BILANGAN KOMPLEKS
Definisi

    Dalam buku Erwin Kreyszig kita baca definisi bilangan bilangan kompleks
    sebagai berikut

              Bilangan kompleks z ialah suatu pasangan terurut (x,y)
              dari bilangan nyata x, y, yang kita tuliskan

                                     z       ( x, y )
               bagian nyata (real part)             bagian khayal (imaginary part)
                       dari z                                  dari z

                kita tuliskan Re z       x      Im z    y

           Kita akan mencoba memahami definisi ini secara grafis,
                 mulai dari pengertian tentang bilangan nyata.
Bilangan Nyata

     Kita mengenal bilangan nyata bulat seperti 1, 2, 3 dan seterusnya;
  bilangan nyata pecahan ¼, ½, ¾ dan seterusnya, serta bilangan nyata
      yang hanya dapat di angankan seperti . Walaupun hanya dapat
  diangankan, bilangan ini tetap nyata, nilainya adalah 3,14……., dengan
               angka desimal yang tak diketahui ujungnya.


    Secara grafis, bilangan nyata dapat digambarkan posisinya di suatu
                     sumbu yang disebut sumbu nyata,


                    |   |    |   |   |   |    |   |   m

                   -2   -1   0   1   2   3    4   5
Tinjaulahsuatu fungsi         y       x


                3.5
            y    3
                2.5
                 2
                1.5
                 1
                0.5
                 0
                      0   1   2   3       4       5       6   7   8   9       10
                                                                          x
             tidak ada nilai y yang nyata untuk x negatif
      namun untuk x yang negatif dapat didefinisikan suatu
                  bilangan imajiner (khayal)
                                                                               4         1 4        1   4   j2
                                              1       j
                                                                              9      1 9       j3

                                                                              81    j9

                                                                              100    j10   dst.
Kita dapat memandang j sebagai sebuah operator; artinya jika j
beroperasi pada bilangan nyata 5 misalnya, kita mendapatkan bilangan
imajiner j5 dan jika beroperasi pada bilangan nyata b kita mendapatkan
                           bilangan imajiner jb

   Sumbu tegak tegak lurus pada sumbu-nyata untuk memosisikan
       bilangan imajiner; sumbu ini disebut sumbu imajiner

  bidang sekarang dibatasi oleh sumbu nyata (diberi tanda Re) dan
   sumbu imajiner (diberi tanda Im); dan disebut bidang kompleks

 setiap titik di bidang kompleks menunjukkan posisi bilangan-kompleks
                                  (x,,y)
dengan x adalah komponen nyata dan y adalah komponen imajiner-nya
Pernyataan Bilangan Kompleks
    satu bilangan kompleks z merupakan jumlah dari komponen nyata
                  dan komponen imajiner dan dituliskan
                                                   z   a     jb

             bilangan kompleks                             bagian imajiner
                                           bagian nyata

                                          Im
                                                             z    a   jb        z           (cos            j sin   )
    disebut modulus                       jb
                          2           2
 modulus z            a           b
                                                                  b   sin
                                                                                        2        2
                                                                            z       a        b       (cos       j sin   )
                                                             a        Re
    disebut argumen
                      1       b                a       cos
   arg z        tan
                              a
CONTOH
   Suatu bilangan kompleks dinyatakan sebagai
                                    z1           3    j4

   Sudut dengan sumbu nyata adalah
                                     1                             o
                      1       tan        ( 4 / 3)          53 ,1


   Pernyataan z1 dapat kita tuliskan

                              2          2                   o                       o
                 z1       3         4        cos 53 ,1                 j sin 53 ,1
                                             o                         o
                      5 cos 53 ,1                    j sin 53 ,1
CONTOH
   Suatu bilangan kompleks dinyatakan sebagai

                                                    o                  o
                            z2      10 cos 20               j sin 20


    Pernyataan ini dapat kita tuliskan

                                               o                   o
                       z2        10 cos 20              j sin 20
                                 10 ( 0 , 94       j 0 , 34 )   9,4        j 3, 4 )
Kesamaan Bilangan Kompleks

                                 2       2
              Modulus        a       b       merupakan nilai mutlak


     Dua atau lebih bilangan kompleks bisa saja memiliki nilai yang
     sama akan tetapi dengan sudut yang berbeda; atau sebaliknya
     mempunyai nilai sama akan tetapi memiliki yang berbeda.

