IVM U/VMKVEC/ETECTRONIC SCIENCES/BME{EVEN SEM(EOURTH SE$I'
20L5-201 6 I CBCS-Rz0 L2- FULL TIM E]
1. what is the pupose of Laplace transform is used in control iystem?
2. Define step signal.
3. List the steps involved in obtaining the transfer function.
4. Name the properties of transfer functions.
5. Define time response.
6. Define differential equations.
7. Whatis the purpose of standard test signals?
8. Define ramp signal.
9. Whatis an impulse signal?
10. State various time domain specifications.
1.1. Define critical damping.
12. what is meant by type number of the system? Give its significance.
L3. Define damping ratio.
14. Define Damping.
15. {hat is the difference between type and order of a system ?
16. Detine resPonse. Mention the test signals used to determine time response.
17. r//hatis transient and steady state response?
18. Define-rise time and settling time.
19. How the system is classified on the value of damping?
20. Define steady state error.
", .
$igncr :
V II{AYAKA MI S SIO}.IS UI{IV ER S/TY
Vinayaka Mission/s Kirupananda Variy* Engineering College
SALEM - 636 3OS
Programme B.E. BIOMEDICAL ENGINEERING
lSeme
ster
|
4
Subject Code & Name
L0 - 03 - ZAL6 l
Oate rf B
3471240I. - BIOLOGICAL CONTROL SVSTUNAS
Mr.Mathankumar.SName of the Tutor
Assignment. Irdo.
Date of Announcement
I
$hort Anrwer / Two (or) Three liner Fxpgcxnstlon
$k{rk ,,{*rr#m
l.l
J.
4.
lvMU/VMKVEC/ELECTRONTC SCTENCES/BME/eVerU SEM/FOURTH SEM/
20L5-20L6 I CBCS-R2012- F U LL Tt M EI
L' Derive the response of first order system for unit step/ :r.i  rr rur.*,:.rl$ e-
2. Obtain ttre response of unity feedback system whose open loop transfer,function is
G(r) = a/s(s+s) and when the input is unit step.
Develop an exPression for unit step response of undamped second order system/ o,restla-,n.r.c A,
Wrile- the expression for time domain specifications of rise time and peak time with
.Derive
the expression fgltime response of a second. order system subjected. to a unit
impulse input for (<L and (>1,, where ( is a damping ratio.
6. A unity feedback system has an open loop transfer function, G(s)=10/s(s+2). Find the rise
time, percentage overshoo! peak time and settling time for a step inpui of iZ units.
7. Develop an expression for unit step response of underd.amped. second order system.
8. The unity feedback system is characterized by Eu:r open loop transfer f,unction
G(s)=Kis(s+10). Determine the gain K so that the system will have a damping ratio of
0.5 for this value of K. Determine settling time, peak overshoot and time. at peak
overshoot for a unit step lnput
9. Derive the expression for critically damped of a second order system subjected. to a unit
step input f.or fL, where ( is a damping ratio.
10. A impulse input is applied to a uniry feedback system with G(s)=12/s(s+T). Find the
response of the system.
5.
Descriptive Type Questionr (Erroy Type)
$"M{ffi, {rw#*/4;trlture sf the Coordiln6tor
l"
?aRr *nA'
hths* -AL
trcnfuet
fi-L f*f* f, 4^"* k-*"ff* "LL .LLLPA;''
+ TPLa- orxff+* S *X "con:br'e'L ffi, Y
r*
W ,@.tL ,]e- ,*a'a;:<-ed- bx 4s{^/"^? i-*a1p*I
s)- eWfV'
Y1
w?
fu ;oL'*re-
+
,fud.-
+
{
fup- #
,ob e-
+ x;t € -MJ,3 *
+
fu-n4-P- t
ryco..tion
"*{
ie L*rv bu Ya&
or
yL >o
+^*
t aD
jA -Cg,UI-d*jk
g
,jJa
WWY1A.
Datu"b ry W:-
+w
+-I+ A =tr.frLQ-rt"
d"_.a6+Ld- 
tlct) .
irtr/et"v QA
r RC+) = A
o R-(+) = D
J* JA
ObLatrnr-*? &<L *vo-ru*fit:t:
**--t
?.
Lfr,U "ffi1L
aJ- WnA flo"*'* ?
+ 'To Lqfl{-a-c-e- *-ran-Y'n e1*c.J;o"^ i
#4-L
Dbbo-in
,lr.
+To
.fo .ICA2* ;'y^* va'de"Ur:* '
4, AIarne-
+--fhx-
i' ,fr,r- T,
'-'av tr:*-^ou ^-'l'a'a-ur'*
pt, ;a ,,,-nt ry
@"ud-
; ; .-$ ' P(s)'
@ol-e-*TP>r,o,fub**Y,-rM-*1.fr12,..oul+,d.L.)^
+
*ffLa. J{,oot& 3 'Y*a- dzrwwi"o*v
otet'L "fr42-
"-l^
aN 'd' frR- otped-* $
#^a- -v^-rtYu)4o'b3-t -alL-e--
T:"ruYT,l ::trbaA;'*,kv-rn: *+ 'frlQ-
)a*o#::n 5 'H^t- *t^pedz q '#"4-
i
I
I
I
,&i5,
utva,r,sy f**-U3t'
r
-_.|- r,
.D* J*rwP-
+
*Il'lP-
t
I
t
t
l
M
o
*t*rva '
*i,*o
I
I
I--
,
I
I
t
a
i
t
!.
I
i
i
+-.!.++ffiri*,
r*.f Y yc^u'bt, .,,e4- ToL
+;r* s
.I-8
eCt) c
+ T"b
L,&+ ,rti{'.Q--[
frvo*
t
*t * "'o-vrA
e
JA
Lo.*&c-e-
srry tr^"'ckbo
f"-ct^rc-t
rye^NoL
/*a-L
tlh^oL*"
o
,,IA
+ Wt"Lt'a, *ffi fr-?d .UfberYlA )
*The- bors-t"c, '-b{DddA
L#n,a'
J-
,ffi
-fu'Q*
i-,b -aA L/*
.*-r"fo rtA.L '
+ Henc€-, fr'-a-
c,L}{-al,u :H't-gt^e-
/
r{.LA-e,ct '/o.'4
tt* *e;x
*c;-vLeJf
L/aJ{.-Q- -"C-o-f'1"!-t
,AvL
8,
W
uory (rt'lt
J' A 'q4
-oa'No'')L
*f A *L*T r- -,-tr
Jir",e-x}1
Y.g>tn '^ak
Jk .,-'-i
;O}'C'LArr- lAa-nn L
/**aL @ v*Y
f"ft"'
va''Y
jtt'tia'L
#1 C*) 5 At )
#t(+) = O 7
1*--
ba o
?-4ft=r) JV,an iV "i ",cq',[lLcL .rrvuit J1a-rY
fmcU%n "
Wr,,vo-f ,,f^ vatw W eift'"d-1
+ AW qvun *Y:a7rf**ur^"tr'r^-ts
.,avcriLrlrlr- xe,..-
tt*r-d x"l"'orr L 'atr^stq*Lon ; 'rc-o'J'l.c-lJ-
-r""rutae, /rfln-qt ?
' - .,nd n ,.a- -rr"^ifr :"fry'
Tcl-e,,,l ry*- ul
f' JA,$'RJV rf.' ca' df J^ovt'^t
Y -^"rt"-ir,"- ) :'
a
yr>1a *r,ar'u!A -a'b 'A)/L
Jj*r- "-ff
'4k -L =o
+ Ab b = o *t'L *-i?, u,t'u& bersmr'r'
=; 3t &r *,YD@ hd
t
./AYe- !
$Ir Ce.fl*f,@L ryt #v
+ cl-it*-lc^al
ffie-*-tru
-t
de
-oL@
-,S&er3@ c
+ Ueuf"o.,u
-cLffi trvi d@' fr''L
CD-
WuU,^,b
,#"*-
dD ,fr.Lg* a-nyru+fe-oL
I
.Pt-Q.-e,-CY1-O--rlt
W-il "*f
.-.g&dcLcutfx-t
Wp"44, Jk -.nr-P*aYtV
C>+t-vz ilz Uffrycnst-ue r
+ -Tt,'P*
W*
'uru'-rrubelL
,q J*r #rc-rt&teH f^e-'kt-on
T
*
'TktR-
*r"Le- tr
+;;e,* -{.{=t:**a*
gsat*l ,
nn*$q>t AIvvr*l
D
*iA ?.
lelr1,*

-'rurr-nrLb*t S f**
*ee{if ,
-,&b-c-fc{gi -frae-
13" b&)",L
D
:$ -il4p-
fT
M
d"o""Yf*fl *1"ffi
,*D
,e$4,4j" sffi
?
db,1s4*
Jrr.-lrLG*Nlov
Ev.A? uff"* J,L'.-et CJ4r- cte*tden% ;Lo ffi
%
fr,^e- We*fi) )
.D,{cflu-**^6
iJ co.-tfu-id
16,
o*
trern 1
vYttrrrLbep,,
dgsL€t"!fi
.fue- .-,eotc>t-o-el .-![ fruL-
w
+ Tffr u^sf, '.oL truwe-q
e*. #rLp- W
'r"-rJ;]c-o.jue4
?*vex**ru
#^b
iglE
rln cl.*._c_qjbg-3 JJ €*
#'P'
W'i
".o}3;,r-cr.^tcA -=t
tb,
l*1 '
Mer^f*&n fr,L *e;.v W "-L"t*€d*
*fo^-{'e- iA fr'R* -o*q*^}
.rl^eS{-eL l'" *f* -o'L o'&
1-ttne-U-tsn 5
+ :l:t J* </-l-"..r*wL 
LCt) ,
-tuQ*v 3
1 P*-"^n
,Osv& fufdal
Wl4-'* J3 *raruxie-n-b 'a.v1A' -c'va-,a" s<*'t'1ov't,.*u ?
U
!
!€tr
i *TstM .,b*b- '3Le)>.D,on'"9L:
i
, v e--t vdFv- v-
I
D.a#^{-
*{, de.b.rytrtt-ix-e-
+ Tita *;""e, fr sU4a-
-?ArrrrJ-- .
*
*TP1a- *6rrurn..-G}^? ,A-l-,eA
rual* ;J-' '/Co"*tust
)@ok-tn-
lg"
+ *Tk1-o- Me,tL ryon;&€- 'tA JtJd- *r-*1)e.nA.e* "h
L*6!- @ 'fr'9-
/,r?otfu -fu 'e'YLDUn*o>t '
hber-.rJa "ubr:-'tg-;
{
=+- Th-A-7
f*rYl*
crve,-:-
,zyea.-o ,rort!- "*T*
; #/e- '><eafon'LR-
,,..^-, -ttrrrrL,
t t / IApPX-D f*a'2L=aA *S-Od '
DeL;r4L JqJd.L
D
-,LL"r-e- -OJ/Ld- .R;pfj';nq ,*1r,1-g* i
0
+ I,* .,ri Ju^s rfr-''4- 'xaif-bte-a' 1-ea'-
fr/s*
y*t* Jb -rr;-rr- o - tDoT' tr*' f"-- .tr-" 2'
:f,6 ,r: MttuL -aJ-' Le1 '
Selrbt.fuX
-ll-Y.U*
lq HoLr:
=S -I .rt ;A
{
fr4t* JLt-nru- 'h,zVj;Ae.ol -f**- '#'&*
.^xlSA<* ,JL fu 'LD4o*nw-rU)51-NQ- '*o
bo-nA.
-L tgqo-nce- bo-t'LoL o*"u'-
+ Neat-r'{.o-tt Lf . c.s4) 6"/ ' "{'eL
c,
-IJt Lr-t d.p,,1otta6>L --a- tS
*tr* tL Jlu;ltLad- L-ovl- va/'P- vo.'b'*a- %
da.mnl.n4* 1
+L;^*"? '-s1"L 'fuLa'
vo'l'u,- t ]1]f^t
t tu
ry*; r^ "*,'o-x*:yea- .int'
^t'*^r^::" =o)
@,te. r : U,a-cl-a^,tyecl *f"^, t"t**f""t t
Ca,tR- 2) U't"d"ox d'rr"'fe *tr* (o t oLa-'^'T'i/tt 'rtoib ' )
La*e-!,. e)1L+;cd drrr",fl ff* C"f*t^pr"O xotrb =D
La;e-a,: o ve-st -d'crlr fun' "fY* td'c'r'Ln;.:i n
*tc.Luz >r) '
l"
?ne-r *nB"
S ex-flve" fi'b
&rrLt e? /
ryonw .-{gtr
"tt*",ia ZW
$
t*
Jrr*f
Ytr
+tu@ va*- *d-s4e"ct tr rprdax Y
& $"f'"d ff
l
c cs)
+ Tne-
@
eJ^S,3e€L
"&-{+ffi
J"*p +..*-^y- ,U''^"rtb^ % Y
e,
.,l.A
€
;3
9.Cs), =
ECs)
6r Cs)
l* HCs) & Cs)
H e:-Lg- t
& fs)
H CS)
I
-t;
a+i
TS
=,
tu & rs)
,+Hfs) Grrs)
Ccs) /rr .t/rs
t+ /r*
l/ I
/7s
-l-s + I
R-CS) l+Ct)*,/rs T!+-,
w
c cs)
Rf S)
C cs)
TS
E
+t
ers)
Ts +t
E
? Fgry .t-t*ri* ''L T vC*) =
- l/*
Tst I
I
s (tsr,)
r+1 Rfs) = *J*
,S
ccs) =
.sr(s + t$
ccs) =
+81 W ?
Yr
Sclo,Hal
I
r .-.4-
ff".-B
s+'lr
g.
Ccsl =
flb YeL
sfs + ,/Y)
A*fiBl-
-J-
r ; Ars++)+Bs
sfs+.p scs *)
J-?= A(s++) + tss
T
?rrf *S so,
.,,1 s A .*
t ,,
TT
A= |
-r =lrt
Ir'/'T
tOt)
,r" P*
A -+1 s
L = a(s**)+Bs
T
! = As+ L + Bs
.TT
| = (n+a)s+ +TT
E%--eJ=tn? Co-
lfrlote-"E
*+ f-s.r4,rJ6o""f,4
ff
A=_l/T_=l
tfr
O t- P +B PL'l'b A=t
B = i-'P
B= el
A q B Vo''t-ur-ea
r-Bl€-
S+lT
_L
s*t*L
T
"rrYh-(.*-s'
a- =
wn oSur-b+H
c cs)
Cfs) s
j=-A
.S
*L
s
*at
gt_ *-
S+a-
i "- ;+b_ry_.
*r
_t ?
s+i r-rJ
flcr-$Cu*? J:+-vQ91";Lf,*
; ' I ccsrj
-tyttr ce-
= Et I*-
i#.rr**&f-C -FLn'"l-
r r'i)"?
d,lrb
l* &
/i
/t
i
eC+) =
CC+) =
LIi) rJ-rw-
o
,NeLUlu
ryoy1,-..L
.s-
{^"r*
L"eftdr}L
tr-
;u*rLv
+ T]n-e-
LAr4 c>lr:ll
<,l4>l-eA. l^e{
? J*rcttlo
..l>6 f*
ccs) =
& CS)
Lcs) l+ H Cs) & fs)
l-le>a ,
&cs) =
I
:rs
=tt-r &) g, cs)
t-rHCs)&Cs)
c c3), .=
Rcs) l}-E
l+ t/r*
,_B_
TS +1,
/-!x
5L
13rl
Ccs) -
Rcs)
t+Cr)* tlrc
,1
_l ecs)
-13 tl
FC*)*
k+l
? troLlr -f* RCs) = 't 3/P
ECS)
-rfs*+)
.= tlr
S+ rl*r
cc+) = yr e
bl,
c tt)
= -l
13+t
*,
gJ,L* M fie_ ry ,;A 'bt-",,t"v n c
tsg # ,t{q>
er$ t+H(s)&Cs)
J-^ .ec-,
*' 4ls1.srr)
l+ ,4 _ CI)
SCs+6")
= 4lu1r/q
c cs)
eCs)
gc)
Rcs)
s6s+a-) +4
@
L
-'f
St+ 5s ++
C CS) - 4 RCs)€l
C-@'
CCs) = +(t/s)
(s+ r) (s++),
eCs) = ,,4
sG+t)6++)
+r3*( #t "os.;uial-
d"tacHsn
. A(s+r)CS+4)+-Bs(s+4)+Cs(S+D
4 __,._ E
s(s-u)Cs*4)
&I
s6stD6*+) sGn>.6*)
4=
4=
( as+ n) C's+4)
n&++ns+Rs
{fr+B+ c)*t+
+ Bf + 4B.s :i- cs2+ cs .
2-
+ +fr +BS'+ 4 Bs +cs"arcs
s r5n ++B+c)+ + A '
cLo>trnA
D{
t.S'
T
.,keptrnx
1=
Em ,nDM
s+fr+
.?Az.L..,Le4rb
Egpc-*-;*? "& '€
"fi$-t.,"
o = Efr +trz+c
ttB +c -54
PLr-b
A=l )
..Y O.
Eqy@,AfruX
4B+c s €6
53" *escma
fr+B+c
fZ+c =- fr
O=
?r-*f fr: I t
B+C = -, I
Cclrfu@-h@'l
+ +B+c =*-5
- B + c = c-t
7 L-) ra t+)
,.!38i = -+
y@a
B = **/g
@ -"@
Pr*f
@q
ccs)
@i,n4laB=
-lbh-
a
B+C 5 sl
*1/a *c s e I
c = hr, t 1/*
*= -3+ 4 s ,/g
b +/e I --
rs+r)
'l+!!-
rFr
6
?8ft
I
ii
g
{.
I t".'
I
I
i
!
lT
B
I*tu*
I
I
*a.r,reox"L
.+u*11*{PL
.3
m
-AC Ct) s tD 4 ea + z+b '
g'r'',3-r'
-.*&. t -4berc)= I--+-e +*s-a
+ 'T'v'E-
c*ion
5
CCS) = Ldr-,*
a _-_--.-4
RCs) <si'e-qLt:ns+t*)nz
?
i, ve-oL3e-
ryc^e-
r*rra;n +yrrn )
tl)
vL;-xLOlca;ntfeL 1
q ; o
-11 ,. -
. .41:,.*r
t1
c cg).
