Interference
Superposition Principle
For all linear systems, the net response at a given place and time caused by two
or more stimuli is the sum of the responses which would have been caused by
each stimulus individually. So if input A produces response X and input B
produces Y than input (A+B) produces response (X+Y).
Interference
When the light from two different sources with same frequency and having a
constant phase difference move in the same direction, then these light wave trains
superimpose upon each other. This results in the modification of distribution of
intensity of light. This modification of the intensity of light resulting from the
superposition of wave is called interference.
Coherent Sources
Two sources are said to be coherent if they emit light of same frequency and
always having a constant phase difference between them.
At some points the resultant intensity is greater than the sum of the intensities of
the waves.
Destructive Interference
Constructive Interference
At some points the resultant intensity is smaller than the sum of the intensities of
the waves.
21 III 
21 III 
This is called Constructive Interference.
This is called Destructive Interference.
The wave front originating from a common source is divided into two parts by
using mirrors, prisms or lenses and the two wave fronts thus separated travels and
finally brought together to produce interference.
In this type sources are small like a point source.
Classification of Interference
1. Division of Wave front
2. Division of Amplitude
The amplitude of the incoming beam is divided into two parts either by partial
reflection or refraction. These two parts travel in different paths and finally brought
together to produce interference.
In this type broad sources are required.
Young’s Double Slit Experiment:
crest
Trough
S
(Coherent Source)
S1
S2
(Slit) (Screen)
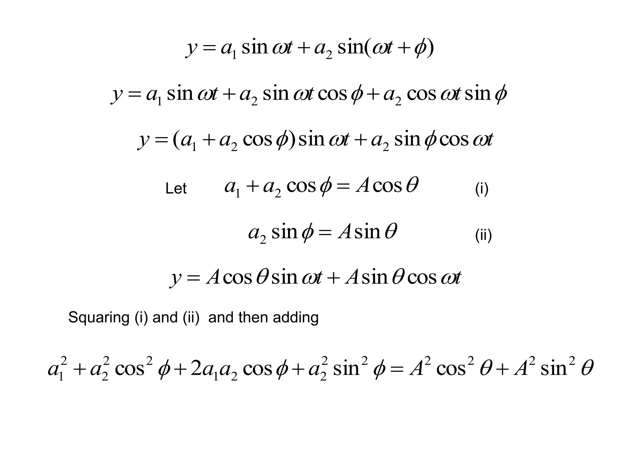
Let S be a narrow slit illuminated by a monochromatic light of wavelength λ. S1 and S2
are two narrow slits close to each other and equidistant from S. Suppose is the
frequency of the waves. Let a1 and a2 be the amplitudes of the two wave coming out of
S1 and S2.
Analytical treatment of Interference
tay sin11 

The displacement y1 due to one wave from S1 at any instant t is
The displacement y2 due to other wave from S2 at any instant t is
)sin(22   tay
Where Φ is the constant phase difference between the two waves.
The resultant displacement at P is the algebraic sum of the individual
displacements
21 yyy 
)sin(sin 21   tatay
Squaring (i) and (ii) and then adding
 222222
221
22
2
2
1 sincossincos2cos AAaaaaa 
 sincoscossinsin 221 tatatay 
tataay  cossinsin)cos( 221 
 coscos21 Aaa 
 sinsin2 Aa 
tAtAy  cossinsincos 
(i)
(ii)
Let
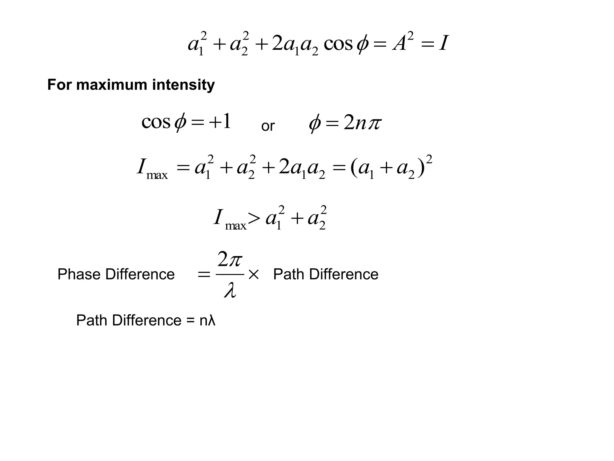
For maximum intensity
1cos 
2
2
2
1max aaI 
or
IAaaaa  2
21
2
2
2
1 cos2 
 n2
2
2121
2
2
2
1max )(2 aaaaaaI 
Phase Difference Path Difference

