Calculating Coefficients
without Pascal’s Triangle
Calculating Coefficients
without Pascal’s Triangle
                      n!
         n
             Ck 
                  k!n  k !
Calculating Coefficients
 without Pascal’s Triangle
                       n!
          n
              Ck 
                   k!n  k !

Proof
Calculating Coefficients
  without Pascal’s Triangle
                                            n!
                               n
                                   Ck 
                                        k!n  k !

Proof
Step 1: Prove true for k = 0
Calculating Coefficients
  without Pascal’s Triangle
                                            n!
                               n
                                   Ck 
                                        k!n  k !

Proof
Step 1: Prove true for k = 0
        LHS  nC0
            1
Calculating Coefficients
  without Pascal’s Triangle
                                            n!
                               n
                                   Ck 
                                        k!n  k !

Proof
Step 1: Prove true for k = 0
                                                             n!
        LHS  nC0                                     RHS 
                                                            0!n!
            1
                                                            n!
                                                          
                                                            n!
                                                          1
Calculating Coefficients
  without Pascal’s Triangle
                                            n!
                               n
                                   Ck 
                                        k!n  k !

Proof
Step 1: Prove true for k = 0
                                                             n!
        LHS  nC0                                     RHS 
                                                            0!n!
            1
                                                            n!
                                                          
                                                            n!
                                LHS  RHS                1
Calculating Coefficients
  without Pascal’s Triangle
                                            n!
                               n
                                   Ck 
                                        k!n  k !

Proof
Step 1: Prove true for k = 0
                                                            n!
        LHS  nC0                                    RHS 
                                                           0!n!
            1
                                                           n!
                                                         
                                                           n!
                           LHS  RHS                    1
                     Hence the result is true for k = 0
Step 2 : Assume the result is true for k  r where r is an integer  0
Step 2 : Assume the result is true for k  r where r is an integer  0
                                     n!
                      i.e.n Cr 
                                 r!n  r !
Step 2 : Assume the result is true for k  r where r is an integer  0
                                     n!
                      i.e.n Cr 
                                 r!n  r !
Step 3 : Prove the result is true for k  r  1
Step 2 : Assume the result is true for k  r where r is an integer  0
                                     n!
                      i.e.n Cr 
                                 r!n  r !
Step 3 : Prove the result is true for k  r  1
                                           n!
                    i.e.n Cr 1 
                                  r  1!n  r  1!
Step 2 : Assume the result is true for k  r where r is an integer  0
                                     n!
                      i.e.n Cr 
                                 r!n  r !
Step 3 : Prove the result is true for k  r  1
                                           n!
                    i.e.n Cr 1 
                                  r  1!n  r  1!
Proof
Step 2 : Assume the result is true for k  r where r is an integer  0
                                     n!
                      i.e.n Cr 
                                 r!n  r !
Step 3 : Prove the result is true for k  r  1
                                              n!
                       i.e.n Cr 1 
                                     r  1!n  r  1!
Proof
       n 1
           Cr 1  nCr  nCr 1
Step 2 : Assume the result is true for k  r where r is an integer  0
                                     n!
                      i.e.n Cr 
                                 r!n  r !
Step 3 : Prove the result is true for k  r  1
                                              n!
                       i.e.n Cr 1 
                                     r  1!n  r  1!
Proof
       n 1
           Cr 1  nCr  nCr 1
       n
         Cr 1  n1Cr 1  nCr
Step 2 : Assume the result is true for k  r where r is an integer  0
                                     n!
                      i.e.n Cr 
                                 r!n  r !
Step 3 : Prove the result is true for k  r  1
                                              n!
                       i.e.n Cr 1 
                                     r  1!n  r  1!
Proof
       n 1
           Cr 1  nCr  nCr 1
       n
         Cr 1  n1Cr 1  nCr
                        n  1!          n!
                                    
                    r  1!n  r ! r!n  r!
Step 2 : Assume the result is true for k  r where r is an integer  0
                                     n!
                      i.e.n Cr 
                                 r!n  r !
Step 3 : Prove the result is true for k  r  1
                                              n!
                       i.e.n Cr 1 
                                     r  1!n  r  1!
Proof
       n 1
           Cr 1  nCr  nCr 1
       n
         Cr 1  n1Cr 1  nCr
                       n  1!          n!
                                   
                   r  1!n  r ! r!n  r!
                   n  1!n!r  1
                 
                     r  1!n  r !
Step 2 : Assume the result is true for k  r where r is an integer  0
                                     n!
                      i.e.n Cr 
                                 r!n  r !
Step 3 : Prove the result is true for k  r  1
                                              n!
                       i.e.n Cr 1 
                                     r  1!n  r  1!
Proof
       n 1
           Cr 1  nCr  nCr 1
       n
         Cr 1  n1Cr 1  nCr
                       n  1!          n!
                                   