R Cs)
.*tSzq- t^Lnl
; ,..,ltLV *te1 , YCs) = I 'h RCe) = -L
* l^t V&r1. TIP
7
Tnr: orvn- ** E 'e.r>*v-o;n )
l)
c cs) = :911 RCs)
S11- tr-r *
ccs) ry^'
Sl+ue n'
Ccs) € ,wrz- =
sf B-*r,')
l, .Jn'
,t
-'
t
A(f+L"l"U
sc*{fi *C s-4/"#,
lLSrr' = A Lsa u)'f) +- Bs
l,
=a-
a
alcf o-nar-"oo 2
)*t a"fttr^? f '-,t't-f {ao-ot<-on
-L+a
B
Sa+trl6z
?ulS:o )
lpnL
Lun2
A
= A [o+urn2-)-r
BCo)
= A'wnL
: i.; aL =
(,
trgp -
Vuk 492: * (-L1nL tg*{) I =j u}61 '
t/-rn 2= A (-c,u
/*n')
+ ts(jt,r)")
[rn2* bCjru',)
B€ /u-rnL
o
L) *)6
t
_lde
a.J
t,tlr',+ B=*jt-..r6 eLE
eCS) € wnn s-A+
s Ee+tr)nz
---@
CCS) =
.S _zLA+wn
s-Ta*c
o
7 . v-,JJufi
a
,l:t;lQ9lA4 @ -*o.rtrfrCIrrn )
vt*)
CLt)
L
I
o
:EYrfi
ulr ryorve- 5
ova,1 **s*rud'
,^*i"t
..
The"+ A..'ru.,L*+d- A
rd*4R/- fufi*
F t*nL,-
z a c.u)^B +r.JnLs + L€r ilJn{
t
v
.,a v ut't a.c.tt.,yz*' %*e-xL
#r,e clLl;r-r.rv';M
-":RPL -h J*w '
.dannrv;W be-
: - wo L L^,6
ffr
f"t "fl-n '-co':n'- ba UYL'U
l f*'cI*^oo
o
Yeh*a %
ccs)
RGS)
grrta @
f*c*j"cn
i^6J-a'
t4 t1"'L
?
-f,,* $tPo-
,4 Sz
sr ? 82
Lek
.e;3
*T"rury
jfhe-
{
jr"
'o Sa- = E
t,n F t'Lln ,{-fi
35 = qLu6 + L$n
M
ctepr-rn-
ces) =
Sa.- ,,&ruJ- S t
2_
f* 2Et ins+t*1'",'
v e-Lqt^,p Jr *pJFl
Fsl *o*-d- S6 = aSc-
UJnL
RCs) G+s") (s"l-sb)
-e
CCS) = t.t:nt R-Cs)
(s+sa) G+sb)
Ccs) =
uJr,*
sCs +sa) G-*sb)
?B*i ? *fir-ra.cLt^on
CCS) ? tfrnL
,tt
otr
-J- B
S*se-
n
C
s+sb
e
B
7L
s
rrrn* = A[o+S,a-) {DtB)+Bd5) [o*oCb))+ cco) ( o+o-)
= A(o+sa-) [o+sb)
(ilnL = ASa-Sb
+ Bto) + ccD)
s[s+s*) (s{r-.sb)
tiln* E za (s+sa) Cs+u) *e[=) C** D*"O (""")
scs +s */s*sb) a Cs-hs { Cs-rs)
t...nl = A(s+sa-) Cs+b)-r ecs) cst sE r-c cs) c*+a;
3r;s= o,
fr
= tUnu
( quu6)- .*rn
W X 1*n t t,n
W )
f,,
=
gx)n-
qu*no- *f &l
wnz
EW-#,:**n'
= -WfiL = I
uJn-
?*s= -*Sc-)
ce* = e ( u*;{s*1 Gso- +s a) + e (-so) Gs*+sa')
+ c G s*f3o.-+84*)t
fb}sa, Gsq-+s b)
g 5= u.Jnu
Gsq- *sa-{€h)
x
=
(x)6
,NnZ =
;tt-.,n{fl,
Gs*) eydffir
&.so-rffi,
B= -.:ry-o ., -f -
&q-l 8a-
F dWn
?urS=
u.Jn
-sb.
2
= AGsb+s*) f"/.g+ e&sb) e./*r)*c$sr)
c-sb+s u)
wu'F c 1fsb)f gb+S*)
C s fuJr,2
CC
(-sq (-sb+ sa)
wnL
Gsb) CE/- rdln
W + E/"- t^ro
rfftr)
('
-
+' tJ., n--e
Gb) (zt*rn w')
C = t^lr'rf _1 _
EbAUfiIfl,
e = !{o
sttsnW, ab
23
Sub A, E) c vo-larx ;n eay'aVb" O
ecs)= *
*^, L* | * tr'jn I '1
P r/qr-, ** S+sq' AtF ab S-rs b
I
)-rn@ ota1:onr:- *t -dr** otoryrein Lc+) iA
( ,r- (>, =
a : sa, S+sq, arF ab s-rsb'* ilgo_,
W r; rl1:ont?- *t f;'** oto'Yrein LC+) i^
trtr)6 l,
r'| l.o,j = r'f* C, tk-.,'4,a;
Cc+)= I - hin -t ;t*t-* .trrn + C
sbb
<r t_
a Gr-'
uo e 'l;E ' db
,
* u1 *r
lcc+>: r- t^lo f--s-u fl I
I I'E.r L s* su]l
.rr+)il Ctt)t'-'tt
I I g=r.o
rl__
I i -/--Tt -
I
I
I
I
I
Irr.ol.,! + &l7otL!2-, t
+.
i;
W'S+j.b
*t 8";^
ry
il,a- e-,vlxt:,.gio" 1,* 't;""- ''d-erwa'm
ft3"w ar,n *;'*
'
"7*,./,e-*be
'*;*'L 't'eiwL
Mba'btn- '^d-otivoleion '
W%orffib)
.-+,
T
'iB
a d-o*-l-nclrrvte-
a
JUJv&- *
+ Tf4-a,. Med"
-Tln-a- ,*'eJ1a:.luQ-"*
n
a -!- ts a. r^ ^ a ."-&P ru'f YLX-
J^) Jv*t-r^ t
furvtz
- cJ, uc.s u ct-cwPufa Ut-'c'
*e
W&
;t*Yb
nt
*gp+tvt-l
.:pf,4"q, -#,** ttv) "*
+ :.* 'b "t;r"* Wa& P
&5 eLlach. d'"-rr''P-taa'/' {*-
8
ZYN **"u
ct-:-
*? "*f*
-efi 'g,etord-
Js'}r-ol-!-'-L
,Y CgL
,rJ*rfu
J^
*q L,Jnb
L[+) = l- g
€-^ f *.lu +s) o
"dt b= .b.rr
) LL+)= (C+rt) =t.
*qL$p*rr
r-g+o
7h-e- *e>t-wt-
uYhxn # =
=5 S.-[^ce ) D
/
S*b (uroLLT + @) :a
i
T, 2T,,*3tr . _ L F
rnot ?G+sib€- ryyq ) Ld"L b1 1bflr
L5
c ctv ) = I - ;q*":t /,,&, ,Lrroltr +p)
t^
{ r-q-
I
-gtcrntxI
JOt---,
/r3-, [.^r"ttrr +e) = I - t
'ITJ"
*Etr>6tv
e
-dL L= *v1
Ll
€;vlfarutn-b e ,Lc;n;--v>L bQ- O
o
EC
o
,r9-,;
€4
(tr:Jtr * o) :B
e
oo
o,
?
tJt-
euag*
tr:
€ Tf'- C
Tr* p
tnd,
?Urt-
v&n**;"'*cd-*?
r-q qh
{ r -G,o d--ts
I
**ff
?ek
ry ";*oflet**
1* q"
r
furlp F -l ,l_
l+ eJxrt- ,t
g = +c.rr'fi?+
q,
tdrnw
*TF* bq-frr f,r-f,2 , s .,
-t Jtf""a- ;^ Aec. I
t'}ntrf
Xtuo;1l-sl bL @t^Yt g&
t€Lv Lr.inry )
*o.nP= A"U-e-
Adiace.rn".b
^;Ae
G^ci-1a-ortton rudL E
cryw%
o*o Arj* tt'h^e- Ct-)
9 vgh,L *o*', t
,gtM,
WZ bnfrt:.) dd4-c'- t
(Y o
*.r-}.-,
/ I-- P-
ryh { t-E
q/"
rye) UU-;L *
Gq
Ci__ € [-t)dl r
Y
So , ,b',^ s Tf-t,G.JQ-t w&f-f
L^: g}L
?eox 'T,irng:*
,-+ -f * '^-?
fr.;,.e- -furm*
Vg-lg-Q-
OVc-fu./t1-,rJob
t,p :-
d-e L
dL
,J+
_*_
dt
* $c,:nb
ee,
r', 6!,r -ELuo Y I+
b e- /,Fq-
C+p) o*L C C+)
&oi
o ,e.ivel..-*3
{
G quJn b
CCa) = | * e, .d)d xb, {tr:ct-b -h e} '
r*
,l !*E-
c c+)
LC+) =o (- Qu^)si" (u':ctb + 0 )
c^p", (uuolr + u) ur{
*
-To
t*
tl4'- ^ {*" P
IJ;(.JYLAq-
ur*Lu- W uto t +e-ry'c't
LC+) I * o
14 = bP
rr Q
t^:n U
g ( $t*n) sin
ts 6,^-rn b
C,^r'Uttq) € g t
FV r-€.2
I
Ces(**u +d
Iq"
* twnvI
€ e , Iq*, xl",(**Y +o)-cosC-"rt
llvl-'
 r_q"
?ul tr.t = Lun .lt-q'
+B)*g
{ry
E ^fnC*"rb
+e) ?G*- CG,& (*a-t -jl|
j
inrr .eorratru- *n -^^f "bLe'4X'tL+1 ,J 'f,q-
i'
l*" Y,
in
$
rl.:n b
wr g
{flq*
' t'
Je". I
l{ptf-ruoLrA ''--!Lc
Ce&&= = 3 * q
+{
d"PotensuA
4idr- I
t-un ;q.*nb
t,-s,-I
,,,
.,,
6
Lun e,
Qwnb
"$-^[tr:oLLt e) - q
f Cps e /';^ ( u-rd-E. +e)
L
*1
!- S,:o g C€6 t lalt a e)l
J
h co& ( trrcLb -{
r-
{,_q*
'i- Qwn g:
t{."} n e-
7
i r-
u
-q wn?
taJpl g '
fi?
* €'wov
wnE
re{ L_1_
t= LP ) *t'dY
g )^ :?w^b P
t-rp g
#
ar
) t-E-
*
e,' cg-rruncb
(vooLb +s) @,e d- (-s4 (t^:olu + g1 -rL 1
f.u
L*^
fo
L*
1,o'-1
L /;t (ur.-:"t-t)l
C
*r* +g>,4
dt C+) ;o
L ^i, [*+ upil
le eqP-o"L 'i']" o
tj
=A
? 6wnbp
gfr*D.
ctex_rn- /r-?,- (*"L €p) -=o
o)"Trrffi)+iF'
an-L
9=
M
or--o
,*}:.ce t X-e>to '-rt-s
, wd**P = Tf
I
+p = T/orL
JIq"
,xwv 1xs*a,Lb.[-e-'
.^s{c-CUt-
c>L_
&Y
= txJn
o+r
cC&) =
= -
'..[f
r,un
,lT-n, " ?
F Q utnb
trun e-
{"r
p srn C*au.+9-Jft-css (**st{
-ful+rr,i^ ,-co-n-ruoE bQ- qfld Jto 7e2LD
c&E
€t
q
-',i- (urror-t +*) - ,/fq'co* (*dL -t s) =o
{ft' = s[^ (rr.rclb +e)
+ -7h;.* e.Yon-s-n:lab.-L
.'o *n 1x&. 1ructb +t) - Ltrn
',[]" t*s(t*:*U to) =o
- Qwnv
e C+) € I I E *^ ^,},Cu{olb
+*) - uJ*-g" ces6.',ue'9
1-: L'
CPs (t^:clb + Q)
i;)
3t
ta-n g' = *ta-r, (wdb+e)
bq-n (krcl-b
wt>lt
ruct_t
tNdY
+e) 5 ba-n ( trr+ ts)
+C rs n-ff*&'
=., nTf +gr' g
F nTf
?u-b b=+DI
to=t,
t = nTI-
L,l..loL
nTr
c
Affl
.StrL
t*" + 7 r1'= I
wcL
+P= Tr-- *Tr
.d..-^+
uuoL rr-rn ',[E"
l"1ax-Lr.a-1.,.-y.n Aves*hoob / f "nx'
ove:t"sh@t
"'
--:. L* .;a *+ep'vlea '-a'/s cfr42- *'o*i S
moiai'n@,n
7+vv@Diry.r-.rn
e^ra.,tge- *o 'fr/&
vo'Lua-7 ld* &,.P- rn-a-}
'-W-o'y/ Va!^c- ja qn/,a*vou.,A' foe
V.]'LL.' '
I
,h "pe-o*, overt sh-oob = g C+f) - c CaD 1 ro o
CC".D
&Pr-cloo*L '-&<lt-Q-'$t W
?
*Tt4p* $&rulg *Wf "*TnrL'a-
*f
c Srwnb
C C-t, E l- e.
rFq>
I tr:eLa" +*)
db
P,*
M7
b = t P2
Lt*) =
* 8 fr) e-e) t CCAD E I '-
= l_ D s t [_
{ln=
4^in C*& bp + I
,T-
Y6E-
vaG '7r
v+,
(rr+*)
'- E uJal ao
e dn f,*et,o + e) i
,-
1*"+p
C-C+f) = t -i- ?
.IIT=
*P =E
t^bl
woL= rx)n .[Q= = - 7*l
?*.,Y*aFI*P; o
= -)g)
,lE"
J;q,
c (+p) F r r ;qT/ G*[,. a]
w',
? (erw
.|'r
-C-Dn&*:r.-t"ue-fou11
tr
-&tLffi dtTi .-,r"*iU't-
JA"le- fl*
G"
,r'*3, G €
=J-E,
0
*g*n 6;r =
U.6potorr;tau-S .1*&
ry
c&r)s rr;qn/JEE-
W,m-
cc+p)= r+;9*ir
r@'1
'-.9Y
E /r+ e EE'rr
k toc?
I
'/, Mp > -r tTr' 'l- *
-*---
X IOO
eE=
iv) SeL+
req.dp-ry
ccL) €
Or
i"'..** -X-t-7u[NefL
r*n T:JJYLQ,.
-.}..
7
I
-
-i'--L
-J..r lA-.'
frr-a*6
JA
d-a
-Eunb
l-e-
grg*,
frrre-
-ndeLo"rA/&j eyon-o.r^*r1oL ^:tryt-r'a'
/_ed'/ucsst
cJ.11c.q.,1 ry /L;v"L^/wi"L*f '-cor?onr,nt
&,ur-ve- JbD ,L,t::rL) r 'Ltl-t^
lo f e>t cnc-q bo"o'l' ^
(
* NesLrns-tt/H ) 2- */
" .^pE& 5 ,l , '.btgga.-nce-
ba*d*
ery{> Y* .c-r"* t +s) :*
+ The-
=
16.- *,^t-,i* '*x7 *t A%-@
*bl [war +s)
JE92
+ 'Tnlo- JLQ-8forL'lA- -$ *Btnn-d- 'e't-oLorr *f"-" '?/"a-L
?m Um e*f o& b*f'^xn*t'.reAL t)
.-
9
u:nt
I
e) AfurdsL c'nn-,oo",enL'n'
+ A,& (( reLt +s).
+ Z* #ilA
19.&dUo.,H"qrt1-
* Hqxtcut -t'7,1e
35
?la,- ** Jdj,'M- 4-aJrc bP-
$o* 'Du'k "1
"1p*
e,-f. r.'-e-'.'f,,;- 'tDrufrw* J*b /' d'oLe>to-nce-
,YtSt-*t ,
) Fo.li g-'/ ' Jr>tesr-cl,,"tec av<:<*t ba-nA* a"b € -- bs
*
Q
trrnL
L 2 O'O9-'
rl r _e"
1
, Fe.r, J-c-aAt V*U^i- ''$ q )
--Qrrlnhs = D.og,e
+ E',rd ***n Na'fi^'.qiL *iduLrn t *u
-Qrunts F L'n(u'os)
Iek
'
/qwnr6 - /4
$r^rntE F + ,
tg= *
9*n
) Foq .s{-o()}LJ_ "s'ceL!}t *^p'be-rn
'
'fr'2- *-;''e- 4D'AA'to-rr-L
0
oo-rw be- t = -l-
1*n
t3 ; 1T I t"= L.f . e.rutet)
' ) Fo" 6'/' *pte-rto-nce- exeLsq ba-' -d' o-'U t= bS )
- Q urnts
g = O'O5.
E-
E,
? tro+a "/ iu--c'A? Va"trl,^e- '^& q ,
r $*ubsg '= 0 c Ob- .
) U*( @"? Ncr-la,tslat 'to?o,Leti";"n , *L
X*
jr
I
*^*6
{ q trentg
E
t,,6rts
; ltu LD'oC
tgF
/3
3
3
9*"
*c,*,c*.-ax trero )
,frL *fi-lv & C-cYr'Lg-gnb
* Fo"sr Ae,rcr-rL
La-vv ba
'T- =
I
q*n
bS = 3T ( {o=
6- *l ' E-n L^s"{)
Dgl&ve- #'a-
-krcn& *x-da:+
ryflq<r
n
$"- .b^v*-
**Xae,be-J-
t @
ft c,-
--,fulA€-
Ye.-ru&
tu
IE'
gJA
I
cL-
CI.*
.rsq-8U
Q=,IYL
.l o I
.xo.h."b
+ Th-a-, A^e@rvd-
tre;vu '*+ M t"*P
dt),rry Yat{^on
s
uI-&
ccs) tUn
2^
S i 9-& UnS+ tr)
I
RCs) (
3Y
o
> 1+.,&- yd4o.2lqlbj&s+%- e4fa*bD "[E s+
"q
u)nS *-t^3n2 = o ;
uJ+lDLe-
A = el-rl-r
G
--1 - dy? a+-,
=TI4,a- 'rt-ootb 'a{. {'J^i
u
sr tfiz s *b +.'lF+^L
2a*
A- = I
b = 9-Ecun
? - &)nLJ -
=Si e-32 = -_L€,LrlP +
t
7
Sr rss = -9*r.t *, G{
St .9z=-gbn:turn{-q*
J^y?l't^a ,
Ed = r-rJa ,lE{, Lsi)
. t^,'L y r^,n tJI1*
€r)Ss= -qq.rntj*,eL.
Ca.t*. t :- g <t ,t-undat< Aar^f e-"L
* A.puootu
3 fY .rwffi
il,rrrilb o
I
.,_ RCs) : I
Ccs) = RCs) t^r n*
d+ l-eturns+t'L' f
CCg) * uru=
f+2Etr;nS* t'trnL
,Affin q"*nz,
CCs) = L^ir,*
** zur,S *9Ln" 4Lt-r n'- E'*nt
C Cs) s Lunt
(s*E*nf+ un2 (t-q')
C;Cs) E wnL
(s+
t*.0*
wd2-
Md${* a;*d- divi'd"Q-- t'L} L /
CCs)= urnz.,r^lA
ecs) E
uu&r
lrqr,l
trc&
s+EulQi:*q
b tx s[-
@)h-,r-roL2 :
c cs) = 3f d
t,,ttd-
Cr+) = f'
CCA s wnz-
;
Cct) = qllt
t^)d
VT!"
