Download free for 30 days
Sign in
Upload
Language (EN)
Support
Business
Mobile
Social Media
Marketing
Technology
Art & Photos
Career
Design
Education
Presentations & Public Speaking
Government & Nonprofit
Healthcare
Internet
Law
Leadership & Management
Automotive
Engineering
Software
Recruiting & HR
Retail
Sales
Services
Science
Small Business & Entrepreneurship
Food
Environment
Economy & Finance
Data & Analytics
Investor Relations
Sports
Spiritual
News & Politics
Travel
Self Improvement
Real Estate
Entertainment & Humor
Health & Medicine
Devices & Hardware
Lifestyle
Change Language
Language
English
Español
PortuguĂŞs
Français
Deutsche
Cancel
Save
Submit search
EN
Uploaded by
Mathankumar S
2,156 views
Power Systems Engineering - Formation of Network Matrix Y-bus solution in Power system Transmission Lines
Formation of Network Matrix Y-bus solution in Power system Transmission Lines (Hand Calculation)
Engineering
â—¦
Related topics:
Power Systems
•
Read more
4
Save
Share
Embed
Embed presentation
Download
Downloaded 45 times
1
/ 8
2
/ 8
Most read
3
/ 8
Most read
4
/ 8
5
/ 8
6
/ 8
7
/ 8
8
/ 8
More Related Content
PDF
power flow and optimal power flow
by
Ahmed M. Elkholy
Â
PPTX
Speed control of dc motor using chopper
by
Ajeeta Srivastava
Â
PDF
Power flow solution
by
Balaram Das
Â
PPTX
Unit commitment
by
Mohammad Abdullah
Â
PPT
Rotating Electrical Machines-AC & DC Machines,Induction Motor and DC Motor
by
Prasant Kumar
Â
PPTX
Unit 5 Economic Load Dispatch and Unit Commitment
by
SANTOSH GADEKAR
Â
PPTX
Power System Operation and Control
by
Biswajit Pratihari
Â
PPTX
Line commutated converters
by
Srashti Vyas
Â
power flow and optimal power flow
by
Ahmed M. Elkholy
Â
Speed control of dc motor using chopper
by
Ajeeta Srivastava
Â
Power flow solution
by
Balaram Das
Â
Unit commitment
by
Mohammad Abdullah
Â
Rotating Electrical Machines-AC & DC Machines,Induction Motor and DC Motor
by
Prasant Kumar
Â
Unit 5 Economic Load Dispatch and Unit Commitment
by
SANTOSH GADEKAR
Â
Power System Operation and Control
by
Biswajit Pratihari
Â
Line commutated converters
by
Srashti Vyas
Â
What's hot
PPTX
Representation of loads
by
JunaidaliSaiyad
Â
PPTX
Automatic Generation Control
by
Birju Besra
Â
PDF
Power electronics in Wind Turbine Systems
by
Manasa K
Â
PPTX
Site_selection_of_wind_power_plants.pptx
by
PrakashBadal9
Â
PDF
Assignment & solution (selected)
by
efrataderebe
Â
PPTX
Braking methods of induction motor
by
raviarmugam
Â
PPTX
Losses in 3 phase induction motor
by
mpsrekha83
Â
PPTX
ESTIMATION OF SOLAR ENERGY AVAILABILITY (1).pptx
by
NamanThakur20bee037
Â
PPTX
CURRENT LIMITING REACTORS
by
BhashiniPriyadas
Â
PPTX
Simple loop generator
by
Divya Prakash Billa
Â
DOCX
SYNCHRONOUS MOTOR PROJECT REPORT
by
karmbir saini
Â
PPTX
Equivalent Circuit of Three Phase Induction Motor
by
masum heera
Â
PDF
Equivalent circuit of Induction Motor
by
Citharthan Durairaj
Â
PPTX
Synchronous motor
by
Chetan Patil
Â
DOCX
Starters
by
elizabethvm
Â
PDF
Load flow studies
by
Darshil Shah
Â
PPTX
Speed governig system derivation
by
v Kalairajan
Â
PPTX
torque equation for polyphase induction motor
by
Pankaj Nakum
Â
PPTX
Circle Diagram
by
Harsh Soni
Â
PPTX
Symmertical components
by
Uday Wankar
Â
Representation of loads
by
JunaidaliSaiyad
Â
Automatic Generation Control
by
Birju Besra
Â
Power electronics in Wind Turbine Systems
by
Manasa K
Â
Site_selection_of_wind_power_plants.pptx
by
PrakashBadal9
Â
Assignment & solution (selected)
by
