y = (tan x) ln(ln x), = tan x + (sec2 x) ln(ln x), y dx x ln x dy tan x = (ln x)tan x + (sec2 x) ln(ln x) dx x ln x
  • 13.
    January 27, 200511:44 L24-ch04 Sheet number 13 Page number 139 black Exercise Set 4.3 139 1 dy 2x 1 30. ln y = (ln x) ln(x2 + 3), = 2 ln x + ln(x2 + 3), y dx x +3 x dy 2x 1 = (x2 + 3)ln x 2 ln x + ln(x2 + 3) dx x +3 x 31. f (x) = exe−1 32. (a) because xx is not of the form ax where a is constant 1 (b) y = xx , ln y = x ln x, y = 1 + ln x, y = xx (1 + ln x) y 3 3 1/2 1 33. =√ 34. − =− 1− (3x)2 1 − 9x2 1− x+1 2 4 − (x + 1)2 2 1 1 sin x sin x 1, sin x > 0 35. (−1/x2 ) = − √ 36. √ = = 1 − 1/x2 |x| x2 − 1 1 − cos2 x | sin x| −1, sin x < 0 3x2 3x2 5x4 5 37. = 38. = √ 1 + (x3 )2 1 + x6 |x5 | (x5 )2 − 1 |x| x10 − 1 39. y = 1/ tan x = cot x, dy/dx = − csc2 x 1 40. y = (tan−1 x)−1 , dy/dx = −(tan−1 x)−2 1 + x2 ex 1 41. √ + ex sec−1 x 42. − √ |x| x2 − 1 (cos−1 x) 1 − x2 3x2 (sin−1 x)2 43. 0 44. √ + 2x(sin−1 x)3 1 − x2 √ 45. 0 46. −1/ e2x − 1 1 1 −1/2 1 1 47. − x =− √ 48. − √ 1+x 2 2(1 + x) x −1 2 cot x(1 + x2 ) 49. (a) Let x = f (y) = cot y, 0 < y < π, −∞ < x < +∞. Then f is differentiable and one-to-one and f (f −1 (x)) = − csc2 (cot−1 x) = −x2 − 1 = 0, and d 1 1 [cot−1 x] = lim = − lim 2 = −1. dx x=0 x→0 f (f −1 (x)) x→0 x + 1 (b) If x = 0 then, from Exercise 50(a) of Section 1.5, d d 1 1 1 1 cot−1 x = tan−1 = − 2 =− 2 . For x = 0, Part (a) shows the same; dx dx x x 1 + (1/x)2 x +1 d 1 thus for −∞ < x < +∞, [cot−1 x] = − 2 . dx x +1 d 1 du (c) For −∞ < u < +∞, by the chain rule it follows that [cot−1 u] = − 2 . dx u + 1 dx
  • 14.
    January 27, 200511:44 L24-ch04 Sheet number 14 Page number 140 black 140 Chapter 4 d d 1 1 1 −1 50. (a) By the chain rule, [csc−1 x] = sin−1 = − 2 = √ dx dx x x 1− (1/x)2 |x| x2 − 1 d du d −1 du (b) By the chain rule, [csc−1 u] = [csc−1 u] = √ dx dx du |u| u2 − 1 dx x (3x2 + tan−1 y)(1 + y 2 ) 51. x3 + x tan−1 y = ey , 3x2 + y + tan−1 y = ey y , y = 1+y 2 (1 + y 2 )ey − x 1 1 52. sin−1 (xy) = cos−1 (x − y), (xy + y) = − (1 − y ), 1− x2 y 2 1 − (x − y)2 y 1 − (x − y)2 + 1 − x2 y 2 y = 1 − x2 y 2 − x 1 − (x − y)2 53. (a) f (x) = x3 − 3x2 + 2x = x(x − 1)(x − 2) so f (0) = f (1) = f (2) = 0 thus f is not one-to-one. √ 6 ± 36 − 24 √ (b) f (x) = 3x − 6x + 2, f (x) = 0 when x = 2 = 1 ± 3/3. f (x) > 0 (f is √ 6 √ √ increasing) if x < 1 − 3/3, f (x) < 0 (f is decreasing) if 1 − 3/3 < x < 1 + 3/3, so f (x) √ √ √ takes on values less than f (1 − 3/3) on both sides of 1 − 3/3 thus 1 − 3/3 is the largest value of k. 54. (a) f (x) = x3 (x − 2) so f (0) = f (2) = 0 thus f is not one to one. (b) f (x) = 4x3 − 6x2 = 4x2 (x − 3/2), f (x) = 0 when x = 0 or 3/2; f is decreasing on (−∞, 3/2] and increasing on [3/2, +∞) so 3/2 is the smallest value of k. 55. (a) f (x) = 4x3 + 3x2 = (4x + 3)x2 = 0 only at x = 0. But on [0, 2], f has no sign change, so f is one-to-one. (b) F (x) = 2f (2g(x))g (x) so F (3) = 2f (2g(3))g (3). By inspection f (1) = 3, so g(3) = f −1 (3) = 1 and g (3) = (f −1 ) (3) = 1/f (f −1 (3)) = 1/f (1) = 1/7 because f (x) = 4x3 + 3x2 . Thus F (3) = 2f (2)(1/7) = 2(44)(1/7) = 88/7. F (3) = f (2g(3)) = f (2·1) = f (2) = 24, so the line tangent to F (x) at (3, 25) has the equation y − 25 = (88/7)(x − 3), y = (88/7)x − 89/7. 2 1 56. (a) f (x) = −e4−x 2+ < 0 for all x > 0, so f is one-to-one. x2 (b) By inspection, f (2) = 1/2, so 2 = f −1 (1/2) = g(1/2). By inspection, 1 9 f (2) = − 2 + = − , and 4 4 d F (1/2) = f ([g(x)]2 ) [g(x)2 ] = f ([g(x)]2 )2g(x)g (x) dx x=1/2 x=1/2 −12 1 1 f (4) e (2 + 16 ) 33 11 = f (22 )2 · 2 =4 =4 = = 12 f (g(x)) x=1/2 f (2) (2 + 1 ) 4 9e12 3e 57. (a) f (x) = kekx , f (x) = k 2 ekx , f (x) = k 3 ekx , . . . , f (n) (x) = k n ekx (b) g (x) = −ke−kx , g (x) = k 2 e−kx , g (x) = −k 3 e−kx , . . . , g (n) (x) = (−1)n k n e−kx dy 58. = e−λt (ωA cos ωt − ωB sin ωt) + (−λ)e−λt (A sin ωt + B cos ωt) dt = e−λt [(ωA − λB) cos ωt − (ωB + λA) sin ωt]
  • 15.
    January 27, 200511:44 L24-ch04 Sheet number 15 Page number 141 black Exercise Set 4.3 141 2 2 1 1 x−µ d 1 x−µ 59. f (x) = √ exp − − 2πσ 2 σ dx 2 σ 2 1 1 x−µ x−µ 1 =√ exp − − 2πσ 2 σ σ σ 2 1 1 x−µ = −√ (x − µ) exp − 2πσ 3 2 σ 60. y = Aekt , dy/dt = kAekt = k(Aekt ) = ky 61. y = Ae2x + Be−4x , y = 2Ae2x − 4Be−4x , y = 4Ae2x + 16Be−4x so y + 2y − 8y = (4Ae2x + 16Be−4x ) + 2(2Ae2x − 4Be−4x ) − 8(Ae2x + Be−4x ) = 0 62. (a) y = −xe−x + e−x = e−x (1 − x), xy = xe−x (1 − x) = y(1 − x) (b) y = −x2 e−x + e−x = e−x (1 − x2 ), xy = xe−x 2 2 2 2 /2 /2 /2 /2 (1 − x2 ) = y(1 − x2 ) dy 63. = 100(−0.2)e−0.2x = −20y, k = −0.2 dx 64. ln y = (5x + 1) ln 3 − (x/2) ln 4, so y /y = 5 ln 3 − (1/2) ln 4 = 5 ln 3 − ln 2, and y = (5 ln 3 − ln 2)y y 7e−t 7e−t + 5 − 5 1 65. ln y = ln 60 − ln(5 + 7e−t ), = = = 1 − y, so y 5 + 7e−t 5 + 7e−t 12 dy y =r 1− y, with r = 1, K = 12. dt K 66. (a) 12 0 9 0 60 60 60 (b) P tends to 12 as t gets large; lim P (t) = lim = = = 12 t→+∞ t→+∞ 5 + 7e−t 5 + 7 lim e−t 5 t→+∞ (c) the rate of population growth tends to zero 3.2 0 9 0 10h − 1 d x d x ln 10 67. lim = 10 = e = ln 10 h→0 h dx x=0 dx x=0
  • 16.