Cs+€l *0=+ t*,,"L2
usd,
f
c cs)] = lr"1 ;- l
t t"tCL
F q.'nb
8-' /L,f')
e u:A

L (s +*n)*
+r-,){
t^reLb
kAu ii :-
+ -rl'e-
9T:^
+T1r',-o*
o
JA
r.ql^lnL o
g v ,.3;.n t,trcLb
Ovwt ol-a-r,.pe-"[
> t
*t oota o'lu- -'oLeal '{., Jne1o*Lv Q-
-ur.iu- -r: W ry
RCs) = r
.rz,,,rud- i-orucr-,,,.-- 3 ry 1*,.tl"t"
C CS) t^,)nL
Rfs) uft "qu.r6rs+.^:
r|
Sl s * So,--
Sz = "-gb ,
S I E g t*)p1 'j-r (A:n al q"- t
sz : - 9*n t,-n {S-r .
CC+) = La-:n - e L$ab o
e- L /YJa t''LjoLt
t*E"
Sr ?sz = qt^lntwn..[g;-r]'t
CCS) = RCs) wr,-
?h
Cs-r-sr)[sts*) ,
W? fa"diat {a-a-c,tr^on ,
?-,
CCS) = [^)n- =-- A , + B o
,L
Cs{€,)Cs+s, s+ s t s+8 L
ccs) = DnL r ACS+S!-)+B(s+sr)
Cs+s,) fs+s2) Cs+sr ) (s+SO .
CCs) = ta)n2 = 4 Cs+sz) + B(s+S) .
?Luts g= -Sl
bn, -- A(-s, *S-)+B (-{r*g,)
= t,( 1,/" + ur^ ry'-r - #^ + *",1F-,)
runL = A (e u.rp1
Wr)
A: pntF .rE tl 6 A=tOn
arff*,ay6$r
-sF"|
P*s=+Sg-
t,nz = A (* ?L+sd) + Bc--s2 +s,)
F A(Efr,E,.rn1@l ..- gy/r"rF(-urndpr) ,
4l
wnL: A (* rcwn 4-t)
13 = L, tl) n/
&fiw
B E _ t{JD
&,q_r
Su--bs tibr-u- fr/t-a;o-L Vq-Lr-Le^ -':n eq/-th;n O
ccs)F*fu +fu
s+sl g+8.e-.
CCs)= c!4 f t- - I I
e, {f- r f-*+s ' t* *l
A farcfnq -tr,veru,-e- Jo.flqce- Tb{ rrL
t' L"c*)] = wn ,
srlF-'
1-l e I - | ?
I s+-s 1 S+s21
Cc+)= Lr:n t -srb -.-Il
&F-, Lt e I
b,
U*t:k -*fu-lxe, .
"{LU)
,t9'' ( t"r-n-et-esr
el-antp€J-)
Llr
A*oek,Y ,l4gA ctL 3*
J*f
l-@r
h.la,oL frrrL sr;AL
ync*ton , erc*) = to f e (s+z) , F*nd frt^-e- '27r'v'
hfrrbl ?*d*n. ove*'ushne:r_, l*h "dt""' 4-' & ^"*"?
&cs) ccs)
Sotr",ton'.-
&Iv e;.T lDa.fq- i-
Gcs) E
,D
Wad.-
SC+D,
SDa-bcu'-
tiae, "k*^.r."- )
r/.Ov ) f€-cLJ,e
.-,t1-nas
t9* Ltndh e
@4-d-
^*n &-u- fl *? *"f.^k %
Fo,:+-'*tu,/-,o*:-
T}&e, -L-i-r"Le- tv rd
OV€-P{-,& h"OOb ..'*
?g*3c 't na{- *p
*- -J- I, - bwi, urJl
ruoLL A
F qu/,[q" x roo
=Q
Tr- o
tu cL
^/, nnr
d *rr
.3& *,ta-n4-s- tg(
t .:OL !
-bs
ts
Zr
4T
fw
5 */'
-Tole:to*r1 cqlSa-n
ft
2-'/ ,"Torytance- Bo-^d'
? aW "^cJ,es+-d- *rern-ry* 'd-t-rnct{'o/'] '
c-cs) s &rs)
Prs) 1r qts)
ht cs)
&ivetw **tr--b, &Ca)r tDf s(s+z)
= to/ S5s+z)C CS)
ecs)
=, $*"c -"*'& 1eod"a'ci&'
= to/ s c$D
sG+, +jD
s (st-c)
I +.,,,to
SG+r)
Ccs) IO
ecs) Siz s +ro
to,
,l+Ajtubnn
t)
cLs) tJ-, n
2-
R-cs) L
SI+ tE v)nstru n>
@
?@rv 'w-Y'*
t,tJ NL =
@" O -h @ r)re- tr
lo
wn =- /*
2I tl;pl
q=
o
-
tl-
e)-25
2 tLt6 9.x3,lgc-
til&
fN&
= trr^ rEz
= 3,162
fs
tr s;,
qvi n
O.3tb K 2.169-
g E o.gqql
)+5
Find* *y =
*fT*&
wcL
e= *odi;'*l ,.-;av t- el
9
g s -l:e.nl
I
I
*v
,-lt,8.^n
t n LBg
T:J-
UJoL
s.3lt,
r o,Qol{"--lot o.g tb )
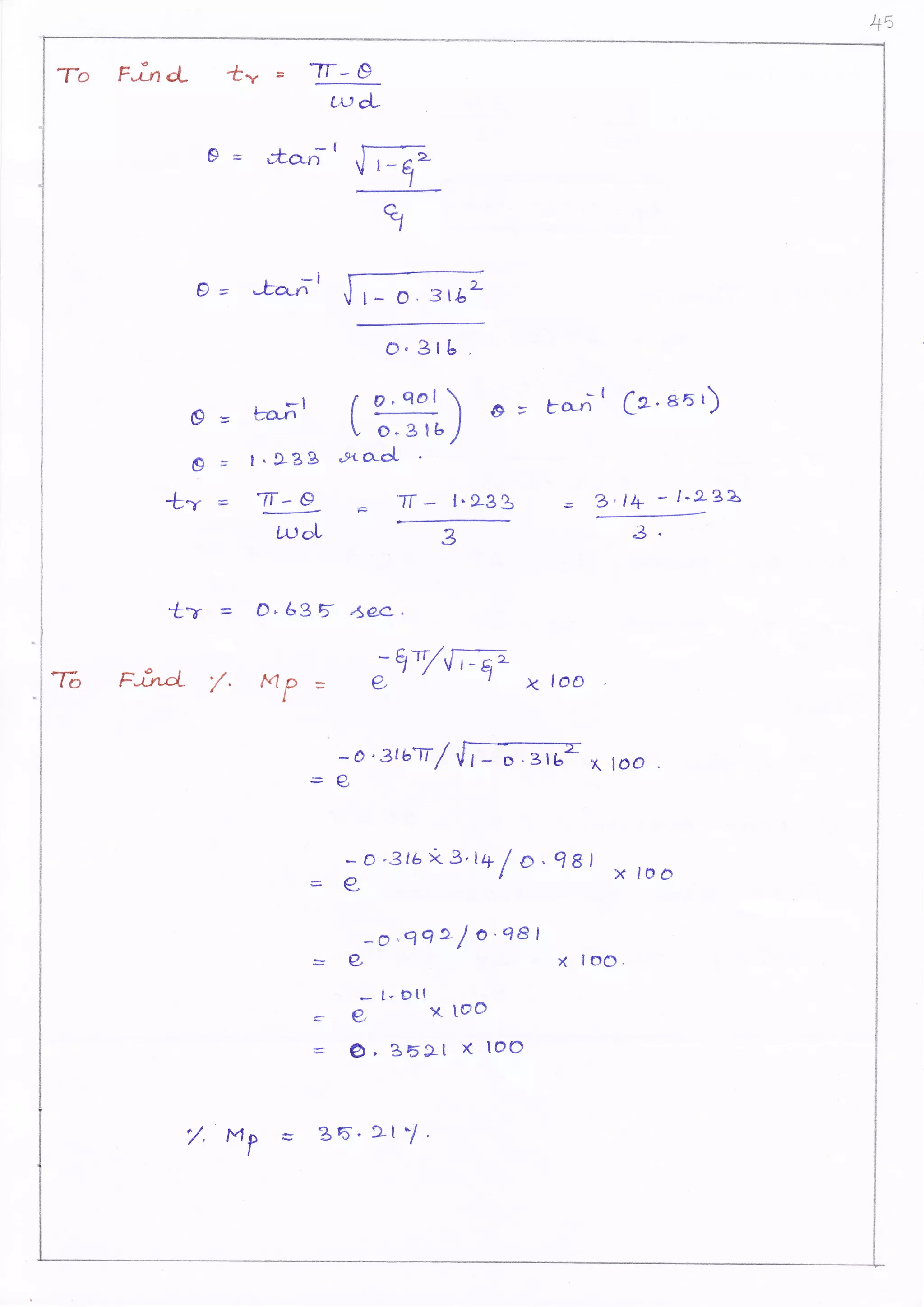
'Pt&oL . -
F Tr * I'a33
-._ [
barr (z'85 t)
= ?'l+ -- '"'
3b
3.
*v = 0.63T $ec-,
ryl,o FrhA ./r ny =
-Ey/tfqg / Xloo .
-O ,Ztb-ff
/ K loo
E
ts a *3 l& x 3'lty / O ' q 8l
= g, I x loo
-o.gq9/o.q8l
?- x loO.
rE [* Ott
e, x tgO
A, 3511 x too
O. B lbL
/,Mo s 35'}-1-l '|
I
?esx Trt,a.:*
t- Tr = ?'t4- i2
r w& a.
I
= I Sf.*,c_
1*n o'31& x3'lb2
Fcv 2'f . €!'tJ.t-.19'L, ts = 4T '- +Cl) = +ry
tro-rr. 5./- ?>r><-o,et, ts = 3r = >(-t) = 3 Al2"
Q.ea utb : -
'/. +ed< oves-a,hnst '/- nop = 36'2' / '
I
PeAX +1r.rr;*- tp = l. o 4t -ec
I
,eJ*t,ti1-? *rrvt^L +s =- L*/, s 18ec.
5^*f-€g4ec,
8. .U$l,bd Fe:e;-bacK
*p^e**s"ryf*etrsn
D #"a*
Jtoi& 'h^*VU vtu
*o
QvMOb .u^e -lJJvt-e-,
s^it
&?ve;z Sa-|11.,'*
&r Cs) E
SCs+t o)
?zqi*tecl .}cr.*c}-;*
3@r-rT
W, Ao ,frq-oe
--%,*er*
3;
t/A{ E trrn 1@t
F 4-T- ( r$o, e_y.
r- 3r C -F.,aL E */.
= ,Jf,
rucL .
w)
@-
TI,ri-
,.OJL
de-rYf>t*<.t
*f rynv
ld
pec-le,
Feo-le
SoLrfion'--
e*-.c, ;rt*cbee{i4 a& %
arc) =3 ,- r
S CS-r- t o)
c*5
Va-l,,tlg K- D fl
-a-b @ @ob flI
$eM;nfl -b;"^L , Y-ofu
c-ov o'--L *T-curue-
o',b L{r1-oJ<, ,ove-eu,hor1c_ A6a1- a- .-'*r&t 4LaP -^?t* '
troM:-
ave*+,shno E y, M? € nn*/'@ ,. roo
&
f-lr'.rt*- tbp) -
.*r-- ,
I..*r"r4-€- Cfs)
l'+CS) E I
Ccs> = Grds)
= &c.s)
Lts) lrF+G)&ds) ,+e,f-)
tu Hcs) Gr
ffi d *f **,elion
&rs) F _j!
s Cs+-r")
C{$ .F t<ls c s+{ o) K/s C sTao)
Rcs)
t+ K/s G-uo) s(snQ +rc/s Lyro)
C Cs) K"
oR(3) ^2s + rDs+K
* T^L Vo-l-u-o- .,g-t K L,Lo*rL be, ,a_vo-L,t.o,*eol b*,T
v: u(-. Cl;-ra{iryvw'
n
'L ,*Yo..nffua-
tr^^^c*L" a,^,rt:e,u
.s.tanAo,yd- j-;o-* *t Xeeon/-- .-e%o1.4-x- br?n'ey
c_!S2= t-un2 _ ^ i
tcs) *?"9ur,.,s+uu n2-
---@
I
I
vLDt*P
#4R-
flc-tt^on
+q
0^3n 2 F- k- .
P;;-"'"1t___
e-
ELtJn = tD
g= lD
,
;;.
.-.-"-,€'*-{t
!
s tD
& tfl.
A, = D.5 -h L"u6 =
I
C,6- = ,A
* Th-e- Varl,ut*, t^B-l K € t o$
T
ltrn E ru= too
&, dE.
. !_?_
e, Io,E)
Fy-
I
{
I
€i ae?w.4
'/. PecLJc
'i, n<p
OV Q*lAl7.;.Ot .'-
iF gn/ffi2-
F e, I X lo0
* 0.5 xTl- I
;g/
9-
[- D '5' xlDDl
E 0.1b3 X loO
Qealc fu'-
W& = u-rrn ,rEt
=to
= lD
= lo,,IlTt
= lo K o,Sbba
= o' B g6 ,ha.d-l *l€e-
I "6bo
= 3.t4
Etbo
I
tP= cGBb3 rsec
l * o.45
txt cl.,
Se-t*td*fr
ry'| *{_frL€, :*
&s=47 t $a"u
**l !
_l ._.- ,
D.5 + to
w)
Frt*l.-F
€,LD n
l
5
e;*oIa
'/. FEg-*q-
tr?
S a*f-L*"-u
(j
S d€""p{** lnfre: h
**1p- '
-I-*t*v'ua- bD =f
T**,t*tfl, b6 2
/" rp F lb"3*/!
D" 3 &3 Aec
D -8 3ec LL.l '
o. b -8ec L 5 */ +
Qgre<-fr*t)
@,
q. Dex.rfue- ..i}1&
tu &e;cg;'n^d-
^ef
-P.qfui,'
S*, uhSo A
? lrchnn-
w R(s) = t/s,
R-(s ) .b)-nL
CS+c^rOt
trJnl - tr,nl
"S
u-prLL-r^-Lrcr,
tr
d*'*P ef
-v.-,d,#u Y ffie-ebd- f,*t,
O.-
o.* "l;.-mjlb
ry Y E=I? @ & dx
I
Wa
? Th-e- ata-nda-*d-
$*,*
*t ,c-l'*Sed' J"Yt
o
*ec,nA --Wda*,
W 'rtz ,
ccs) 5+rE---r-r-_
wn'
gCS) 5;1+ e-q uns +tnnL
Cvi*:tcr..;u17 q=r
qcs:- u
ets)
tr)n'
2.
g+2 t-trns -Ful-:nL
.9CF) ,= Lj.nL
Rrs) (s*r*ni)'
Si e-rups + trr*Z = Cs{r-u'D'
o?+ 2o.b Jr- 62 = C cr:rb)-
r cs)
CCS)
CS+urO2 SCs)+r-,,-irlo
lr?.
) B1 ^fffi fW fo"d;"n ',
C Cs) .= _*^o
SCs+w6o
FAr :
.S
+c o,
(s**r,)o S+t;r rf
Tb
#A
A=
,-
sx ccs) l
(s=o.
;f,x wn? )'
fi (s+u)
-)e-
[ . EO
€ Yl=. 
C 8+wp1)z  I =O
; tLrnl =l
t J nt
To
Y& E .--
B s (s+ ur6** c C-s) {
l*= -(r)6 ,
a Ce
"/D"^
t,).,o
s(s"/O"
S s -ulf.1 1
tL, nt
ls *s - t-L)n .
*
-Yn,{.,
wvl
/
# t^)n-.
To #ct--
C = .L
B = -* tJ.)6
ots
= .L f Ldnl)
E L - jl*E-t$6
= -
oL [ (u* {,1'.^ k)",L 1 1
ots L %*/b=llu=-r!^-
-- t-t)1..L 
S2- S = --rr)n
= - y"i = - t*
t.)n 2
+ S,rb-slil':'r,n*, A2
Ls
B) L
tun?
------
-s
V o-rrt t^g-s uJn-
*l #
E+tsn
e-l/-o*/r., O,
CS*rD-
ccs)s
+EX *^t".'? itve:o+'e- ;a-p-l-o'c-e-
ffi
L- 1..",J =r'f*] wni I#{ -L: Itt
c-c+) = t- ,,n+;trrftb
f rr
^*-Jl,r-=bzlI a .
-
l' cs tct>L JL
,
cc+) = [-r,.,nba*t"t: Ctrunb
cc+) = I- e-wnL fr + Lunq
xnyub *rarlAL=
AW
Jr*iW
ilrr6, ffi.
.3ote;.}i-on..*
ja 4fPt *"L ;15 o'- wlLbd f*"""
GrCs) = tv/e[s+r) . f ind- fr'12- e@A'Pn+'P-
$
C CS) s acs)
R"cs) l+Fl cs) G4cs)
n- l2_
s(s+Y)
t+ t2- Cr)
S Cs+r)
= r2-/s6s /t>
s,(s{_r)+ tt/s{l
€ lL
S 6.s+-t)+ 19 ,
ccs) E" tL
Rfs) si -1
s + te-
CCs) E 12 'Rfs)
2_
S +T s+l2-
*r1x-*.
gCq) = l2 '.,-
Rfs5 (s ++)(s+3)
CCs) = le- R.CS)
G+O(St,
CCs) r , lL
Cs+a) Cs+$
+81 ffi f& ffin'
t2- =- A ,F B,t_
4l. r---,+ t
-..-r,
Cs++) fs+3) s+4 s1=3
51
-1
$
t2 4G+t + BGs+4)
(s+4)rft+a) 6S*s)
l2 s A Cs{-})+ rZ fs++)
Q*b =S= B
re- s A?,il+{>+BC-B++)
tz = B€rr)
?ur-,tS=_+,
t2 = A (*++s)+BC*/*f0
12 = A (* t)
A = -12
C(s) s L- l9- + 12*
S++ S+g
* B"d -rertl'r,n Jn reor-t+- -fl*"*- -fro-ruf m
*+v -3b,
CCt) = r,E l> g + tg- s

Biological control systems - Time Response Analysis - S.Mathankumar-VMKVEC

  • 1.
