1. Indicated Power : It is the power produced inside the cylinder and is
calculated using following equation.
Where, Pm = Mean Indicated Pressure
…..bar L = Stoke ……. m
A = area of bore ……𝑚2
N = Revolutions per minute in rpm
k = Number of poer stroke per
revolution on crank shaft
for 4 stroke engine k = 1
2
for 2 stroke engine k =
1
x = Number of cylinders.
Engine Performance Parameters: (Continued….)
𝐼𝑛𝑑𝑖𝑐𝑎𝑡𝑒𝑑
𝑃𝑜𝑤𝑒𝑟
60 ∗
1000
Prof. Anand Kulkarni, Dept of Mechanical
Engineering, CiTech
1
𝑃𝑚𝐿𝐴𝑁𝐾𝑥
𝐼𝑃 = … … … … … … .
(𝑘𝑊)
2. Brake Power : It is the power available on the crank
shaft.
Where, N = Revolutions per minute in
rpm
T = Torque in N-m
Engine Performance Parameters: (Continued….)
𝐵𝑟𝑎𝑘𝑒 𝑃𝑜𝑤𝑒𝑟
𝐵𝑃 =
2π𝑁
𝑇
60 ∗
1000
… … … … … … .
(𝑘𝑊)
Prof. Anand Kulkarni, Dept of Mechanical
Engineering, CiTech
2
Engine Performance Parameters: (Continued….)
• Torque for Rope Brake Drum Dynamometer
𝑇
=
(𝑊−𝑆)
𝐷+𝑑
Prof. Anand Kulkarni, Dept of Mechanical
Engineering, CiTech
3
2
Where, W = Load in weight .. in
N
D = Diameter of Brake drum .. in
m d = Diameter of Rope in m
Engine Performance Parameters: (Continued….)
• BP for Belt Drum Dynamometer
60
∗1000
𝐵𝑟𝑎𝑘𝑒 𝑃𝑜𝑤𝑒𝑟 𝐵𝑃 = 2π𝑁(𝑇1 −𝑇2)
… … …
… … … . (𝑘𝑊)
Where, T1 = Tension on Tight Side .. in N
T2 = Tension on Slack Side .. in N
N = Revolutions per minute in rpm
Prof. Anand Kulkarni, Dept of Mechanical
Engineering, CiTech
4
Engine Performance Parameters: (Continued….)
3.Friction Power : It is the difference between indicated and
brake power.
𝐹𝑃 = 𝐼𝑃 − 𝐵𝑃 … . 𝑘𝑊
4.Mechanical Efficiency (ղ𝒎𝒆𝒄𝒉) : It is the ratio of indicated and brake
power.
𝑚𝑒𝑐
ℎ
𝐼
𝑃
ղ = 𝐵𝑃
𝑥 100 ……
%
5. Indicated Thermal Efficiency (ղ𝒊𝒑) : It is the ratio of
indicated power to the chemical energy.
𝑖
𝑝
ղ =
𝐼
𝑃
Prof. Anand Kulkarni, Dept of Mechanical
Engineering, CiTech
5
𝑚𝑓𝑋𝐶
𝑉
𝑥 100 ……
%
Engine Performance Parameters: (Continued….)
6. Brake Thermal Efficiency (ղ𝒃𝒑) : It is the ratio of brake power to
the chemical energy
𝑏
𝑝
ղ =
𝐵
𝑃
𝑚𝑓𝑋𝐶
𝑉
𝑥 100 ……
%
Where, 𝑚𝑓 = Mass flow rate of fuel …..
kg/s CV = Calorific Value kJ/kg
7. Indicated specific fuel consumption
(isfc): It is the
mass fuel
required to produce 1 kW of indicated power
in one hour.
Isfc =
𝑚 𝑓
𝑋
3600
𝐼𝑃
𝑘𝑊−ℎ𝑟
Prof. Anand Kulkarni, Dept of Mechanical
Engineering, CiTech
6
𝑘
𝑔
Where, 𝑚𝑓 = Mass flow rate of fuel …..
kg/s IP = Indicated Power ……kW
Engine Performance Parameters: (Continued….)