     Dua bilangan kompleks dikatakan sama besar jika mereka
     mempunyai baik maupun yang sama besar.

     Dengan kata lain, mereka memiliki bagian nyata dan bagian
     imajiner yang sama besar..
Negatif dari Bilangan Kompleks

             Nilai negatif dari suatu bilangan kompleks adalah
                   nilai negative dari kedua komponennya

                   Jika z     a         jb maka       z            a   jb


                                   Im

                                   jb             z       a    jb


                                    o
                              180
                                              a               Re




                     z    a   jb
CONTOH

         Jika   z1   4       j6     maka           z2               z1         4           j6




         Sudut dengan sumbu nyata
                                          1                              o
                         1        tan         (6 / 4)           56 ,3

                                          o                o                   o
                         2        56 ,3           180                236 ,3

         z1 dapat dinyatakan sebagai
                                              2        2                       o                         o
                             z1         4          6           cos 56 , 3                  j sin 56 ,3
                                                                o                               o
                                    7 , 2 cos 56 , 3                     j sin 56 ,3

                                                                 o                 o                            o         o
                             z1     7 , 2 cos( 56 , 3                    180           )        j sin( 56 , 3       180       )
                                        7 ,2       0 , 55            j 0 ,83                3 , 96     j6
Konjugat Bilangan Kompleks

   Konjugat dari suatu bilangan kompleks z adalah bilangan kompleks z*
   yang memiliki komponen nyata sama dengan z tetapi komponen
   imajinernya adalah negatif dari komponen imajiner z.


                  Jika z   a        jb   maka       z        a    jb


                           Im
                               jb               z   a       jb



                                                        Re
                                           a


                               jb               z       a    jb
CONTOH:
          Jika z     5       j6        maka z                  5        j6
                                                                                     Im
          Sudut dengan sumbu nyata                                                        z    5    j6

                                                      1                          o
                                           tan            (6 / 5)       50 , 2
                                                           o                                   Re
                                               50 , 2

          z dapat dinyatakan sebagai                                                      z*    5   j6

                         2       2                o                       o
             z       5       6       cos 50 , 2            j sin 50 , 2
                                       o                       o
                   7 ,8 cos 50 , 2             j sin 50 , 2

                                           o                        o
             z      7 ,8 cos 50 , 2               j sin 50 , 2
CONTOH:
                                                            Im
                                          z       5    j6



    Jika   z   5   j6   maka z   5   j6                              Re


                                              z   5    j6



                                                      Im
                                                                 z       5    j6


    Jika z     5   j6   maka z   5   j6
                                                                     Re



                                                                 z   5       j6
Operasi-Operasi Aljabar
Penjumlahan dan Pengurangan Bilangan Kompleks

      Hasil penjumlahan dua bilangan kompleks merupakan bilangan
   kompleks yang komponen nyatanya merupakan jumlah komponen nyata
   dan komponen imajinernya juga merupakan jumlah komponen imajiner.
                       z1   z2   ( a1      jb1 )    (a2         jb 2 )
                                 ( a1     a2 )      j ( b1     b2 )


     Hasil selisih dua bilangan kompleks adalah bilangan kompleks yang
        komponen nyatanya merupakan selisih komponen nyata dan
     komponen imajinernya juga merupakan selisih komponen imajiner.

