The last lecture will detail one of the many
syntheses of epothilone A & C. This is
almost one of my favourite syntheses (but
due to one step hasn’t made the list) due
to the fact it demonstrates many of the
principles of asymmetric synthesis such as
substrate control, auxiliary control, reagent
control and asymmetric catalysis.
The epothilones were originally isolated
from a gram-negative bacteria, Sorangium
cellulosum found in a river delta (but I have
forgotten which river).
1
TMSO
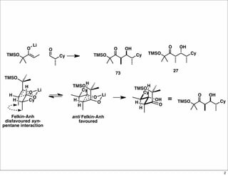
O
Li
OH
TMSO
O OH
TMSO
O
73
27
O
Cy Cy Cy
H
O
O
Li
H
H
H Cy
TMSO
Felkin-Anh
disfavoured syn-
pentane interaction
O
O
Li
H
H
Cy
TMSO
anti Felkin-Anh
favoured
H
OH
O
H
H
Cy
TMSO
≡
OH
TMSO
O
Cy
2
As always the goal of the retrosynthesis is
to sequentially simplify the target.
The first disconnection is epoxide. This
removes reactive functionality from the
molecule (good) and takes us back to
another natural product, epothilone C
(good).
Chemoselective epoxidation of the electron
rich alkene should be possible (forwards).
They show great potential as cancer drugs.
They prevent cell division by interacting
with the microtubules in an analogous
fashion to the taxanes.
They have a number of advantages over the
taxanes including better efficacy, greater
solubility, less side effects and simpler
synthesis.
I do not believe any have made it out of
clinical trials yet.
3
Next we want to cleave the ring as this:
1) simplifies the synthesis
2) begins the task of fragmenting epothilone to
permit convergent synthesis
The obvious disconnection is the lactone group
(and there are examples of syntheses of
epothilone that take this route).
In this case the C=C disconnection was chosen.
The forward synthetic reaction ,ring-closing
metathesis is a reliable reaction (see later).
Epothilone was then divided into three
roughly equal sized fragments.
The C–O disconnection (esterification) is an
obvious place to split the molecule as this
is a standard transformation.
The 1,3-diX disconnection of the β-
hydroxyketone allows two stereocentres to
be controlled through the aldol reaction.
4
The first fragment is readily prepared in
enantiomerically enriched form.
The retrosynthesis is:
FGI - ketone to alcohol (forward is oxidation)
C–C - forward is addition to a carbonyl group
FGI - forward is oxidation of alkene to carbonyl
C–C - forward is Brown allylation
The second fragment involves:
FGI - aldehyde to chiral auxiliary (forward is
reduction and oxidation)
C–C - forward is enolate alkylation
FGI - forward is addition of auxiliary and
conversion of alcohol to alkene.
5
Final fragment:
FGI - alkene to alcohol
C=C - split internal alkene (forward is HWE)
A resolution step (or step below must be
asymmetric)
C–C - nucleophilic addition
6
1) Mono-protection of the diol. The
selectivity in this step is believed to arise
from the insolubility of the mono-alkoxide
preventing over reaction (J. Org. Chem.
1986, 51, 3388).
2) Swern oxidation (if you don’t know this
by now ...)
3) Brown crotylation
We went through the enantioselectivity of
this reaction in lecture 4.
Basically, remember that the Lewis basic
boron tethers the substrate and reagent
together so that the reaction proceeds
through the Zimmerman-Traxler transition
state. The crotyl reagent is bulkier than the
aldehyde so will minimise non-bonding
interactions with the methyl substituents.
7
1) Acetal formation - the reaction
conditions are sufficiently acidic to
promote deprotection of the primary silyl
ether (TBS = tert-butyldimethylsilyl).
2) Oxidative cleavage of the alkene. This
employs a substoichiometric quantity of
OsO4 and stoichiometric NaIO4. The OsO4
mediates dihydroxylation while the NaIO4
re-oxidises the osmium and cleaves the
diol. This is analogous to ozonolysis.
1) Addition of a Grignard reagent. We do
not care if the reaction is diastereoselective
or not because ...
2) Oxidises the alcohol to the ketone. TPAP
(tetrapropylammonium perruthenate [Pr4N]
[RuO4]) is a catalytic oxidant while NMO (N-
methylmorpholine N-oxide) is the
stoichiometric oxidant (it oxidises the
ruthenium).
