TROPANE ALKALOIDS

       Kratika Daniel (Ph.D)
       Assistant professor
       MANDSAUR INSTITUTE OF PHARMACY,
       Mandsaur




                                                         KRATIKA
8/30/2012                      Kratika Daniel (Ph.D)               1
                                Assistant professor
                        MANDSAUR INSTITUTE OF PHARMACY
TROPANE ALKALOIDS


                           COCAINE ALKALOID


                           ATROPINE ALKALOID


    Atropine alkaloid is mainly found in member of solanaceae family in
     different concentration: -
               Atropa belladona (0.4 – 1%)
               Datura stromonium (0.2%)
               Hyosymus niger (0.05%)
•    Other solanaceous alkaloid are Hyosyamine, Hyoscine (Scopolamine),
     Apoatropine, Belladonine.


8/30/2012                          Kratika Daniel (Ph.D)                   2
ISOLATION
            Powdered drug/ juice + moisten drug
            with aqueous solution of K2CO3
                               Extract with CHCl3

                    Evaporate solvent

                 Extract with Dil. H2SO4

            Acidic extract made alkaline by K2CO3

                 Atropine precipitate out

              Crystallize by use of alcohol

8/30/2012                  Kratika Daniel (Ph.D)    3
BIOSYNTHESIS
                COOH

               NH2                                  CHCOOCH3
                     acetate                                                          phenylalanine
                                       H3C N        CHOCOC6H5
            NH2                                      CH2
    Ornithine                                Cocaine



                                           COOH
STEP - 1                                           decarboxylation
                                            NH2                                       NH2

                                           NHCH3                                     NHCH3
                               δ- N - methyl ornithine                  N - methyl putrescine
                                                                                   oxidation
         acetoacetic acid                     +
                                              N   CH3X
                                                                                        CHO


                               N - methyl - δ − pyrrolinium salt                          NHCH3
                                                                            4-(methylamino)butanal


               N CH3        O                               +
                                                          N CH3            O   aldol                  N CH3       O
                            dehydrogenation                                condensation
  hygrine
                                                                                                tropinone

                                                                                    reduction

   8/30/2012
                                                  NKratika 3
                                                     CH Daniel (Ph.D)
                                                                 OH                                           4

                                              tropine
STEP 2




            COOH                     O

                                          OH                               COOH
HO              OH             NH2                              O
         OH
     shikmic acid    phenyl alaine                   phenyl pyruvic acid


                                                                COOH

                                                                C     CH2OH
                                                                H
                                                        tropic acid


8/30/2012                    Kratika Daniel (Ph.D)                            5
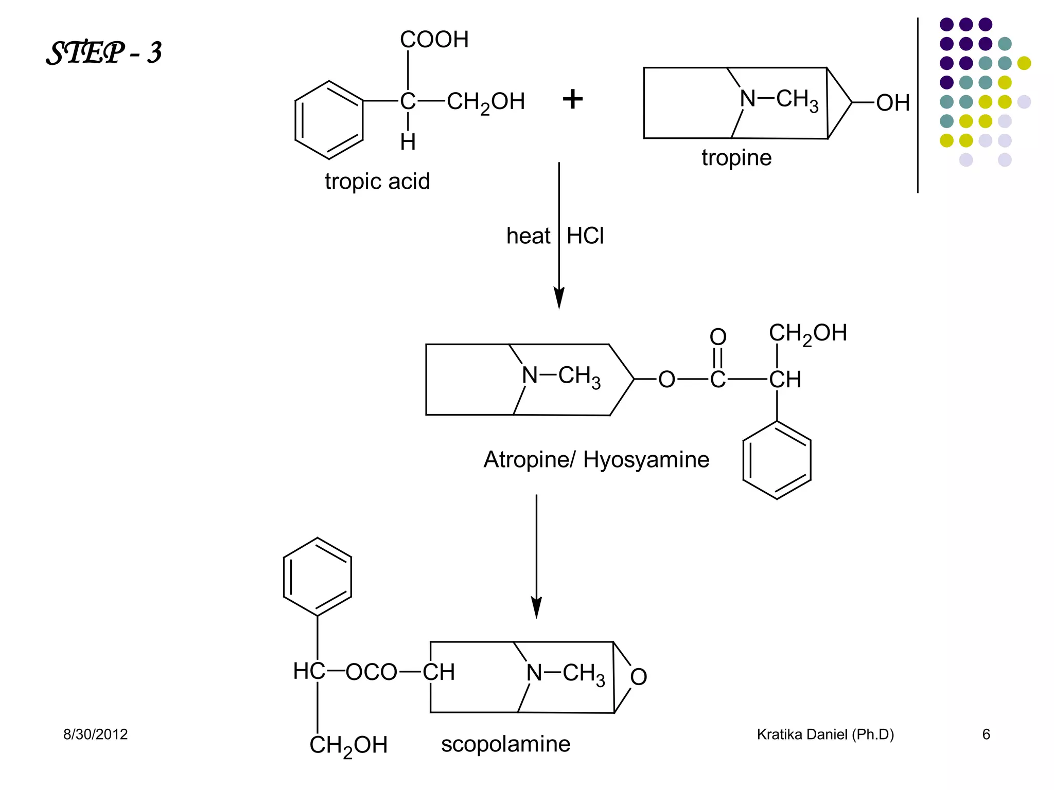
STEP - 3              COOH