8. Brake specific fuel consumption (bsfc): It is the mass fuel required
to produce 1 kW of brake power in one hour.
bsfc =
𝑚𝑓
𝑋
3600
𝐵𝑃
𝑘𝑊−ℎ𝑟
Prof. Anand Kulkarni, Dept of Mechanical
Engineering, CiTech
7
𝑘
𝑔
Where, 𝑚𝑓 = Mass flow rate of fuel …..
kg/s BP = Brake Power ……kW
List of Formulae on I C Engines
1. Brake Power (BP) =
𝟐𝝅
𝑵𝑻
𝟔𝟎
∗𝟏𝟎𝟎𝟎
…… kW.
a) Torque for Rope Brake Drum Dynamometer 𝐓 = (𝐖−𝐒)
𝐃+𝐝
�
�
Where, W = Load in weight .. in N
D = Diameter of Brake drum .. in
m d = Diameter of Rope in m.
b) Torque for Belt drum Dynamometer, T = (T1 – T2) .. in N
Where, T1 = Tension on Tight Side .. in N
T2 = Tension on Slack Side .. in N
𝟔𝟎
∗𝟏𝟎𝟎𝟎
2. Indicate Power (IP) =
𝑷𝒎𝑳𝑨𝑵𝑲𝒙
……
kW.
Pm = Mean Indicated Pressure = 𝑺𝒂
……. (bar) [Note: 1 bar = 105
N/𝑚2]
𝒍
Where, S = Spring Constant
N/𝑚2/m
l = Length of Indicator
Diagram L = Stoke ……. m
N = Revolutions per minute in
rpm
a = Area of Indicator Diagram
x = Number of
cylinders. A = area of
bore ……𝑚2
�
for 4 stroke engine k = 𝟏
and for 2 stroke engine k =
Prof. Anand Kulkarni, Dept of Mechanical Engineering, CiTech
38
3. Friction Power (FP) = 𝐼𝑃−𝐵𝑃
….𝑘𝑊
𝒎𝒆𝒄
𝒉
𝑰
𝑷
4. Mechanical Efficiency (ղ ) = = 𝑩𝑷
𝒙 𝟏𝟎𝟎 ……
%
𝒊
𝒑
5. Indicated Thermal Efficiency (ղ )
=
𝑰
𝑷
𝒎𝒇𝑿
𝑪𝑽
𝒙 𝟏𝟎𝟎 ……
%
Where, 𝑚𝑓 = Mass flow rate of fuel …..
kg/s
CV = Calorific Value kJ/kg
𝒃
𝒑
6. Brake Thermal Efficiency (ղ )
=
𝑩
𝑷
𝒎𝒇𝑿
𝑪𝑽
𝒙 𝟏𝟎𝟎 ……
%
𝑰
𝑷
7. Indicated specific fuel consumption (isfc) =
𝒎𝒇
𝑿
𝟑𝟔𝟎𝟎
𝑘
𝑔
𝑘𝑊−ℎ
𝑟
𝑩
𝑷
8. Brake specific fuel consumption (bsfc) =
𝒎𝒇
𝑿
𝟑𝟔𝟎𝟎
𝑘
𝑔
Prof. Anand Kulkarni, Dept of Mechanical
Engineering, CiTech
9
𝑘𝑊−ℎ
𝑟
9. Piston Speed = 2LN m/s
Numerical 1
During the test on a four stroke diesel engine, the following data
is recorded:
Area of indicator diagram = 3
𝐜𝐦𝟐 Length of indicator diagram
= 5 cm Spring constant = 100
N/𝐜𝐦𝟐/cm Crank speed = 500 rpm
Stroke = 200 mm
Diameter of the piston = 150 mm
Load on the brake drum = 24 kg
Spring balance reading = 4 kg
Diameter of the brake drum 600 mm
Rope diameter = 30 mm.
Determine the Brake and Indicated
power.