That finishes the first fragment.
8
Standard FGI prep the second fragment for
the auxiliary controlled alkylation.
1) Lactone hydrolysis
2) Protection of acid and alcohol to prevent
cyclisation back to the lactone
3) Hydrolysis of the acid O–Si bond (much
weaker bond the alcohol O–Si)
4) Acyl chloride formation
5) Addition of the valine-derived
oxazolidinone.
Auxiliary controlled alkylation.
1) enolate formation gives the O(Z)-enolate
to prevent interaction of alkyl chain and
auxiliary. The metal chelates the two
oxygen atoms preventing C–N bond rotation
and thus the auxiliary blocks the top (Re)
face.
2) LiAlH4 - reductively cleaves the auxiliary.
3) Swern oxidation (at low temperature to
avoid racemisation) forms aldehyde.
9
Naughty chemists fail to install the alkene
required on the second fragment ...
... and when they came to use this
fragment at the end of the synthesis it has
magically appeared ...
Synthesis of the third fragment starts from
the the same aldehyde as fragment 1
(which is convenient).
Simple Grignard addition results in the
formation of a racemic mixture of alcohols.
10
The racemic alcohol is resolved by a clever
application of the Sharpless Asymmetric
Epoxidation.
This is an example of kinetic resolution
and relies on the two enantiomers reacting
at different rates. Ideally, one enantiomer
should react completely before the other
reacts and this permit the maximum 50%
yield (remember 1/2 the material is the
wrong enantiomer) to be achieved.
If you remember the SAE reaction there
was a mnemonic that told us which face of
the alkene the oxidising reagent would
approach.
If we apply this mnemonic to a racemic
alcohol you will note that with one
enantiomer the reagent must pass the
substituent R. This will lead to a slower
reaction than the enantiomer that has the R
group anti to the reagent.
11
This means that we are able to selectively
transform one enantiomer into the epoxide
leaving the other enantiomer as an
enriched sample of alcohol.
Ideally we should have 50% of each
enantiomer with 100% purity. This rarely
happens and we normally sacrifice yield to
insure high enantiomeric enrichment.
A good review on KR: Adv. Syn. Catal. 2001,
343, 5.
The enantiomerically enriched alcohol was converted into
the third fragment by the following transformations:
1) TBS protection of secondary alcohol
2) Ozonolysis of the alkene with reductive work-up furnishes
the ketone
3) HWE alkenylation - This favours formation of the E-alkene
(equilibration of initial alkoxide)
4) HF/glass - selective deprotection of the more reactive
primary silyl ether. Glass tempers the reactivity of HF (it
contains silicon, which can react with the fluoride)
5) Oxidation of the primary alcohol to an aldehyde using
Dess-Martin periodinane
6) Wittig alkene formation
7) Deprotection of the remaining silyl ether.
12
With all the pieces made it is time for the
‘end game’ ...
... stringing them all together.
The first two fragments were joined
together by a substrate controlled aldol
reaction in a highly diastereoselective
reaction.
13
Deprotonation leads to the formation of the
O(Z)-enolate.
The Ireland-model of deprotonation (shown
above) rationalises the observation that the
methyl group of the enolate would prefer to
be trans to the bulky neopentyl-like group.
The relative stereochemistry of the C7
hydroxyl and C6 methyl is controlled by the
geometry of the enolate.
The diastereoselectivity of the reaction is
hard to visualise.
Both substrates are chiral so will both
influence the facial selectivity. The
stereocentre on the aldehyde controls the
facial selectivity of nucleophilic attack.
14
The addition is anti-Felkin-Anh (in other
words if you draw the Newman project ...
going on draw it) then when the nucleophile
attacks along the Bürgi-Dunitz angle it
must pass the methyl substituent and not
the small hydrogen atom to give the
observed diastereoselectivity.
Why does this happen? The reason is the
geometry of the enolate and a disfavoured
syn-pentane-like interaction if we have ...
... Felkin-Anh selectivity.
This argument is shown in a simplified
reaction above.
If we had the opposite geometry of enolate
then the standard Felkin-Anh model would
predict the product.
15
The facial selectivity of the bond formation
on the enolate is harder to explain suffice
to say that the stereocentre of the acetal
control the approach of the aldehyde.
