Synthetic Biology: Modelling and
                        Optimisation
                                                  Natalio Krasnogor
                             ASAP - Interdisciplinary Optimisation Laboratory
                             School of Computer Science


                             Centre for Integrative Systems Biology
                             School of Biology


                             Centre for Healthcare Associated Infections
                             Institute of Infection, Immunity & Inflammation

                                                     University of Nottingham
      Copyright is held by the author/owner(s).
      GECCO’09, July 8–12, 2009, Montréal Québec, Canada.
      ACM 978-1-60558-505-5/09/07.

                             1 /203

Thursday, 9 July 2009
Outline
   •Brief Introduction to Computational Modeling
   •Modeling for Top Down SB
    •Executable Biology
    •A pinch of Model Checking
   •Modeling for the Bottom Up SB
    •Dissipative Particle Dynamics
   •Automated Model Synthesis and Optimisation
   •Conclusions
                        2 /203

Thursday, 9 July 2009
Outline
   •Brief Introduction to Computational Modeling
   •Modeling for Top Down SB
    •Executable Biology
    •A pinch of Model Checking
   •Modeling for the Bottom Up SB
    •Dissipative Particle Dynamics
   •Automated Model Synthesis and Optimisation
   •Conclusions
                        3 /203

Thursday, 9 July 2009
Synthetic Biology
   • Aims at designing, constructing and developing artificial biological
   systems

   •Offers new routes to ‘genetically modified’ organisms, synthetic living
   entities, smart drugs and hybrid computational-biological devices.

   • Potentially enormous societal impact, e.g., healthcare, environmental
   protection and remediation, etc

   • Synthetic Biology's basic assumption:
          • Methods commonly used to build non-biological systems could
              also be use to specify, design, implement, verify, test and deploy
              novel synthetic biosystems.
              • These method come from computer science, engineering and
              maths.
              • Modelling and optimisation run through all of the above.
                        4 /203

Thursday, 9 July 2009
Models and Reality
     •The use of models is intrinsic to any
     scientific activity.

     •Models are abstractions of the real-world
     that highlight some key features while
     ignoring others that are assumed to be not
     relevant.

     •A model should not be seen or presented
     as representations of the truth, but instead
     as a statement of our current knowledge.
                        5 /203

Thursday, 9 July 2009
What is modelling?
     • Is an attempt at describing in a
     precise way an understanding of the
     elements of a system of interest, their
     states and interactions

     • A model should be operational, i.e. it
     should be formal, detailed and
     “runnable” or “executable”.
                        6 /203

Thursday, 9 July 2009
•“feature selection” is the first issue one
     must confront when building a model

     •One starts from a system of interest
     and then a decision should be taken as
     to what will the model include/leave out

     •That is, at what level the model will be
     built
                        7 /203

Thursday, 9 July 2009
The goals of Modelling
     •To capture the essential features of
     a biological entity/phenomenon
     •To disambiguate the understanding
     behind those features and their
     interactions
     •To move from qualitative knowledge
     towards quantitative knowledge

                        8 /203

Thursday, 9 July 2009
•There is potentially a distinction between modelling for Synthetic Biology
 and Systems Biology:
       •Systems Biology is concerned with Biology as it is
       •Synthetic Biology is concerned with Biology as it could be

 “Our view of engineering biology focuses on the abstraction and
 standardization of biological components” by R. Rettberg @ MIT newsbite
 August 2006.
 “Well-characterized components help lower the barriers to modelling. The
 use of control elements (such as temperature for a temperature-sensitive
 protein, or an exogenous small molecule affecting a reaction) helps model
 validation” by Di Ventura et al, Nature, 2006




                        9 /203

Thursday, 9 July 2009
•There is potentially a distinction between modelling for Synthetic Biology
 and Systems Biology:
       •Systems Biology is concerned with Biology as it is
       •Synthetic Biology is concerned with Biology as it could be

 “Our view of engineering biology focuses on the abstraction and
 standardization of biological components” by R. Rettberg @ MIT newsbite
 August 2006.
 “Well-characterized components help lower the barriers to modelling. The
 use of control elements (such as temperature for a temperature-sensitive
 protein, or an exogenous small molecule affecting a reaction) helps model
 validation” by Di Ventura et al, Nature, 2006




                Co-design of parts and their models hence improving
                and making both more reliable

                        9 /203

Thursday, 9 July 2009
Thus, Multi-Scale Modelling in the 2 SBs seek
     to produce computable understanding
     integrating massive datasets at various levels
     of details simultaneously

        Progress
                                                                     Organ   Individual
                                                       Cell colony

                                               Cells



                                  Regulatory
                                  Networks




                    Proteins




         DNA/RNA
                                                                                          Time

                        10 /203

Thursday, 9 July 2009
The Pragmalogical Problem of
            Modelling in XXI century Biology
        • XXI century Biology brings to the fore the ubiquitous philosophical
            questions in complex systems, that of emergent behavior and the
            tension between reductionism and holistic approaches to science.

        •    Synthetic Biology (and SysBio) has, however, a very pragmatic
            agenda: the engineering and control of novel biological systems

        • The pragmalogical problem: If each subcomponent of a living system
          (and processes/components therein) are understood… Can we say that
          the system is understood? That is, can we assume that the system =
          ∑parts ?

        • More importantly: can we control that biosystem?



                        11 /203

Thursday, 9 July 2009
The Pragmalogical Problem of
            Modelling in XXI century Biology
        • XXI century Biology brings to the fore the ubiquitous philosophical
            questions in complex systems, that of emergent behavior and the
            tension between reductionism and holistic approaches to science.
                                          & Integrative


        •    Synthetic Biology (and SysBio) has, however, a very pragmatic
            agenda: the engineering and control of novel biological systems

        • The pragmalogical problem: If each subcomponent of a living system
          (and processes/components therein) are understood… Can we say that
          the system is understood? That is, can we assume that the system =
          ∑parts ?

        • More importantly: can we control that biosystem?



                        11 /203

Thursday, 9 July 2009
 Modelling relies on rigorous computational,
     engineering and mathematical tools &
     techniques
    However, the act of modelling remains at the
     interface between art and science
    Undoubtedly, a multidisciplinary endeavour




                        12 /203

Thursday, 9 July 2009
Modelling as a constrained
                           scientific art
       Although modelling lies at the interface of art
        and science there are guidelines we can
        follow
       Some examples:
             The scale separation map [Hoekstra et al, LNCS 4487, 2007]
             Tools suitability & cost [Goldberg, 2002]




                        13 /203

Thursday, 9 July 2009
The Scale Separation Map
       The Scale Separation Map is an
        abstraction recently proposed by Hoekstra
        and co-workers [Hoekstra et al, LNCS
        4487, 2007]
       Introduced in the context of Multi-scale
        modelling with cellular automata but the
        core concepts still valid for other modelling
        techniques


                        14 /203

Thursday, 9 July 2009
The Scale Separation Map
     A Cellular Automata is defined as:
 C= < A(Δx, Δt,L,T), S, R, G, F >


 A is a spatial domain made of cells of size Δx with a total size of L
 The simulation clock ticks every Δt units for a total of T units




                                                                                  T
 We can simulate processes:                                                  Δt

  as fast as Δt for as long as T units

     ranging from Δx to L sizes.                     Δx

                                                                         L


                                                                 L
                        15 /203

Thursday, 9 July 2009
          A Scale Separation Map (SSM) is a two dimensional
                          map with horizontal axis representing time and vertical
                          axis representing space

                                     1            0              B   ξB

                                             A    ξA            τB
    Spatial scale (log)




                                            τA

                                  3.1             2       3.2




                                          Temporal scale (log)


                                16 /203

Thursday, 9 July 2009
          A Scale Separation Map (SSM) is a two dimensional
                          map with horizontal axis representing time and vertical
                          axis representing space
                                                                    • Region 0: A and B overlap
                                                                     single scale multi-science
                                     1                   0          model
                                               A         ξA         • Region 1: ξA ≈ ξB ^ τA > τB
                                          B         ξB               temporal scale separation
    Spatial scale (log)




                                               τA                   • Region 2: ξA > ξB ^ τB ≈ τA
                                          τB                         coarse and fine structures
                                  3.1                    2    3.2   in similar timescales
                                                                    • Region 3.1: ξA > ξB ^ τB <
                                                                    τA  familiar micro-macro
                                                                    models
                                                                    • Region 3.2: ξA > ξB ^ τB >
                                                                    τA  small and slow
                                                                    process linked to a fast and
                                           Temporal scale (log)     large process (e.g. Blood
                                                                    flood and artery repair)

                                16 /203

Thursday, 9 July 2009
          A Scale Separation Map (SSM) is a two dimensional
                          map with horizontal axis representing time and vertical
                          axis representing space
                                                                     • Region 0: A and B overlap
                                                                      single scale multi-science
                                         1            0              model
                                                 A    ξA             • Region 1: ξA ≈ ξB ^ τA > τB
                          B    ξB                                     temporal scale separation
    Spatial scale (log)




                                                τA                   • Region 2: ξA > ξB ^ τB ≈ τA
                          τB                                          coarse and fine structures
                                      3.1             2       3.2    in similar timescales
                                                                     • Region 3.1: ξA > ξB ^ τB <
                                                                     τA  familiar micro-macro
                                                                     models
                                                                     • Region 3.2: ξA > ξB ^ τB >
                                                                     τA  small and slow
                                                                     process linked to a fast and
                                              Temporal scale (log)   large process (e.g. Blood
                                                                     flood and artery repair)

                                    16 /203

Thursday, 9 July 2009
          A Scale Separation Map (SSM) is a two dimensional
                          map with horizontal axis representing time and vertical
                          axis representing space
                                                                 • Region 0: A and B overlap
                                                                  single scale multi-science
                                     1            0              model
                                             A    ξA             • Region 1: ξA ≈ ξB ^ τA > τB
                                                                  temporal scale separation
    Spatial scale (log)




                                            τA                   • Region 2: ξA > ξB ^ τB ≈ τA
                                                                  coarse and fine structures
                                  3.1             2       3.2    in similar timescales
                                                                 • Region 3.1: ξA > ξB ^ τB <
                                                                 τA  familiar micro-macro
                                                                 models
                                             B     ξB            • Region 3.2: ξA > ξB ^ τB >
                                            τB                   τA  small and slow
                                                                 process linked to a fast and
                                          Temporal scale (log)   large process (e.g. Blood
                                                                 flood and artery repair)

                                16 /203

Thursday, 9 July 2009
          A Scale Separation Map (SSM) is a two dimensional
                          map with horizontal axis representing time and vertical
                          axis representing space
                                                                  • Region 0: A and B overlap
                                                                   single scale multi-science
                                      1            0              model
                                              A    ξA             • Region 1: ξA ≈ ξB ^ τA > τB
                                                                   temporal scale separation
    Spatial scale (log)




                                             τA                   • Region 2: ξA > ξB ^ τB ≈ τA
                                                                   coarse and fine structures
                                   3.1             2       3.2    in similar timescales
                                                                  • Region 3.1: ξA > ξB ^ τB <
                                                                  τA  familiar micro-macro
                                                                  models
                                                                  • Region 3.2: ξA > ξB ^ τB >
                            B    ξB
                                                                  τA  small and slow
                            τB                                    process linked to a fast and
                                           Temporal scale (log)   large process (e.g. Blood
                                                                  flood and artery repair)

                                 16 /203

Thursday, 9 July 2009
          A Scale Separation Map (SSM) is a two dimensional
                          map with horizontal axis representing time and vertical
                          axis representing space
                                                                       • Region 0: A and B overlap
                                                                        single scale multi-science
                                     1            0                    model
                                             A    ξA                   • Region 1: ξA ≈ ξB ^ τA > τB
                                                                        temporal scale separation
    Spatial scale (log)




                                            τA                         • Region 2: ξA > ξB ^ τB ≈ τA
                                                                        coarse and fine structures
                                  3.1             2         3.2        in similar timescales
                                                                       • Region 3.1: ξA > ξB ^ τB <
                                                                       τA  familiar micro-macro
                                                                       models
                                                       B          ξB   • Region 3.2: ξA > ξB ^ τB >
                                                       τB              τA  small and slow
                                                                       process linked to a fast and
                                          Temporal scale (log)         large process (e.g. Blood
                                                                       flood and artery repair)

                                16 /203

Thursday, 9 July 2009
Even within a single cell the space & time
              scale separations are important
                                      E.g.:

                                      • Within a cell the dissociation
                                         constants of DNA/ transcription
                                         factor binding to specific/non-
                                         specific sites differ by 4-6 orders of
                                         magnitude

                                      • DNA protein binding occurs at 1-10s
                                         time scale very fast in comparison
                                         to a cell’s life cycle.