(VTU Jan 2007)
Prof. Anand Kulkarni, Dept of Mechanical
Engineering, CiTech
10
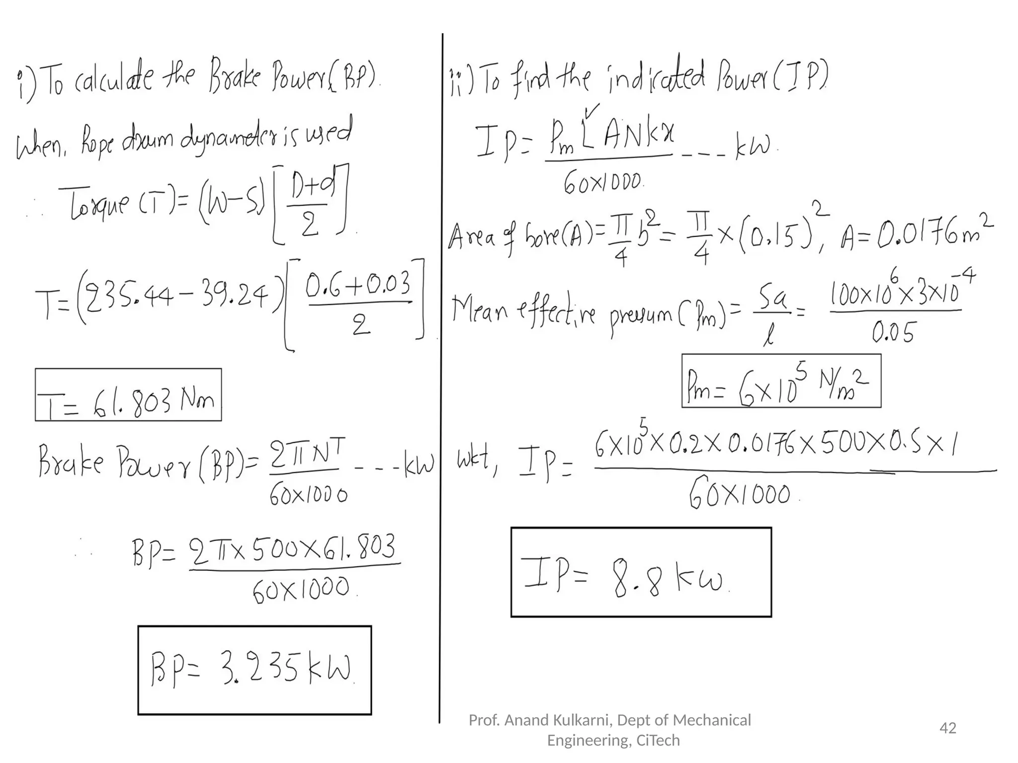
Numericals on I C Engines
Prof. Anand Kulkarni, Dept of Mechanical Engineering, CiTech
41
Prof. Anand Kulkarni, Dept of Mechanical
Engineering, CiTech
42
Numerical 2
A four stroke diesel engine has a piston diameter 250 mm and stroke 400 mm.
The mean effective pressure is 4 bar and speed of the crankshaft is 500 rpm. The
diameter of the brake drum is 1 m effective load on the brake drum is 400 N. Find the
mechanical efficiency and friction power.
(VTU Jan 2018)
Prof. Anand Kulkarni, Dept of Mechanical
Engineering, CiTech
43
Prof. Anand Kulkarni, Dept of Mechanical
Engineering, CiTech
14
Numerical 3
The following data is collected for 4 stroke engine running on full load.
Bore: 200 mm
Stroke : 280 mm
Speed: 300 rpm
Indicated mean
effective
pressure : 5.6
bar
Torque on the brake drum 250 Nm
Fuel consumed: 4.2 kg/hour
Calorific value of fuel: 41000 kJ/kg.
Determine the mechanical,
indicated and brake thermal
efficiency.
(VTU Jan 2017)
Prof. Anand Kulkarni, Dept of Mechanical
Engineering, CiTech
15
Prof. Anand Kulkarni, Dept of Mechanical
Engineering, CiTech
16
Prof. Anand Kulkarni, Dept of Mechanical
Engineering, CiTech
17
Numerical 4
A single cylinder four stroke I C Engine has a swept volume of 6 liter
and runs at a rated speed of 300 rpm. The tension on tight side and
slack side of the dynamometer is 700 N and 300 N respectively. The
diameter of the dynamometer is 1 m. The fuel consumption is 4 kg/ hour,
indicated mean effective pressure is 6 bar and calorific value of fuel is
42000 kJ/kg. Calculate the brake power, indicated power, mechanical
efficiency, indicated and thermal efficiency, indicated and brake specific
fuel efficiency. (VTU Jan 2009)
Prof. Anand Kulkarni, Dept of Mechanical
Engineering, CiTech
18
Prof. Anand Kulkarni, Dept of Mechanical
Engineering, CiTech
19
Prof. Anand Kulkarni, Dept of Mechanical
Engineering, CiTech
20
Prof. Anand Kulkarni, Dept of Mechanical
Engineering, CiTech
21
Numerical 5
The following data is collected for 4 stroke engine running on full load.
Bore: 250 mm
Stroke : 400 mm
Crank Speed:
250 rpm
Indicated mean
effective
pressure : 6 bar
Net load on brake drum 700N
Diameter of the rope drum 2 m
Fuel consumed: 0.1 liter/minute
Specific gravity of the fuel 0.78
Calorific value of fuel: 43900
kJ/kg.
Calculate: i) brake power ii)
indicated power iii) mechanical
efficiency, Prof. Anand Kulkarni, Dept of Mechanical
Engineering, CiTech
22
Prof. Anand Kulkarni, Dept of Mechanical
Engineering, CiTech
23
Prof. Anand Kulkarni, Dept of Mechanical
Engineering, CiTech
24
Prof. Anand Kulkarni, Dept of Mechanical
Engineering, CiTech
25
Numerical 6
The following data is collected for 4 stroke engine running on full load.