    January 27, 200511:44 L24-ch04 Sheet number 16 Page number 142 black 142 Chapter 4 tan−1 (1 + h) − π/4 d 1 1 68. lim = tan−1 x = = h→0 h dx x=1 1 + x2 x=1 2 √ 9[sin−1 ( 23 + ∆x)]2 − π 2 d 3 69. lim = (3 sin−1 x)2 √ = 2(3 sin−1 x) √ √ ∆x→0 ∆x dx x= 3/2 1 − x2 x= 3/2 π 3 = 2(3 ) = 12π 3 1 − (3/4) (2 + ∆x)(2+∆x) − 4 d x d x ln x 70. lim = x = e ∆x→0 ∆x dx x=2 dx x=2 = (1 + ln x)ex ln x = (1 + ln 2)22 = 4(1 + ln 2) x=2 √ 3 sec−1 w − π d 3 3 71. lim = 3 sec−1 x = √ = w→2 w−2 dx x=2 |2| 2 2−1 2 4(tan−1 w)w − π d d x ln tan−1 x 72. lim = 4(tan−1 x)x = 4e w→1 w−1 dx x=1 dx x=1 2 1/(1 + x ) 14 = 4(tan−1 x)x ln tan−1 x + x = π ln(π/4) + == 2 + π ln(π/4) tan−1 x x=1 2π EXERCISE SET 4.4 x2 − 4 (x − 2)(x + 2) x+2 2 1. (a) lim = lim = lim = x→2 x2 + 2x − 8 x→2 (x + 4)(x − 2) x→2 x + 4 3 5 2x − 5 2 − lim 2 x→+∞ x (b) lim = = x→+∞ 3x + 7 7 3 3 + lim x→+∞ x sin x cos x sin x 2. (a) = sin x = cos x so lim = lim cos x = 1 tan x sin x x→0 tan x x→0 x2 − 1 (x − 1)(x + 1) x+1 x2 − 1 2 (b) 3−1 = = 2 so lim 3 = x (x − 1)(x 2 + x + 1) x +x+1 x→1 x − 1 3 π π 3. Tf (x) = −2(x + 1), Tg (x) = −3(x + 1), 4. Tf (x) = − x − , Tg (x) = − x − 2 2 limit = 2/3 limit = 1 x e 1 5. lim =1 6. lim = 1/5 x→0 cos x x→3 6x − 13 sec2 θ tet + et 7. lim =1 8. lim = −1 θ→0 1 t→0 −et cos x cos x 9. lim+ = −1 10. lim = +∞ x→π 1 x→0+ 2x 1/x 3e3x 9e3x 11. lim =0 12. lim = lim = +∞ x→+∞ 1 x→+∞ 2x x→+∞ 2
  • 17.
    January 27, 200511:44 L24-ch04 Sheet number 17 Page number 143 black Exercise Set 4.4 143 − csc2 x −x −1 13. lim+ = lim 2 = lim+ = −∞ x→0 1/x x→0 sin x + x→0 2 sin x cos x −1/x x 14. lim = lim 1/x = 0 x→0+ (−1/x2 )e1/x x→0+ e 100x99 (100)(99)x98 (100)(99)(98) · · · (1) 15. lim x = lim x = · · · = lim =0 x→+∞ e x→+∞ e x→+∞ ex √ cos x/ sin x 2/ 1 − 4x2 16. lim = lim+ cos2 x = 1 17. lim =2 x→0+ sec2 x/ tan x x→0 x→0 1 1 1− 1 1 x 1 18. lim 1 + x2 = lim = 19. lim xe−x = lim = lim x = 0 x→0 3x 2 x→0 3(1 + x2 ) 3 x→+∞ x→+∞ ex x→+∞ e x−π 1 20. lim (x − π) tan(x/2) = lim = lim = −2 x→π x→π cot(x/2) x→π −(1/2) csc2 (x/2) sin(π/x) (−π/x2 ) cos(π/x) 21. lim x sin(π/x) = lim = lim = lim π cos(π/x) = π x→+∞ x→+∞ 1/x x→+∞ −1/x2 x→+∞ ln x 1/x − sin2 x −2 sin x cos x 22. lim tan x ln x = lim = lim+ = lim+ = lim+ =0 x→0+ x→0+ cot x x→0 − csc2 x x→0 x x→0 1 cos 5x −5 sin 5x −5(+1) 5 23. lim sec 3x cos 5x = lim = lim = =− x→(π/2)− x→(π/2)− cos 3x x→(π/2)− −3 sin 3x (−3)(−1) 3 x−π 1 24. lim (x − π) cot x = lim = lim =1 x→π x→π tan x x→π sec2 x ln(1 − 3/x) −3 25. y = (1 − 3/x)x , lim ln y = lim = lim = −3, lim y = e−3 x→+∞ x→+∞ 1/x x→+∞ 1 − 3/x x→+∞ 3 ln(1 + 2x) 6 26. y = (1 + 2x)−3/x , lim ln y = lim − = lim − = −6, lim y = e−6 x→0 x→0 x x→0 1 + 2x x→0 ln(ex + x) ex + 1 27. y = (ex + x)1/x , lim ln y = lim = lim x = 2, lim y = e2 x→0 x→0 x x→0 e + x x→0 b ln(1 + a/x) ab 28. y = (1 + a/x)bx , lim ln y = lim = lim = ab, lim y = eab x→+∞ x→+∞ 1/x x→+∞ 1 + a/x x→+∞ ln(2 − x) 2 sin2 (πx/2) 29. y = (2 − x)tan(πx/2) , lim ln y = lim = lim = 2/π, lim y = e2/π x→1 x→1 cot(πx/2) x→1 π(2 − x) x→1 2 ln cos(2/x) (−2/x2 )(− tan(2/x)) 30. y = [cos(2/x)]x , lim ln y = lim = lim x→+∞ x→+∞ 1/x2 x→+∞ −2/x3 − tan(2/x) (2/x2 ) sec2 (2/x) = lim = lim = −2, lim y = e−2 x→+∞ 1/x x→+∞ −1/x2 x→+∞ 1 1 x − sin x 1 − cos x sin x 31. lim − = lim = lim = lim =0 x→0 sin x x x→0 x sin x x→0 x cos x + sin x x→0 2 cos x − x sin x
  • 18.