    IVM U/VMKVEC/ETECTRONIC SCIENCES/BME{EVENSEM(EOURTH SE$I' 20L5-201 6 I CBCS-Rz0 L2- FULL TIM E] 1. what is the pupose of Laplace transform is used in control iystem? 2. Define step signal. 3. List the steps involved in obtaining the transfer function. 4. Name the properties of transfer functions. 5. Define time response. 6. Define differential equations. 7. Whatis the purpose of standard test signals? 8. Define ramp signal. 9. Whatis an impulse signal? 10. State various time domain specifications. 1.1. Define critical damping. 12. what is meant by type number of the system? Give its significance. L3. Define damping ratio. 14. Define Damping. 15. {hat is the difference between type and order of a system ? 16. Detine resPonse. Mention the test signals used to determine time response. 17. r//hatis transient and steady state response? 18. Define-rise time and settling time. 19. How the system is classified on the value of damping? 20. Define steady state error. ", . $igncr : V II{AYAKA MI S SIO}.IS UI{IV ER S/TY Vinayaka Mission/s Kirupananda Variy* Engineering College SALEM - 636 3OS Programme B.E. BIOMEDICAL ENGINEERING lSeme ster | 4 Subject Code & Name L0 - 03 - ZAL6 l Oate rf B 3471240I. - BIOLOGICAL CONTROL SVSTUNAS Mr.Mathankumar.SName of the Tutor Assignment. Irdo. Date of Announcement I $hort Anrwer / Two (or) Three liner Fxpgcxnstlon $k{rk ,,{*rr#m
  • 2.
    l.l J. 4. lvMU/VMKVEC/ELECTRONTC SCTENCES/BME/eVerU SEM/FOURTHSEM/ 20L5-20L6 I CBCS-R2012- F U LL Tt M EI L' Derive the response of first order system for unit step/ :r.i rr rur.*,:.rl$ e- 2. Obtain ttre response of unity feedback system whose open loop transfer,function is G(r) = a/s(s+s) and when the input is unit step. Develop an exPression for unit step response of undamped second order system/ o,restla-,n.r.c A, Wrile- the expression for time domain specifications of rise time and peak time with .Derive the expression fgltime response of a second. order system subjected. to a unit impulse input for (<L and (>1,, where ( is a damping ratio. 6. A unity feedback system has an open loop transfer function, G(s)=10/s(s+2). Find the rise time, percentage overshoo! peak time and settling time for a step inpui of iZ units. 7. Develop an expression for unit step response of underd.amped. second order system. 8. The unity feedback system is characterized by Eu:r open loop transfer f,unction G(s)=Kis(s+10). Determine the gain K so that the system will have a damping ratio of 0.5 for this value of K. Determine settling time, peak overshoot and time. at peak overshoot for a unit step lnput 9. Derive the expression for critically damped of a second order system subjected. to a unit step input f.or fL, where ( is a damping ratio. 10. A impulse input is applied to a uniry feedback system with G(s)=12/s(s+T). Find the response of the system. 5. Descriptive Type Questionr (Erroy Type) $"M{ffi, {rw#*/4;trlture sf the Coordiln6tor
  • 3.
    l" ?aRr *nA' hths* -AL trcnfuet fi-Lf*f* f, 4^"* k-*"ff* "LL .LLLPA;'' + TPLa- orxff+* S *X "con:br'e'L ffi, Y r* W ,@.tL ,]e- ,*a'a;:<-ed- bx 4s{^/"^? i-*a1p*I s)- eWfV' Y1 w? fu ;oL'*re- + ,fud.- + { fup- # ,ob e- + x;t € -MJ,3 * + fu-n4-P- t ryco..tion "*{ ie L*rv bu Ya& or yL >o +^* t aD jA -Cg,UI-d*jk g ,jJa WWY1A. Datu"b ry W:- +w +-I+ A =tr.frLQ-rt" d"_.a6+Ld- tlct) . irtr/et"v QA r RC+) = A o R-(+) = D J* JA ObLatrnr-*? &<L *vo-ru*fit:t: **--t ?. Lfr,U "ffi1L aJ- WnA flo"*'* ?
  • 4.
    + 'To Lqfl{-a-c-e-*-ran-Y'n e1*c.J;o"^ i #4-L Dbbo-in ,lr. +To .fo .ICA2* ;'y^* va'de"Ur:* ' 4, AIarne- +--fhx- i' ,fr,r- T, '-'av tr:*-^ou ^-'l'a'a-ur'* pt, ;a ,,,-nt ry @"ud- ; ; .-$ ' P(s)' @ol-e-*TP>r,o,fub**Y,-rM-*1.fr12,..oul+,d.L.)^ + *ffLa. J{,oot& 3 'Y*a- dzrwwi"o*v otet'L "fr42- "-l^ aN 'd' frR- otped-* $ #^a- -v^-rtYu)4o'b3-t -alL-e-- T:"ruYT,l ::trbaA;'*,kv-rn: *+ 'frlQ- )a*o#::n 5 'H^t- *t^pedz q '#"4- i I I I ,&i5, utva,r,sy f**-U3t' r -_.|- r, .D* J*rwP- + *Il'lP- t I t t l M o *t*rva ' *i,*o I I I-- , I I t a i t !. I i i +-.!.++ffiri*, r*.f Y yc^u'bt, .,,e4- ToL
  • 5.
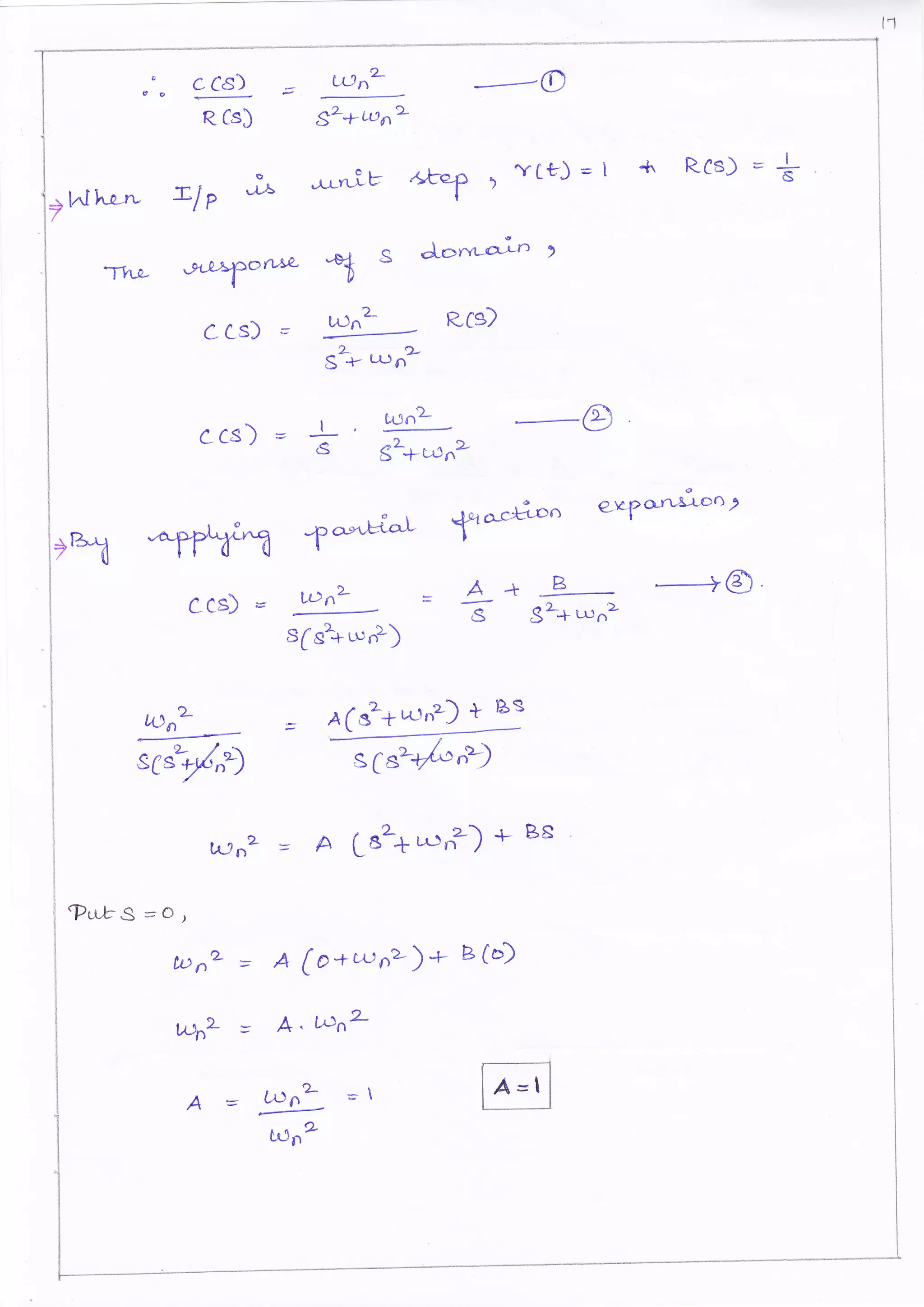
    +;r* s .I-8 eCt) c +T"b L,&+ ,rti{'.Q--[ frvo* t *t * "'o-vrA e JA Lo.*&c-e- srry tr^"'ckbo f"-ct^rc-t rye^NoL /*a-L tlh^oL*" o ,,IA + Wt"Lt'a, *ffi fr-?d .UfberYlA ) *The- bors-t"c, '-b{DddA L#n,a' J- ,ffi -fu'Q* i-,b -aA L/* .*-r"fo rtA.L ' + Henc€-, fr'-a- c,L}{-al,u :H't-gt^e- / r{.LA-e,ct '/o.'4 tt* *e;x *c;-vLeJf L/aJ{.-Q- -"C-o-f'1"!-t ,AvL 8, W uory (rt'lt J' A 'q4 -oa'No'')L *f A *L*T r- -,-tr Jir",e-x}1 Y.g>tn '^ak Jk .,-'-i ;O}'C'LArr- lAa-nn L /**aL @ v*Y f"ft"' va''Y jtt'tia'L #1 C*) 5 At ) #t(+) = O 7 1*-- ba o
  • 6.
    ?-4ft=r) JV,an iV"i ",cq',[lLcL .rrvuit J1a-rY fmcU%n " Wr,,vo-f ,,f^ vatw W eift'"d-1 + AW qvun *Y:a7rf**ur^"tr'r^-ts .,avcriLrlrlr- xe,..- tt*r-d x"l"'orr L 'atr^stq*Lon ; 'rc-o'J'l.c-lJ- -r""rutae, /rfln-qt ? ' - .,nd n ,.a- -rr"^ifr :"fry' Tcl-e,,,l ry*- ul f' JA,$'RJV rf.' ca' df J^ovt'^t Y -^"rt"-ir,"- ) :' a yr>1a *r,ar'u!A -a'b 'A)/L Jj*r- "-ff '4k -L =o + Ab b = o *t'L *-i?, u,t'u& bersmr'r' =; 3t &r *,YD@ hd t ./AYe- ! $Ir Ce.fl*f,@L ryt #v + cl-it*-lc^al ffie-*-tru -t de -oL@ -,S&er3@ c + Ueuf"o.,u -cLffi trvi d@' fr''L
  • 7.
    CD- WuU,^,b ,#"*- dD ,fr.Lg* a-nyru+fe-oL I .Pt-Q.-e,-CY1-O--rlt W-il"*f .-.g&dcLcutfx-t Wp"44, Jk -.nr-P*aYtV C>+t-vz ilz Uffrycnst-ue r + -Tt,'P* W* 'uru'-rrubelL ,q J*r #rc-rt&teH f^e-'kt-on T * 'TktR- *r"Le- tr +;;e,* -{.{=t:**a* gsat*l , nn*$q>t AIvvr*l D *iA ?. lelr1,* -'rurr-nrLb*t S f** *ee{if , -,&b-c-fc{gi -frae- 13" b&)",L D :$ -il4p- fT M d"o""Yf*fl *1"ffi ,*D ,e$4,4j" sffi ? db,1s4* Jrr.-lrLG*Nlov Ev.A? uff"* J,L'.-et CJ4r- cte*tden% ;Lo ffi % fr,^e- We*fi) ) .D,{cflu-**^6 iJ co.-tfu-id 16, o* trern 1 vYttrrrLbep,, dgsL€t"!fi .fue- .-,eotc>t-o-el .-![ fruL- w + Tffr u^sf, '.oL truwe-q e*. #rLp- W 'r"-rJ;]c-o.jue4 ?*vex**ru #^b iglE rln cl.*._c_qjbg-3 JJ €* #'P' W'i ".o}3;,r-cr.^tcA -=t
  • 8.
    tb, l*1 ' Mer^f*&n fr,L*e;.v W "-L"t*€d* *fo^-{'e- iA fr'R* -o*q*^} .rl^eS{-eL l'" *f* -o'L o'& 1-ttne-U-tsn 5 + :l:t J* </-l-"..r*wL LCt) , -tuQ*v 3 1 P*-"^n ,Osv& fufdal Wl4-'* J3 *raruxie-n-b 'a.v1A' -c'va-,a" s<*'t'1ov't,.*u ? U ! !€tr i *TstM .,b*b- '3Le)>.D,on'"9L: i , v e--t vdFv- v- I D.a#^{- *{, de.b.rytrtt-ix-e- + Tita *;""e, fr sU4a- -?ArrrrJ-- . * *TP1a- *6rrurn..-G}^? ,A-l-,eA rual* ;J-' '/Co"*tust )@ok-tn- lg" + *Tk1-o- Me,tL ryon;&€- 'tA JtJd- *r-*1)e.nA.e* "h L*6!- @ 'fr'9- /,r?otfu -fu 'e'YLDUn*o>t ' hber-.rJa "ubr:-'tg-; { =+- Th-A-7 f*rYl* crve,-:- ,zyea.-o ,rort!- "*T* ; #/e- '><eafon'LR- ,,..^-, -ttrrrrL, t t / IApPX-D f*a'2L=aA *S-Od ' DeL;r4L JqJd.L D -,LL"r-e- -OJ/Ld- .R;pfj';nq ,*1r,1-g* i 0 + I,* .,ri Ju^s rfr-''4- 'xaif-bte-a' 1-ea'- fr/s* y*t* Jb -rr;-rr- o - tDoT' tr*' f"-- .tr-" 2' :f,6 ,r: MttuL -aJ-' Le1 '
  • 9.
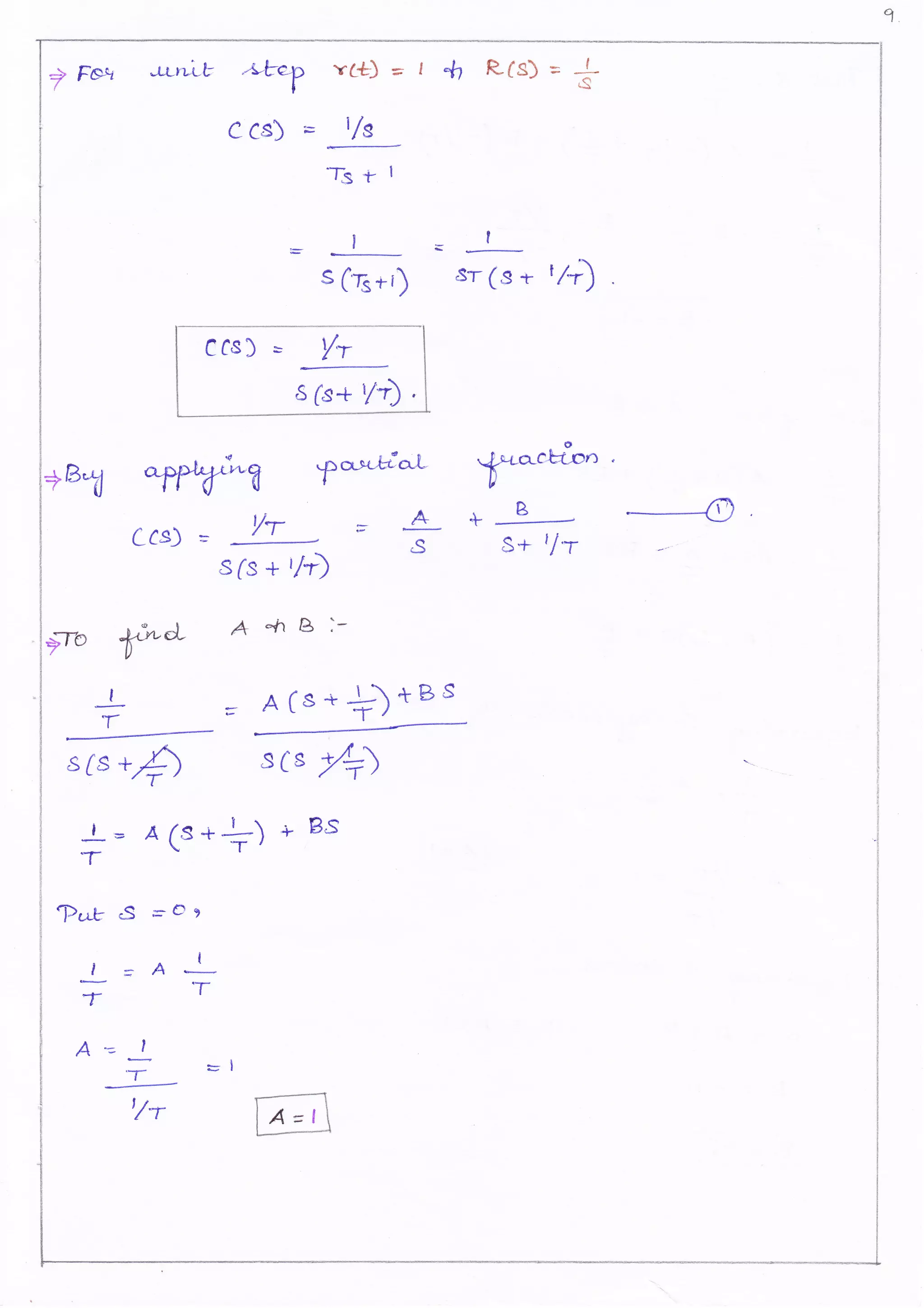
    Selrbt.fuX -ll-Y.U* lq HoLr: =S -I.rt ;A { fr4t* JLt-nru- 'h,zVj;Ae.ol -f**- '#'&* .^xlSA<* ,JL fu 'LD4o*nw-rU)51-NQ- '*o bo-nA. -L tgqo-nce- bo-t'LoL o*"u'- + Neat-r'{.o-tt Lf . c.s4) 6"/ ' "{'eL c, -IJt Lr-t d.p,,1otta6>L --a- tS *tr* tL Jlu;ltLad- L-ovl- va/'P- vo.'b'*a- % da.mnl.n4* 1 +L;^*"? '-s1"L 'fuLa' vo'l'u,- t ]1]f^t t tu ry*; r^ "*,'o-x*:yea- .int' ^t'*^r^::" =o) @,te. r : U,a-cl-a^,tyecl *f"^, t"t**f""t t Ca,tR- 2) U't"d"ox d'rr"'fe *tr* (o t oLa-'^'T'i/tt 'rtoib ' ) La*e-!,. e)1L+;cd drrr",fl ff* C"f*t^pr"O xotrb =D La;e-a,: o ve-st -d'crlr fun' "fY* td'c'r'Ln;.:i n *tc.Luz >r) '
  • 10.
