KOMPRESSOR
KOMPRESSOR
Klasifikasi Kompressor
a. Berdasarkan cara kenaikan tekanan
b. Berdasarkan tekanan
c. Berdasarkan kapasitas
d. Berdasa kan fluida yang dialirkan
e. Berdasarkan penggerak
f. Berdasarkan pendinginan
g. Berdasarkan susunan silinder (untuk kompressor torak)
A. Berdasar Cara Kenaikan Tekanan
1. POSITIVE DISPLACEMENT COMPRESSOR
kenaikan tekanan terjadi karena berkurangnya
volume di dalam silinder, Jenisnya :
• KOMPRESOR TORAK (Reciprocating
Compressor)
• KOMPRESOR ROTARY (Rotary Compressor)
• KOMPRESOR MEMBRAN (Membrane
Compressor)
2. DYNAMIC COMPRESSOR
Kenaikan tekanan terjadi karena tenaga kinetis
dirubah menjadi tenaga tekanan didalam diffuser. Jadi
fungsi diffuser untuk menurunkan fluida, sehingga
mengakibatkan kenaikan tekanan fluida.
Jenis MULTIBLADE COMPRESSOR :
 Centrifugal
 Axial
 Jet compressor
B. Berdasar Tekanan
1. Kompresor tekanan rendah ≤ 25 atm
2. Kompresor tekanan sedang 25–100 atm
3. Kompresor tekanan tinggi 100-500 atm
C. Berdasar Kapasitas
1. Kapasitas kecil ≤ 160 m³/jam
2. Kapasitas sedang 160-4000 m³/jam
3. Kapasitas besar ≥ 4000 m³/jam
D. Berdasar Fluida yang dialirkan
1. Kompresor udara
2. Kompresor gas
E. Berdasar Penggerak
1. Turbin
2. Motor bakar
3. Motor listrik
F. Berdasar Pendingin
1. Udara
2. Air
G. Berdasar Susunan Silinder (untuk kompresor torak)
1. Berjajar / segaris
2. Bentuk V
3. Bentuk W
Positive Displacement compressor
Kompresor torak (reciprocating compressor)
Konsep dasar
Kerja yang dilakukan oleh gas/uap dapat digambarkan
sebagai berikut :
Gaya pada torak : F = p.A
Kerja : dW= F.dx = p A dx = p dV
W = ∫pdv
W positive : dv > 0 ekspansi
W negative : dv < 0 kompressi
Tinjauan termodinamika
a. Specific heat :
Jumlah kalor : dQ = w c dT
c = dQ/wdT
Cv = (dQ/wdT)v
Cp = (dQ/wdT)p
Cp /Cv = k
b. Internal energy :
Jika v constant, maka dV = 0 , jadi W = 0
Berarti tidak ada kerja.
∫dQ = ∫w cv dT = ∫dU
U2–U1 = w cv (T2–T1) = selisih tenaga dalam
c. Enthalpy :
p = constan, p=c
• ∫dQ = ∫w cp dT = ∫dH
• H2-H1 = w cp (T2–T1) = selisih enthalpy
Persamaan Keadaan Gas Sempurna :
pV= RT p1V1 = RT1, p2v2 = RT2
pV= wRT p1V1 = wRT1, p2v2 = wRT2
d. Entropy :
dq = Tds, ds = dq/T
= cv(dT/T) + p(dV/T)
ds = cv(dT/T)+R(dV/V)
∫ds = ∫cv(dT/T)+∫R(dV/V)
• Jadi : s2-s1 = cv ln(T2/T1) + R ln(V2/V1)
• = selisih entrophy
• Macam-macam Perubahan Keadaan Gas:
– 1. isobaris p=c
– 2. isochoris V=c
– 3. isothermis T=c
– 4. adiabatis dQ=c
– 5. polytropis pVn =c
1. Isobaris = Polytropis pVn , n=0
• pV = wRT
• P = const, maka V1/V2=T1/T2
• W’ = p(V2-V1)
• T2
• Q1-2= w∫ cpdT
• T1
• Q1-2= wcp(T2-T1)
2. Isochoris : = Polytropis pVn, n=∞
V=const
P1/P2=T1/T2
• T2
• Q1-2= w ∫ cvdT = w cv (T2-T1)
T1
3. Isothermis : = Polytropis pVn, n=1
p1V1= p2V2= pV= wRT1= konstan
dQ = w cv dT + pdV
dQ = pdV = dW
4. Adiabatis :
dQ = wcvdT + pdV = 0
pV = wRT
d(pV) = d(wRT), pdV + vdp = wRdT
Vdp + pdV
dT = -----------
wR
• Jadi : wcv(Vdp + pdV) + wRpdV = 0
• Substitusi cp = cv + R
• Maka :
• cp pdV + cv Vdp = 0
cp /cv = γ, sehingga γ (dV/V) + (dp/p) = 0
