s;?fr'A-*,,- La ["2*l C,,h/
n
lov*.nrr Tc-/;n.
Cr"{".| Cor,*ro/
A! cs> = Gorcl
r+ G?t,) G*cs) 6.o, ( {)f-
APorrl]
Nun" ,
G
,' cst
G*csl
Gy ts>
aI cr, r
4
/** s7s/err- -- J< P
I *sT,
| +.|Tcl
|,-Lirn b/-/ -- |
/+sTE
I + L"o l")
[+ert)(t+sIiCr]sTE)
kp/
/ t +sTp
t+ (,ft)(*'")(,-*") (+)
ot
l,*"r,
[- "r".f
t opo
^rl
k?
*6,
[r*"q) Cr+st*1 Ct+srr] +tkr/u) [- "ro"']
[* "rrr"l
t-<) I r +.*o1 C r+sr* 1
},p
C uur*)r- Ur/*)
+sr") C t+sru 1
kr ( r+s) C r+sT. )
(r r"r9) [ l+"ro) [ r+sru ] +C ,rA
( t+srr) [ r+ur;
(r
AJ,, =
[-^r,o,l
F-7"*V (r>
D"t/.
--,
'/
,
IrLo*d I -r-.rrsT€{rlge
8ot*h-, J
T" J"/ Arpc :
Af,=ts
i) -t; i^J .(An
5}
_ t.D
F
t'*a :
ftZ*Z ,4"p*r* C-/$;*1 ,
= -'* : 'o t'l
'/l' *5D
kLl u,,^b., (p u.e,* )
Cn teaLer/oN
Loootl'w ( Bn" m, )
: taondl
= so H,z
L"*I E=*,r o-[ I r,t,?// An^ 2
J rvWfl :
/1,^
W (p,):,€^l/
Nun,iro /
frin
P
P
r.u
e = +)/ / [/ = 5-sec
APa , aoHu,
ftrrt-tao
*f
F = o*(*)
I
_(r?,/F)
Bqa f<va
a r/*u , v5D2oo
^;; =G=a'ooiu',
k
9o(}o
a
; ""rf#
,oo
b hn/pu
Ha
,YW
= z Llz/
/ nr,
o/** /,4 ( ro')
R,? /dD
O - oe)f Ya.ocso
f = AFRc ,
[o+ rilJ
G ",4*)l
: o' st { o.b* .= o. Ft p.u t-l* /tt<,
t.v* /
' 1: '=i.rr* t , / ?'u tl^/ rl zO-:rt il /t
rq;" H" r$ //r = lrz
^ -@'s1r:--
p'u 1l'd P.t)
le0O
l. lu+t xti I P *
@. otnl Ur_
s;{v," f,7*"f ,
+
4.1 -i>
I' + Are
5b t f- "
,utn& )
b -$ orl{
+1 '7s
:
ll
t-
LJs
( zo /ru.o l
( -=' /
f 'AFPc: fo+ ( iill
G ",+ft)l
O'st{o,E; = o"5l f.u H* /a'a
AE: (aPe/r) 9a 1+,
-
=o'g?ez
lix r
u*/
sr/?'u N'rlLl
o -=l
A_
0[ i^ llr
'klu kr
= [::' )
I o'=t /
= * o.otq6 L+2,
- -o.gT>a- P"v N
-ffi
*'t
nz,' = |, ?6o#Bdro
z o- at"C tf 3.
I' + a,e
5b l- (- o"ot"LS)
b e o. o1d
P.t)
'J'1* f'7*"r lr =
{" 5 a1 .7t
( wlruoo 
IE/
J
il
To J"J. F
iY"/A/ -I G : o.s
I* - 6.oP
T= r-o
Diu,& (e"ar r.run)
L) NRr -. p.o
R"fipt^ (ts+u r^eq)
L" D,, -, p.r,
2ea
: o'Ool(7
23roo 4n
f"
:2D
2ooo
A,aI
T
e/-/
2-p See
<i{
*----)-
{40,
/?l/
:ft2
Y@
2@{)t3
dd

V
i o-so! K t2-esrl* 2
cr)
hx/
/ F-"
(- or,(t+"ru) (us61A{cs> , *p
I
2 /oo
lrt"F) (r*sry2 (t+srr)+ kp
tnD ( t*sr-s) (t"tso'"&) (-a,,oE,)
7s u) ( r+so"3) ( roo os) +#L
( l,{o'zs) (t*o.o-;) (-aprbt)
P= P" ltuo .Fa*
Pr, /* ,'",f u r%n
-L.:
I
rP
3{,
AP o - 2-turlN
P'* /
R,J
T-
R;"-Tu
t_ 4 frr/^t
lr
?ol
O.ot X 50
2.e rf es
/O*
foo l-rz // p. o r*vt
2.g n*lr, *
/ .t- >as) ( lr o.Bs) ( r +o,ses) + ,.