                       z1   z2   ( a1     jb1 )    (a2       jb 2 )
                                   ( a1    a2 )     j ( b1     b2 )
CONTOH:
          Diketahui s1        2    j3       dan            s2      3   j4


                  s1     s2       (2    j 3)          (3        j 4)
                                   5        j7


                   s1    s2       (2        j 3)      (3        j 4)
                                        1        j1
Perkalian Bilangan Kompleks

     Perkalian dua bilangan kompleks dilaksanakan seperti halnya kita
     melakukan perkalian jumlah dua bilangan, yaitu dengan malakukan
     perkalian komponen per komponen

                     ( z 1 )( z 2 )        ( a1            jb 1 )( a 2            jb 2 )
                                           a1 a 2               jb 1 a 2             jb 1 a 2         b1 b 2
                                           a1 a 2            2 jb 1 a 2               b1 b 2

     Jika z 2   z1
                     z1        z1          (a          jb )( a               jb )
                                                   2                                              2
                                               a                jba              jba          b
                                                   2                2
                                               a             b

                                           2                             2
      Perhatikan: z1      z1          z1               a            jb
                                                                                 2
                                                                2            2                2           2
                                                            a            b                a           b
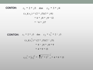
CONTOH:   z1           2        j3           dan           z2             3       j4

           ( z1 )( z 2 )            (2        j 3 )( 3             j 4)
                                     6        j8           j9           12
                                         6         j17




CONTOH:   z1       2       j3        dan              z2           z1         2       j3

               ( z1 )( z1 )          (2           j 3 )( 2             j 3)
                                         4        j6           j6        9
                                         4     9           13

                                                                   2
                                2                 2            2
           z1 z1           z1                 2            3                  4   9        13
Pembagian Bilangan Kompleks

           Hasil bagi suatu pembagian tidak akan berubah jika
                    pembagian itu dikalikan dengan 1

                          z1        a1         jb 1       a2    jb 2
                          z2        a2         jb 2       a2    jb 2                               a2       jb 2
                                                                                                                   1
                                    ( a1 a 2          b1b 2 )   j ( b1 a 2    b 2 a1 )             a2       jb 2
                                                            2       2
                                                          a2    b2




    CONTOH:      z1   2        j3     dan              z2       3       j4


                 z1   2        j3     3        j4          (6   12 )         j( 8        9)   18            1
                                                                                                        j
                 z2   3        j4     3        j4                       2        2            25            25
                                                                    3        4
Pernyataan Bilangan Kompleks Bentuk Polar
Fungsi Eksponensial Kompleks

       Jika x adalah bilangan nyata maka fungsi ekponensial
                                                      x
                                          y       e

               merupakan fungsi ekponensial nyata;
                      y memiliki nilai nyata

       Jika z adalah bilangan kompleks z                                j
       fungsi eksponensial kompleks didefinisikan

                    z       (   j )
                e       e             e (cos                    j sin   ) ;

                dengan e          adalah fungsi eksponensi al riil`

                                              j
        Melalui identitas Euler e                     cos           j sin

        fungsi exponensial kompleks dapat kita tuliskan
                                          z                 j
                                      e           e e
Bentuk Polar
      Representasi bilangan kompleks dalam bentuk polar adalah
                                                            j
                                            z           e
                                     Im
                                                                              j
                                                                z         e
                                                                                  arg z        z


                                                                         Re



    CONTOH: Misalkan suatu bilangan kompleks z = 10 e j0,5
               Modulus bilangan kompleks ini adalah |z| = 10 dan
               argumennya z = 0,5 rad
                                                                                  Im
                Bentuk sudut sikunya adalah:
                                                                                                               j 0 ,5
                z   10 (cos 0 , 5      j sin 0 , 5 )                                                 z    5e
                                                                                          10
                    10 ( 0 ,88      j 0 , 48 )   8 ,8           j 4 ,8                    0 ,5 rad
                                                                                                     Re
CONTOH:
          Misalkan suatu bilangan kompleks z = 3+ j4