efrataderebe
Â
Braking methods of induction motor
by
raviarmugam
Â
Losses in 3 phase induction motor
by
mpsrekha83
Â
ESTIMATION OF SOLAR ENERGY AVAILABILITY (1).pptx
by
NamanThakur20bee037
Â
CURRENT LIMITING REACTORS
by
BhashiniPriyadas
Â
Simple loop generator
by
Divya Prakash Billa
Â
SYNCHRONOUS MOTOR PROJECT REPORT
by
karmbir saini
Â
Equivalent Circuit of Three Phase Induction Motor
by
masum heera
Â
Equivalent circuit of Induction Motor
by
Citharthan Durairaj
Â
Synchronous motor
by
Chetan Patil
Â
Starters
by
elizabethvm
Â
Load flow studies
by
Darshil Shah
Â
Speed governig system derivation
by
v Kalairajan
Â
torque equation for polyphase induction motor
by
Pankaj Nakum
Â
Circle Diagram
by
Harsh Soni
Â
Symmertical components
by
Uday Wankar
Â
Viewers also liked
PDF
Power Systems Enginering - Transmission Line Parameter Calculation For 2- Con...
by
Mathankumar S
Â
PDF
Biological control systems - Time Response Analysis - S.Mathankumar-VMKVEC
by
Mathankumar S
Â
PPT
Power System Simulation Lab (Formation of Y-Bus & Z-Bus Matrix)
by
Mathankumar S
Â
PDF
Power Systems Engineering - Power losses in Transmission Lines (solution)
by
Mathankumar S
Â
DOCX
Exp 3 (1)3. To Formulate YBUS Matrix By Singular Transformation.
by
Shweta Yadav
Â
PDF
Power Systems Engineering - Transmission Line Parameter Calculation For 3 Sub...
by
Mathankumar S
Â
Power Systems Enginering - Transmission Line Parameter Calculation For 2- Con...
by
Mathankumar S
Â
Biological control systems - Time Response Analysis - S.Mathankumar-VMKVEC
by
Mathankumar S
Â
Power System Simulation Lab (Formation of Y-Bus & Z-Bus Matrix)
by
Mathankumar S
Â
Power Systems Engineering - Power losses in Transmission Lines (solution)
by
Mathankumar S
Â
Exp 3 (1)3. To Formulate YBUS Matrix By Singular Transformation.
by
Shweta Yadav
Â
Power Systems Engineering - Transmission Line Parameter Calculation For 3 Sub...
by
Mathankumar S
Â
More from Mathankumar S
PDF
Biomedical Circuits & Networks - Transient Analysis and Two Port Networks
by
Mathankumar S
Â
PDF
Biomedical Circuits & Networks - Network synthesis and filter design
by
Mathankumar S
Â
PDF
Power Systems Engineering - Economic Dispatch Hand calculation without Losses...
by
Mathankumar S
Â
PDF
Power Systems Engineering - Load Frequency Control Derivation & Calculatio...
by
Mathankumar S
Â
PDF
Biological control systems - System Concepts-Mathankumar.S, VMKVEC
by
Mathankumar S
Â
PDF
Power system analysis material -Mathankumar.s VMKVEC
by
Mathankumar S
Â
PDF
Microprocessor & Microcontoller short questions with answers
by
Mathankumar S
Â
PDF
Power Systems Engineering - Matlab programs for Power system Simulation Lab -...
by
Mathankumar S
Â
PDF
Biomedical Control Systems - SYSTEM CONCEPTS (Short Questions & Answers)
by
Mathankumar S
Â
PDF
Biomedical Engineering Technical Skill Development (Multi choice Questions)
by
Mathankumar S
Â
PDF
Biomedical Engineering (Multi-Choice Questions) - Mathankumar.S (VMKVEC)
by
Mathankumar S
Â
PDF
Basic Electrical - Circuit Theory (Multi-choice questions) - Mathankumar.S (V...
by
Mathankumar S
Â
PDF
Biomedical Control Systems - Time Response Analysis (Short Questions & Answers)
by
Mathankumar S
Â
PDF
Biomedical Technical Skill Development - Questions (Multi Choice Type)
by
Mathankumar S
Â
PDF
Basic Electron Devices (Multi-Choice Questions) - Mathankumar.S (VMKVEC)
by
Mathankumar S
Â
PDF
Biomedical Control Systems - FREQUENCY RESPONSE ANALYSIS (Short Questions & ...