    January 27, 200511:44 L24-ch04 Sheet number 18 Page number 144 black 144 Chapter 4 1 − cos 3x 3 sin 3x 9 9 32. lim 2 = lim = lim cos 3x = x→0 x x→0 2x x→0 2 2 (x2 + x) − x2 x 1 33. lim √ = lim √ = lim = 1/2 x→+∞ x2+x+x x→+∞ x2+x+x x→+∞ 1 + 1/x + 1 ex − 1 − x ex − 1 ex 34. lim = lim x = lim x = 1/2 x→0 xex − x x→0 xe + ex − 1 x→0 xe + 2ex ex 35. lim [x − ln(x2 + 1)] = lim [ln ex − ln(x2 + 1)] = lim ln , x→+∞ x→+∞ x→+∞ x2 + 1 x x x e e e lim = lim = lim = +∞ so lim [x − ln(x2 + 1)] = +∞ x→+∞ x2 + 1 x→+∞ 2x x→+∞ 2 x→+∞ x 1 36. lim ln = lim ln = ln(1) = 0 x→+∞ 1 + x x→+∞ 1/x + 1 ln x 1/x 1 38. (a) lim = lim = lim =0 xn x→+∞ x→+∞ nxn−1 x→+∞ nxn xn nxn−1 (b) lim = lim = lim nxn = +∞ x→+∞ ln x x→+∞ 1/x x→+∞ 3x2 − 2x + 1 0 39. (a) L’Hˆpital’s Rule does not apply to the problem lim o because it is not a form. x→1 3x2 − 2x 0 3x2 − 2x + 1 (b) lim =2 x→1 3x2 − 2x e3x −12x+12 2 e0 40. L’Hˆpital’s Rule does not apply to the problem o , which is of the form , and from x4 − 16 0 which it follows that lim− and lim+ exist, with values −∞ if x approaches 2 from the left and x→2 x→2 +∞ if from the right. The general limit lim does not exist. x→2 1/(x ln x) 2 41. lim √ = lim √ =0 0.15 x→+∞ 1/(2 x) x→+∞ x ln x 100 10000 0 ln x 42. y = xx , lim ln y = lim = lim −x = 0, lim y = 1 1 x→0+ x→0+ 1/x x→0+ x→0+ 0 0.5 0
  • 19.
    January 27, 200511:44 L24-ch04 Sheet number 19 Page number 145 black Exercise Set 4.4 145 43. y = (sin x)3/ ln x , 25 3 ln sin x x lim ln y = lim = lim (3 cos x) = 3, x→0+ x→0+ ln x x→0+ sin x lim y = e3 x→0+ 0 0.5 19 4 sec2 x 4 4.1 44. lim − = lim =4 x→π/2 sec x tan x x→π/2− sin x 1.4 1.6 3.3 1 e−x ln x − 1 45. ln x − ex = ln x − = ; 0 e−x e−x 0 3 ln x 1/x lim e−x ln x = lim = lim = 0 by L’Hˆpital’s Rule, o x→+∞ x→+∞ ex x→+∞ ex e−x ln x − 1 so lim [ln x − ex ] = lim = −∞ x→+∞ x→+∞ e−x –16 ex 46. lim [ln ex − ln(1 + 2ex )] = lim ln –0.6 x→+∞ x→+∞ 1 + 2ex 0 12 1 1 = lim ln = ln ; x→+∞ e−x +2 2 horizontal asymptote y = − ln 2 –1.2 1.02 47. y = (ln x)1/x , ln(ln x) 1 lim ln y = lim = lim = 0; x→+∞ x→+∞ x x→+∞ x ln x lim y = 1, y = 1 is the horizontal asymptote x→+∞ 100 10000 1
  • 20.
