Relationships Between
Binomial Coefficients
Relationships Between
       Binomial Coefficients
Binomial Theorem
Relationships Between
        Binomial Coefficients
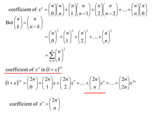
                               n
Binomial Theorem 1  x n 
                              n
                                 Ck x k
                              k 0
Relationships Between
        Binomial Coefficients
                               n
Binomial Theorem 1  x n 
                              n
                                 Ck x k
                              k 0

                             nC0  nC1 x  nC2 x 2   nCk x k   nCn x n
Relationships Between
           Binomial Coefficients
                                  n
 Binomial Theorem 1  x n 
                               n
                                  Ck x k
                                 k 0

                                nC0  nC1 x  nC2 x 2   nCk x k   nCn x n
e.g. (i) Find the values of;
    n
 a) nCk
   k 1
Relationships Between
              Binomial Coefficients
                                      n
 Binomial Theorem 1  x n 
                               n
                                  Ck x k
                                     k 0

                                    nC0  nC1 x  nC2 x 2   nCk x k   nCn x n
e.g. (i) Find the values of;
    n                                  n
 a) Ck   n
                         1  x    nCk x k
                               n

   k 1                               k 0
Relationships Between
              Binomial Coefficients
                                        n
 Binomial Theorem 1  x n 
                               n
                                  Ck x k
                                       k 0

                                      nC0  nC1 x  nC2 x 2   nCk x k   nCn x n
e.g. (i) Find the values of;
    n                                    n
 a) Ck   n
                           1  x    nCk x k
                                 n

   k 1                                 k 0
                                          n
              let x = 1;   1  1n   nCk 1k
                                        k 0
Relationships Between
              Binomial Coefficients
                                        n
 Binomial Theorem 1  x n 
                               n
                                  Ck x k
                                       k 0

                                      nC0  nC1 x  nC2 x 2   nCk x k   nCn x n
e.g. (i) Find the values of;
    n                                    n
 a) Ck   n
                           1  x    nCk x k
                                 n

   k 1                                 k 0
                                          n
              let x = 1;   1  1n   nCk 1k
                                        k 0
                                        n
                               2 n   nCk
                                       k 0
Relationships Between
              Binomial Coefficients
                                        n
 Binomial Theorem 1  x n 
                               n
                                  Ck x k
                                       k 0

                                      nC0  nC1 x  nC2 x 2   nCk x k   nCn x n
e.g. (i) Find the values of;
    n                                    n
 a) Ck   n
                           1  x    nCk x k
                                 n

   k 1                                 k 0
                                          n
              let x = 1;   1  1n   nCk 1k
                                        k 0
                                        n
                               2 n   nCk
                                       k 0
                                                n
                                2 n  n C0   n C k
                                               k 1
Relationships Between
              Binomial Coefficients
                                       n
 Binomial Theorem 1  x n 
                               n
                                  Ck x k
                                      k 0

                                     nC0  nC1 x  nC2 x 2   nCk x k   nCn x n
e.g. (i) Find the values of;
    n                                   n
 a) Ck
                                                              n
          n
                           1  x    Ck x
                                n             n          k
                                                                   n
                                                                        C k  2 n  n C0
   k 1                                k 0                  k 1
                                         n
              let x = 1;   1  1n   nCk 1k
                                       k 0
                                       n
                               2 n   nCk
                                      k 0
                                                   n
                               2 n  n C0   n C k
                                                  k 1
Relationships Between
              Binomial Coefficients
                                       n
 Binomial Theorem 1  x n 
                               n
                                  Ck x k
                                      k 0

                                     nC0  nC1 x  nC2 x 2   nCk x k   nCn x n
e.g. (i) Find the values of;
    n                                   n
 a) Ck
                                                              n
          n
                           1  x    Ck x
                                n             n          k
                                                                    n
                                                                         C k  2 n  n C0
   k 1                                k 0                  k 1
                                         n                      n
              let x = 1;   1  1n   nCk 1k                      n
                                                                         Ck  2 n  1
                                       k 0                   k 1
                                       n
                               2 n   nCk
                                      k 0
                                                   n
                               2 n  n C0   n C k
                                                  k 1
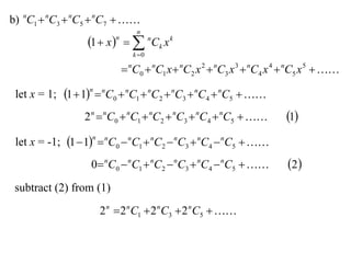
b) nC1  nC3  nC5  nC7  
b) nC1  nC3  nC5  nC7  
                            n
                 1  x    nCk x k
                       n

                           k 0
b) nC1  nC3  nC5  nC7  
                               n
                 1  x    nCk x k
                       n

                              k 0

                            nC0  nC1 x  nC2 x 2  nC3 x 3  nC4 x 4  nC5 x 5  
b) nC1  nC3  nC5  nC7  
                                n
                  1  x    nCk x k
                        n

                               k 0

                             nC0  nC1 x  nC2 x 2  nC3 x 3  nC4 x 4  nC5 x 5  

 let x = 1; 1  1  nC0  nC1  nC2  nC3  nC4  nC5  
                  n
b) nC1  nC3  nC5  nC7  
                                n
                  1  x    nCk x k
                        n