                      C     CH2OH     +                 N CH3              OH
                      H
                                                    tropine
              tropic acid

                                 heat HCl



                                                    O     CH2OH
                                  N CH3         O   C     CH


                               Atropine/ Hyosyamine




             HC OCO       CH        N CH3   O

 8/30/2012                                               Kratika Daniel (Ph.D)   6
             CH2OH          scopolamine
Identification test
1.(Vitali – Morin reaction): -
  Alkaloid/ atropine
         (1µg)
                       + Drop of H SO  2        4          Evaporate to dryness

  Indicates        Which produce                       Add 0.3ml of 3% solution of
  presence
  of atropine      bright purple color                 KOH in methyl alcohol

2. On addition of AgNO3 solution to solution                     Yellowish
                of hyoscine hydrobromide                         white ppt


                                                            Insoluble – HNO3
                                                            Soluble – Dil. NH3
   8/30/2012                   Kratika Daniel (Ph.D)                          7
General Test For Alkaloids

 Mayer reagents : - (potassium mercuric iodide solution)
                      give white ppt.
 Dragondroff’s reagent: - (KI + bismuth nitrate)
                              orange red ppt
 Wagner’ s reagent: - (iodine solution)
                          brown ppt.
 Hager’s reagent: - (saturated solution of picric acid)
                      crystalline yellow ppt.
 Freshly prepared solution of tannic acid (5%w/v)       buff ppt


                                                      insoluble in NH3
  8/30/2012                   Kratika Daniel (Ph.D)                      8
TLC
• 1% solution of atropine dissolved in 2N acetic acid is
spotted over silica gel G plate and eluted in the solvent
system of strong NH3 solution – methanol (! : 5 : 100).
• TLC plate is spread with an acidified iodoplatinate solution.
•Rf – 0.18.
•Solvent system – Acetone – 0.5 sosium chloride solution.
•Spraying reagents – Dragondroff’s reagent.




 8/30/2012                Kratika Daniel (Ph.D)            9
Chemistry & Properties
•Melting point – 115oC to 116oC.
•Molecular formula – C17H23NO3
•On hydrolysis it gives alcohol, tropine, and tropic acid which
 indicates that atropine is an ester.
 C17H23NO 3    + H2O                    C8H9NO      +   C19H10O 3
  atropine                               tropine         tropic acid

•It is optically inactive (±) atropine is racemate form of
  hyoscyamine.
• Solubility – Insoluble in ether.
                Easily soluble in chloroform, alcohol.
                Sparingly soluble in water.