        [F.J. Romero Campero, 2007]
                        17 /203

Thursday, 9 July 2009
The Scale Separation Map
                                                      • With sufficient data each process can be
                                                      assigned its space-time region
                                                      unambiguously

                           Couplings, e.g. F          • A given process may well have its Δx
                                                      (respectively Δt) > than another’s ξA
                                                      (respectively τA)
    Spatial scale (log)




                                                      • Hence different processes in the SSM might
                                                      require different modelling techniques




                               Temporal scale (log)


                             18 /203

Thursday, 9 July 2009
Modelling Approaches

      There exist many modelling approaches, each with its
      advantages and disadvantages.
         Macroscopic, Microscopic and Mesoscopic
         Quantitative and qualitative
         Discrete and Continuous
         Deterministic and Stochastic
         Top-down or Bottom-up




                        19 /203

Thursday, 9 July 2009
Modelling Frameworks
     •Denotational Semantics Models:
     Set of equations showing relationships between molecular
     quantities and how they change over time.
     They are approximated numerically.
     (I.e. Ordinary Differential Equations, PDEs, etc)

     •Operational Semantics Models:
     Algorithm (list of instructions) executable by an abstract
     machine whose computation resembles the behaviour of the
     system under study. (i.e. Finite State Machine)

        Jasmin Fisher and Thomas Henzinger. Executable cell biology. Nature Biotechnology, 25, 11, 1239-1249
                                                    (2008)

                        20 /203

Thursday, 9 July 2009
Tools Suitability and Cost
       From [D.E Goldberg, 2002] (adapted):
        “Since science and math are in the description
        business, the model is the thing…The engineer
        or inventor has much different motives. The
        engineered object is the thing”
                                  ε, error



                                             Synthetic Biologist




                                                             Computer Scientist/Mathematician


                                                 C, cost of modelling

                        21 /203

Thursday, 9 July 2009
Tools Suitability and Cost
                              Low cost/                                                      High cost/
                              High error                                                     Low error
                                                                                                           Adapted from [Goldberg 2002]



                        Unarticulated Articulated           Dimensional          Facetwise         Equations
                        wisdom        Qualitative           models               models            Of motion
                                      models



            Chemical            Bioinformatic        Biopolimer       Microarrays and G.E.
         Markup Language      Sequence Markup     Markup Language      Markup Language
              (CML)           Language (BSML)         (BioML)              (MAGEML)




                         Cell            Systems Biology       Mathematics
                   Markup Language       Markup Language     Markup Language
                      (MathML)               (SBML)             (MathML)




                           22 /203

Thursday, 9 July 2009
From [Di Ventura et al., Nature, 2006]
                             Low cost/                         High cost/
                             High error                        Low error


                        Unarticulated     Dimensional   Facetwise    Equations
                        wisdom            models        models       Of motion




    Formalism-independent errors
    Formalism-dependent errors




                         23 /203

Thursday, 9 July 2009
From [Di Ventura et al., Nature, 2006]
                             Low cost/                         High cost/
                             High error                        Low error


                        Unarticulated     Dimensional   Facetwise    Equations
                        wisdom            models        models       Of motion




    Formalism-independent errors
    Formalism-dependent errors




                         23 /203

Thursday, 9 July 2009
From [Di Ventura et al., Nature, 2006]
                             Low cost/                         High cost/
                             High error                        Low error


                        Unarticulated     Dimensional   Facetwise    Equations
                        wisdom            models        models       Of motion




    Formalism-independent errors
    Formalism-dependent errors




                         23 /203

Thursday, 9 July 2009
24 /203

Thursday, 9 July 2009
Stochasticity in Cellular Systems
         Most commonly recognised sources of noise in cellular system are low
          number of molecules and slow molecular interactions.




         Over 80% of genes in E. coli express fewer than a hundred proteins per cell.

         Mesoscopic, discrete and stochastic approaches are more suitable:
            Only relevant molecules are taken into account.
            Focus on the statistics of the molecular interactions and how often they
             take place.

         Mads Karn et al. Stochasticity in Gene Expression: From Theories to Phenotypes. Nature Reviews, 6,
         451-464 (2005)

         Purnananda Guptasarma. Does replication-induced transcription regulate synthesis of the myriad low
         copy number poteins of E. Coli. BioEssays, 17, 11, 987-997

                        25 /203

Thursday, 9 July 2009
Towards Executable Modells for SBs
        “Although the road ahead is long and winding, it leads to a
           future where biology and medicine are transformed into
           precision engineering.” - Hiroaki Kitano.

            Synthetic Biology and Systems biology promise more than
             integrated understanding: it promises systematic control of
             biological systems:
            1.    From an experimental viewpoint: Improved data acquisition
            2.    From a bioinformatics viewpoint: Improved data analysis tools
            3.    From a conceptual viewpoint: move from a science of mass-action/
                  energy-conversion to a science of information processing through
                  multiple heterogeneous medium



                        26 /203

Thursday, 9 July 2009
There are good reasons to think that information
   processing is a key viewpoint to take when modeling

   Life as we know is:
        • coded in discrete units (DNA, RNA, Proteins)
        • combinatorially assembles interactions (DNA-RNA, DNA-
        Proteins,RNA-Proteins , etc) through evolution and self-organisation
        • Life emerges from these interacting parts
        • Information is:
             • transported in time (heredity, memory e.g. neural, immune
             system, etc)
             • transported in space (molecular transport processes, channels,
             pumps, etc)
        • Transport in time = storage/memory  a computational process
        • Transport in space = communication  a computational process
        • Signal Transduction = processing  a computational process



                        27 /203

Thursday, 9 July 2009
    It thus makes sense to use methodologies
           designed to cope with complex,
           concurrent, interactive systems of parts as
           found in computer sciences (e.g.):
             Petri Nets
             Process Calculi
             P-Systems




                        28 /203

Thursday, 9 July 2009
InfoBiotics
                                  www.infobiotic.net
     •The utilisation of cutting-edge information
     processing techniques for biological modelling and
     synthesis
     •The understanding of life itself as multi-scale
     (Spatial/Temporal) information processing systems
     •Composed of 3 key components:
       •Executable Biology (or other modeling
       techniques)
       •Automated Model and Parameter Estimation
       •Model Checking (and other formal analysis)
                        29 /203

Thursday, 9 July 2009
Modeling in Systems & Synthetic Biology

      Systems Biology                         Synthetic Biology
                                   Colonies
       • Understanding                        •Control
       • Integration                          • Design
       • Prediction                           • Engineering
       • Life as it is                        •Life as it could be
                                    Cells


   Computational modelling to                 Computational modelling to
   elucidate and characterise                 engineer and evaluate
   modular patterns exhibiting                possible cellular designs
   robustness, signal filtering,              exhibiting a desired
   amplification, adaption,                   behaviour by combining well
   error correction, etc.                     studied and characterised
                                   Networks   cellular modules



                        30 /203

Thursday, 9 July 2009
Model Design in Systems/Synthetic Biology
   • It is a hard process to design suitable models in systems/
   synthetic biology where one has to consider the choice of the
   model structure and model parameters at different points
   repeatedly.

   • Some use of computer simulation has been mainly focused on
   the computation of the corresponding dynamics for a given
   model structure and model parameters.

   • Ultimate goal: for a new biological system (spec) one would like
   to estimate the model structure and model parameters (that
   match reality/constructible) simultaneously and automatically.

   • Models should be clear & understandable to the biologist
                        31 /203

Thursday, 9 July 2009
How you select features, disambiguate and
quantify depends on the goals behind your
modelling enterprise.
                                                Basic goal: to clarify current understandings by
                                                formalising what the constitutive elements of a system
                              Systems Biology


                                                are and how they interact
                                                Intermediate goal: to test current understandings
          Synthetic Biology




                                                against experimental data

                                                Advanced goal: to predict beyond current
                                                understanding and available data

                                                 Dream goal:
                                                 (1) to combinatorially combine in silico well-understood
                                                     components/models for the design and generation of novel
                                                     experiments and hypothesis and ultimately
                                                 (2) to design, program, optimise & control (new) biological
                                                     systems



                              32 /203

Thursday, 9 July 2009
Model Development
          From [E. Klipp et al, Systems Biology in Practice,
           2005]
         1.      Formulation of the problem
         2.      Verification of available information
         3.      Selection of model structure
         4.      Establishing a simple model
         5.      Sensitivity analysis
         6.      Experimental tests of the model predictions
         7.      Stating the agreements and divergences between
                 experimental and modelling results
         8.      Iterative refinement of model


                        33 /203

Thursday, 9 July 2009
Outline
   •Brief Introduction to Computational Modeling
   •Modeling for Top Down SB
    •Executable Biology
    •A pinch of Model Checking
   •Modeling for the Bottom Up SB
    •Dissipative Particle Dynamics
   •Automated Model Synthesis and Optimisation
   •Conclusions
                        34 /203

Thursday, 9 July 2009
Executable Biology with P systems
       Field of membrane computing initiated by
        Gheorghe Păun in 2000
       Inspired by the hierarchical membrane structure
        of eukaryotic cells
       A formal language: precisely defined and
        machine processable
       An executable biology methodology



                        35 /203

Thursday, 9 July 2009
Functional Entities
                                      Container
        • A boundary defining self/non-self (symmetry breaking).
        • Maintain concentration gradients and avoid environmental damage.

                                     Metabolism
        • Confining raw materials to be processed.
        • Maintenance of internal structures (autopoiesis).

                                     Information

        • Sensing environmental signals / release of signals.
        • Genetic information



                        36 /203

Thursday, 9 July 2009
Distributed and parallel rewritting systems in
      compartmentalised hierarchical structures.


                                                       Objects




Compartments

                                                       Rewriting Rules

  •   Computational universality and efficiency.

  •   Modelling Framework

                        37 /203

Thursday, 9 July 2009
Cell-like P systems
  Intuitive Visual representation
  as a Venn diagram with a
  unique superset and without
  intersected sets.