//<
r /ou (,re"gs) Cf+o.o6r'.s) (-alous)
f t+ z*)
= too t I
C t +.' 3s) C [4 o'ots ) + so
t o'EfSs ,f* o. gs * o. or+."t) (- a Prrt)
( f* ot) (t+.. ors ,|o.38,F o, oe- +") + so
too t t .F t>. BE,s+o'oz-af;l (*a?oc$)
( r*"'1 t 1nt-o-3rs;o'oz4s]) + so
Io f ,*o.B&.s*o.""+oJ (-tPob)
[ + o - 3B^o# o .orasf + 2as-f 4.e.ia o'+ e,f rsoE
f ".oz+!
4. ,ers+rJ ( aTrat)
L
o. +r-ss + +.624*5a-r 2:.Brs + - j
I <tt 4o .az* (oo+ t s. ?gs + 4r,6€)
o. 4t f.ru + ts.e., so+ ir" +Ls .& /o6 .2#)
AI Gt*/") :/t.y
5-;o
aJut
4 ?ocs) ,
z lctr
JJc") ( r,Poct )
dPp o,o I
*__-J
.ss* L6loo x a ^atcrgCs,*r,. .eg,
-5:+s
s* 4t'( l) / - o'o t I
-__
I
L _-& -/
s. (er ({*zs s-rllF 4z,qe,s + t 6agu)
lsro x. . tL+ ( q, €e I Go..l - e ttrg
S|' ooo
= otq,.6qr.
o- er (tu6" W)

Power Systems Engineering - Load Frequency Control Derivation & Calculation (Power System Simulation Lab) ME PSE

  • 1.
    s;?fr'A-*,,- La ["2*lC,,h/ n lov*.nrr Tc-/;n. Cr"{".| Cor,*ro/ A! cs> = Gorcl r+ G?t,) G*cs) 6.o, ( {)f- APorrl] Nun" , G ,' cst G*csl Gy ts> aI cr, r 4 /** s7s/err- -- J< P I *sT, | +.|Tcl |,-Lirn b/-/ -- | /+sTE I + L"o l") [+ert)(t+sIiCr]sTE) kp/ / t +sTp t+ (,ft)(*'")(,-*") (+) ot l,*"r, [- "r".f t opo ^rl
  • 2.
    k? *6, [r*"q) Cr+st*1 Ct+srr]+tkr/u) [- "ro"'] [* "rrr"l t-<) I r +.*o1 C r+sr* 1 },p C uur*)r- Ur/*) +sr") C t+sru 1 kr ( r+s) C r+sT. ) (r r"r9) [ l+"ro) [ r+sru ] +C ,rA ( t+srr) [ r+ur; (r AJ,, = [-^r,o,l
  • 3.
    F-7"*V (r> D"t/. --, '/ , IrLo*d I-r-.rrsT€{rlge 8ot*h-, J T" J"/ Arpc : Af,=ts i) -t; i^J .(An 5} _ t.D F t'*a : ftZ*Z ,4"p*r* C-/$;*1 , = -'* : 'o t'l '/l' *5D kLl u,,^b., (p u.e,* ) Cn teaLer/oN Loootl'w ( Bn" m, ) : taondl = so H,z L"*I E=*,r o-[ I r,t,?// An^ 2 J rvWfl : /1,^ W (p,):,€^l/ Nun,iro / frin P P r.u e = +)/ / [/ = 5-sec APa , aoHu, ftrrt-tao *f F = o*(*) I _(r?,/F) Bqa f<va a r/*u , v5D2oo ^;; =G=a'ooiu', k 9o(}o a ; ""rf# ,oo b hn/pu Ha ,YW = z Llz/ / nr, o/** /,4 ( ro') R,? /dD O - oe)f Ya.ocso
  • 4.
