Al – Farabi Kazakh National University
SIW:
Basic Integration Rules
Prepared: Mugharbel A.
Group: Chemistry – Chemical Engineering
Checked by: Dosmagulova Karlygash Almatkyzy
Plan:-
• THE CONCEPT OF INTEGRAL
• SYMBOL OF INTEGRATION
• Basic Integration Rules
• Integration by Parts
INTEGRATION
or
ANTI-DIFFERENTIATION

Now, consider the question :” Given that y is a function of x and
Clearly ,
THE CONCEPT OF INTEGRAL
We have learnt that
2
x
y  x
dx
dy
2

x
dx
dy
2

, what is the function ? ‘
2
x
y 
( differentiation process )
is an answer but is it the only answer ?
Familiarity with the differentiation process would
indicate that
and in fact

50
,
3
,
15
,
3 2
2
2
2







 x
y
x
y
x
y
x
y
c
x
y 
 2
Thus
x
dx
dy
2
 c
x
y 
 2
This process is the reverse process of differentiation and is called
integration .
, where c is can be
any real number are also possible answer
, where c is called an arbitrary constant
SYMBOL OF INTEGRATION
We know that
Hence ,
Symbolically , we write

    x
c
x
dx
d
and
x
x
dx
d
2
2 2
2



x
dx
dy
2
 c
x
y 
 2
x
dx
dy
2
  

 c
x
dx
x
y 2
2

In general,
then
The expression
 
  )
(
)
( x
f
x
F
dx
d
and
x
F
y
if 

 



 c
x
F
dx
x
f
y
x
f
dx
dy
)
(
)
(
)
(
 

 c
x
F
dx
x
f
y )
(
)
(
Is called an indefinite integral.
 

 c
x
dx
x
y 2
2 Is an indefinite integral
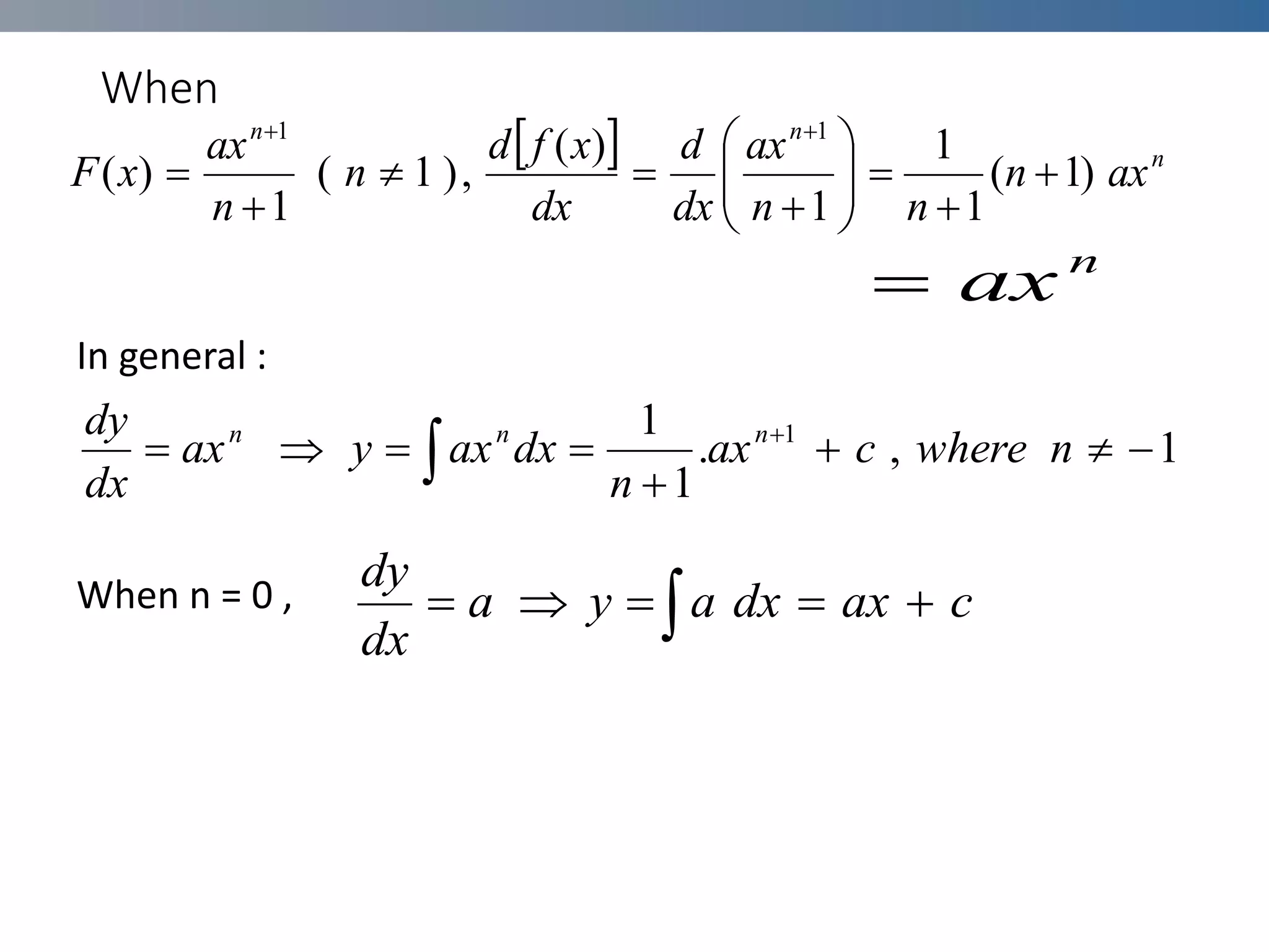
When
In general :
When n = 0 ,
  n
n
n
ax
n
n
n
ax
dx
d
dx
x
f
d
n
n
ax
x
F )
1
(
1
1
1
)
(
,
)
1
(
1
)
(
1
1


