                                      the classic P system diagram appearing in most papers
                                                              (Păun)




                        38 /203

Thursday, 9 July 2009
Cell-like P systems
  Intuitive Visual representation
  as a Venn diagram with a
  unique superset and without
  intersected sets.

      formally equivalent to a tree:
                  1

                        2             4
                             3
                                              7
                             5            6
                                                  the classic P system diagram appearing in most papers
                                                                          (Păun)
                             8                9




                            38 /203

Thursday, 9 July 2009
Cell-like P systems
  Intuitive Visual representation
  as a Venn diagram with a
  unique superset and without
  intersected sets.

      formally equivalent to a tree:
                  1

                        2             4
                             3
                                              7
                             5            6
                                                  the classic P system diagram appearing in most papers
                                                                          (Păun)
                             8                9



  •    a string of matching parentheses:            [ 1 [2 ] 2 [ 3 ] 3 [4 [5 ] 5 [6 [ 8 ] 8 [9 ] 9 ]6
       [7 ]7 ]4 ]1

                            38 /203

Thursday, 9 July 2009
P-Systems: Modelling Principles
       Molecules                  Objects
       Structured Molecules       Strings
       Molecular Species          Multisets of objects/
                                  strings
       Membranes/organelles       Membrane

       Biochemical activity       rules

       Biochemical transport      Communication rules

                        39 /203

Thursday, 9 July 2009
Stochastic P Systems




                        40 /203

Thursday, 9 July 2009
Rewriting Rules




    used by Multi-volume Gillespie’s algorithm
                        41 /203

Thursday, 9 July 2009
Molecular Species
                                 A molecular species can be represented using
                                  individual objects.




                                 A molecular species with relevant internal structure
                                  can be represented using a string.




                        42 /203

Thursday, 9 July 2009
Molecular Interactions
                                     Comprehensive and relevant rule-based schema
                                      for the most common molecular interactions taking
                                      place in living cells.

                                               Transformation/Degradation
                                               Complex Formation and Dissociation
                                               Diffusion in / out
                                               Binding and Debinding
                                               Recruitment and Releasing
                                               Transcription Factor Binding/Debinding
                                               Transcription/Translation




                        43 /203

Thursday, 9 July 2009
Compartments / Cells
                                     Compartments and regions are explicitly
                                      specified using membrane structures.




                        44 /203

Thursday, 9 July 2009
Colonies / Tissues
                                     Colonies and tissues are representing as
                                      collection of P systems distributed over a lattice.


                                     Objects can travel around the lattice through
                                      translocation rules.




                                              v




                        45 /203

Thursday, 9 July 2009
Molecular Interactions
                        Inside Compartments




                        46 /203

Thursday, 9 July 2009
Passive Diffusion of Molecules




                        47 /203

Thursday, 9 July 2009
48 /203

Thursday, 9 July 2009
a                 b       Transport Modalities


                                                    a       b    Antiport channel
                  a                 b

               Symport channel


                           a
                          c             b           a        b




                                               Promoted symport channel (trap)

                      a                 b
                          49 /203

Thursday, 9 July 2009
Transport Modalities



                                   5         2
                                                              1


                           4
                                            3
                                                           Phagocitosys

                                            Endocitosys

                                                          Pinocitosys
                                            Exocitosys


                        50 /203

Thursday, 9 July 2009
Transport Modalities




                                              Highly specific:
                                              cell specific & topology specific

                        51 /203

Thursday, 9 July 2009
Signal Sensing and
                             Active Transport




                        52 /203

Thursday, 9 July 2009
Specification of Transcriptional
                  Regulatory Networks




                        53 /203

Thursday, 9 July 2009
Transcription as Rewriting Rules on
     Multisets of Objects and Strings




                        54 /203

Thursday, 9 July 2009
Translation as Rewriting Rules on
        Multisets of Objects and Strings




                        55 /203

Thursday, 9 July 2009
Post-Transcriptional Processes
         For each protein in the system, post-transcriptional processes like
          translational initiation, messenger and protein degradation, protein
          dimerisation, signal sensing, signal diffusion etc are represented using
          modules of rules.
         Modules can have also as parameters the stochastic kinetic constants
          associated with the corresponding rules in order to allow us to explore
          possible mutations in the promoters and ribosome binding sites in order to
          optimise the behaviour of the system.




                        56 /203

Thursday, 9 July 2009
Scalability through Modularity

          Cellular functions arise from orchestrated
           interactions between motifs consisting of
           many molecular interacting species.

          A P System model is a set of rules
           representing molecular interactions motifs
           that appear in many cellular systems.


                        57 /203

Thursday, 9 July 2009
Basic P System Modules Used




                        58 /203

Thursday, 9 July 2009
Modularity in Gene Regulatory
                        Networks
   Cis-regulatory modules
    are nonrandom clusters of
    target binding sites for
    transcription factors
    regulating the same gene
    or operon.

   A P system module is a
    set of rewriting rules
    containing variables that
    can be instantiated with
    specific objects, stochastic
    constants and membrane
    labels.

      E. Davidson (2006) The Regulatory Genome, Gene Regulation Networks in Development and
      Evolution, Elsevier

                        59 /203

Thursday, 9 July 2009
Modularity in Gene Regulatory
                        Networks                   AHL
                                               LuxR                                     CI
   Cis-regulatory modules
    are nonrandom clusters of
    target binding sites for
    transcription factors
    regulating the same gene
    or operon.

   A P system module is a
    set of rewriting rules
    containing variables that
    can be instantiated with
    specific objects, stochastic
    constants and membrane
    labels.

      E. Davidson (2006) The Regulatory Genome, Gene Regulation Networks in Development and
      Evolution, Elsevier

                        59 /203

Thursday, 9 July 2009
Modularity in Gene Regulatory
                        Networks                   AHL
                                               LuxR                                     CI
   Cis-regulatory modules
    are nonrandom clusters of
    target binding sites for
    transcription factors
    regulating the same gene
    or operon.

   A P system module is a
    set of rewriting rules
    containing variables that
    can be instantiated with
    specific objects, stochastic
    constants and membrane
    labels.

      E. Davidson (2006) The Regulatory Genome, Gene Regulation Networks in Development and
      Evolution, Elsevier

                        59 /203

Thursday, 9 July 2009
Representing transcriptional
                      fusions
       Objects Variables can be instantiated with the name of specific genes to
        represent a construct where the gene is fused to the promoter or cluster of TF
        binding sites specified by the module.




                        60 /203

Thursday, 9 July 2009
Representing transcriptional
                      fusions
       Objects Variables can be instantiated with the name of specific genes to
        represent a construct where the gene is fused to the promoter or cluster of TF
        binding sites specified by the module.




                        60 /203

Thursday, 9 July 2009
Representing transcriptional
                      fusions
       Objects Variables can be instantiated with the name of specific genes to
        represent a construct where the gene is fused to the promoter or cluster of TF
        binding sites specified by the module.




                        60 /203

Thursday, 9 July 2009
Representing transcriptional
                      fusions
       Objects Variables can be instantiated with the name of specific genes to
        represent a construct where the gene is fused to the promoter or cluster of TF
        binding sites specified by the module.




                        60 /203

Thursday, 9 July 2009
Representing transcriptional
                      fusions
       Objects Variables can be instantiated with the name of specific genes to
        represent a construct where the gene is fused to the promoter or cluster of TF
        binding sites specified by the module.




                        60 /203

Thursday, 9 July 2009
Representing transcriptional
                      fusions
       Objects Variables can be instantiated with the name of specific genes to
        represent a construct where the gene is fused to the promoter or cluster of TF
        binding sites specified by the module.




                        60 /203

Thursday, 9 July 2009
Representing transcriptional
                      fusions
       Objects Variables can be instantiated with the name of specific genes to
        represent a construct where the gene is fused to the promoter or cluster of TF
        binding sites specified by the module.




                        60 /203

Thursday, 9 July 2009
Representing Directed Evolution
       Variables for stochastic constants can be instantiated
        with specific values in order to represent directed
        evolution.




                        61 /203

Thursday, 9 July 2009
Representing Directed Evolution
       Variables for stochastic constants can be instantiated
        with specific values in order to represent directed
        evolution.




                        61 /203

Thursday, 9 July 2009
Representing Directed Evolution
       Variables for stochastic constants can be instantiated
        with specific values in order to represent directed
        evolution.


                                  A




                        61 /203

Thursday, 9 July 2009
Representing Directed Evolution
       Variables for stochastic constants can be instantiated
        with specific values in order to represent directed
        evolution.


                                  A




                        61 /203

Thursday, 9 July 2009
Representing synthetic
                        transcriptional networks
       The genes used to instantiate variables in our modules can
        codify other TFs that interact with other modules or promoters
        producing a synthetic gene regulatory network.




                        62 /203

Thursday, 9 July 2009
Representing synthetic
                        transcriptional networks
       The genes used to instantiate variables in our modules can
        codify other TFs that interact with other modules or promoters
        producing a synthetic gene regulatory network.




                        62 /203

Thursday, 9 July 2009
Stochastic P Systems
       Gillespie Algorithm (SSA) generates trajectories of a stochastic
        system consisting of modified for multiple compartments/volumes:

         1)    A stochastic constant is associated with each rule.
         2)    A propensity is computed for each rule by multiplying the
               stochastic constant by the number of distinct possible
               combinations of the elements on the left hand side of the rule.
         3)    The rule to apply j0 and the waiting time τ for its application
               are computed by generating two random numbers r1,r2 ~ U(0,1)
               and using the formulas:




              F. J. Romero-Campero, J. Twycross, M. Camara, M. Bennett, M. Gheorghe, and N. Krasnogor.
              Modular assembly of cell systems biology models using p systems. International Journal of
              Foundations of Computer Science, 2009

                        63 /203

Thursday, 9 July 2009
Multicompartmental Gillespie
               Algorithm




                        64 /203

Thursday, 9 July 2009
Multicompartmental Gillespie
               Algorithm
                                          1
                                  3




                                      2




                        64 /203

Thursday, 9 July 2009
Multicompartmental Gillespie
               Algorithm
                                                    1
                                   3   r11,…,r1n1
              r31,…,r3n3
                    M3                    M1


                                               2
                          r21,…,r2n2
                                  M2




                        64 /203

Thursday, 9 July 2009
Multicompartmental Gillespie
               Algorithm
                                                    1
                                   3   r11,…,r1n1
              r31,…,r3n3
                                                        Local Gillespie
                    M3                    M1


                                               2
                          r21,…,r2n2
                                  M2




                        64 /203

Thursday, 9 July 2009
Multicompartmental Gillespie
               Algorithm
                                                    1
                                   3   r11,…,r1n1                         ( 1, τ1, r01)
              r31,…,r n3
                     3
                                                        Local Gillespie
                    M3                    M1


                                               2
                          r21,…,r2n2
                                  M2




                        64 /203

Thursday, 9 July 2009
Multicompartmental Gillespie
               Algorithm
                                                    1
                                   3   r11,…,r1n1                         ( 1, τ1, r01)
              r31,…,r n3
                     3
                                                        Local Gillespie
                    M3                    M1                              ( 2, τ2, r02)

                                               2
                          r21,…,r2n2
                                  M2




                        64 /203

Thursday, 9 July 2009
Multicompartmental Gillespie
               Algorithm
                                                    1
                                   3   r11,…,r1n1                         ( 1, τ1, r01)
              r31,…,r n3
                     3
                                                        Local Gillespie
                    M3                    M1                              ( 2, τ2, r02)

                                               2                          ( 3, τ3, r03)
                          r21,…,r2n2
                                  M2




                        64 /203

Thursday, 9 July 2009
Multicompartmental Gillespie
               Algorithm
                                                    1
                                   3   r11,…,r1n1                         ( 1, τ1, r01)
              r31,…,r n3
                     3
                                                        Local Gillespie
                    M3                    M1                              ( 2, τ2, r02)

                                               2                          ( 3, τ3, r03)
                          r21,…,r2n2
                                                                                   Sort Compartments
                                  M2
                                                                                      τ2 < τ1 < τ3




