PESCE
ASPETTI NUTRIZIONALI
PERCHÉ SI TRATTA DI UN PRODOTTO TROPPO LABORIOSO DA PREPARARE
PERCHÉ SONO POCHE LE PERSONE IN GRADO DI RICONOSCERE IL PESCE
FRESCO
PERCHÉ NON SI CONOSCONO LE DIVERSE SPECIE
PERCHÉ PER ANNI È STATO IL SIMBOLO DELLA DIETA QUARESIMALE E
QUINDI ASSOCIATO AL DIGIUNO E ALLA PENITENZA.
PERCHÉ ANCORA OGGI IL PESCE È CONSIDERATO UN
SURROGATO DELLA CARNE?
Il pesce, in virtù delle sue caratteristiche nutritive , costituisce una valida
alternativa alla carne perché:
È FACILMENTE DIGERIBILE
È UN ALIMENTO PLASTICO
APPORTA
PROTEINE NOBILI, MINERALI, VITAMINE , ACIDI GRASSI POLINSATURI
Composizione chimica media del pesce (per 100 g di parte edibile)
ACQUA 66-80 %
PROTEINE 15-22 %
LIPIDI 0,1-22 %
CARBOIDRATI < 0,5 %
VITAMINE <0,5 %
MINERALI 1-2 %
I pesci rappresentano una fonte di proteine di elevato valore biologico perché
contengono tutti gli amminoacidi essenziali nelle proporzioni richieste dall’organismo.
PROTEINE
Gruppo di
alimenti
Valore
biologico
Cereali e
derivati
40-50
Legumi 30-70
Carne, latte e
derivati
70-80
Pesce 97
Uova 100
Affermare ad esempio che il pesce ha un valore biologico proteico di 97, vuol dire che
su 100 amminoacidi assorbiti, circa 97 sono quelli utilizzati e incorporati nelle cellule
dell'organismo (VB= quantità di azoto introdotto/quantità di azoto assorbito x 100)
Acido aspartico
Acido glutammico Alanina
Arginina Asparagina Cisteina
Glicina Glutammina Prolina
Serina Tirosina
Istidina
AAE
Fenilalanina
Isoleucina
Leucina Lisina
Metionina Treonina
Triptofano Valina
Amminoacidi
amminoacido
MENO PROTEINE GLOBULARI: mioglobina
ed emoglobina, due delle principali molecole
che conferiscono il colore rosso alla carne
per la presenza nel gruppo prostetico
( gruppo eme) di ione ferro.
La carne del pesce, di conseguenza , risulta
generalmente più bianca e più povera di
ferro.
Rispetto alla carne, sono presenti :
MENO PROTEINE DI SOSTEGNO (elastina e collagene).
Il ridotto contenuto in collagene rende la carne del
pesce più tenera e particolarmente digeribile.
Gruppo eme
Ferro
Collagene
muscolo
PIÙ PROTEINE MIOFIBRILLARI (actina e miosina) ,
responsabili della contrazione muscolare.
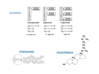
LIPIDI
I grassi dei pesci, rispetto a quelli degli animali terrestri, presentano alcune
differenze: maggiore percentuale di acidi grassi insaturi e di fosfolipidi,
minore contenuto di colesterolo .
In base al diverso contenuto lipidico i pesci si distinguono in :
magrissimi, con un contenuto di grasso inferiore all’1%
magri, con un contenuto di grasso compreso tra l’1 ed il 3%
semigrassi ,con grassi tra il 3 e il 10%
grassi, con più del 10% di grassi
GLICERIDI
COLESTEROLOFOSFOLIPIDE
Acidi grassi
Nei pesci i trigliceridi sono costituiti prevalentemente da acidi grassi polinsaturi a
lunga catena della serie omega-3 .
I principali acidi grassi della serie omega-3 sono : l’acido alfa-linolenico ALA, (C18:3,
omega-3), l’acido eicosapentaenoico (EPA, C20: 5, omega-3) e l ’acido
docosaesaenoico (DHA, C22:6, omega-3).
