UNIT 3: SHEET METAL PROCESS
Introduction, Shearing, sheet metal characteristics and formability,
blanking, piercing, forming, bending, drawing, deep drawing, spinning,
rubber forming, hydro forming, superplastic forming, hot stamping,
stretch forming, calculation of forces, spring back, progressive die,
compound die, combination die, working of mechanical press, hydraulic
press.
Introduction – Sheet Metal Process
• Products made by sheet metal are all around us (metal desks, file cabinets, car
bodies, beverage cans etc.,
• Sheet forming dates back to about 5000 B.C., when household utensils and
jewelry were made by hammering and stamping gold, silver and copper.
Cutting and forming operations performed on thin sheets of metal and performed as cold
working.
Press working or Press forming is used commonly in industry to describe general
sheet-forming operations, because they typically are performed on presses set of dies
The tooling that performs sheet metal working is called as a Punch & Die
A sheet-metal part produced in presses is called a stamping
Sheet 0.4 - 6mm
Plate > 6mm
Foil < sheet thickness
What is a sheet metal?
Sheet metal – advantages
• Sheet metal offers the advantage of light weight and versatile shape
as compared to those made by castings/forging.
• Low carbon steel (0.06%–0.15% C typical) is the most commonly
used sheet metal (cost, strength, formability).
• Aluminium and titanium are most common sheet materials for
aircraft and aerospace applications.
° The shape of the punch and die
° The speed of punching
° Lubrication
° The clearance, c, between the punch and the die.
4 important parameters of shearing
Shearing
Shearing is a cutting operation used to remove a blank of required dimensions from a
large sheet.
Shearing with A Punch and Die
This penetration zone is generally about one-third the thickness of
the sheet.
Features of a punched hole
A close look at the fractured surfaces will reveal that these are
quite rough and shiny; rough because of the cracks formed
earlier, and shiny because of the contact and rubbing of the
sheared edge against the walls of the die.
Characteristic sheared edges of the work.
8/21/2022 Manufacturing Process 8
Shearing
Effect of clearance
Points to be noted:
1) Optimum level of clearance is 2-10% of sheet thickness
2) If clearance is more, edges become rougher
Effect of clearance: (a) clearance too small causes less – than optimal fracture
and excessive forces; and (b) clearance too large causes oversized burr.
Clearance
The correct clearance depends on sheet-metal type and thickness. The
recommended clearance can be calculated by the following formula:
where c = clearance, mm (in); Ac = clearance allowance; and t = stock thickness, mm (in).
Cutting force
Estimates of cutting force are important this force determines the size (tonnage) of
the press needed. cutting force F sheet metal in metal working can be determined
by
where S = shear strength of the sheet metal, MPa (lb/in2); t = stock thickness,
mm (in), and L = length of the cut edge, mm (in).
8/21/2022 Manufacturing Process 10
Shearing
Shearing
Punch speed
1) More the punch speed, better is the surface finish
8/21/2022 Manufacturing Process 11
Shearing
Edge characteristics
1) Cut edges are not smooth (due to cracks)
2) Cut edges will be very shiny (due to the rubbing action of edges with die walls)
Shearing, Blanking and
Punching
i) SHEARING
Shearing operations
• Shearing may also be done using a punch and a die,
the operations that make use of a die are
punching,
blanking,
piercing,
notching,
trimming and
nibbling.
Punching and Blanking
• Punching or blanking is a process in which a punch
removes a portion of material from a larger piece or
a strip of sheet metal.
• In punching, the metal inside the part is removed, in
blanking the metal around the part is removed.
Blanking and Punching
ii) BLANKING iii) PUNCHING
Typical setup used for blanking, punching &
piercing operations
Cutoff is a shearing operation in which blanks are separated from a sheet-metal
strip by cutting the opposite sides of the part in sequence. With each cut, a new
part is produced.
Parting involves cutting a sheet-metal strip by a punch with two cutting edges
that match the opposite sides of the blank.
Cut off
Parting
Other sheet metal operations
(a) Cutt off, (b) Parting
Slotting
Slotting is the term sometimes used for a punching operation that cuts out an
elongated or rectangular hole.
Perforating
Perforating involves the simultaneous punching of a pattern of holes in sheet metal.
The hole pattern is usually for decorative purposes, or to allow passage of light, gas, or
fluid.
(a) Slotting, (b) perforating,
Other sheet metal operations
To obtain the desired outline of a blank, portions of the sheet metal are often
removed by notching and semi notching.
Notching involves cutting out a portion of metal from the side of the sheet or
strip.
Semi notching removes a portion of metal from the interior of the sheet.
(c) notching and semi notching
Other sheet metal operations
Trimming is a cutting operation performed on a formed part to remove excess
metal and establish size.
Shaving is a shearing operation performed with very small clearance to obtain
accurate dimensions and cut edges that are smooth and straight. Shaving is typically
performed as a secondary or finishing operation on parts that have been previously cut.
Fine blanking is a shearing operation used to blank sheet-metal parts with close
tolerances and smooth, straight edges in one step.
(a) Shaving and (b) fine blanking.
Symbols: v = motion of punch, Fh=
blank holding force.
In V-bending, the sheet metal is bent between a V-shaped punch and die. Included angles ranging
from very obtuse to very acute can be made with V-dies. V-bending is generally used for low-
production operations.
It is often performed on a press brake and the associated V-dies are relatively simple and
inexpensive.
Bending in sheet-metal work is defined as the straining of the metal around a straight axis.
Edge bending involves cantilever loading of the sheet metal. A pressure pad is used to apply a
force Fh to hold the base of the part against the die, while the punch forces the part to yield and
bend over the edge of the die.
In the setup shown in Figure , edge bending is limited to bends of 90 or less. More complicated
wiping dies can be designed for bend angles greater than 90. Because of the pressure pad,
wiping dies are more complicated and costly than V-dies and are generally used for high-
production work.
Two common bending methods: (a) V-bending and (b) edge bending; (1) before and (2) after
bending. Symbols: v = motion, F = applied bending force, Fh = blank.
where Ab = bend allowance, mm (in); a = bend angle, degrees; R = bend radius,
mm (in); t = stock thickness, mm (in); and Kba is factor to estimate stretching.