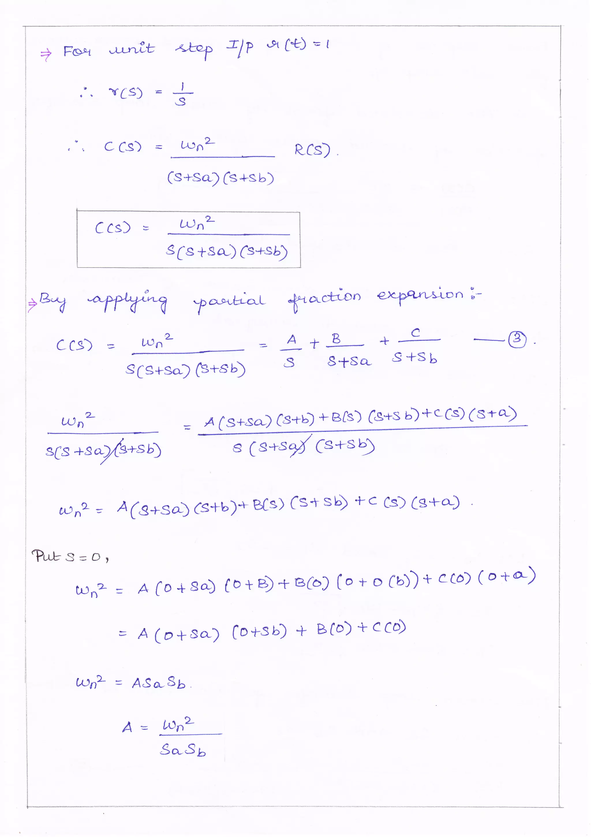
    l" ?ne-r *nB" S ex-flve"fi'b &rrLt e? / ryonw .-{gtr "tt*",ia ZW $ t* Jrr*f Ytr +tu@ va*- *d-s4e"ct tr rprdax Y & $"f'"d ff l c cs) + Tne- @ eJ^S,3e€L "&-{+ffi J"*p +..*-^y- ,U''^"rtb^ % Y e, .,l.A € ;3 9.Cs), = ECs) 6r Cs) l* HCs) & Cs) H e:-Lg- t & fs) H CS) I -t; a+i TS =, tu & rs) ,+Hfs) Grrs) Ccs) /rr .t/rs t+ /r* l/ I /7s -l-s + I R-CS) l+Ct)*,/rs T!+-, w c cs) Rf S) C cs) TS E +t ers) Ts +t
  • 11.
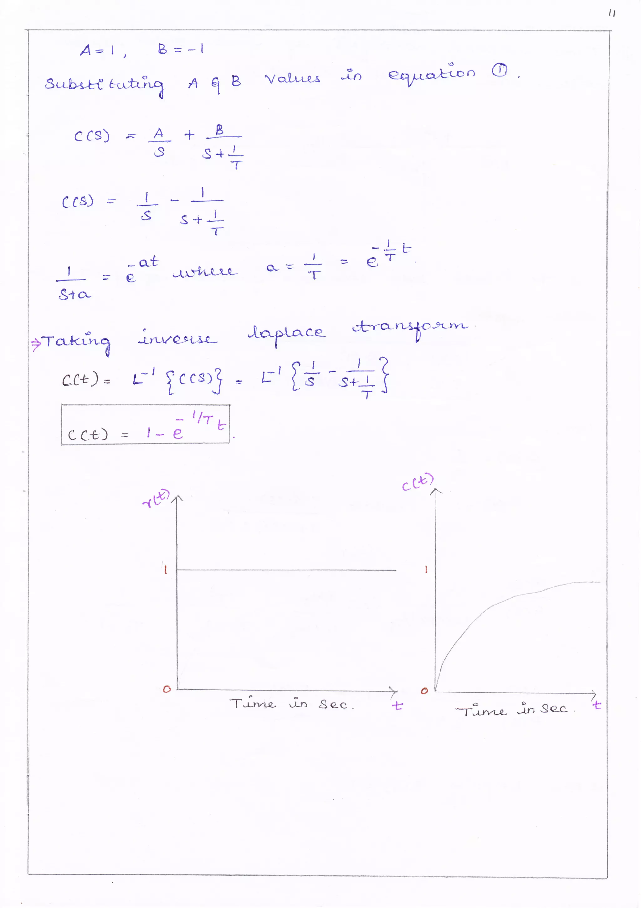
    E ? Fgry .t-t*ri*''L T vC*) = - l/* Tst I I s (tsr,) r+1 Rfs) = *J* ,S ccs) = .sr(s + t$ ccs) = +81 W ? Yr Sclo,Hal I r .-.4- ff".-B s+'lr g. Ccsl = flb YeL sfs + ,/Y) A*fiBl- -J- r ; Ars++)+Bs sfs+.p scs *) J-?= A(s++) + tss T ?rrf *S so, .,,1 s A .* t ,, TT A= | -r =lrt Ir'/'T
  • 12.
    tOt) ,r" P* A -+1s L = a(s**)+Bs T ! = As+ L + Bs .TT | = (n+a)s+ +TT E%--eJ=tn? Co- lfrlote-"E *+ f-s.r4,rJ6o""f,4 ff A=_l/T_=l tfr O t- P +B PL'l'b A=t B = i-'P
  • 13.
    B= el A qB Vo''t-ur-ea r-Bl€- S+lT _L s*t*L T "rrYh-(.*-s' a- = wn oSur-b+H c cs) Cfs) s j=-A .S *L s *at gt_ *- S+a- i "- ;+b_ry_. *r _t ? s+i r-rJ flcr-$Cu*? J:+-vQ91";Lf,* ; ' I ccsrj -tyttr ce- = Et I*- i#.rr**&f-C -FLn'"l- r r'i)"? d,lrb l* & /i /t i eC+) = CC+) =
  • 14.
    LIi) rJ-rw- o ,NeLUlu ryoy1,-..L .s- {^"r* L"eftdr}L tr- ;u*rLv + T]n-e- LAr4c>lr:ll <,l4>l-eA. l^e{ ? J*rcttlo ..l>6 f* ccs) = & CS) Lcs) l+ H Cs) & fs) l-le>a , &cs) = I :rs =tt-r &) g, cs) t-rHCs)&Cs) c c3), .= Rcs) l}-E l+ t/r* ,_B_ TS +1, /-!x 5L 13rl Ccs) - Rcs) t+Cr)* tlrc ,1 _l ecs) -13 tl FC*)* k+l ? troLlr -f* RCs) = 't 3/P
  • 15.
    ECS) -rfs*+) .= tlr S+ rl*r cc+)= yr e bl, c tt) = -l 13+t *, gJ,L* M fie_ ry ,;A 'bt-",,t"v n c tsg # ,t{q> er$ t+H(s)&Cs) J-^ .ec-,
  • 16.
    *' 4ls1.srr) l+ ,4_ CI) SCs+6") = 4lu1r/q c cs) eCs) gc) Rcs) s6s+a-) +4 @ L -'f St+ 5s ++ C CS) - 4 RCs)€l C-@' CCs) = +(t/s) (s+ r) (s++), eCs) = ,,4 sG+t)6++) +r3*( #t "os.;uial- d"tacHsn . A(s+r)CS+4)+-Bs(s+4)+Cs(S+D 4 __,._ E s(s-u)Cs*4) &I s6stD6*+) sGn>.6*)
  • 17.
    4= 4= ( as+ n)C's+4) n&++ns+Rs {fr+B+ c)*t+ + Bf + 4B.s :i- cs2+ cs . 2- + +fr +BS'+ 4 Bs +cs"arcs s r5n ++B+c)+ + A ' cLo>trnA D{ t.S' T .,keptrnx 1= Em ,nDM s+fr+ .?Az.L..,Le4rb Egpc-*-;*? "& '€ "fi$-t.," o = Efr +trz+c ttB +c -54 PLr-b A=l ) ..Y O. Eqy@,AfruX 4B+c s €6 53" *escma fr+B+c fZ+c =- fr O= ?r-*f fr: I t B+C = -, I Cclrfu@-h@'l + +B+c =*-5 - B + c = c-t 7 L-) ra t+) ,.!38i = -+ y@a B = **/g @ -"@
  • 18.
    Pr*f @q ccs) @i,n4laB= -lbh- a B+C 5 sl *1/a*c s e I c = hr, t 1/* *= -3+ 4 s ,/g b +/e I -- rs+r) 'l+!!- rFr 6 ?8ft I ii g {. I t".' I I i ! lT B I*tu* I I *a.r,reox"L .+u*11*{PL .3 m -AC Ct) s tD 4 ea + z+b ' g'r'',3-r' -.*&. t -4berc)= I--+-e +*s-a + 'T'v'E- c*ion 5 CCS) = Ldr-,* a _-_--.-4 RCs) <si'e-qLt:ns+t*)nz ? i, ve-oL3e- ryc^e- r*rra;n +yrrn ) tl) vL;-xLOlca;ntfeL 1 q ; o
  • 19.
    -11 ,. - ..41:,.*r t1 c cg). R Cs) .*tSzq- t^Lnl ; ,..,ltLV *te1 , YCs) = I 'h RCe) = -L * l^t V&r1. TIP 7 Tnr: orvn- ** E 'e.r>*v-o;n ) l) c cs) = :911 RCs) S11- tr-r * ccs) ry^' Sl+ue n' Ccs) € ,wrz- = sf B-*r,') l, .Jn' ,t -' t A(f+L"l"U sc*{fi *C s-4/"#, lLSrr' = A Lsa u)'f) +- Bs l, =a- a alcf o-nar-"oo 2 )*t a"fttr^? f '-,t't-f {ao-ot<-on -L+a B Sa+trl6z ?ulS:o ) lpnL Lun2 A = A [o+urn2-)-r BCo) = A'wnL : i.; aL = (, trgp -
  • 20.
    Vuk 492: *(-L1nL tg*{) I =j u}61 ' t/-rn 2= A (-c,u /*n') + ts(jt,r)") [rn2* bCjru',) B€ /u-rnL o L) *)6 t _lde a.J t,tlr',+ B=*jt-..r6 eLE eCS) € wnn s-A+ s Ee+tr)nz ---@ CCS) = .S _zLA+wn s-Ta*c o 7 . v-,JJufi a ,l:t;lQ9lA4 @ -*o.rtrfrCIrrn ) vt*) CLt) L I o :EYrfi
  • 21.
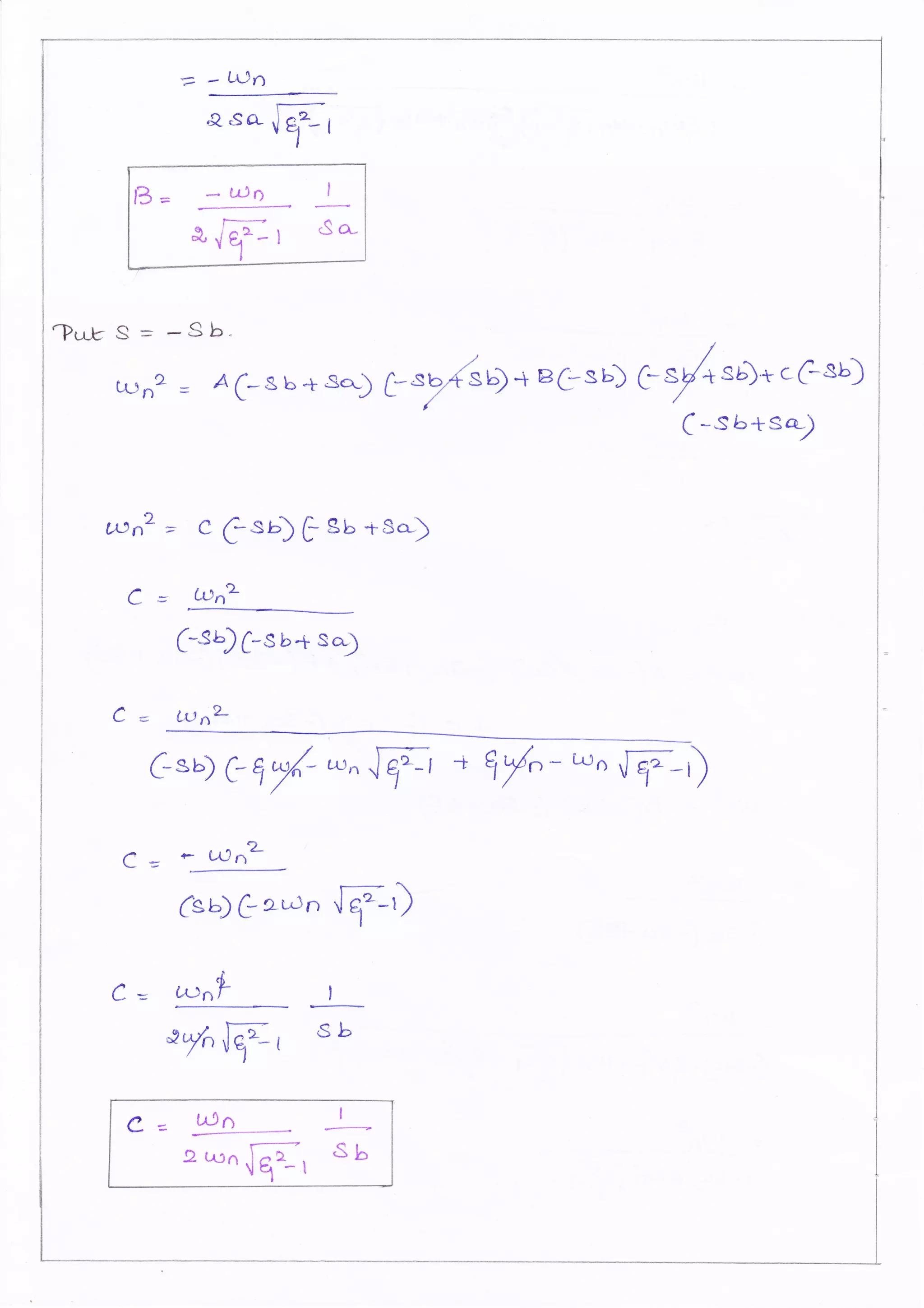
    ulr ryorve- 5 ova,1**s*rud' ,^*i"t .. The"+ A..'ru.,L*+d- A rd*4R/- fufi* F t*nL,- z a c.u)^B +r.JnLs + L€r ilJn{ t v .,a v ut't a.c.tt.,yz*' %*e-xL #r,e clLl;r-r.rv';M -":RPL -h J*w ' .dannrv;W be- : - wo L L^,6 ffr f"t "fl-n '-co':n'- ba UYL'U l f*'cI*^oo o Yeh*a % ccs) RGS) grrta @ f*c*j"cn i^6J-a' t4 t1"'L ? -f,,* $tPo- ,4 Sz sr ? 82 Lek .e;3 *T"rury jfhe- { jr" 'o Sa- = E t,n F t'Lln ,{-fi 35 = qLu6 + L$n M ctepr-rn- ces) = Sa.- ,,&ruJ- S t 2_ f* 2Et ins+t*1'",' v e-Lqt^,p Jr *pJFl Fsl *o*-d- S6 = aSc- UJnL RCs) G+s") (s"l-sb) -e
  • 22.
    CCS) = t.t:ntR-Cs) (s+sa) G+sb) Ccs) = uJr,* sCs +sa) G-*sb) ?B*i ? *fir-ra.cLt^on CCS) ? tfrnL ,tt otr -J- B S*se- n C s+sb e B 7L s rrrn* = A[o+S,a-) {DtB)+Bd5) [o*oCb))+ cco) ( o+o-) = A(o+sa-) [o+sb) (ilnL = ASa-Sb + Bto) + ccD) s[s+s*) (s{r-.sb) tiln* E za (s+sa) Cs+u) *e[=) C** D*"O (""") scs +s */s*sb) a Cs-hs { Cs-rs) t...nl = A(s+sa-) Cs+b)-r ecs) cst sE r-c cs) c*+a; 3r;s= o,
  • 23.
    fr = tUnu ( quu6)-.*rn W X 1*n t t,n W ) f,, = gx)n- qu*no- *f &l wnz EW-#,:**n' = -WfiL = I uJn- ?*s= -*Sc-) ce* = e ( u*;{s*1 Gso- +s a) + e (-so) Gs*+sa') + c G s*f3o.-+84*)t fb}sa, Gsq-+s b) g 5= u.Jnu Gsq- *sa-{€h) x = (x)6 ,NnZ = ;tt-.,n{fl, Gs*) eydffir
  • 24.
    &.so-rffi, B= -.:ry-o .,-f - &q-l 8a- F dWn ?urS= u.Jn -sb. 2 = AGsb+s*) f"/.g+ e&sb) e./*r)*c$sr) c-sb+s u) wu'F c 1fsb)f gb+S*) C s fuJr,2 CC (-sq (-sb+ sa) wnL Gsb) CE/- rdln W + E/"- t^ro rfftr) (' - +' tJ., n--e Gb) (zt*rn w') C = t^lr'rf _1 _ EbAUfiIfl, e = !{o sttsnW, ab
  • 25.