                                             2           2
            Modulus         |z|          3           4            5

                                         1   4
            Argumen         z      tan               0 ,93 rad
                                             3



            Representasi polar    z = 5e j0,93

                            Im
                                                             j 0 , 93
                                                 z   5e
                                   5

                                   0 ,93 rad
                                                     Re
CONTOH:
          Misalkan z          2    j0


          Modulus      |z|                 4       0       2

                                   1
          Argumen            tan       0/          2            tidak bernilai tunggal
                                                       Di sini kita harus memilih = rad
                                                          karena komponen imajiner 0
                                                        sedangkan komponen nyata 2

                                                               Im



                                                       j
                                       z       2e
                                                                            Re
                                               2
.
    CONTOH:

              Misalkan z      0     j2

              Modulus | z |              0    4    2

                                     1
              Argumen         tan            2/0         /2

                                                       komponen imajiner 0
                                                       komponen nyata 2

               Representasi polar adalah                       Im
                                    j /2
                      z    2e
                                                                                    Re



                                                                             j /2
                                                               j2   z   2e
Manfaat Bentuk Polar
Perkalian dan Pembagian Bilangan Kompleks

      Representasi polar dari bilangan kompleks mempermudah
                 operasi perkalian dan pembagian.

                              j                 j                                         j
         ( z1 )( z 2 )                                                 z1            1e
                                                                                              1

                         1e                2e
                                  1                 2
                                                                                                       1       j(           )
                                                                                          j
                                                                                                           e        1   2


                                      j(                )              z2            2e
                                                                                              2
                                                                                                       2
                              2e
                                           1        2
                         1




 CONTOH:
              Misalkan z1 = 10 e j0,5 dan z2 = 5 e j0,4

                                                              j 0 ,5        j 0,4                 j 0 ,9
                              z1 z 2                10 e               5e                 50 e

                                                            j 0 ,5
                                  z1            10 e                        j 0 ,1
                                                                       2e
                              z2                            j 0,4
                                                    5e
Konjugat Kompleks
               argumen konjugat berlawanan dengan
                argumen bilangan kompleks asalnya

                      Im                                    j
                                                   z    e

                                                       Re

                                                                j
                                               z            e


         Relasi-relasi antara suatu bilangan kompleks dengan
       konjugat bilangan kompleks lainnya adalah sebagai berikut
                                          2
                      ( z )( z *)   |z|       atau |z|              s s*
                                         *     *
                       z1 z 2 *      z1       z2
                              *      *
                        z1          z1
                        z2           *
                                    z2
CONTOH:
                                        j 0 ,5                                        j 0,4
          Misalkan z1       10 e                   dan              z2         5e


                               j 0 ,5                    j 0 ,5
             z1 z1     10 e                 10 e                      100

             z2 z2     25


                                j 0 ,5           j 0,4                     j 0 ,9                  j 0 ,9
              z1 z 2    10 e                5e                    50e                   50e
                                 j 0 ,5            j 0,4                    j 0 ,9
                        10 e                 5e                   50 e


                                    j 0 ,5
               z1           10 e                                  j 0 ,1                      j 0 ,1
                                                           2e                        50e
               z2                  j 0,4
                              5e
                                        j 0 ,5
                         10 e                                j 0 ,1
                                                   2e
                                    j 0,4
                            5e
Course Ware

