General Solutions of
  Trig Equations
General Solutions of
    Trig Equations
sin   x
General Solutions of
    Trig Equations
sin   x
x0
General Solutions of
    Trig Equations
sin   x
x0

        sin 1 x   sin 1 x
General Solutions of
    Trig Equations
sin   x
x0

        sin 1 x     sin 1 x



       sin 1 x or   sin 1 x
General Solutions of
    Trig Equations
sin   x
x0                                 x0

        sin 1 x     sin 1 x



       sin 1 x or   sin 1 x
General Solutions of
    Trig Equations
sin   x
x0                                 x0

        sin 1 x     sin 1 x
                                      sin 1  x    sin 1  x 


       sin 1 x or   sin 1 x
General Solutions of
    Trig Equations
sin   x
x0                                  x0

        sin 1 x     sin 1 x
                                          sin 1  x       sin 1  x 


       sin 1 x or   sin 1 x       sin 1  x  or 2  sin 1  x 
General Solutions of
    Trig Equations
sin   x
x0                                  x0

        sin 1 x     sin 1 x
                                          sin 1  x       sin 1  x 


       sin 1 x or   sin 1 x       sin 1  x  or 2  sin 1  x 
                                           sin 1 x or 2  sin 1 x
General Solutions of
    Trig Equations
sin   x
x0                                   x0

        sin 1 x     sin 1 x
                                           sin 1  x       sin 1  x 


       sin 1 x or   sin 1 x        sin 1  x  or 2  sin 1  x 
                                            sin 1 x or 2  sin 1 x
               sin   x
                 k   1k sin 1 x    where k is an integer
cos  x
cos  x
x0
cos  x
x0



           cos 1 x
            cos 1 x
cos  x
x0



                   cos 1 x
                    cos 1 x



     cos 1 x or 2  cos 1 x
cos  x
x0                                x0



                   cos 1 x
                    cos 1 x



     cos 1 x or 2  cos 1 x
cos  x
x0                                x0



                   cos 1 x          cos 1  x 
                    cos 1 x         cos 1  x 


     cos 1 x or 2  cos 1 x
cos  x
x0                                x0



                   cos 1 x             cos 1  x 
                    cos 1 x            cos 1  x 


     cos 1 x or 2  cos 1 x       cos 1  x  or   cos 1  x 
cos  x
x0                                  x0



                   cos 1 x               cos 1  x 
                    cos 1 x              cos 1  x 


     cos 1 x or 2  cos 1 x         cos 1  x  or   cos 1  x 
                                         cos 1 x  or     cos 1 x 
                                      cos 1 x            or 2  cos 1 x
cos  x
x0                                  x0



                   cos 1 x               cos 1  x 
                    cos 1 x              cos 1  x 


     cos 1 x or 2  cos 1 x         cos 1  x  or   cos 1  x 
                                         cos 1 x  or     cos 1 x 
                                      cos 1 x            or 2  cos 1 x
              cos  x
                2k  cos 1 x      where k is an integer
tan   x
tan   x
x0
tan   x
x0



                   tan 1 x
        tan 1 x
tan   x
x0



                     tan 1 x
        tan 1 x



       tan 1 x or   tan 1 x
tan   x
x0                                 x0



                     tan 1 x
        tan 1 x



       tan 1 x or   tan 1 x
tan   x
x0                                 x0



                     tan 1 x         tan 1  x 
        tan 1 x                                      tan 1  x 


       tan 1 x or   tan 1 x
tan   x
x0                                 x0



                     tan 1 x             tan 1  x 
        tan 1 x                                            tan 1  x 


       tan 1 x or   tan 1 x       tan 1  x  or 2  tan 1  x 
tan   x
x0                                 x0



                     tan 1 x             tan 1  x 
        tan 1 x                                            tan 1  x 


       tan 1 x or   tan 1 x       tan 1  x  or 2  tan 1  x 
                                           tan 1 x or 2  tan 1 x
tan   x
x0                                    x0



