Embed presentation
Download to read offline






























































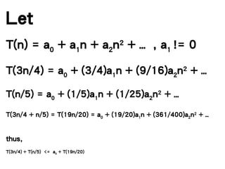
This document summarizes selection algorithms and the 1-center problem. The selection algorithm uses a prune and search approach. It recursively partitions the dataset into subsets based on the median, pruning away elements that are guaranteed to be outside the desired rank. This results in a linear time complexity of O(n). The 1-center problem finds the smallest circle enclosing a set of points. A constrained version restricts the center to a given line. The algorithm works by forming point pairs, computing bisectors, and recursively pruning points outside the optimal region. By tracking the sign of distances to farthest points, the full 2D solution can also be obtained in linear time by recursively considering constrained subproblems on the x





























