Gli acidi grassi EPA e DHA sono presenti in
quantità significativa solamente nelle carni di
pesce in quanto sono sintetizzati dal
fitoplancton e dallo zooplancton, organismi
alla base delle catene alimentari degli
ambienti acquatici.
Il consumo di acidi della serie omega-3, in
particolar modo l’EPA e il DHA, contribuisce a
prevenire le patologie cardio-vascolari. Tali
acidi grassi, infatti, favoriscono la sintesi
delle HDL e contrastano l’aggregazione
piastrinica impedendo l’occlusione dei canali
arteriosi.
acido eicosapentaenoico (EPA, C20: 5, omega-3)
acido docosaesaenoico (DHA, C22: 6, omega-3)
Acido carbossilico con una catena di 22 atomi di carbonio e sei doppi
legami in cis; il primo doppio legame è localizzato sul terzo carbonio
dall'estremità omega.
Acido carbossilico con una catena di 20 atomi di carbonio e cinque
doppi legami in cis; il primo doppio legame è localizzato sul terzo
carbonio dall'estremità omega.
Il corpo umano può anche ricavare l'EPA (precursore a sua volta del DHA) dalla
trasformazione dell'acido alfa-linolenico (ALA).
Questa conversione però è molto lenta e quindi meno efficiente rispetto
all'assorbimento di EPA dalla dieta; l'ALA inoltre è un acido grasso essenziale, per cui
l'organismo deve esserne costantemente rifornito.
L’ALA oltre che nel pesce si trova in anche in alcuni oli vegetali come l’olio di semi di
lino, l’olio di nocciole e l’olio di colza, nelle mandorle e nelle noci.
ALA EPA DHA
Trasformazione effettiva
solo del 10% circa
Negli ultimi anni c’è stato un considerevole incremento del consumo nella dieta
degli omega- 6 (oli vegetali), a scapito degli omega-3. Si stima che nella dieta
attuale il rapporto omega-3/omega-6, che in epoca preindustriale era pari circa a
1, si attesti nelle moderne società occidentali intorno a 1:8 (0,125), mentre per
una dieta bilanciata i nutrizionisti raccomandano un valore di 1:4 (0,25).
Rapporto omega-3/omega-6 nella dieta
Per mantenere il rapporto
omega-3/omega-6 intorno a 1/4
introdurre nella dieta settimanale
almeno 2 piatti a base di pesce.
EPA DHA EPA+DHA
Salmone 1,008 0,944 1,952
Aringa 0,709 0,862 1,571
Acciuga 0,538 0,911 1,449
Sgombro 0,329 1,012 1,341
Trota 0,260 0,668 0,928
Pesce spada 0,108 0,531 0,639
Branzino 0,161 0,434 0,595
Calamari 0,146 0,342 0,488
Cozze 0,188 0,253 0,441
Sogliola 0,093 0,106 0,199
Merluzzo 0,064 0,120 0,184
Uova 0,004 0,037 0,041
Fonte: USDA Food Composition Data 2010
I pesci marini di cattura contengono solitamente una percentuale di omega-3 superiore
rispetto ai pesci d’acqua dolce: questo perché le catene trofiche marine sono più ricche
in omega-3 rispetto a quelle di acqua dolce.
Livelli di omega-3 in diversi alimenti (g/100g)
I pesci d’acqua dolce allevati rispetto a quelli
catturati generalmente presentano un
maggiore contenuto di acidi grassi polinsaturi
della serie omega-6 e minore di omega-3.
Questo perché nella formulazione dei
mangimi commerciali per le specie ittiche
allevate vengono utilizzati farine e oli di
origine vegetale che contengono un’elevata
percentuale di acidi grassi omega-6.