by
Mathankumar S
Â
PDF
Biomedical Control Systems - THE CONCEPT OF STABILITY & ROOT LOCUS TECHNIQUE ...
by
Mathankumar S
Â
PDF
Biomedical Control Systems - BIOMEDICAL APPLICATIONS (Short Questions & Answers)
by
Mathankumar S
Â
PDF
Biomedical Engineering - Multi Choice Questions - Skill Development
by
Mathankumar S
Â
PDF
Business environment scanning market survey tools and techniques by mathankumar
by
Mathankumar S
Â
Biomedical Circuits & Networks - Transient Analysis and Two Port Networks
by
Mathankumar S
Â
Biomedical Circuits & Networks - Network synthesis and filter design
by
Mathankumar S
Â
Power Systems Engineering - Economic Dispatch Hand calculation without Losses...
by
Mathankumar S
Â
Power Systems Engineering - Load Frequency Control Derivation & Calculatio...
by
Mathankumar S
Â
Biological control systems - System Concepts-Mathankumar.S, VMKVEC
by
Mathankumar S
Â
Power system analysis material -Mathankumar.s VMKVEC
by
Mathankumar S
Â
Microprocessor & Microcontoller short questions with answers
by
Mathankumar S
Â
Power Systems Engineering - Matlab programs for Power system Simulation Lab -...
by
Mathankumar S
Â
Biomedical Control Systems - SYSTEM CONCEPTS (Short Questions & Answers)
by
Mathankumar S
Â
Biomedical Engineering Technical Skill Development (Multi choice Questions)
by
Mathankumar S
Â
Biomedical Engineering (Multi-Choice Questions) - Mathankumar.S (VMKVEC)
by
Mathankumar S
Â
Basic Electrical - Circuit Theory (Multi-choice questions) - Mathankumar.S (V...
by
Mathankumar S
Â
Biomedical Control Systems - Time Response Analysis (Short Questions & Answers)
by
Mathankumar S
Â
Biomedical Technical Skill Development - Questions (Multi Choice Type)
by
Mathankumar S
Â
Basic Electron Devices (Multi-Choice Questions) - Mathankumar.S (VMKVEC)
by
Mathankumar S
Â
Biomedical Control Systems - FREQUENCY RESPONSE ANALYSIS (Short Questions & ...
by
Mathankumar S
Â
Biomedical Control Systems - THE CONCEPT OF STABILITY & ROOT LOCUS TECHNIQUE ...
by
Mathankumar S
Â
Biomedical Control Systems - BIOMEDICAL APPLICATIONS (Short Questions & Answers)
by
Mathankumar S
Â
Biomedical Engineering - Multi Choice Questions - Skill Development
by
Mathankumar S
Â
Business environment scanning market survey tools and techniques by mathankumar
by
Mathankumar S
Â
Power Systems Engineering - Formation of Network Matrix Y-bus solution in Power system Transmission Lines
1.
fi*non". oF oot f-l/"-
: AbrilTTaa.6 /./e7a/x ( YB,.) aF A PN€a NEirr4( o/^//-.,e a- A- ( Y) I - p".. - l-4, en7 lz ' 7^ -B-t /r"//./ ' . '8oee. i{ve : tdL (.3 - 8,,s, .*1'* p*." s1s1.-) Bd cEi.f /rc, po-* s"//,-,e h nll-hl /- 4.*l- ? L,- o 6l'fl o. (go 3 .,,
2.