Bend Allowance
If the bend radius is small relative to stock thickness, the metal tends to stretch during bending.
It is important to be able to estimate the amount of stretching that occurs, if any, so that the
final part length will match the specified dimension.
The problem is to determine the length of the neutral axis before bending to account for
stretching of the final bent section. This length is called the bend allowance, and it can be
estimated as follows:
Spring back
When the bending pressure is removed at the end of the deformation operation, elastic
energy remains in the bent part, causing it to recover partially toward its original
shape.
This elastic recovery is called spring back, defined as the increase in included angle
of the bent part relative to the included angle of the forming tool after the tool is removed.
where SB = spring back; α’ = included angle of the sheet-metal part, degrees; & α’t = included angle
of the bending tool, degrees.
Spring back in bending shows itself as a decrease in bend angle and an increase in bend radius: (1) during the
operation, the work is forced to take the radius Rt and included angle a’b = determined by the bending tool
(punch in V-bending); (2) after the punch is removed, the work springs back to radius R and included angle a1.
Symbol: F = applied bending force.
Bending Force
The force required to perform bending depends on the geometry of
the punch-and-die and the strength, thickness, and length of the
sheet metal.
The maximum bending force can be estimated by means of the following
equation:
where F = bending force, N (lb); TS = tensile strength of the sheet metal, MPa (lb/in2); w = width of
part in the direction of the bend axis, mm (in); t = stock thickness, mm (in); and D = die opening
dimension
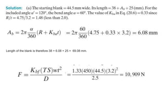
Problem no – 1
A sheet-metal blank is to be bent as shown in Figure 20.15. The metal has a modulus of elasticity = 205
(103) MPa, yield strength = 275 MPa, and tensile strength = 450 MPa. Determine (a) the starting blank
size and (b) the bending force if a V-die is used with a die opening dimension = 25 mm.
Length of the blank is therefore 38 + 6.08 + 25 = 69.08 mm.
Other bending operations:
(a) channel bending,
(b) U-bending,
(c) air bending,
(d) offset bending,
(e) corrugating, and
(f) tube forming.
Examples of various bending operations
Drawing is a sheet-metal-forming operation used to make cup-shaped, box-shaped,
or other complex-curved and concave parts.
Common parts made by drawing include beverage cans, stainless-steel kitchen
sinks, cooking pots, and automotive fuel tanks and body panels.
Drawing is a process of forming a flat pieces of material (blank) into hollow shape
by means of punch, which causes the blank to flow into the die – cavity.
There are two of drawing process
Shallow drawing – depth of formed cup ≤ D/2
Deep or moderate drawing - depth of formed cup > D/2
Drawing
The clearance in drawing is about 10% greater than the stock thickness:
c = 1:1 t
Db = blank diameter, Dp = punch diameter, Rd = die corner radius, Rp =
punch corner radius, F = drawing force, Fh = holding force.
Deep Drawing Process
Stages in deformation of the work in deep drawing: (1) punch makes initial contact with work, (2) bending, (3)
straightening, (4) friction and compression, and (5) final cup shape showing effects of thinning in the cup
walls. Symbols: v = motion of punch, F = punch force, Fh =blank holder force.
In order for the material in the flange to move toward the die opening, friction
between the sheet metal and the surfaces of the blank holder and the die must
be overcome.
Initially, static friction is involved until the metal starts to slide; then, after metal
flow begins, dynamic friction governs the process.
Lubricants or drawing compounds are generally used to reduce friction forces.
In addition to friction, compression is also occurring in the outer edge of the
blank.
Deep Drawing Process (cont..,)
As the metal in this portion of the blank is drawn toward the center, the
outer perimeter becomes smaller.
Because the volume of metal remains constant, the metal is squeezed and
becomes thicker as the perimeter is reduced.
This often results in wrinkling of the remaining flange of the blank,
especially when thin sheet metal is drawn, or when the blank holder force
is too low.
Deep Drawing Process (cont..,)
The holding force applied by the blank holder is now seen to be a critical
factor in deep drawing.
If it is too small, wrinkling occurs.
If it is too large, it prevents the metal from flowing properly toward the die
cavity, resulting in stretching and possible tearing of the sheet metal.
Determining the proper holding force involves a delicate balance between
these opposing factors.
Deep Drawing Process (cont..,)
Deep Drawing Ratio
This is most easily defined for a cylindrical shape as the ratio of blank diameter Db
to punch diameter Dp. In equation form.
Forces
The drawing force required to perform a given operation can be estimated roughly by
the formula:
where F = drawing force, N (lb); t = original blank thickness, mm (in); TS = tensile
strength, MPa (lb/in2); and Db and Dp are the starting blank diameter and punch
diameter, respectively, mm (in).
The holding force is an important factor in a drawing operation.
As a rough approximation, the holding pressure can be set at a value =
0.015 of the yield strength of the sheet metal.
This value is then multiplied by that portion of the starting area of the
blank that is to be held by the blank holder. In equation form,
where Fh = holding force in drawing, N (lb); Y = yield strength of the sheet metal ; t =
starting stock thickness, mm ; Rd = die corner radius, mm ; and the other terms have
been previously defined.
The holding force is usually about one-third the drawing force
Holding force
A drawing operation is used to form a cylindrical cup with inside
diameter = 75 mm and height = 50 mm. The starting blank size = 138
mm and the stock thickness = 2.4 mm. Based on these data, is the
operation feasible?
Solution: To assess feasibility, we determine the drawing ratio, reduction, and
thickness to-diameter ratio.
According to these measures, the drawing operation is feasible. The drawing ratio
is less than 2.0, the reduction is less than 50%, and the t/Db ratio is greater than
1%. These are general guidelines frequently used to indicate technical feasibility.
Problem no - 2
For the drawing operation of problem no - 2, determine (a) drawing force and
(b) holding force, given that the tensile strength of the sheet metal (low-carbon
steel) = 300 MPa and yield strength = 175 MPa. The die corner radius = 6 mm.
Solution: (a) Maximum drawing force is given by Eq.
(b) Holding force is estimated by Eq.
Reverse drawing
Drawing without a blank holder
Redrawing of a cup
Spinning
Spinning is a metal-forming process in which an axially symmetric part is
gradually shaped over a mandrel or form by means of a rounded tool or
roller.