It is highly likely that one of the acetal
oxygen atoms is also coordinated to the
lithium counterion and that this effects the
selectivity (although it is possible that a
formyl hydrogen bond from the aldehyde is
involved).
A set of simple FGI sets up this advanced
fragment for coupling to the final third.
1) acetal hydrolysis to give a triol
2) Global protection of the three alcohols
3) Selective acidic hydrolysis of the more
reactive primary silyl ether using the mild
acid, CSA (camphorsulfonic acid)
4) PDC oxidation of the primary alcohol to
a carboxylic acid
16
The final fragment is coupled by
esterification with DMAP and DCC.
DMAP = N,N’-dimethyl-4-aminopyridine
DCC = dicyclohexylcarbodiimide
Normally these are peptide coupling
reagents but work well with esters. The
DCC is a dehydrating reagent while the
DMAP forms a highly activated acyl
reagent.
To close the ring the researchers used ring-
closing alkene metathesis (normally
abbreviated to RCM).
This is an incredibly valuable variant of
alkene metathesis. Alkene metathesis won
Grubbs, Schrock and Chauvin the Nobel
Prize in 2005.
Basically, metathesis is the swapping of
the components of an alkene ...
17
The mechanism for alkene metathesis is
given above. It involves the cycloaddition of
a metal carbenoid or alkylidene to an
alkene to give a metallocyclobutane.
Cycloreversion then gives a new alkene and
a new alkylidene. A second cycloaddition to
a second alkene repeats the process.
In this way the ends of an alkene can be
exchanged with the driving force being the
release of volatile ethene.
In ring-closing metathesis the two alkenes are
joined and so when the ends are exchanged a
cyclic alkene is formed.
This reaction has become very popular in
organic chemistry as it can be run under mild
conditions, shows good functional group
tolerance (especially the so-called 2nd
generation Grubbs catalysts) and has a wide
applicability to a range of ring sizes (5 to 90-
membered rings if Wikipedia is to be
believed ... ).
18
Here are the classic metathesis catalysts
but there are large number of variants in
which the various metal substituents have
been changed.
Of particular interest are the Hoveyda-
Grubbs catalysts and the chiral Schrock-
Hoveyda catalysts.
Do not be deceived by the way most
organic chemists represent the Grubbs
ruthenium catalysts ... our drawings
invariably make the geometry of the
catalysts appear to be trigonal pyramidal.
They are not. They are a square based
pyramid.
19
Here are just some the elegant uses of
RCM in total synthesis.
This first slide shows two uses of RCM
during the synthesis of manzamine.
Especially interesting is the formation of
the 13-membered ring in the first step.
large rings like this are often hard to form
(it is difficult to get the ends to meet!)
This is a particularly elegant use of a
combination of ring-opening and ring-
closing metathesis. Presumably release of
ring strain drives the conversion of the 5-
ring into two 6-rings.
Formation of the starting material should
be easy with the chemistry we have already
covered ... have a go ...
20
This example shows just how powerful
alkene metathesis can be ...
When both alkenes and alkynes are used
we get process called enyne metathesis
and this allows the rapid construction of
quite complex systems.
But back to epothilone ...
Ring-closing metathesis furnishes the 16-
ring in excellent yield.
The desired cis alkene can be converted to
epothilone C by simple deprotection of the
silyl ethers by treatment with HF.
21
The problem with the ring-closing
metathesis reaction is that it gives a 1:1
mixture of stereoisomers (a 16-membered
ring does not constrain the conformation of
the two approaching alkenes).
This means we only have 47% yield of the
desired molecule.
Obviously it would be better if you could
synthesise a pure stereoisomer.
22
This can be achieved by using a related
reaction called alkyne metathesis. There
are no stereochemical implications in the
preparation of alkynes and we can readily
control their reduction to give either the cis
or the trans alkene selectively.
The trans alkene could be formed by
dissolving metal reduction while the
desired cis alkene can be formed …
… by a poisoned hydrogenation, the classic
conditions using Lindlar’s catalyst (Pd
poisoned with various lead and/or sulfur
compounds).
The example above comes from Fürstner’s
synthesis of epothilone C.
23
Anyways, lets finish the original synthesis … Epothilone C can be converted into
epothilone A simply by epoxidisation.