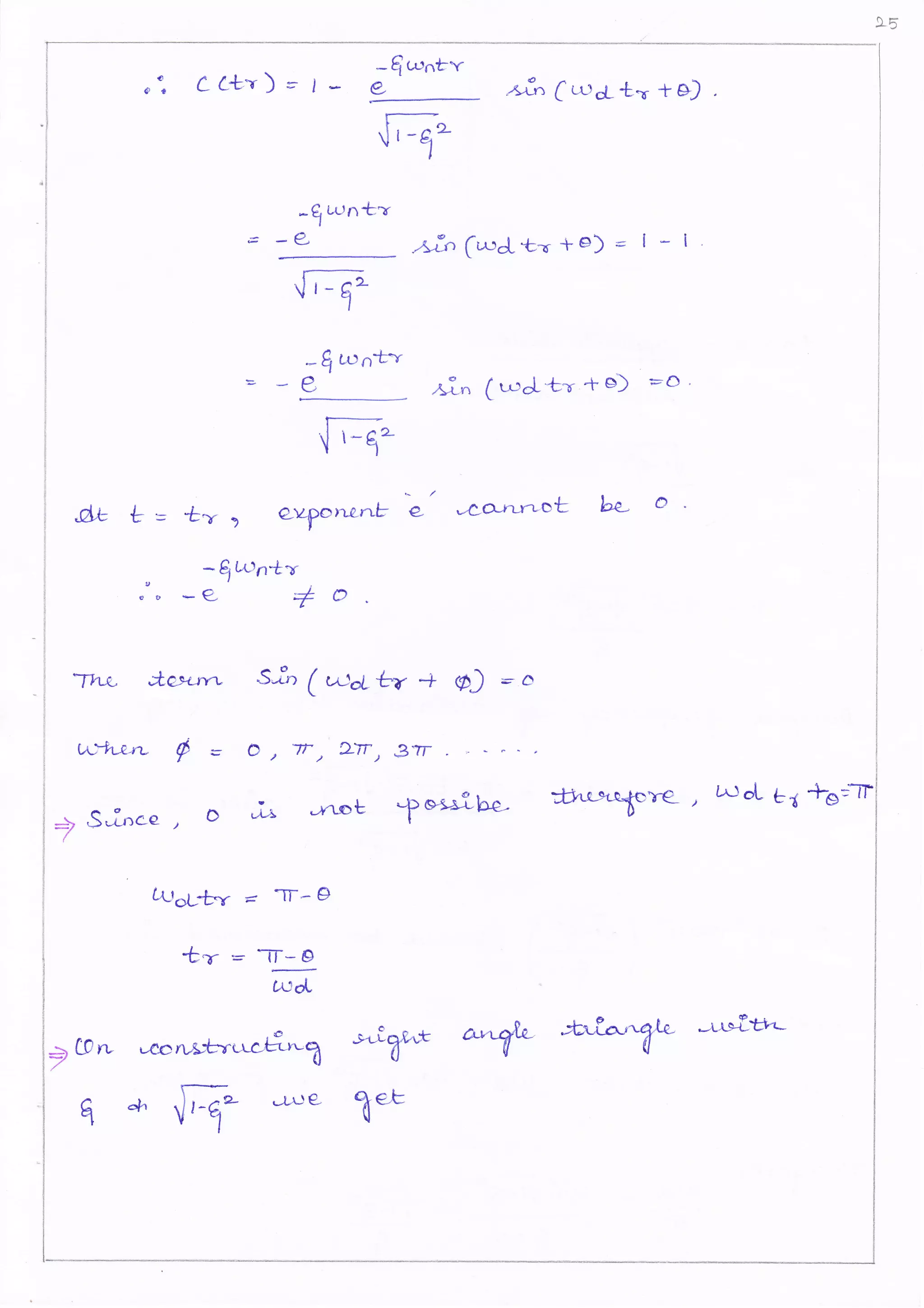
    23 Sub A, E)c vo-larx ;n eay'aVb" O ecs)= * *^, L* | * tr'jn I '1 P r/qr-, ** S+sq' AtF ab S-rs b I )-rn@ ota1:onr:- *t -dr** otoryrein Lc+) iA ( ,r- (>, = a : sa, S+sq, arF ab s-rsb'* ilgo_, W r; rl1:ont?- *t f;'** oto'Yrein LC+) i^ trtr)6 l, r'| l.o,j = r'f* C, tk-.,'4,a; Cc+)= I - hin -t ;t*t-* .trrn + C sbb <r t_ a Gr-' uo e 'l;E ' db , * u1 *r lcc+>: r- t^lo f--s-u fl I I I'E.r L s* su]l .rr+)il Ctt)t'-'tt I I g=r.o rl__ I i -/--Tt - I I I I I Irr.ol.,! + &l7otL!2-, t
  • 26.
    +. i; W'S+j.b *t 8";^ ry il,a- e-,vlxt:,.gio"1,* 't;""- ''d-erwa'm ft3"w ar,n *;'* ' "7*,./,e-*be '*;*'L 't'eiwL Mba'btn- '^d-otivoleion ' W%orffib) .-+, T 'iB a d-o*-l-nclrrvte- a JUJv&- * + Tf4-a,. Med" -Tln-a- ,*'eJ1a:.luQ-"* n a -!- ts a. r^ ^ a ."-&P ru'f YLX- J^) Jv*t-r^ t furvtz - cJ, uc.s u ct-cwPufa Ut-'c' *e W& ;t*Yb nt *gp+tvt-l .:pf,4"q, -#,** ttv) "* + :.* 'b "t;r"* Wa& P &5 eLlach. d'"-rr''P-taa'/' {*- 8 ZYN **"u ct-:- *? "*f* -efi 'g,etord- Js'}r-ol-!-'-L ,Y CgL ,rJ*rfu J^ *q L,Jnb L[+) = l- g €-^ f *.lu +s) o "dt b= .b.rr ) LL+)= (C+rt) =t.
  • 27.
    *qL$p*rr r-g+o 7h-e- *e>t-wt- uYhxn #= =5 S.-[^ce ) D / S*b (uroLLT + @) :a i T, 2T,,*3tr . _ L F rnot ?G+sib€- ryyq ) Ld"L b1 1bflr L5 c ctv ) = I - ;q*":t /,,&, ,Lrroltr +p) t^ { r-q- I -gtcrntxI JOt---, /r3-, [.^r"ttrr +e) = I - t 'ITJ" *Etr>6tv e -dL L= *v1 Ll €;vlfarutn-b e ,Lc;n;--v>L bQ- O o EC o ,r9-,; €4 (tr:Jtr * o) :B e oo o, ? tJt- euag* tr: € Tf'- C Tr* p tnd, ?Urt- v&n**;"'*cd-*? r-q qh { r -G,o d--ts I **ff ?ek ry ";*oflet** 1* q"
  • 28.
    r furlp F -l,l_ l+ eJxrt- ,t g = +c.rr'fi?+ q, tdrnw *TF* bq-frr f,r-f,2 , s ., -t Jtf""a- ;^ Aec. I t'}ntrf Xtuo;1l-sl bL @t^Yt g& t€Lv Lr.inry ) *o.nP= A"U-e- Adiace.rn".b ^;Ae G^ci-1a-ortton rudL E cryw% o*o Arj* tt'h^e- Ct-) 9 vgh,L *o*', t ,gtM, WZ bnfrt:.) dd4-c'- t (Y o *.r-}.-, / I-- P- ryh { t-E q/" rye) UU-;L * Gq Ci__ € [-t)dl r Y
  • 29.
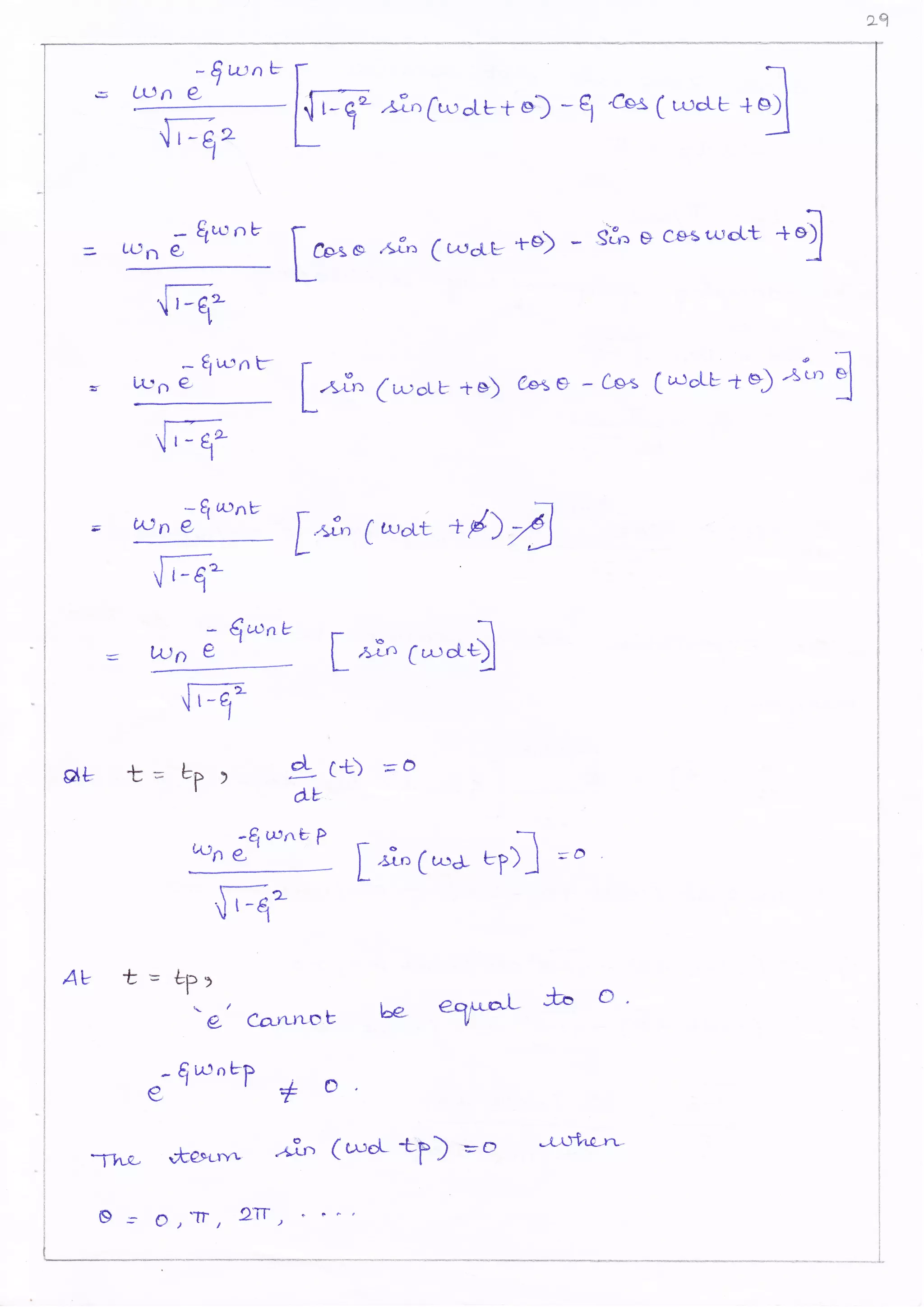
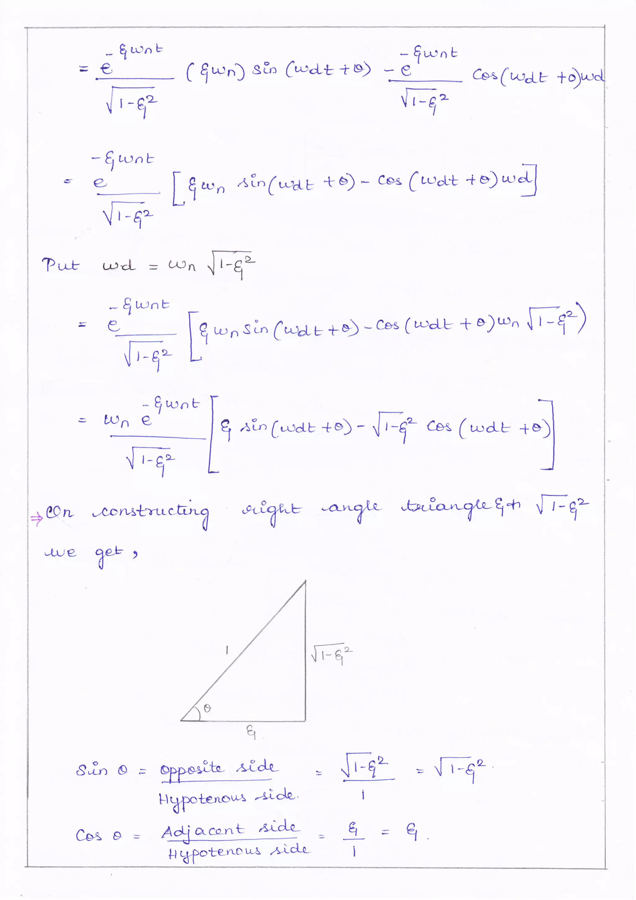
    So , ,b',^s Tf-t,G.JQ-t w&f-f L^: g}L ?eox 'T,irng:* ,-+ -f * '^-? fr.;,.e- -furm* Vg-lg-Q- OVc-fu./t1-,rJob t,p :- d-e L dL ,J+ _*_ dt * $c,:nb ee, r', 6!,r -ELuo Y I+ b e- /,Fq- C+p) o*L C C+) &oi o ,e.ivel..-*3 { G quJn b CCa) = | * e, .d)d xb, {tr:ct-b -h e} ' r* ,l !*E- c c+) LC+) =o (- Qu^)si" (u':ctb + 0 ) c^p", (uuolr + u) ur{ * -To t* tl4'- ^ {*" P IJ;(.JYLAq- ur*Lu- W uto t +e-ry'c't LC+) I * o 14 = bP
  • 30.
    rr Q t^:n U g( $t*n) sin ts 6,^-rn b C,^r'Uttq) € g t FV r-€.2 I Ces(**u +d Iq" * twnvI € e , Iq*, xl",(**Y +o)-cosC-"rt llvl-' r_q" ?ul tr.t = Lun .lt-q' +B)*g {ry E ^fnC*"rb +e) ?G*- CG,& (*a-t -jl| j inrr .eorratru- *n -^^f "bLe'4X'tL+1 ,J 'f,q- i' l*" Y, in $ rl.:n b wr g {flq* ' t' Je". I l{ptf-ruoLrA ''--!Lc Ce&&= = 3 * q +{ d"PotensuA 4idr- I
  • 31.
    t-un ;q.*nb t,-s,-I ,,, .,, 6 Lun e, Qwnb "$-^[tr:oLLte) - q f Cps e /';^ ( u-rd-E. +e) L *1 !- S,:o g C€6 t lalt a e)l J h co& ( trrcLb -{ r- {,_q* 'i- Qwn g: t{."} n e- 7 i r- u -q wn? taJpl g ' fi? * €'wov wnE re{ L_1_ t= LP ) *t'dY g )^ :?w^b P t-rp g # ar ) t-E- * e,' cg-rruncb (vooLb +s) @,e d- (-s4 (t^:olu + g1 -rL 1 f.u L*^ fo L* 1,o'-1 L /;t (ur.-:"t-t)l C *r* +g>,4 dt C+) ;o L ^i, [*+ upil le eqP-o"L 'i']" o tj =A ? 6wnbp gfr*D. ctex_rn- /r-?,- (*"L €p) -=o o)"Trrffi)+iF' an-L 9= M
  • 32.
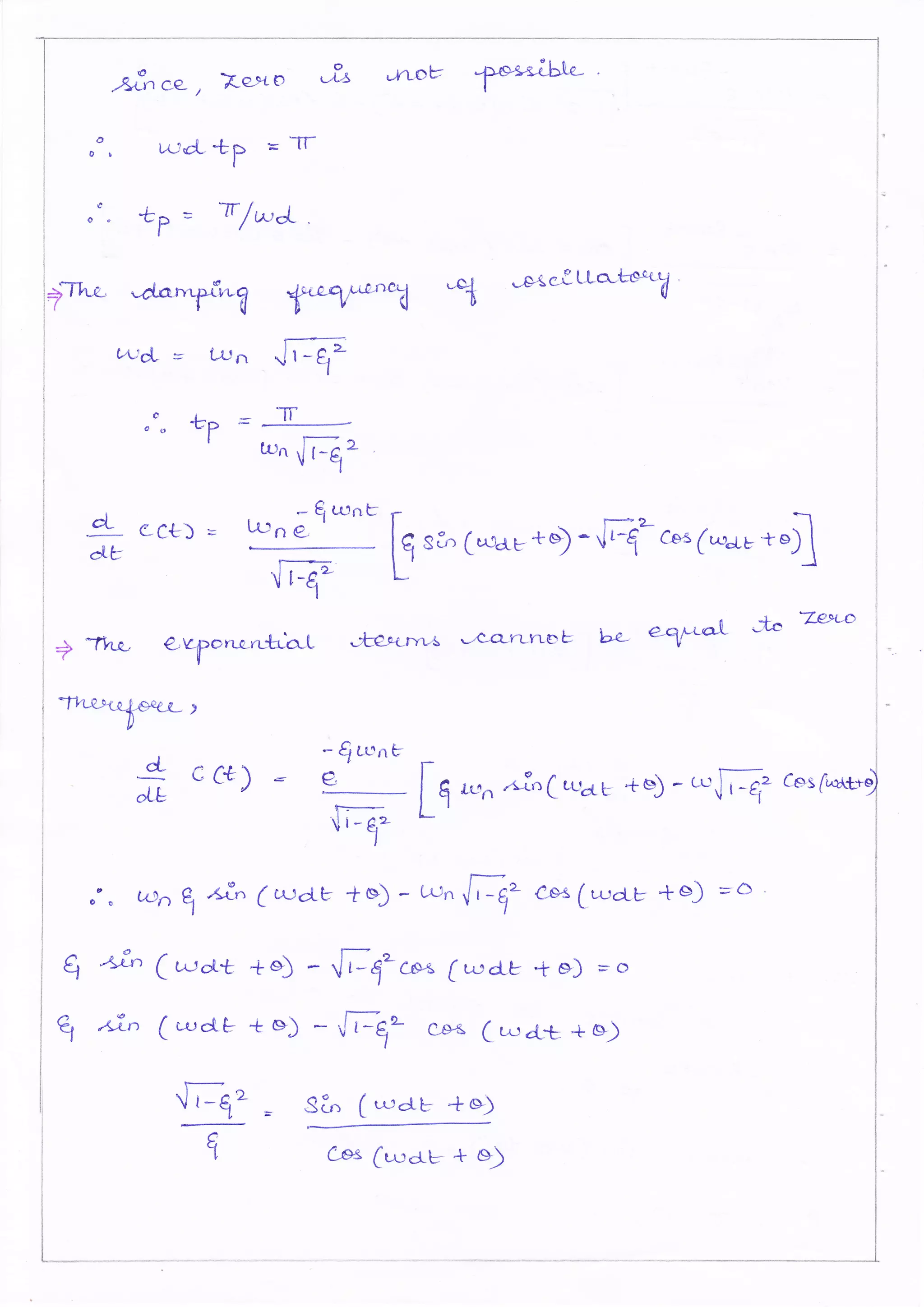
    or--o ,*}:.ce t X-e>to'-rt-s , wd**P = Tf I +p = T/orL JIq" ,xwv 1xs*a,Lb.[-e-' .^s{c-CUt- c>L_ &Y = txJn o+r cC&) = = - '..[f r,un ,lT-n, " ? F Q utnb trun e- {"r p srn C*au.+9-Jft-css (**st{ -ful+rr,i^ ,-co-n-ruoE bQ- qfld Jto 7e2LD c&E €t q -',i- (urror-t +*) - ,/fq'co* (*dL -t s) =o {ft' = s[^ (rr.rclb +e) + -7h;.* e.Yon-s-n:lab.-L .'o *n 1x&. 1ructb +t) - Ltrn ',[]" t*s(t*:*U to) =o - Qwnv e C+) € I I E *^ ^,},Cu{olb +*) - uJ*-g" ces6.',ue'9 1-: L' CPs (t^:clb + Q)
  • 33.
    i;) 3t ta-n g' =*ta-r, (wdb+e) bq-n (krcl-b wt>lt ruct_t tNdY +e) 5 ba-n ( trr+ ts) +C rs n-ff*&' =., nTf +gr' g F nTf ?u-b b=+DI to=t, t = nTI- L,l..loL nTr c Affl .StrL t*" + 7 r1'= I wcL +P= Tr-- *Tr .d..-^+ uuoL rr-rn ',[E" l"1ax-Lr.a-1.,.-y.n Aves*hoob / f "nx' ove:t"sh@t "' --:. L* .;a *+ep'vlea '-a'/s cfr42- *'o*i S moiai'n@,n 7+vv@Diry.r-.rn e^ra.,tge- *o 'fr/& vo'Lua-7 ld* &,.P- rn-a-} '-W-o'y/ Va!^c- ja qn/,a*vou.,A' foe V.]'LL.' ' I ,h "pe-o*, overt sh-oob = g C+f) - c CaD 1 ro o CC".D &Pr-cloo*L '-&<lt-Q-'$t W ? *Tt4p* $&rulg *Wf "*TnrL'a- *f c Srwnb C C-t, E l- e. rFq> I tr:eLa" +*)
  • 34.