                        tan 1 x             tan 1  x 
        tan 1 x                                               tan 1  x 


       tan 1 x or   tan 1 x          tan 1  x  or 2  tan 1  x 
                                              tan 1 x or 2  tan 1 x

                   tan   x
                     k  tan 1 x    where k is an integer
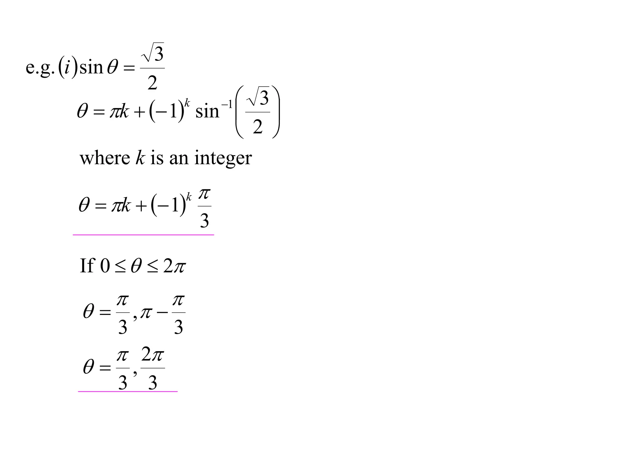
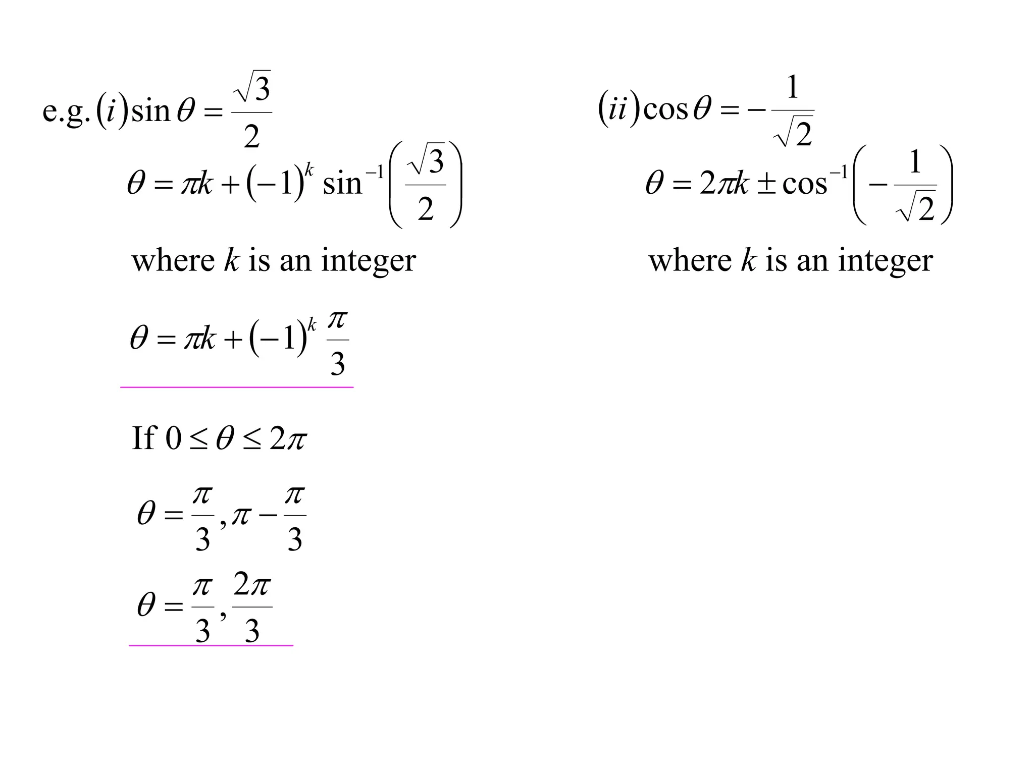
3
e.g. i  sin  
                    2
3
e.g. i  sin  
                2
                         1  3 
         k   1 sin  
                     k