n
ax

 






 
1
,
.
1
1 1
n
where
c
ax
n
dx
ax
y
ax
dx
dy n
n
n
 



 c
ax
dx
a
y
a
dx
dy
EXAMPLE:
1.
2.The gradient of a curve , at the point ( x,y ) on the curve is given
by
Solution :
Given
   




 dx
x
dx
x
dx
x
dx
x
x
x 2
3
2
3
)
(
c
x
x
x 


 2
3
4
2
1
3
1
4
1
2
4
3
2 x
x 

Given that the curve passes through the point ( 1, 1) , find the equation
of the curve.
2
4
3
2 x
x
dx
dy


  


 dx
x
x
y )
4
3
2
( 2
  


 dx
x
dx
x
dx 2
4
3
2
Since the curve passes through the point ( 1,1 ) , we can
substitusi x = 1 and y = 1 into ( 1 ) to obtain the constant
term c .
The equation of the curve is
)
1
(
......
3
4
2
3
2 3
2
c
x
x
x
y 



c



 )
1
(
3
4
)
1
(
2
3
)
1
(
2
1
6
5


c
c
x
x
x
y 


 3
2
3
4
2
3
2
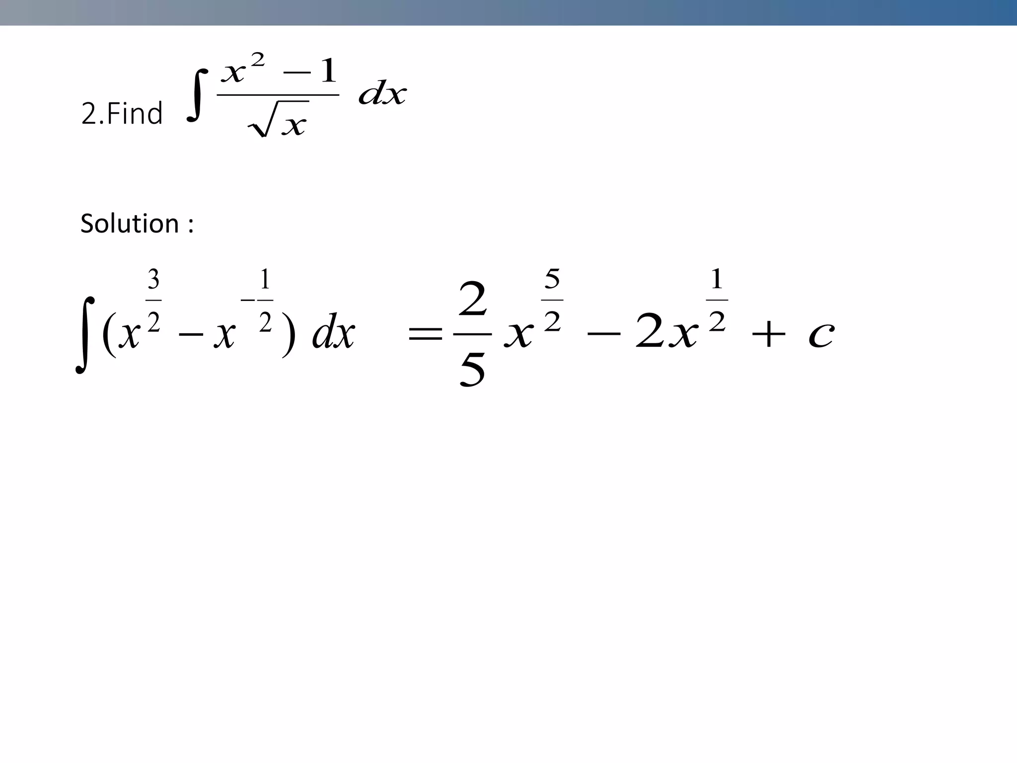
2.Find
Solution :


dx
x
x 1
2


 dx
x
x )
( 2
1
2
3
c
x
x 

 2
1
2
5
2
5
2
Basic Integration Rules
The inverse nature of integration and differentiation can
be verified by substituting F'(x) for f(x) in the indefinite
integration definition to obtain
Moreover, if ∫f(x)dx = F(x) + C, then
Basic Integration Rules
These two equations allow you to obtain integration formulas directly from
differentiation formulas, as shown in the following summary.
Basic Integration Rules
Example 2 – Applying the Basic Integration Rules
Describe the antiderivatives of 3x.
Solution:
So, the antiderivatives of 3x are of the form where C is any constant.

