Using Technology to EngageGamesSynchronous online communicationYOUR videosWeb 2.0WolframAlphaInteractive materialsDiscussionboardsJingOnline HomeworkLMS
Using Technology to Engage Today’s Math StudentsMaria H. AndersenMuskegon Community Collegewww.teachingcollegemath.com
where I began
computer-based learning (in 1984)
we’ve learned many othertechnologies along the way
MathCad and ChemCad
in grad school, I learned toteach with TI calculators
fast forward to today
teaching calculus online
Using Technology to EngageGamesSynchronous online communicationYOUR videosWeb 2.0WolframAlphaInteractive materialsDiscussionboardsJingOnline HomeworkLMS
Technology-rich courses that engage students start like this ...
and then we build a shell
even though the courses might be different, the foundation is similar
Using Technology to EngageLMS
now we need to free up some time
Algorithmically-generated problems
Instant Feedback
Video Game Culture=               ?
Quest for Points
online homework motivates students to engage in learning the content and essentially sets the course schedule
now for the confession
[ we no longergo over homeworkin class ]
Using Technology to EngageOnline HomeworkLMS
Give students a place to collaborate, discuss, and ask questions
Math students will participatein a “social” environment.
Math students will participatein a “social” environment
Each “topic” consistsOf multiple posts
Each “topic” consistsOf multiple posts
two secrets ofsuccessfuldiscussion boards
questions in officestudy tips for testshintsemailquestions before classquestions after class
points
Using Technology to EngageDiscussionboardsOnline HomeworkLMS
Give students tools that allow them to create and contribute
If you can get the mathematics to your computer screen, you can share it.
digital camerascopiers scanners
let’s take a look
                    Students                   can alsorecord and shareshort videosof up to 5 minutes
http://tinyurl.com/nkz84h
http://tinyurl.com/mxg3a7
http://tinyurl.com/mavmdo
Using Technology to EngageDiscussionboardsJingOnline HomeworkLMS
Wolfram Demonstrations
http://demonstrations.wolfram.com/
http://nlvm.usu.edu/
Textbook Interactives
http://www.ted.comTED Talks
http://web.monroecc.edu/calcNSF/
http://tinyurl.com/7rdr33