Distribuzione olio di fegato di
merluzzo (a.s. 1949-50)
www.museodellascuola.it/omega-3/
Alborella Coregone Luccio Persico Tinca
Acqua 72,9 71,3 79,2 79,1 79,2
Proteine 18,9 21,4 18,9 19,0 18,8
Lipidi 4,5 6,0 0,5 0,6 0,8
Acidi grassi Acidi grassi % sul totale degli acidi grassi
Saturi 23,4 30,9 35,9 37,4 31,8
Monoinsaturi 47,2 31,5 12,3 12,2 21,6
Polinsaturi 29,3 37,6 51,9 50,4 46,6
Omega-3 15,4 28,0 42,1 38,4 30,1
Omega-6 13,9 9,6 9,8 12,0 16,5
Omega-3 /Omega-6 1,1 2,9 4,3 3,2 1,8
VALORI NUTRIZIONALI
(100 g di parte edibile)
Trota Iridea
Valori nutrizionali per 1 filetto (100 g)
Energia 141Kcal
Proteine 19,94 g
Carboidrati 0
Zuccheri 0
Grassi 6,18 g
Saturi 1,383 g
Monoinsaturi 1,979 g
Polinsaturi 1,507 g
Colesterolo 59 mg
Fibra alimentare 0
Sodio 51 mg
Trota Iridea Salmonata (da allevamento)
Valori nutrizionali per 1 filetto (100 g)
Energia 109 kcal
Proteine 16,49 g
Carboidrati 0
Zuccheri 0
Grassi 4,27 g
Grassi Saturi 1,228 g
Grassi Monoinsaturi 1,216 g
Grassi Polinsaturi 1,426 g
Colesterolo 47 mg
Fibra 0
Sodio 28 mg
Potassio 356 mg
I carboidrati (glicogeno)nei pesci sono normalmente meno dello 0,5 %.
CARBOIDRATI
VITAMINE
Tutte le vitamine liposolubili (A,D,E, K) e quelle idrosolubili (vitamine del gruppo B
e vitamina C) sono presenti in concentrazioni variabile da specie a specie. Le
vitamine liposolubili sono riscontrabili nel tessuto muscolare dei pesci grassi e nel
fegato dei pesci magri.
I sali minerali maggiormente presenti sono il calcio e il fosforo, e in
quelli di mare anche lo iodio. Il ferro è contenuto in minore quantità
rispetto alle carni.
SALI MINERALI
Sitografia
http://planetpesca.com/files/2009/04/fario2.jpg
www.museodellascuola.it/omega-3/
http://www.irealp.it/media/progetti_europei_e_regionali/sfop/Cibo_e_Salute_(Lug-
ago_2007).pdf
http://www.omega-life.ch/it/Acidi-grassi-omega-3/Provenienza.aspx

Aspetti nutrizionali del pesce

  • 1.
  • 2.
    PERCHÉ SI TRATTADI UN PRODOTTO TROPPO LABORIOSO DA PREPARARE PERCHÉ SONO POCHE LE PERSONE IN GRADO DI RICONOSCERE IL PESCE FRESCO PERCHÉ NON SI CONOSCONO LE DIVERSE SPECIE PERCHÉ PER ANNI È STATO IL SIMBOLO DELLA DIETA QUARESIMALE E QUINDI ASSOCIATO AL DIGIUNO E ALLA PENITENZA. PERCHÉ ANCORA OGGI IL PESCE È CONSIDERATO UN SURROGATO DELLA CARNE?
  • 3.
    Il pesce, invirtù delle sue caratteristiche nutritive , costituisce una valida alternativa alla carne perché: È FACILMENTE DIGERIBILE È UN ALIMENTO PLASTICO APPORTA PROTEINE NOBILI, MINERALI, VITAMINE , ACIDI GRASSI POLINSATURI Composizione chimica media del pesce (per 100 g di parte edibile) ACQUA 66-80 % PROTEINE 15-22 % LIPIDI 0,1-22 % CARBOIDRATI < 0,5 % VITAMINE <0,5 % MINERALI 1-2 %
  • 4.