                   r  1!n  r ! r!n  r!
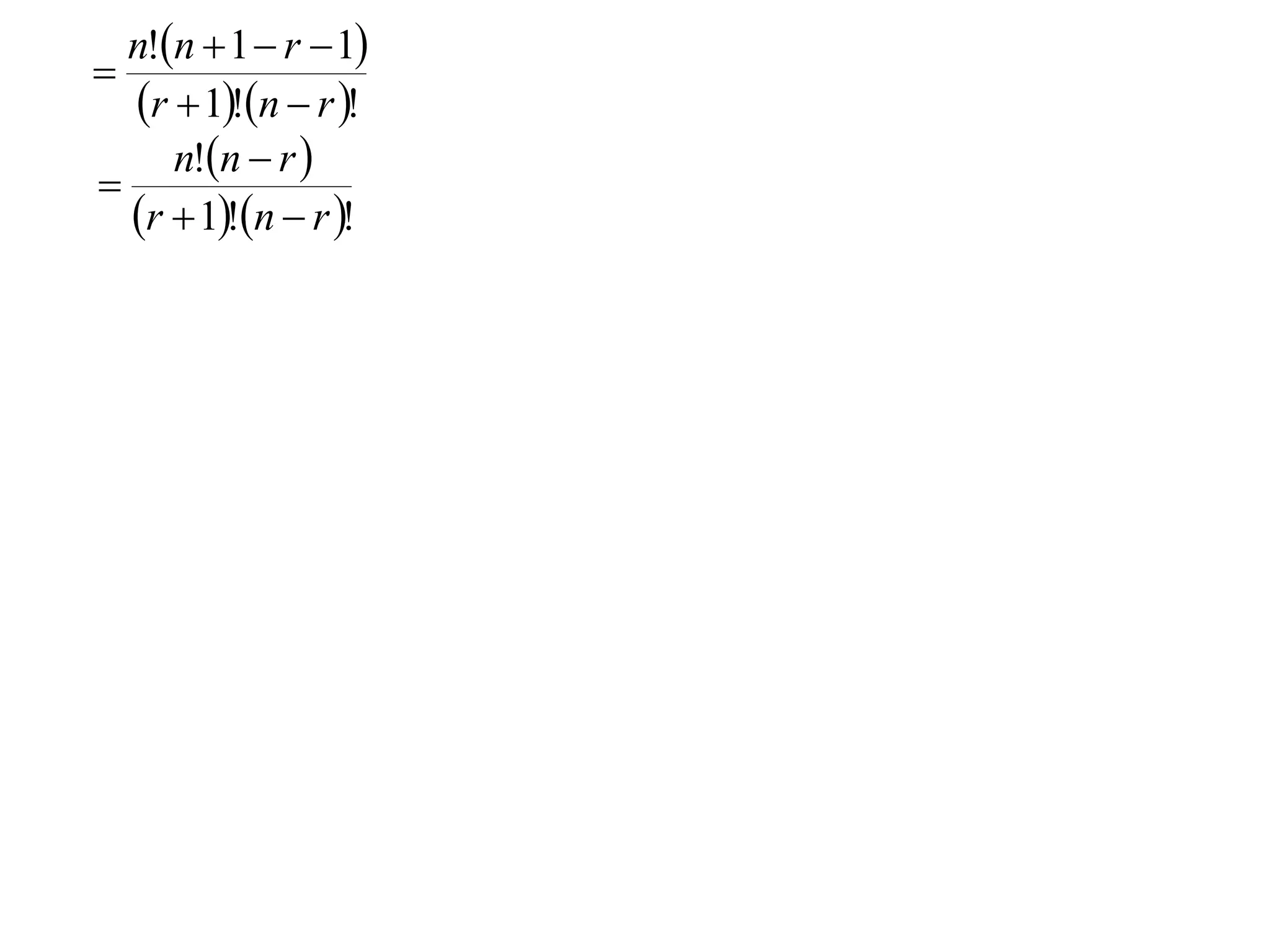
                   n  1!n!r  1
                 