                               k 0

                             nC0  nC1 x  nC2 x 2  nC3 x 3  nC4 x 4  nC5 x 5  

 let x = 1; 1  1  nC0  nC1  nC2  nC3  nC4  nC5  
                  n



                 2 n  nC0  nC1  nC2  nC3  nC4  nC5            1
b) nC1  nC3  nC5  nC7  
                                n
                  1  x    nCk x k
                        n

                               k 0

                             nC0  nC1 x  nC2 x 2  nC3 x 3  nC4 x 4  nC5 x 5  

 let x = 1; 1  1  nC0  nC1  nC2  nC3  nC4  nC5  
                  n



                 2 n  nC0  nC1  nC2  nC3  nC4  nC5            1
 let x = -1; 1  1  nC0  nC1  nC2  nC3  nC4  nC5  
                   n
b) nC1  nC3  nC5  nC7  
                                n
                  1  x    nCk x k
                        n

                               k 0

                             nC0  nC1 x  nC2 x 2  nC3 x 3  nC4 x 4  nC5 x 5  

 let x = 1; 1  1  nC0  nC1  nC2  nC3  nC4  nC5  
                  n



                 2 n  nC0  nC1  nC2  nC3  nC4  nC5            1
 let x = -1; 1  1  nC0  nC1  nC2  nC3  nC4  nC5  
                   n



                  0 nC0  nC1  nC2  nC3  nC4  nC5               2 
b) nC1  nC3  nC5  nC7  
                                 n
                  1  x    nCk x k
                         n

                                k 0

                              nC0  nC1 x  nC2 x 2  nC3 x 3  nC4 x 4  nC5 x 5  

 let x = 1; 1  1  nC0  nC1  nC2  nC3  nC4  nC5  
                  n



                 2 n  nC0  nC1  nC2  nC3  nC4  nC5             1
 let x = -1; 1  1  nC0  nC1  nC2  nC3  nC4  nC5  
                   n



                  0 nC0  nC1  nC2  nC3  nC4  nC5                2 
 subtract (2) from (1)
b) nC1  nC3  nC5  nC7  
                                   n
                  1  x    nCk x k
                           n

                                  k 0

                                nC0  nC1 x  nC2 x 2  nC3 x 3  nC4 x 4  nC5 x 5  

 let x = 1; 1  1  nC0  nC1  nC2  nC3  nC4  nC5  
                  n



                 2 n  nC0  nC1  nC2  nC3  nC4  nC5               1
 let x = -1; 1  1  nC0  nC1  nC2  nC3  nC4  nC5  
                   n



                  0 nC0  nC1  nC2  nC3  nC4  nC5                  2 
 subtract (2) from (1)
                       2 n  2 n C1  2 n C3  2 n C5  
b) nC1  nC3  nC5  nC7  
                                   n
                  1  x    nCk x k
                           n

                                  k 0

                                nC0  nC1 x  nC2 x 2  nC3 x 3  nC4 x 4  nC5 x 5  

 let x = 1; 1  1  nC0  nC1  nC2  nC3  nC4  nC5  
                  n



                 2 n  nC0  nC1  nC2  nC3  nC4  nC5               1
 let x = -1; 1  1  nC0  nC1  nC2  nC3  nC4  nC5  
                   n



                  0 nC0  nC1  nC2  nC3  nC4  nC5                  2 
 subtract (2) from (1)
                       2 n  2 n C1  2 n C3  2 n C5  

                      2 n 1  nC1  nC3  nC5  
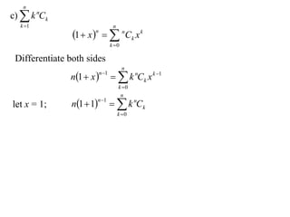
n
c)  k nCk
  k 1
n
c)  k nCk
  k 1                  n
             1  x    nCk x k
                   n

                       k 0
n
c)  k nCk
  k 1                       n
                1  x    nCk x k
                      n

                            k 0

 Differentiate both sides
n
c)  k nCk
  k 1                            n
                1  x    nCk x k
                      n

                                 k 0

 Differentiate both sides
                                        n
               n1  x            k nCk x k 1
                          n 1

                                      k 0
n
c)  k nCk
  k 1                            n
                1  x    nCk x k
                      n

                                 k 0

 Differentiate both sides
                                        n
               n1  x            k nCk x k 1
                          n 1

                                      k 0
                                       n
               n1  1            k nCk
                       n 1
let x = 1;
                                      k 0
n
c)  k nCk
  k 1                             n
                1  x    nCk x k
                       n

                                  k 0

 Differentiate both sides
                                         n
               n1  x             k nCk x k 1
                           n 1

                                       k 0
                                        n
               n1  1             k nCk
                       n 1
let x = 1;
                                       k 0
                                                  n
                  n 2           0  C0   k nCk
                          n 1               n

                                                 k 1
n
c)  k nCk
  k 1                              n
                1  x    nCk x k
                        n

                                   k 0

 Differentiate both sides
                                          n
               n1  x              k nCk x k 1
                            n 1

                                        k 0
                                         n
               n1  1              k nCk
                            n 1
let x = 1;
                                        k 0
                                                          n
                  n 2            0  C0   k nCk
                            n 1              n