                             2 
       where k is an integer
3
e.g. i  sin  
                2
                         1  3 
         k   1 sin  
                     k

                             2 
       where k is an integer
                         
         k   1k

                         3
3
e.g. i  sin  
                2
                         1  3 
         k   1 sin  
                     k

                             2 
       where k is an integer
                            
         k   1   k

                            3

        If 0    2
                   
          , 
              3     3
              2
         ,
              3 3
3                                  1
e.g. i  sin                        ii  cos  
                  2                                    2
                            1  3 
          k   1 sin  
                       k

                                2 
          where k is an integer
                            
         k   1   k

                            3

       If 0    2
                   
         , 
             3      3
             2
        ,
             3 3
3                                   1
e.g. i  sin                        ii  cos  
                  2                                     2
                            1  3                       1   1 
          k   1 sin  
                       k
                                               2k  cos   
                                2                             2
          where k is an integer              where k is an integer
                            
         k   1   k

                            3

       If 0    2
                   
         , 
             3      3
             2
        ,
             3 3
3                                   1
e.g. i  sin                        ii  cos  
                  2                                     2
                            1  3                       1   1 
          k   1 sin  
                       k
                                               2k  cos   
                                2                             2
          where k is an integer              where k is an integer
                                                   3
         k   1   k
                                            2k 
                            3                        4

       If 0    2
                   
         , 
             3      3
             2
        ,
             3 3
3                                   1
e.g. i  sin                        ii  cos  
                  2                                     2
                            1  3                       1   1 
          k   1 sin  
                       k
                                               2k  cos   
                                2                             2
          where k is an integer              where k is an integer
                                                   3
         k   1   k
                                            2k 
                            3                        4

       If 0    2                       If 0    2
                                            3     3
         ,                               ,2 
             3      3                          4      4
             2                              3 5
        ,                                 ,
             3 3                               4 4
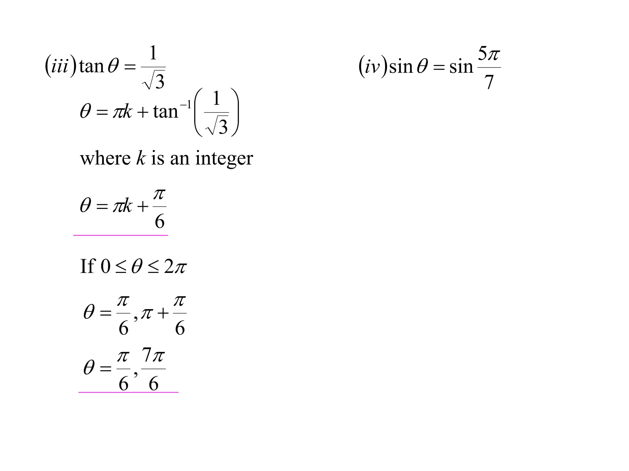
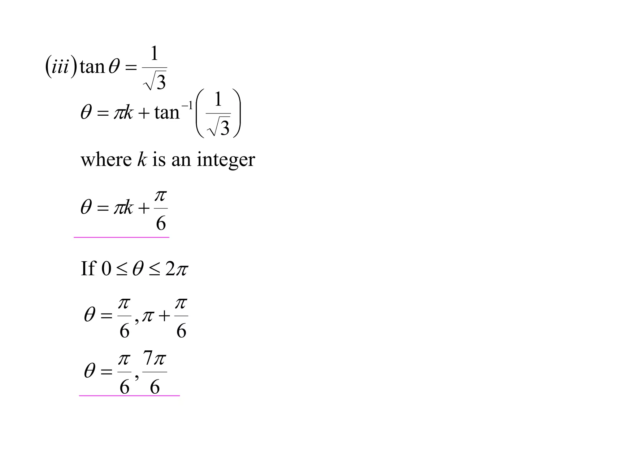
1
iii  tan  
                3
1
iii  tan  
                3
                   1  1 
        k  tan  
                       3
       where k is an integer
1
iii  tan  
                3
                   1  1 
        k  tan  
                       3
       where k is an integer
               