2
Path Difference = nλ
For minimum intensity
1cos 
2
2
2
1min aaI 
or
IAaaaa  2
21
2
2
2
1 cos2 
 )12(  n
2
2121
2
2
2
1min )(2 aaaaaaI 
Phase Difference Path Difference

2
Path Difference
For good contrast
21 aa 
2
max 4aI  0minIand
2
)12(

 n
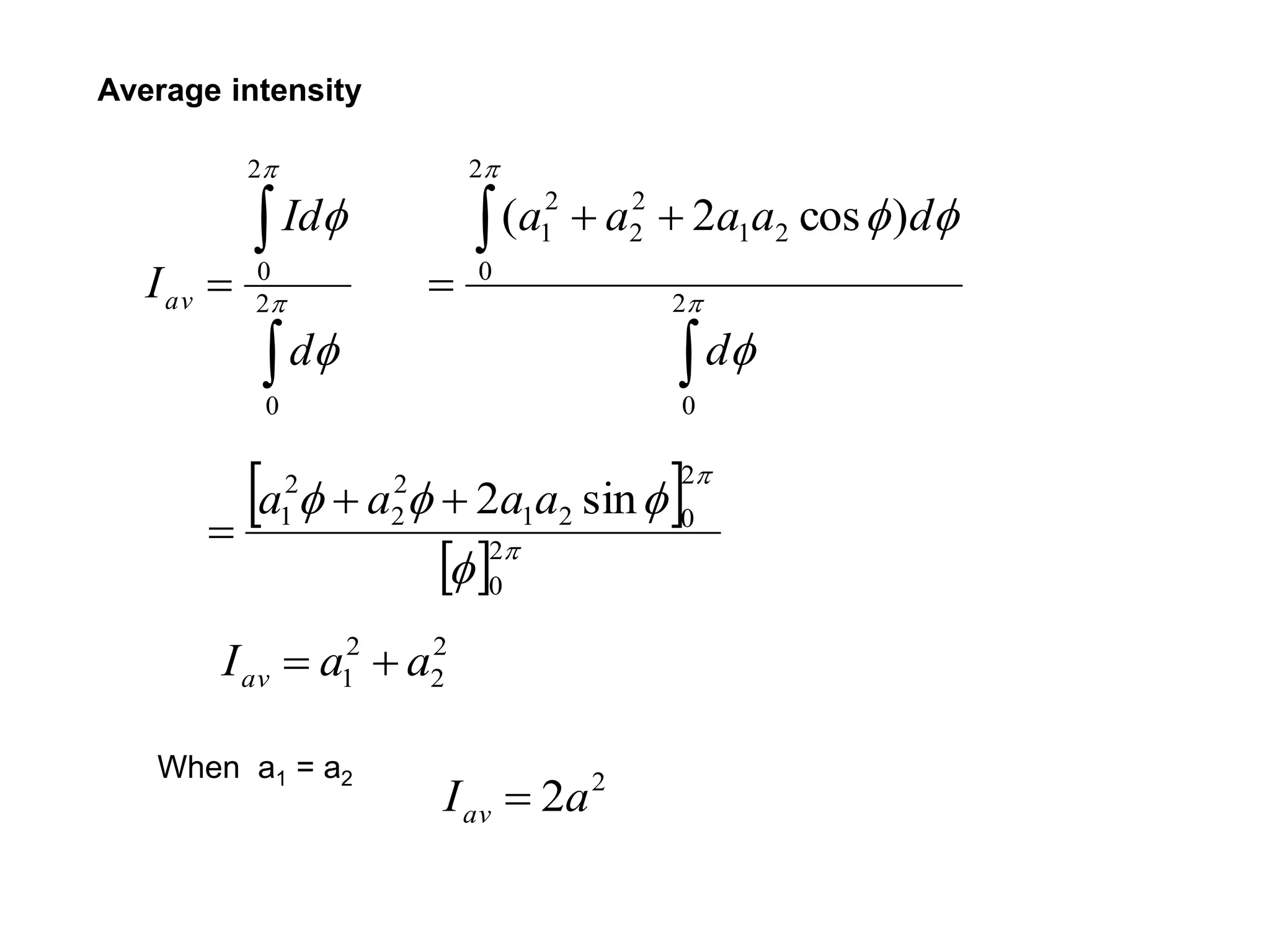
Average intensity


 