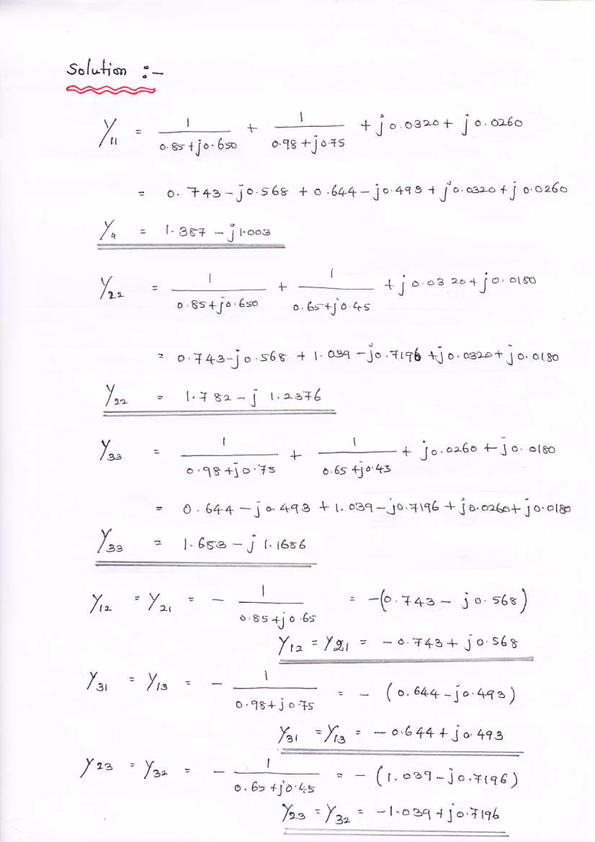
s.l.{i":- V | +i"oarr
io.oxo /, . " rJ." 6- oq3+j.rs = o. ?+a-j6 56& +o 644-io 4q3-lj' *+i 0"26" c ' rar+-jr""g I D Es+j" 6< o.65al6 as = o.T+e,jo.s6r i I oec -jo,ar?6, +j","2:-+1o.oLa" /- . 1.r s1- j 1.16"c + r r--aa5o F l6 6lh o.1e+jo:s o.es +j"ts - O 64a -j-a1s L r.o31 -.]0'I16r jo.-,r.+1o.r8o = t-66.a-J tl6E6Y Y .V /u' = /," '- ': - (6.64+-j".q{e) o ?s+ j o }s L, -X"'-o6+4+jo413 ;*r* = (r'"':-l''a1q6.) Yr, - lz"' -r'6sq+16 iri( Y,"=l ' -(' ++. - j '. 'e*) g, : -d "4e+jo s(r /n = Y,, - -
3.
/6 l."ra -i t.2-:n
d -l o?1 +j o +( ?6 +Joj93 +jo +(16 * j r. t(r( -o 6++ {g{ 6"1_;o^la :_?.++- /r", . ['l u] I r,, t,. r,) [ l^,,.r.,1 'lt , L ," ,",-l t L' la, /* U,, bq".-l ;{ r.6ss -j..,6s6 t1, t vi) ,-l t,l . -o 6a++joa93 a
4.
L lJ. .l."- 6l-
- s"- b l.t L,t 1,, Lr, L jo. 0,46 /-" - l-, o,. + u-- N. -t-* /-- L", x t,',, VJ*. /"- - 1",v," r.rEa-j '.2c1( r.a6a-j, A3+( _ f (o.,*.n I.rE'-j r.416 l."IE, -J .2s+( - [e".*t,ri" ",*1 F".rr-ij" <. I rjb I-aB,-l ,.rsT[ _ J o.srr" ls,r."rs, I Uea. l.3a4s?oo.:rss T. L o 3q+s-vo s,r l - o :q}s -i 6-s,!l l.+t, - o.al}s _11.231q
5.
v U +Ub
9-e k- -k * 11" sd, t j". uu u^L "g u,. u-/* l* * La, 4" - t. oeq r-j o.ar1e - | (--s+e.+j ".",+er c- " "*i" C .,. o3r a j o r r. c - [ {.. :.r+ L]re r-i1 6,."^ 1*.1*i] '-l ooa+jo ?re6- J t t o.3a+s-lo.1es6] o.aasr l3::rra"l - l. o3q +jo4ri, = -J oan r o .g++t L"' U ', V.1". - s". {" .1": Lu, v", /', - 6 . La+aj a- aq' l.'+r+ -3s Bla -b-sa.s+j 6 ,-+!'6 +j o.+ 116ai o.'j,6 /s' - t,,
6.