                     r  1!n  r !
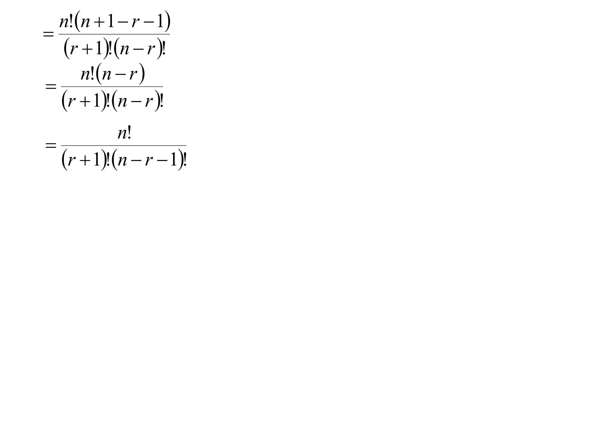
                   n!n  1  r  1
                 
                    r  1!n  r !
n!n  1  r  1

    r  1!n  r !
n!n  1  r  1

  r  1!n  r !
     n!n  r 

  r  1!n  r !
n!n  1  r  1

  r  1!n  r !
     n!n  r 

  r  1!n  r !
             n!

    r  1!n  r  1!
n!n  1  r  1

  r  1!n  r !
     n!n  r 

  r  1!n  r !
             n!

    r  1!n  r  1!
Hence the result is true for k = r + 1 if it is also true for k = r
n!n  1  r  1
   
      r  1!n  r !
         n!n  r 
    
      r  1!n  r !
                 n!
    
        r  1!n  r  1!
   Hence the result is true for k = r + 1 if it is also true for k = r

Step 4: Hence the result is true for all positive integral values of n
        by induction
The Binomial Theorem
The Binomial Theorem
  1  x n  nC0  nC1 x  nC2 x 2   nCk x k   nCn x n
The Binomial Theorem
  1  x n  nC0  nC1 x  nC2 x 2   nCk x k   nCn x n
             n
            nCk x k
            k 0
The Binomial Theorem
  1  x n  nC0  nC1 x  nC2 x 2   nCk x k   nCn x n
              n
            nCk x k
             k 0
                n!
 where Ck 
         n
                        and n is a positive integer
            k!n  k !
The Binomial Theorem
    1  x n  nC0  nC1 x  nC2 x 2   nCk x k   nCn x n
                n
              nCk x k
               k 0
                   n!
  where Ck 
           n
                           and n is a positive integer
               k!n  k !
NOTE: there are (n + 1) terms
The Binomial Theorem
          1  x n  nC0  nC1 x  nC2 x 2   nCk x k   nCn x n
                        n
                     nCk x k
                       k 0
                        n!
       where Ck   n
                                and n is a positive integer
                    k!n  k !
     NOTE: there are (n + 1) terms

This extends to;                            n
                              a  b    n C k a n  k b k
                                      n

                                           k 0
The Binomial Theorem
           1  x n  nC0  nC1 x  nC2 x 2   nCk x k   nCn x n
                        n
                     nCk x k
                       k 0
                         n!
        where Ck  n
                                 and n is a positive integer
                     k!n  k !
      NOTE: there are (n + 1) terms

This extends to;                            n
                              a  b    n C k a n  k b k
                                      n

                                           k 0

e.g . Evaluate 11C4
The Binomial Theorem
           1  x n  nC0  nC1 x  nC2 x 2   nCk x k   nCn x n
                        n
                     nCk x k
                       k 0
                         n!
        where Ck  n
                                 and n is a positive integer
                     k!n  k !
      NOTE: there are (n + 1) terms

This extends to;                              n
                              a  b    n C k a n  k b k
                                       n

                                           k 0
                                       11!
e.g . Evaluate 11C4           11
                                C4 
                                       4!7!
The Binomial Theorem
           1  x n  nC0  nC1 x  nC2 x 2   nCk x k   nCn x n
                        n
                     nCk x k
                       k 0
                         n!
        where Ck  n
                                 and n is a positive integer
                     k!n  k !
      NOTE: there are (n + 1) terms

This extends to;                            n
                              a  b    n C k a n  k b k
                                       n

                                           k 0
                                      11!
e.g . Evaluate 11C4           11
                                C4 
                                      4!7!
                                      1110  9  8
                                    
                                       4  3  2 1
The Binomial Theorem
           1  x n  nC0  nC1 x  nC2 x 2   nCk x k   nCn x n
                        n
                     nCk x k
                       k 0
                         n!
        where Ck  n
                                 and n is a positive integer
                     k!n  k !
      NOTE: there are (n + 1) terms

This extends to;                            n
                              a  b    n C k a n  k b k
                                       n

                                           k 0
                                      11!
e.g . Evaluate 11C4           11
                                C4 
                                      4!7!
                                      1110  9  8
                                    
                                       4  3  2 1
The Binomial Theorem
           1  x n  nC0  nC1 x  nC2 x 2   nCk x k   nCn x n
                        n
                     nCk x k
                       k 0
                         n!
        where Ck  n
                                 and n is a positive integer
                     k!n  k !
      NOTE: there are (n + 1) terms