      k 
               6
1
iii  tan  
                3
                   1  1 
        k  tan  
                       3
       where k is an integer
               
      k 
               6

    If 0    2
                  
      , 
         6         6
          7
     ,
         6 6
1                                 
iii  tan                   iv  sin   sin 5
                3                                7
                   1  1 
        k  tan  
                       3
       where k is an integer
               
      k 
               6

    If 0    2
                  
      , 
         6         6
          7
     ,
         6 6
1                                 
iii  tan                   iv  sin   sin 5
                3                             7
                   1  1                                    5
        k  tan                 k   1k sin 1 sin
                       3                                     7
       where k is an integer
               
      k 
               6

    If 0    2
                  
      , 
         6         6
          7
     ,
         6 6
1                                 
iii  tan                   iv  sin   sin 5
                3                              7
                   1  1                                     5
        k  tan                  k   1k sin 1 sin
                       3                                      7
                                                   2
       where k is an integer         k   1k
                                                    7
               
      k                         where k is an integer
               6

    If 0    2
                  
      , 
         6         6
          7
     ,
         6 6
1                                 
iii  tan                   iv  sin   sin 5
                3                              7
                   1  1                                     5
        k  tan                  k   1k sin 1 sin
                       3                                      7
                                                   2
       where k is an integer         k   1k
                                                    7
               
      k                         where k is an integer
               6
                                                     
                               v  cos 2 x  cos
    If 0    2                                    9
                  
      , 
         6         6
          7
     ,
         6 6
1                                 
iii  tan                   iv  sin   sin 5
                3                              7
                   1  1                                     5
        k  tan                  k   1k sin 1 sin
                       3                                      7
                                                   2
       where k is an integer         k   1k
                                                    7
               
      k                         where k is an integer
               6
                                                     
                               v  cos 2 x  cos
    If 0    2                               9
                                                       
                                 2 x  2k  cos cos
                                                  1

      ,                                            9
         6         6
          7
     ,
         6 6
1                                 
iii  tan                   iv  sin   sin 5
                3                              7
                   1  1                                     5
        k  tan                  k   1k sin 1 sin
                       3                                      7
                                                   2
       where k is an integer         k   1k
                                                    7
               
      k                         where k is an integer
               6
                                                     
                               v  cos 2 x  cos
    If 0    2                                9
                                                       
                                 2 x  2k  cos cos
                                                   1

      ,                                            9
         6         6                           
                                   2 x  2k 
          7                                   9
     ,
         6 6
1                                 
iii  tan                   iv  sin   sin 5
                3                              7
                   1  1                                     5
        k  tan                  k   1k sin 1 sin
                       3                                      7
                                                   2
       where k is an integer         k   1k
                                                    7
               
      k                         where k is an integer
               6
                                                     
                               v  cos 2 x  cos
    If 0    2                                9
                                                       
                                 2 x  2k  cos cos
                                                   1

      ,                                            9
         6         6                           
                                   2 x  2k 
          7                                   9
     ,                                      
         6 6                         x  k 
                                              18
                                     where k is an integer
Exercise 1F; 4 to 8 ace etc
         9 to 11
          12ac

12 x1 t05 06 general solutions (2012)