Bilangan Kompleks


Sudaryatno Sudirham

Bilangan kompleks

  • 1.
  • 2.
    Definisi Dalam buku Erwin Kreyszig kita baca definisi bilangan bilangan kompleks sebagai berikut Bilangan kompleks z ialah suatu pasangan terurut (x,y) dari bilangan nyata x, y, yang kita tuliskan z ( x, y ) bagian nyata (real part) bagian khayal (imaginary part) dari z dari z kita tuliskan Re z x Im z y Kita akan mencoba memahami definisi ini secara grafis, mulai dari pengertian tentang bilangan nyata.
  • 3.
    Bilangan Nyata Kita mengenal bilangan nyata bulat seperti 1, 2, 3 dan seterusnya; bilangan nyata pecahan ¼, ½, ¾ dan seterusnya, serta bilangan nyata yang hanya dapat di angankan seperti . Walaupun hanya dapat diangankan, bilangan ini tetap nyata, nilainya adalah 3,14……., dengan angka desimal yang tak diketahui ujungnya. Secara grafis, bilangan nyata dapat digambarkan posisinya di suatu sumbu yang disebut sumbu nyata, | | | | | | | | m -2 -1 0 1 2 3 4 5
  • 4.
    Tinjaulahsuatu fungsi y x 3.5 y 3 2.5 2 1.5 1 0.5 0 0 1 2 3 4 5 6 7 8 9 10 x tidak ada nilai y yang nyata untuk x negatif namun untuk x yang negatif dapat didefinisikan suatu bilangan imajiner (khayal) 4 1 4 1 4 j2 1 j 9 1 9 j3 81 j9 100 j10 dst.
  • 5.
    Kita dapat memandangj sebagai sebuah operator; artinya jika j beroperasi pada bilangan nyata 5 misalnya, kita mendapatkan bilangan imajiner j5 dan jika beroperasi pada bilangan nyata b kita mendapatkan bilangan imajiner jb Sumbu tegak tegak lurus pada sumbu-nyata untuk memosisikan bilangan imajiner; sumbu ini disebut sumbu imajiner bidang sekarang dibatasi oleh sumbu nyata (diberi tanda Re) dan sumbu imajiner (diberi tanda Im); dan disebut bidang kompleks setiap titik di bidang kompleks menunjukkan posisi bilangan-kompleks (x,,y) dengan x adalah komponen nyata dan y adalah komponen imajiner-nya
  • 6.
    Pernyataan Bilangan Kompleks satu bilangan kompleks z merupakan jumlah dari komponen nyata dan komponen imajiner dan dituliskan z a jb bilangan kompleks bagian imajiner bagian nyata Im z a jb z (cos j sin ) disebut modulus jb 2 2 modulus z a b b sin 2 2 z a b (cos j sin ) a Re disebut argumen 1 b a cos arg z tan a
  • 7.
    CONTOH Suatu bilangan kompleks dinyatakan sebagai z1 3 j4 Sudut dengan sumbu nyata adalah 1 o 1 tan ( 4 / 3) 53 ,1 Pernyataan z1 dapat kita tuliskan 2 2 o o z1 3 4 cos 53 ,1 j sin 53 ,1 o o 5 cos 53 ,1 j sin 53 ,1
  • 8.
    CONTOH Suatu bilangan kompleks dinyatakan sebagai o o z2 10 cos 20 j sin 20 Pernyataan ini dapat kita tuliskan o o z2 10 cos 20 j sin 20 10 ( 0 , 94 j 0 , 34 ) 9,4 j 3, 4 )
  • 9.