ln p + γ ln V = konstan
• pVγ = C, persamaan ini
adalah persamaan curve adiabatis.
• V = wRT/p, jadi : T2/T1 = (p2/p1)γ-1/γ
• ∫ dQ = ∫ wcvdT +∫ pdV = 0
• Wad = (U1-U2) = wcv (T1-T2)
Dari hubungan : cp – cv = R, cp/cv = γ, R = (γ-1)cv
R w
Jadi : Wad = ------ T1 [1-(p2/p1) (γ-1)/γ
]
γ – 1
p1V1
atau : Wad = ------ [1-(p2/p1) (γ-1)/γ
]
γ – 1
Dari persamaan : p1V1
γ
= p2V2
γ
= pV
γ
V2 V2
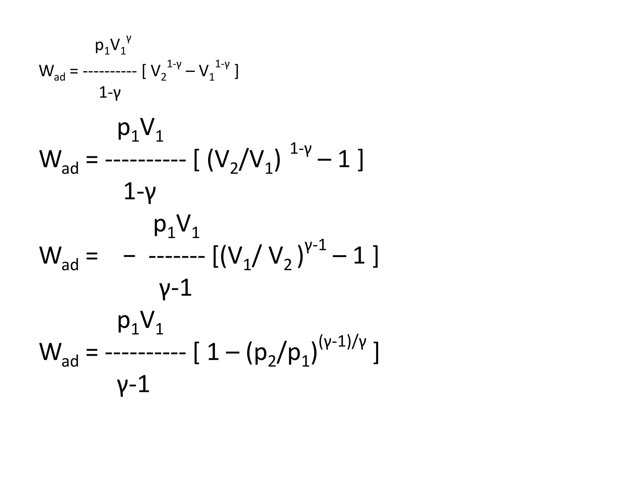
Wad = ∫ pdV = p1V1
γ
∫ (dV/Vγ )
V1 V1
p1V1
γ
Wad = ---------- [ V2
1-γ
– V1
1-γ
]
1-γ
p1V1
Wad = ---------- [ (V2/V1)
1-γ
– 1 ]
1-γ
p1V1
Wad = − ------- [(V1/ V2 )
γ-1
– 1 ]
γ-1
p1V1
Wad = ---------- [ 1 – (p2/p1)
(γ-1)/γ
]
γ-1
5. Polytropis
Kurva polytropis mengikuti persamaan : pVn
= C
p1V1
n
= p2V2
n
log p1 + n log V1 = log p2 + n log V2
log p1 - log p2
n = ---------------
log V2 - log V1
Contoh soal :
Berapa temperatur akhir setelah terjadi kompresi adiabatis
dari R12, ammonia, udara dan helium, jika perbandingan
kompresi = 4 dan temperatur awal = -15oC ?
Diketahui : γ R12 = 1,13, γ ammonia = 1,313, γ udara = 1,40
dan γ helium = 1,66.
Kompresor torak tanpa ruang rugi
Diagram p-V dan silinder dapat digambarkan
sebagai berikut :
Kerja yang diberikan pada fluida selama 1
(satu) siklus :
• W’c = - [ W’ + W’d – W’s ]
– W’c = kerja yang diberikan pada fluida selama 1 siklus,
kerja kompresor, dinyatakan oleh luasan (1234)
– W’ = kerja selama kompresi, kerja kompresi,
dinyatakan oleh luasan (a12b)
– W’d = kerja selama pembuangan (discharge), kerja
pembuangan, dinyatakan oleh luasan (b23o)
– W’s = kerja yang dilakukan oleh fluida selama
pengisapan (suction), kerja isap, dinyatakan oleh
luasan (o41a)
Kerja kompresor dalam diagram p-V dinyatakan
oleh luasan (1234), dengan notasi W’c
• Kerja kompresi antara 1-2 :
• V2
• W’ = ∫ p dV,
• V1 kerja ini negative, karena dV < 0
Kompresi diumpamakan berjalan secara
polytropis : pVn = C. Bila eksponen n
bertambah besar, maka kerja kompresi
bertambah kecil, tetapi kerja kompresor
bertambah besar.
Terlihat kerja isothermal terkecil.
Besar n = 1 : pV = p1V1 = p2V2
Kerja kompresi isothermis :
V2
W’isoth = ∫ pdV
V1
V2
• W’isoth = ∫ p1V1 (dV/V) = - p1V1 ln (V1/V2)
V1
= - p1V1 ln (p2/p1) = - wRT1 ln (p2/p1)
Kerja kompresor total bila kompresi berjalan secara
isothermis = kerja non flow, seperti terlihat sebagai berikut
:
W’isoth.comp. = p1V1 - p1V1 ln (p2/p1) - p2V2
= - p1V1 ln (p2/p1)
Keterangan : garis isothermal sangat berpengaruh pada
kompresor bertingkat.
• Untuk proses adiabatis :
p1V1
γ = p2V2
γ = pVγ
1/γV = V1 (p1/p)
• W’ad.c = - ∫ V dp
p2
= - V1 (p1)1/γ ∫ p-1/γ dp
p1
γ
= - V1p1
1/γ(------) p1
γ-1/γ [(p2/p1)γ-1/γ – 1]
γ-1
γ
= - (------) p1V1 [(p2/p1)γ-1/γ – 1]
γ-1
γ
Wad.c = - (------) wRT1 [(p2/p1)γ-1/γ – 1]
γ-1
Kerja total kompresor tanpa volume
p2
ruang rugi : W’c = - ∫ Vdp
p1
Didepan telah didapatkan :
p1V1
Wad = ---------- [ 1 – (p2/p1)(γ-1)/γ
]
γ-1
• Jadi tampak jelas bahwa kerja adiabatis kompresor adalah
perkalian antara γ dengan kerja adiabatis non flow.
• W’ad.c = γ x W’ad. non flow.