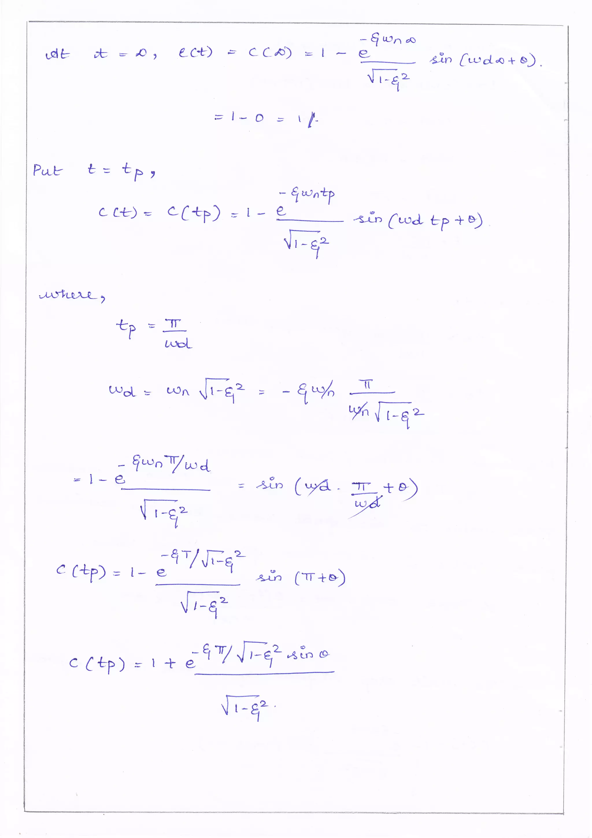
    db P,* M7 b = tP2 Lt*) = * 8 fr) e-e) t CCAD E I '- = l_ D s t [_ {ln= 4^in C*& bp + I ,T- Y6E- vaG '7r v+, (rr+*) '- E uJal ao e dn f,*et,o + e) i ,- 1*"+p C-C+f) = t -i- ? .IIT= *P =E t^bl woL= rx)n .[Q= = - 7*l ?*.,Y*aFI*P; o = -)g) ,lE" J;q, c (+p) F r r ;qT/ G*[,. a] w',
  • 35.
    ? (erw .|'r -C-Dn&*:r.-t"ue-fou11 tr -&tLffi dtTi.-,r"*iU't- JA"le- fl* G" ,r'*3, G € =J-E, 0 *g*n 6;r = U.6potorr;tau-S .1*& ry c&r)s rr;qn/JEE- W,m- cc+p)= r+;9*ir r@'1 '-.9Y E /r+ e EE'rr k toc? I '/, Mp > -r tTr' 'l- * -*--- X IOO eE=
  • 36.
    iv) SeL+ req.dp-ry ccL) € Or i"'..**-X-t-7u[NefL r*n T:JJYLQ,. -.}.. 7 I - -i'--L -J..r lA-.' frr-a*6 JA d-a -Eunb l-e- grg*, frrre- -ndeLo"rA/&j eyon-o.r^*r1oL ^:tryt-r'a' /_ed'/ucsst cJ.11c.q.,1 ry /L;v"L^/wi"L*f '-cor?onr,nt &,ur-ve- JbD ,L,t::rL) r 'Ltl-t^ lo f e>t cnc-q bo"o'l' ^ ( * NesLrns-tt/H ) 2- */ " .^pE& 5 ,l , '.btgga.-nce- ba*d* ery{> Y* .c-r"* t +s) :* + The- = 16.- *,^t-,i* '*x7 *t A%-@ *bl [war +s) JE92 + 'Tnlo- JLQ-8forL'lA- -$ *Btnn-d- 'e't-oLorr *f"-" '?/"a-L ?m Um e*f o& b*f'^xn*t'.reAL t) .- 9 u:nt I e) AfurdsL c'nn-,oo",enL'n' + A,& (( reLt +s). + Z* #ilA 19.&dUo.,H"qrt1- * Hqxtcut -t'7,1e
  • 37.
    35 ?la,- ** Jdj,'M-4-aJrc bP- $o* 'Du'k "1 "1p* e,-f. r.'-e-'.'f,,;- 'tDrufrw* J*b /' d'oLe>to-nce- ,YtSt-*t , ) Fo.li g-'/ ' Jr>tesr-cl,,"tec av<:<*t ba-nA* a"b € -- bs * Q trrnL L 2 O'O9-' rl r _e" 1 , Fe.r, J-c-aAt V*U^i- ''$ q ) --Qrrlnhs = D.og,e + E',rd ***n Na'fi^'.qiL *iduLrn t *u -Qrunts F L'n(u'os) Iek ' /qwnr6 - /4 $r^rntE F + , tg= * 9*n ) Foq .s{-o()}LJ_ "s'ceL!}t *^p'be-rn ' 'fr'2- *-;''e- 4D'AA'to-rr-L 0 oo-rw be- t = -l- 1*n t3 ; 1T I t"= L.f . e.rutet) ' ) Fo" 6'/' *pte-rto-nce- exeLsq ba-' -d' o-'U t= bS ) - Q urnts g = O'O5. E-
  • 38.
    E, ? tro+a "/iu--c'A? Va"trl,^e- '^& q , r $*ubsg '= 0 c Ob- . ) U*( @"? Ncr-la,tslat 'to?o,Leti";"n , *L X* jr I *^*6 { q trentg E t,,6rts ; ltu LD'oC tgF /3 3 3 9*" *c,*,c*.-ax trero ) ,frL *fi-lv & C-cYr'Lg-gnb * Fo"sr Ae,rcr-rL La-vv ba 'T- = I q*n bS = 3T ( {o= 6- *l ' E-n L^s"{) Dgl&ve- #'a- -krcn& *x-da:+ ryflq<r n $"- .b^v*- **Xae,be-J- t @ ft c,- --,fulA€- Ye.-ru& tu IE' gJA I cL- CI.* .rsq-8U Q=,IYL .l o I .xo.h."b + Th-a-, A^e@rvd- tre;vu '*+ M t"*P dt),rry Yat{^on s uI-& ccs) tUn 2^ S i 9-& UnS+ tr) I RCs) (
  • 39.
    3Y o > 1+.,&- yd4o.2lqlbj&s+%-e4fa*bD "[E s+ "q u)nS *-t^3n2 = o ; uJ+lDLe- A = el-rl-r G --1 - dy? a+-, =TI4,a- 'rt-ootb 'a{. {'J^i u sr tfiz s *b +.'lF+^L 2a* A- = I b = 9-Ecun ? - &)nLJ - =Si e-32 = -_L€,LrlP + t 7 Sr rss = -9*r.t *, G{ St .9z=-gbn:turn{-q* J^y?l't^a , Ed = r-rJa ,lE{, Lsi) . t^,'L y r^,n tJI1* €r)Ss= -qq.rntj*,eL. Ca.t*. t :- g <t ,t-undat< Aar^f e-"L
  • 40.
    * A.puootu 3 fY.rwffi il,rrrilb o I .,_ RCs) : I Ccs) = RCs) t^r n* d+ l-eturns+t'L' f CCg) * uru= f+2Etr;nS* t'trnL ,Affin q"*nz, CCs) = L^ir,* ** zur,S *9Ln" 4Lt-r n'- E'*nt C Cs) s Lunt (s*E*nf+ un2 (t-q') C;Cs) E wnL (s+ t*.0* wd2- Md${* a;*d- divi'd"Q-- t'L} L / CCs)= urnz.,r^lA ecs) E uu&r lrqr,l trc& s+EulQi:*q b tx s[- @)h-,r-roL2 :
  • 41.
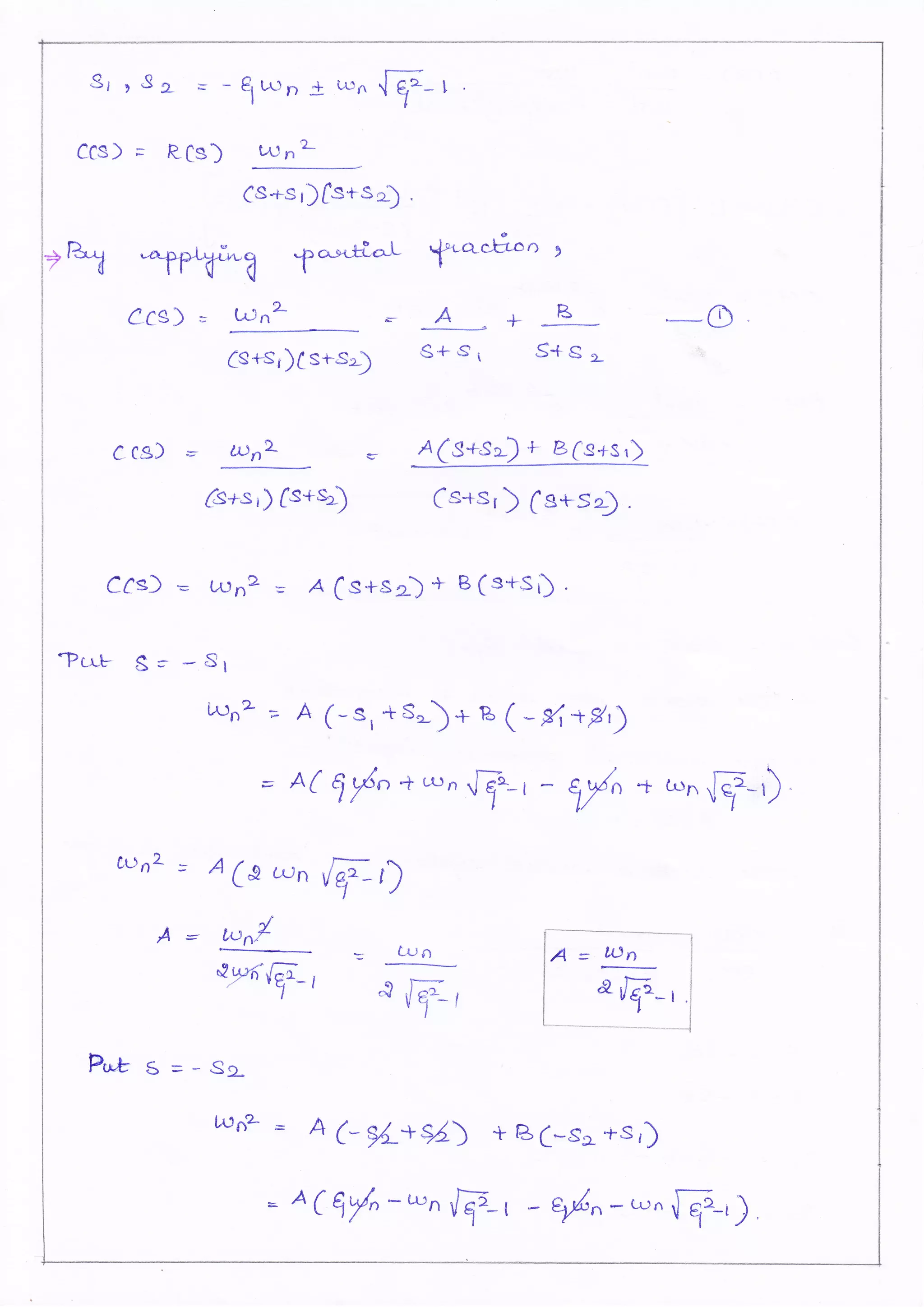
    c cs) =3f d t,,ttd- Cr+) = f' CCA s wnz- ; Cct) = qllt t^)d VT!" Cs+€l *0=+ t*,,"L2 usd, f c cs)] = lr"1 ;- l t t"tCL F q.'nb 8-' /L,f') e u:A L (s +*n)* +r-,){ t^reLb kAu ii :- + -rl'e- 9T:^ +T1r',-o* o JA r.ql^lnL o g v ,.3;.n t,trcLb Ovwt ol-a-r,.pe-"[ > t *t oota o'lu- -'oLeal '{., Jne1o*Lv Q- -ur.iu- -r: W ry RCs) = r .rz,,,rud- i-orucr-,,,.-- 3 ry 1*,.tl"t" C CS) t^,)nL Rfs) uft "qu.r6rs+.^: r| Sl s * So,-- Sz = "-gb , S I E g t*)p1 'j-r (A:n al q"- t sz : - 9*n t,-n {S-r . CC+) = La-:n - e L$ab o e- L /YJa t''LjoLt t*E"
  • 42.
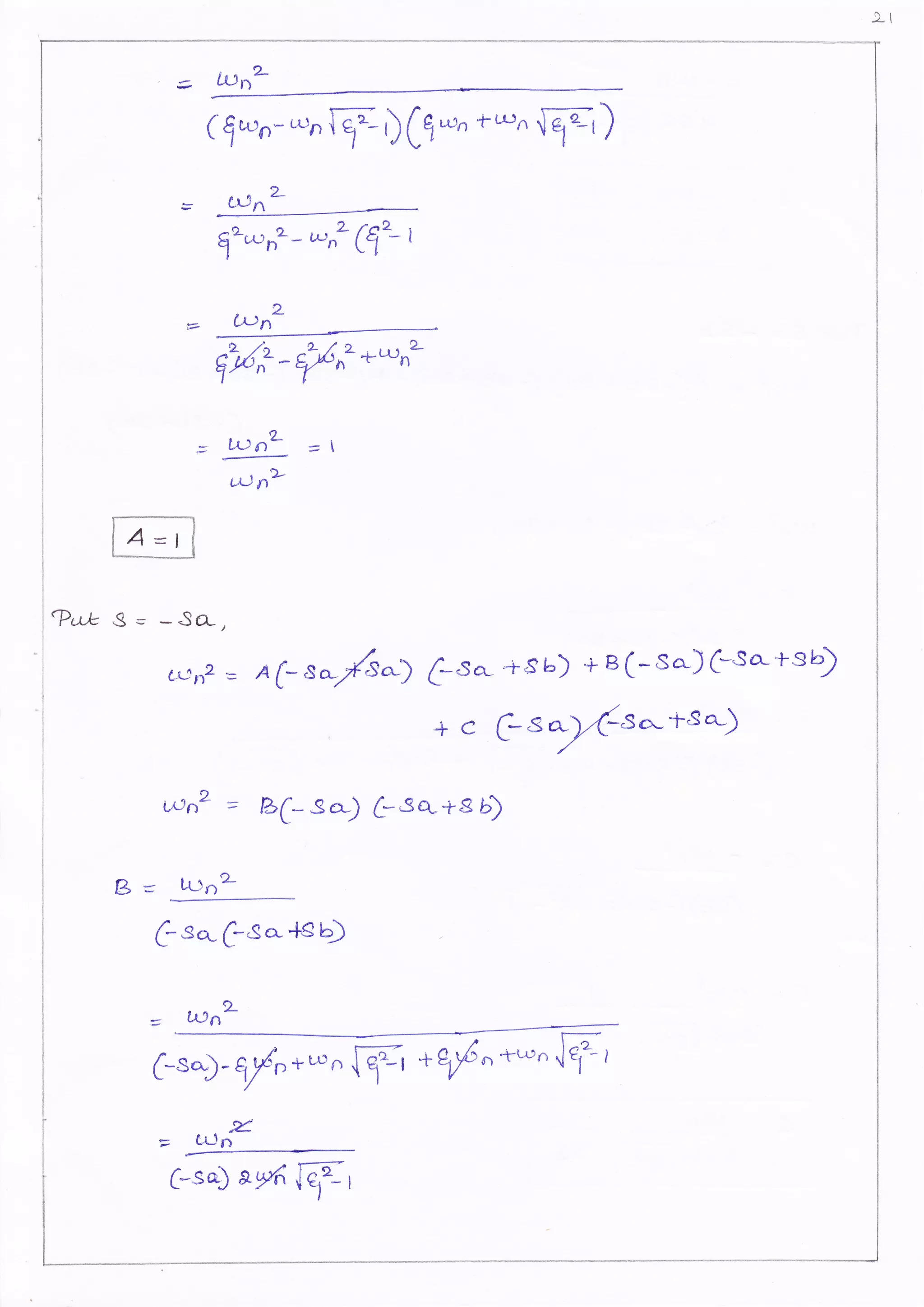
    Sr ?sz =qt^lntwn..[g;-r]'t CCS) = RCs) wr,- ?h Cs-r-sr)[sts*) , W? fa"diat {a-a-c,tr^on , ?-, CCS) = [^)n- =-- A , + B o ,L Cs{€,)Cs+s, s+ s t s+8 L ccs) = DnL r ACS+S!-)+B(s+sr) Cs+s,) fs+s2) Cs+sr ) (s+SO . CCs) = ta)n2 = 4 Cs+sz) + B(s+S) . ?Luts g= -Sl bn, -- A(-s, *S-)+B (-{r*g,) = t,( 1,/" + ur^ ry'-r - #^ + *",1F-,) runL = A (e u.rp1 Wr) A: pntF .rE tl 6 A=tOn arff*,ay6$r -sF"| P*s=+Sg- t,nz = A (* ?L+sd) + Bc--s2 +s,) F A(Efr,E,.rn1@l ..- gy/r"rF(-urndpr) ,
  • 43.