    Kesamaan Bilangan Kompleks 2 2 Modulus a b merupakan nilai mutlak Dua atau lebih bilangan kompleks bisa saja memiliki nilai yang sama akan tetapi dengan sudut yang berbeda; atau sebaliknya mempunyai nilai sama akan tetapi memiliki yang berbeda. Dua bilangan kompleks dikatakan sama besar jika mereka mempunyai baik maupun yang sama besar. Dengan kata lain, mereka memiliki bagian nyata dan bagian imajiner yang sama besar..
  • 10.
    Negatif dari BilanganKompleks Nilai negatif dari suatu bilangan kompleks adalah nilai negative dari kedua komponennya Jika z a jb maka z a jb Im jb z a jb o 180 a Re z a jb
  • 11.
    CONTOH Jika z1 4 j6 maka z2 z1 4 j6 Sudut dengan sumbu nyata 1 o 1 tan (6 / 4) 56 ,3 o o o 2 56 ,3 180 236 ,3 z1 dapat dinyatakan sebagai 2 2 o o z1 4 6 cos 56 , 3 j sin 56 ,3 o o 7 , 2 cos 56 , 3 j sin 56 ,3 o o o o z1 7 , 2 cos( 56 , 3 180 ) j sin( 56 , 3 180 ) 7 ,2 0 , 55 j 0 ,83 3 , 96 j6
  • 12.
    Konjugat Bilangan Kompleks Konjugat dari suatu bilangan kompleks z adalah bilangan kompleks z* yang memiliki komponen nyata sama dengan z tetapi komponen imajinernya adalah negatif dari komponen imajiner z. Jika z a jb maka z a jb Im jb z a jb Re a jb z a jb
  • 13.
    CONTOH: Jika z 5 j6 maka z 5 j6 Im Sudut dengan sumbu nyata z 5 j6 1 o tan (6 / 5) 50 , 2 o Re 50 , 2 z dapat dinyatakan sebagai z* 5 j6 2 2 o o z 5 6 cos 50 , 2 j sin 50 , 2 o o 7 ,8 cos 50 , 2 j sin 50 , 2 o o z 7 ,8 cos 50 , 2 j sin 50 , 2
  • 14.
    CONTOH: Im z 5 j6 Jika z 5 j6 maka z 5 j6 Re z 5 j6 Im z 5 j6 Jika z 5 j6 maka z 5 j6 Re z 5 j6
  • 15.
  • 16.
    Penjumlahan dan PenguranganBilangan Kompleks Hasil penjumlahan dua bilangan kompleks merupakan bilangan kompleks yang komponen nyatanya merupakan jumlah komponen nyata dan komponen imajinernya juga merupakan jumlah komponen imajiner. z1 z2 ( a1 jb1 ) (a2 jb 2 ) ( a1 a2 ) j ( b1 b2 ) Hasil selisih dua bilangan kompleks adalah bilangan kompleks yang komponen nyatanya merupakan selisih komponen nyata dan komponen imajinernya juga merupakan selisih komponen imajiner. z1 z2 ( a1 jb1 ) (a2 jb 2 ) ( a1 a2 ) j ( b1 b2 )
  • 17.
    CONTOH: Diketahui s1 2 j3 dan s2 3 j4 s1 s2 (2 j 3) (3 j 4) 5 j7 s1 s2 (2 j 3) (3 j 4) 1 j1
  • 18.
    Perkalian Bilangan Kompleks Perkalian dua bilangan kompleks dilaksanakan seperti halnya kita melakukan perkalian jumlah dua bilangan, yaitu dengan malakukan perkalian komponen per komponen ( z 1 )( z 2 ) ( a1 jb 1 )( a 2 jb 2 ) a1 a 2 jb 1 a 2 jb 1 a 2 b1 b 2 a1 a 2 2 jb 1 a 2 b1 b 2 Jika z 2 z1 z1 z1 (a jb )( a jb ) 2 2 a jba jba b 2 2 a b 2 2 Perhatikan: z1 z1 z1 a jb 2 2 2 2 2 a b a b
  • 19.
    CONTOH: z1 2 j3 dan z2 3 j4 ( z1 )( z 2 ) (2 j 3 )( 3 j 4) 6 j8 j9 12 6 j17 CONTOH: z1 2 j3 dan z2 z1 2 j3 ( z1 )( z1 ) (2 j 3 )( 2 j 3) 4 j6 j6 9 4 9 13 2 2 2 2 z1 z1 z1 2 3 4 9 13