                                                         k 1
                  n

                 k C               n 2 
                        n                         n 1
                              k
                 k 1
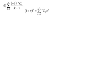
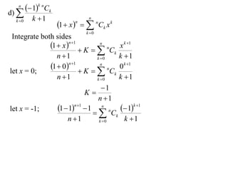
n
          1k nCk
d) 
  k 0     k 1
n
          1k nCk
d) 
           k 1                  n
                      1  x    nCk x k
  k 0                      n

                                k 0
n
          1k nCk
d) 
           k 1                  n
                      1  x    nCk x k
  k 0                      n

                                k 0
Integrate both sides
n
          1k nCk
d) 
           k 1                  n
                      1  x    nCk x k
  k 0                      n

                                k 0
Integrate both sides
             1  x n1         n
                                      x k 1
                          K   Ck n

                n 1           k 0   k 1
n
          1k nCk
d) 
           k 1                  n
                      1  x    nCk x k
  k 0                      n

                                k 0
 Integrate both sides
              1  x n1         n
                                             x k 1
                           K   nCk
                 n 1           k 0         k 1
              1  0n 1         n
                                             0 k 1
let x = 0;                 K   nCk
                 n 1           k 0         k 1
n
          1k nCk
d) 
           k 1                  n
                      1  x    nCk x k
  k 0                      n

                                k 0
 Integrate both sides
              1  x n1         n
                                             x k 1
                           K   nCk
                 n 1           k 0         k 1
              1  0n 1         n
                                             0 k 1
let x = 0;                 K   nCk
                 n 1           k 0         k 1
                                  1
                            K
                                n 1
n
          1k nCk
d) 
           k 1                  n
                      1  x    nCk x k
  k 0                      n

                                k 0
 Integrate both sides
              1  x n1  K  n nC x k 1
                 n 1
                                   k k 1
                                  k 0

              1  0n 1  K  n nC 0 k 1
let x = 0;
                 n 1
                                   k k 1
                                  k 0

                                    1
                             K
                                  n 1
                 1  1n 1  1  n nC  1k 1
                                    k k 1
let x = -1;
                      n 1         k 0
n
          1k nCk
d) 
           k 1                  n
                      1  x    nCk x k
  k 0                      n

                                k 0
 Integrate both sides
              1  x n1  K  n nC x k 1
                  n 1
                                    k k 1
                                   k 0

               1  0n 1  K  n nC 0 k 1
let x = 0;
                  n 1
                                    k k 1
                                   k 0

                                     1
                              K
                                   n 1
                  1  1n 1  1  n nC  1k 1
                                     k k 1
let x = -1;
                      n 1          k 0
               n
                        1k 1   1
              Ck k  1 n  1
             k 0
                  n
n
          1k nCk
d) 
           k 1                       n
                          1  x    nCk x k
  k 0                          n

                                    k 0
 Integrate both sides
              1  x n1  K  n nC x k 1
                  n 1
                                    k k 1
                                   k 0

               1  0n 1  K  n nC 0 k 1
let x = 0;
                  n 1
                                    k k 1
                                   k 0

                                     1
                              K
                                   n 1
                  1  1n 1  1  n nC  1k 1
                                     k k 1
let x = -1;
                      n 1          k 0
               n
                        1k 1   1
              Ck k  1 n  1
             k 0
                  n



                      n
                        1k  1
                   Ck
                   n

                  k 0         k 1        n 1
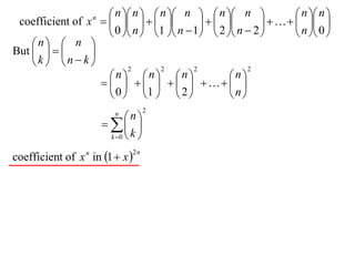
ii  By equating the coefficients of x n on both sides of the identity;
                       1  x  1  x   1  x 
                               n        n          2n
   show that;
                     n  2n !
                n     2

                 k   n!2
               k 0 
                        
ii  By equating the coefficients of x n on both sides of the identity;
                       1  x n 1  x n  1  x 2 n
    show that;
                        n  2n !
                       n   2

                    k   n!2
                           
                n k 0 
  1  x n     nCk x k
                k 0
ii  By equating the coefficients of x n on both sides of the identity;
                       1  x n 1  x n  1  x 2 n
    show that;
                        n  2n !
                        n   2

                    k   n!2
                           
                n k 0 
  1  x n     nCk x k
                 k 0

               C  nC1 x  nC2 x 2   nCn  2 x n  2  nCn 1 x n 1  nCn x n
                n
                    0
ii  By equating the coefficients of x n on both sides of the identity;
                       1  x n 1  x n  1  x 2 n
    show that;
                        n  2n !
                       n   2

                    k   n!2
                           
                n k 0 
  1  x n     nCk x k
                k 0

           C  nC1 x  nC2 x 2   nCn  2 x n  2  nCn 1 x n 1  nCn x n
               n
                   0
  coefficient of x n in 1  x  1  x 
                                n        n
ii  By equating the coefficients of x n on both sides of the identity;
                       1  x n 1  x n  1  x 2 n
    show that;
                        n  2n !
                       n   2

                    k   n!2
                           
                n k 0 
  1  x n     nCk x k
                k 0

           C  nC1 x  nC2 x 2   nCn  2 x n  2  nCn 1 x n 1  nCn x n
               n
                   0
  coefficient of x n in 1  x  1  x 
                                n        n


