I. paņēmiens
             ax b
I     R x, n      dx
             cx d
                                       n
    ax b                          dt b
n              t              x        n
    cx d                          a ct
                                   n
                                  dt b
    ax b       n         dx              dt
           t                      a ct n
    cx d
ax b           n                               n
           t       ax b         cx d t
cx d
                                 n             n
                   ax b cxt               dt
                            n         n
                   ax cxt        dt            b
                            n         n
                   x a ct        dt            b
       n
    dt b
x        n
    a ct
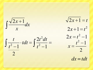
2x 1                  2x 1 t
             dx                     2
         x                    2x 1 t
                                   2
        t               2
                      2t dt   2x t 1
                                  2
    2
                tdt    2         t 1
t           1         t 1      x
                                    2
        2
                               dx tdt
2
    t      1 1                       1
2        2
              dt    2 dt 2       2
                                          dt
        t 1                  t           1

                  t 1
            2t ln     C
                  t 1
                       2x 1 1
            2 2 x 1 ln        C
                       2x 1 1
II. paņēmiens

            2        2     1                              x
        a           x dx     x a2    x   2        2
                                                 a arcsin              C
                           2                              a
    2           2        1
x           a dx           x x2 a2   a 2 ln x          x2 a2               C
                         2
    2           2        1    2  2           2             2       2
x           a dx           x x a     a ln x            x       a           C
                         2
2
    x       4 x 13dx

                  2
            x 2           9dx

1                     2            9
        x 2       x       4 x 13     ln x 2   x 2 4 x 13   C
2                                  2
III. paņēmiens
                            2aN
                    2ax b        b
 Mx N            M           M
            dx                     dx
ax 2 bx c        2a    ax 2 bx c


                        2
                 d ax           bx c    2ax b dx


M d ax2 bx c                    bM              dx
                            N
2a    2
    ax bx c                     2a     ax   2
                                                 bx c
III. paņēmiens pirmais gadījums

 M      2              bM     dx
    2 ax bx c      N
 2a                    2a    A2    X2

  M                    bM        X
     2 ax 2 bx c   N      arcsin        C
  2a                   2a        A
III. paņēmiens otrais gadījums

M                    bM        dx
   2 ax 2 bx c   N
2a                   2a    X   2
                                    A      2




M      2             bM                2           2
   2 ax bx c     N      ln x       X           A       C
2a                   2a
2x 3                     2x 2        1
          dx                              dx
8 2x x2                  8 2x x2

                                      2
                        d 8 2x x               2 x 2 dx

 d (8 2 x x 2 )          d x 1
                  dx           2
             2
   8 2x x               9 x 1

                                  2              x 1
                       2 8 2x x           arcsin     C
                                                  3
IV. paņēmiens
     Pn x dx
         2
 ax              bx c


                       2                       dx
Qn   1       x    ax       bx c   k
                                           2
                                      ax        bx c
2 x 2 5x 23                           2                   dx
                  dx      Ax B     x       2 x 17 k
     x 2 2 x 17                                         x 2 2 x 17

Atvasina vienādojuma abas puses
2 x 2 5x 23               2                Ax B x 1             k
                    A x       2 x 17
     2
 x       2 x 17                            x 2 2 x 17     x 2 2 x 17

Atbrīvojas no saknes

     2 x 2 5 x 23      A x2   2 x 17       Ax 2   Ax Bx B       k
2 x 2 5x 23   Ax2 2 Ax 17 A Ax2   Ax Bx B k

   A A 2                          A 1
 2A A B 5                   3 B 5
17 A B k 23               17 B k 23

    2A 2                       A 1
   3A B 5                      B 2
17 A B k 23                 17 2 k 23
A 1
         B 2
         k 4

2 x 2 5x 23                              2                     dx
                  dx           x 2   x       2 x 17 4
     2
 x       2 x 17                                            x 2 2 x 17


                           2                    d x 1
           x 2         x        2 x 17 4
                                                      2
                                                x 1       16


         x 2 x 2 2x 17 4 ln x 1                   x 2 2x 17         C
V. paņēmiens

I1   R u, m 2 u 2 du       u   m sin t vai u     m cost

              2    2            m                  m
I2   R u, u       m du     u           vai   u
                               sin t              cost

I3   R u, u 2     m 2 du   u   m tgt   vai u     m ctgt
dx
                                 x 2 sin t
               2 3
    4 x
                                                                    x
                                                        sin t
                                                                    2
       2 3                             2 3
 4 x                 4       2 sin t             cost    1 sin 2 t
                                                                    2
                 2   3                 2     3                  x
  4 4 sin t                    4 cos t           cost    1
                                                                2
           3             3
 2 cos t         8 cos t
                                                        1     2
                                                 cost     4 x
                                                        2
dx 2 costdt
dx           2 costdt   1  dt
   4 x    2 3    8 cos3 t   4 cos2 t