This extends to;                            n
                              a  b    n C k a n  k b k
                                       n

                                           k 0
                                      11!
e.g . Evaluate 11C4           11
                                C4 
                                      4!7!       3
                                      1110  9  8
                                    
                                       4  3  2 1
The Binomial Theorem
           1  x n  nC0  nC1 x  nC2 x 2   nCk x k   nCn x n
                        n
                     nCk x k
                       k 0
                         n!
        where Ck  n
                                 and n is a positive integer
                     k!n  k !
      NOTE: there are (n + 1) terms

This extends to;                            n
                              a  b    n C k a n  k b k
                                       n

                                           k 0
                                      11!
e.g . Evaluate 11C4           11
                                C4 
                                      4!7!       3
                                      1110  9  8
                                    
                                       4  3  2 1
                                     330
(ii) Find the value of n so that;
(ii) Find the value of n so that;
 a) nC5  nC8
(ii) Find the value of n so that;
 a) nC5  nC8
     n
         Ck  nCnk
(ii) Find the value of n so that;
 a) nC5  nC8
     n
         Ck  nCnk
     8  n  5
      n  13
(ii) Find the value of n so that;
 a) nC5  nC8                       b) nC7  nC8  20C8
     n
         Ck  nCnk
     8  n  5
      n  13
(ii) Find the value of n so that;
 a) nC5  nC8                       b) nC7  nC8  20C8
                                      n 1
     n
         Ck  Cnk
             n
                                         Ck  n1Ck 1  nCk
     8  n  5
      n  13
(ii) Find the value of n so that;
 a) nC5  nC8                       b) nC7  nC8  20C8
                                      n 1
     n
         Ck  Cnk
             n
                                         Ck  n1Ck 1  nCk
     8  n  5                                 n  19
      n  13
(ii) Find the value of n so that;
 a) nC5  nC8                            b) nC7  nC8  20C8
                                           n 1
     n
         Ck  Cnk
             n
                                              Ck  n1Ck 1  nCk
     8  n  5                                      n  19
      n  13
                                                       11

iii  Find the 5th term in the expansion of  5a  3 
                                                     
                                                   b
(ii) Find the value of n so that;
 a) nC5  nC8                            b) nC7  nC8  20C8
                                           n 1
     n
         Ck  Cnk
             n
                                              Ck  n1Ck 1  nCk
     8  n  5                                      n  19
      n  13
                                                       11

iii  Find the 5th term in the expansion of  5a  3 
                                                     
                                                   b
                                  k
                    11 k  3 
    Tk 1  Ck 5a    
           11

                           b
(ii) Find the value of n so that;
 a) nC5  nC8                            b) nC7  nC8  20C8
                                           n 1
     n
         Ck  Cnk
             n
                                              Ck  n1Ck 1  nCk
     8  n  5                                      n  19
      n  13
                                                       11

iii  Find the 5th term in the expansion of  5a  3 
                                                     
                                                   b
                                  k
                    11 k  3 
    Tk 1  Ck 5a    
           11

                           b
                            4
                  7 3
     T5  C4 5a    
         11

                    b
(ii) Find the value of n so that;
 a) nC5  nC8                            b) nC7  nC8  20C8
                                           n 1
     n
         Ck  Cnk
             n
                                              Ck  n1Ck 1  nCk
     8  n  5                                      n  19
      n  13
                                                       11

iii  Find the 5th term in the expansion of  5a  3 
                                                     
                                                   b
                                  k
                    11 k  3 
    Tk 1  Ck 5a    
           11

                           b
                             4
                  7 3
     T5  C4 5a    
         11

                    b
            11
            C 4 5 7 34 a 7
          
                b4
(ii) Find the value of n so that;
 a) nC5  nC8                                 b) nC7  nC8  20C8
                                                n 1
     n
         Ck  Cnk
             n
                                                     Ck  n1Ck 1  nCk
     8  n  5                                             n  19
      n  13
                                                              11

iii  Find the 5th term in the expansion of  5a  3 
                                                     
                                                          b
                                  k
                    11 k  3 
    Tk 1  Ck 5a    
           11

                           b
                             4
                  7 3
     T5  C4 5a    
         11

                    b
            11
            C 4 5 7 34 a 7
                                     unsimplified
                b4
(ii) Find the value of n so that;
 a) nC5  nC8                                 b) nC7  nC8  20C8
                                                n 1
     n
         Ck  Cnk
             n
                                                     Ck  n1Ck 1  nCk
     8  n  5                                             n  19
      n  13
                                                              11

iii  Find the 5th term in the expansion of  5a  3 
                                                     
                                                          b
                                  k
                    11 k  3 
    Tk 1  Ck 5a    
           11