       nC0  nC1 x nC2 x 2   nCn2 x n2  nCn1 x n1  nCn x n 

                    nC0  nC1 x  nC2 x 2   nCn2 x n2  nCn1 x n1  nCn x n 
ii  By equating the coefficients of x n on both sides of the identity;
                       1  x n 1  x n  1  x 2 n
    show that;
                        n  2n !
                       n      2

                    k   n!2
                           
                n k 0 
  1  x n     nCk x k
                k 0

           C  nC1 x  nC2 x 2   nCn  2 x n  2  nCn 1 x n 1  nCn x n
               n
                   0
  coefficient of x n in 1  x  1  x 
                                n        n


       nC0  nC1 x nC2 x 2   nCn2 x n2  nCn1 x n1  nCn x n 

                     nC0  nC1 x  nC2 x 2   nCn2 x n2  nCn1 x n1  nCn x n 
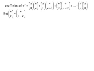
     n  n  n
      x
     0  n 
                                n  n2  n  2  n  n1  n   n  n  n 
                                  x  x         x  x   x  
                                n  2  2      n  1  1   n   0 
ii  By equating the coefficients of x n on both sides of the identity;
                       1  x n 1  x n  1  x 2 n
    show that;
                        n  2n !
                       n   2

                    k   n!2
                           
                n k 0 
  1  x n     nCk x k
                k 0

           C  nC1 x  nC2 x 2   nCn  2 x n  2  nCn 1 x n 1  nCn x n
               n
                   0
  coefficient of x n in 1  x  1  x 
                                n        n


       nC0  nC1 x nC2 x 2   nCn2 x n2  nCn1 x n1  nCn x n 

                  nC0  nC1 x  nC2 x 2   nCn2 x n2  nCn1 x n1  nCn x n 
     n  n  n  n   n  n1
      x    x          x
     0  n  1   n  1
ii  By equating the coefficients of x n on both sides of the identity;
                       1  x n 1  x n  1  x 2 n
    show that;
                        n  2n !
                       n   2

                    k   n!2
                           
                n k 0 
  1  x n     nCk x k
                k 0

           C  nC1 x  nC2 x 2   nCn  2 x n  2  nCn 1 x n 1  nCn x n
               n
                   0
  coefficient of x n in 1  x  1  x 
                                n        n


       nC0  nC1 x nC2 x 2   nCn2 x n2  nCn1 x n1  nCn x n 

                  nC0  nC1 x  nC2 x 2   nCn2 x n2  nCn1 x n1  nCn x n 
     n  n  n  n   n  n1  n  2  n  n2
      x    x          x   x             x
     0  n  1   n  1              2  n  2
ii  By equating the coefficients of x n on both sides of the identity;
                       1  x n 1  x n  1  x 2 n
    show that;
                        n  2n !
                       n   2

                    k   n!2
                           
                n k 0 
  1  x n     nCk x k
                k 0

           C  nC1 x  nC2 x 2   nCn  2 x n  2  nCn 1 x n 1  nCn x n
               n
                   0
  coefficient of x n in 1  x  1  x 
                                n        n


       nC0  nC1 x nC2 x 2   nCn2 x n2  nCn1 x n1  nCn x n 

                  nC0  nC1 x  nC2 x 2   nCn2 x n2  nCn1 x n1  nCn x n 
     n  n  n  n   n  n1  n  2  n  n2
      x    x          x   x             x
     0  n  1   n  1              2  n  2
                             n  n2  n  2  n  n1  n   n  n  n 
                                x  x              x  x   x  
                             n  2       2      n  1      1   n   0 
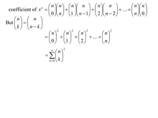
 n  n   n  n   n  n               n  n 
coefficient of x       
                 n
                                                         
                    0  n  1  n  1  2  n  2         n  0 
 n  n   n  n   n  n               n  n 
 coefficient of x       
                  n
                                                          
                     0  n  1  n  1  2  n  2         n  0 
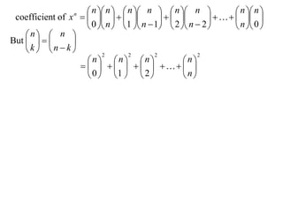
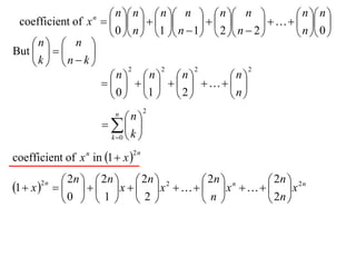
    n  n 
But          
    k  n  k 
 n  n   n  n   n  n               n  n 
 coefficient of x       
                   n
                                                           
                      0  n  1  n  1  2  n  2         n  0 
    n  n 
But          
    k  n  k          2       2       2             2
                      n n n                   n
                              
                      0  1   2               n
 n  n   n  n   n  n               n  n 
 coefficient of x       
                   n
                                                           
                      0  n  1  n  1  2  n  2         n  0 
    n  n 
But          
    k  n  k          2       2       2             2
                      n n n                   n
                              
                      0  1   2               n
                                      2
                           n
                              n
                         
                         k 0  k 
 n  n   n  n   n  n               n  n 
 coefficient of x       
                   n
                                                           