  • 20.
    Pembagian Bilangan Kompleks Hasil bagi suatu pembagian tidak akan berubah jika pembagian itu dikalikan dengan 1 z1 a1 jb 1 a2 jb 2 z2 a2 jb 2 a2 jb 2 a2 jb 2 1 ( a1 a 2 b1b 2 ) j ( b1 a 2 b 2 a1 ) a2 jb 2 2 2 a2 b2 CONTOH: z1 2 j3 dan z2 3 j4 z1 2 j3 3 j4 (6 12 ) j( 8 9) 18 1 j z2 3 j4 3 j4 2 2 25 25 3 4
  • 21.
  • 22.
    Fungsi Eksponensial Kompleks Jika x adalah bilangan nyata maka fungsi ekponensial x y e merupakan fungsi ekponensial nyata; y memiliki nilai nyata Jika z adalah bilangan kompleks z j fungsi eksponensial kompleks didefinisikan z ( j ) e e e (cos j sin ) ; dengan e adalah fungsi eksponensi al riil` j Melalui identitas Euler e cos j sin fungsi exponensial kompleks dapat kita tuliskan z j e e e
  • 23.
    Bentuk Polar Representasi bilangan kompleks dalam bentuk polar adalah j z e Im j z e arg z z Re CONTOH: Misalkan suatu bilangan kompleks z = 10 e j0,5 Modulus bilangan kompleks ini adalah |z| = 10 dan argumennya z = 0,5 rad Im Bentuk sudut sikunya adalah: j 0 ,5 z 10 (cos 0 , 5 j sin 0 , 5 ) z 5e 10 10 ( 0 ,88 j 0 , 48 ) 8 ,8 j 4 ,8 0 ,5 rad Re
  • 24.
    CONTOH: Misalkan suatu bilangan kompleks z = 3+ j4 2 2 Modulus |z| 3 4 5 1 4 Argumen z tan 0 ,93 rad 3 Representasi polar z = 5e j0,93 Im j 0 , 93 z 5e 5 0 ,93 rad Re
  • 25.
    CONTOH: Misalkan z 2 j0 Modulus |z| 4 0 2 1 Argumen tan 0/ 2 tidak bernilai tunggal Di sini kita harus memilih = rad karena komponen imajiner 0 sedangkan komponen nyata 2 Im j z 2e Re 2
  • 26.
    . CONTOH: Misalkan z 0 j2 Modulus | z | 0 4 2 1 Argumen tan 2/0 /2 komponen imajiner 0 komponen nyata 2 Representasi polar adalah Im j /2 z 2e Re j /2 j2 z 2e
  • 27.
  • 28.
    Perkalian dan PembagianBilangan Kompleks Representasi polar dari bilangan kompleks mempermudah operasi perkalian dan pembagian. j j j ( z1 )( z 2 ) z1 1e 1 1e 2e 1 2 1 j( ) j e 1 2 j( ) z2 2e 2 2 2e 1 2 1 CONTOH: Misalkan z1 = 10 e j0,5 dan z2 = 5 e j0,4 j 0 ,5 j 0,4 j 0 ,9 z1 z 2 10 e 5e 50 e j 0 ,5 z1 10 e j 0 ,1 2e z2 j 0,4 5e
  • 29.
    Konjugat Kompleks argumen konjugat berlawanan dengan argumen bilangan kompleks asalnya Im j z e Re j z e Relasi-relasi antara suatu bilangan kompleks dengan konjugat bilangan kompleks lainnya adalah sebagai berikut 2 ( z )( z *) |z| atau |z| s s* * * z1 z 2 * z1 z2 * * z1 z1 z2 * z2
  • 30.
    CONTOH: j 0 ,5 j 0,4 Misalkan z1 10 e dan z2 5e j 0 ,5 j 0 ,5 z1 z1 10 e 10 e 100 z2 z2 25 j 0 ,5 j 0,4 j 0 ,9 j 0 ,9 z1 z 2 10 e 5e 50e 50e j 0 ,5 j 0,4 j 0 ,9 10 e 5e 50 e j 0 ,5 z1 10 e j 0 ,1 j 0 ,1 2e 50e z2 j 0,4 5e j 0 ,5 10 e j 0 ,1 2e j 0,4 5e
  • 31.