    January 27, 200511:44 L24-ch04 Sheet number 20 Page number 146 black 146 Chapter 4 x+1 x+1 x ln 48. y = , lim ln y = lim x+2 1 x+2 x→+∞ x→+∞ 1/x −x2 = lim = −1; x→+∞ (x + 1)(x + 2) lim y = e−1 is the horizontal asymptote x→+∞ 0 50 0 49. (a) 0 (b) +∞ (c) 0 (d) −∞ (e) +∞ (f ) −∞ (ln a) ln x (ln a)/x 50. (a) Type 00 ; y = x(ln a)/(1+ln x) ; lim ln y = lim = lim+ = lim+ ln a = ln a, x→0+ x→0+ 1 + ln x x→0 1/x x→0 lim y = eln a = a x→0+ (b) Type ∞0 ; same calculation as Part (a) with x → +∞ (ln a) ln(x + 1) ln a (c) Type 1∞ ; y = (x + 1)(ln a)/x , lim ln y = lim = lim = ln a, x→0 x→0 x x→0 x + 1 lim y = eln a = a x→0 1 + 2 cos 2x x + sin 2x sin 2x 51. lim does not exist, nor is it ±∞; lim = lim 1+ =1 x→+∞ 1 x→+∞ x x→+∞ x 2 − cos x 2x − sin x 2 − (sin x)/x 2 52. lim does not exist, nor is it ±∞; lim = lim = x→+∞ 3 + cos x x→+∞ 3x + sin x x→+∞ 3 + (sin x)/x 3 x(2 + sin 2x) 2 + sin 2x 53. lim (2 + x cos 2x + sin 2x) does not exist, nor is it ±∞; lim = lim , x→+∞ x+1 x→+∞ x→+∞ 1 + 1/x which does not exist because sin 2x oscillates between −1 and 1 as x → +∞ 1 1 sin x 54. lim + cos x + does not exist, nor is it ±∞; x→+∞ x 2 2x x(2 + sin x) 2 + sin x lim = lim =0 x→+∞ x2 + 1 x→+∞ x + 1/x V t −Rt/L L e Vt 55. lim+ = R→0 1 L π/2 − x −1 56. (a) lim (π/2 − x) tan x = lim = lim = lim sin2 x = 1 x→π/2 x→π/2 cot x x→π/2 − csc2 x x→π/2 1 1 sin x cos x − (π/2 − x) sin x (b) lim − tan x = lim − = lim x→π/2 π/2 − x x→π/2 π/2 − x cos x x→π/2 (π/2 − x) cos x −(π/2 − x) cos x = lim x→π/2 −(π/2 − x) sin x − cos x (π/2 − x) sin x + cos x = lim =0 x→π/2 −(π/2 − x) cos x + 2 sin x (c) 1/(π/2 − 1.57) ≈ 1255.765534, tan 1.57 ≈ 1255.765592; 1/(π/2 − 1.57) − tan 1.57 ≈ 0.000058
  • 21.
    January 27, 200511:44 L24-ch04 Sheet number 21 Page number 147 black Review Exercises, Chapter 4 147 kt − 1 (ln k)k t 57. (b) lim x(k 1/x − 1) = lim = lim = ln k x→+∞ t t→0+ t→0 + 1 √ (c) ln 0.3 = −1.20397, 1024 1024 0.3 − 1 = −1.20327; √ ln 2 = 0.69315, 1024 1024 2 − 1 = 0.69338 k + cos x 58. If k = −1 then lim (k + cos x) = k + 1 = 0, so lim = ±∞. Hence k = −1, and by the x→0 x→0 x2 −1 + cos x − sin x − 2 cos x 2 √ rule lim = lim = lim = − = −4 if = ±2 2. x→0 x2 x→0 2x x→0 2 2 59. (a) No; sin(1/x) oscillates as x → 0. (b) 0.05 –0.35 0.35 –0.05 (c) For the limit as x → 0 use the Squeezing Theorem together with the inequalities + −x2 ≤ x2 sin(1/x) ≤ x2 . For x → 0− do the same; thus lim f (x) = 0. x→0 − cos(1/x) + 2x sin(1/x) 60. (a) Apply the rule to get lim which does not exist (nor is it ±∞). x→0 cos x x x 1 (b) Rewrite as lim [x sin(1/x)], but lim = lim = 1 and lim x sin(1/x) = 0, x→0 sin x x→0 sin x x→0 cos x x→0 x thus lim [x sin(1/x)] = (1)(0) = 0 x→0 sin x sin(1/x) sin x 61. lim , lim+ = 1 but lim+ sin(1/x) does not exist because sin(1/x) oscillates between x→0+ (sin x)/x x→0 x x→0 x sin(1/x) −1 and 1 as x → +∞, so lim+ does not exist. x→0 sin x f (x) (f (x) − f (0)/(x − a) 62. Since f (0) = g(0) = 0, then for x = a, = . Now take the limit: g(x) (g(x) − g(0))/(x − a) f (x) (f (x) − f (0)/(x − a) f (a) lim = lim = x→a g(x) x→a (g(x) − g(0))/(x − a) g (a) REVIEW EXERCISES, CHAPTER 4 1 3 1 2x + 1 1. (6) = 2. (2x + 1) = 4(6x − 5)3/4 2(6x − 5)3/4 3(x2 + x)2/3 3(x2 + x)2/3 1/2 1/2 3 x−1 d x−1 9 x−1 3. dy/dx = = 2 x+2 dx x + 2 2(x + 2)2 x + 2 4 x2 (3 − 2x)1/3 (−2) − (3 − 2x)4/3 (2x) 2(3 − 2x)1/3 (2x − 9) 4. dy/dx = 3 = x4 3x3
  • 22.