Untuk proses polytropis γ menjadi n :
n
W’pol.c = - ----- wRT1 [(p2/p1)(n-1)/n
- 1]
n-1
Contoh : Hitung kerja adiabatis kompresor yang
memampatkan udara 25 m3 dari tekanan 1 ata ke tekanan
3,3 ata. Diketahui konstanta udara n = 1,4.
W’ad.c = - (1,4/(1,4-1)) 10.000 25 [(3,3/1)(1,4-1)/1,4 – 1] = - 355.687
Kompressor dengan ruang rugi
• Pada kompresor yang sesungguhnya selalu ada ruang rugi.
Ini dimaksudkan untuk :
1. Thermal expansion
2. Toleransi
toleransi : C = 0,005L + 0,5 mm
L = langkah (stroke) piston
Perbandingan antara volume ruang rugi (Vo) terhadap
volume yang dilalui piston (vp) :
ε = Vo/Vp
Besar ε tergantung pada susunan dari katub-katub dalam
silinder dan pada kecepatan rata-rata piston (cm).
Ε pada umumnya ≤ 5%.
• Pada beberapa jenis
kompresor kadang-kadang
sampai 12-13%.
• Fluida yang terjebak dalam
ruang rugi setelah
kompresi dan
pembuangan, akan
berekspansi selama
langkah isap.
• Perbandingan antara Vs
dan Vp disebut dengan
efisiensi volumetris :
• ηvol = Vs/Vp
Pada kompresor dengan kecepatan tinggi (cm>3m/detik)
besar ε diambil lebih besar dari besaran diatas.
Pada kompresor dengan perbandingan kompresi ί ≈ 2, maka
proses reekspansi (proses 3-4) kira-kira adiabatis.
• Jadi : V4 = V0 (p2/p1)1/γ
• Vp+V0-V4 Vp+ εVp- ε Vp (p2/p1)1/γ
• ηvol = ---------- = ----------------------
• Vp Vp
ηvol = 1+ ε- ε(p2/p1)1/γ
ηvol = 1- ε [(p2/p1)1/γ-1]
Pada kompresor dengan perbandingan kompresi ί ≥ 4,
maka proses reekspansi (proses 3-4) dianggap polytropis :
pVm = C.
Menurut FRANKEL besar m bervariasi sesuai dengan
tekanan.
Pada kompresor bertingkat banyak, untuk :
Tingkat I, m diambil = 1,20
Tingkat II, m diambil = 1,25
Tingkat III, m diambil = 1,30
Tingkat IV, m diambil = 1,35
Tingkat ≥ V, m diambil = γ
Dengan catatan : tekanan isap (pi) pada tingkat I =
tekanan atmosphere.
Besar efisiensi volumetris dapat juga dilihat pada
“grafik” sebagai fungsi dari : n, p2/p1 dan ε.
Besar kerja per siklus dari kompresi dan reekspansi:
n m
W’ = - ----- p1V1 [(p2/p1)
(n-1)/n
- 1] + ----- p2V3 [(1-p1/p2)
(n-1)/n
]
n-1 m-1
n m
W’ = - ----- p1V1 [(p2/p1)
(n-1)/n
- 1] + ----- p1V4 [(p2/p1)
(m-1)/m
-1]
n-1 m-1
Kalau : Vs = V1 - V4 dan m = n
Maka :
n
W’ = ----- p1Vs [(p2/p1)(n-1)/n
– 1]
n-1
Catatan : pengaruh ruang rugi terhadap kerja kompresor,
jika eksponen polytropis maka untuk ekspansi = m
dan untuk kompresi = n.
KOMPRESOR BERTINGKAT BANYAK
(Kompresor bertingkat 1, 2, 3 dan 4)
• Apabila perbandingan kompresi dinaikkan, maka
temperatur akhir akan naik dan ηv akan turun.
Temperatur akhir yang tinggi akan mempengaruhi
operasi atau kerja katub buang, pelumasan.
• Pada daerah-daerah minyak akan berbahaya, dapat
menyebabkan kebakaran dan lain-lain.
• Bila kebutuhan akan perbandingan kompresi yang
tinggi tidak dapat dihindari, maka perbandingan
kompresi total dapat dibagi dalam beberapa tingkat.
• Diagram pV dapat digambarkan sebagai berikut :
Dalam hal ini kerja kompresor :
−
−
Besar W’ minimal dapat dicari, sebagai berikut :
misal :
Kalau jumlah tingkat n, maka :
]1)[(]1)[('
1
2
1
1 1111 