    f = AFRc, [o+ rilJ G ",4*)l : o' st { o.b* .= o. Ft p.u t-l* /tt<, t.v* / ' 1: '=i.rr* t , / ?'u tl^/ rl zO-:rt il /t rq;" H" r$ //r = lrz ^ -@'s1r:-- p'u 1l'd P.t) le0O l. lu+t xti I P * @. otnl Ur_ s;{v," f,7*"f , + 4.1 -i> I' + Are 5b t f- " ,utn& ) b -$ orl{ +1 '7s : ll t- LJs ( zo /ru.o l ( -=' /
  • 5.
    f 'AFPc: fo+( iill G ",+ft)l O'st{o,E; = o"5l f.u H* /a'a AE: (aPe/r) 9a 1+, - =o'g?ez lix r u*/ sr/?'u N'rlLl o -=l A_ 0[ i^ llr 'klu kr = [::' ) I o'=t / = * o.otq6 L+2, - -o.gT>a- P"v N -ffi *'t nz,' = |, ?6o#Bdro z o- at"C tf 3. I' + a,e 5b l- (- o"ot"LS) b e o. o1d P.t) 'J'1* f'7*"r lr = {" 5 a1 .7t ( wlruoo IE/
  • 6.
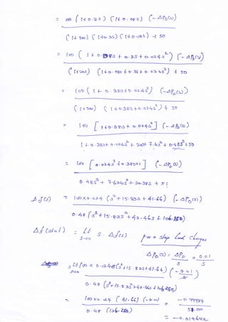
    J il To J"J. F iY"/A/-I G : o.s I* - 6.oP T= r-o Diu,& (e"ar r.run) L) NRr -. p.o R"fipt^ (ts+u r^eq) L" D,, -, p.r, 2ea : o'Ool(7 23roo 4n f" :2D 2ooo A,aI T e/-/ 2-p See <i{ *----)- {40, /?l/ :ft2 Y@ 2@{)t3 dd V i o-so! K t2-esrl* 2 cr) hx/ / F-" (- or,(t+"ru) (us61A{cs> , *p I 2 /oo lrt"F) (r*sry2 (t+srr)+ kp tnD ( t*sr-s) (t"tso'"&) (-a,,oE,) 7s u) ( r+so"3) ( roo os) +#L ( l,{o'zs) (t*o.o-;) (-aprbt) P= P" ltuo .Fa* Pr, /* ,'",f u r%n -L.: I rP 3{, AP o - 2-turlN P'* / R,J T- R;"-Tu t_ 4 frr/^t lr ?ol O.ot X 50 2.e rf es /O* foo l-rz // p. o r*vt 2.g n*lr, * / .t- >as) ( lr o.Bs) ( r +o,ses) + ,. //<
  • 7.
    r /ou (,re"gs)Cf+o.o6r'.s) (-alous) f t+ z*) = too t I C t +.' 3s) C [4 o'ots ) + so t o'EfSs ,f* o. gs * o. or+."t) (- a Prrt) ( f* ot) (t+.. ors ,|o.38,F o, oe- +") + so too t t .F t>. BE,s+o'oz-af;l (*a?oc$) ( r*"'1 t 1nt-o-3rs;o'oz4s]) + so Io f ,*o.B&.s*o.""+oJ (-tPob) [ + o - 3B^o# o .orasf + 2as-f 4.e.ia o'+ e,f rsoE f ".oz+! 4. ,ers+rJ ( aTrat) L o. +r-ss + +.624*5a-r 2:.Brs + - j I <tt 4o .az* (oo+ t s. ?gs + 4r,6€) o. 4t f.ru + ts.e., so+ ir" +Ls .& /o6 .2#) AI Gt*/") :/t.y 5-;o aJut 4 ?ocs) , z lctr JJc") ( r,Poct ) dPp o,o I *__-J .ss* L6loo x a ^atcrgCs,*r,. .eg, -5:+s s* 4t'( l) / - o'o t I -__ I L _-& -/ s. (er ({*zs s-rllF 4z,qe,s + t 6agu) lsro x. . tL+ ( q, €e I Go..l - e ttrg S|' ooo = otq,.6qr. o- er (tu6" W)