                        64 /203

Thursday, 9 July 2009
Multicompartmental Gillespie
               Algorithm
                                                    1
                                   3   r11,…,r1n1                         ( 1, τ1, r01)
              r31,…,r n3
                     3
                                                        Local Gillespie
                    M3                    M1                              ( 2, τ2, r02)

                                               2                          ( 3, τ3, r03)
                          r21,…,r2n2
                                                                                   Sort Compartments
                                  M2
                                                                                      τ2 < τ1 < τ3

                                                                          ( 2, τ2, r02)

                                                                          ( 1, τ1, r01)

                                                                          ( 3, τ3, r03)


                        64 /203

Thursday, 9 July 2009
Multicompartmental Gillespie
               Algorithm
                                                    1
                                   3   r11,…,r1n1                         ( 1, τ1, r01)
              r31,…,r n3
                     3
                                                        Local Gillespie
                    M3                    M1                              ( 2, τ2, r02)

                                               2                          ( 3, τ3, r03)
                          r21,…,r2n2
                                   ‘                                               Sort Compartments
                                  M2
                                                                                      τ2 < τ1 < τ3

                                                                          ( 2, τ2, r02)

                                                                          ( 1, τ1, r01)

                                                                          ( 3, τ3, r03)


                        64 /203

Thursday, 9 July 2009
Multicompartmental Gillespie
               Algorithm
                                                    1
                                   3   r11,…,r1n1                                  ( 1, τ1, r01)
              r31,…,r n3
                     3
                                                              Local Gillespie
                    M3                    M1                                       ( 2, τ2, r02)

                                               2                                   ( 3, τ3, r03)
                          r21,…,r2n2
                                   ‘                                                        Sort Compartments
                                  M2
                                                                                               τ2 < τ1 < τ3

                                                                                    ( 2, τ2, r02)
                                               ( 1, τ1-τ2, r01)
                                                                                    ( 1, τ1, r01)
                                               ( 3, τ3-τ2, r03)
                                                                                    ( 3, τ3, r03)
                                                                  Update Waiting Times


                        64 /203

Thursday, 9 July 2009
Multicompartmental Gillespie
               Algorithm
                                                    1
                                   3   r11,…,r1n1                                  ( 1, τ1, r01)
              r31,…,r n3
                     3
                                                              Local Gillespie
                    M3                    M1                                       ( 2, τ2, r02)

                                               2                                   ( 3, τ3, r03)
                          r21,…,r2n2
                                   ‘                                                        Sort Compartments
                                  M2
                                                                                               τ2 < τ1 < τ3

                                                                                    ( 2, τ2, r02)
                         ( 2, τ2’, r02)
                                               ( 1, τ1-τ2, r01)
                                                                                    ( 1, τ1, r01)
                                               ( 3, τ3-τ2, r03)
                                                                                    ( 3, τ3, r03)
                                                                  Update Waiting Times


                        64 /203

Thursday, 9 July 2009
Multicompartmental Gillespie
               Algorithm
                                                      1
                                    3    r11,…,r1n1                                  ( 1, τ1, r01)
              r31,…,r n3
                     3
                                                                Local Gillespie
                    M3                      M1                                       ( 2, τ2, r02)

                                                 2                                   ( 3, τ3, r03)
                            r21,…,r2n2
                                    ‘                                                         Sort Compartments
                                   M2
                                                                                                 τ2 < τ1 < τ3

                                                                                      ( 2, τ2, r02)
                           ( 2, τ2’, r02)
                                                 ( 1, τ1-τ2, r01)
                                                                                      ( 1, τ1, r01)
                                                 ( 3, τ3-τ2, r03)
                        Insert new triplet                                            ( 3, τ3, r03)
                         τ1-τ2 <τ2’ < τ3-τ2                         Update Waiting Times


                         64 /203

Thursday, 9 July 2009
Multicompartmental Gillespie
               Algorithm
                                                        1
                                     3    r11,…,r1n1                                   ( 1, τ1, r01)
                   r31,…,r n3
                          3
                                                                  Local Gillespie
                        M3                    M1                                       ( 2, τ2, r02)

                                                   2                                   ( 3, τ3, r03)
                             r21,…,r2n2
                                     ‘                                                          Sort Compartments
                                    M2
                                                                                                   τ2 < τ1 < τ3

                                                                                        ( 2, τ2, r02)
( 1, τ1-τ2, r01)             ( 2, τ2’, r02)
                                                   ( 1, τ1-τ2, r01)
                                                                                        ( 1, τ1, r01)
( 2, τ2’,   r02)
                                                   ( 3, τ3-τ2, r03)
( 3, τ3-τ2, r03)        Insert new triplet                                              ( 3, τ3, r03)
                         τ1-τ2 <τ2’ < τ3-τ2                           Update Waiting Times


                          64 /203

Thursday, 9 July 2009
   Using P systems modules one can model a large variety of
       commonly occurring BRN:

            Gene Regulatory Networks
            Signaling Networks
            Metabolic Networks

      This can be done in an incremental way.


             F. J. Romero-Campero, J. Twycross, M. Camara, M. Bennett, M. Gheorghe, and N. Krasnogor.
             Modular assembly of cell systems biology models using p systems. International Journal of
             Foundations of Computer Science, 2009




                        65 /203

Thursday, 9 July 2009
InfoBiotics
                                   Pipeline




                        66 /203

Thursday, 9 July 2009
SBML from CellDesigner




                        67 /203

Thursday, 9 July 2009
Runs simulations and extract data




                        68 /203

Thursday, 9 July 2009
Plot Timeseries




                        69 /203

Thursday, 9 July 2009
in time and space




                        70 /203

Thursday, 9 July 2009
Synthetic Biology Examples




                        71 /203

Thursday, 9 July 2009
Multi-component negative-
                  feedback oscillator




            Oscillations caused by time-delayed negative-feedback:
            Negative-feedback: gene-product that represses it's gene
            Time-delay: mRNA export, translation and repressor import
       Novak & Tyson: Design Principles of Biochemical Oscillators. Nat. Rev. Mol. Cell. Biol. 9: 981-991 (2008)


                        72 /203

Thursday, 9 July 2009
Multi-component negative-
                     feedback oscillator
          Mathematical model
             −   Xc = [mRNA in cytosol]
             −   Yc = [protein in cytosol]
             −   Xn = [mRNA in nucleus]
             −   Yn = [protein in nucleus]
             −   E = [total protease]
             −   p = “integer indicating
                 whether Y binds to DNA as a
                 monomer, trimer, or so on”
    Executable Biology makes this more obvious:
    we can vary the value of p and the sequence of binding...

                        73 /203

Thursday, 9 July 2009
Single protein represses gene
                  p=1




                        74 /203

Thursday, 9 July 2009
When repression is weak
                   (dissociation rate = 10)




             No obvious oscillatory behaviour in single simulation
                        75 /203

Thursday, 9 July 2009
When repression is weak
                         (dissociation rate = 10)




             Mean of 100 runs shows convergence to steady state
                        76 /203

Thursday, 9 July 2009
When repression is strong
                  (dissociation rate = 0.1)




                           Oscillations evident in single simulation
                        77 /203

Thursday, 9 July 2009
When repression is strong
                         (dissociation rate = 0.1)




         Averging 100 runs dampens oscillations due to different
         phases but observable. Protein levels steady.
                        78 /203

Thursday, 9 July 2009
Repressor binding sequence
      When p=2 there are two possible scenarios:
        – First protein binds to second protein weakly then
          protein-dimer binds to gene strongly
        – First protein binds to gene weakly then second
          protein binds to protein-gene dimer strongly
      In the following only the model structure is
       changed, not the parameters
      First dissociation rate = 10
      Second dissociation rate = 0.1
                        79 /203

Thursday, 9 July 2009
1. Protein represses as dimer




                        80 /203

Thursday, 9 July 2009
1. Protein represses as dimer




                                           target




        mRNA levels oscillate ready but protein
        accumulates in the cytosol
                        81 /203

Thursday, 9 July 2009
2. Proteins repress cooperatively




                        82 /203

Thursday, 9 July 2009
2. Proteins repress cooperatively




                                                          target




         Oscillations are steady and protein levels are controlled
                        83 /203

Thursday, 9 July 2009
An example: Ron Weiss' Pulse Generator

       Two different bacterial strains carrying specific synthetic
        gene regulatory networks are used.

       The first strain produces a diffusible signal AHL.

       The second strain possesses a synthetic gene regulatory
        network which produces a pulse of GFP after AHL sensing.

       These two bacterial strains and their respective synthetic
        networks are modelled as a combination of modules.

       S. Basu, R. Mehreja, et al. (2004) Spatiotemporal control of gene expression with pulse
        generating networks, PNAS, 101, 6355-6360


                        84 /203

Thursday, 9 July 2009
Sending Cells




                        85 /203

Thursday, 9 July 2009
Sending Cells




                        85 /203

Thursday, 9 July 2009
Sending Cells




  Pconst




                        85 /203

Thursday, 9 July 2009
Sending Cells




  Pconst
               luxI




                        85 /203

Thursday, 9 July 2009
Sending Cells

                                      Pconst({X = luxI },…)



  Pconst
               luxI




                        85 /203

Thursday, 9 July 2009
Sending Cells
                                  AHL


                                        Pconst({X = luxI },…)
                    LuxI          AHL   PostTransc({X=LuxI},{c1=3.2,…})
                                        Diff({X=AHL},{c=0.1})
  Pconst
               luxI




                        85 /203

Thursday, 9 July 2009
Pulse Generating Cells




                        86 /203

Thursday, 9 July 2009
Pulse Generating Cells




                        86 /203

Thursday, 9 July 2009
Pulse Generating Cells

                   LuxR



  Pconst
                luxR




                        86 /203

Thursday, 9 July 2009
Pulse Generating Cells
                          AHL


                       AHL
                   LuxR



  Pconst
                luxR




                        86 /203

Thursday, 9 July 2009
Pulse Generating Cells
                          AHL


                       AHL
                   LuxR                       GFP


                                  PluxOR1
  Pconst                                    gfp
                luxR




                        86 /203

Thursday, 9 July 2009
Pulse Generating Cells
                          AHL


                       AHL
                   LuxR                         GFP


                                    PluxOR1
  Pconst                                      gfp
                luxR




                             Plux
                                      cI



                        86 /203

Thursday, 9 July 2009
Pulse Generating Cells
                          AHL


                       AHL
                   LuxR                           GFP


                                    PluxOR1
  Pconst                                        gfp
                luxR


                                           CI

                             Plux
                                      cI



                        86 /203

Thursday, 9 July 2009
Pulse Generating Cells
                          AHL


                       AHL                              Pconst({X=luxR},…)
                   LuxR                           GFP
                                                        PluxOR1({X=gfp},…)
                                    PluxOR1             Plux({X=cI},…)
  Pconst                                        gfp
                luxR
                                                              …
                                                             …
                                           CI
                                                        Diff({X=AHL},…)
                             Plux
                                      cI



                        86 /203

Thursday, 9 July 2009
Spatial Distribution of Senders
                                         and Pulse Generators
                   AHL
                                          GFP                                          AHL
                LuxR


Pconst                   PluxOR1
         luxR                       gfp                                         LuxI   AHL


                               CI                               Pconst   luxI
                 Plux
                          cI




                               87 /203

Thursday, 9 July 2009
AHL
                                    Spatial Distribution of Senders
                                         and Pulse Generators
                   AHL
                                          GFP                                          AHL
                LuxR


Pconst                   PluxOR1
         luxR                       gfp                                         LuxI   AHL


