СОРИЛ 27                           ЖИШИГ ДААЛГАВАР C
              Амжилт хүсье!                                               Анги 10                          Хугацаа 90 минут

  1. -4.5 тооны бүхэл ба бутархай хэсгийн нийлбэрийг ол.

                   A. −8; 4           B. −3, 4 C. −4, 2                         D. −4,5             E. 0

       ax − ab + x 2 − xb
  2.                      илэрхийллийг хялбарчил.
       ab + xb − ax − x 2
               A. a + x        B. −1        C. a                                D. 1                 E . −a
                                       ସ
  3. Сурагч бүх дэвтрийнхээ буюу 20-н ширхэгийг хэрэглэжээ.Сурагч хэдэндэвтэртэй байсан бэ?
                                       ହ
                                                           Сурагч
                    A. 200             C. 50
                                      B. 100            D. 25            E. 15
  4. x + px + 12 = 0 тэгшитгэлийнязгуурууд x1 , x 2 бөгөөд x1 − x 2 = 1 бол p-г ол
        2
                                                                              г ол.
                    A. −7 B. 7                    C. 9                 D. ±7              E. Зөв хариу алга
                                                                                               в
         2           1           1
  5. 10 + 25 = 4, 25 ⋅ 50 тэгшитгэл бод.
         x           x           x



                                      1                                                                   1 1
       А) {−1;1}               B)                         C) {∅}              D) {0}                E)  − ; 
                                      2                                                                   2 2

       2log2 x + xlog2 x = 4
              2
  6.
                                                                          1                         3    3
                   A) 0                    B) 1                      C)                        D)     E)
                                                                          2                         2    2
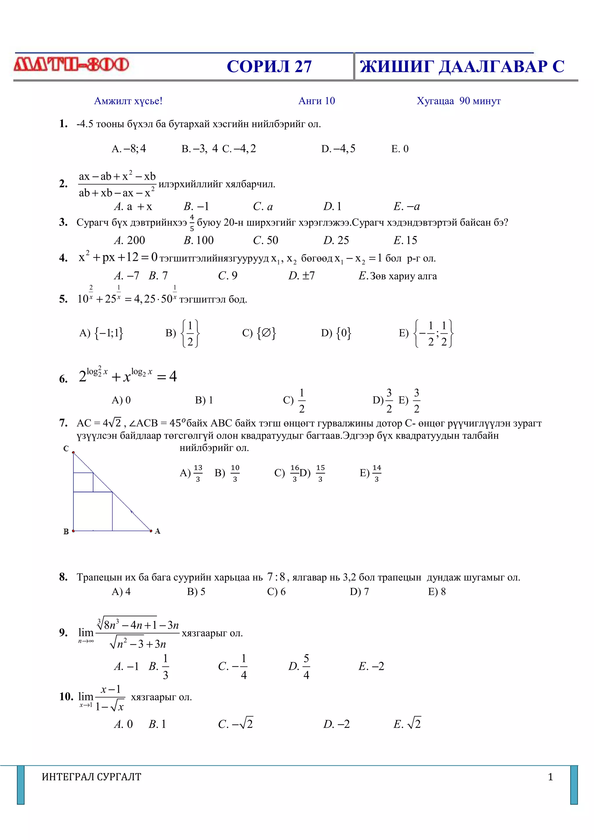
  7. AC = 4√2 , ∠ACB = 45௢ байх ABC байх тэгш өнцөгт гурвалжины дотор C- өнцөг рүүчиглүүлэн зурагт
       үзүүлсэн байдлаар төгсгөлгүй олон квадратуудыг багтаав.Эдгээр бүх квадратуудын талбайн
                                  й                                    х
                            нийлбэрийг ол.
                                           ଵଷ          ଵ଴              ଵ଺   ଵହ                 ଵସ
                                      A)          B)             C)      D)               E)
                                           ଷ           ଷ               ଷ    ଷ                  ଷ




  8. Трапецын их ба бага суурийн харьцаа нь 7 : 8 , ялгавар нь 3,2 бол трапецын дундаж шугамыг ол.
                   А) 4
                    )                  B) 5                     C) 6                   D) 7                   E) 8

              3
                  8n3 − 4n + 1 − 3n
  9. lim                              хязгаарыг ол.
       n →∞
                n 2 − 3 + 3n
                           1                                1               5
                A. −1 B.                          C. −                 D.                 E. −2
                           3                                4               4
             x −1
  10. lim           хязгаарыг ол.
       x →1 1 −  x
                A. 0 B. 1                         C. − 2                        D. −2                E. 2



ИНТЕГРАЛ СУРГАЛТ                                                                                                              1
СОРИЛ 27                  ЖИШИГ ДААЛГАВАР C




  11. Параллелипипедийн ирмэгүү 6,6,7 бол түүний диагоналийн урт хэд вэ?
                             үүд