                      0  n  1  n  1  2  n  2         n  0 
    n  n 
But          
    k  n  k          2       2       2             2
                      n n n                   n
                              
                      0  1   2               n
                                      2
                           n
                              n
                         
                         k 0  k 


coefficient of x n in 1  x 
                                2n
 n  n   n  n   n  n               n  n 
 coefficient of x       
                   n
                                                           
                      0  n  1  n  1  2  n  2         n  0 
    n  n 
But          
    k  n  k          2       2       2             2
                      n n n                   n
                              
                      0  1   2               n
                                      2
                           n
                              n
                         
                         k 0  k 


coefficient of x n in 1  x 
                                2n



               2n   2n   2n  2   2n  n    2n  2 n
1  x 
       2n
                 x   x     x     x
              0   1   2         n         2n 
 n  n   n  n   n  n               n  n 
 coefficient of x       
                   n
                                                           
                      0  n  1  n  1  2  n  2         n  0 
    n  n 
But          
    k  n  k          2       2       2             2
                      n n n                   n
                              
                      0  1   2               n
                                      2
                           n
                              n
                         
                         k 0  k 


coefficient of x n in 1  x 
                                2n



               2n   2n   2n  2   2n  n    2n  2 n
1  x 
       2n
                 x   x     x     x
              0   1   2         n         2n 
 n  n   n  n   n  n               n  n 
 coefficient of x       
                   n
                                                           
                      0  n  1  n  1  2  n  2         n  0 
    n  n 
But          
    k  n  k          2       2       2             2
                      n n n                   n
                              
                      0  1   2               n
                                       2
                            n
                               n
                          
                          k 0  k 


coefficient of x n in 1  x 
                                 2n



               2n   2n   2n  2   2n  n    2n  2 n
1  x 
       2n
                 x   x     x     x
              0   1   2         n         2n 

                      2n 
  coefficient of x   
                    n

                     n
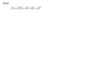
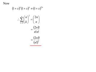
Now
      1  x n 1  x n  1  x 2 n
Now
      1  x n 1  x n  1  x 2 n
                       2
               n
                  n   2n 
                
            k 0  k  n
Now
      1  x n 1  x n  1  x 2 n
                       2
               n
                  n   2n 
                
            k 0  k  n
                               2n !
                           
                               n!n!
Now
      1  x n 1  x n  1  x 2 n
                       2
               n
                  n   2n 
                
            k 0  k  n
                               2n !
                           
                               n!n!
                             2n !
                           
                             n!2
Now
      1  x n 1  x n  1  x 2 n
                       2
               n
                  n   2n 
                
            k 0  k  n

                           
                               2n !      Exercise 5F;
                               n!n!       4, 5, 6, 8, 10,15
                             2n !
                           