                               CI                               Pconst   luxI
                 Plux
                          cI




                               87 /203

Thursday, 9 July 2009
Wave propagation
                                    simulation I




                                    SIMULATION I




                        88 /203

Thursday, 9 July 2009
Pulse Generating Cells
                            AHLWith Relay
                            AHL
                        LuxR                        GFP


                                      PluxOR1
    Pconst                                        gfp
                 luxR


                                             CI


                               Plux
                                        cI



                         89 /203

Thursday, 9 July 2009
Pulse Generating Cells
                            AHLWith Relay
                            AHL
                        LuxR                        GFP


                                      PluxOR1
    Pconst                                        gfp
                 luxR


      Plux                                   CI
                 luxI

                   LuxI
                               Plux
                                        cI

                   AHL


                         89 /203

Thursday, 9 July 2009
Pulse Generating Cells
                            AHLWith Relay
                            AHL                           Pconst({X=luxR},…)
                        LuxR                        GFP


                                      PluxOR1
    Pconst                                        gfp
                 luxR


      Plux                                   CI
                 luxI

                   LuxI
                               Plux
                                        cI

                   AHL


                         89 /203

Thursday, 9 July 2009
Pulse Generating Cells
                            AHLWith Relay
                            AHL                           Pconst({X=luxR},…)
                        LuxR                        GFP
                                                          PluxOR1({X=gfp},…)
                                      PluxOR1
    Pconst                                        gfp
                 luxR


      Plux                                   CI
                 luxI

                   LuxI
                               Plux
                                        cI

                   AHL


                         89 /203

Thursday, 9 July 2009
Pulse Generating Cells
                            AHLWith Relay
                            AHL                           Pconst({X=luxR},…)
                        LuxR                        GFP
                                                          PluxOR1({X=gfp},…)
                                      PluxOR1             Plux({X=cI},…)
    Pconst                                        gfp
                 luxR


      Plux                                   CI
                 luxI

                   LuxI
                               Plux
                                        cI

                   AHL


                         89 /203

Thursday, 9 July 2009
Pulse Generating Cells
                            AHLWith Relay
                            AHL                           Pconst({X=luxR},…)
                        LuxR                        GFP
                                                          PluxOR1({X=gfp},…)
                                      PluxOR1             Plux({X=cI},…)
    Pconst                                        gfp
                 luxR
                                                                …

      Plux                                   CI
                 luxI

                   LuxI
                               Plux
                                        cI

                   AHL


                         89 /203

Thursday, 9 July 2009
Pulse Generating Cells
                            AHLWith Relay
                            AHL                           Pconst({X=luxR},…)
                        LuxR                        GFP
                                                          PluxOR1({X=gfp},…)
                                      PluxOR1             Plux({X=cI},…)
    Pconst                                        gfp
                 luxR
                                                                …
                                                               …
      Plux                                   CI
                 luxI

                   LuxI
                               Plux
                                        cI

                   AHL


                         89 /203

Thursday, 9 July 2009
Pulse Generating Cells
                            AHLWith Relay
                            AHL                           Pconst({X=luxR},…)
                        LuxR                        GFP
                                                          PluxOR1({X=gfp},…)
                                      PluxOR1             Plux({X=cI},…)
    Pconst                                        gfp
                 luxR
                                                                …
                                                               …
      Plux                                   CI
                 luxI                                     Diff({X=AHL},…)

                   LuxI
                               Plux
                                        cI

                   AHL


                         89 /203

Thursday, 9 July 2009
Pulse Generating Cells
                            AHLWith Relay
                            AHL                           Pconst({X=luxR},…)
                        LuxR                        GFP
                                                          PluxOR1({X=gfp},…)
                                      PluxOR1             Plux({X=cI},…)
    Pconst                                        gfp
                 luxR
                                                                   …
                                                                …
      Plux                                   CI
                 luxI                                     Diff({X=AHL},…)
                               Plux                       Plux({X=luxI},…)
                   LuxI                 cI

                   AHL


                         89 /203

Thursday, 9 July 2009
Wave propagation
                                   simulation II



                                   SIMULATION II




                        90 /203
                                         36
Thursday, 9 July 2009
AHL
                                                  Spatial Distribution of
                                                Pulse Generators and Seed
                   AHL
                LuxR                      GFP



Pconst                   PluxOR1
         luxR                       gfp



 Plux                          CI
         luxI
                  Plux
                          cI
          LuxI


           AHL




                               91 /203

Thursday, 9 July 2009
Wave propagation with
                                  Four Droplets of Signal



                                      SIMULATION III




                        92 /203
                                            38
Thursday, 9 July 2009
Pulse Generating Cells
                            AHLWith Relay
                        LuxR
                            AHL
                                                  PulseGenerator(X ) =

                                      PluxOR1
                                                  { Pconst({X=luxR},…) ,
    Pconst
                 luxR                               PluxOR1({X},…) ,
                                                    Plux({X=cI},…) ,

      Plux                                             …
                                             CI
                 luxI                               Diff({X=AHL},…) ,

                   LuxI
                               Plux
                                        cI          Plux({X=luxI},…)   }
                   AHL


                         93 /203

Thursday, 9 July 2009
Combining Complex Modules
                            AHL


                            AHL                     Inverter(X ) =
                        LuxR
                                                    { Pconst({X=luxR},…) ,
                                                      PluxOR1({X=lacI},…) ,
    Pconst                         PluxOR1            Plac({X},…) ,
                 luxR                        lacI
                                                         …

                                             LacI     Diff({X=AHL},…)}


         Plac




                         94 /203

Thursday, 9 July 2009
Combining Complex Modules
                            AHL


                            AHL                        Inverter(X ) =
                        LuxR
                                                       { Pconst({X=luxR},…) ,
                                                         PluxOR1({X=lacI},…) ,
    Pconst                         PluxOR1               Plac({X},…) ,
                 luxR                        lacI
                                                            …

                                             LacI        Diff({X=AHL},…)}


         Plac
                                                    PulseGenerator({X=lacI})
                                                    Inverter({X=gfP})


                         94 /203

Thursday, 9 July 2009
Inversion Through a
                                   Propagating Wave



                                   SIMULATION IV




                        95 /203
                                          41
Thursday, 9 July 2009
Outline
   •Brief Introduction to Computational Modeling
   •Modeling for Top Down SB
    •Executable Biology
    •A pinch of Model Checking
   •Modeling for the Bottom Up SB
    •Dissipative Particle Dynamics
   •Automated Model Synthesis and Optimisation
   •Conclusions
                        96 /203

Thursday, 9 July 2009
Probabilistic Model Checking
      A precise computational/mathematical model allows
       us to perform formal verification techniques:
                   Probabilistic model checking.

      Properties are expressed formally using temporal
       logic and analysed.

      The fundamental components of the PRISM language
       are modules, variables and commands.
       •     A model is composed of a number of modules which can
             interact with each other.
       •     A module contains a number of local variables and commands.



                        97 /203

Thursday, 9 July 2009
P Systems and PRISM
                        P System Component           PRISM Component
                                  Membrane                  Module
                          Multisets of Objects          Local Variables
                              Rewriting rules             Commands

           Rewards/Costs are associated with states and transitions representing
            the number of objects and the application of rules.

           Some Properties:

                 Expected Number of objects over time: R = ? [ I = T ]
                 Expected Number of rule application over time: R = ? [ C <= T ]
                 Expected Time to reach a state: R = ? [ F molec_1 = K ]
                 Transient properties: P = ? [ true U[t_1 t_2] molec_1 >= K_1 ]
                 Steady State/Long run properties: S = ? [ molec_1 >= K_1]

 PRISM is used as an example. Other model checkers are more appropriate for larger systems
                        98 /203

Thursday, 9 July 2009
Post-transcriptional Regulation



                                              Post-transcriptional
                                                  regulation


  [ gene ]b  [ gene + rna ]b     ctrc
                                                           ctrc*ctrl = 1.13
  [ rna ]b  [ ]b                 c2=0.3465
                                                           10 proteins in
  [ rna ]b  [ rna + Protein ]b   ctrl                     steady State


  [ Protein ]b  [ ]b             c4=0.3465

                        99 /203

Thursday, 9 July 2009
Post-transcriptional Regulation
                                           R = ? [ I = 240 ]




                                   P = ? [ true U[240,240] Proteins = N ]




                        100 /203

Thursday, 9 July 2009
Positive Regulation




   [ TF + gene ] b  [ TF.gene ] b   con

   [ TF.gene ] b  [ TF + gene ] b   coff

   [ gene ]b  [ gene + rna ]b       ctrc

   [ rna ]b  [ ]b                   c2

   [ rna ]b  [ rna + Protein ]b     ctrl

   [ Protein ]b  [ ]b               c4
                        101 /203

Thursday, 9 July 2009
Positive Regulation
                 R = ? [ C <= 100 ]                           R = ? [ C <= 100 ]




                                   P = ? [ true U[60,60] Proteins = N ]




                        102 /203

Thursday, 9 July 2009
Model Checking on the Pulse
               Generator
       The simulation of the Pulse Generator show some interesting
        properties that were subsequently analysed using model checking.
       Due to the complexity of the system (state space explosion) we
        perform approximate model checking with a precision of 0.01 and a
        confidence of 0.001 which needed to run 100000 simulations.




                        103 /203

Thursday, 9 July 2009
Model Checking on the Pulse
                Generator
          The simulations show that although the number of signals
           reaches eventually the same level in all the cells in the lattice
           those cells that are far from the sending cells produce fewer
           number of GFP molecules.
          The difference between cells close to and far from the
           sending cells is the rate of increase of the signal AHL.
          We study the effect of the rate of increase of the signal AHL
           in the number of GFP produced.



           S. Basu, R. Mehreja, et al. Spatiotemporal control of gene expression with pulse generating
           networks, PNAS, 101, 6355-6360



                        104 /203

Thursday, 9 July 2009
   We studied the expected number of GFP molecules produced over time for
     different increase rates of AHL.

                 R = ? [ I = 60 ]

                 rewards
                   molecule = 1 : proteinGFP;
                 endrewards

                                                        The system is expected to
                                                        produce longer pulses with
                                                        lower amplitudes for slow
                                                        increase rates of AHL
                                                        signals.




                        105 /203

Thursday, 9 July 2009
   In order to get a clearer idea, the probability distribution of the number of
       GFP molecules at 60 minutes was computed.


       P = ? [ true U[60,60] ((proteinGFP > N) & (proteinGFP <= (N + 10))) ]




                                                                     Note that for slow
                                                                     increase rates of AHL
                                                                     the probability of having
                                                                     NO GFP molecules at
                                                                     all is high.




                        106 /203

Thursday, 9 July 2009
     Finally, assuming that for a cell to be fluorescence it needs to have a given
       number of GFP for an appreciable period of time we studied the expected
       amount of time a cell have more than 50 GFP molecules during the first 60
       minutes after the signals arrive to the cell.