n
n
x
n
n
x
p
p
n
n
p
p
n
n
wRTwRTW
]2)()[(
1
2
1
111 


n
n
x
n
n
x
p
p
p
p
n
n
wRTW
]2)()[(' 2
1
1
1

 
z
p
pz
p
p
z
wRT
n
n
x
x
W
z
zzz
x
p
zp
p
zp
p
zp
p
pz
z
wRT
dp
dW
ppp
z
x
z
z
z
x
z
x
z
z
z
x
x
21
2
)('
1
2
1
1
1
2
1
1
1
0][







1
2
21
22
1
2
1
21
1
21
p
p
pp
p
p
p
p
p
p
pp
p
p
x
x
x
ppp



012
3
1
2
0
1
....... p
p
p
p
p
p
p
p
p
p n
n
n
 
p
V
xp
1
2
3
4
'1
'2
isothermis
polytropis
polytropis
Daya Kompresor
Kebutuhan daya kompresor tingkat 1 dapat dihitung
menurut hubungan :
• , P = daya kompresor, hp; W=kerja,kgm.
• , P = daya kompresor, kW; W=kerja, kgm.
•
• Daya yang diperlukan untuk proses :
1. Isothermis :
2. Adiabatis :
102.60
75.60
W
W
P
P


kWVpP
hpVpP
p
p
p
pVpW
iso
p
p
p
pVpW
iso
iso
iso
,lnln
,lnln
1
2
1
211
1
2
1
211
116120
10000
61206120
114500
10000
45004500


kWVpP
hpVpP
p
p
p
pVp
ad
p
p
p
pVp
ad
],1)[(]1)[(
],1)[(]1)[(
1
1
2
1
1
211
1
1
2
1
1
211
1116120
10000
16120
1114500
10000
14500






















Untuk kompresor n tingkat, daya yang dibutuhkan adalah jumlah dari daya
yang dibutuhkan pada tiap-tiap tingkat.
Pada kompresor satu silinder, single acting, hp-indikator dapat dihitung dari
hubungan :
Dimana :
• A = luas piston, cm2
• pim = Mean Effective pressure, kg/cm2 (dapat dihitung dari diagram pV)
• L = langkah piston, m
• N = putaran, rpm
• Cm = kecepatan piston rata-rata, m/det.; =1,5-5 m/det. ( cm = LN/30 )
• Untuk kompresor n tingkat :






n
i
iadnad
n
i
iisoniso
PP
PP
1
..
1
..
hpihp mimim AcpALNp
,75.275.60 


n
i
in ihpihp
1
Efisiensi : efisiensi isothermis
efisiensi adiabatis
efisiensi mekanis
• Efisiensi isothermal:
Efisiensi mekanis :
• Efisiensi isothermal overall :
• Efisiensi adiabatis :
• Efisiensi adiabatis overall :
ihp
P
iso
iso

acthp
ihp
m 
act
iso
hp
P
misooiso  
ihp
P
ad
ad

act
ad
hp
P
madoad  
Shaf Horse Power (SHP)
Ai = luas piston individual pada tiap-tiap tingkat (cm2)
Pim= mean effective pressure pada tingkat yang bersangkutan (atm),
didapat dari diagram pV.
• Jadi :
• Apabila kompresor ini digerakkan oleh motor listrik, daya motor :
• ηt= efisiensi transmisi, bila memakai perantaraan transmisi (roda gigi, belt
dan lain-lain)
• Selanjutnya daya listrik yang diperlukan :
kWhpShp m
imim
m
imim pAcpAc
,, 102.275.2 

kWhpShp p
pVp
p
pVp
oisooiso
,ln,ln 1
211
1
211
102.6075.60  
kWhpShp p
pVp
p
pVp
oadoad
],1)[(],1)[(
1
1
211
1
1
211
102.60175.601 










t
shp
mN 15.1
mott
shp
listrN 
Volume udara, gas (fluida) yang dapat dikompresikan :
i = 1, untuk kompresor “single acting”
i = 2, untuk kompresor “double acting”
A = luas piston (luas penampang),
atau jumlah luas piston pada kompresor silinder banyak
L = langkah piston
N = putaran poros (rpm)
ηvo = efisiensi volumetris overall
≈ 4-6% lebih rendah dari ηvol
Kecepatan piston rata-rata : cm = LN/30
cm ≤ 2m/det, kompresor kecil
cm ≤ 3m/det, kompresor sedang
cm ≤ 5m/det, kompresor besar
menit
m
voiALNV
3
,
Perbandingan langkah piston dan diameternya =ν atau ν = L/D yang
besarnya tergantung dari tekanan akhir dan kecepatan kompresor,
maka untuk kompresor dengan 1 silinder :
• Untuk :
 Vaccum pump dan kompresor udara kecepatan tinggi : ν ≥ 0,5
 Kompresor pada pesawat pendingin : ν ≈ 0,8
 Kompresor untuk amonia : ν ≈ 1
 Kompresor tekanan tinggi : ν = 4 - 6
• Luas piston efektive pada tingkat lain, dengan menganggap
putaran N, panjang langkah L dan efisiensi volumetric-overall
sama setiap tingkat, maka :
• (w=V/v, kg/min)
voNDiV  3
4
vomcDiV 
302
4
n
nn
V
Ai
V
Ai
V
Ai
 .........2
22
1
11
nnn pAipAipAi  .........222111
Daya input maksimal pada kompresor
Proses polytropis
Perbandingan kompresi : r = p2/p1
• Daya kompresor :
• Untuk kompresor dengan ruang rugi : (V0 = ruang rugi)
• Harga daya maksimal didapat bila persamaan ini di deferensialkan
terhadap r dan harus = 0.
• Soal :
• Hitung ukuran utma kompresor udara dua tingkat, empat silinder,
konstruksi differential piston yang memampatkan 25 m3/min udara bebas
ke tekanan akhir 8 atg, jika putaran kompresor 600 rpm, perbandingan
panjang langkah piston dengan diameternya = 0,6 dan efisiensi volumetric
overall = 82%.
kWrP n
n
Vp
n
n
pol ],1[
1
11
102.601 