    January 27, 200511:44 L24-ch04 Sheet number 22 Page number 148 black 148 Chapter 4 dy dy 2 − y − 3x2 5. (a) 3x2 + x + y − 2 = 0, = dx dx x (b) y = (1 + 2x − x3 )/x = 1/x + 2 − x2 , dy/dx = −1/x2 − 2x dy 2 − (1/x + 2 − x2 ) − 3x2 (c) = = −1/x2 − 2x dx x dy dy dy 1−y 6. (a) xy = x − y, x +y =1− , = dx dx dx x+1 x 1 (b) y(x + 1) = x, y = ,y = x+1 (x + 1)2 dy 1−y 1 − x+1 x 1 (c) = = = 2 dx x+1 1+x x +1 1 dy 1 dy y2 7. − − 2 = 0 so =− 2 y 2 dx x dx x dy dy dy dy x2 − 2y 8. 3x2 − 3y 2 = 6(x + y), −(3y 2 + 6x) = 6y − 3x2 so = 2 dx dx dx dx y + 2x dy dy dy y sec(xy) tan(xy) 9. x + y sec(xy) tan(xy) = , = dx dx dx 1 − x sec(xy) tan(xy) (1 + csc y)(− csc2 y)(dy/dx) − (cot y)(− csc y cot y)(dy/dx) 10. 2x = , (1 + csc y)2 dy 2x(1 + csc y)2 = − csc y(csc y + csc2 y − cot2 y) , dx dy 2x(1 + csc y) but csc2 y − cot2 y = 1, so =− dx csc y dy 3x d2 y (4y)(3) − (3x)(4dy/dx) 12y − 12x(3x/(4y)) 12y 2 − 9x2 −3(3x2 − 4y 2 ) 11. = , 2 = 2 = 2 = 3 = , dx 4y dx 16y 16y 16y 16y 3 d2 y −3(7) 21 but 3x2 − 4y 2 = 7 so = =− dx2 16y 3 16y 3 dy y 12. = , dx y−x y y (y − x) −y −1 d2 y (y − x)(dy/dx) − y(dy/dx − 1) y−x y−x = = dx 2 (y − x)2 (y − x)2 y 2 − 2xy d2 y 3 = but y 2 − 2xy = −3, so =− (y − x)3 dx2 (y − x)3 dy dy dy dy dy 2 13. = tan(πy/2) + x(π/2) sec2 (πy/2), = 1 + (π/4) (2), = dx dx dx dx dx π−2 14. Let P (x0 , y0 ) be the required point. The slope of the line 4x − 3y + 1 = 0 is 4/3 so the slope of the tangent to y 2 = 2x3 at P must be −3/4. By implicit differentiation dy/dx = 3x2 /y, so at P , 3x2 /y0 = −3/4, or y0 = −4x2 . But y0 = 2x3 because P is on the curve y 2 = 2x3 . Elimination of 0 0 2 0 y0 gives 16x0 = 2x0 , x0 (8x0 − 1) = 0, so x0 = 0 or 1/8. From y0 = −4x2 it follows that y0 = 0 4 3 3 0 when x0 = 0, and y0 = −1/16 when x0 = 1/8. It does not follow, however, that (0, 0) is a solution because dy/dx = 3x2 /y (the slope of the curve as determined by implicit differentiation) is valid only if y = 0. Further analysis shows that the curve is tangent to the x-axis at (0, 0), so the point (1/8, −1/16) is the only solution.
  • 23.
    January 27, 200511:44 L24-ch04 Sheet number 23 Page number 149 black Review Exercises, Chapter 4 149 15. Substitute y = mx into x2 + xy + y 2 = 4 to get x2 + mx2 + m2 x2 = 4, which has distinct solutions √ x = ±2/ m2 + m + 1. They are distinct because m2 + m + 1 = (m + 1/2)2 + 3/4 ≥ 3/4, so m2 + m + 1 is never zero. Note that the points of intersection occur in pairs (x0 , y0 ) and (−x0 , y0 ). By implicit differentiation, the slope of the tangent line to the ellipse is given by dy/dx = −(2x + y)/(x + 2y). Since the slope is unchanged if we replace (x, y) with (−x, −y), it follows that the slopes are equal at the two point of intersection. Finally we must examine the special case x = 0 which cannot be written in the form y = mx. If x = 0 then y = ±2, and the formula for dy/dx gives dy/dx = −1/2, so the slopes are equal. 16. Use implicit differentiation to get dy/dx = (y − 3x2 )/(3y 2 − x), so dy/dx = 0 if y = 3x2 . Substitute √ √ this into x3 − xy + y 3 = 0 to obtain 27x6 − 2x3 = 0, x3 = 2/27, x = 3 2/3 and hence y = 3 4/3. 