Embed presentation
Download as PDF, PPTX



















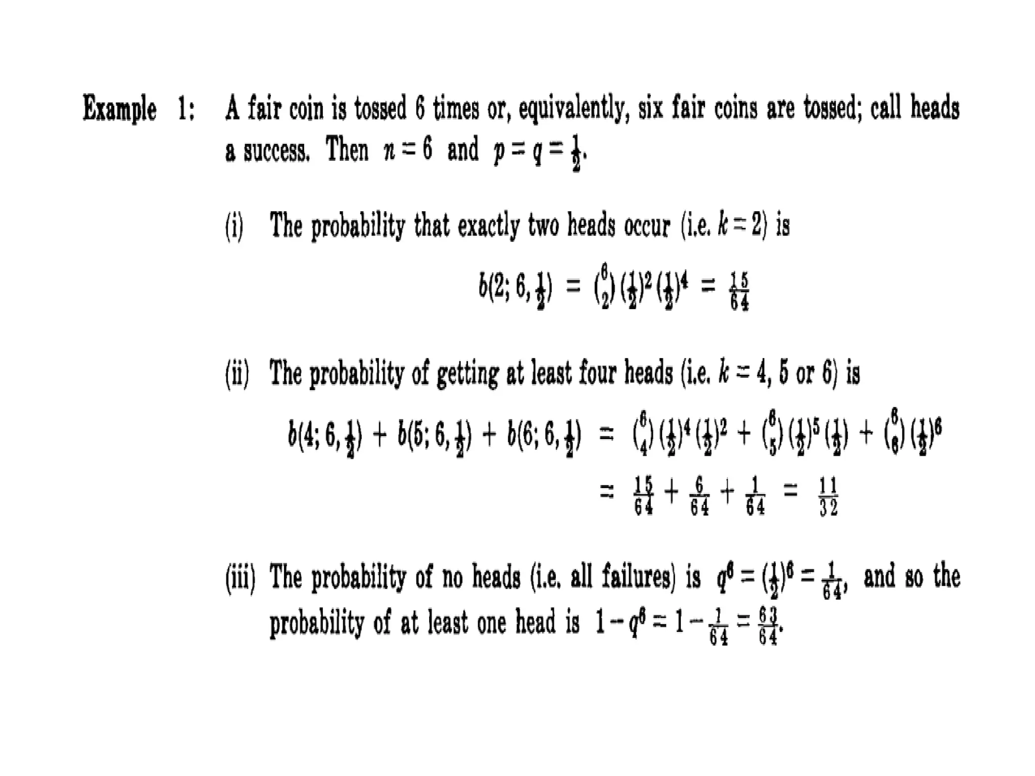
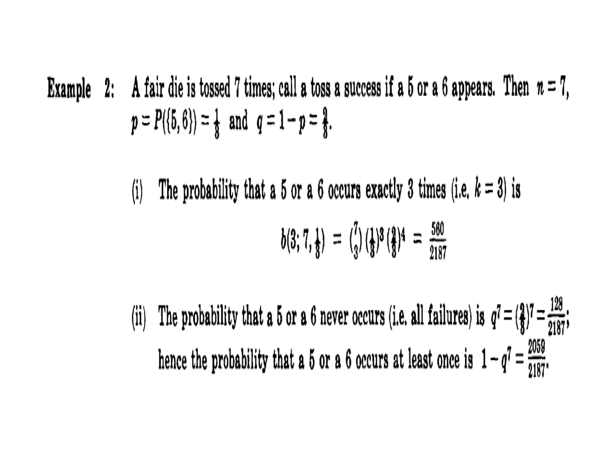
The document discusses random variables, outlining their definitions and types, including discrete and continuous random variables. It highlights that discrete random variables can assume countable values, while continuous random variables can take any value within an interval. Additionally, it mentions probability distributions and expected values for discrete random variables, specifically focusing on binomial probability distribution.


