                           b
                             4
                  7 3
     T5  C4 5a    
         11
                                                           
                                                             330  78125  81a 7
                    b                                              b4
            11
            C 4 5 7 34 a 7
                                     unsimplified
                b4
(ii) Find the value of n so that;
 a) nC5  nC8                                 b) nC7  nC8  20C8
                                                n 1
     n
         Ck  Cnk
             n
                                                     Ck  n1Ck 1  nCk
     8  n  5                                             n  19
      n  13
                                                              11

iii  Find the 5th term in the expansion of  5a  3 
                                                     
                                                          b
                                  k
                    11 k  3 
    Tk 1  Ck 5a    
           11

                           b
                             4
                  7 3
     T5  C4 5a    
         11
                                                           
                                                             330  78125  81a 7
                    b                                              b4
            11
            C 4 5 7 34 a 7                                   2088281250a 7
                                     unsimplified         
                b4                                                  b4
9

iv  Obtain the term independent of x in  3x 2  1 
                                                    
                                                2x 
9

iv  Obtain the term independent of x in  3x 2  1 
                                                    
                                                 k
                                                        2x 
             Tk 1  Ck 3 x    
                               2 9 k    1 
                                            
                   9

                                         2x 
9

iv  Obtain the term independent of x in  3x 2  1 
                                                    
                                        k
                                                2x 
             Tk 1  Ck 3 x    
                             1 
                               2 9 k
                                 
                   9

                             2x 
    term independent of x means term with x 0
9

iv  Obtain the term independent of x in  3x 2  1 
                                                    
                                                 k
                                                         2x 
             Tk 1  Ck 3 x    
                             1 
                               2 9 k
                                 
                   9

                             2x 
    term independent of x means term with x 0
                        x  x 
                          2 9 k        1 k
                                                x0
9

iv  Obtain the term independent of x in  3x 2  1 
                                                    
                                                 k
                                                         2x 
             Tk 1  Ck 3 x    
                             1 
                               2 9 k
                                 
                   9

                             2x 
    term independent of x means term with x 0
                        x  x 
                          2 9 k        1 k
                                                x0
                          x182 k  x k  x 0
                              18  3k  0
                                       k 6
9

iv  Obtain the term independent of x in  3x 2  1 
                                                    
                                                    k
                                                            2x 
                Tk 1  Ck 3 x    
                             1 2 9 k
                                 
                       9

                             2x 
    term independent of x means term with x 0
                           x  x 
                               2 9 k      1 k
                                                   x0
                               x182 k  x k  x 0
                                   18  3k  0
                              6             k 6
T7  C6 3 x
    9
                
               2 3    1 
                         
                      2x 
9

iv  Obtain the term independent of x in  3x 2  1 
                                                    
                                                    k
                                                            2x 
                Tk 1  Ck 3 x    
                             1 2 9 k
                                 
                       9

                             2x 
    term independent of x means term with x 0
                           x  x 
                               2 9 k      1 k
                                                   x0
                               x182 k  x k  x 0
                                   18  3k  0
                              6             k 6
T7  C6 3 x
    9
                
               2 3    1 
                         
                      2x 
     9
    C6 33
    6
     2
9

iv  Obtain the term independent of x in  3x 2  1 
                                                    
                                                    k
                                                            2x 
                Tk 1  Ck 3 x    
                             1 2 9 k
                                 
                       9

                             2x 
    term independent of x means term with x 0
                           x  x 
                               2 9 k      1 k
                                                   x0
                               x182 k  x k  x 0
                                   18  3k  0
                              6             k 6
T7  C6 3 x
    9
                
               2 3    1 
                         
                      2x 
     9
    C6 33
    6
     2                                     Exercise 5D; 2, 3, 5, 7, 9, 10ac, 12ac, 13,
                                                      14, 15ac, 19, 25

12X1 T08 03 binomial theorem (2010)