    I pesci rappresentanouna fonte di proteine di elevato valore biologico perché contengono tutti gli amminoacidi essenziali nelle proporzioni richieste dall’organismo. PROTEINE Gruppo di alimenti Valore biologico Cereali e derivati 40-50 Legumi 30-70 Carne, latte e derivati 70-80 Pesce 97 Uova 100 Affermare ad esempio che il pesce ha un valore biologico proteico di 97, vuol dire che su 100 amminoacidi assorbiti, circa 97 sono quelli utilizzati e incorporati nelle cellule dell'organismo (VB= quantità di azoto introdotto/quantità di azoto assorbito x 100) Acido aspartico Acido glutammico Alanina Arginina Asparagina Cisteina Glicina Glutammina Prolina Serina Tirosina Istidina AAE Fenilalanina Isoleucina Leucina Lisina Metionina Treonina Triptofano Valina Amminoacidi amminoacido
  • 5.
    MENO PROTEINE GLOBULARI:mioglobina ed emoglobina, due delle principali molecole che conferiscono il colore rosso alla carne per la presenza nel gruppo prostetico ( gruppo eme) di ione ferro. La carne del pesce, di conseguenza , risulta generalmente più bianca e più povera di ferro. Rispetto alla carne, sono presenti : MENO PROTEINE DI SOSTEGNO (elastina e collagene). Il ridotto contenuto in collagene rende la carne del pesce più tenera e particolarmente digeribile. Gruppo eme Ferro Collagene muscolo PIÙ PROTEINE MIOFIBRILLARI (actina e miosina) , responsabili della contrazione muscolare.
  • 6.
    LIPIDI I grassi deipesci, rispetto a quelli degli animali terrestri, presentano alcune differenze: maggiore percentuale di acidi grassi insaturi e di fosfolipidi, minore contenuto di colesterolo . In base al diverso contenuto lipidico i pesci si distinguono in : magrissimi, con un contenuto di grasso inferiore all’1% magri, con un contenuto di grasso compreso tra l’1 ed il 3% semigrassi ,con grassi tra il 3 e il 10% grassi, con più del 10% di grassi
  • 7.
  • 8.
    Acidi grassi Nei pescii trigliceridi sono costituiti prevalentemente da acidi grassi polinsaturi a lunga catena della serie omega-3 . I principali acidi grassi della serie omega-3 sono : l’acido alfa-linolenico ALA, (C18:3, omega-3), l’acido eicosapentaenoico (EPA, C20: 5, omega-3) e l ’acido docosaesaenoico (DHA, C22:6, omega-3). Gli acidi grassi EPA e DHA sono presenti in quantità significativa solamente nelle carni di pesce in quanto sono sintetizzati dal fitoplancton e dallo zooplancton, organismi alla base delle catene alimentari degli ambienti acquatici. Il consumo di acidi della serie omega-3, in particolar modo l’EPA e il DHA, contribuisce a prevenire le patologie cardio-vascolari. Tali acidi grassi, infatti, favoriscono la sintesi delle HDL e contrastano l’aggregazione piastrinica impedendo l’occlusione dei canali arteriosi. acido eicosapentaenoico (EPA, C20: 5, omega-3) acido docosaesaenoico (DHA, C22: 6, omega-3) Acido carbossilico con una catena di 22 atomi di carbonio e sei doppi legami in cis; il primo doppio legame è localizzato sul terzo carbonio dall'estremità omega. Acido carbossilico con una catena di 20 atomi di carbonio e cinque doppi legami in cis; il primo doppio legame è localizzato sul terzo carbonio dall'estremità omega.
  • 9.
    Il corpo umanopuò anche ricavare l'EPA (precursore a sua volta del DHA) dalla trasformazione dell'acido alfa-linolenico (ALA). Questa conversione però è molto lenta e quindi meno efficiente rispetto all'assorbimento di EPA dalla dieta; l'ALA inoltre è un acido grasso essenziale, per cui l'organismo deve esserne costantemente rifornito. L’ALA oltre che nel pesce si trova in anche in alcuni oli vegetali come l’olio di semi di lino, l’olio di nocciole e l’olio di colza, nelle mandorle e nelle noci. ALA EPA DHA Trasformazione effettiva solo del 10% circa
  • 10.