                             n!2        + worksheets

12X1 T08 05 binomial coefficients

  • 1.
  • 2.
    Relationships Between Binomial Coefficients Binomial Theorem
  • 3.
    Relationships Between Binomial Coefficients n Binomial Theorem 1  x n   n Ck x k k 0
  • 4.
    Relationships Between Binomial Coefficients n Binomial Theorem 1  x n   n Ck x k k 0  nC0  nC1 x  nC2 x 2   nCk x k   nCn x n
  • 5.
    Relationships Between Binomial Coefficients n Binomial Theorem 1  x n   n Ck x k k 0  nC0  nC1 x  nC2 x 2   nCk x k   nCn x n e.g. (i) Find the values of; n a) nCk k 1
  • 6.
    Relationships Between Binomial Coefficients n Binomial Theorem 1  x n   n Ck x k k 0  nC0  nC1 x  nC2 x 2   nCk x k   nCn x n e.g. (i) Find the values of; n n a) Ck n 1  x    nCk x k n k 1 k 0
  • 7.
    Relationships Between Binomial Coefficients n Binomial Theorem 1  x n   n Ck x k k 0  nC0  nC1 x  nC2 x 2   nCk x k   nCn x n e.g. (i) Find the values of; n n a) Ck n 1  x    nCk x k n k 1 k 0 n let x = 1; 1  1n   nCk 1k k 0
  • 8.
    Relationships Between Binomial Coefficients n Binomial Theorem 1  x n   n Ck x k k 0  nC0  nC1 x  nC2 x 2   nCk x k   nCn x n e.g. (i) Find the values of; n n a) Ck n 1  x    nCk x k n k 1 k 0 n let x = 1; 1  1n   nCk 1k k 0 n 2 n   nCk k 0
  • 9.
    Relationships Between Binomial Coefficients n Binomial Theorem 1  x n   n Ck x k k 0  nC0  nC1 x  nC2 x 2   nCk x k   nCn x n e.g. (i) Find the values of; n n a) Ck n 1  x    nCk x k n k 1 k 0 n let x = 1; 1  1n   nCk 1k k 0 n 2 n   nCk k 0 n 2 n  n C0   n C k k 1
  • 10.
    Relationships Between Binomial Coefficients n Binomial Theorem 1  x n   n Ck x k k 0  nC0  nC1 x  nC2 x 2   nCk x k   nCn x n e.g. (i) Find the values of; n n a) Ck n n 1  x    Ck x n n k  n C k  2 n  n C0 k 1 k 0 k 1 n let x = 1; 1  1n   nCk 1k k 0 n 2 n   nCk k 0 n 2 n  n C0   n C k k 1
  • 11.
    Relationships Between Binomial Coefficients n Binomial Theorem 1  x n   n Ck x k k 0  nC0  nC1 x  nC2 x 2   nCk x k   nCn x n e.g. (i) Find the values of; n n a) Ck n n 1  x    Ck x n n k  n C k  2 n  n C0 k 1 k 0 k 1 n n let x = 1; 1  1n   nCk 1k  n Ck  2 n  1 k 0 k 1 n 2 n   nCk k 0 n 2 n  n C0   n C k k 1
  • 12.
    b) nC1 nC3  nC5  nC7  
  • 13.
    b) nC1 nC3  nC5  nC7   n 1  x    nCk x k n k 0
  • 14.
    b) nC1 nC3  nC5  nC7   n 1  x    nCk x k n k 0  nC0  nC1 x  nC2 x 2  nC3 x 3  nC4 x 4  nC5 x 5  
  • 15.
    b) nC1 nC3  nC5  nC7   n 1  x    nCk x k n k 0  nC0  nC1 x  nC2 x 2  nC3 x 3  nC4 x 4  nC5 x 5   let x = 1; 1  1  nC0  nC1  nC2  nC3  nC4  nC5   n
  • 16.
    b) nC1 nC3  nC5  nC7   n 1  x    nCk x k n k 0  nC0  nC1 x  nC2 x 2  nC3 x 3  nC4 x 4  nC5 x 5   let x = 1; 1  1  nC0  nC1  nC2  nC3  nC4  nC5   n 2 n  nC0  nC1  nC2  nC3  nC4  nC5   1
  • 17.
    b) nC1 nC3  nC5  nC7   n 1  x    nCk x k n k 0  nC0  nC1 x  nC2 x 2  nC3 x 3  nC4 x 4  nC5 x 5   let x = 1; 1  1  nC0  nC1  nC2  nC3  nC4  nC5   n 2 n  nC0  nC1  nC2  nC3  nC4  nC5   1 let x = -1; 1  1  nC0  nC1  nC2  nC3  nC4  nC5   n
  • 18.
    b) nC1 nC3  nC5  nC7   n 1  x    nCk x k n k 0  nC0  nC1 x  nC2 x 2  nC3 x 3  nC4 x 4  nC5 x 5   let x = 1; 1  1  nC0  nC1  nC2  nC3  nC4  nC5   n 2 n  nC0  nC1  nC2  nC3  nC4  nC5   1 let x = -1; 1  1  nC0  nC1  nC2  nC3  nC4  nC5   n 0 nC0  nC1  nC2  nC3  nC4  nC5   2 
  • 19.
    b) nC1 nC3  nC5  nC7   n 1  x    nCk x k n k 0  nC0  nC1 x  nC2 x 2  nC3 x 3  nC4 x 4  nC5 x 5   let x = 1; 1  1  nC0  nC1  nC2  nC3  nC4  nC5   n 2 n  nC0  nC1  nC2  nC3  nC4  nC5   1 let x = -1; 1  1  nC0  nC1  nC2  nC3  nC4  nC5   n 0 nC0  nC1  nC2  nC3  nC4  nC5   2  subtract (2) from (1)
  • 20.
    b) nC1 nC3  nC5  nC7   n 1  x    nCk x k n k 0  nC0  nC1 x  nC2 x 2  nC3 x 3  nC4 x 4  nC5 x 5   let x = 1; 1  1  nC0  nC1  nC2  nC3  nC4  nC5   n 2 n  nC0  nC1  nC2  nC3  nC4  nC5   1 let x = -1; 1  1  nC0  nC1  nC2  nC3  nC4  nC5   n 0 nC0  nC1  nC2  nC3  nC4  nC5   2  subtract (2) from (1) 2 n  2 n C1  2 n C3  2 n C5  