17. By implicit differentiation, 3x2 − y − xy + 3y 2 y = 0, so y = (3x2 − y)/(x − 3y 2 ). This derivative exists except when x = 3y 2 . Substituting this into the original equation x3 − xy + y 3 = 0, one has 27y 6 − 3y 3 + y 3 = 0, y 3 (27y 3 − 2) = 0. The unique solution in the first quadrant is y = 21/3 /3, x = 3y 2 = 22/3 /3 18. By implicit differentiation, dy/dx = k/(2y) so the slope of the tangent to y 2 = kx at (x0 , y0 ) is k k/(2y0 ) if y0 = 0. The tangent line in this case is y − y0 = (x − x0 ), or 2y0 y − 2y0 = kx − kx0 . 2 2y0 But y0 = kx0 because (x0 , y0 ) is on the curve y 2 = kx, so the equation of the tangent line becomes 2 2y0 y − 2kx0 = kx − kx0 which gives y0 y = k(x + x0 )/2. If y0 = 0, then x0 = 0; the graph of y 2 = kx has a vertical tangent at (0, 0) so its equation is x = 0, but y0 y = k(x + x0 )/2 gives the same result when x0 = y0 = 0. 1 2 3 4 19. y = ln(x + 1) + 2 ln(x + 2) − 3 ln(x + 3) − 4 ln(x + 4), dy/dx = + − − x+1 x+2 x+3 x+4 1 1 20. y = ln x + ln(x + 1) − ln sin x + ln cos x, so 2 3 dy 1 1 cos x sin x 5x + 3 = + − − = − cot x − tan x dx 2x 3(x + 1) sin x cos x 6x(x + 1) 1 1 2 ln x 21. (2) = 1/x 22. 2(ln x) = 2x x x 1 1 1 23. 24. y = 3 ln(x + 1), y = 3x(ln x + 1)2/3 3(x + 1) ln ln x 1 25. log10 ln x = ,y = ln 10 (ln 10)(x ln x) 1 + ln x/ ln 10 ln 10 + ln x (ln 10 − ln x)/x + (ln 10 + ln x)/x 2 ln 10 26. y = = ,y = = 1 − ln x/ ln 10 ln 10 − ln x (ln 10 − ln x)2 x(ln 10 − ln x)2 3 1 3 2x3 27. y = ln x + ln(1 + x4 ), y = + 2 2 2x (1 + x4 ) 1 1 sin x 2x 1 − 3x2 28. y = ln x + ln cos x − ln(1 + x2 ), y = − − = − tan x 2 2x cos x 1 + x2 2x(1 + x2 ) 29. y = x2 + 1 so y = 2x.
  • 24.
    January 27, 200511:44 L24-ch04 Sheet number 24 Page number 150 black 150 Chapter 4 (1 + ex + e2x ) dy ex 30. y = ln = − ln(1 − ex ), = (1 − ex )(1 + ex + e2x ) dx 1 − ex √ x √ x d √ √ √ √ 31. y = 2e + 2xe x = 2e x + xe x dx abe−x 2 32. y = 33. y = (1 + be−x )2 π(1 + 4x2 ) −1 ln 2 −1 34. y = e(sin x) ln 2 ,y =√ 2sin x 1−x 2 y 1 dy x 1 x −1 x 35. ln y = ex ln x, = ex + ln x , = xe ex + ln x = ex xe + xe ln x y x dx x ln(1 + x) y x/(1 + x) − ln(1 + x) 1 ln(1 + x) 36. ln y = , = = − , x y x2 x(1 + x) x2 dy 1 (1 + x)(1/x) = (1 + x)(1/x)−1 − ln(1 + x) dx x x2 2 37. y = |2x + 1| (2x + 1)2 − 1 1 d 1 x 38. y = √ cos−1 x2 = − √ √ 2 cos−1 x2 dx cos−1 x2 1 − x4 1 3 x 3x2 x4 39. ln y = 3 ln x − ln(x2 + 1), y /y = − 2 ,y=√ − 2 2 x x +1 x2 + 1 (x + 1)3/2 1 y 1 2x 2x 4x 4x x2 − 1 (ln(x2 −1)−ln(x2 +1)), − 3 40. ln y = = = so y = 3 y 3 x2 − 1 x2 + 1 3(x4− 1) 3(x4 − 1) x2 + 1 dy 1 1 dy dy 41. (b) y (c) = − so < 0 at x = 1 and > 0 at x = e dx 2 x dx dx 6 4 2 x 1 2 3 4 (d) The slope is a continuous function which goes from a negative value at x = 1 to a positive value at x = e; therefore it must take the value zero between, by the Intermediate Value Theorem. dy (e) = 0 when x = 2 dx dβ 10 42. β = 10 log I − 10 log I0 , = dI I ln 10 dβ 1 dβ 1 (a) = db/W/m2 (b) = db/W/m2 dI I=10I0 I0 ln 10 dI I=100I0 10I0 ln 10 dβ 1 (c) = db/W/m2 dI I=100I0 100I0 ln 10 dy dx dy dy dx dx 43. Solve =3 given y = x ln x. Then = = (1 + ln x) , so 1 + ln x = 3, ln x = 2, dt dt dt dx dt dt x = e2 .
  • 25.