)]1(1[
1
1  n
rVVV PVP 
]1][1[
11
1
102.601 


n
n
nP
rrP Vp
n
n
pol 
Jawab :
1A
2A
voNDiV  3
4
• Untuk 1 silinder :
• L = νD = 0,180 m
• Luas piston tingkat 2 :
• A2/A1 = p1/p2 ; A2 = 706,86. ⅓ = 235,62 cm2
• Luas “piston trnk” = A2 – A1 = 471,24 cm2
• Diameter = d = 24,5 cm.
• Luas sebenarnya : A2 = π/4 (302 – 24,52)
• = 235,42 cm
• Kecepatan piton rata-rata : cm = (0,18.600)/30 = 3,6 m/det.
mDNDi
V
vol 300,0
4
3
4  
D d

Siklus pada compressor

  • 1.
  • 2.
    KOMPRESSOR Klasifikasi Kompressor a. Berdasarkancara kenaikan tekanan b. Berdasarkan tekanan c. Berdasarkan kapasitas d. Berdasa kan fluida yang dialirkan e. Berdasarkan penggerak f. Berdasarkan pendinginan g. Berdasarkan susunan silinder (untuk kompressor torak)
  • 3.
    A. Berdasar CaraKenaikan Tekanan 1. POSITIVE DISPLACEMENT COMPRESSOR kenaikan tekanan terjadi karena berkurangnya volume di dalam silinder, Jenisnya : • KOMPRESOR TORAK (Reciprocating Compressor) • KOMPRESOR ROTARY (Rotary Compressor) • KOMPRESOR MEMBRAN (Membrane Compressor)
  • 4.
    2. DYNAMIC COMPRESSOR Kenaikantekanan terjadi karena tenaga kinetis dirubah menjadi tenaga tekanan didalam diffuser. Jadi fungsi diffuser untuk menurunkan fluida, sehingga mengakibatkan kenaikan tekanan fluida. Jenis MULTIBLADE COMPRESSOR :  Centrifugal  Axial  Jet compressor
  • 5.
    B. Berdasar Tekanan 1.Kompresor tekanan rendah ≤ 25 atm 2. Kompresor tekanan sedang 25–100 atm 3. Kompresor tekanan tinggi 100-500 atm C. Berdasar Kapasitas 1. Kapasitas kecil ≤ 160 m³/jam 2. Kapasitas sedang 160-4000 m³/jam 3. Kapasitas besar ≥ 4000 m³/jam D. Berdasar Fluida yang dialirkan 1. Kompresor udara 2. Kompresor gas
  • 6.
    E. Berdasar Penggerak 1.Turbin 2. Motor bakar 3. Motor listrik F. Berdasar Pendingin 1. Udara 2. Air G. Berdasar Susunan Silinder (untuk kompresor torak) 1. Berjajar / segaris 2. Bentuk V 3. Bentuk W
  • 7.
    Positive Displacement compressor Kompresortorak (reciprocating compressor) Konsep dasar Kerja yang dilakukan oleh gas/uap dapat digambarkan sebagai berikut :
  • 8.
    Gaya pada torak: F = p.A Kerja : dW= F.dx = p A dx = p dV W = ∫pdv W positive : dv > 0 ekspansi W negative : dv < 0 kompressi Tinjauan termodinamika a. Specific heat : Jumlah kalor : dQ = w c dT c = dQ/wdT
  • 9.
    Cv = (dQ/wdT)v Cp= (dQ/wdT)p Cp /Cv = k b. Internal energy : Jika v constant, maka dV = 0 , jadi W = 0 Berarti tidak ada kerja. ∫dQ = ∫w cv dT = ∫dU U2–U1 = w cv (T2–T1) = selisih tenaga dalam
  • 10.
    c. Enthalpy : p= constan, p=c • ∫dQ = ∫w cp dT = ∫dH • H2-H1 = w cp (T2–T1) = selisih enthalpy Persamaan Keadaan Gas Sempurna : pV= RT p1V1 = RT1, p2v2 = RT2 pV= wRT p1V1 = wRT1, p2v2 = wRT2 d. Entropy : dq = Tds, ds = dq/T = cv(dT/T) + p(dV/T)
  • 11.
    ds = cv(dT/T)+R(dV/V) ∫ds= ∫cv(dT/T)+∫R(dV/V) • Jadi : s2-s1 = cv ln(T2/T1) + R ln(V2/V1) • = selisih entrophy • Macam-macam Perubahan Keadaan Gas: – 1. isobaris p=c – 2. isochoris V=c – 3. isothermis T=c – 4. adiabatis dQ=c – 5. polytropis pVn =c
  • 12.
    1. Isobaris =Polytropis pVn , n=0 • pV = wRT • P = const, maka V1/V2=T1/T2 • W’ = p(V2-V1) • T2 • Q1-2= w∫ cpdT • T1 • Q1-2= wcp(T2-T1)
  • 13.
    2. Isochoris := Polytropis pVn, n=∞ V=const P1/P2=T1/T2 • T2 • Q1-2= w ∫ cvdT = w cv (T2-T1) T1 3. Isothermis : = Polytropis pVn, n=1 p1V1= p2V2= pV= wRT1= konstan dQ = w cv dT + pdV dQ = pdV = dW
  • 14.
    4. Adiabatis : dQ= wcvdT + pdV = 0 pV = wRT d(pV) = d(wRT), pdV + vdp = wRdT Vdp + pdV dT = ----------- wR • Jadi : wcv(Vdp + pdV) + wRpdV = 0 • Substitusi cp = cv + R • Maka : • cp pdV + cv Vdp = 0
  • 15.