Bore: 180 mm
Stroke : 200 mm
Brake drum speed: 450 rpm
Diameter of the brake drum: 600 mm
Load on the brake drum 250 N
Calorific value of fuel: 40 MJ/kg.
Brake thermal efficiency: 32%
Mechanical efficiency: 80%
Specific gravity of petrol =
0.82
Determine: i) Brake power ii) Indicated power iii) Fuel consumption in
liter per hour iv) Indicated thermal efficiency vi) Piston Speed
(VTU Jan 2004)
Prof. Anand Kulkarni, Dept of Mechanical
Engineering, CiTech
26
Prof. Anand Kulkarni, Dept of Mechanical
Engineering, CiTech
27
Prof. Anand Kulkarni, Dept of Mechanical
Engineering, CiTech
28
Prof. Anand Kulkarni, Dept of Mechanical
Engineering, CiTech
29
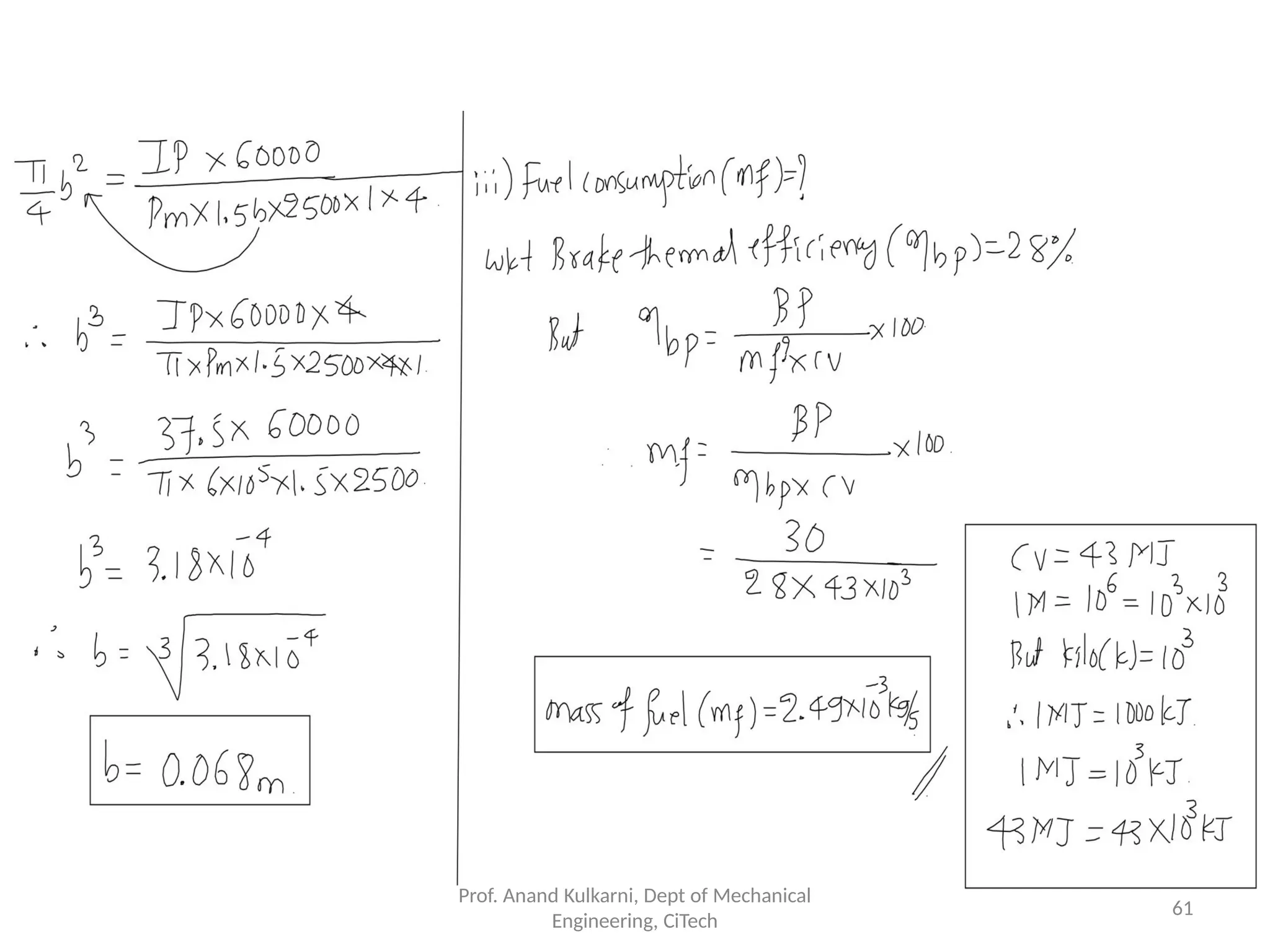
Numerical 7
A two stroke four cylinder engine develops 30 kW at 2500 rpm. The indicator mean
effective pressure is 6 bar. mechanical efficiency is 80%. Calculate the diameter of the
each cylinder if the stroke to bore ratio is 1.5. Also calculate the fuel consumption, if
the brake thermal efficiency is 28 %. The calorific value of the fuel is 43 MJ/kg.