The tool or roller applies a very localized pressure (almost a point contact) to
deform the work by axial and radial motions over the surface of the part.
Basic geometric shapes typically produced by spinning include cups, cones,
hemispheres, and tubes.
There are three types of spinning operations:
(1) conventional spinning,
(2) shear spinning, and
(3) tube spinning. a process is similar to that of forming clay
on a potter’s wheel.
Conventional Spinning
A sheet-metal disk is held against the end of a rotating mandrel of the
desired inside shape of the final part, while the tool or roller deforms the
metal against the mandrel.
The process requires a series of steps, as indicated in the figure, to
complete the shaping of the part. The tool position is controlled either by
a human operator, using a fixed fulcrum to achieve the required leverage,
or by an automatic method such as numerical control. These
alternatives are manual spinning and power spinning.
Power spinning has the capability to apply higher forces to the operation,
resulting in faster cycle times and greater work size capacity. It also
achieves better process control than manual spinning.
Conventional Spinning (cont..,)
Conventional spinning: (1) setup at
start of process; (2) during spinning;
and (3) completion of process.
Conventional Spinning (cont..,)
Types of parts conventionally spun. All parts are
axisymmetric.
Applications of conventional spinning include production of
conical and curved shapes in low quantities.
Very large diameter parts—up to 5 m (15ft) or more—can be
made by spinning. Alternative sheet-metal processes would
require excessively high die costs.
The form mandrel in spinning can be made of wood or other soft
materials that are easy to shape.
It is therefore a low-cost tool compared to the punch and die
required for deep drawing, which might be a substitute process for
some parts.
Conventional Spinning (cont..,)
In shear spinning, the part is formed over the mandrel by a shear deformation process in
which the outside diameter remains constant and the wall thickness is therefore
reduced.
This shear straining (and consequent thinning of the metal) distinguishes this process
from the bending action in conventional spinning.
Several other names have been used for shear spinning, including flow turning, shear
forming, and spin forging.
The process has been applied in the aerospace industry to form large parts such as
rocket nose cones.
Parts up to 3 m in diameter can be formed by shear spinning. This operation wastes little
material, and it can be completed in a relatively short time--in some cases in as little as
a few seconds. Various shapes can be spun with fairly simple tooling, which generally is
made of tool steel.
Shear spinning
The spinnability of a metal in this process generally is defined as the maximum
reduction in thickness to which a part can be subjected by spinning without
fracture.
Spinnability is found to be related to the tensile reduction of area of the material,
just as is bendability.
Thus, if a metal has a tensile reduction of area of 50% or higher, its thickness
can be reduced by as much as 80% in just one spinning pass.
Shear spinning
Shear spinning: (1) setup and (2) completion of
process.
Tube spinning is used to reduce the wall thickness and increase the
length of a tube by means of a roller applied to the work over a cylindrical mandrel.
Tube spinning is similar to shear spinning except that the starting workpiece
is a tube rather than a flat disk.
The operation can be performed by applying the roller against the work externally
(using a cylindrical mandrel on the inside of the tube) or internally (using a die to
surround the tube).
It is also possible to form profiles in the walls of the cylinder, by controlling the path
of the roller as it moves tangentially along the wall.
Tube spinning
Tube spinning: (a) external; (b) internal; and (c) profiling.
Tube spinning can be used to make rocket, missile, and jet-engine parts, pressure vessels, and
automotive components, such as car and truck Wheels.
Rubber Forming
The operations are
(1) Guerin process, and
(2) hydroforming.
Guerin Process
The Guerin process uses a thick rubber pad (or other flexible material) to
form sheet metal over a positive form block.
It is limited to relatively shallow forms, because the pressures developed by the
rubber—up to about 10 Mpa — are not sufficient to prevent wrinkling in deeper
formed parts.
As the ram descends, the rubber gradually surrounds the sheet, applying pressure
to deform it to the shape of the form block.
Guerin process: (1) before and (2) after
The advantage of the Guerin process is the relatively low cost of the tooling.
The form block can be made of wood, plastic, or other materials that are
easy to shape, and the rubber pad can be used with different form blocks.
These factors make rubber forming attractive in small-quantity production,
such as the aircraft industry, where the process was developed.
Polyurethanes are used widely
because of their abrasion
resistance, fatigue life, and
resistance to cutting or tearing.
Hydroforming is similar to the Guerin process; the difference is that it substitutes a
rubber diaphragm filled with hydraulic fluid in place of the thick rubber pad.
This allows the pressure that forms the work part to be increased—to around 100
MPa (15,000 lb/in2)—thus preventing wrinkling in deep formed parts.
In fact, deeper draws can be achieved with the hydro form process than with
conventional deep drawing.
This is because the uniform pressure in hydroforming forces the work to contact
the punch throughout its length, thus increasing friction and reducing the tensile
stresses that cause tearing at the base of the drawn cup.
Hydroforming
Hydro form process: (1) start-up, no fluid in cavity; (2) press closed, cavity pressurized
with hydraulic fluid; (3) punch pressed into work to form part.
Symbols: v = velocity, F = applied force, p = hydraulic pressure.
Superplastic Forming
The behavior of the material in superplastic forming is similar to that of bubble gum or hot glass, which, when blown, expands
many times its original diameter before it bursts.
Superplastic
Forming
For titanium alloys
e.g. Ti 6Al 4V and
some stainless steels
this is around 900 °C
(1,650 °F) and for
aluminium alloys it is
between 450–520
°C.
Commonly used die materials in superplastic forming are low-alloy
steels, cast tool steels, ceramics, graphite, and plaster of paris.
Stretch Forming
Stretch Forming
A number of sheet-metal operations are not performed on conventional
stamping presses. In this section we examine several of these processes:
(1) stretch forming,
(2) roll bending and forming,
(3) spinning, and
(4) high-energy-rate forming processes.
Stretch forming is a sheet-metal deformation process in which the sheet
metal is intentionally stretched and simultaneously bent in order to achieve
shape change
The work part is gripped by one or more jaws on each end and then
stretched and bent over a positive die containing the desired form.
The metal is stressed in tension to a level above its yield point. When
the tension loading is released, the metal has been plastically deformed.