            A. 6           B)   11         C) 12           D) 11           E) 7

  12. 0,1,2,3,4,5цифрүүдээр цифр давталг 5-д хуваагдах 6 оронтой тоо хэдийг зохиож болох вэ?
                                 давталгүй
               A. 120 B. 96        C. 216          D. 60         E. 260
  13. 8 хүн санамсаргүй байдлаар урт сандал дээр эгнэн суужээ. Сонгогдсон 2 хү зэрэгцэн суух магадлал
                                                                             үн
                                                            1               1            1            1
      аль нь вэ?                                         А)             B)            C)           D)
                                                            2               3            4            5
          1
      E)
          6
  14. y = x функцийнграфикийнш
             функцийнграфикийншүргэгч y = 2 x − 5 шулуунтайпараллельбайх‫-ݔ‬
           2
                                                                          -ийнутгыгол.
              A. −1 B. 2          C. −2         D. 5           E. 1
             3                  5           π
  15. cosα = , cos (α + β ) = − ба α , β ∈  0,  бол cosβ -ийн утгыг ол.
             5                 13           2
                 33    62            63            14      11
              A.    B.            C.            D.      E.
                 65    65            65             65     65




ИНТЕГРАЛ СУРГАЛТ                                                                                      2

10 soril 27_jishig daalgavar_c

  • 1.
    СОРИЛ 27 ЖИШИГ ДААЛГАВАР C Амжилт хүсье! Анги 10 Хугацаа 90 минут 1. -4.5 тооны бүхэл ба бутархай хэсгийн нийлбэрийг ол. A. −8; 4 B. −3, 4 C. −4, 2 D. −4,5 E. 0 ax − ab + x 2 − xb 2. илэрхийллийг хялбарчил. ab + xb − ax − x 2 A. a + x B. −1 C. a D. 1 E . −a ସ 3. Сурагч бүх дэвтрийнхээ буюу 20-н ширхэгийг хэрэглэжээ.Сурагч хэдэндэвтэртэй байсан бэ? ହ Сурагч A. 200 C. 50 B. 100 D. 25 E. 15 4. x + px + 12 = 0 тэгшитгэлийнязгуурууд x1 , x 2 бөгөөд x1 − x 2 = 1 бол p-г ол 2 г ол. A. −7 B. 7 C. 9 D. ±7 E. Зөв хариу алга в 2 1 1 5. 10 + 25 = 4, 25 ⋅ 50 тэгшитгэл бод. x x x 1   1 1 А) {−1;1} B)   C) {∅} D) {0} E)  − ;  2  2 2 2log2 x + xlog2 x = 4 2 6. 1 3 3 A) 0 B) 1 C) D) E) 2 2 2 7. AC = 4√2 , ∠ACB = 45௢ байх ABC байх тэгш өнцөгт гурвалжины дотор C- өнцөг рүүчиглүүлэн зурагт үзүүлсэн байдлаар төгсгөлгүй олон квадратуудыг багтаав.Эдгээр бүх квадратуудын талбайн й х нийлбэрийг ол. ଵଷ ଵ଴ ଵ଺ ଵହ ଵସ A) B) C) D) E) ଷ ଷ ଷ ଷ ଷ 8. Трапецын их ба бага суурийн харьцаа нь 7 : 8 , ялгавар нь 3,2 бол трапецын дундаж шугамыг ол. А) 4 ) B) 5 C) 6 D) 7 E) 8 3 8n3 − 4n + 1 − 3n 9. lim хязгаарыг ол. n →∞ n 2 − 3 + 3n 1 1 5 A. −1 B. C. − D. E. −2 3 4 4 x −1 10. lim хязгаарыг ол. x →1 1 − x A. 0 B. 1 C. − 2 D. −2 E. 2 ИНТЕГРАЛ СУРГАЛТ 1
  • 2.
    СОРИЛ 27 ЖИШИГ ДААЛГАВАР C 11. Параллелипипедийн ирмэгүү 6,6,7 бол түүний диагоналийн урт хэд вэ? үүд A. 6 B) 11 C) 12 D) 11 E) 7 12. 0,1,2,3,4,5цифрүүдээр цифр давталг 5-д хуваагдах 6 оронтой тоо хэдийг зохиож болох вэ? давталгүй A. 120 B. 96 C. 216 D. 60 E. 260 13. 8 хүн санамсаргүй байдлаар урт сандал дээр эгнэн суужээ. Сонгогдсон 2 хү зэрэгцэн суух магадлал үн 1 1 1 1 аль нь вэ? А) B) C) D) 2 3 4 5 1 E) 6 14. y = x функцийнграфикийнш функцийнграфикийншүргэгч y = 2 x − 5 шулуунтайпараллельбайх‫-ݔ‬ 2 -ийнутгыгол. A. −1 B. 2 C. −2 D. 5 E. 1 3 5  π 15. cosα = , cos (α + β ) = − ба α , β ∈  0,  бол cosβ -ийн утгыг ол. 5 13  2 33 62 63 14 11 A. B. C. D. E. 65 65 65 65 65 ИНТЕГРАЛ СУРГАЛТ 2