   8/30/2012                Kratika Daniel (Ph.D)                  10
SAR
   H2C         CH      CH2         O

         H3C   N      HC     O     C    CH

   H2C         CH      CH2              CH2OH


1. The primary part of attachment to cholinergic sites is through the
   positively charged nitrogen (cationic head).
 * In tertiary amines, they are quaternized by protonation at physiological
   pH which causes lack of CNS activity.
2. For hydrophobic bond formation & vander waal interaction on aryl
   group (phenyl thienyl) & a cycloaliphatic (cyclohexyl) is necessary.
3. The presence of free hydroxyl or carbamide is also importat for
   hydrogen bonding with receptor.
4. L – hyoscyamine is more active than d- isomer.
5. Difference b/w hydroxyl group & quaternqry nitrogen is b/w 2o to 3o.
6. It has similar structure to acetylcholine but contain additional
   substituent which enhance bindig to receptor.
     8/30/2012
                                                          Kratika Daniel (Ph.D)
                                                                                11
7. It has acetic acid ester of amino alcohol which is therapeutically
   useful.
   Minimal structure necessary for pure atagoistic activity is due to
               H5C6        O

                      CH   C    O      CH2         CH2 N(R')2
                R

 R = hydroxy alkyl, alkyl, cycloalkyl, or heterocyclic
 R’ = alkyl.

 8. The high potency of ester and amides of tropic acid result from their
    ability to H – bond with suitable group o the receptor, surrounded by
    hydrophobic area.
                           CH2OH         H5C2

                           CH   C            N           CH2    N
   8/30/2012                    OKratika Daniel (Ph.D)                  12
USES & ACTION
 1.It has stimulant action on CNS & depress the
   nerve ending to the secretor glands.
 2.It is useful in ophthalmic products b/c it
   dilates the pupil of eye (mydrasis).
 3.Antispasmodic action – GIT motility is
   inhibited & gastric secretion is inhibited.
 4.CVS – alters heart rate, stimulation of vagus
   nerve, bradycardia.
 5.Inhibition of secretion – Salivary, Lachrymal,
   Bronchial, & Scrotal gland.
 Producing an uncomfortably dry mouth & skin.
 8/30/2012            Kratika Daniel (Ph.D)         13