The combination of stretching and bending results in relatively little
spring back in the part.
Stretch forming: (1) start of process; (2) form die is pressed in to the work with
force Fdie, causing it to be stretched and bent over the form. F = stretching force
where F = stretching force, N (lb); L = length of the sheet in the direction
perpendicular to stretching, mm (in); t = instantaneous stock thickness, mm (in);
and Yf = flow stress of the work metal, MPa (lb/in2).
F = LtYf
An estimate of the force required in stretch forming can be obtained by multiplying
the cross-sectional area of the sheet in the direction of pulling by the flow
stress of the metal. In equation form,
More complex contours are possible by stretch forming, but there are limitations
on how sharp the curves in the sheet can be.
Stretch forming is widely used in the aircraft and aerospace industries to
economically produce large sheet-metal parts in the low quantities
characteristic of those industries.
Dies
Nearly all of the preceding press working operations are performed
with conventional punch-and-die tooling.
The tooling is referred to as a die. It is custom-designed for the
particular part to be produced. The term stamping die is sometimes
used for high production dies.
Simple Die.
If only one operation is performed in One Stroke and at One Stage is
called as Simple Die.
Compound Die
A compound die performs two operations at a single station, such as
blanking and punching, or blanking and drawing.
A good example is a compound die that blanks and punches a
washer.
Combination Die
A combination die is less common; it performs two operations at two
different stations in the die.
Examples of applications include blanking two different parts
(e.g., right-hand and left-hand parts), or blanking and then bending the
same part.
Progressive die
A progressive die performs two or more operations on a sheet-metal
coil at two or more stations with each press stroke.
The part is fabricated progressively. The coil is fed from one station to
the next and different operations (e.g., punching, notching, bending,
and blanking) are performed at each station.
When the part exits the final station it has been completed and
separated (cut) from the remaining coil.
(a) Progressive die and
(b) associated strip
development
A press used for sheet metalworking is a machine tool with a stationary
bed and a powered ram (or slide) that can be driven toward and away
from the bed to perform various cutting and forming operations.
The relative positions of the bed and ram are established by the frame,
and the ram is driven by mechanical or hydraulic power.
When a die is mounted in the press, the punch holder is attached to
the ram, and the die holder is attached to a bolster plate of the press
bed.
Presses
Presses are available in a variety of capacities, power systems, and frame
types.
The capacity of a press is its ability to deliver the required force and
energy to accomplish the stamping operation.
This is determined by the physical size of the press and by its power system.
The power system refers to whether mechanical or hydraulic power is used
and the type of drive used to transmit the power to the ram.
Production rate is another important aspect of capacity. Type of frame refers to
the physical construction of the press.
There are two frame types in common use: gap frame and straight-sided
frame.
Presses
Gap Frame Presses
The gap frame has the general configuration of the letter C and is often referred to as a C-
frame. Gap frame presses provide good access to the die, and they are usually open in the back
to permit convenient ejection of stampings or scrap.
The principal types of gap frame press are
(a) solid gap frame,
(b) adjustable bed,
(c) open back inclinable,
(d) press brake, and
(e) turret press
Components of a typical (mechanical drive) stamping press.
Gap frame press for sheet metalworking.
(Photo courtesy of E. W. Bliss Company, Hastings,
Michigan.).
Capacity = 1350 kN (150 tons).
The adjustable bed frame press is a variation of the gap frame, in which
an adjustable bed is added to accommodate various die sizes. The
adjustment feature results in some sacrifice of tonnage capacity.
Press brake
The press brake is a gap frame press with a very wide bed. The model in Figure has a
bed width of 9.15 m.
This allows a number of separate dies (simple V-bending dies are typical) to be set up
in the bed, so that small quantities of stampings can be made economically.
These low quantities of parts, sometimes requiring multiple bends at different angles,
necessitate a manual operation.
Press brake with bed width of 9.15 m (30 ft)
and capacity of 11,200 kN (1250 tons);
two workers are shown positioning
plate stock for bending.
(Photo courtesy of Niagara Machine & Tool
Works, Buffalo, New York.)
Turret press
Turret presses are suited to situations in which a sequence of punching,
notching, and related cutting operations must be accomplished on sheet-
metal parts, as in Figure.
The conventional ram and punch is replaced by a turret containing many
punches of different sizes and shapes.
The turret works by indexing (rotating) to the position holding the punch
to perform the required operation.
Computer numerical control turret press.
(Photo courtesy of Strippet, Inc., Akron, New York.)
Several sheet-metal parts produced on a turret press, showing
variety of possible hole shapes.
(Photo courtesy of Strippet, Inc., Akron, New York.)
Straight-sided Frame Presses
For jobs requiring high tonnage, press frames with greater structural rigidity
are needed.
Straight-sided presses have full sides, giving it a box-like appearance as in
Figure.
This construction increases the strength and stiffness of the frame.
As a result, capacities up to 35,000 kN (4000 tons) are available in straight-
sided presses for sheet metalwork.
Straight-sided frame press.
(Photo courtesy Greenerd Press & Machine
Company, Inc., Nashua, New Hampshire.)
There are several types of drive mechanisms used on mechanical presses. These include
eccentric, crankshaft, and knuckle joint. They convert the rotational motion of a drive
motor into the linear motion of the ram.
A flywheel is used to store the energy of the drive motor for use in the stamping operation.
Mechanical presses using these drives achieve very high forces at the bottom of their
strokes, and are therefore quite suited to blanking and punching operations.
The knuckle joint delivers very high force when it bottoms, and is therefore often used in
coining operations.
Hydraulic presses use a large piston and cylinder to drive the ram.
This power system typically provides longer ram strokes than
mechanical drives and can develop the full tonnage force
throughout the entire stroke.
However, it is slower. Its application for sheet metal is normally
limited to deep drawing and other forming operations where
these load-stroke characteristics are advantageous.
Hydraulic press
These presses are available with one or more independently
operated slides, called single action (single slide), double action
(two slides), and so on.
Double-action presses are useful in deep drawing operations
where it is required to separately control the punch force and the blank
holder force.
0.Unit 3.pptx
0.Unit 3.pptx

0.Unit 3.pptx

  • 1.