Using Technology to EngageInteractive materialsDiscussionboardsJingOnline HomeworkLMS
Did I mention this is free?
and on every computerthat has Internet access?
To see a graph of this function, go here.
Inquiry-based Learning
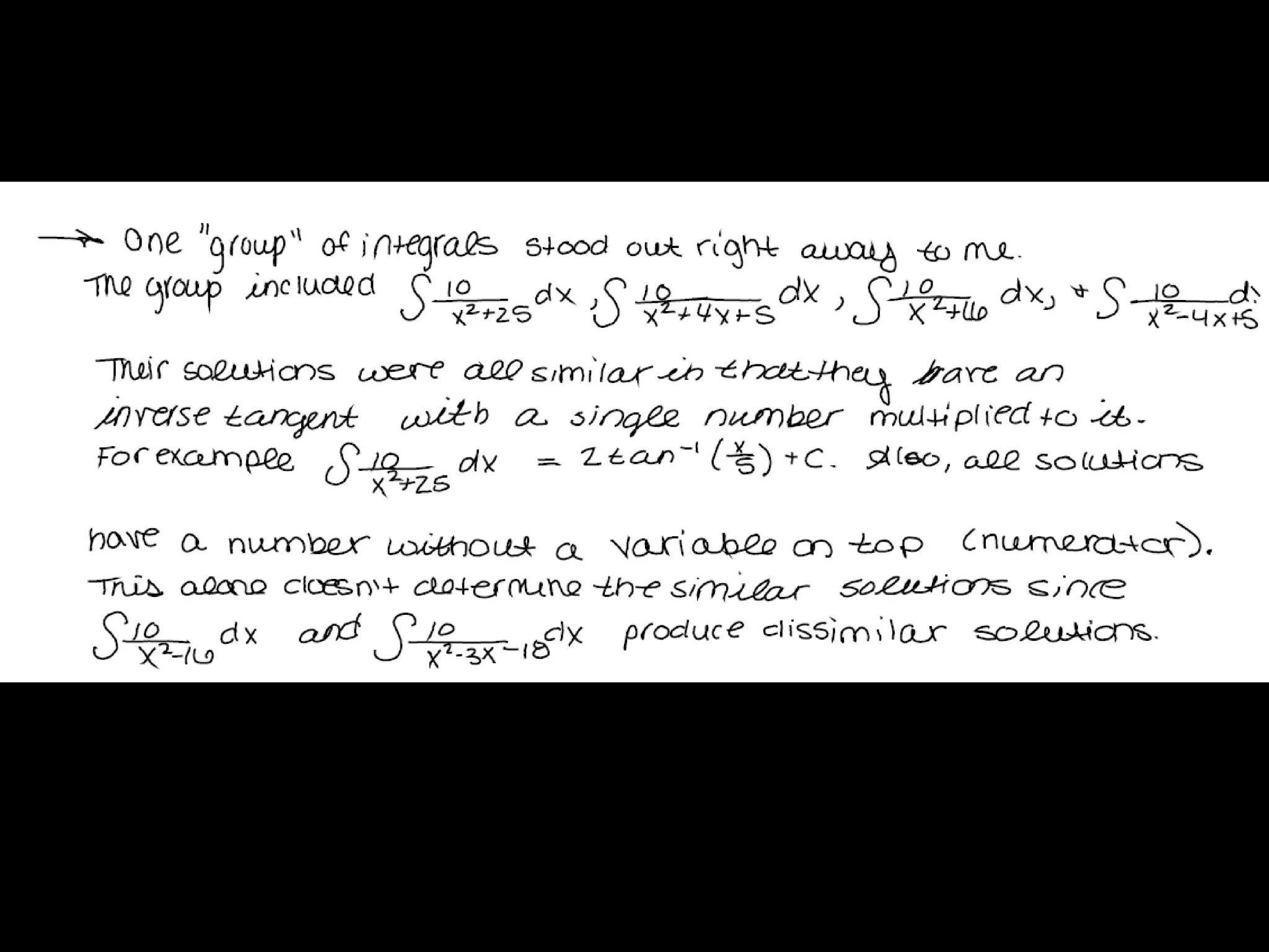
You might write statements something like... “When the integrals look   like ______ the solutions   seem to be similar in that     _______ .
Using Technology to EngageWolframAlphaInteractive materialsDiscussionboardsJingOnline HomeworkLMS
Louis
Synchronous time can be initiated by the instructor.
MarcusLouis
Louis
Enter ...  Marcus.
Marcus is actually working on the same problem (page) as Louis.Marcus would not have gone to the discussion board because Marcus wasn’t having any trouble with the assignment.
Louis and Marcus can SEE that each other are there.
What Louis sees.
What Marcus sees.
Louis and Marcus now have several options for communication …text chataudio and video chatusingequationeditorusingcalculatoraudio chattaking screenshotswriting on screensharingdesktop
LouisMarcusZelda
Using Technology to EngageSynchronous online communicationWolframAlphaInteractive materialsDiscussionboardsJingOnline HomeworkLMS
i record video lessons In short, bite-sized“chunks”
links to Screencast videos
http://tinyurl.com/nj5abm
http://tinyurl.com/my6udz
http://tinyurl.com/lcmka5
http://tinyurl.com/mdabnb
students teaching each otherhttp://tinyurl.com/lgt8sk
http://tinyurl.com/ktdclr
Using Technology to EngageSynchronous online communicationYOUR videosWolframAlphaInteractive materialsDiscussionboardsJingOnline HomeworkLMS
Using Technology to EngageSynchronous online communicationYOUR videosWeb 2.0WolframAlphaInteractive materialsDiscussionboardsJingOnline HomeworkLMS
well, if you aren’tshocked yet ...
Using Technology to EngageGamesSynchronous online communicationYOUR videosWeb 2.0WolframAlphaInteractive materialsDiscussionboardsJingOnline HomeworkLMS
avoid the urgeto be anacademic zombie
Signs of academic zombificationapathy instead of creativitymindless conformity“All I have to do is turn this onand it does the teaching for me!”
 in the end, the zombiesare alwayseradicated
how do you start?
you start
Questions?To find this presentation...www.TeachingCollegeMath.com

Using Tech To Engage Todays Students