Odd & EvenFunctions
(1) Even f x f x
a a
f x dx 2 f x dx
a 0
3.
Odd & EvenFunctions
(1) Even f x f x
a a
f x dx 2 f x dx
a 0
ca ca
NOTE: horizontal shift
f x c dx 2 f x c dx
ca c
4.
Odd & EvenFunctions
(1) Even f x f x
a a
f x dx 2 f x dx
a 0
ca ca
NOTE: horizontal shift
f x c dx 2 f x c dx
ca c
(2) Odd f x f x
5.
Odd & EvenFunctions
(1) Even f x f x
a a
f x dx 2 f x dx
a 0
ca ca
NOTE: horizontal shift
f x c dx 2 f x c dx
ca c
(2) Odd f x f x
a
f x dx 0
a
6.
Odd & EvenFunctions
(1) Even f x f x
a a
f x dx 2 f x dx
a 0
ca ca
NOTE: horizontal shift
f x c dx 2 f x c dx
ca c
(2) Odd f x f x
a
f x dx 0
a
ca
NOTE: horizontal shift
f x c dx 0
ca
7.
Odd & EvenFunctions
(1) Even f x f x
a a
f x dx 2 f x dx
a 0
ca ca
NOTE: horizontal shift
f x c dx 2 f x c dx
ca c
(2) Odd f x f x
a
f x dx 0
a
ca
NOTE: horizontal shift
f x c dx 0
ca
a a
f x dx f a x dx
(3)
0 0
a
f a x dx
Proof: u ax
0 du dx
x 0, u a
x a, u 0
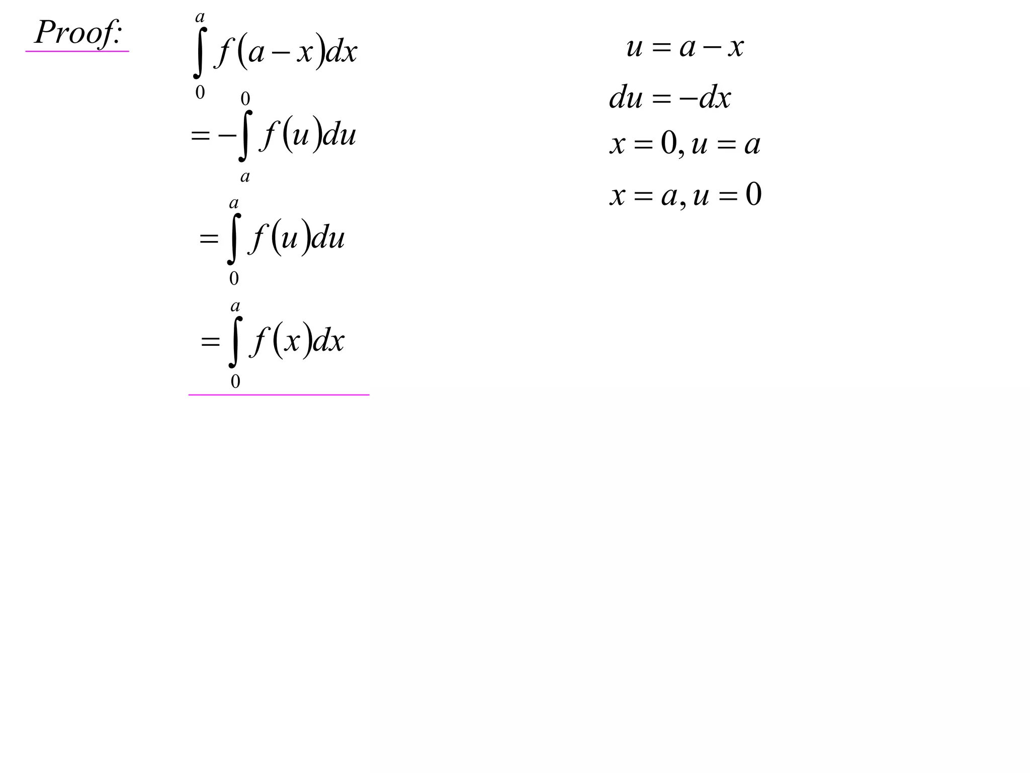
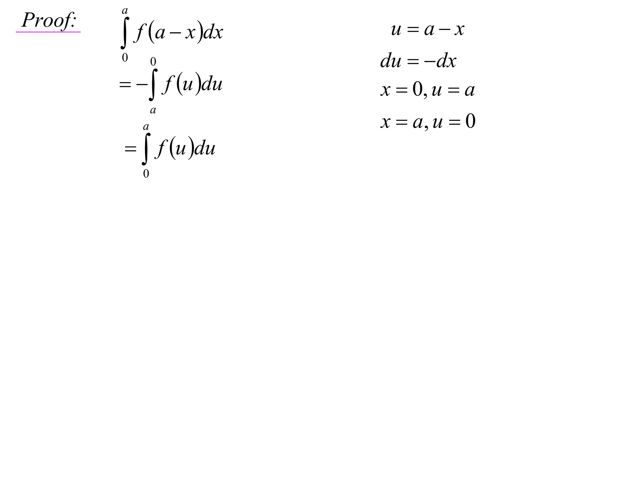
11.
a
f a x dx
Proof: u ax
0 0 du dx
f u du x 0, u a
a
x a, u 0
12.
a
f a x dx
Proof: u ax
0 0 du dx
f u du x 0, u a
a
a x a, u 0
f u du
0
13.
a
f a x dx
Proof: u ax
0 0 du dx
f u du x 0, u a
a
a x a, u 0
f u du
0
a
f x dx
0
14.
a
f a x dx
Proof: u ax
0 0 du dx
f u du x 0, u a
a
a x a, u 0
f u du
0
a
f x dx
0
odd odd even
odd even odd
even even even