    UNIT 3: SHEETMETAL PROCESS Introduction, Shearing, sheet metal characteristics and formability, blanking, piercing, forming, bending, drawing, deep drawing, spinning, rubber forming, hydro forming, superplastic forming, hot stamping, stretch forming, calculation of forces, spring back, progressive die, compound die, combination die, working of mechanical press, hydraulic press.
  • 2.
    Introduction – SheetMetal Process • Products made by sheet metal are all around us (metal desks, file cabinets, car bodies, beverage cans etc., • Sheet forming dates back to about 5000 B.C., when household utensils and jewelry were made by hammering and stamping gold, silver and copper.
  • 3.
    Cutting and formingoperations performed on thin sheets of metal and performed as cold working. Press working or Press forming is used commonly in industry to describe general sheet-forming operations, because they typically are performed on presses set of dies The tooling that performs sheet metal working is called as a Punch & Die A sheet-metal part produced in presses is called a stamping Sheet 0.4 - 6mm Plate > 6mm Foil < sheet thickness What is a sheet metal?
  • 4.
    Sheet metal –advantages • Sheet metal offers the advantage of light weight and versatile shape as compared to those made by castings/forging. • Low carbon steel (0.06%–0.15% C typical) is the most commonly used sheet metal (cost, strength, formability). • Aluminium and titanium are most common sheet materials for aircraft and aerospace applications.
  • 5.
    ° The shapeof the punch and die ° The speed of punching ° Lubrication ° The clearance, c, between the punch and the die. 4 important parameters of shearing Shearing Shearing is a cutting operation used to remove a blank of required dimensions from a large sheet. Shearing with A Punch and Die This penetration zone is generally about one-third the thickness of the sheet.
  • 6.
    Features of apunched hole
  • 7.
    A close lookat the fractured surfaces will reveal that these are quite rough and shiny; rough because of the cracks formed earlier, and shiny because of the contact and rubbing of the sheared edge against the walls of the die. Characteristic sheared edges of the work.
  • 8.
    8/21/2022 Manufacturing Process8 Shearing Effect of clearance Points to be noted: 1) Optimum level of clearance is 2-10% of sheet thickness 2) If clearance is more, edges become rougher Effect of clearance: (a) clearance too small causes less – than optimal fracture and excessive forces; and (b) clearance too large causes oversized burr.
  • 9.
    Clearance The correct clearancedepends on sheet-metal type and thickness. The recommended clearance can be calculated by the following formula: where c = clearance, mm (in); Ac = clearance allowance; and t = stock thickness, mm (in). Cutting force Estimates of cutting force are important this force determines the size (tonnage) of the press needed. cutting force F sheet metal in metal working can be determined by where S = shear strength of the sheet metal, MPa (lb/in2); t = stock thickness, mm (in), and L = length of the cut edge, mm (in).
  • 10.
    8/21/2022 Manufacturing Process10 Shearing Shearing Punch speed 1) More the punch speed, better is the surface finish
  • 11.
    8/21/2022 Manufacturing Process11 Shearing Edge characteristics 1) Cut edges are not smooth (due to cracks) 2) Cut edges will be very shiny (due to the rubbing action of edges with die walls)
  • 12.
  • 13.
    Shearing operations • Shearingmay also be done using a punch and a die, the operations that make use of a die are punching, blanking, piercing, notching, trimming and nibbling.
  • 14.
    Punching and Blanking •Punching or blanking is a process in which a punch removes a portion of material from a larger piece or a strip of sheet metal. • In punching, the metal inside the part is removed, in blanking the metal around the part is removed.
  • 15.
    Blanking and Punching ii)BLANKING iii) PUNCHING
  • 16.
    Typical setup usedfor blanking, punching & piercing operations
  • 17.
    Cutoff is ashearing operation in which blanks are separated from a sheet-metal strip by cutting the opposite sides of the part in sequence. With each cut, a new part is produced. Parting involves cutting a sheet-metal strip by a punch with two cutting edges that match the opposite sides of the blank. Cut off Parting Other sheet metal operations (a) Cutt off, (b) Parting
  • 18.
    Slotting Slotting is theterm sometimes used for a punching operation that cuts out an elongated or rectangular hole. Perforating Perforating involves the simultaneous punching of a pattern of holes in sheet metal. The hole pattern is usually for decorative purposes, or to allow passage of light, gas, or fluid. (a) Slotting, (b) perforating, Other sheet metal operations
  • 19.
    To obtain thedesired outline of a blank, portions of the sheet metal are often removed by notching and semi notching. Notching involves cutting out a portion of metal from the side of the sheet or strip. Semi notching removes a portion of metal from the interior of the sheet. (c) notching and semi notching Other sheet metal operations
  • 20.
    Trimming is acutting operation performed on a formed part to remove excess metal and establish size. Shaving is a shearing operation performed with very small clearance to obtain accurate dimensions and cut edges that are smooth and straight. Shaving is typically performed as a secondary or finishing operation on parts that have been previously cut. Fine blanking is a shearing operation used to blank sheet-metal parts with close tolerances and smooth, straight edges in one step. (a) Shaving and (b) fine blanking. Symbols: v = motion of punch, Fh= blank holding force.
  • 22.
    In V-bending, thesheet metal is bent between a V-shaped punch and die. Included angles ranging from very obtuse to very acute can be made with V-dies. V-bending is generally used for low- production operations. It is often performed on a press brake and the associated V-dies are relatively simple and inexpensive. Bending in sheet-metal work is defined as the straining of the metal around a straight axis.
  • 23.
    Edge bending involvescantilever loading of the sheet metal. A pressure pad is used to apply a force Fh to hold the base of the part against the die, while the punch forces the part to yield and bend over the edge of the die. In the setup shown in Figure , edge bending is limited to bends of 90 or less. More complicated wiping dies can be designed for bend angles greater than 90. Because of the pressure pad, wiping dies are more complicated and costly than V-dies and are generally used for high- production work.
  • 25.
    Two common bendingmethods: (a) V-bending and (b) edge bending; (1) before and (2) after bending. Symbols: v = motion, F = applied bending force, Fh = blank.