  • 1.
  • 2.
    Calculating Coefficients without Pascal’sTriangle n! n Ck  k!n  k !
  • 3.
    Calculating Coefficients withoutPascal’s Triangle n! n Ck  k!n  k ! Proof
  • 4.
    Calculating Coefficients without Pascal’s Triangle n! n Ck  k!n  k ! Proof Step 1: Prove true for k = 0
  • 5.
    Calculating Coefficients without Pascal’s Triangle n! n Ck  k!n  k ! Proof Step 1: Prove true for k = 0 LHS  nC0 1
  • 6.
    Calculating Coefficients without Pascal’s Triangle n! n Ck  k!n  k ! Proof Step 1: Prove true for k = 0 n! LHS  nC0 RHS  0!n! 1 n!  n! 1
  • 7.
    Calculating Coefficients without Pascal’s Triangle n! n Ck  k!n  k ! Proof Step 1: Prove true for k = 0 n! LHS  nC0 RHS  0!n! 1 n!  n!  LHS  RHS 1
  • 8.
    Calculating Coefficients without Pascal’s Triangle n! n Ck  k!n  k ! Proof Step 1: Prove true for k = 0 n! LHS  nC0 RHS  0!n! 1 n!  n!  LHS  RHS 1 Hence the result is true for k = 0
  • 9.
    Step 2 :Assume the result is true for k  r where r is an integer  0
  • 10.
    Step 2 :Assume the result is true for k  r where r is an integer  0 n! i.e.n Cr  r!n  r !
  • 11.
    Step 2 :Assume the result is true for k  r where r is an integer  0 n! i.e.n Cr  r!n  r ! Step 3 : Prove the result is true for k  r  1
  • 12.
    Step 2 :Assume the result is true for k  r where r is an integer  0 n! i.e.n Cr  r!n  r ! Step 3 : Prove the result is true for k  r  1 n! i.e.n Cr 1  r  1!n  r  1!
  • 13.
    Step 2 :Assume the result is true for k  r where r is an integer  0 n! i.e.n Cr  r!n  r ! Step 3 : Prove the result is true for k  r  1 n! i.e.n Cr 1  r  1!n  r  1! Proof
  • 14.
    Step 2 :Assume the result is true for k  r where r is an integer  0 n! i.e.n Cr  r!n  r ! Step 3 : Prove the result is true for k  r  1 n! i.e.n Cr 1  r  1!n  r  1! Proof n 1 Cr 1  nCr  nCr 1
  • 15.
    Step 2 :Assume the result is true for k  r where r is an integer  0 n! i.e.n Cr  r!n  r ! Step 3 : Prove the result is true for k  r  1 n! i.e.n Cr 1  r  1!n  r  1! Proof n 1 Cr 1  nCr  nCr 1 n Cr 1  n1Cr 1  nCr
  • 16.
    Step 2 :Assume the result is true for k  r where r is an integer  0 n! i.e.n Cr  r!n  r ! Step 3 : Prove the result is true for k  r  1 n! i.e.n Cr 1  r  1!n  r  1! Proof n 1 Cr 1  nCr  nCr 1 n Cr 1  n1Cr 1  nCr n  1! n!   r  1!n  r ! r!n  r!
  • 17.
    Step 2 :Assume the result is true for k  r where r is an integer  0 n! i.e.n Cr  r!n  r ! Step 3 : Prove the result is true for k  r  1 n! i.e.n Cr 1  r  1!n  r  1! Proof n 1 Cr 1  nCr  nCr 1 n Cr 1  n1Cr 1  nCr n  1! n!   r  1!n  r ! r!n  r! n  1!n!r  1  r  1!n  r !
  • 18.
    Step 2 :Assume the result is true for k  r where r is an integer  0 n! i.e.n Cr  r!n  r ! Step 3 : Prove the result is true for k  r  1 n! i.e.n Cr 1  r  1!n  r  1! Proof n 1 Cr 1  nCr  nCr 1 n Cr 1  n1Cr 1  nCr n  1! n!   r  1!n  r ! r!n  r! n  1!n!r  1  r  1!n  r ! n!n  1  r  1  r  1!n  r !
  • 19.
    n!n  1 r  1  r  1!n  r !
  • 20.
    n!n  1 r  1  r  1!n  r ! n!n  r   r  1!n  r !
  • 21.
    n!n  1 r  1  r  1!n  r ! n!n  r   r  1!n  r ! n!  r  1!n  r  1!
  • 22.
    n!n  1 r  1  r  1!n  r ! n!n  r   r  1!n  r ! n!  r  1!n  r  1! Hence the result is true for k = r + 1 if it is also true for k = r
  • 23.