Tropane alkaloids notes

  • 1.
    TROPANE ALKALOIDS Kratika Daniel (Ph.D) Assistant professor MANDSAUR INSTITUTE OF PHARMACY, Mandsaur KRATIKA 8/30/2012 Kratika Daniel (Ph.D) 1 Assistant professor MANDSAUR INSTITUTE OF PHARMACY
  • 2.
    TROPANE ALKALOIDS COCAINE ALKALOID ATROPINE ALKALOID  Atropine alkaloid is mainly found in member of solanaceae family in different concentration: -  Atropa belladona (0.4 – 1%)  Datura stromonium (0.2%)  Hyosymus niger (0.05%) • Other solanaceous alkaloid are Hyosyamine, Hyoscine (Scopolamine), Apoatropine, Belladonine. 8/30/2012 Kratika Daniel (Ph.D) 2
  • 3.
    ISOLATION Powdered drug/ juice + moisten drug with aqueous solution of K2CO3 Extract with CHCl3 Evaporate solvent Extract with Dil. H2SO4 Acidic extract made alkaline by K2CO3 Atropine precipitate out Crystallize by use of alcohol 8/30/2012 Kratika Daniel (Ph.D) 3
  • 4.
    BIOSYNTHESIS COOH NH2 CHCOOCH3 acetate phenylalanine H3C N CHOCOC6H5 NH2 CH2 Ornithine Cocaine COOH STEP - 1 decarboxylation NH2 NH2 NHCH3 NHCH3 δ- N - methyl ornithine N - methyl putrescine oxidation acetoacetic acid + N CH3X CHO N - methyl - δ − pyrrolinium salt NHCH3 4-(methylamino)butanal N CH3 O + N CH3 O aldol N CH3 O dehydrogenation condensation hygrine tropinone reduction 8/30/2012 NKratika 3 CH Daniel (Ph.D) OH 4 tropine
  • 5.
    STEP 2 COOH O OH COOH HO OH NH2 O OH shikmic acid phenyl alaine phenyl pyruvic acid COOH C CH2OH H tropic acid 8/30/2012 Kratika Daniel (Ph.D) 5
  • 6.
    STEP - 3 COOH C CH2OH + N CH3 OH H tropine tropic acid heat HCl O CH2OH N CH3 O C CH Atropine/ Hyosyamine HC OCO CH N CH3 O 8/30/2012 Kratika Daniel (Ph.D) 6 CH2OH scopolamine
  • 7.
    Identification test 1.(Vitali –Morin reaction): - Alkaloid/ atropine (1µg) + Drop of H SO 2 4 Evaporate to dryness Indicates Which produce Add 0.3ml of 3% solution of presence of atropine bright purple color KOH in methyl alcohol 2. On addition of AgNO3 solution to solution Yellowish of hyoscine hydrobromide white ppt Insoluble – HNO3 Soluble – Dil. NH3 8/30/2012 Kratika Daniel (Ph.D) 7
  • 8.
    General Test ForAlkaloids  Mayer reagents : - (potassium mercuric iodide solution) give white ppt.  Dragondroff’s reagent: - (KI + bismuth nitrate) orange red ppt  Wagner’ s reagent: - (iodine solution) brown ppt.  Hager’s reagent: - (saturated solution of picric acid) crystalline yellow ppt.  Freshly prepared solution of tannic acid (5%w/v) buff ppt insoluble in NH3 8/30/2012 Kratika Daniel (Ph.D) 8
  • 9.
    TLC • 1% solutionof atropine dissolved in 2N acetic acid is spotted over silica gel G plate and eluted in the solvent system of strong NH3 solution – methanol (! : 5 : 100). • TLC plate is spread with an acidified iodoplatinate solution. •Rf – 0.18. •Solvent system – Acetone – 0.5 sosium chloride solution. •Spraying reagents – Dragondroff’s reagent. 8/30/2012 Kratika Daniel (Ph.D) 9
  • 10.
    Chemistry & Properties •Meltingpoint – 115oC to 116oC. •Molecular formula – C17H23NO3 •On hydrolysis it gives alcohol, tropine, and tropic acid which indicates that atropine is an ester. C17H23NO 3 + H2O C8H9NO + C19H10O 3 atropine tropine tropic acid •It is optically inactive (±) atropine is racemate form of hyoscyamine. • Solubility – Insoluble in ether. Easily soluble in chloroform, alcohol. Sparingly soluble in water. 8/30/2012 Kratika Daniel (Ph.D) 10
  • 11.
    SAR H2C CH CH2 O H3C N HC O C CH H2C CH CH2 CH2OH 1. The primary part of attachment to cholinergic sites is through the positively charged nitrogen (cationic head). * In tertiary amines, they are quaternized by protonation at physiological pH which causes lack of CNS activity. 2. For hydrophobic bond formation & vander waal interaction on aryl group (phenyl thienyl) & a cycloaliphatic (cyclohexyl) is necessary. 3. The presence of free hydroxyl or carbamide is also importat for hydrogen bonding with receptor. 4. L – hyoscyamine is more active than d- isomer. 5. Difference b/w hydroxyl group & quaternqry nitrogen is b/w 2o to 3o. 6. It has similar structure to acetylcholine but contain additional substituent which enhance bindig to receptor. 8/30/2012 Kratika Daniel (Ph.D) 11
  • 12.
    7. It hasacetic acid ester of amino alcohol which is therapeutically useful. Minimal structure necessary for pure atagoistic activity is due to H5C6 O CH C O CH2 CH2 N(R')2 R R = hydroxy alkyl, alkyl, cycloalkyl, or heterocyclic R’ = alkyl. 8. The high potency of ester and amides of tropic acid result from their ability to H – bond with suitable group o the receptor, surrounded by hydrophobic area. CH2OH H5C2 CH C N CH2 N 8/30/2012 OKratika Daniel (Ph.D) 12
  • 13.
    USES & ACTION 1.It has stimulant action on CNS & depress the nerve ending to the secretor glands. 2.It is useful in ophthalmic products b/c it dilates the pupil of eye (mydrasis). 3.Antispasmodic action – GIT motility is inhibited & gastric secretion is inhibited. 4.CVS – alters heart rate, stimulation of vagus nerve, bradycardia. 5.Inhibition of secretion – Salivary, Lachrymal, Bronchial, & Scrotal gland. Producing an uncomfortably dry mouth & skin. 8/30/2012 Kratika Daniel (Ph.D) 13