2
0
2
0
d
Id
Iav
When a1 = a2

 
 



2
0
2
0
21
2
2
2
1 )cos2(
d
daaaa
 
  



2
0
2
021
2
2
2
1 sin2 aaaa 

2
2
2
1 aaIav 
2
2aIav 
Conditions for sustained interference:
Two light sources must be coherent.
Two coherent sources must be narrow, otherwise a single source
will act as a multi sources.
The amplitude of two waves should be equal so that we can get
good contrast between bright and dark fringes.
The distance between two coherent sources must be small.
The distance between two coherent sources and screen should be
reasonable. The large distances of screen reduce to intensity.
Calculation of the fringe width:
To determine the spacing between the bands/ fringes and
the intensity at point P.
D
S1
2d
S2
S
(Coherent Source)
Slit
Screen
O
P
d
d
N
M
x
Path difference (Δ) = S2P-S1P
To calculate S2P, consider the ∆S2NP
22
2
2
2 NPNSPS 
 222
2 dxDPS 
  2
1
2
2
2 1 




 

D
dx
DPSor
Expending by binomial theorem
 








 2
2
2
2
1
1
D
dx
DPS
Therefore, higher power term of D can be neglected. Then we get
 





 
 2
2
2
2
1
D
dx
DPS
 





 

D
dx
DPS
2
2
2or
 dxD Here
Similarly, we can calculate S1P, consider the ∆S1MP
 





 

D
dx
DPS
2
2
1
Then the path difference is (Δ) = S2P - S1P
D
xd2

For the nth fringe the path difference =
D
dxn2
(a)Bright Fringes:
The path difference should be equal to n
.
n
D
dxn

2
n
d
D
xn
2
 where n = 0, 1, 2, 3, 4, ----------------
   n
d
D
n
d
D
xx nn
2
1
2
1 
 n
d
D
d
D
n
d
D
222
 
d
D
2


d
D
2

The distance between two consecutive fringes is also known as fringe width.
 
2
12

n
 
2
12
2 
 n
D
dxn
 
d
D
nxn
4
12


(b) Dark Fringes:
The path difference should be equal to
Point P to be dark
where n = 0, 1, 2, 3, 4, --------------
d
D
d
D
xx nn
24
2
1



d
D
2

Fringe width
 D
  







d
1

From the above equations, it is clear that fringe width β depends on
1. It is directly proportional to the distance between two coherent sources
and screen
2. It is directly proportional to the wavelength of light
3. It is inversely proportional to the spacing between two coherent sources
.
Fresnel’s Biprism:
Fresnel’s biprism is a device to produce two coherent
sources by division of wave front.
D
ba
Overlap
regionS
S2
S1
O
H
P
G
Q
Construction:
A biprism consists of a combination of two acute angled prisms placed
base to base.
The obtuse angle of the biprism is 179º and other two acute angles are 30’.
03 
03 
179°
(b) Determination of the distance between two virtual sources:
Displacement method is one of the methods to calculate the distance
between two virtual coherent sources:
U’
vu
v’
 
  lensandobjectbetweencedis
lensandimagebetweencedis
Oobjecttheofsize
Iimagetheofsize
tan
tan

According to the linear magnification produced by the lens:
Further the lens moves towards the eyepiece and a focused image of virtual
sources S1 and S2 is visible in eyepiece again. This time the image separation of S1 and
S2 should be appear different (d2) so that:
u
v
d
d
1
'
'2
u
v
d
d

(1)
(2)
d1d2
L2L1
S1
S2
d
1
2
d
d
d
d

21
2 ddd 
21ddd 
From equation (1) and (3), we get
or
But 'vu  and 'uv 
Thus equation (2) becomes
v
u
d
d
2
(3)
Applications of Fresnel’s Biprism:
Determination of thickness of thin sheet of transparent
material like glass or mica.
or
How to calculate the displacement of fringes when a mica
sheet is introduced in the path of interfering rays?
S1
2d
S2
t
x
D
Pm
O
v
t
c
tPS
T 