  • 26.
    where Ab =bend allowance, mm (in); a = bend angle, degrees; R = bend radius, mm (in); t = stock thickness, mm (in); and Kba is factor to estimate stretching. Bend Allowance If the bend radius is small relative to stock thickness, the metal tends to stretch during bending. It is important to be able to estimate the amount of stretching that occurs, if any, so that the final part length will match the specified dimension. The problem is to determine the length of the neutral axis before bending to account for stretching of the final bent section. This length is called the bend allowance, and it can be estimated as follows:
  • 27.
    Spring back When thebending pressure is removed at the end of the deformation operation, elastic energy remains in the bent part, causing it to recover partially toward its original shape. This elastic recovery is called spring back, defined as the increase in included angle of the bent part relative to the included angle of the forming tool after the tool is removed. where SB = spring back; α’ = included angle of the sheet-metal part, degrees; & α’t = included angle of the bending tool, degrees.
  • 28.
    Spring back inbending shows itself as a decrease in bend angle and an increase in bend radius: (1) during the operation, the work is forced to take the radius Rt and included angle a’b = determined by the bending tool (punch in V-bending); (2) after the punch is removed, the work springs back to radius R and included angle a1. Symbol: F = applied bending force.
  • 29.
    Bending Force The forcerequired to perform bending depends on the geometry of the punch-and-die and the strength, thickness, and length of the sheet metal. The maximum bending force can be estimated by means of the following equation: where F = bending force, N (lb); TS = tensile strength of the sheet metal, MPa (lb/in2); w = width of part in the direction of the bend axis, mm (in); t = stock thickness, mm (in); and D = die opening dimension
  • 30.
    Problem no –1 A sheet-metal blank is to be bent as shown in Figure 20.15. The metal has a modulus of elasticity = 205 (103) MPa, yield strength = 275 MPa, and tensile strength = 450 MPa. Determine (a) the starting blank size and (b) the bending force if a V-die is used with a die opening dimension = 25 mm.
  • 31.
    Length of theblank is therefore 38 + 6.08 + 25 = 69.08 mm.
  • 32.
    Other bending operations: (a)channel bending, (b) U-bending, (c) air bending, (d) offset bending, (e) corrugating, and (f) tube forming.
  • 33.
    Examples of variousbending operations
  • 34.
    Drawing is asheet-metal-forming operation used to make cup-shaped, box-shaped, or other complex-curved and concave parts. Common parts made by drawing include beverage cans, stainless-steel kitchen sinks, cooking pots, and automotive fuel tanks and body panels. Drawing is a process of forming a flat pieces of material (blank) into hollow shape by means of punch, which causes the blank to flow into the die – cavity. There are two of drawing process Shallow drawing – depth of formed cup ≤ D/2 Deep or moderate drawing - depth of formed cup > D/2 Drawing The clearance in drawing is about 10% greater than the stock thickness: c = 1:1 t
  • 35.
    Db = blankdiameter, Dp = punch diameter, Rd = die corner radius, Rp = punch corner radius, F = drawing force, Fh = holding force. Deep Drawing Process
  • 36.
    Stages in deformationof the work in deep drawing: (1) punch makes initial contact with work, (2) bending, (3) straightening, (4) friction and compression, and (5) final cup shape showing effects of thinning in the cup walls. Symbols: v = motion of punch, F = punch force, Fh =blank holder force.
  • 37.
    In order forthe material in the flange to move toward the die opening, friction between the sheet metal and the surfaces of the blank holder and the die must be overcome. Initially, static friction is involved until the metal starts to slide; then, after metal flow begins, dynamic friction governs the process. Lubricants or drawing compounds are generally used to reduce friction forces. In addition to friction, compression is also occurring in the outer edge of the blank. Deep Drawing Process (cont..,)
  • 38.
    As the metalin this portion of the blank is drawn toward the center, the outer perimeter becomes smaller. Because the volume of metal remains constant, the metal is squeezed and becomes thicker as the perimeter is reduced. This often results in wrinkling of the remaining flange of the blank, especially when thin sheet metal is drawn, or when the blank holder force is too low. Deep Drawing Process (cont..,)
  • 39.
    The holding forceapplied by the blank holder is now seen to be a critical factor in deep drawing. If it is too small, wrinkling occurs. If it is too large, it prevents the metal from flowing properly toward the die cavity, resulting in stretching and possible tearing of the sheet metal. Determining the proper holding force involves a delicate balance between these opposing factors. Deep Drawing Process (cont..,)
  • 40.
    Deep Drawing Ratio Thisis most easily defined for a cylindrical shape as the ratio of blank diameter Db to punch diameter Dp. In equation form. Forces The drawing force required to perform a given operation can be estimated roughly by the formula: where F = drawing force, N (lb); t = original blank thickness, mm (in); TS = tensile strength, MPa (lb/in2); and Db and Dp are the starting blank diameter and punch diameter, respectively, mm (in).
  • 41.
    The holding forceis an important factor in a drawing operation. As a rough approximation, the holding pressure can be set at a value = 0.015 of the yield strength of the sheet metal. This value is then multiplied by that portion of the starting area of the blank that is to be held by the blank holder. In equation form, where Fh = holding force in drawing, N (lb); Y = yield strength of the sheet metal ; t = starting stock thickness, mm ; Rd = die corner radius, mm ; and the other terms have been previously defined. The holding force is usually about one-third the drawing force Holding force
  • 42.
    A drawing operationis used to form a cylindrical cup with inside diameter = 75 mm and height = 50 mm. The starting blank size = 138 mm and the stock thickness = 2.4 mm. Based on these data, is the operation feasible? Solution: To assess feasibility, we determine the drawing ratio, reduction, and thickness to-diameter ratio. According to these measures, the drawing operation is feasible. The drawing ratio is less than 2.0, the reduction is less than 50%, and the t/Db ratio is greater than 1%. These are general guidelines frequently used to indicate technical feasibility. Problem no - 2
  • 43.
    For the drawingoperation of problem no - 2, determine (a) drawing force and (b) holding force, given that the tensile strength of the sheet metal (low-carbon steel) = 300 MPa and yield strength = 175 MPa. The die corner radius = 6 mm. Solution: (a) Maximum drawing force is given by Eq. (b) Holding force is estimated by Eq.
  • 44.
  • 45.