    cp /cv =γ, sehingga γ (dV/V) + (dp/p) = 0 ln p + γ ln V = konstan • pVγ = C, persamaan ini adalah persamaan curve adiabatis. • V = wRT/p, jadi : T2/T1 = (p2/p1)γ-1/γ • ∫ dQ = ∫ wcvdT +∫ pdV = 0 • Wad = (U1-U2) = wcv (T1-T2)
  • 16.
    Dari hubungan :cp – cv = R, cp/cv = γ, R = (γ-1)cv R w Jadi : Wad = ------ T1 [1-(p2/p1) (γ-1)/γ ] γ – 1 p1V1 atau : Wad = ------ [1-(p2/p1) (γ-1)/γ ] γ – 1 Dari persamaan : p1V1 γ = p2V2 γ = pV γ V2 V2 Wad = ∫ pdV = p1V1 γ ∫ (dV/Vγ ) V1 V1
  • 17.
    p1V1 γ Wad = ----------[ V2 1-γ – V1 1-γ ] 1-γ p1V1 Wad = ---------- [ (V2/V1) 1-γ – 1 ] 1-γ p1V1 Wad = − ------- [(V1/ V2 ) γ-1 – 1 ] γ-1 p1V1 Wad = ---------- [ 1 – (p2/p1) (γ-1)/γ ] γ-1
  • 18.
    5. Polytropis Kurva polytropismengikuti persamaan : pVn = C p1V1 n = p2V2 n log p1 + n log V1 = log p2 + n log V2 log p1 - log p2 n = --------------- log V2 - log V1 Contoh soal : Berapa temperatur akhir setelah terjadi kompresi adiabatis dari R12, ammonia, udara dan helium, jika perbandingan kompresi = 4 dan temperatur awal = -15oC ? Diketahui : γ R12 = 1,13, γ ammonia = 1,313, γ udara = 1,40 dan γ helium = 1,66.
  • 19.
    Kompresor torak tanparuang rugi Diagram p-V dan silinder dapat digambarkan sebagai berikut :
  • 20.
    Kerja yang diberikanpada fluida selama 1 (satu) siklus : • W’c = - [ W’ + W’d – W’s ] – W’c = kerja yang diberikan pada fluida selama 1 siklus, kerja kompresor, dinyatakan oleh luasan (1234) – W’ = kerja selama kompresi, kerja kompresi, dinyatakan oleh luasan (a12b) – W’d = kerja selama pembuangan (discharge), kerja pembuangan, dinyatakan oleh luasan (b23o) – W’s = kerja yang dilakukan oleh fluida selama pengisapan (suction), kerja isap, dinyatakan oleh luasan (o41a)
  • 21.
    Kerja kompresor dalamdiagram p-V dinyatakan oleh luasan (1234), dengan notasi W’c • Kerja kompresi antara 1-2 : • V2 • W’ = ∫ p dV, • V1 kerja ini negative, karena dV < 0 Kompresi diumpamakan berjalan secara polytropis : pVn = C. Bila eksponen n bertambah besar, maka kerja kompresi bertambah kecil, tetapi kerja kompresor bertambah besar.
  • 22.
    Terlihat kerja isothermalterkecil. Besar n = 1 : pV = p1V1 = p2V2
  • 23.
    Kerja kompresi isothermis: V2 W’isoth = ∫ pdV V1 V2 • W’isoth = ∫ p1V1 (dV/V) = - p1V1 ln (V1/V2) V1 = - p1V1 ln (p2/p1) = - wRT1 ln (p2/p1) Kerja kompresor total bila kompresi berjalan secara isothermis = kerja non flow, seperti terlihat sebagai berikut : W’isoth.comp. = p1V1 - p1V1 ln (p2/p1) - p2V2 = - p1V1 ln (p2/p1) Keterangan : garis isothermal sangat berpengaruh pada kompresor bertingkat.
  • 24.
    • Untuk prosesadiabatis : p1V1 γ = p2V2 γ = pVγ 1/γV = V1 (p1/p) • W’ad.c = - ∫ V dp p2 = - V1 (p1)1/γ ∫ p-1/γ dp p1 γ = - V1p1 1/γ(------) p1 γ-1/γ [(p2/p1)γ-1/γ – 1] γ-1 γ = - (------) p1V1 [(p2/p1)γ-1/γ – 1] γ-1 γ Wad.c = - (------) wRT1 [(p2/p1)γ-1/γ – 1] γ-1 Kerja total kompresor tanpa volume p2 ruang rugi : W’c = - ∫ Vdp p1
  • 25.
    Didepan telah didapatkan: p1V1 Wad = ---------- [ 1 – (p2/p1)(γ-1)/γ ] γ-1 • Jadi tampak jelas bahwa kerja adiabatis kompresor adalah perkalian antara γ dengan kerja adiabatis non flow. • W’ad.c = γ x W’ad. non flow. Untuk proses polytropis γ menjadi n : n W’pol.c = - ----- wRT1 [(p2/p1)(n-1)/n - 1] n-1 Contoh : Hitung kerja adiabatis kompresor yang memampatkan udara 25 m3 dari tekanan 1 ata ke tekanan 3,3 ata. Diketahui konstanta udara n = 1,4. W’ad.c = - (1,4/(1,4-1)) 10.000 25 [(3,3/1)(1,4-1)/1,4 – 1] = - 355.687
  • 26.
