CHIKA RAHAYU
SELVI IRMAWARNI
LENI MAIMUNA
STATISTIKA ANOVA FAKTORIAL
MAGISTER PENDIDIKAN MATEMATIKA
UNIVERSITAS SRIWIJAYA
2016
ANOVA FAKTORIAL
KAPAN KITA MENGGUNAKAN ANOVA FAKTORIAL /
ANOVA DUA ARAH ??
Anova dua arah ini digunakan bila sumber keragaman
yang terjadi tidak hanya karena satu faktor (perlakuan).
FAKTOR YANG BAGAIMANA?
Faktor yang mungkin menjadi sumber keragaman
respon ATAU Faktor lain bisa berupa perlakuan lain
yang sudah terkondisikan. Pertimbangan memasukkan
faktor kedua sebagai sumber keragaman ini perlu bila
faktor itu dikelompokkan, sehingga keragaman antar
kelompok sangat besar,, tetapi kecil dalam
kelompoknya sendiri
•Jenis Anova Dua Arah
Anova Dua Arah tanpa Interaksi
Anova Dua Arah dengan Interaksi
Anova Dua Arah tanpa Interaksi
Tabel Anova Dua Arah tanpa Interaksi
Sumber
Varians
Jumlah
kuadrat
Derajat
bebas
Rata-rata
kuadrat
fo
Rata-Rata
Baris
JKB b - 1
Rata-Rata
Kolom
JKK k - 1
Error JKE (b -1)(k-1)
Total JKT bk -1
Jumlah Kuadrat Total
Jumlah Kuadrat Baris
JKB =
Jumlah Kuadrat kolom JKK =
Jumlah Kuadrat Eror
Berikut data hasil ujian siswa untuk 4 mata pelajaran dengan 3
kriteria penilaian, yaitu ujian lisan, ujian tulisan, ujian lisan
dan tulisan.
Dengan taraf nyata 5%, ujilah apakah rata-rata hasil perhektar sama untuk :
•Jenis ujian (pada baris),
•Jenis mata pelajaran (pada kolom).
matematika fisika kimia Biologi
4 6 7 8 25
9 8 10 7 34
6 7 6 5 24
19 21 23 20 83
•Hipotesis
•Taraf nyata
a ) Untuk baris b) Untuk kolom
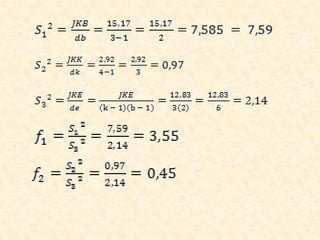
•Perhitungan
matematik
a
fisika kimia Biologi
4 6 7 8 25
9 8 10 7 34
6 7 6 5 24
19 21 23 20 83
•Kesimpulan
dikarenakan
Maka
diterima. Jadi, rata-rata hasil ujian sama untuk ketiga jenis penilaian tersebut
Karena
Maka
diterima. Jadi, rata-rata hasil ujian sama untuk setiap mata pelajaran
Anova Dua Arah dengan Interaksi
Tabel Anova Dua Arah dengan Interaksi
Sumber Varians Jumlah
kuadrat
Derajat bebas Rata-rata
kuadrat
fo
Rata-Rata Baris JKB b - 1
Rata-Rata Kolom JKK k - 1
Interaksi JK (BK) (k-1)(b-1)
Error JKE (b k)(n-1
Total JKT n-1
Jumlah Kuadrat Total
Jumlah Kuadrat Baris JKB =
Jumlah Kuadrat kolom
Jumlah kuadrat bagi interaksi Baris Kolom
JKK =
Jumlah Kuadrat Eror
JK(BK) =
Empat sekolah (2 negeri dan 2 swasta) akan dibandingkan hasil
try out pelajaran matematikanya dengan melihat waktu (lama)
pemberian les (pelajaran tambahan). Percobaan dilakukan
menggunakan 8 kelas yang kemampuan siswanya seragam.
Disetiap sekolah, dicobakan pada 2 kelas yang ditentukan secara
acak.
Lama
pemberian les
sekolah
Total
V1 V2 V3 V4
P1
64
81
72
51
74
70
66
64
542
P2
65
63
65
43
57
58
47
58
456
P3
68
75
71
71
68
61
79
69
562
Mempermudah dalam penyelesaian,
masing-masing dijumlahkan terlebih dahulu , b = 3, k = 4, n = 2
•Menentukan Hipotesis
•Taraf nyata yang digunakan adalah 5% = 0,05
PERHITUNGAN
Kesimpulan
Terdapat perbedaan antara rata-rata nilai try out untuk lama pemberian LES,
tidak ada beda hasil TO rata-rata untuk ke-empat sekolah dan tidak ada interaksi
antara lama pemberian LES dengan jenis sekolah.