  • 21.
    b) nC1 nC3  nC5  nC7   n 1  x    nCk x k n k 0  nC0  nC1 x  nC2 x 2  nC3 x 3  nC4 x 4  nC5 x 5   let x = 1; 1  1  nC0  nC1  nC2  nC3  nC4  nC5   n 2 n  nC0  nC1  nC2  nC3  nC4  nC5   1 let x = -1; 1  1  nC0  nC1  nC2  nC3  nC4  nC5   n 0 nC0  nC1  nC2  nC3  nC4  nC5   2  subtract (2) from (1) 2 n  2 n C1  2 n C3  2 n C5   2 n 1  nC1  nC3  nC5  
  • 22.
    n c)  knCk k 1
  • 23.
    n c)  knCk k 1 n 1  x    nCk x k n k 0
  • 24.
    n c)  knCk k 1 n 1  x    nCk x k n k 0 Differentiate both sides
  • 25.
    n c)  knCk k 1 n 1  x    nCk x k n k 0 Differentiate both sides n n1  x    k nCk x k 1 n 1 k 0
  • 26.
    n c)  knCk k 1 n 1  x    nCk x k n k 0 Differentiate both sides n n1  x    k nCk x k 1 n 1 k 0 n n1  1   k nCk n 1 let x = 1; k 0
  • 27.
    n c)  knCk k 1 n 1  x    nCk x k n k 0 Differentiate both sides n n1  x    k nCk x k 1 n 1 k 0 n n1  1   k nCk n 1 let x = 1; k 0 n n 2  0  C0   k nCk n 1 n k 1
  • 28.
    n c)  knCk k 1 n 1  x    nCk x k n k 0 Differentiate both sides n n1  x    k nCk x k 1 n 1 k 0 n n1  1   k nCk n 1 let x = 1; k 0 n n 2  0  C0   k nCk n 1 n k 1 n k C  n 2  n n 1 k k 1
  • 29.
    n  1k nCk d)  k 0 k 1
  • 30.
    n  1k nCk d)  k 1 n 1  x    nCk x k k 0 n k 0
  • 31.
    n  1k nCk d)  k 1 n 1  x    nCk x k k 0 n k 0 Integrate both sides
  • 32.
    n  1k nCk d)  k 1 n 1  x    nCk x k k 0 n k 0 Integrate both sides 1  x n1 n x k 1  K   Ck n n 1 k 0 k 1
  • 33.
    n  1k nCk d)  k 1 n 1  x    nCk x k k 0 n k 0 Integrate both sides 1  x n1 n x k 1  K   nCk n 1 k 0 k 1 1  0n 1 n 0 k 1 let x = 0;  K   nCk n 1 k 0 k 1
  • 34.
    n  1k nCk d)  k 1 n 1  x    nCk x k k 0 n k 0 Integrate both sides 1  x n1 n x k 1  K   nCk n 1 k 0 k 1 1  0n 1 n 0 k 1 let x = 0;  K   nCk n 1 k 0 k 1 1 K n 1
  • 35.
    n  1k nCk d)  k 1 n 1  x    nCk x k k 0 n k 0 Integrate both sides 1  x n1  K  n nC x k 1 n 1  k k 1 k 0 1  0n 1  K  n nC 0 k 1 let x = 0; n 1  k k 1 k 0 1 K n 1 1  1n 1  1  n nC  1k 1  k k 1 let x = -1; n 1 k 0
  • 36.
    n  1k nCk d)  k 1 n 1  x    nCk x k k 0 n k 0 Integrate both sides 1  x n1  K  n nC x k 1 n 1  k k 1 k 0 1  0n 1  K  n nC 0 k 1 let x = 0; n 1  k k 1 k 0 1 K n 1 1  1n 1  1  n nC  1k 1  k k 1 let x = -1; n 1 k 0 n  1k 1   1  Ck k  1 n  1 k 0 n
  • 37.
    n  1k nCk d)  k 1 n 1  x    nCk x k k 0 n k 0 Integrate both sides 1  x n1  K  n nC x k 1 n 1  k k 1 k 0 1  0n 1  K  n nC 0 k 1 let x = 0; n 1  k k 1 k 0 1 K n 1 1  1n 1  1  n nC  1k 1  k k 1 let x = -1; n 1 k 0 n  1k 1   1  Ck k  1 n  1 k 0 n n  1k  1  Ck n k 0 k 1 n 1
  • 38.
    ii  Byequating the coefficients of x n on both sides of the identity; 1  x  1  x   1  x  n n 2n show that;  n  2n ! n 2   k   n!2 k 0  
  • 39.
    ii  Byequating the coefficients of x n on both sides of the identity; 1  x n 1  x n  1  x 2 n show that;  n  2n ! n 2   k   n!2  n k 0  1  x n   nCk x k k 0
  • 40.
    ii  Byequating the coefficients of x n on both sides of the identity; 1  x n 1  x n  1  x 2 n show that;  n  2n ! n 2   k   n!2  n k 0  1  x n   nCk x k k 0  C  nC1 x  nC2 x 2   nCn  2 x n  2  nCn 1 x n 1  nCn x n n 0
  • 41.
    ii  Byequating the coefficients of x n on both sides of the identity; 1  x n 1  x n  1  x 2 n show that;  n  2n ! n 2   k   n!2  n k 0  1  x n   nCk x k k 0  C  nC1 x  nC2 x 2   nCn  2 x n  2  nCn 1 x n 1  nCn x n n 0 coefficient of x n in 1  x  1  x  n n
  • 42.
    ii  Byequating the coefficients of x n on both sides of the identity; 1  x n 1  x n  1  x 2 n show that;  n  2n ! n 2   k   n!2  n k 0  1  x n   nCk x k k 0  C  nC1 x  nC2 x 2   nCn  2 x n  2  nCn 1 x n 1  nCn x n n 0 coefficient of x n in 1  x  1  x  n n  nC0  nC1 x nC2 x 2   nCn2 x n2  nCn1 x n1  nCn x n    nC0  nC1 x  nC2 x 2   nCn2 x n2  nCn1 x n1  nCn x n 
  • 43.