(VTU June 2016)
Prof. Anand Kulkarni, Dept of Mechanical
Engineering, CiTech
60
Prof. Anand Kulkarni, Dept of Mechanical
Engineering, CiTech
61
Numerical 8
A six cylinder four stroke engine develops 50 kW of Indicated power at
mean effective pressure of 700 kPa. The bore and strokes are 70 mm and
100 mm respectively. If the engine speed is 3700 rpm, determine the
average misfires per hour. (VTU July
2013)
Prof. Anand Kulkarni, Dept of Mechanical Engineering, CiTech
62
Prof. Anand Kulkarni, Dept of Mechanical
Engineering, CiTech
33
Home Work 1
The following data is collected for 4 stroke engine running on full load.
Bore: 180 mm
Stroke : 200 mm
Crank Speed:
300 rpm
Indicated mean
effective
pressure : 6 bar
Torque on the brake drum 200 Nm
Fuel consumed: 4 kg/hour
Calorific value of fuel: 42000
kJ/kg.
Calculate: i) brake power ii)
indicated power iii) mechanical
efficiency,
iv) indicated and brake thermal efficiency and v) indicated and
brake specific fuel efficiency (VTU
Prof. Anand Kulkarni, Dept of Mechanical
Engineering, CiTech
34
Home Work 2
A person conducted a test on a single cylinder two stroke petrol engine
and found that mechanical and brake thermal efficiencies were 0.7 and
0.2 respectively. The engine with mean effective pressure of 6 bar runs at
300 rpm consuming fuel at the rate of 2.2 kg/hour. Given that calorific
value of the fuel 42500 kJ/hr. Stroke and bore ratio of the engine as 1.2.
Find the bore and stroke of the engine (VTU Dec 2016)
Prof. Anand Kulkarni, Dept of Mechanical
Engineering, CiTech
35
Home Work 3
A gas engine working on a four stroke cycle has cylinder diameter
0.25 m and stroke 0.45 m, running at 180 rpm. Its mechanical efficiency
is 80%, energy content in the fuel is 42000 kJ/kg, brake thermal
efficiency is 25% and mean effective pressure is 6.5 bar. Find brake
power, indicated power, friction power and brake specific fuel
consumption. (VTU Jun 2008)
Prof. Anand Kulkarni, Dept of Mechanical
Engineering, CiTech
36

BEMEM_Module 3 ic engines and few numericals

  • 1.
    1. Indicated Power: It is the power produced inside the cylinder and is calculated using following equation. Where, Pm = Mean Indicated Pressure …..bar L = Stoke ……. m A = area of bore ……𝑚2 N = Revolutions per minute in rpm k = Number of poer stroke per revolution on crank shaft for 4 stroke engine k = 1 2 for 2 stroke engine k = 1 x = Number of cylinders. Engine Performance Parameters: (Continued….) 𝐼𝑛𝑑𝑖𝑐𝑎𝑡𝑒𝑑 𝑃𝑜𝑤𝑒𝑟 60 ∗ 1000 Prof. Anand Kulkarni, Dept of Mechanical Engineering, CiTech 1 𝑃𝑚𝐿𝐴𝑁𝐾𝑥 𝐼𝑃 = … … … … … … . (𝑘𝑊)
  • 2.
    2. Brake Power: It is the power available on the crank shaft. Where, N = Revolutions per minute in rpm T = Torque in N-m Engine Performance Parameters: (Continued….) 𝐵𝑟𝑎𝑘𝑒 𝑃𝑜𝑤𝑒𝑟 𝐵𝑃 = 2π𝑁 𝑇 60 ∗ 1000 … … … … … … . (𝑘𝑊) Prof. Anand Kulkarni, Dept of Mechanical Engineering, CiTech 2
  • 3.