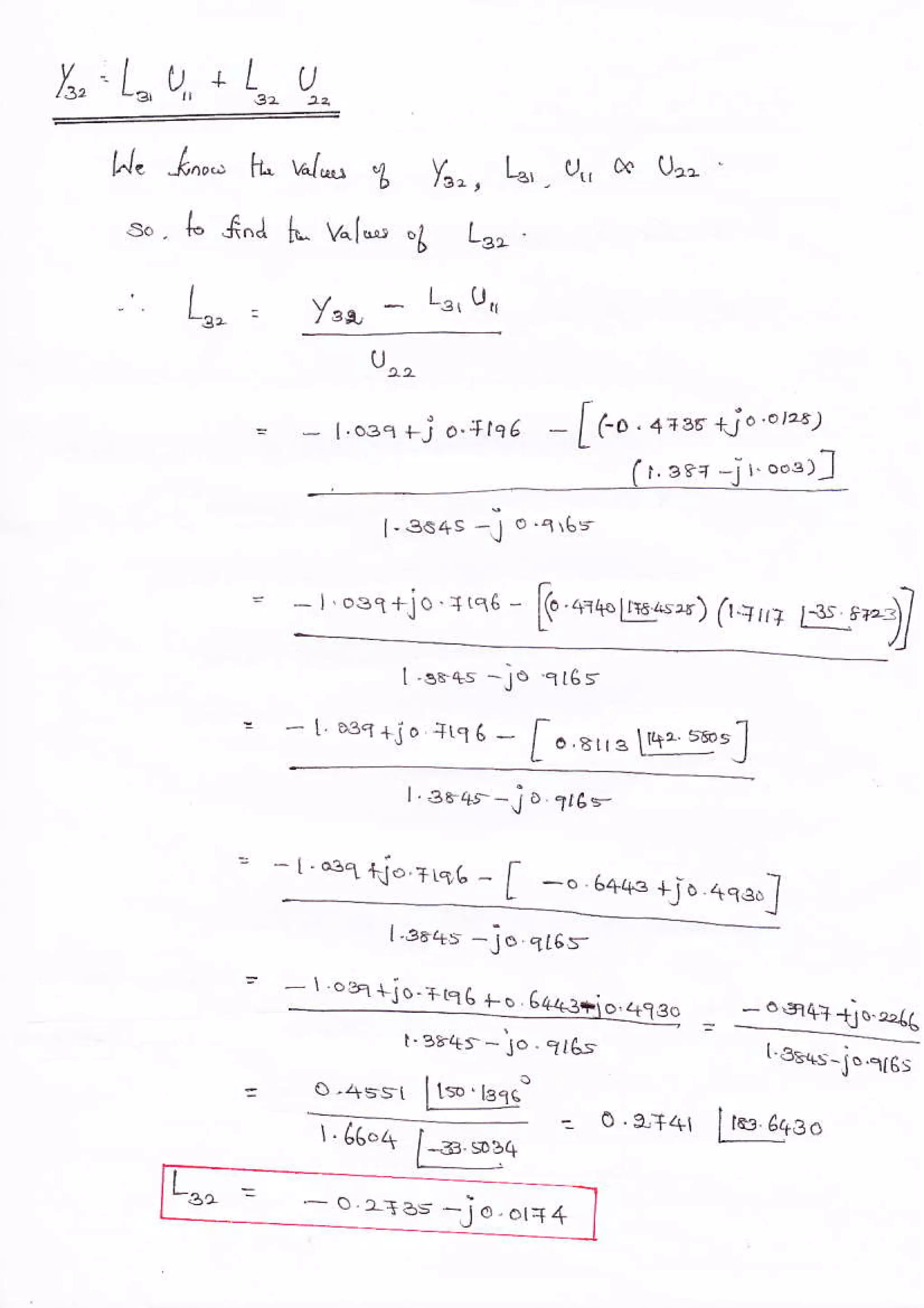
v =l u
*L u'3n N. tL a1-1^"- ks 1., 'L Y.,, 1",, u,, c' u"" l." v"l"- .1 1., . Y"e, - 1", un ao - l.oaa +j o.+le6 - fL, . +.u, *;o''*; ( r' aer -j r' "er] l-3c4s'ro.t6s- - I orjr jo rrq6 - l(.+rr"p4,,ry /r;r: r<s c*., --'-- ll - t. -Jo (- 5 t6t f0.",," I .ss-ar--j o ?/6- -I €1+io.Trie -f -".e+q. +io rqe"l I .ss,+s- _jo ir6s_ - I oea!jo-1r-r( {-o.64€iio.+ieo t.gr+s-j". qr6s : :3+] { 0.,.( t.€Es--jo.116s r . 66"4 le3.6+Ao -.B.SCq o rxos *.] o.or+4 0 .9.T4t
7.