    January 27, 200511:44 L24-ch04 Sheet number 25 Page number 151 black Review Exercises, Chapter 4 151 44. x = 2, y = 0; y = −2x/(5 − x2 ) = −4 at x = 2, so y − 0 = −4(x − 2) or y = −4x + 8 1 y 45. Set y = logb x and solve y = 1: y = = 1 so x ln b 1 x = . The curves intersect when (x, x) lies on the ln b 2 graph of y = logb x, so x = logb x. From Formula (8), x ln x 2 Section 1.6, logb x = from which ln x = 1, x = e, ln b ln b = 1/e, b = e1/e ≈ 1.4447. √ y 46. (a) Find the point of intersection: f (x) = x + k = ln x. The 2 1 1 √ slopes are equal, so m1 = = m2 = √ , x = 2, x = 4. x x 2 x √ 2 Then ln 4 = 4 + k, k = ln 4 − 2. k 1 (b) Since the slopes are equal m1 = √ = m2 = , so y 2 x x √ √ 2 k x = 2. At the point of intersection k x = ln x, 2 = ln x, x x = e2 , k = 2/e. 0 5 47. Where f is differentiable and f = 0, g must be differentiable; this can be inferred from the graphs. In general, however, g need not be differentiable: consider f (x) = x3 , g(x) = x1/3 . 48. (a) f (x) = −3/(x + 1)2 . If x = f (y) = 3/(y + 1) then y = f −1 (x) = (3/x) − 1, so d −1 3 1 (f −1 (x) + 1)2 (3/x)2 3 f (x) = − 2 ; and −1 (x)) =− =− = − 2. dx x f (f 3 3 x d −1 2 (b) f (x) = ex/2 , f (x) = 1 ex/2 . If x = f (y) = ey/2 then y = f −1 (x) = 2 ln x, so 2 f (x) = ; dx x 1 −1 2 and = 2e−f (x)/2 = 2e− ln x = 2x−1 = f (f −1 (x)) x 49. Let P (x0 , y0 ) be a point on y = e3x then y0 = e3x0 . dy/dx = 3e3x so mtan = 3e3x0 at P and an equation of the tangent line at P is y − y0 = 3e3x0 (x − x0 ), y − e3x0 = 3e3x0 (x − x0 ). If the line passes through the origin then (0, 0) must satisfy the equation so −e3x0 = −3x0 e3x0 which gives x0 = 1/3 and thus y0 = e. The point is (1/3, e). dy/dx dy 50. ln y = ln 5000 + 1.07x; = 1.07, or = 1.07y y dx dy/dx dy 51. ln y = 2x ln 3 + 7x ln 5; = 2 ln 3 + 7 ln 5, or = (2 ln 3 + 7 ln 5)y y dx dk q(T − T0 ) q qk0 q(T − T0 ) 52. = k0 exp − − =− exp − dT 2T0 T 2T 2 2T 2 2T0 T 53. y = aeax sin bx + beax cos bx and y = (a2 − b2 )eax sin bx + 2abeax cos bx, so y − 2ay + (a2 + b2 )y = (a2 − b2 )eax sin bx + 2abeax cos bx − 2a(aeax sin bx + beax cos bx) + (a2 + b2 )eax sin bx = 0.
  • 26.
    January 27, 200511:44 L24-ch04 Sheet number 26 Page number 152 black 152 Chapter 4 √ √ 1 −2x 54. sin(tan−1 x) = x/ 1 + x2 and cos(tan−1 x) = 1/ 1 + x2 , and y = ,y = , hence 1 + x2 (1 + x2 )2 −2x x 1 y + 2 sin y cos3 y = + 2√ = 0. (1 + x2 )2 1+x2 (1 + x2 )3/2 55. (a) 100 0 8 20 (b) as t tends to +∞, the population tends to 19 95 95 95 lim P (t) = lim = = = 19 t→+∞ t→+∞ 5 − 4e−t/4 5 − 4 lim e−t/4 5 t→+∞ (c) the rate of population growth tends to zero 0 0 8 –80 (1 + h)π − 1 d 56. (a) y = (1 + x)π , lim = (1 + x)π = π(1 + x)π−1 =π h→0 h dx x=0 x=0 1 − ln x 1 − ln x dy 1/x 1 (b) Let y = . Then y(e) = 0, and lim = =− =− ln x x→e (x − e) ln x dx (ln x)2 e x=e 57. In the case +∞ − (−∞) the limit is +∞; in the case −∞ − (+∞) the limit is −∞, because large positive (negative) quantities are added to large positive (negative) quantities. The cases +∞ − (+∞) and −∞ − (−∞) are indeterminate; large numbers of opposite sign are subtracted, and more information about the sizes is needed. 58. (a) when the limit takes the form 0/0 or ∞/∞ (b) Not necessarily; only if lim f (x) = 0. Consider g(x) = x; lim g(x) = 0. For f (x) choose x→a x→0 cos x x2 |x|1/2 cos x, x , and |x| 2 1/2 . Then: lim does not exist, lim = 0, and lim = +∞. x→0 x x→0 x x→0 x2 ex ex ex 59. lim (ex − x2 ) = lim x2 (ex /x2 − 1), but lim = lim = lim = +∞ x→+∞ x→+∞ x→+∞ x2 x→+∞ 2x x→+∞ 2 so lim (ex /x2 − 1) = +∞ and thus lim x2 (ex /x2 − 1) = +∞ x→+∞ x→+∞ ln x 1/x 1 ln x ln x 1 60. lim = lim = ; lim = lim = x→1 x4 − 1 x→1 4x 3 4 x→1 x4 −1 x→1 x4 −1 2 (x2 + 2x)ex (x2 + 2x)ex (x2 + 4x + 2)ex 1 61. = lim = lim = lim = x→0 6 sin 3x cos 3x x→0 3 sin 6x x→0 18 cos 6x 9 62. lim ax ln a = ln a x→0