    Engine Performance Parameters:(Continued….) • Torque for Rope Brake Drum Dynamometer 𝑇 = (𝑊−𝑆) 𝐷+𝑑 Prof. Anand Kulkarni, Dept of Mechanical Engineering, CiTech 3 2 Where, W = Load in weight .. in N D = Diameter of Brake drum .. in m d = Diameter of Rope in m
  • 4.
    Engine Performance Parameters:(Continued….) • BP for Belt Drum Dynamometer 60 ∗1000 𝐵𝑟𝑎𝑘𝑒 𝑃𝑜𝑤𝑒𝑟 𝐵𝑃 = 2π𝑁(𝑇1 −𝑇2) … … … … … … . (𝑘𝑊) Where, T1 = Tension on Tight Side .. in N T2 = Tension on Slack Side .. in N N = Revolutions per minute in rpm Prof. Anand Kulkarni, Dept of Mechanical Engineering, CiTech 4
  • 5.
    Engine Performance Parameters:(Continued….) 3.Friction Power : It is the difference between indicated and brake power. 𝐹𝑃 = 𝐼𝑃 − 𝐵𝑃 … . 𝑘𝑊 4.Mechanical Efficiency (ղ𝒎𝒆𝒄𝒉) : It is the ratio of indicated and brake power. 𝑚𝑒𝑐 ℎ 𝐼 𝑃 ղ = 𝐵𝑃 𝑥 100 …… % 5. Indicated Thermal Efficiency (ղ𝒊𝒑) : It is the ratio of indicated power to the chemical energy. 𝑖 𝑝 ղ = 𝐼 𝑃 Prof. Anand Kulkarni, Dept of Mechanical Engineering, CiTech 5 𝑚𝑓𝑋𝐶 𝑉 𝑥 100 …… %
  • 6.
    Engine Performance Parameters:(Continued….) 6. Brake Thermal Efficiency (ղ𝒃𝒑) : It is the ratio of brake power to the chemical energy 𝑏 𝑝 ղ = 𝐵 𝑃 𝑚𝑓𝑋𝐶 𝑉 𝑥 100 …… % Where, 𝑚𝑓 = Mass flow rate of fuel ….. kg/s CV = Calorific Value kJ/kg 7. Indicated specific fuel consumption (isfc): It is the mass fuel required to produce 1 kW of indicated power in one hour. Isfc = 𝑚 𝑓 𝑋 3600 𝐼𝑃 𝑘𝑊−ℎ𝑟 Prof. Anand Kulkarni, Dept of Mechanical Engineering, CiTech 6 𝑘 𝑔 Where, 𝑚𝑓 = Mass flow rate of fuel ….. kg/s IP = Indicated Power ……kW
  • 7.
    Engine Performance Parameters:(Continued….) 8. Brake specific fuel consumption (bsfc): It is the mass fuel required to produce 1 kW of brake power in one hour. bsfc = 𝑚𝑓 𝑋 3600 𝐵𝑃 𝑘𝑊−ℎ𝑟 Prof. Anand Kulkarni, Dept of Mechanical Engineering, CiTech 7 𝑘 𝑔 Where, 𝑚𝑓 = Mass flow rate of fuel ….. kg/s BP = Brake Power ……kW
  • 8.
    List of Formulaeon I C Engines 1. Brake Power (BP) = 𝟐𝝅 𝑵𝑻 𝟔𝟎 ∗𝟏𝟎𝟎𝟎 …… kW. a) Torque for Rope Brake Drum Dynamometer 𝐓 = (𝐖−𝐒) 𝐃+𝐝 � � Where, W = Load in weight .. in N D = Diameter of Brake drum .. in m d = Diameter of Rope in m. b) Torque for Belt drum Dynamometer, T = (T1 – T2) .. in N Where, T1 = Tension on Tight Side .. in N T2 = Tension on Slack Side .. in N 𝟔𝟎 ∗𝟏𝟎𝟎𝟎 2. Indicate Power (IP) = 𝑷𝒎𝑳𝑨𝑵𝑲𝒙 …… kW. Pm = Mean Indicated Pressure = 𝑺𝒂 ……. (bar) [Note: 1 bar = 105 N/𝑚2] 𝒍 Where, S = Spring Constant N/𝑚2/m l = Length of Indicator Diagram L = Stoke ……. m N = Revolutions per minute in rpm a = Area of Indicator Diagram x = Number of cylinders. A = area of bore ……𝑚2 � for 4 stroke engine k = 𝟏 and for 2 stroke engine k = Prof. Anand Kulkarni, Dept of Mechanical Engineering, CiTech 38
  • 9.