     R = ? [ C <= 60 ]

     rewards
       true : proteinGFP;
     endrewards



                        107 /203

Thursday, 9 July 2009
Outline
   •Brief Introduction to Computational Modeling
   •Modeling for Top Down SB
    •Executable Biology
    •A pinch of Model Checking
   •Modeling for the Bottom Up SB
    •Dissipative Particle Dynamics
   •Automated Model Synthesis and Optimisation
   •Conclusions
                        108 /203

Thursday, 9 July 2009
A (Proto)Cell as an Information
                    Processing Device




                   LeDuc et al. Towards an in vivo biologically inspired nanofactory. Nature (2007)


                        109 /203

Thursday, 9 July 2009
Towards a synthetic cell from
                   the bottom up
         Biocompatible vesicles as long-circulating carriers
         Polymer self-assembly into higher-order structures
         Cell-mimics with hydrophobic ‘cell-wall’ and glycosylated
          surfaces
         Potential for cross-talk with biological cells




                           Pasparakis, G. Angew Chem Int Ed. 2008 47 (26), 4847-4850

                        110 /203

Thursday, 9 July 2009
Vesicle Biorecognition




                             Pasparakis, G. et al, Angew Chem Int Ed. 2008 47 (26), 4847-4850


                        111 /203

Thursday, 9 July 2009
‘Talking’ to cell-vesicle aggregates




                              Pasparakis, G. Angew Chem Int Ed. 2008 47 (26), 4847-4850

                        112 /203

Thursday, 9 July 2009
Outline
   •Brief Introduction to Computational Modeling
   •Modeling for Top Down SB
    •Executable Biology
    •A pinch of Model Checking
   •Modeling for the Bottom Up SB
    •Dissipative Particle Dynamics
   •Automated Model Synthesis and Optimisation
   •Conclusions
                        113 /203

Thursday, 9 July 2009
Dissipative Particle Dynamics
   Simulate movement of particles which represent several
    atoms / molecules
   Calculate forces acting on particles, integrate equations of
    motion
   Used extensively for investigating the self-assembly of lipid
    membrane structures at the mesoscale
   Typical simulations contain ~105-106 particles, for ~105-106 time
    steps
   Particles interact with each other within a finite radius much
    smaller than the simulation space, algorithmic optimisations of
    force calculations are possible

                        114 /203

Thursday, 9 July 2009
Dissipative Particle Dynamics
     First introduced by Hoogerbrugge and Koelmann in 1992.
     Statistical mechanics of the model derived by espanol and warren in
      1995.
     A coarse graining approach is used so that one simulation particle
      represents a number of real molecules of a given type.
     Since the timescale at which interactions occur is longer than in MD,
      fewer time-steps are required to simulation the same period of real time.
     The short force cut-off radius enables optimisation of the force calculation
      code to be performed.

                                               O
                                           H       H                 W
                                       O               O
                                   H       H H             H

                        115 /203

Thursday, 9 July 2009
Dissipative Particle Dynamics
        Conservative Force

                                   i W
                                     P

        Dissipative Force
                                         j W
                                           P



        Random Force




                        116 /203

Thursday, 9 July 2009
Dissipative Particle Dynamics
          Polymers
          A number of simulation beads are tied together to
           represent the original molecule.
          Two new forces are introduced between polymer
           particles, a Hookean spring force and a bond angle
           force.




                        117 /203

Thursday, 9 July 2009
Liposome Formation in DPD




                        118 /203

Thursday, 9 July 2009
119 /203

Thursday, 9 July 2009
Case Study One: Vesicle Diffusion
  Polar heads


  Non polar tails


        Pores




           J. Smaldon, J. Blake, D. Lancet, and N. Krasnogor. A multi-scaled approach to artificial life simulation
           with p systems and dissipative particle dynamics. In Proceedings of the Genetic and Evolutionary
           Computation Conference (GECCO-2008), ACM Publisher, 2008.

                        120 /203

Thursday, 9 July 2009
Case Study One: Vesicle
                          Diffusion
          The regions were formed by allowing vesicles to self-
           assemble from phospholipids in the presence of pore
           inclusions
          Pores are simple channels with an exterior mimicking
           the hydrophobic/hydrophilic profile of the bilayer




                        121 /203

Thursday, 9 July 2009
122 /203

Thursday, 9 July 2009
Case Study One: Vesicle Diffusion
   Tagged solvent particles were placed within the liposome inner
   volume, the change in concentration due to diffusion of solvent
   through the membrane pores was measures




                        123 /203

Thursday, 9 July 2009
Case Study Two: Liposome
                        Logic
          The behaviour of some prokaryotic RNA
           transcription motifs matches that of
           boolean logic gates[1]
          DPD was extended with mesoscale
           collision based reactions.
          transcriptional logic gates were simulated
           in bulk solvent and within a liposome core
           volume.

                        124 /203

Thursday, 9 July 2009
125 /203

Thursday, 9 July 2009
Case Study Two: Liposome Logic
      OR gate results for different inputs: (¬X,¬Y) (¬X,Y) (X,¬Y) (X,Y)




                                                               J. Smaldon, N. Krasnogor,
                                                               M. Gheorghe, and A.
                                                               Cameron. Liposome logic.
                                                               In Proceedings of the
                                                               2009 Genetic and
                                                               Evolutionary Computation
                                                               Conference (GECCO
                                                               2009), 2009




                        126 /203

Thursday, 9 July 2009
Parallel DPD
      In order to simulate large systems, the
       DPD method can be parallelised using
       spatial decomposition techniques
      Each processor is assigned a
       subvolume of the 3D simulation space
      Communication required when particles
       move between subvolumes
      Communication performed using MPI
      10x-15x faster than the single processor
       version of DPD (Jupiter implementation)



                        127 /203

Thursday, 9 July 2009
Compute Unified Device
         Architecture (CUDA) DPD
      Algorithms can be written in C code for
       execution on an Nvidia G8X/GT200 GPU.
      Modern CPUs have 2-4 cores, modern GPUs
       have hundreds. Highly parallel SIMD
       computing.
      Several orders of magnitude calculation speed
       increase for MD.
      The DPD algorithm was expressed in a manner
       enabling parallel execution with CUDA.
                        128 /203

Thursday, 9 July 2009
CUDA DPD Implementation

    CUDA DPD is
    ~27 times
    faster than
    single
    processor




                        129 /203

Thursday, 9 July 2009
Outline
   •Brief Introduction to Computational Modeling
   •Modeling for Top Down SB
    •Executable Biology
    •A pinch of Model Checking
   •Modeling for the Bottom Up SB
    •Dissipative Particle Dynamics
   •Automated Model Synthesis and Optimisation
   •Conclusions
                        130 /203

Thursday, 9 July 2009
Automated Model Synthesis and Optimisation

         Modeling is an intrinsically difficult process

         It involves “feature selection” and disambiguation

        Model Synthesis requires
          design the topology or structure of the system in
           terms of molecular interactions
          estimate the kinetic parameters associated with
           each molecular interaction

         All the above iterated
                        131 /203

Thursday, 9 July 2009
       Once a model has been prototyped,
              whether derived from existing literature
              or “ab initio” ➡ Use some optimisation
              method to fine tune parameters/model
              structure

             adopts an incremental methodology,
              namely starting from very simple P
              system modules (BioBricks) specifying
              basic molecular interactions, more
              complicated modules are produced to
              model more complex molecular systems.
                        132 /203

Thursday, 9 July 2009
Large Literature on Model Synthesis
  •       Mason et al. use a random Local Search (LS) as the mutation to
          evolve electronic networks with desired dynamics

  •       Chickarmane et al. use a standard GA to optimize the kinetic
          parameters of a population of ODE-based reaction networks having
          the desired topology.

  •       Spieth et al. propose a memetic algorithm to find gene regulatory
          networks from experimental DNA microarray data where the network
          structure is optimized with a GA and the parameters are optimized
          with an Evolution Strategy (ES).

  •       Etc




                        133 /203

Thursday, 9 July 2009
Evolutionary Algorithms for Automated
          Model Synthesis and Optimisation
         EA are potentially very useful for AMSO
          There’s a substantial amount of work on:
              using GP-like systems to evolve executable
              structures
             using EAs for continuous/discrete
              optimisation
          An EA population represents alternative
           models (could lead to different experimental
           setups)
          EAs have the potential to capture, rather than
           avoid, evolvability of models
                        134 /203

Thursday, 9 July 2009
Evolving Executable Biology Models

  • The main idea is to use a nested evolutionary algorithm where
  the first layer evolves model structures while the inner layer acts
  as a local search for the parameters of the model.

  • It uses stochastic P systems as a computational, modular and
  discrete-stochastic modelling framework.

  • It adopts an incremental methodology, namely starting from
  very simple P system modules specifying basic molecular
  interactions, more complicated modules are produced to model
  more complex molecular systems.

  •Successfully validated evolved models can then be added to the
  models library
                        135 /203

Thursday, 9 July 2009
Nested EA for Model Synthesis




                                                                   F. Romero-Campero, H.Cao, M.
                                                                   Camara, and N. Krasnogor.
                                                                   Structure and parameter
                                                                   estimation for cell systems
                                                                   biology models. Proceedings of
                                                                   the Genetic and Evolutionary
                                                                   Computation Conference
                                                                   (GECCO-2008), pages
                                                                   331-338. ACM Publisher, 2008.

                                                                   Best Paper award at the
                                                                   Bioinformatics track.




                        136 /203

Thursday, 9 July 2009
Fitness Evaluation




                        137 /203

Thursday, 9 July 2009
Representation




                        138 /203

Thursday, 9 July 2009
139 /203

Thursday, 9 July 2009
Structural Operators




                        140 /203

Thursday, 9 July 2009
Structural Operators




                        141 /203

Thursday, 9 July 2009
Parameter Optimisation




                        142 /203

Thursday, 9 July 2009
Parameter Optimisation




                        143 /203

Thursday, 9 July 2009
Simple Illustrative Case studies

    • Case 1: molecular complexation
    • Case 2: enzymatic reaction
    • Case 3: autoregulation in transcriptional networks
       •Case 3.1. negative autoregulation
       •Case 3.2. positive autoregulation


                        144 /203

Thursday, 9 July 2009
Case 1: Molecular Complexation
   Target P System Model Structure




                                   c1

                             c2


  Target P System Model Parameters




                        145 /203

Thursday, 9 July 2009
Case 1: Experimental Results


    50/50 runs found the same P system model structure as
    the target one




                                    Target and Evolved Time Series
                        146 /203

Thursday, 9 July 2009
Case 1: Experimental Results


    50/50 runs found the same P system model structure as
    the target one
  Target Model Parameters




  Best Model Parameters




                        147 /203   Target and Evolved Time Series
Thursday, 9 July 2009
Case 2: Enzymatic Reaction
   Target P System Model Structure




                                        c1
                                   c2

                                   c3

 Target P System Model Parameters




                        148 /203

Thursday, 9 July 2009
Case 2: Experimental Results
                                   Target and Evolved Time Series




                        149 /203

Thursday, 9 July 2009
Case 2: Experimental Results
                                                          Target and Evolved Time Series
  Target Model Parameters




  Best Model Parameters



                                       Two Approaches          Using Basic   Adding the Newly
                                                                Modules      Found in Case 1
                                   Number of runs the target     12/50            39/50
                                     P system model was
                                            found
                                         Mean RMSE                 3.8             2.85
                        150 /203

Thursday, 9 July 2009
Case 3.1: Negative Autoregulation
Target P System Model Structure      Target P System Model Parameters




                c1

                c2

               c3

                c4

                          c5

                     c6


                          151 /203

Thursday, 9 July 2009
Case 3.1: Experimental Results
               Design                 Design 1                 Design 2

               Model


         Number of runs                46/50                      4/50

          Mean +/- STD              4.11+/- 11.73             4.63 +/- 2.91


           Best Model in Design 1                   Best Model in Design 2




                        152 /203

Thursday, 9 July 2009
Case 3.2: Positive Autoregulation
 Target P System Model Structure   Target P System Model Parameters




                c1

                c2
                c3

                c4
                        c5

                     c6
                     c7



                        153 /203

Thursday, 9 July 2009
Case 3.2: Experimental Results
               Design                   Design 1              Design 2