    Kompressor dengan ruangrugi • Pada kompresor yang sesungguhnya selalu ada ruang rugi. Ini dimaksudkan untuk : 1. Thermal expansion 2. Toleransi toleransi : C = 0,005L + 0,5 mm L = langkah (stroke) piston Perbandingan antara volume ruang rugi (Vo) terhadap volume yang dilalui piston (vp) : ε = Vo/Vp Besar ε tergantung pada susunan dari katub-katub dalam silinder dan pada kecepatan rata-rata piston (cm). Ε pada umumnya ≤ 5%.
  • 27.
    • Pada beberapajenis kompresor kadang-kadang sampai 12-13%. • Fluida yang terjebak dalam ruang rugi setelah kompresi dan pembuangan, akan berekspansi selama langkah isap. • Perbandingan antara Vs dan Vp disebut dengan efisiensi volumetris : • ηvol = Vs/Vp Pada kompresor dengan kecepatan tinggi (cm>3m/detik) besar ε diambil lebih besar dari besaran diatas.
  • 28.
    Pada kompresor denganperbandingan kompresi ί ≈ 2, maka proses reekspansi (proses 3-4) kira-kira adiabatis. • Jadi : V4 = V0 (p2/p1)1/γ • Vp+V0-V4 Vp+ εVp- ε Vp (p2/p1)1/γ • ηvol = ---------- = ---------------------- • Vp Vp ηvol = 1+ ε- ε(p2/p1)1/γ ηvol = 1- ε [(p2/p1)1/γ-1] Pada kompresor dengan perbandingan kompresi ί ≥ 4, maka proses reekspansi (proses 3-4) dianggap polytropis : pVm = C. Menurut FRANKEL besar m bervariasi sesuai dengan tekanan.
  • 29.
    Pada kompresor bertingkatbanyak, untuk : Tingkat I, m diambil = 1,20 Tingkat II, m diambil = 1,25 Tingkat III, m diambil = 1,30 Tingkat IV, m diambil = 1,35 Tingkat ≥ V, m diambil = γ Dengan catatan : tekanan isap (pi) pada tingkat I = tekanan atmosphere. Besar efisiensi volumetris dapat juga dilihat pada “grafik” sebagai fungsi dari : n, p2/p1 dan ε. Besar kerja per siklus dari kompresi dan reekspansi:
  • 30.
    n m W’ =- ----- p1V1 [(p2/p1) (n-1)/n - 1] + ----- p2V3 [(1-p1/p2) (n-1)/n ] n-1 m-1 n m W’ = - ----- p1V1 [(p2/p1) (n-1)/n - 1] + ----- p1V4 [(p2/p1) (m-1)/m -1] n-1 m-1 Kalau : Vs = V1 - V4 dan m = n Maka : n W’ = ----- p1Vs [(p2/p1)(n-1)/n – 1] n-1 Catatan : pengaruh ruang rugi terhadap kerja kompresor, jika eksponen polytropis maka untuk ekspansi = m dan untuk kompresi = n.
  • 31.
    KOMPRESOR BERTINGKAT BANYAK (Kompresorbertingkat 1, 2, 3 dan 4) • Apabila perbandingan kompresi dinaikkan, maka temperatur akhir akan naik dan ηv akan turun. Temperatur akhir yang tinggi akan mempengaruhi operasi atau kerja katub buang, pelumasan. • Pada daerah-daerah minyak akan berbahaya, dapat menyebabkan kebakaran dan lain-lain. • Bila kebutuhan akan perbandingan kompresi yang tinggi tidak dapat dihindari, maka perbandingan kompresi total dapat dibagi dalam beberapa tingkat. • Diagram pV dapat digambarkan sebagai berikut :
  • 32.
    Dalam hal inikerja kompresor : − − Besar W’ minimal dapat dicari, sebagai berikut : misal : Kalau jumlah tingkat n, maka : ]1)[(]1)[(' 1 2 1 1 1111    n n x n n x p p n n p p n n wRTwRTW ]2)()[( 1 2 1 111    n n x n n x p p p p n n wRTW ]2)()[(' 2 1 1 1    z p pz p p z wRT n n x x W z zzz x p zp p zp p zp p pz z wRT dp dW ppp z x z z z x z x z z z x x 21 2 )(' 1 2 1 1 1 2 1 1 1 0][        1 2 21 22 1 2 1 21 1 21 p p pp p p p p p p pp p p x x x ppp    012 3 1 2 0 1 ....... p p p p p p p p p p n n n   p V xp 1 2 3 4 '1 '2 isothermis polytropis polytropis
  • 33.
    Daya Kompresor Kebutuhan dayakompresor tingkat 1 dapat dihitung menurut hubungan : • , P = daya kompresor, hp; W=kerja,kgm. • , P = daya kompresor, kW; W=kerja, kgm. • • Daya yang diperlukan untuk proses : 1. Isothermis : 2. Adiabatis : 102.60 75.60 W W P P   kWVpP hpVpP p p p pVpW iso p p p pVpW iso iso iso ,lnln ,lnln 1 2 1 211 1 2 1 211 116120 10000 61206120 114500 10000 45004500   kWVpP hpVpP p p p pVp ad p p p pVp ad ],1)[(]1)[( ],1)[(]1)[( 1 1 2 1 1 211 1 1 2 1 1 211 1116120 10000 16120 1114500 10000 14500                      
  • 34.