    ii  Byequating the coefficients of x n on both sides of the identity; 1  x n 1  x n  1  x 2 n show that;  n  2n ! n 2   k   n!2  n k 0  1  x n   nCk x k k 0  C  nC1 x  nC2 x 2   nCn  2 x n  2  nCn 1 x n 1  nCn x n n 0 coefficient of x n in 1  x  1  x  n n  nC0  nC1 x nC2 x 2   nCn2 x n2  nCn1 x n1  nCn x n    nC0  nC1 x  nC2 x 2   nCn2 x n2  nCn1 x n1  nCn x n   n  n  n     x  0  n   n  n2  n  2  n  n1  n   n  n  n    x  x   x  x   x    n  2 2  n  1 1   n   0 
  • 44.
    ii  Byequating the coefficients of x n on both sides of the identity; 1  x n 1  x n  1  x 2 n show that;  n  2n ! n 2   k   n!2  n k 0  1  x n   nCk x k k 0  C  nC1 x  nC2 x 2   nCn  2 x n  2  nCn 1 x n 1  nCn x n n 0 coefficient of x n in 1  x  1  x  n n  nC0  nC1 x nC2 x 2   nCn2 x n2  nCn1 x n1  nCn x n    nC0  nC1 x  nC2 x 2   nCn2 x n2  nCn1 x n1  nCn x n   n  n  n  n   n  n1     x    x x  0  n  1   n  1
  • 45.
    ii  Byequating the coefficients of x n on both sides of the identity; 1  x n 1  x n  1  x 2 n show that;  n  2n ! n 2   k   n!2  n k 0  1  x n   nCk x k k 0  C  nC1 x  nC2 x 2   nCn  2 x n  2  nCn 1 x n 1  nCn x n n 0 coefficient of x n in 1  x  1  x  n n  nC0  nC1 x nC2 x 2   nCn2 x n2  nCn1 x n1  nCn x n    nC0  nC1 x  nC2 x 2   nCn2 x n2  nCn1 x n1  nCn x n   n  n  n  n   n  n1  n  2  n  n2     x    x x   x  x  0  n  1   n  1  2  n  2
  • 46.
    ii  Byequating the coefficients of x n on both sides of the identity; 1  x n 1  x n  1  x 2 n show that;  n  2n ! n 2   k   n!2  n k 0  1  x n   nCk x k k 0  C  nC1 x  nC2 x 2   nCn  2 x n  2  nCn 1 x n 1  nCn x n n 0 coefficient of x n in 1  x  1  x  n n  nC0  nC1 x nC2 x 2   nCn2 x n2  nCn1 x n1  nCn x n    nC0  nC1 x  nC2 x 2   nCn2 x n2  nCn1 x n1  nCn x n   n  n  n  n   n  n1  n  2  n  n2     x    x x   x  x  0  n  1   n  1  2  n  2  n  n2  n  2  n  n1  n   n  n  n    x  x   x  x   x    n  2 2  n  1 1   n   0 
  • 47.
     n n   n  n   n  n   n  n  coefficient of x        n             0  n  1  n  1  2  n  2   n  0 
  • 48.
     n n   n  n   n  n   n  n  coefficient of x        n             0  n  1  n  1  2  n  2   n  0  n  n  But      k  n  k 
  • 49.
     n n   n  n   n  n   n  n  coefficient of x        n             0  n  1  n  1  2  n  2   n  0  n  n  But      k  n  k  2 2 2 2  n n n  n              0  1   2  n
  • 50.
     n n   n  n   n  n   n  n  coefficient of x        n             0  n  1  n  1  2  n  2   n  0  n  n  But      k  n  k  2 2 2 2  n n n  n              0  1   2  n 2 n n    k 0  k 
  • 51.
     n n   n  n   n  n   n  n  coefficient of x        n             0  n  1  n  1  2  n  2   n  0  n  n  But      k  n  k  2 2 2 2  n n n  n              0  1   2  n 2 n n    k 0  k  coefficient of x n in 1  x  2n
  • 52.
     n n   n  n   n  n   n  n  coefficient of x        n             0  n  1  n  1  2  n  2   n  0  n  n  But      k  n  k  2 2 2 2  n n n  n              0  1   2  n 2 n n    k 0  k  coefficient of x n in 1  x  2n  2n   2n   2n  2  2n  n  2n  2 n 1  x  2n      x   x     x     x 0   1   2  n  2n 
  • 53.
     n n   n  n   n  n   n  n  coefficient of x        n             0  n  1  n  1  2  n  2   n  0  n  n  But      k  n  k  2 2 2 2  n n n  n              0  1   2  n 2 n n    k 0  k  coefficient of x n in 1  x  2n  2n   2n   2n  2  2n  n  2n  2 n 1  x  2n      x   x     x     x 0   1   2  n  2n 
  • 54.
     n n   n  n   n  n   n  n  coefficient of x        n             0  n  1  n  1  2  n  2   n  0  n  n  But      k  n  k  2 2 2 2  n n n  n              0  1   2  n 2 n n    k 0  k  coefficient of x n in 1  x  2n  2n   2n   2n  2  2n  n  2n  2 n 1  x  2n      x   x     x     x 0   1   2  n  2n   2n  coefficient of x    n n
  • 55.
    Now 1  x n 1  x n  1  x 2 n
  • 56.
    Now 1  x n 1  x n  1  x 2 n 2 n  n   2n        k 0  k  n
  • 57.
    Now 1  x n 1  x n  1  x 2 n 2 n  n   2n        k 0  k  n 2n !  n!n!
  • 58.
    Now 1  x n 1  x n  1  x 2 n 2 n  n   2n        k 0  k  n 2n !  n!n! 2n !  n!2
  • 59.
    Now 1  x n 1  x n  1  x 2 n 2 n  n   2n        k 0  k  n  2n ! Exercise 5F; n!n! 4, 5, 6, 8, 10,15 2n !  n!2 + worksheets