 1
c
t
c
tPS
T
m


 1
The time taken by light to reach P from S1 is
v
c
mBut
ttPScT m 1
  ttPSPS m 12
The path difference S2P and S1P will then be given by
The path difference between S2P and S1P is
   m nttPSPS  12
  m ntPSPS  112or
We have already calculated that  PSPS 12 
D
dxn2

  m nt
D
dxn
 1
2
  m nt
d
D
xn  1
2
or
Let the point P is the center of the nth bright fringe if the path difference is equal to nλ
Where xnis the distance of the nth bright fringe from the central fringe in the absence of mica.
The position of the central bright fringe when the mica sheet is placed in
the path S1P is obtained by putting n=0 in equation (1) we get
(1)
  t
d
D
x 1
2
0  m
m 0xSince >1 so that is positive.
(2)
The fringe width is
 
d
D
xx nn
2
1

   Using equation (1)
It means the fringe width is not affected by introduce of mica sheet.



d
D
2
Put these values in equation (2) we get,
 1
2 0


mD
dx
t
 1
0


m
x
tor
Thus we can calculate the thickness of mica sheet.
Light Reflection From Denser Media:
/2 Shift In Position of Wave
Inversion with /2 shift in position No inversion
Change of Phase on Reflection
When a wave of light is reflected at the surface of denser medium, it always gives a phase change
of π or path difference of λ/2
i Air
Glass
ar
at
r
NM
D
C
B
A
a
Here r and t are the reflection and the transmission coefficients when wave is travelling from rarer
to denser medium.
If we reverse the direction of reflected and transmitted light then according to the Principle of
reversibility , the original wave of amplitude a is produced, provided that there is no absorption of
energy
i Air
Glass
ar
at
r
NM
D
C
B
A
ar2+att’
art+atr’
Here r’ and t’ are the reflection and the transmission coefficients when wave is travelling from
denser to rarer medium.
The reversal of ar and at must reproduce the amplitude a. The sum of components along BE
should be zero.
0' atrart rr '
E
Interference due to Reflection:
Source
t
airinANpathfilminABCPath 
ii
rr
R1
R2
T1 T2
A
B
C
D
M
N
(Reflected rays)
(Transmitted rays)
The path difference between the reflected rays
  ANBCAB  m
r
AB
BM
cos

r
t
AB
cos

r
t
BC
cos
  BCAB 
r
BM
AM
tan
rBMAM tan
(1)
BM = t
and also
Now, for AN
rtAM tan
rtAC tan2
i
AC
AN
sin
iACAN sin
irtAN sintan2
r
r
i
r
r
t
sin
sin
sin
cos
sin
2 
r
r
r
t sin
cos
sin
2  m
ri sinsin m
r
r
tAN
cos
sin
2
2
m
AC = AM + CM
(because AM = CM)
or
r
r
t
r
t
r
t
cos
sin
2
coscos
2
mm 






r
r
t
r
t
cos
sin
2
cos
2 2
m
m

 r
r
t 2sin1
cos
2

m
r
r
t 2cos
cos
2m

rt cos2m
So that,
So that the actual path difference:
2
cos2

m  rt
As the ray is reflected from a denser medium, so an addition of
path difference of λ/2 will be there.
So for Maximum Intensity, path difference should be equal to
m nrt cos2


m nrt 
2
cos2
n
2
)12(cos2

m  nrt
Where n = 0,1,2,3,4,5…………………..
So for Minimum Intensity, path difference should be equal to
2
)12(

n
2
)12(
2
cos2

m  nrt
Where n = 0,1,2,3,4,5…………………..
Interference will not be perfect as there is difference in the amplitude of the reflected rays.
Production of colors in thin films:
When a thin film of oil on water, or a soap bubble, exposed to white light (such as
sunlight) is observed under the reflected light. The brilliant colors are seen due to
the following reasons
The path difference depend on the wavelength. It means the path
difference will be different for different colors, so that with the white light
the film shows various colors from violet to red.
The path difference also varies with the thickness of film so that various
colors appear for the same angle of incidence when seen in white light.
The path difference changes with the angle r and angle r changes with
angle i. So that the films assumes various colors when viewed from
different directions with white light.
Newton’s Rings:
Source
   