  • 1.
    General Solutions of Trig Equations
  • 2.
    General Solutions of Trig Equations sin   x
  • 3.
    General Solutions of Trig Equations sin   x x0
  • 4.
    General Solutions of Trig Equations sin   x x0 sin 1 x sin 1 x
  • 5.
    General Solutions of Trig Equations sin   x x0 sin 1 x sin 1 x   sin 1 x or   sin 1 x
  • 6.
    General Solutions of Trig Equations sin   x x0 x0 sin 1 x sin 1 x   sin 1 x or   sin 1 x
  • 7.
    General Solutions of Trig Equations sin   x x0 x0 sin 1 x sin 1 x sin 1  x  sin 1  x    sin 1 x or   sin 1 x
  • 8.
    General Solutions of Trig Equations sin   x x0 x0 sin 1 x sin 1 x sin 1  x  sin 1  x    sin 1 x or   sin 1 x     sin 1  x  or 2  sin 1  x 
  • 9.
    General Solutions of Trig Equations sin   x x0 x0 sin 1 x sin 1 x sin 1  x  sin 1  x    sin 1 x or   sin 1 x     sin 1  x  or 2  sin 1  x      sin 1 x or 2  sin 1 x
  • 10.
    General Solutions of Trig Equations sin   x x0 x0 sin 1 x sin 1 x sin 1  x  sin 1  x    sin 1 x or   sin 1 x     sin 1  x  or 2  sin 1  x      sin 1 x or 2  sin 1 x sin   x   k   1k sin 1 x where k is an integer
  • 11.
  • 12.
  • 13.
    cos  x x0 cos 1 x cos 1 x
  • 14.
    cos  x x0 cos 1 x cos 1 x   cos 1 x or 2  cos 1 x
  • 15.
    cos  x x0 x0 cos 1 x cos 1 x   cos 1 x or 2  cos 1 x
  • 16.
    cos  x x0 x0 cos 1 x cos 1  x  cos 1 x cos 1  x    cos 1 x or 2  cos 1 x
  • 17.
    cos  x x0 x0 cos 1 x cos 1  x  cos 1 x cos 1  x    cos 1 x or 2  cos 1 x     cos 1  x  or   cos 1  x 
  • 18.
    cos  x x0 x0 cos 1 x cos 1  x  cos 1 x cos 1  x    cos 1 x or 2  cos 1 x     cos 1  x  or   cos 1  x        cos 1 x  or     cos 1 x   cos 1 x or 2  cos 1 x
  • 19.
    cos  x x0 x0 cos 1 x cos 1  x  cos 1 x cos 1  x    cos 1 x or 2  cos 1 x     cos 1  x  or   cos 1  x        cos 1 x  or     cos 1 x   cos 1 x or 2  cos 1 x cos  x   2k  cos 1 x where k is an integer
  • 20.
  • 21.
    tan  x x0
  • 22.
    tan  x x0 tan 1 x tan 1 x
  • 23.
    tan  x x0 tan 1 x tan 1 x   tan 1 x or   tan 1 x
  • 24.
    tan  x x0 x0 tan 1 x tan 1 x   tan 1 x or   tan 1 x
  • 25.
    tan  x x0 x0 tan 1 x tan 1  x  tan 1 x tan 1  x    tan 1 x or   tan 1 x
  • 26.
    tan  x x0 x0 tan 1 x tan 1  x  tan 1 x tan 1  x    tan 1 x or   tan 1 x     tan 1  x  or 2  tan 1  x 
  • 27.
    tan  x x0 x0 tan 1 x tan 1  x  tan 1 x tan 1  x    tan 1 x or   tan 1 x     tan 1  x  or 2  tan 1  x      tan 1 x or 2  tan 1 x
  • 28.
    tan  x x0 x0 tan 1 x tan 1  x  tan 1 x tan 1  x    tan 1 x or   tan 1 x     tan 1  x  or 2  tan 1  x      tan 1 x or 2  tan 1 x tan   x   k  tan 1 x where k is an integer
  • 29.
    3 e.g. i sin   2
  • 30.
    3 e.g. i sin   2 1  3    k   1 sin   k  2  where k is an integer