Anova faktorial magister

Anova faktorial magister

  • 1.
    CHIKA RAHAYU SELVI IRMAWARNI LENIMAIMUNA STATISTIKA ANOVA FAKTORIAL MAGISTER PENDIDIKAN MATEMATIKA UNIVERSITAS SRIWIJAYA 2016
  • 2.
    ANOVA FAKTORIAL KAPAN KITAMENGGUNAKAN ANOVA FAKTORIAL / ANOVA DUA ARAH ?? Anova dua arah ini digunakan bila sumber keragaman yang terjadi tidak hanya karena satu faktor (perlakuan). FAKTOR YANG BAGAIMANA? Faktor yang mungkin menjadi sumber keragaman respon ATAU Faktor lain bisa berupa perlakuan lain yang sudah terkondisikan. Pertimbangan memasukkan faktor kedua sebagai sumber keragaman ini perlu bila faktor itu dikelompokkan, sehingga keragaman antar kelompok sangat besar,, tetapi kecil dalam kelompoknya sendiri
  • 3.
    •Jenis Anova DuaArah Anova Dua Arah tanpa Interaksi Anova Dua Arah dengan Interaksi
  • 4.
    Anova Dua Arahtanpa Interaksi Tabel Anova Dua Arah tanpa Interaksi Sumber Varians Jumlah kuadrat Derajat bebas Rata-rata kuadrat fo Rata-Rata Baris JKB b - 1 Rata-Rata Kolom JKK k - 1 Error JKE (b -1)(k-1) Total JKT bk -1
  • 5.
    Jumlah Kuadrat Total JumlahKuadrat Baris JKB = Jumlah Kuadrat kolom JKK = Jumlah Kuadrat Eror
  • 6.
    Berikut data hasilujian siswa untuk 4 mata pelajaran dengan 3 kriteria penilaian, yaitu ujian lisan, ujian tulisan, ujian lisan dan tulisan. Dengan taraf nyata 5%, ujilah apakah rata-rata hasil perhektar sama untuk : •Jenis ujian (pada baris), •Jenis mata pelajaran (pada kolom). matematika fisika kimia Biologi 4 6 7 8 25 9 8 10 7 34 6 7 6 5 24 19 21 23 20 83
  • 7.
    •Hipotesis •Taraf nyata a )Untuk baris b) Untuk kolom
  • 8.
    •Perhitungan matematik a fisika kimia Biologi 46 7 8 25 9 8 10 7 34 6 7 6 5 24 19 21 23 20 83
  • 10.
    •Kesimpulan dikarenakan Maka diterima. Jadi, rata-ratahasil ujian sama untuk ketiga jenis penilaian tersebut Karena Maka diterima. Jadi, rata-rata hasil ujian sama untuk setiap mata pelajaran
  • 11.
    Anova Dua Arahdengan Interaksi Tabel Anova Dua Arah dengan Interaksi Sumber Varians Jumlah kuadrat Derajat bebas Rata-rata kuadrat fo Rata-Rata Baris JKB b - 1 Rata-Rata Kolom JKK k - 1 Interaksi JK (BK) (k-1)(b-1) Error JKE (b k)(n-1 Total JKT n-1
  • 12.
    Jumlah Kuadrat Total JumlahKuadrat Baris JKB = Jumlah Kuadrat kolom Jumlah kuadrat bagi interaksi Baris Kolom JKK = Jumlah Kuadrat Eror JK(BK) =
  • 13.
    Empat sekolah (2negeri dan 2 swasta) akan dibandingkan hasil try out pelajaran matematikanya dengan melihat waktu (lama) pemberian les (pelajaran tambahan). Percobaan dilakukan menggunakan 8 kelas yang kemampuan siswanya seragam. Disetiap sekolah, dicobakan pada 2 kelas yang ditentukan secara acak. Lama pemberian les sekolah Total V1 V2 V3 V4 P1 64 81 72 51 74 70 66 64 542 P2 65 63 65 43 57 58 47 58 456 P3 68 75 71 71 68 61 79 69 562
  • 14.
    Mempermudah dalam penyelesaian, masing-masingdijumlahkan terlebih dahulu , b = 3, k = 4, n = 2 •Menentukan Hipotesis
  • 15.
    •Taraf nyata yangdigunakan adalah 5% = 0,05
  • 16.
  • 17.
    Kesimpulan Terdapat perbedaan antararata-rata nilai try out untuk lama pemberian LES, tidak ada beda hasil TO rata-rata untuk ke-empat sekolah dan tidak ada interaksi antara lama pemberian LES dengan jenis sekolah.