2
cos2

m  rt
 
2
cos2

m  rt
Actually the path difference between the interfering rays is
The effective path difference for large radius of curvature or for small angle θ


m nt 
2
2
 
2
122

m  nt
 
2
12
2
2

m  nt
  

m nnt 
22
122
m nt 2
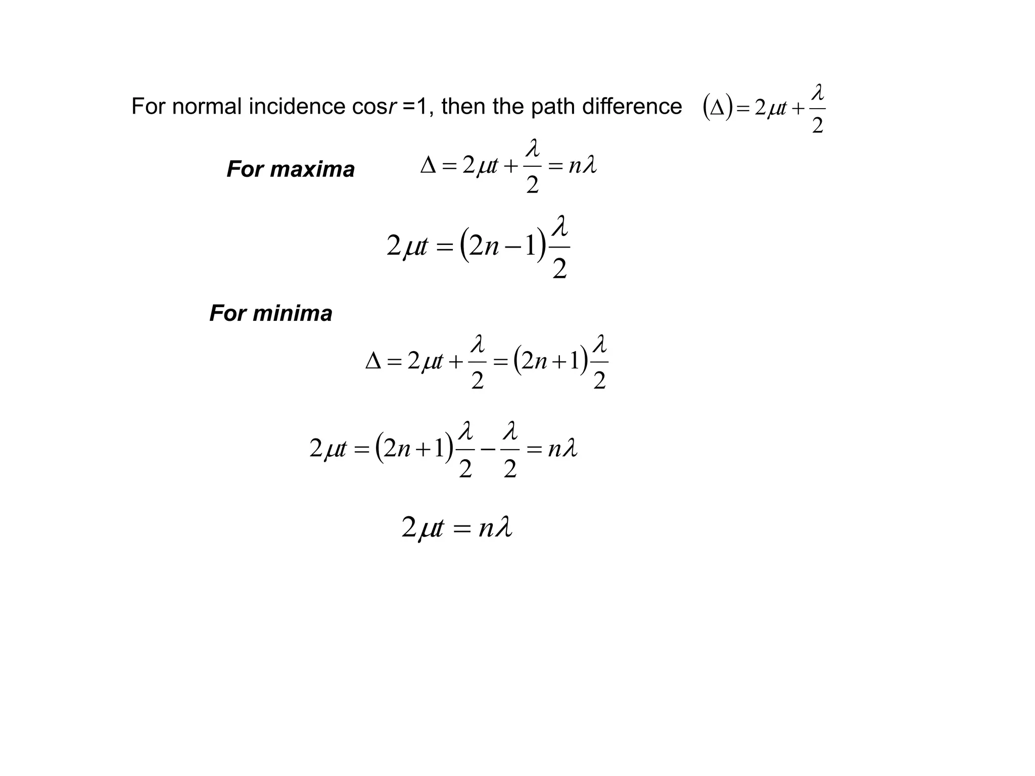
For normal incidence cosr =1, then the path difference  
2
2

m  t
For maxima
For minima
Why Central Ring is dark in Newton’s rings experiment
 
2
2

m  t
At point of contact t = 0
 
2


Path difference for dark ring  
2
12

n
For n = 0, Path difference
2


That’s why Central Ring is dark
How to calculate the radius or diameter of the nth fringe:
n
22 2 tRtn 
Rt 2
Rtn 22 
R
t n
2
2

Let be the radius of bright ring at point C and t is the thickness of air film at that point.
Let R be the radius of plano-convex lens. In triangle OAC
so that the higher power terms are neglected.
Therefore, we have
ρn
R
R
R-t
O
A
B
C
D
RttRR n 22222
 
 222
tRR n  
or
But t
 
2
122

m  nt
 
2
12
2
2
2

m  n
R
n
 
m


2
122 R
nn 
For constructive interference: We have,
 





 

m


2
12nR
n
 





 

m


2
12
22
nR
D nnDiameter
   
m

m
 122
2
1242 



nRnR
Dn
1mNow, for the air film the refractive index
Therefore,
Therefore,
 1222
 nRDn
12 nDn
Diameter of the nth bright ring is proportional to the square root of the odd natural numbers
For Dark rings
m nt 2
m n
R
pn

2
2
2
1mBut for air film
So,
Rnpn 2
Therefore,
RnDn 42

nDn
Diameter of the nth dark ring is proportional to the square root of the natural numbers
Rnpn 
Spacing between successive rings
This shows that the spacing decreases with increase in the order of the rings.
]1[1 nnkDD nn 
]12[12  kDD
]23[23  kDD
]34[34  kDD
    1222
 pnRD pn
       12212222
 nRpnRDD npn
 RnRRpRnR 24244 
  pRDD npn
422 

 
pR
DD npn
4
22 



Determination of wavelength of light by Newton’s Rings method
 thpn Now the diameter of bright ring,
Therefore,
 1222
 nRDn
For Air film,
RnD airn 4][ 2