DMDO or dimethyldioxirane is an incredibly
mild oxidising reaction. It reacts selectively
with the more electron rich alkene (well
considering the yield it might not be that
selective). The other alkene is electron poor
due to conjugation with the aromatic ring.
The end …
24

123713AB lecture10

  • 1.
    The last lecturewill detail one of the many syntheses of epothilone A & C. This is almost one of my favourite syntheses (but due to one step hasn’t made the list) due to the fact it demonstrates many of the principles of asymmetric synthesis such as substrate control, auxiliary control, reagent control and asymmetric catalysis. The epothilones were originally isolated from a gram-negative bacteria, Sorangium cellulosum found in a river delta (but I have forgotten which river). 1
  • 2.
    TMSO O Li OH TMSO O OH TMSO O 73 27 O Cy CyCy H O O Li H H H Cy TMSO Felkin-Anh disfavoured syn- pentane interaction O O Li H H Cy TMSO anti Felkin-Anh favoured H OH O H H Cy TMSO ≡ OH TMSO O Cy 2
  • 3.
    As always thegoal of the retrosynthesis is to sequentially simplify the target. The first disconnection is epoxide. This removes reactive functionality from the molecule (good) and takes us back to another natural product, epothilone C (good). Chemoselective epoxidation of the electron rich alkene should be possible (forwards). They show great potential as cancer drugs. They prevent cell division by interacting with the microtubules in an analogous fashion to the taxanes. They have a number of advantages over the taxanes including better efficacy, greater solubility, less side effects and simpler synthesis. I do not believe any have made it out of clinical trials yet. 3
  • 4.
    Next we wantto cleave the ring as this: 1) simplifies the synthesis 2) begins the task of fragmenting epothilone to permit convergent synthesis The obvious disconnection is the lactone group (and there are examples of syntheses of epothilone that take this route). In this case the C=C disconnection was chosen. The forward synthetic reaction ,ring-closing metathesis is a reliable reaction (see later). Epothilone was then divided into three roughly equal sized fragments. The C–O disconnection (esterification) is an obvious place to split the molecule as this is a standard transformation. The 1,3-diX disconnection of the β- hydroxyketone allows two stereocentres to be controlled through the aldol reaction. 4
  • 5.
    The first fragmentis readily prepared in enantiomerically enriched form. The retrosynthesis is: FGI - ketone to alcohol (forward is oxidation) C–C - forward is addition to a carbonyl group FGI - forward is oxidation of alkene to carbonyl C–C - forward is Brown allylation The second fragment involves: FGI - aldehyde to chiral auxiliary (forward is reduction and oxidation) C–C - forward is enolate alkylation FGI - forward is addition of auxiliary and conversion of alcohol to alkene. 5
  • 6.
    Final fragment: FGI -alkene to alcohol C=C - split internal alkene (forward is HWE) A resolution step (or step below must be asymmetric) C–C - nucleophilic addition 6
  • 7.
    1) Mono-protection ofthe diol. The selectivity in this step is believed to arise from the insolubility of the mono-alkoxide preventing over reaction (J. Org. Chem. 1986, 51, 3388). 2) Swern oxidation (if you don’t know this by now ...) 3) Brown crotylation We went through the enantioselectivity of this reaction in lecture 4. Basically, remember that the Lewis basic boron tethers the substrate and reagent together so that the reaction proceeds through the Zimmerman-Traxler transition state. The crotyl reagent is bulkier than the aldehyde so will minimise non-bonding interactions with the methyl substituents. 7
  • 8.
    1) Acetal formation- the reaction conditions are sufficiently acidic to promote deprotection of the primary silyl ether (TBS = tert-butyldimethylsilyl). 2) Oxidative cleavage of the alkene. This employs a substoichiometric quantity of OsO4 and stoichiometric NaIO4. The OsO4 mediates dihydroxylation while the NaIO4 re-oxidises the osmium and cleaves the diol. This is analogous to ozonolysis. 1) Addition of a Grignard reagent. We do not care if the reaction is diastereoselective or not because ... 2) Oxidises the alcohol to the ketone. TPAP (tetrapropylammonium perruthenate [Pr4N] [RuO4]) is a catalytic oxidant while NMO (N- methylmorpholine N-oxide) is the stoichiometric oxidant (it oxidises the ruthenium). That finishes the first fragment. 8
  • 9.