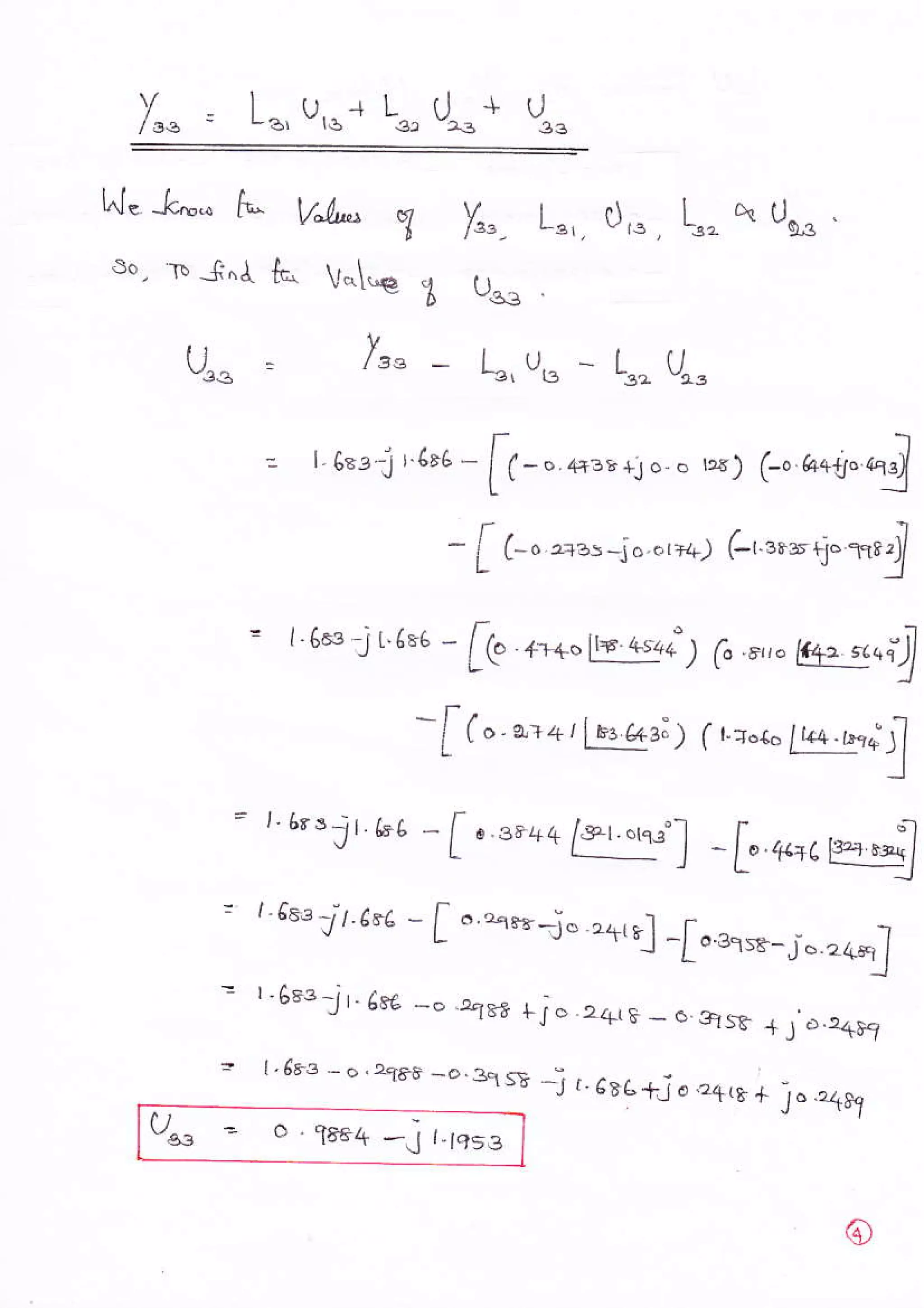
/." ' 1.,
u'o * L (l + U l"l. **. f- so, rr _f,^J. u,. vhY t". V""e X Y.", L", d,", 1". h ue" . U.*g L, uo .- 1"" U,., o
8.
L t-r v r.aa.r *l
I.o"3 - o 'a{2+jo.oLa( -o 4]3s+l o-orz& - o 443+]0 s6s l.36r|5 -j o a16' -' o . r-{ 3s - J;.ot, + -c6++elo +9s - r.:tas +jo. ?1e2 o 3rt + -j t-rese
Download