 
 dx
dx
du
v
uv
dx
dx
dv
u
To integrate some products we can use the formula
Integration by Parts
)
cos
(
2 x
x     dx
x 2
)
cos
(
We can now substitute into the formula
So,
x
u 2

2

dx
du
x
v cos


differentiate integrate
x
dx
dv
sin

and
u
dx
dv u v
v
dx
du

 
 dx
dx
du
v
uv
dx
dx
dv
u

 dx
x
xsin
2
Integration by parts cannot be used for every product.
Using Integration by Parts
It works if
we can integrate one factor of the product,
the integral on the r.h.s. is easier* than the one
we started with.
* There is an exception but you need to learn the
general rule.

Basic Integration Rules_Mugharbel

  • 1.
    Al – FarabiKazakh National University SIW: Basic Integration Rules Prepared: Mugharbel A. Group: Chemistry – Chemical Engineering Checked by: Dosmagulova Karlygash Almatkyzy
  • 2.
    Plan:- • THE CONCEPTOF INTEGRAL • SYMBOL OF INTEGRATION • Basic Integration Rules • Integration by Parts
  • 3.
    INTEGRATION or ANTI-DIFFERENTIATION  Now, consider thequestion :” Given that y is a function of x and Clearly , THE CONCEPT OF INTEGRAL We have learnt that 2 x y  x dx dy 2  x dx dy 2  , what is the function ? ‘ 2 x y  ( differentiation process ) is an answer but is it the only answer ?
  • 4.
    Familiarity with thedifferentiation process would indicate that and in fact  50 , 3 , 15 , 3 2 2 2 2         x y x y x y x y c x y   2 Thus x dx dy 2  c x y   2 This process is the reverse process of differentiation and is called integration . , where c is can be any real number are also possible answer , where c is called an arbitrary constant
  • 5.
    SYMBOL OF INTEGRATION Weknow that Hence , Symbolically , we write      x c x dx d and x x dx d 2 2 2 2    x dx dy 2  c x y   2 x dx dy 2      c x dx x y 2 2 
  • 6.
    In general, then The expression    ) ( ) ( x f x F dx d and x F y if         c x F dx x f y x f dx dy ) ( ) ( ) (     c x F dx x f y ) ( ) ( Is called an indefinite integral.     c x dx x y 2 2 Is an indefinite integral
  • 7.
    When In general : Whenn = 0 ,   n n n ax n n n ax dx d dx x f d n n ax x F ) 1 ( 1 1 1 ) ( , ) 1 ( 1 ) ( 1 1                   n ax            1 , . 1 1 1 n where c ax n dx ax y ax dx dy n n n       c ax dx a y a dx dy
  • 8.
    EXAMPLE: 1. 2.The gradient ofa curve , at the point ( x,y ) on the curve is given by Solution : Given          dx x dx x dx x dx x x x 2 3 2 3 ) ( c x x x     2 3 4 2 1 3 1 4 1 2 4 3 2 x x   Given that the curve passes through the point ( 1, 1) , find the equation of the curve. 2 4 3 2 x x dx dy         dx x x y ) 4 3 2 ( 2       dx x dx x dx 2 4 3 2
  • 9.
    Since the curvepasses through the point ( 1,1 ) , we can substitusi x = 1 and y = 1 into ( 1 ) to obtain the constant term c . The equation of the curve is ) 1 ( ...... 3 4 2 3 2 3 2 c x x x y     c     ) 1 ( 3 4 ) 1 ( 2 3 ) 1 ( 2 1 6 5   c c x x x y     3 2 3 4 2 3 2
  • 10.
    2.Find Solution :   dx x x 1 2   dx x x ) ( 2 1 2 3 c x x    2 1 2 5 2 5 2
  • 11.
    Basic Integration Rules Theinverse nature of integration and differentiation can be verified by substituting F'(x) for f(x) in the indefinite integration definition to obtain Moreover, if ∫f(x)dx = F(x) + C, then
  • 12.
    Basic Integration Rules Thesetwo equations allow you to obtain integration formulas directly from differentiation formulas, as shown in the following summary.
  • 13.
  • 14.
    Example 2 –Applying the Basic Integration Rules Describe the antiderivatives of 3x. Solution: So, the antiderivatives of 3x are of the form where C is any constant.
  • 15.
        dx dx du v uv dx dx dv u Tointegrate some products we can use the formula Integration by Parts
  • 16.
    ) cos ( 2 x x    dx x 2 ) cos ( We can now substitute into the formula So, x u 2  2  dx du x v cos   differentiate integrate x dx dv sin  and u dx dv u v v dx du     dx dx du v uv dx dx dv u   dx x xsin 2
  • 17.
    Integration by partscannot be used for every product. Using Integration by Parts It works if we can integrate one factor of the product, the integral on the r.h.s. is easier* than the one we started with. * There is an exception but you need to learn the general rule.