    Standard FGI prepthe second fragment for the auxiliary controlled alkylation. 1) Lactone hydrolysis 2) Protection of acid and alcohol to prevent cyclisation back to the lactone 3) Hydrolysis of the acid O–Si bond (much weaker bond the alcohol O–Si) 4) Acyl chloride formation 5) Addition of the valine-derived oxazolidinone. Auxiliary controlled alkylation. 1) enolate formation gives the O(Z)-enolate to prevent interaction of alkyl chain and auxiliary. The metal chelates the two oxygen atoms preventing C–N bond rotation and thus the auxiliary blocks the top (Re) face. 2) LiAlH4 - reductively cleaves the auxiliary. 3) Swern oxidation (at low temperature to avoid racemisation) forms aldehyde. 9
  • 10.
    Naughty chemists failto install the alkene required on the second fragment ... ... and when they came to use this fragment at the end of the synthesis it has magically appeared ... Synthesis of the third fragment starts from the the same aldehyde as fragment 1 (which is convenient). Simple Grignard addition results in the formation of a racemic mixture of alcohols. 10
  • 11.
    The racemic alcoholis resolved by a clever application of the Sharpless Asymmetric Epoxidation. This is an example of kinetic resolution and relies on the two enantiomers reacting at different rates. Ideally, one enantiomer should react completely before the other reacts and this permit the maximum 50% yield (remember 1/2 the material is the wrong enantiomer) to be achieved. If you remember the SAE reaction there was a mnemonic that told us which face of the alkene the oxidising reagent would approach. If we apply this mnemonic to a racemic alcohol you will note that with one enantiomer the reagent must pass the substituent R. This will lead to a slower reaction than the enantiomer that has the R group anti to the reagent. 11
  • 12.
    This means thatwe are able to selectively transform one enantiomer into the epoxide leaving the other enantiomer as an enriched sample of alcohol. Ideally we should have 50% of each enantiomer with 100% purity. This rarely happens and we normally sacrifice yield to insure high enantiomeric enrichment. A good review on KR: Adv. Syn. Catal. 2001, 343, 5. The enantiomerically enriched alcohol was converted into the third fragment by the following transformations: 1) TBS protection of secondary alcohol 2) Ozonolysis of the alkene with reductive work-up furnishes the ketone 3) HWE alkenylation - This favours formation of the E-alkene (equilibration of initial alkoxide) 4) HF/glass - selective deprotection of the more reactive primary silyl ether. Glass tempers the reactivity of HF (it contains silicon, which can react with the fluoride) 5) Oxidation of the primary alcohol to an aldehyde using Dess-Martin periodinane 6) Wittig alkene formation 7) Deprotection of the remaining silyl ether. 12
  • 13.
    With all thepieces made it is time for the ‘end game’ ... ... stringing them all together. The first two fragments were joined together by a substrate controlled aldol reaction in a highly diastereoselective reaction. 13
  • 14.
    Deprotonation leads tothe formation of the O(Z)-enolate. The Ireland-model of deprotonation (shown above) rationalises the observation that the methyl group of the enolate would prefer to be trans to the bulky neopentyl-like group. The relative stereochemistry of the C7 hydroxyl and C6 methyl is controlled by the geometry of the enolate. The diastereoselectivity of the reaction is hard to visualise. Both substrates are chiral so will both influence the facial selectivity. The stereocentre on the aldehyde controls the facial selectivity of nucleophilic attack. 14
  • 15.
    The addition isanti-Felkin-Anh (in other words if you draw the Newman project ... going on draw it) then when the nucleophile attacks along the Bürgi-Dunitz angle it must pass the methyl substituent and not the small hydrogen atom to give the observed diastereoselectivity. Why does this happen? The reason is the geometry of the enolate and a disfavoured syn-pentane-like interaction if we have ... ... Felkin-Anh selectivity. This argument is shown in a simplified reaction above. If we had the opposite geometry of enolate then the standard Felkin-Anh model would predict the product. 15
  • 16.