    n!n  1 r  1  r  1!n  r ! n!n  r   r  1!n  r ! n!  r  1!n  r  1! Hence the result is true for k = r + 1 if it is also true for k = r Step 4: Hence the result is true for all positive integral values of n by induction
  • 24.
  • 25.
    The Binomial Theorem 1  x n  nC0  nC1 x  nC2 x 2   nCk x k   nCn x n
  • 26.
    The Binomial Theorem 1  x n  nC0  nC1 x  nC2 x 2   nCk x k   nCn x n n   nCk x k k 0
  • 27.
    The Binomial Theorem 1  x n  nC0  nC1 x  nC2 x 2   nCk x k   nCn x n n   nCk x k k 0 n! where Ck  n and n is a positive integer k!n  k !
  • 28.
    The Binomial Theorem 1  x n  nC0  nC1 x  nC2 x 2   nCk x k   nCn x n n   nCk x k k 0 n! where Ck  n and n is a positive integer k!n  k ! NOTE: there are (n + 1) terms
  • 29.
    The Binomial Theorem 1  x n  nC0  nC1 x  nC2 x 2   nCk x k   nCn x n n   nCk x k k 0 n! where Ck  n and n is a positive integer k!n  k ! NOTE: there are (n + 1) terms This extends to; n a  b    n C k a n  k b k n k 0
  • 30.
    The Binomial Theorem 1  x n  nC0  nC1 x  nC2 x 2   nCk x k   nCn x n n   nCk x k k 0 n! where Ck  n and n is a positive integer k!n  k ! NOTE: there are (n + 1) terms This extends to; n a  b    n C k a n  k b k n k 0 e.g . Evaluate 11C4
  • 31.
    The Binomial Theorem 1  x n  nC0  nC1 x  nC2 x 2   nCk x k   nCn x n n   nCk x k k 0 n! where Ck  n and n is a positive integer k!n  k ! NOTE: there are (n + 1) terms This extends to; n a  b    n C k a n  k b k n k 0 11! e.g . Evaluate 11C4 11 C4  4!7!
  • 32.
    The Binomial Theorem 1  x n  nC0  nC1 x  nC2 x 2   nCk x k   nCn x n n   nCk x k k 0 n! where Ck  n and n is a positive integer k!n  k ! NOTE: there are (n + 1) terms This extends to; n a  b    n C k a n  k b k n k 0 11! e.g . Evaluate 11C4 11 C4  4!7! 1110  9  8  4  3  2 1
  • 33.
    The Binomial Theorem 1  x n  nC0  nC1 x  nC2 x 2   nCk x k   nCn x n n   nCk x k k 0 n! where Ck  n and n is a positive integer k!n  k ! NOTE: there are (n + 1) terms This extends to; n a  b    n C k a n  k b k n k 0 11! e.g . Evaluate 11C4 11 C4  4!7! 1110  9  8  4  3  2 1
  • 34.
    The Binomial Theorem 1  x n  nC0  nC1 x  nC2 x 2   nCk x k   nCn x n n   nCk x k k 0 n! where Ck  n and n is a positive integer k!n  k ! NOTE: there are (n + 1) terms This extends to; n a  b    n C k a n  k b k n k 0 11! e.g . Evaluate 11C4 11 C4  4!7! 3 1110  9  8  4  3  2 1
  • 35.
    The Binomial Theorem 1  x n  nC0  nC1 x  nC2 x 2   nCk x k   nCn x n n   nCk x k k 0 n! where Ck  n and n is a positive integer k!n  k ! NOTE: there are (n + 1) terms This extends to; n a  b    n C k a n  k b k n k 0 11! e.g . Evaluate 11C4 11 C4  4!7! 3 1110  9  8  4  3  2 1  330
  • 36.
    (ii) Find thevalue of n so that;
  • 37.
    (ii) Find thevalue of n so that; a) nC5  nC8
  • 38.
    (ii) Find thevalue of n so that; a) nC5  nC8 n Ck  nCnk
  • 39.
    (ii) Find thevalue of n so that; a) nC5  nC8 n Ck  nCnk 8  n  5 n  13
  • 40.
    (ii) Find thevalue of n so that; a) nC5  nC8 b) nC7  nC8  20C8 n Ck  nCnk 8  n  5 n  13
  • 41.
    (ii) Find thevalue of n so that; a) nC5  nC8 b) nC7  nC8  20C8 n 1 n Ck  Cnk n Ck  n1Ck 1  nCk 8  n  5 n  13
  • 42.
    (ii) Find thevalue of n so that; a) nC5  nC8 b) nC7  nC8  20C8 n 1 n Ck  Cnk n Ck  n1Ck 1  nCk 8  n  5 n  19 n  13
  • 43.