               Model


         Number of runs                   30/50                 20/50

          Mean +/- STD                16.36 +/- 3.03        20.14 +/- 5.13


                                   Best Model in Design 1




                        154 /203

Thursday, 9 July 2009
Revisiting the Fitness Function
                                                                               • Multiple time-series
                                                                               per target

                                                                               • Different time series
                                                                               have very different
                                                                               profiles, e.g.,
                                                                               response time or
                                                                               maxima occur at
                                                                               different times/places

                                                                               • Transient states
                                                                               (sometimes) as
                                                                               important as steady
                                                                               states

                                                                               •RMSE will mislead
                                                                               search
     H. Cao, F. Romero-Campero, M.Camara, N.Krasnogor. Analysis of Alternative Fitness Methods for the
     Evolutionary Synthesis of Cell Systems Biology Models. Submitted (2009)
                        155 /203

Thursday, 9 July 2009
Four Fitness Functions
    N time series
    M time points in each time series
        Simulated data
       Target data

            F1



            F2
                                   F2 normalises whithin a time series between [0,1]


                        156 /203

Thursday, 9 July 2009
Four Fitness Functions
    N time series
    M time points in each time series
        Simulated data
       Target data
                    Randomly generated normalised

    vector with:


                         F3

                                   F3, unlike F1, does not assume an equal weighting of all
                                   the errors. It produces a randomised average of weights.
                        157 /203

Thursday, 9 July 2009
Four Fitness Functions
    N time series
    M time points in each time series
        Simulated data
       Target data


                         F4

                                   F4 simply multiplies errors hence even small ones within a
                                   set with multiple orders of maginitudes can still have an
                                   effect. Indeed, this might lead to numerical instabilities due
                                   to nonlinear effects.


                        158 /203

Thursday, 9 July 2009
Further Case Studies




                        159 /203

Thursday, 9 July 2009
160 /203

Thursday, 9 July 2009
161 /203

Thursday, 9 July 2009
162 /203

Thursday, 9 July 2009
163 /203

Thursday, 9 July 2009
164 /203

Thursday, 9 July 2009
165 /203

Thursday, 9 July 2009
166 /203

Thursday, 9 July 2009
Results Study Case 1




                        167 /203

Thursday, 9 July 2009
Results Study Case 2




                        168 /203

Thursday, 9 July 2009
Results Study Case 3




                        169 /203

Thursday, 9 July 2009
Target model




                                   Alternative, biologically valid, modules



                        170 /203

Thursday, 9 July 2009
171 /203

Thursday, 9 July 2009
Results Study Case 4




                        172 /203

Thursday, 9 July 2009
Comparisons of the constants between the best fitness models obtained by
             F1, F4 and the target model for Test Case 4 (Values different from the target
             are in bold and underlined)



                        173 /203

Thursday, 9 July 2009
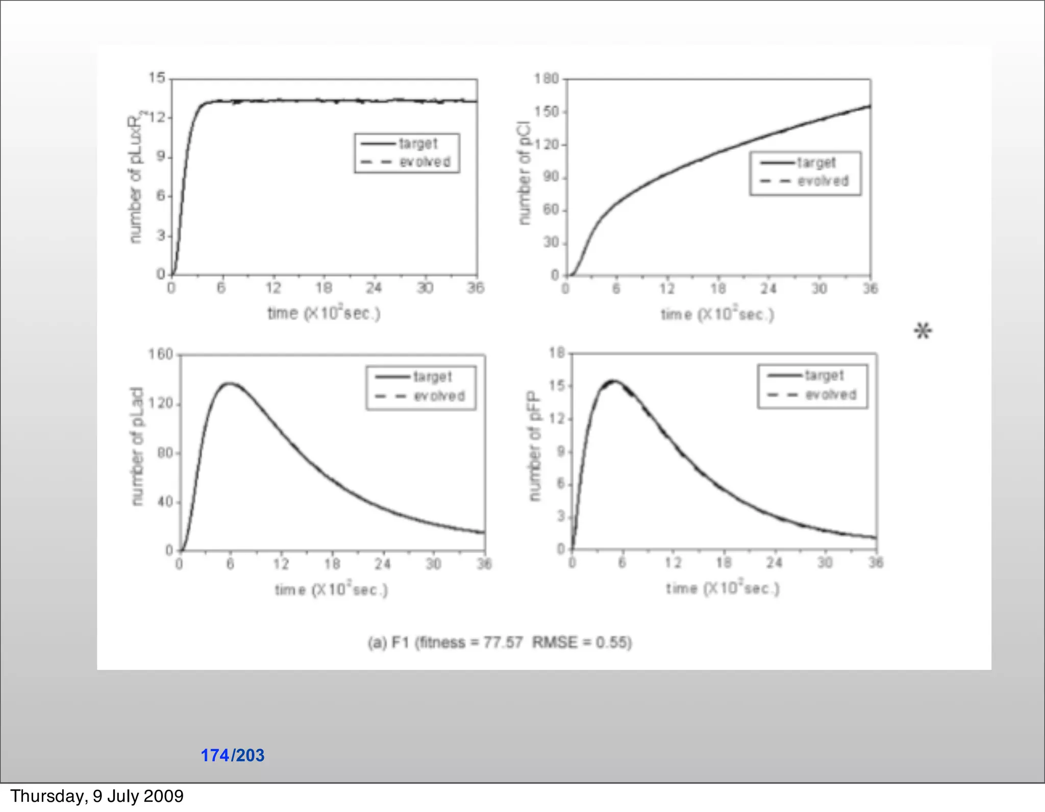
174 /203

Thursday, 9 July 2009
175 /203

Thursday, 9 July 2009
176 /203

Thursday, 9 July 2009
177 /203

Thursday, 9 July 2009
178 /203

Thursday, 9 July 2009
Target




                        179 /203

Thursday, 9 July 2009
Target




                        180 /203

Thursday, 9 July 2009
The evolving curve of average fitness by four fitness methods (F1 ∼ F4) in
            20 runs for Test Case 4.
                        181 /203

Thursday, 9 July 2009
The evolving curve of average model diversity by four fitness methods (F1 ∼ F4)
                in 20 runs for Test Case 4

                        182 /203

Thursday, 9 July 2009
183 /203

Thursday, 9 July 2009
Multi-Objective Optimisation in
                Morphogenesis
              The following slides are based on

              Rui Dilão, Daniele Muraro, Miguel Nicolau, Marc
              Schoenauer. Validation of a morphogenesis
              model of Drosophila early development by a
              multi-objective evolutionary optimization
              algorithm. Proc. 7th European Conference on
              Evolutionary Computation, ML and Data Mining
              in BioInformatics (EvoBIO'09), April 2009.


                        184 /203

Thursday, 9 July 2009
• The authors investigate the use of MOEA for
            modeling morphogenesis
    •       The model organism is drosophila embrios
                                                  Rui Dilão, Daniele
                                                  Muraro, Miguel
                                                  Nicolau, Marc
                                                  Schoenauer.
                                                  Validation of a
                                                  morphogenesis
                                                  model of Drosophila
                                                  early development by
                                                  a multi-objective
                                                  evolutionary
                                                  optimization
                                                  algorithm. Proc. 7th
                                                  European
                                                  Conference on
                                                  Evolutionary
                                                  Computation, ML and
                                                  Data Mining in
                                                  BioInformatics
                                                  (EvoBIO'09), April
                                                  2009




                        185 /203

Thursday, 9 July 2009
Initial Conditions




                                   PDE model




                        186 /203

Thursday, 9 July 2009
Target




   By Evolving:
   abcd, acad, Dbcd/Dcad, r, mRNA distributions and t

   However:
   Goal is not perfect fit but rather robust fit
                        187 /203

Thursday, 9 July 2009
•        The authors use both Single and Multi-objective optimisation
  •        CMA-ES is at the core of both
  •        CMA-ES is a (µ,λ)-ES that employs multivariate Gaussian
           distributions
  •        Uses “cumulative path” for co-variantly adapting this
           distribution
  •        For the MO case it uses the global pareto dominance based
           selection

Objective
Function


      Bi-Objective
      Function




                        188 /203

Thursday, 9 July 2009
189 /203

Thursday, 9 July 2009
190 /203

Thursday, 9 July 2009
191 /203

Thursday, 9 July 2009
Outline
   •Brief Introduction to Computational Modeling
   •Modeling for Top Down SB
    •Executable Biology
    •A pinch of Model Checking
   •Modeling for the Bottom Up SB
    •Dissipative Particle Dynamics
   •Automated Model Synthesis and Optimisation
   •Conclusions
                        192 /203

Thursday, 9 July 2009
Summary & Conclusions
      This talk has focused on an integrative methodology,
       InfoBiotics, for Systems & Synthetic Biology
           Executable Biology/DPD
           Parameter and Model Structure Discovery
           Model Checking


      Computational models (or executable in Fisher &
       Henzinger’s jargon) adhere to (a degree) to an operational
       semantics.

      Refer to the excellent review [Fisher & Henzinger, Nature
       Biotechnology, 2007]



                        193 /203

Thursday, 9 July 2009
Summary & Conclusions
          The gap present in mathematical models
           between the model and its algorithmic
           implementation disappears in computational
           models as all of them are algorithms.
          A new gap appears between the biology and the
           modelling technique and this can be solved by a
           judicious “feature selection”, i.e. the selection of
           the correct abstractions
          Good computational models are more intuitive
           and analysable


                        194 /203

Thursday, 9 July 2009
Summary & Conclusions
          Computational models can thus be executed
           (quite a few tools out there, lots still missing)
          Quantitative VS qualitative modelling:
           computational models can be very useful even
           when not every detail about a system is known.
          Missing Parameters/model structures can
           sometimes be fitted with of-the-shelf optimisation
           strategies (e.g. COPASI, GAs, etc)
          Computational models can be analysed by
           model checking: thus they can be used for
           testing hypothesis and expanding experimental
           data in a principled way

                        195 /203

Thursday, 9 July 2009
Summary & Conclusions
        A nested evolutionary algorithm is proposed to automatically
        develop and optimise the modular structure and parameters of
        cellular models based on stochastic P systems. Several case
        studies with incremental model complexity demonstrate the
        effectiveness of our algorithm.

         The fact that this algorithm produces alternative models for a
        specific biological signature is very encouraging as it could help
        biologists to design new experiments to discriminate among
        competing hypothesis (models).

         Comparing results by only using the elementary modules and
        by adding newly found modules to the library shows the obvious
        advantage of the incremental methodology with modules. This
        points out the great potential to automatically design more
        complex cellular models in the future by using a modular
        approach.
                        196 /203

Thursday, 9 July 2009
Summary & Conclusions
          Synthetising Synthetic Biology Models is more like evolving
           general GP programs and less like fitting regresion or inter/extra-
           polation
          We evolve executable structures, distributed programs(!)
          These are noisy and expensive to execute
          Like in GP programs, executable biology models might achieve
           similar behaviour through different program “structure”
          Prone to bloat
          Like in GP, complex relation between diversity and solution
           quality
          However, diverse solutions of similar fit might lead to interesting
           experimental routes
          Co-desig of models and wetware.
                        197 /203

Thursday, 9 July 2009
Summary & Conclusions
          Some really nice tutorials and other sources:
               Luca Caderlli’s BraneCalculus & BioAmbients
               Simulating Biological Systems in the Stochastic π
                −calculus by Phillips and Cardelli
               From Pathway Databases to Network Models by
                Aguda and Goryachev
               Modeling and analysis of biological processes by
                Brane Calculi and Membrane Systems by Busi and
                Zandron
               D. Gilbert’s website contain several nice papers with
                related methods and tutorials


                        198 /203

Thursday, 9 July 2009
Other Sources
    F. J. Romero-Campero, J. Twycross, M. Camara, M. Bennett, M. Gheorghe, and N.
    Krasnogor. Modular assembly of cell systems biology models using p systems.
    International Journal of Foundations of Computer Science, (to appear), 2009.