    Drawing without ablank holder
  • 46.
  • 47.
    Spinning Spinning is ametal-forming process in which an axially symmetric part is gradually shaped over a mandrel or form by means of a rounded tool or roller. The tool or roller applies a very localized pressure (almost a point contact) to deform the work by axial and radial motions over the surface of the part. Basic geometric shapes typically produced by spinning include cups, cones, hemispheres, and tubes. There are three types of spinning operations: (1) conventional spinning, (2) shear spinning, and (3) tube spinning. a process is similar to that of forming clay on a potter’s wheel.
  • 48.
    Conventional Spinning A sheet-metaldisk is held against the end of a rotating mandrel of the desired inside shape of the final part, while the tool or roller deforms the metal against the mandrel. The process requires a series of steps, as indicated in the figure, to complete the shaping of the part. The tool position is controlled either by a human operator, using a fixed fulcrum to achieve the required leverage, or by an automatic method such as numerical control. These alternatives are manual spinning and power spinning. Power spinning has the capability to apply higher forces to the operation, resulting in faster cycle times and greater work size capacity. It also achieves better process control than manual spinning.
  • 49.
  • 50.
    Conventional spinning: (1)setup at start of process; (2) during spinning; and (3) completion of process. Conventional Spinning (cont..,) Types of parts conventionally spun. All parts are axisymmetric.
  • 51.
    Applications of conventionalspinning include production of conical and curved shapes in low quantities. Very large diameter parts—up to 5 m (15ft) or more—can be made by spinning. Alternative sheet-metal processes would require excessively high die costs. The form mandrel in spinning can be made of wood or other soft materials that are easy to shape. It is therefore a low-cost tool compared to the punch and die required for deep drawing, which might be a substitute process for some parts. Conventional Spinning (cont..,)
  • 54.
    In shear spinning,the part is formed over the mandrel by a shear deformation process in which the outside diameter remains constant and the wall thickness is therefore reduced. This shear straining (and consequent thinning of the metal) distinguishes this process from the bending action in conventional spinning. Several other names have been used for shear spinning, including flow turning, shear forming, and spin forging. The process has been applied in the aerospace industry to form large parts such as rocket nose cones. Parts up to 3 m in diameter can be formed by shear spinning. This operation wastes little material, and it can be completed in a relatively short time--in some cases in as little as a few seconds. Various shapes can be spun with fairly simple tooling, which generally is made of tool steel. Shear spinning
  • 55.
    The spinnability ofa metal in this process generally is defined as the maximum reduction in thickness to which a part can be subjected by spinning without fracture. Spinnability is found to be related to the tensile reduction of area of the material, just as is bendability. Thus, if a metal has a tensile reduction of area of 50% or higher, its thickness can be reduced by as much as 80% in just one spinning pass. Shear spinning
  • 56.
    Shear spinning: (1)setup and (2) completion of process.
  • 57.
    Tube spinning isused to reduce the wall thickness and increase the length of a tube by means of a roller applied to the work over a cylindrical mandrel. Tube spinning is similar to shear spinning except that the starting workpiece is a tube rather than a flat disk. The operation can be performed by applying the roller against the work externally (using a cylindrical mandrel on the inside of the tube) or internally (using a die to surround the tube). It is also possible to form profiles in the walls of the cylinder, by controlling the path of the roller as it moves tangentially along the wall. Tube spinning
  • 58.
    Tube spinning: (a)external; (b) internal; and (c) profiling. Tube spinning can be used to make rocket, missile, and jet-engine parts, pressure vessels, and automotive components, such as car and truck Wheels.
  • 60.
    Rubber Forming The operationsare (1) Guerin process, and (2) hydroforming. Guerin Process The Guerin process uses a thick rubber pad (or other flexible material) to form sheet metal over a positive form block. It is limited to relatively shallow forms, because the pressures developed by the rubber—up to about 10 Mpa — are not sufficient to prevent wrinkling in deeper formed parts. As the ram descends, the rubber gradually surrounds the sheet, applying pressure to deform it to the shape of the form block.
  • 61.
    Guerin process: (1)before and (2) after The advantage of the Guerin process is the relatively low cost of the tooling. The form block can be made of wood, plastic, or other materials that are easy to shape, and the rubber pad can be used with different form blocks. These factors make rubber forming attractive in small-quantity production, such as the aircraft industry, where the process was developed. Polyurethanes are used widely because of their abrasion resistance, fatigue life, and resistance to cutting or tearing.
  • 62.
    Hydroforming is similarto the Guerin process; the difference is that it substitutes a rubber diaphragm filled with hydraulic fluid in place of the thick rubber pad. This allows the pressure that forms the work part to be increased—to around 100 MPa (15,000 lb/in2)—thus preventing wrinkling in deep formed parts. In fact, deeper draws can be achieved with the hydro form process than with conventional deep drawing. This is because the uniform pressure in hydroforming forces the work to contact the punch throughout its length, thus increasing friction and reducing the tensile stresses that cause tearing at the base of the drawn cup. Hydroforming
  • 63.
    Hydro form process:(1) start-up, no fluid in cavity; (2) press closed, cavity pressurized with hydraulic fluid; (3) punch pressed into work to form part. Symbols: v = velocity, F = applied force, p = hydraulic pressure.
  • 65.
  • 66.
    The behavior ofthe material in superplastic forming is similar to that of bubble gum or hot glass, which, when blown, expands many times its original diameter before it bursts.
  • 67.
    Superplastic Forming For titanium alloys e.g.Ti 6Al 4V and some stainless steels this is around 900 °C (1,650 °F) and for aluminium alloys it is between 450–520 °C. Commonly used die materials in superplastic forming are low-alloy steels, cast tool steels, ceramics, graphite, and plaster of paris.
  • 69.
  • 70.
    Stretch Forming A numberof sheet-metal operations are not performed on conventional stamping presses. In this section we examine several of these processes: (1) stretch forming, (2) roll bending and forming, (3) spinning, and (4) high-energy-rate forming processes. Stretch forming is a sheet-metal deformation process in which the sheet metal is intentionally stretched and simultaneously bent in order to achieve shape change
  • 71.