    (ii) Find thevalue of n so that; a) nC5  nC8 b) nC7  nC8  20C8 n 1 n Ck  Cnk n Ck  n1Ck 1  nCk 8  n  5 n  19 n  13 11 iii  Find the 5th term in the expansion of  5a  3     b
  • 44.
    (ii) Find thevalue of n so that; a) nC5  nC8 b) nC7  nC8  20C8 n 1 n Ck  Cnk n Ck  n1Ck 1  nCk 8  n  5 n  19 n  13 11 iii  Find the 5th term in the expansion of  5a  3     b k 11 k  3  Tk 1  Ck 5a     11  b
  • 45.
    (ii) Find thevalue of n so that; a) nC5  nC8 b) nC7  nC8  20C8 n 1 n Ck  Cnk n Ck  n1Ck 1  nCk 8  n  5 n  19 n  13 11 iii  Find the 5th term in the expansion of  5a  3     b k 11 k  3  Tk 1  Ck 5a     11  b 4 7 3 T5  C4 5a     11  b
  • 46.
    (ii) Find thevalue of n so that; a) nC5  nC8 b) nC7  nC8  20C8 n 1 n Ck  Cnk n Ck  n1Ck 1  nCk 8  n  5 n  19 n  13 11 iii  Find the 5th term in the expansion of  5a  3     b k 11 k  3  Tk 1  Ck 5a     11  b 4 7 3 T5  C4 5a     11  b 11 C 4 5 7 34 a 7  b4
  • 47.
    (ii) Find thevalue of n so that; a) nC5  nC8 b) nC7  nC8  20C8 n 1 n Ck  Cnk n Ck  n1Ck 1  nCk 8  n  5 n  19 n  13 11 iii  Find the 5th term in the expansion of  5a  3     b k 11 k  3  Tk 1  Ck 5a     11  b 4 7 3 T5  C4 5a     11  b 11 C 4 5 7 34 a 7  unsimplified b4
  • 48.
    (ii) Find thevalue of n so that; a) nC5  nC8 b) nC7  nC8  20C8 n 1 n Ck  Cnk n Ck  n1Ck 1  nCk 8  n  5 n  19 n  13 11 iii  Find the 5th term in the expansion of  5a  3     b k 11 k  3  Tk 1  Ck 5a     11  b 4 7 3 T5  C4 5a     11  330  78125  81a 7  b b4 11 C 4 5 7 34 a 7  unsimplified b4
  • 49.
    (ii) Find thevalue of n so that; a) nC5  nC8 b) nC7  nC8  20C8 n 1 n Ck  Cnk n Ck  n1Ck 1  nCk 8  n  5 n  19 n  13 11 iii  Find the 5th term in the expansion of  5a  3     b k 11 k  3  Tk 1  Ck 5a     11  b 4 7 3 T5  C4 5a     11  330  78125  81a 7  b b4 11 C 4 5 7 34 a 7 2088281250a 7  unsimplified  b4 b4
  • 50.
    9 iv  Obtainthe term independent of x in  3x 2  1     2x 
  • 51.
    9 iv  Obtainthe term independent of x in  3x 2  1    k  2x  Tk 1  Ck 3 x  2 9 k  1    9  2x 
  • 52.
    9 iv  Obtainthe term independent of x in  3x 2  1    k  2x  Tk 1  Ck 3 x   1  2 9 k   9  2x  term independent of x means term with x 0
  • 53.
    9 iv  Obtainthe term independent of x in  3x 2  1    k  2x  Tk 1  Ck 3 x   1  2 9 k   9  2x  term independent of x means term with x 0 x  x  2 9 k 1 k  x0
  • 54.
    9 iv  Obtainthe term independent of x in  3x 2  1    k  2x  Tk 1  Ck 3 x   1  2 9 k   9  2x  term independent of x means term with x 0 x  x  2 9 k 1 k  x0 x182 k  x k  x 0 18  3k  0 k 6
  • 55.
    9 iv  Obtainthe term independent of x in  3x 2  1    k  2x  Tk 1  Ck 3 x   1 2 9 k   9  2x  term independent of x means term with x 0 x  x  2 9 k 1 k  x0 x182 k  x k  x 0 18  3k  0 6 k 6 T7  C6 3 x 9  2 3  1     2x 
  • 56.
    9 iv  Obtainthe term independent of x in  3x 2  1    k  2x  Tk 1  Ck 3 x   1 2 9 k   9  2x  term independent of x means term with x 0 x  x  2 9 k 1 k  x0 x182 k  x k  x 0 18  3k  0 6 k 6 T7  C6 3 x 9  2 3  1     2x  9 C6 33  6 2
  • 57.
    9 iv  Obtainthe term independent of x in  3x 2  1    k  2x  Tk 1  Ck 3 x   1 2 9 k   9  2x  term independent of x means term with x 0 x  x  2 9 k 1 k  x0 x182 k  x k  x 0 18  3k  0 6 k 6 T7  C6 3 x 9  2 3  1     2x  9 C6 33  6 2 Exercise 5D; 2, 3, 5, 7, 9, 10ac, 12ac, 13, 14, 15ac, 19, 25