Determination of refractive index of unknown liquid by Newton’s Rings method
For unknown liquid with refractive index m
m
Rn
D liquidn
4
][ 2

liquidn
airn
D
D
][
][
2
2
m

#1 interference

  • 1.
  • 2.
    Superposition Principle For alllinear systems, the net response at a given place and time caused by two or more stimuli is the sum of the responses which would have been caused by each stimulus individually. So if input A produces response X and input B produces Y than input (A+B) produces response (X+Y). Interference When the light from two different sources with same frequency and having a constant phase difference move in the same direction, then these light wave trains superimpose upon each other. This results in the modification of distribution of intensity of light. This modification of the intensity of light resulting from the superposition of wave is called interference. Coherent Sources Two sources are said to be coherent if they emit light of same frequency and always having a constant phase difference between them.
  • 3.
    At some pointsthe resultant intensity is greater than the sum of the intensities of the waves. Destructive Interference Constructive Interference At some points the resultant intensity is smaller than the sum of the intensities of the waves. 21 III  21 III  This is called Constructive Interference. This is called Destructive Interference.
  • 4.
    The wave frontoriginating from a common source is divided into two parts by using mirrors, prisms or lenses and the two wave fronts thus separated travels and finally brought together to produce interference. In this type sources are small like a point source. Classification of Interference 1. Division of Wave front 2. Division of Amplitude The amplitude of the incoming beam is divided into two parts either by partial reflection or refraction. These two parts travel in different paths and finally brought together to produce interference. In this type broad sources are required.
  • 5.
    Young’s Double SlitExperiment: crest Trough S (Coherent Source) S1 S2 (Slit) (Screen)
  • 6.
    Let S bea narrow slit illuminated by a monochromatic light of wavelength λ. S1 and S2 are two narrow slits close to each other and equidistant from S. Suppose is the frequency of the waves. Let a1 and a2 be the amplitudes of the two wave coming out of S1 and S2. Analytical treatment of Interference tay sin11   The displacement y1 due to one wave from S1 at any instant t is The displacement y2 due to other wave from S2 at any instant t is )sin(22   tay Where Φ is the constant phase difference between the two waves. The resultant displacement at P is the algebraic sum of the individual displacements 21 yyy 
  • 7.
    )sin(sin 21  tatay Squaring (i) and (ii) and then adding  222222 221 22 2 2 1 sincossincos2cos AAaaaaa   sincoscossinsin 221 tatatay  tataay  cossinsin)cos( 221   coscos21 Aaa   sinsin2 Aa  tAtAy  cossinsincos  (i) (ii) Let
  • 8.
    For maximum intensity 1cos 2 2 2 1max aaI  or IAaaaa  2 21 2 2 2 1 cos2   n2 2 2121 2 2 2 1max )(2 aaaaaaI  Phase Difference Path Difference  2 Path Difference = nλ
  • 9.
    For minimum intensity 1cos 2 2 2 1min aaI  or IAaaaa  2 21 2 2 2 1 cos2   )12(  n 2 2121 2 2 2 1min )(2 aaaaaaI  Phase Difference Path Difference  2 Path Difference For good contrast 21 aa  2 max 4aI  0minIand 2 )12(   n
  • 10.
    Average intensity        2 0 2 0 d Id Iav Whena1 = a2         2 0 2 0 21 2 2 2 1 )cos2( d daaaa         2 0 2 021 2 2 2 1 sin2 aaaa   2 2 2 1 aaIav  2 2aIav 
  • 11.
    Conditions for sustainedinterference: Two light sources must be coherent. Two coherent sources must be narrow, otherwise a single source will act as a multi sources. The amplitude of two waves should be equal so that we can get good contrast between bright and dark fringes. The distance between two coherent sources must be small. The distance between two coherent sources and screen should be reasonable. The large distances of screen reduce to intensity.
  • 12.
    Calculation of thefringe width: To determine the spacing between the bands/ fringes and the intensity at point P. D S1 2d S2 S (Coherent Source) Slit Screen O P d d N M x
  • 13.
    Path difference (Δ)= S2P-S1P To calculate S2P, consider the ∆S2NP 22 2 2 2 NPNSPS   222 2 dxDPS    2 1 2 2 2 1         D dx DPSor Expending by binomial theorem            2 2 2 2 1 1 D dx DPS