  • 31.
    3 e.g. i sin   2 1  3    k   1 sin   k  2  where k is an integer    k   1k 3
  • 32.
    3 e.g. i sin   2 1  3    k   1 sin   k  2  where k is an integer    k   1 k 3 If 0    2     ,  3 3  2  , 3 3
  • 33.
    3 1 e.g. i  sin   ii  cos   2 2 1  3    k   1 sin   k  2  where k is an integer    k   1 k 3 If 0    2     ,  3 3  2  , 3 3
  • 34.
    3 1 e.g. i  sin   ii  cos   2 2 1  3  1  1    k   1 sin   k   2k  cos     2   2 where k is an integer where k is an integer    k   1 k 3 If 0    2     ,  3 3  2  , 3 3
  • 35.
    3 1 e.g. i  sin   ii  cos   2 2 1  3  1  1    k   1 sin   k   2k  cos     2   2 where k is an integer where k is an integer  3   k   1 k   2k  3 4 If 0    2     ,  3 3  2  , 3 3
  • 36.
    3 1 e.g. i  sin   ii  cos   2 2 1  3  1  1    k   1 sin   k   2k  cos     2   2 where k is an integer where k is an integer  3   k   1 k   2k  3 4 If 0    2 If 0    2   3 3   ,    ,2  3 3 4 4  2 3 5  ,  , 3 3 4 4
  • 37.
  • 38.
    1 iii  tan  3 1  1    k  tan    3 where k is an integer
  • 39.
    1 iii  tan  3 1  1    k  tan    3 where k is an integer    k  6
  • 40.
    1 iii  tan  3 1  1    k  tan    3 where k is an integer    k  6 If 0    2     ,  6 6  7  , 6 6
  • 41.
    1  iii  tan   iv  sin   sin 5 3 7 1  1    k  tan    3 where k is an integer    k  6 If 0    2     ,  6 6  7  , 6 6
  • 42.
    1  iii  tan   iv  sin   sin 5 3 7 1  1  5   k  tan     k   1k sin 1 sin  3 7 where k is an integer    k  6 If 0    2     ,  6 6  7  , 6 6
  • 43.
    1  iii  tan   iv  sin   sin 5 3 7 1  1  5   k  tan     k   1k sin 1 sin  3 7 2 where k is an integer   k   1k 7    k  where k is an integer 6 If 0    2     ,  6 6  7  , 6 6
  • 44.
    1  iii  tan   iv  sin   sin 5 3 7 1  1  5   k  tan     k   1k sin 1 sin  3 7 2 where k is an integer   k   1k 7    k  where k is an integer 6  v  cos 2 x  cos If 0    2 9     ,  6 6  7  , 6 6
  • 45.
    1  iii  tan   iv  sin   sin 5 3 7 1  1  5   k  tan     k   1k sin 1 sin  3 7 2 where k is an integer   k   1k 7    k  where k is an integer 6  v  cos 2 x  cos If 0    2 9    2 x  2k  cos cos 1   ,  9 6 6  7  , 6 6
  • 46.
    1  iii  tan   iv  sin   sin 5 3 7 1  1  5   k  tan     k   1k sin 1 sin  3 7 2 where k is an integer   k   1k 7    k  where k is an integer 6  v  cos 2 x  cos If 0    2 9    2 x  2k  cos cos 1   ,  9 6 6  2 x  2k   7 9  , 6 6
  • 47.
    1  iii  tan   iv  sin   sin 5 3 7 1  1  5   k  tan     k   1k sin 1 sin  3 7 2 where k is an integer   k   1k 7    k  where k is an integer 6  v  cos 2 x  cos If 0    2 9    2 x  2k  cos cos 1   ,  9 6 6  2 x  2k   7 9  ,  6 6 x  k  18 where k is an integer
  • 48.
    Exercise 1F; 4to 8 ace etc 9 to 11 12ac