    The facial selectivityof the bond formation on the enolate is harder to explain suffice to say that the stereocentre of the acetal control the approach of the aldehyde. It is highly likely that one of the acetal oxygen atoms is also coordinated to the lithium counterion and that this effects the selectivity (although it is possible that a formyl hydrogen bond from the aldehyde is involved). A set of simple FGI sets up this advanced fragment for coupling to the final third. 1) acetal hydrolysis to give a triol 2) Global protection of the three alcohols 3) Selective acidic hydrolysis of the more reactive primary silyl ether using the mild acid, CSA (camphorsulfonic acid) 4) PDC oxidation of the primary alcohol to a carboxylic acid 16
  • 17.
    The final fragmentis coupled by esterification with DMAP and DCC. DMAP = N,N’-dimethyl-4-aminopyridine DCC = dicyclohexylcarbodiimide Normally these are peptide coupling reagents but work well with esters. The DCC is a dehydrating reagent while the DMAP forms a highly activated acyl reagent. To close the ring the researchers used ring- closing alkene metathesis (normally abbreviated to RCM). This is an incredibly valuable variant of alkene metathesis. Alkene metathesis won Grubbs, Schrock and Chauvin the Nobel Prize in 2005. Basically, metathesis is the swapping of the components of an alkene ... 17
  • 18.
    The mechanism foralkene metathesis is given above. It involves the cycloaddition of a metal carbenoid or alkylidene to an alkene to give a metallocyclobutane. Cycloreversion then gives a new alkene and a new alkylidene. A second cycloaddition to a second alkene repeats the process. In this way the ends of an alkene can be exchanged with the driving force being the release of volatile ethene. In ring-closing metathesis the two alkenes are joined and so when the ends are exchanged a cyclic alkene is formed. This reaction has become very popular in organic chemistry as it can be run under mild conditions, shows good functional group tolerance (especially the so-called 2nd generation Grubbs catalysts) and has a wide applicability to a range of ring sizes (5 to 90- membered rings if Wikipedia is to be believed ... ). 18
  • 19.
    Here are theclassic metathesis catalysts but there are large number of variants in which the various metal substituents have been changed. Of particular interest are the Hoveyda- Grubbs catalysts and the chiral Schrock- Hoveyda catalysts. Do not be deceived by the way most organic chemists represent the Grubbs ruthenium catalysts ... our drawings invariably make the geometry of the catalysts appear to be trigonal pyramidal. They are not. They are a square based pyramid. 19
  • 20.
    Here are justsome the elegant uses of RCM in total synthesis. This first slide shows two uses of RCM during the synthesis of manzamine. Especially interesting is the formation of the 13-membered ring in the first step. large rings like this are often hard to form (it is difficult to get the ends to meet!) This is a particularly elegant use of a combination of ring-opening and ring- closing metathesis. Presumably release of ring strain drives the conversion of the 5- ring into two 6-rings. Formation of the starting material should be easy with the chemistry we have already covered ... have a go ... 20
  • 21.
    This example showsjust how powerful alkene metathesis can be ... When both alkenes and alkynes are used we get process called enyne metathesis and this allows the rapid construction of quite complex systems. But back to epothilone ... Ring-closing metathesis furnishes the 16- ring in excellent yield. The desired cis alkene can be converted to epothilone C by simple deprotection of the silyl ethers by treatment with HF. 21
  • 22.
    The problem withthe ring-closing metathesis reaction is that it gives a 1:1 mixture of stereoisomers (a 16-membered ring does not constrain the conformation of the two approaching alkenes). This means we only have 47% yield of the desired molecule. Obviously it would be better if you could synthesise a pure stereoisomer. 22
  • 23.
    This can beachieved by using a related reaction called alkyne metathesis. There are no stereochemical implications in the preparation of alkynes and we can readily control their reduction to give either the cis or the trans alkene selectively. The trans alkene could be formed by dissolving metal reduction while the desired cis alkene can be formed … … by a poisoned hydrogenation, the classic conditions using Lindlar’s catalyst (Pd poisoned with various lead and/or sulfur compounds). The example above comes from Fürstner’s synthesis of epothilone C. 23
  • 24.
    Anyways, lets finishthe original synthesis … Epothilone C can be converted into epothilone A simply by epoxidisation. DMDO or dimethyldioxirane is an incredibly mild oxidising reaction. It reacts selectively with the more electron rich alkene (well considering the yield it might not be that selective). The other alkene is electron poor due to conjugation with the aromatic ring. The end … 24