    Negli ultimi annic’è stato un considerevole incremento del consumo nella dieta degli omega- 6 (oli vegetali), a scapito degli omega-3. Si stima che nella dieta attuale il rapporto omega-3/omega-6, che in epoca preindustriale era pari circa a 1, si attesti nelle moderne società occidentali intorno a 1:8 (0,125), mentre per una dieta bilanciata i nutrizionisti raccomandano un valore di 1:4 (0,25). Rapporto omega-3/omega-6 nella dieta Per mantenere il rapporto omega-3/omega-6 intorno a 1/4 introdurre nella dieta settimanale almeno 2 piatti a base di pesce.
  • 11.
    EPA DHA EPA+DHA Salmone1,008 0,944 1,952 Aringa 0,709 0,862 1,571 Acciuga 0,538 0,911 1,449 Sgombro 0,329 1,012 1,341 Trota 0,260 0,668 0,928 Pesce spada 0,108 0,531 0,639 Branzino 0,161 0,434 0,595 Calamari 0,146 0,342 0,488 Cozze 0,188 0,253 0,441 Sogliola 0,093 0,106 0,199 Merluzzo 0,064 0,120 0,184 Uova 0,004 0,037 0,041 Fonte: USDA Food Composition Data 2010 I pesci marini di cattura contengono solitamente una percentuale di omega-3 superiore rispetto ai pesci d’acqua dolce: questo perché le catene trofiche marine sono più ricche in omega-3 rispetto a quelle di acqua dolce. Livelli di omega-3 in diversi alimenti (g/100g) I pesci d’acqua dolce allevati rispetto a quelli catturati generalmente presentano un maggiore contenuto di acidi grassi polinsaturi della serie omega-6 e minore di omega-3. Questo perché nella formulazione dei mangimi commerciali per le specie ittiche allevate vengono utilizzati farine e oli di origine vegetale che contengono un’elevata percentuale di acidi grassi omega-6. Distribuzione olio di fegato di merluzzo (a.s. 1949-50) www.museodellascuola.it/omega-3/
  • 12.
    Alborella Coregone LuccioPersico Tinca Acqua 72,9 71,3 79,2 79,1 79,2 Proteine 18,9 21,4 18,9 19,0 18,8 Lipidi 4,5 6,0 0,5 0,6 0,8 Acidi grassi Acidi grassi % sul totale degli acidi grassi Saturi 23,4 30,9 35,9 37,4 31,8 Monoinsaturi 47,2 31,5 12,3 12,2 21,6 Polinsaturi 29,3 37,6 51,9 50,4 46,6 Omega-3 15,4 28,0 42,1 38,4 30,1 Omega-6 13,9 9,6 9,8 12,0 16,5 Omega-3 /Omega-6 1,1 2,9 4,3 3,2 1,8 VALORI NUTRIZIONALI (100 g di parte edibile)
  • 13.
    Trota Iridea Valori nutrizionaliper 1 filetto (100 g) Energia 141Kcal Proteine 19,94 g Carboidrati 0 Zuccheri 0 Grassi 6,18 g Saturi 1,383 g Monoinsaturi 1,979 g Polinsaturi 1,507 g Colesterolo 59 mg Fibra alimentare 0 Sodio 51 mg Trota Iridea Salmonata (da allevamento) Valori nutrizionali per 1 filetto (100 g) Energia 109 kcal Proteine 16,49 g Carboidrati 0 Zuccheri 0 Grassi 4,27 g Grassi Saturi 1,228 g Grassi Monoinsaturi 1,216 g Grassi Polinsaturi 1,426 g Colesterolo 47 mg Fibra 0 Sodio 28 mg Potassio 356 mg
  • 14.
    I carboidrati (glicogeno)neipesci sono normalmente meno dello 0,5 %. CARBOIDRATI VITAMINE Tutte le vitamine liposolubili (A,D,E, K) e quelle idrosolubili (vitamine del gruppo B e vitamina C) sono presenti in concentrazioni variabile da specie a specie. Le vitamine liposolubili sono riscontrabili nel tessuto muscolare dei pesci grassi e nel fegato dei pesci magri. I sali minerali maggiormente presenti sono il calcio e il fosforo, e in quelli di mare anche lo iodio. Il ferro è contenuto in minore quantità rispetto alle carni. SALI MINERALI
  • 15.