    3. Friction Power(FP) = 𝐼𝑃−𝐵𝑃 ….𝑘𝑊 𝒎𝒆𝒄 𝒉 𝑰 𝑷 4. Mechanical Efficiency (ղ ) = = 𝑩𝑷 𝒙 𝟏𝟎𝟎 …… % 𝒊 𝒑 5. Indicated Thermal Efficiency (ղ ) = 𝑰 𝑷 𝒎𝒇𝑿 𝑪𝑽 𝒙 𝟏𝟎𝟎 …… % Where, 𝑚𝑓 = Mass flow rate of fuel ….. kg/s CV = Calorific Value kJ/kg 𝒃 𝒑 6. Brake Thermal Efficiency (ղ ) = 𝑩 𝑷 𝒎𝒇𝑿 𝑪𝑽 𝒙 𝟏𝟎𝟎 …… % 𝑰 𝑷 7. Indicated specific fuel consumption (isfc) = 𝒎𝒇 𝑿 𝟑𝟔𝟎𝟎 𝑘 𝑔 𝑘𝑊−ℎ 𝑟 𝑩 𝑷 8. Brake specific fuel consumption (bsfc) = 𝒎𝒇 𝑿 𝟑𝟔𝟎𝟎 𝑘 𝑔 Prof. Anand Kulkarni, Dept of Mechanical Engineering, CiTech 9 𝑘𝑊−ℎ 𝑟 9. Piston Speed = 2LN m/s
  • 10.
    Numerical 1 During thetest on a four stroke diesel engine, the following data is recorded: Area of indicator diagram = 3 𝐜𝐦𝟐 Length of indicator diagram = 5 cm Spring constant = 100 N/𝐜𝐦𝟐/cm Crank speed = 500 rpm Stroke = 200 mm Diameter of the piston = 150 mm Load on the brake drum = 24 kg Spring balance reading = 4 kg Diameter of the brake drum 600 mm Rope diameter = 30 mm. Determine the Brake and Indicated power. (VTU Jan 2007) Prof. Anand Kulkarni, Dept of Mechanical Engineering, CiTech 10 Numericals on I C Engines
  • 11.
    Prof. Anand Kulkarni,Dept of Mechanical Engineering, CiTech 41
  • 12.
    Prof. Anand Kulkarni,Dept of Mechanical Engineering, CiTech 42
  • 13.
    Numerical 2 A fourstroke diesel engine has a piston diameter 250 mm and stroke 400 mm. The mean effective pressure is 4 bar and speed of the crankshaft is 500 rpm. The diameter of the brake drum is 1 m effective load on the brake drum is 400 N. Find the mechanical efficiency and friction power. (VTU Jan 2018) Prof. Anand Kulkarni, Dept of Mechanical Engineering, CiTech 43
  • 14.
    Prof. Anand Kulkarni,Dept of Mechanical Engineering, CiTech 14
  • 15.
    Numerical 3 The followingdata is collected for 4 stroke engine running on full load. Bore: 200 mm Stroke : 280 mm Speed: 300 rpm Indicated mean effective pressure : 5.6 bar Torque on the brake drum 250 Nm Fuel consumed: 4.2 kg/hour Calorific value of fuel: 41000 kJ/kg. Determine the mechanical, indicated and brake thermal efficiency. (VTU Jan 2017) Prof. Anand Kulkarni, Dept of Mechanical Engineering, CiTech 15
  • 16.
    Prof. Anand Kulkarni,Dept of Mechanical Engineering, CiTech 16
  • 17.
    Prof. Anand Kulkarni,Dept of Mechanical Engineering, CiTech 17
  • 18.
    Numerical 4 A singlecylinder four stroke I C Engine has a swept volume of 6 liter and runs at a rated speed of 300 rpm. The tension on tight side and slack side of the dynamometer is 700 N and 300 N respectively. The diameter of the dynamometer is 1 m. The fuel consumption is 4 kg/ hour, indicated mean effective pressure is 6 bar and calorific value of fuel is 42000 kJ/kg. Calculate the brake power, indicated power, mechanical efficiency, indicated and thermal efficiency, indicated and brake specific fuel efficiency. (VTU Jan 2009) Prof. Anand Kulkarni, Dept of Mechanical Engineering, CiTech 18
  • 19.
    Prof. Anand Kulkarni,Dept of Mechanical Engineering, CiTech 19
  • 20.
    Prof. Anand Kulkarni,Dept of Mechanical Engineering, CiTech 20
  • 21.
    Prof. Anand Kulkarni,Dept of Mechanical Engineering, CiTech 21
  • 22.