  • 14.
    Therefore, higher powerterm of D can be neglected. Then we get           2 2 2 2 1 D dx DPS           D dx DPS 2 2 2or  dxD Here Similarly, we can calculate S1P, consider the ∆S1MP           D dx DPS 2 2 1 Then the path difference is (Δ) = S2P - S1P D xd2  For the nth fringe the path difference = D dxn2
  • 15.
    (a)Bright Fringes: The pathdifference should be equal to n . n D dxn  2 n d D xn 2  where n = 0, 1, 2, 3, 4, ----------------    n d D n d D xx nn 2 1 2 1   n d D d D n d D 222   d D 2   d D 2  The distance between two consecutive fringes is also known as fringe width.
  • 16.
      2 12  n   2 12 2  n D dxn   d D nxn 4 12   (b) Dark Fringes: The path difference should be equal to Point P to be dark where n = 0, 1, 2, 3, 4, -------------- d D d D xx nn 24 2 1    d D 2  Fringe width
  • 17.
     D          d 1  From the above equations, it is clear that fringe width β depends on 1. It is directly proportional to the distance between two coherent sources and screen 2. It is directly proportional to the wavelength of light 3. It is inversely proportional to the spacing between two coherent sources .
  • 18.
    Fresnel’s Biprism: Fresnel’s biprismis a device to produce two coherent sources by division of wave front. D ba Overlap regionS S2 S1 O H P G Q
  • 19.
    Construction: A biprism consistsof a combination of two acute angled prisms placed base to base. The obtuse angle of the biprism is 179º and other two acute angles are 30’. 03  03  179°
  • 20.
    (b) Determination ofthe distance between two virtual sources: Displacement method is one of the methods to calculate the distance between two virtual coherent sources: U’ vu v’     lensandobjectbetweencedis lensandimagebetweencedis Oobjecttheofsize Iimagetheofsize tan tan  According to the linear magnification produced by the lens: Further the lens moves towards the eyepiece and a focused image of virtual sources S1 and S2 is visible in eyepiece again. This time the image separation of S1 and S2 should be appear different (d2) so that: u v d d 1 ' '2 u v d d  (1) (2) d1d2 L2L1 S1 S2 d
  • 21.
    1 2 d d d d  21 2 ddd  21ddd From equation (1) and (3), we get or But 'vu  and 'uv  Thus equation (2) becomes v u d d 2 (3)
  • 22.
    Applications of Fresnel’sBiprism: Determination of thickness of thin sheet of transparent material like glass or mica. or How to calculate the displacement of fringes when a mica sheet is introduced in the path of interfering rays? S1 2d S2 t x D Pm O
  • 23.
    v t c tPS T    1 c t c tPS T m   1 The time taken by light to reach P from S1 is v c mBut ttPScT m 1   ttPSPS m 12 The path difference S2P and S1P will then be given by
  • 24.
    The path differencebetween S2P and S1P is    m nttPSPS  12   m ntPSPS  112or We have already calculated that  PSPS 12  D dxn2    m nt D dxn  1 2   m nt d D xn  1 2 or Let the point P is the center of the nth bright fringe if the path difference is equal to nλ Where xnis the distance of the nth bright fringe from the central fringe in the absence of mica. The position of the central bright fringe when the mica sheet is placed in the path S1P is obtained by putting n=0 in equation (1) we get (1)
  • 25.
      t d D x1 2 0  m m 0xSince >1 so that is positive. (2) The fringe width is   d D xx nn 2 1     Using equation (1) It means the fringe width is not affected by introduce of mica sheet.    d D 2 Put these values in equation (2) we get,  1 2 0   mD dx t  1 0   m x tor Thus we can calculate the thickness of mica sheet.
  • 26.
    Light Reflection FromDenser Media: /2 Shift In Position of Wave Inversion with /2 shift in position No inversion
  • 27.
    Change of Phaseon Reflection When a wave of light is reflected at the surface of denser medium, it always gives a phase change of π or path difference of λ/2 i Air Glass ar at r NM D C B A a Here r and t are the reflection and the transmission coefficients when wave is travelling from rarer to denser medium.
  • 28.
    If we reversethe direction of reflected and transmitted light then according to the Principle of reversibility , the original wave of amplitude a is produced, provided that there is no absorption of energy i Air Glass ar at r NM D C B A ar2+att’ art+atr’ Here r’ and t’ are the reflection and the transmission coefficients when wave is travelling from denser to rarer medium. The reversal of ar and at must reproduce the amplitude a. The sum of components along BE should be zero. 0' atrart rr ' E