    The work partis gripped by one or more jaws on each end and then stretched and bent over a positive die containing the desired form. The metal is stressed in tension to a level above its yield point. When the tension loading is released, the metal has been plastically deformed. The combination of stretching and bending results in relatively little spring back in the part. Stretch forming: (1) start of process; (2) form die is pressed in to the work with force Fdie, causing it to be stretched and bent over the form. F = stretching force
  • 73.
    where F =stretching force, N (lb); L = length of the sheet in the direction perpendicular to stretching, mm (in); t = instantaneous stock thickness, mm (in); and Yf = flow stress of the work metal, MPa (lb/in2). F = LtYf An estimate of the force required in stretch forming can be obtained by multiplying the cross-sectional area of the sheet in the direction of pulling by the flow stress of the metal. In equation form, More complex contours are possible by stretch forming, but there are limitations on how sharp the curves in the sheet can be. Stretch forming is widely used in the aircraft and aerospace industries to economically produce large sheet-metal parts in the low quantities characteristic of those industries.
  • 74.
    Dies Nearly all ofthe preceding press working operations are performed with conventional punch-and-die tooling. The tooling is referred to as a die. It is custom-designed for the particular part to be produced. The term stamping die is sometimes used for high production dies. Simple Die. If only one operation is performed in One Stroke and at One Stage is called as Simple Die.
  • 75.
    Compound Die A compounddie performs two operations at a single station, such as blanking and punching, or blanking and drawing. A good example is a compound die that blanks and punches a washer. Combination Die A combination die is less common; it performs two operations at two different stations in the die. Examples of applications include blanking two different parts (e.g., right-hand and left-hand parts), or blanking and then bending the same part.
  • 77.
    Progressive die A progressivedie performs two or more operations on a sheet-metal coil at two or more stations with each press stroke. The part is fabricated progressively. The coil is fed from one station to the next and different operations (e.g., punching, notching, bending, and blanking) are performed at each station. When the part exits the final station it has been completed and separated (cut) from the remaining coil.
  • 78.
    (a) Progressive dieand (b) associated strip development
  • 79.
    A press usedfor sheet metalworking is a machine tool with a stationary bed and a powered ram (or slide) that can be driven toward and away from the bed to perform various cutting and forming operations. The relative positions of the bed and ram are established by the frame, and the ram is driven by mechanical or hydraulic power. When a die is mounted in the press, the punch holder is attached to the ram, and the die holder is attached to a bolster plate of the press bed. Presses
  • 80.
    Presses are availablein a variety of capacities, power systems, and frame types. The capacity of a press is its ability to deliver the required force and energy to accomplish the stamping operation. This is determined by the physical size of the press and by its power system. The power system refers to whether mechanical or hydraulic power is used and the type of drive used to transmit the power to the ram. Production rate is another important aspect of capacity. Type of frame refers to the physical construction of the press. There are two frame types in common use: gap frame and straight-sided frame. Presses
  • 81.
    Gap Frame Presses Thegap frame has the general configuration of the letter C and is often referred to as a C- frame. Gap frame presses provide good access to the die, and they are usually open in the back to permit convenient ejection of stampings or scrap. The principal types of gap frame press are (a) solid gap frame, (b) adjustable bed, (c) open back inclinable, (d) press brake, and (e) turret press Components of a typical (mechanical drive) stamping press.
  • 82.
    Gap frame pressfor sheet metalworking. (Photo courtesy of E. W. Bliss Company, Hastings, Michigan.). Capacity = 1350 kN (150 tons).
  • 83.
    The adjustable bedframe press is a variation of the gap frame, in which an adjustable bed is added to accommodate various die sizes. The adjustment feature results in some sacrifice of tonnage capacity. Press brake The press brake is a gap frame press with a very wide bed. The model in Figure has a bed width of 9.15 m. This allows a number of separate dies (simple V-bending dies are typical) to be set up in the bed, so that small quantities of stampings can be made economically. These low quantities of parts, sometimes requiring multiple bends at different angles, necessitate a manual operation.
  • 84.
    Press brake withbed width of 9.15 m (30 ft) and capacity of 11,200 kN (1250 tons); two workers are shown positioning plate stock for bending. (Photo courtesy of Niagara Machine & Tool Works, Buffalo, New York.)
  • 85.
    Turret press Turret pressesare suited to situations in which a sequence of punching, notching, and related cutting operations must be accomplished on sheet- metal parts, as in Figure. The conventional ram and punch is replaced by a turret containing many punches of different sizes and shapes. The turret works by indexing (rotating) to the position holding the punch to perform the required operation.
  • 86.
    Computer numerical controlturret press. (Photo courtesy of Strippet, Inc., Akron, New York.) Several sheet-metal parts produced on a turret press, showing variety of possible hole shapes. (Photo courtesy of Strippet, Inc., Akron, New York.)
  • 87.
    Straight-sided Frame Presses Forjobs requiring high tonnage, press frames with greater structural rigidity are needed. Straight-sided presses have full sides, giving it a box-like appearance as in Figure. This construction increases the strength and stiffness of the frame. As a result, capacities up to 35,000 kN (4000 tons) are available in straight- sided presses for sheet metalwork.
  • 88.
    Straight-sided frame press. (Photocourtesy Greenerd Press & Machine Company, Inc., Nashua, New Hampshire.)
  • 89.
    There are severaltypes of drive mechanisms used on mechanical presses. These include eccentric, crankshaft, and knuckle joint. They convert the rotational motion of a drive motor into the linear motion of the ram. A flywheel is used to store the energy of the drive motor for use in the stamping operation. Mechanical presses using these drives achieve very high forces at the bottom of their strokes, and are therefore quite suited to blanking and punching operations. The knuckle joint delivers very high force when it bottoms, and is therefore often used in coining operations.
  • 91.
    Hydraulic presses usea large piston and cylinder to drive the ram. This power system typically provides longer ram strokes than mechanical drives and can develop the full tonnage force throughout the entire stroke. However, it is slower. Its application for sheet metal is normally limited to deep drawing and other forming operations where these load-stroke characteristics are advantageous. Hydraulic press
  • 92.
    These presses areavailable with one or more independently operated slides, called single action (single slide), double action (two slides), and so on. Double-action presses are useful in deep drawing operations where it is required to separately control the punch force and the blank holder force.