                               x
1           1 sin t       1    2
  tgt C               C                C
4           4 cost        4 1 4 x2
                            2
                                1       x
                                                 C
                                4      4 x   2

3.2.nenoteiktais integraalis

  • 2.
    I. paņēmiens ax b I R x, n dx cx d n ax b dt b n t x n cx d a ct n dt b ax b n dx dt t a ct n cx d
  • 3.
    ax b n n t ax b cx d t cx d n n ax b cxt dt n n ax cxt dt b n n x a ct dt b n dt b x n a ct
  • 4.
    2x 1 2x 1 t dx 2 x 2x 1 t 2 t 2 2t dt 2x t 1 2 2 tdt 2 t 1 t 1 t 1 x 2 2 dx tdt
  • 5.
    2 t 1 1 1 2 2 dt 2 dt 2 2 dt t 1 t 1 t 1 2t ln C t 1 2x 1 1 2 2 x 1 ln C 2x 1 1
  • 6.
    II. paņēmiens 2 2 1 x a x dx x a2 x 2 2 a arcsin C 2 a 2 2 1 x a dx x x2 a2 a 2 ln x x2 a2 C 2 2 2 1 2 2 2 2 2 x a dx x x a a ln x x a C 2
  • 7.
    2 x 4 x 13dx 2 x 2 9dx 1 2 9 x 2 x 4 x 13 ln x 2 x 2 4 x 13 C 2 2
  • 8.
    III. paņēmiens 2aN 2ax b b Mx N M M dx dx ax 2 bx c 2a ax 2 bx c 2 d ax bx c 2ax b dx M d ax2 bx c bM dx N 2a 2 ax bx c 2a ax 2 bx c
  • 9.
    III. paņēmiens pirmaisgadījums M 2 bM dx 2 ax bx c N 2a 2a A2 X2 M bM X 2 ax 2 bx c N arcsin C 2a 2a A
  • 10.
    III. paņēmiens otraisgadījums M bM dx 2 ax 2 bx c N 2a 2a X 2 A 2 M 2 bM 2 2 2 ax bx c N ln x X A C 2a 2a
  • 11.
    2x 3 2x 2 1 dx dx 8 2x x2 8 2x x2 2 d 8 2x x 2 x 2 dx d (8 2 x x 2 ) d x 1 dx 2 2 8 2x x 9 x 1 2 x 1 2 8 2x x arcsin C 3
  • 12.
    IV. paņēmiens Pn x dx 2 ax bx c 2 dx Qn 1 x ax bx c k 2 ax bx c
  • 13.
    2 x 25x 23 2 dx dx Ax B x 2 x 17 k x 2 2 x 17 x 2 2 x 17 Atvasina vienādojuma abas puses 2 x 2 5x 23 2 Ax B x 1 k A x 2 x 17 2 x 2 x 17 x 2 2 x 17 x 2 2 x 17 Atbrīvojas no saknes 2 x 2 5 x 23 A x2 2 x 17 Ax 2 Ax Bx B k
  • 14.
    2 x 25x 23 Ax2 2 Ax 17 A Ax2 Ax Bx B k A A 2 A 1 2A A B 5 3 B 5 17 A B k 23 17 B k 23 2A 2 A 1 3A B 5 B 2 17 A B k 23 17 2 k 23
  • 15.
    A 1 B 2 k 4 2 x 2 5x 23 2 dx dx x 2 x 2 x 17 4 2 x 2 x 17 x 2 2 x 17 2 d x 1 x 2 x 2 x 17 4 2 x 1 16 x 2 x 2 2x 17 4 ln x 1 x 2 2x 17 C
  • 16.
    V. paņēmiens I1 R u, m 2 u 2 du u m sin t vai u m cost 2 2 m m I2 R u, u m du u vai u sin t cost I3 R u, u 2 m 2 du u m tgt vai u m ctgt
  • 17.
    dx x 2 sin t 2 3 4 x x sin t 2 2 3 2 3 4 x 4 2 sin t cost 1 sin 2 t 2 2 3 2 3 x 4 4 sin t 4 cos t cost 1 2 3 3 2 cos t 8 cos t 1 2 cost 4 x 2 dx 2 costdt
  • 18.
    dx 2 costdt 1 dt 4 x 2 3 8 cos3 t 4 cos2 t x 1 1 sin t 1 2 tgt C C C 4 4 cost 4 1 4 x2 2 1 x C 4 4 x 2