  • 29.
    Interference due toReflection: Source t airinANpathfilminABCPath  ii rr R1 R2 T1 T2 A B C D M N (Reflected rays) (Transmitted rays) The path difference between the reflected rays
  • 30.
      ANBCAB m r AB BM cos  r t AB cos  r t BC cos   BCAB  r BM AM tan rBMAM tan (1) BM = t and also Now, for AN
  • 31.
    rtAM tan rtAC tan2 i AC AN sin iACANsin irtAN sintan2 r r i r r t sin sin sin cos sin 2  r r r t sin cos sin 2  m ri sinsin m r r tAN cos sin 2 2 m AC = AM + CM (because AM = CM) or
  • 32.
    r r t r t r t cos sin 2 coscos 2 mm        r r t r t cos sin 2 cos 2 2 m m  r r t 2sin1 cos 2  m r r t 2cos cos 2m  rt cos2m So that, So that the actual path difference: 2 cos2  m  rt As the ray is reflected from a denser medium, so an addition of path difference of λ/2 will be there.
  • 33.
    So for MaximumIntensity, path difference should be equal to m nrt cos2   m nrt  2 cos2 n 2 )12(cos2  m  nrt Where n = 0,1,2,3,4,5………………….. So for Minimum Intensity, path difference should be equal to 2 )12(  n 2 )12( 2 cos2  m  nrt Where n = 0,1,2,3,4,5………………….. Interference will not be perfect as there is difference in the amplitude of the reflected rays.
  • 34.
    Production of colorsin thin films: When a thin film of oil on water, or a soap bubble, exposed to white light (such as sunlight) is observed under the reflected light. The brilliant colors are seen due to the following reasons The path difference depend on the wavelength. It means the path difference will be different for different colors, so that with the white light the film shows various colors from violet to red. The path difference also varies with the thickness of film so that various colors appear for the same angle of incidence when seen in white light. The path difference changes with the angle r and angle r changes with angle i. So that the films assumes various colors when viewed from different directions with white light.
  • 35.
    Newton’s Rings: Source    2 cos2  m  rt   2 cos2  m  rt Actually the path difference between the interfering rays is The effective path difference for large radius of curvature or for small angle θ
  • 36.
      m nt  2 2  2 122  m  nt   2 12 2 2  m  nt     m nnt  22 122 m nt 2 For normal incidence cosr =1, then the path difference   2 2  m  t For maxima For minima
  • 37.
    Why Central Ringis dark in Newton’s rings experiment   2 2  m  t At point of contact t = 0   2   Path difference for dark ring   2 12  n For n = 0, Path difference 2   That’s why Central Ring is dark
  • 38.
    How to calculatethe radius or diameter of the nth fringe: n 22 2 tRtn  Rt 2 Rtn 22  R t n 2 2  Let be the radius of bright ring at point C and t is the thickness of air film at that point. Let R be the radius of plano-convex lens. In triangle OAC so that the higher power terms are neglected. Therefore, we have ρn R R R-t O A B C D RttRR n 22222    222 tRR n   or But t
  • 39.
      2 122  m nt   2 12 2 2 2  m  n R n   m   2 122 R nn  For constructive interference: We have,           m   2 12nR n           m   2 12 22 nR D nnDiameter     m  m  122 2 1242     nRnR Dn
  • 40.
    1mNow, for theair film the refractive index Therefore, Therefore,  1222  nRDn 12 nDn Diameter of the nth bright ring is proportional to the square root of the odd natural numbers For Dark rings m nt 2 m n R pn  2 2 2 1mBut for air film So, Rnpn 2
  • 41.
    Therefore, RnDn 42  nDn Diameter ofthe nth dark ring is proportional to the square root of the natural numbers Rnpn 
  • 42.
    Spacing between successiverings This shows that the spacing decreases with increase in the order of the rings. ]1[1 nnkDD nn  ]12[12  kDD ]23[23  kDD ]34[34  kDD
  • 43.
       1222  pnRD pn        12212222  nRpnRDD npn  RnRRpRnR 24244    pRDD npn 422     pR DD npn 4 22     Determination of wavelength of light by Newton’s Rings method  thpn Now the diameter of bright ring, Therefore,  1222  nRDn
  • 44.
    For Air film, RnDairn 4][ 2  Determination of refractive index of unknown liquid by Newton’s Rings method For unknown liquid with refractive index m m Rn D liquidn 4 ][ 2  liquidn airn D D ][ ][ 2 2 m