    Untuk kompresor ntingkat, daya yang dibutuhkan adalah jumlah dari daya yang dibutuhkan pada tiap-tiap tingkat. Pada kompresor satu silinder, single acting, hp-indikator dapat dihitung dari hubungan : Dimana : • A = luas piston, cm2 • pim = Mean Effective pressure, kg/cm2 (dapat dihitung dari diagram pV) • L = langkah piston, m • N = putaran, rpm • Cm = kecepatan piston rata-rata, m/det.; =1,5-5 m/det. ( cm = LN/30 ) • Untuk kompresor n tingkat :       n i iadnad n i iisoniso PP PP 1 .. 1 .. hpihp mimim AcpALNp ,75.275.60    n i in ihpihp 1
  • 35.
    Efisiensi : efisiensiisothermis efisiensi adiabatis efisiensi mekanis • Efisiensi isothermal: Efisiensi mekanis : • Efisiensi isothermal overall : • Efisiensi adiabatis : • Efisiensi adiabatis overall : ihp P iso iso  acthp ihp m  act iso hp P misooiso   ihp P ad ad  act ad hp P madoad  
  • 36.
    Shaf Horse Power(SHP) Ai = luas piston individual pada tiap-tiap tingkat (cm2) Pim= mean effective pressure pada tingkat yang bersangkutan (atm), didapat dari diagram pV. • Jadi : • Apabila kompresor ini digerakkan oleh motor listrik, daya motor : • ηt= efisiensi transmisi, bila memakai perantaraan transmisi (roda gigi, belt dan lain-lain) • Selanjutnya daya listrik yang diperlukan : kWhpShp m imim m imim pAcpAc ,, 102.275.2   kWhpShp p pVp p pVp oisooiso ,ln,ln 1 211 1 211 102.6075.60   kWhpShp p pVp p pVp oadoad ],1)[(],1)[( 1 1 211 1 1 211 102.60175.601            t shp mN 15.1 mott shp listrN 
  • 37.
    Volume udara, gas(fluida) yang dapat dikompresikan : i = 1, untuk kompresor “single acting” i = 2, untuk kompresor “double acting” A = luas piston (luas penampang), atau jumlah luas piston pada kompresor silinder banyak L = langkah piston N = putaran poros (rpm) ηvo = efisiensi volumetris overall ≈ 4-6% lebih rendah dari ηvol Kecepatan piston rata-rata : cm = LN/30 cm ≤ 2m/det, kompresor kecil cm ≤ 3m/det, kompresor sedang cm ≤ 5m/det, kompresor besar menit m voiALNV 3 ,
  • 38.
    Perbandingan langkah pistondan diameternya =ν atau ν = L/D yang besarnya tergantung dari tekanan akhir dan kecepatan kompresor, maka untuk kompresor dengan 1 silinder : • Untuk :  Vaccum pump dan kompresor udara kecepatan tinggi : ν ≥ 0,5  Kompresor pada pesawat pendingin : ν ≈ 0,8  Kompresor untuk amonia : ν ≈ 1  Kompresor tekanan tinggi : ν = 4 - 6 • Luas piston efektive pada tingkat lain, dengan menganggap putaran N, panjang langkah L dan efisiensi volumetric-overall sama setiap tingkat, maka : • (w=V/v, kg/min) voNDiV  3 4 vomcDiV  302 4 n nn V Ai V Ai V Ai  .........2 22 1 11 nnn pAipAipAi  .........222111
  • 39.
    Daya input maksimalpada kompresor Proses polytropis Perbandingan kompresi : r = p2/p1 • Daya kompresor : • Untuk kompresor dengan ruang rugi : (V0 = ruang rugi) • Harga daya maksimal didapat bila persamaan ini di deferensialkan terhadap r dan harus = 0. • Soal : • Hitung ukuran utma kompresor udara dua tingkat, empat silinder, konstruksi differential piston yang memampatkan 25 m3/min udara bebas ke tekanan akhir 8 atg, jika putaran kompresor 600 rpm, perbandingan panjang langkah piston dengan diameternya = 0,6 dan efisiensi volumetric overall = 82%. kWrP n n Vp n n pol ],1[ 1 11 102.601    )]1(1[ 1 1  n rVVV PVP  ]1][1[ 11 1 102.601    n n nP rrP Vp n n pol 
  • 40.
    Jawab : 1A 2A voNDiV 3 4 • Untuk 1 silinder : • L = νD = 0,180 m • Luas piston tingkat 2 : • A2/A1 = p1/p2 ; A2 = 706,86. ⅓ = 235,62 cm2 • Luas “piston trnk” = A2 – A1 = 471,24 cm2 • Diameter = d = 24,5 cm. • Luas sebenarnya : A2 = π/4 (302 – 24,52) • = 235,42 cm • Kecepatan piton rata-rata : cm = (0,18.600)/30 = 3,6 m/det. mDNDi V vol 300,0 4 3 4   D d