    4l wnL: A (*rcwn 4-t) 13 = L, tl) n/ &fiw B E _ t{JD &,q_r Su--bs tibr-u- fr/t-a;o-L Vq-Lr-Le^ -':n eq/-th;n O ccs)F*fu +fu s+sl g+8.e-. CCs)= c!4 f t- - I I e, {f- r f-*+s ' t* *l A farcfnq -tr,veru,-e- Jo.flqce- Tb{ rrL t' L"c*)] = wn , srlF-' 1-l e I - | ? I s+-s 1 S+s21 Cc+)= Lr:n t -srb -.-Il &F-, Lt e I
  • 44.
    b, U*t:k -*fu-lxe, . "{LU) ,t9''( t"r-n-et-esr el-antp€J-) Llr A*oek,Y ,l4gA ctL 3* J*f l-@r h.la,oL frrrL sr;AL ync*ton , erc*) = to f e (s+z) , F*nd frt^-e- '27r'v' hfrrbl ?*d*n. ove*'ushne:r_, l*h "dt""' 4-' & ^"*"? &cs) ccs) Sotr",ton'.- &Iv e;.T lDa.fq- i- Gcs) E ,D Wad.- SC+D, SDa-bcu'- tiae, "k*^.r."- ) r/.Ov ) f€-cLJ,e .-,t1-nas t9* Ltndh e @4-d- ^*n &-u- fl *? *"f.^k %
  • 45.
    Fo,:+-'*tu,/-,o*:- T}&e, -L-i-r"Le- tvrd OV€-P{-,& h"OOb ..'* ?g*3c 't na{- *p *- -J- I, - bwi, urJl ruoLL A F qu/,[q" x roo =Q Tr- o tu cL ^/, nnr d *rr .3& *,ta-n4-s- tg( t .:OL ! -bs ts Zr 4T fw 5 */' -Tole:to*r1 cqlSa-n ft 2-'/ ,"Torytance- Bo-^d' ? aW "^cJ,es+-d- *rern-ry* 'd-t-rnct{'o/'] ' c-cs) s &rs) Prs) 1r qts) ht cs) &ivetw **tr--b, &Ca)r tDf s(s+z) = to/ S5s+z)C CS) ecs) =, $*"c -"*'& 1eod"a'ci&' = to/ s c$D sG+, +jD s (st-c) I +.,,,to SG+r) Ccs) IO ecs) Siz s +ro to, ,l+Ajtubnn t)
  • 46.
    cLs) tJ-, n 2- R-cs)L SI+ tE v)nstru n> @ ?@rv 'w-Y'* t,tJ NL = @" O -h @ r)re- tr lo wn =- /* 2I tl;pl q= o - tl- e)-25 2 tLt6 9.x3,lgc- til& fN& = trr^ rEz = 3,162 fs tr s;, qvi n O.3tb K 2.169- g E o.gqql
  • 47.
    )+5 Find* *y = *fT*& wcL e=*odi;'*l ,.-;av t- el 9 g s -l:e.nl I I *v ,-lt,8.^n t n LBg T:J- UJoL s.3lt, r o,Qol{"--lot o.g tb ) 'Pt&oL . - F Tr * I'a33 -._ [ barr (z'85 t) = ?'l+ -- '"' 3b 3. *v = 0.63T $ec-, ryl,o FrhA ./r ny = -Ey/tfqg / Xloo . -O ,Ztb-ff / K loo E ts a *3 l& x 3'lty / O ' q 8l = g, I x loo -o.gq9/o.q8l ?- x loO. rE [* Ott e, x tgO A, 3511 x too O. B lbL /,Mo s 35'}-1-l '| I
  • 48.
    ?esx Trt,a.:* t- Tr= ?'t4- i2 r w& a. I = I Sf.*,c_ 1*n o'31& x3'lb2 Fcv 2'f . €!'tJ.t-.19'L, ts = 4T '- +Cl) = +ry tro-rr. 5./- ?>r><-o,et, ts = 3r = >(-t) = 3 Al2" Q.ea utb : - '/. +ed< oves-a,hnst '/- nop = 36'2' / ' I PeAX +1r.rr;*- tp = l. o 4t -ec I ,eJ*t,ti1-? *rrvt^L +s =- L*/, s 18ec. 5^*f-€g4ec,
  • 49.
    8. .U$l,bd Fe:e;-bacK *p^e**s"ryf*etrsn D#"a* Jtoi& 'h^*VU vtu *o QvMOb .u^e -lJJvt-e-, s^it &?ve;z Sa-|11.,'* &r Cs) E SCs+t o) ?zqi*tecl .}cr.*c}-;* 3@r-rT W, Ao ,frq-oe --%,*er* 3; t/A{ E trrn 1@t F 4-T- ( r$o, e_y. r- 3r C -F.,aL E */. = ,Jf, rucL . w) @- TI,ri- ,.OJL de-rYf>t*<.t *f rynv ld pec-le, Feo-le SoLrfion'-- e*-.c, ;rt*cbee{i4 a& % arc) =3 ,- r S CS-r- t o) c*5 Va-l,,tlg K- D fl -a-b @ @ob flI $eM;nfl -b;"^L , Y-ofu c-ov o'--L *T-curue- o',b L{r1-oJ<, ,ove-eu,hor1c_ A6a1- a- .-'*r&t 4LaP -^?t* ' troM:- ave*+,shno E y, M? € nn*/'@ ,. roo & f-lr'.rt*- tbp) - .*r-- , I..*r"r4-€- Cfs)
  • 50.
    l'+CS) E I Ccs>= Grds) = &c.s) Lts) lrF+G)&ds) ,+e,f-) tu Hcs) Gr ffi d *f **,elion &rs) F _j! s Cs+-r") C{$ .F t<ls c s+{ o) K/s C sTao) Rcs) t+ K/s G-uo) s(snQ +rc/s Lyro) C Cs) K" oR(3) ^2s + rDs+K * T^L Vo-l-u-o- .,g-t K L,Lo*rL be, ,a_vo-L,t.o,*eol b*,T v: u(-. Cl;-ra{iryvw' n 'L ,*Yo..nffua- tr^^^c*L" a,^,rt:e,u .s.tanAo,yd- j-;o-* *t Xeeon/-- .-e%o1.4-x- br?n'ey c_!S2= t-un2 _ ^ i tcs) *?"9ur,.,s+uu n2- ---@ I I vLDt*P #4R- flc-tt^on
  • 51.
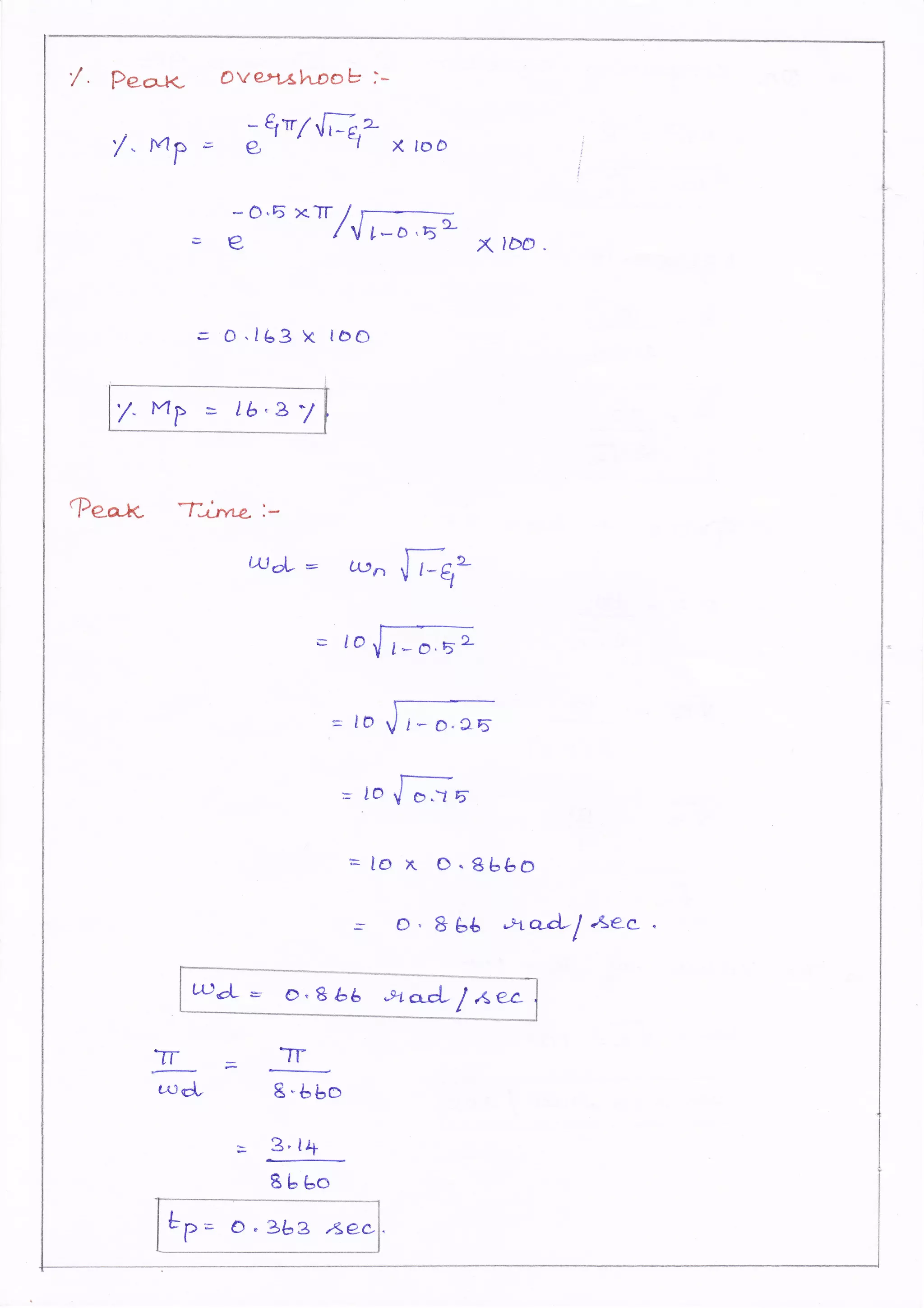
    +q 0^3n 2 F-k- . P;;-"'"1t___ e- ELtJn = tD g= lD , ;;. .-.-"-,€'*-{t ! s tD & tfl. A, = D.5 -h L"u6 = I C,6- = ,A * Th-e- Varl,ut*, t^B-l K € t o$ T ltrn E ru= too &, dE. . !_?_ e, Io,E) Fy- I { I €i ae?w.4
  • 52.
    '/. PecLJc 'i, n<p OVQ*lAl7.;.Ot .'- iF gn/ffi2- F e, I X lo0 * 0.5 xTl- I ;g/ 9- [- D '5' xlDDl E 0.1b3 X loO Qealc fu'- W& = u-rrn ,rEt =to = lD = lo,,IlTt = lo K o,Sbba = o' B g6 ,ha.d-l *l€e- I "6bo = 3.t4 Etbo I tP= cGBb3 rsec l * o.45 txt cl.,
  • 53.
    Se-t*td*fr ry'| *{_frL€, :* &s=47t $a"u **l ! _l ._.- , D.5 + to w) Frt*l.-F €,LD n l 5 e;*oIa '/. FEg-*q- tr? S a*f-L*"-u (j S d€""p{** lnfre: h **1p- ' -I-*t*v'ua- bD =f T**,t*tfl, b6 2 /" rp F lb"3*/! D" 3 &3 Aec D -8 3ec LL.l ' o. b -8ec L 5 */ + Qgre<-fr*t) @,
  • 54.
    q. Dex.rfue- ..i}1& tu&e;cg;'n^d- ^ef -P.qfui,' S*, uhSo A ? lrchnn- w R(s) = t/s, R-(s ) .b)-nL CS+c^rOt trJnl - tr,nl "S u-prLL-r^-Lrcr, tr d*'*P ef -v.-,d,#u Y ffie-ebd- f,*t, O.- o.* "l;.-mjlb ry Y E=I? @ & dx I Wa ? Th-e- ata-nda-*d- $*,* *t ,c-l'*Sed' J"Yt o *ec,nA --Wda*, W 'rtz , ccs) 5+rE---r-r-_ wn' gCS) 5;1+ e-q uns +tnnL Cvi*:tcr..;u17 q=r qcs:- u ets) tr)n' 2. g+2 t-trns -Ful-:nL .9CF) ,= Lj.nL Rrs) (s*r*ni)' Si e-rups + trr*Z = Cs{r-u'D' o?+ 2o.b Jr- 62 = C cr:rb)- r cs) CCS) CS+urO2 SCs)+r-,,-irlo
  • 55.
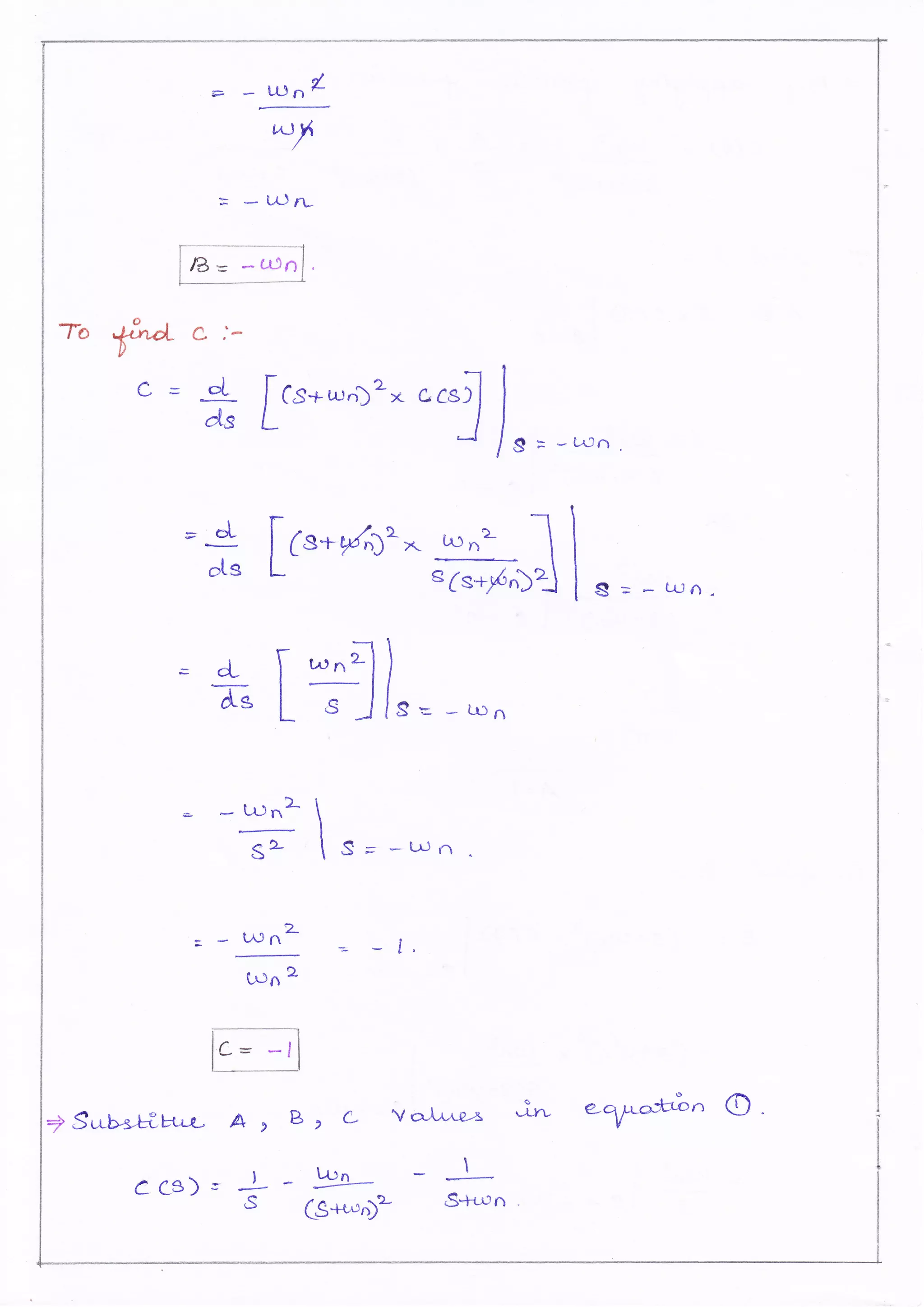
    lr?. ) B1 ^fffifW fo"d;"n ', C Cs) .= _*^o SCs+w6o FAr : .S +c o, (s**r,)o S+t;r rf Tb #A A= ,- sx ccs) l (s=o. ;f,x wn? )' fi (s+u) -)e- [ . EO € Yl=. C 8+wp1)z I =O ; tLrnl =l t J nt To Y& E .-- B s (s+ ur6** c C-s) { l*= -(r)6 , a Ce "/D"^ t,).,o s(s"/O" S s -ulf.1 1 tL, nt ls *s - t-L)n .
  • 56.
    * -Yn,{., wvl / # t^)n-. To #ct-- C= .L B = -* tJ.)6 ots = .L f Ldnl) E L - jl*E-t$6 = - oL [ (u* {,1'.^ k)",L 1 1 ots L %*/b=llu=-r!^- -- t-t)1..L S2- S = --rr)n = - y"i = - t* t.)n 2 + S,rb-slil':'r,n*, A2 Ls B) L tun? ------ -s V o-rrt t^g-s uJn- *l # E+tsn e-l/-o*/r., O, CS*rD- ccs)s
  • 57.
    +EX *^t".'? itve:o+'e-;a-p-l-o'c-e- ffi L- 1..",J =r'f*] wni I#{ -L: Itt c-c+) = t- ,,n+;trrftb f rr ^*-Jl,r-=bzlI a . - l' cs tct>L JL , cc+) = [-r,.,nba*t"t: Ctrunb cc+) = I- e-wnL fr + Lunq xnyub *rarlAL= AW Jr*iW ilrr6, ffi. .3ote;.}i-on..* ja 4fPt *"L ;15 o'- wlLbd f*""" GrCs) = tv/e[s+r) . f ind- fr'12- e@A'Pn+'P- $ C CS) s acs) R"cs) l+Fl cs) G4cs)
  • 58.
    n- l2_ s(s+Y) t+ t2-Cr) S Cs+r) = r2-/s6s /t> s,(s{_r)+ tt/s{l € lL S 6.s+-t)+ 19 , ccs) E" tL Rfs) si -1 s + te- CCs) E 12 'Rfs) 2_ S +T s+l2- *r1x-*. gCq) = l2 '.,- Rfs5 (s ++)(s+3) CCs) = le- R.CS) G+O(St, CCs) r , lL Cs+a) Cs+$ +81 ffi f& ffin' t2- =- A ,F B,t_ 4l. r---,+ t -..-r, Cs++) fs+3) s+4 s1=3
  • 59.
    51 -1 $ t2 4G+t +BGs+4) (s+4)rft+a) 6S*s) l2 s A Cs{-})+ rZ fs++) Q*b =S= B re- s A?,il+{>+BC-B++) tz = B€rr) ?ur-,tS=_+, t2 = A (*++s)+BC*/*f0 12 = A (* t) A = -12 C(s) s L- l9- + 12* S++ S+g * B"d -rertl'r,n Jn reor-t+- -fl*"*- -fro-ruf m *+v -3b, CCt) = r,E l> g + tg- s