    Numerical 5 The followingdata is collected for 4 stroke engine running on full load. Bore: 250 mm Stroke : 400 mm Crank Speed: 250 rpm Indicated mean effective pressure : 6 bar Net load on brake drum 700N Diameter of the rope drum 2 m Fuel consumed: 0.1 liter/minute Specific gravity of the fuel 0.78 Calorific value of fuel: 43900 kJ/kg. Calculate: i) brake power ii) indicated power iii) mechanical efficiency, Prof. Anand Kulkarni, Dept of Mechanical Engineering, CiTech 22
  • 23.
    Prof. Anand Kulkarni,Dept of Mechanical Engineering, CiTech 23
  • 24.
    Prof. Anand Kulkarni,Dept of Mechanical Engineering, CiTech 24
  • 25.
    Prof. Anand Kulkarni,Dept of Mechanical Engineering, CiTech 25
  • 26.
    Numerical 6 The followingdata is collected for 4 stroke engine running on full load. Bore: 180 mm Stroke : 200 mm Brake drum speed: 450 rpm Diameter of the brake drum: 600 mm Load on the brake drum 250 N Calorific value of fuel: 40 MJ/kg. Brake thermal efficiency: 32% Mechanical efficiency: 80% Specific gravity of petrol = 0.82 Determine: i) Brake power ii) Indicated power iii) Fuel consumption in liter per hour iv) Indicated thermal efficiency vi) Piston Speed (VTU Jan 2004) Prof. Anand Kulkarni, Dept of Mechanical Engineering, CiTech 26
  • 27.
    Prof. Anand Kulkarni,Dept of Mechanical Engineering, CiTech 27
  • 28.
    Prof. Anand Kulkarni,Dept of Mechanical Engineering, CiTech 28
  • 29.
    Prof. Anand Kulkarni,Dept of Mechanical Engineering, CiTech 29
  • 30.
    Numerical 7 A twostroke four cylinder engine develops 30 kW at 2500 rpm. The indicator mean effective pressure is 6 bar. mechanical efficiency is 80%. Calculate the diameter of the each cylinder if the stroke to bore ratio is 1.5. Also calculate the fuel consumption, if the brake thermal efficiency is 28 %. The calorific value of the fuel is 43 MJ/kg. (VTU June 2016) Prof. Anand Kulkarni, Dept of Mechanical Engineering, CiTech 60
  • 31.
    Prof. Anand Kulkarni,Dept of Mechanical Engineering, CiTech 61
  • 32.
    Numerical 8 A sixcylinder four stroke engine develops 50 kW of Indicated power at mean effective pressure of 700 kPa. The bore and strokes are 70 mm and 100 mm respectively. If the engine speed is 3700 rpm, determine the average misfires per hour. (VTU July 2013) Prof. Anand Kulkarni, Dept of Mechanical Engineering, CiTech 62
  • 33.
    Prof. Anand Kulkarni,Dept of Mechanical Engineering, CiTech 33
  • 34.
    Home Work 1 Thefollowing data is collected for 4 stroke engine running on full load. Bore: 180 mm Stroke : 200 mm Crank Speed: 300 rpm Indicated mean effective pressure : 6 bar Torque on the brake drum 200 Nm Fuel consumed: 4 kg/hour Calorific value of fuel: 42000 kJ/kg. Calculate: i) brake power ii) indicated power iii) mechanical efficiency, iv) indicated and brake thermal efficiency and v) indicated and brake specific fuel efficiency (VTU Prof. Anand Kulkarni, Dept of Mechanical Engineering, CiTech 34
  • 35.
    Home Work 2 Aperson conducted a test on a single cylinder two stroke petrol engine and found that mechanical and brake thermal efficiencies were 0.7 and 0.2 respectively. The engine with mean effective pressure of 6 bar runs at 300 rpm consuming fuel at the rate of 2.2 kg/hour. Given that calorific value of the fuel 42500 kJ/hr. Stroke and bore ratio of the engine as 1.2. Find the bore and stroke of the engine (VTU Dec 2016) Prof. Anand Kulkarni, Dept of Mechanical Engineering, CiTech 35
  • 36.
    Home Work 3 Agas engine working on a four stroke cycle has cylinder diameter 0.25 m and stroke 0.45 m, running at 180 rpm. Its mechanical efficiency is 80%, energy content in the fuel is 42000 kJ/kg, brake thermal efficiency is 25% and mean effective pressure is 6.5 bar. Find brake power, indicated power, friction power and brake specific fuel consumption. (VTU Jun 2008) Prof. Anand Kulkarni, Dept of Mechanical Engineering, CiTech 36