    F.J. Romero-Camero and N. Krasnogor. An approach to biomodel engineering based on p
    systems. In Proceedings of Computation In Europe (CIE 2009), 2009.


    J. Smaldon, N. Krasnogor, M. Gheorghe, and A. Cameron. Liposome logic. In
    Proceedings of the 2009 Genetic and Evolutionary Computation Conference (GECCO
    2009), 2009


    F. Romero-Campero, H.Cao, M. Camara, and N. Krasnogor. Structure and parameter
    estimation for cell systems biology models. In Maarten Keijzer et.al, editor, Proceedings of
    the Genetic and Evolutionary Computation Conference (GECCO-2008), pages 331-338.
    ACM Publisher, 2008. This paper won the Best Paper award at the Bioinformatics track.


    J. Smaldon, J. Blake, D. Lancet, and N. Krasnogor. A multi-scaled approach to artificial life
    simulation with p systems and dissipative particle dynamics. In Proceedings of the
    Genetic and Evolutionary Computation Conference (GECCO-2008). ACM Publisher,
    2008.
                        199 /203

Thursday, 9 July 2009
Other Sources
    Păun, Gh. Computing with membranes. Journal of Computer and System
    Sciences 61 (2000) 108-143

    P Systems Web Page http://psystems.disco.unimib.it/

    Bianco L. Membrane Models of Biological Systems PhD thesis 2007

    Bernardini F, Gheorghe M, Krasnogor N, Terrazas G. Membrane Computing -
    Current Results and Future Problems. CiE 2005 49-53

    Bernardini F, Gheorghe M, Krasnogor N. Quorum sensing P systems.
    Theoretical Computer Science 371 (2007) 20-33

    Miguel Nicolau, Marc Schoenauer. Evolving Specific Network Statistical
    Properties using a Gene Regulatory Network Model. In ECCS 2008, 5th
    European Conference on Complex Systems, 2008.
    Miguel Nicolau, Marc Schoenauer. Evolving Scale-Free Topologies using a
    Gene Regulatory Network Model. CEC 2008, IEEE Congress on Evolutionary
    Computation, pp. 3748-3755, IEEE Press, 2008.
                        200 /203

Thursday, 9 July 2009
Other Sources
       A. Ridwan. A parallel implementation of Gillespie's Direct Method. Proc. of
       the International Conference on Computational Science, p.284-291, Krakow,
       Poland, June 2004.


 G. C. Ewing et al. Akaroa2: Exploiting network computing by distributing
 stochastic simulation. Proc. of the European Simulation Multiconference, p.
 175-181, Warsaw, June 1999.


 P. Hellekalek. Don't trust parallel Monte Carlo! ACM SIGSIM Simulation Digest,
 28(1):82-89, 1998.


 M. Schwehm. Parallel stochastic simulation of whole cell models. Proc. of the
 Second International Conference on Systems Biology, p.333-341, CalTech, C.A.,
 November 2001


                        201 /203

Thursday, 9 July 2009
Acknowledgements
     Members of my team working on SB2
                                                                                                 EP/E017215/1
        Jonathan Blake             Integrated Environment
                                                                                                 EP/D021847/1

        Hongqing Cao               Machine Learning & Optimisation                         BB/F01855X/1
                                                                                            BB/D019613/1
        Francisco Romero-Campero               Modeling & Model Checking


        James Smaldon               Dissipative Particle Dynamics
                                                                      My colleagues in the Centre for
        Jamie Twycross                                               Biomolecular Sciences and the
                                     Stochastic Simulations
                                                                      Centre for Plant Integrative Biology
                                                                      at Nottingham

                                   • GECCO 2009 organisers for
                                   inviting this tutorial, specially Martin
                                   Butz and Gunther Raidl


                                   • You for listening!
                        202 /203

Thursday, 9 July 2009
Any Questions?

• www.infobiotic.org

• www.synbiont.org                    Become a member and have access to $$$ for
                                      engaging in SB research. Contact me if interested




                        203 /203

Thursday, 9 July 2009

Synthetic Biology - Modeling and Optimisation

  • 1.
    Synthetic Biology: Modellingand Optimisation Natalio Krasnogor ASAP - Interdisciplinary Optimisation Laboratory School of Computer Science Centre for Integrative Systems Biology School of Biology Centre for Healthcare Associated Infections Institute of Infection, Immunity & Inflammation University of Nottingham Copyright is held by the author/owner(s). GECCO’09, July 8–12, 2009, Montréal Québec, Canada. ACM 978-1-60558-505-5/09/07. 1 /203 Thursday, 9 July 2009
  • 2.
    Outline •Brief Introduction to Computational Modeling •Modeling for Top Down SB •Executable Biology •A pinch of Model Checking •Modeling for the Bottom Up SB •Dissipative Particle Dynamics •Automated Model Synthesis and Optimisation •Conclusions 2 /203 Thursday, 9 July 2009
  • 3.
    Outline •Brief Introduction to Computational Modeling •Modeling for Top Down SB •Executable Biology •A pinch of Model Checking •Modeling for the Bottom Up SB •Dissipative Particle Dynamics •Automated Model Synthesis and Optimisation •Conclusions 3 /203 Thursday, 9 July 2009
  • 4.
    Synthetic Biology • Aims at designing, constructing and developing artificial biological systems •Offers new routes to ‘genetically modified’ organisms, synthetic living entities, smart drugs and hybrid computational-biological devices. • Potentially enormous societal impact, e.g., healthcare, environmental protection and remediation, etc • Synthetic Biology's basic assumption: • Methods commonly used to build non-biological systems could also be use to specify, design, implement, verify, test and deploy novel synthetic biosystems. • These method come from computer science, engineering and maths. • Modelling and optimisation run through all of the above. 4 /203 Thursday, 9 July 2009
  • 5.
    Models and Reality •The use of models is intrinsic to any scientific activity. •Models are abstractions of the real-world that highlight some key features while ignoring others that are assumed to be not relevant. •A model should not be seen or presented as representations of the truth, but instead as a statement of our current knowledge. 5 /203 Thursday, 9 July 2009
  • 6.
    What is modelling? • Is an attempt at describing in a precise way an understanding of the elements of a system of interest, their states and interactions • A model should be operational, i.e. it should be formal, detailed and “runnable” or “executable”. 6 /203 Thursday, 9 July 2009
  • 7.
    •“feature selection” isthe first issue one must confront when building a model •One starts from a system of interest and then a decision should be taken as to what will the model include/leave out •That is, at what level the model will be built 7 /203 Thursday, 9 July 2009
  • 8.
    The goals ofModelling •To capture the essential features of a biological entity/phenomenon •To disambiguate the understanding behind those features and their interactions •To move from qualitative knowledge towards quantitative knowledge 8 /203 Thursday, 9 July 2009
  • 9.
    •There is potentiallya distinction between modelling for Synthetic Biology and Systems Biology: •Systems Biology is concerned with Biology as it is •Synthetic Biology is concerned with Biology as it could be “Our view of engineering biology focuses on the abstraction and standardization of biological components” by R. Rettberg @ MIT newsbite August 2006. “Well-characterized components help lower the barriers to modelling. The use of control elements (such as temperature for a temperature-sensitive protein, or an exogenous small molecule affecting a reaction) helps model validation” by Di Ventura et al, Nature, 2006 9 /203 Thursday, 9 July 2009
  • 10.
    •There is potentiallya distinction between modelling for Synthetic Biology and Systems Biology: •Systems Biology is concerned with Biology as it is •Synthetic Biology is concerned with Biology as it could be “Our view of engineering biology focuses on the abstraction and standardization of biological components” by R. Rettberg @ MIT newsbite August 2006. “Well-characterized components help lower the barriers to modelling. The use of control elements (such as temperature for a temperature-sensitive protein, or an exogenous small molecule affecting a reaction) helps model validation” by Di Ventura et al, Nature, 2006 Co-design of parts and their models hence improving and making both more reliable 9 /203 Thursday, 9 July 2009
  • 11.
    Thus, Multi-Scale Modellingin the 2 SBs seek to produce computable understanding integrating massive datasets at various levels of details simultaneously Progress Organ Individual Cell colony Cells Regulatory Networks Proteins DNA/RNA Time 10 /203 Thursday, 9 July 2009
  • 12.
    The Pragmalogical Problemof Modelling in XXI century Biology • XXI century Biology brings to the fore the ubiquitous philosophical questions in complex systems, that of emergent behavior and the tension between reductionism and holistic approaches to science. • Synthetic Biology (and SysBio) has, however, a very pragmatic agenda: the engineering and control of novel biological systems • The pragmalogical problem: If each subcomponent of a living system (and processes/components therein) are understood… Can we say that the system is understood? That is, can we assume that the system = ∑parts ? • More importantly: can we control that biosystem? 11 /203 Thursday, 9 July 2009
  • 13.
    The Pragmalogical Problemof Modelling in XXI century Biology • XXI century Biology brings to the fore the ubiquitous philosophical questions in complex systems, that of emergent behavior and the tension between reductionism and holistic approaches to science. & Integrative • Synthetic Biology (and SysBio) has, however, a very pragmatic agenda: the engineering and control of novel biological systems • The pragmalogical problem: If each subcomponent of a living system (and processes/components therein) are understood… Can we say that the system is understood? That is, can we assume that the system = ∑parts ? • More importantly: can we control that biosystem? 11 /203 Thursday, 9 July 2009
  • 14.
     Modelling relieson rigorous computational, engineering and mathematical tools & techniques  However, the act of modelling remains at the interface between art and science  Undoubtedly, a multidisciplinary endeavour 12 /203 Thursday, 9 July 2009
  • 15.
    Modelling as aconstrained scientific art  Although modelling lies at the interface of art and science there are guidelines we can follow  Some examples:  The scale separation map [Hoekstra et al, LNCS 4487, 2007]  Tools suitability & cost [Goldberg, 2002] 13 /203 Thursday, 9 July 2009
  • 16.
    The Scale SeparationMap  The Scale Separation Map is an abstraction recently proposed by Hoekstra and co-workers [Hoekstra et al, LNCS 4487, 2007]  Introduced in the context of Multi-scale modelling with cellular automata but the core concepts still valid for other modelling techniques 14 /203 Thursday, 9 July 2009
  • 17.
    The Scale SeparationMap  A Cellular Automata is defined as: C= < A(Δx, Δt,L,T), S, R, G, F > A is a spatial domain made of cells of size Δx with a total size of L The simulation clock ticks every Δt units for a total of T units T We can simulate processes: Δt  as fast as Δt for as long as T units  ranging from Δx to L sizes. Δx L L 15 /203 Thursday, 9 July 2009
  • 18.
    A Scale Separation Map (SSM) is a two dimensional map with horizontal axis representing time and vertical axis representing space 1 0 B ξB A ξA τB Spatial scale (log) τA 3.1 2 3.2 Temporal scale (log) 16 /203 Thursday, 9 July 2009
  • 19.
    A Scale Separation Map (SSM) is a two dimensional map with horizontal axis representing time and vertical axis representing space • Region 0: A and B overlap  single scale multi-science 1 0 model A ξA • Region 1: ξA ≈ ξB ^ τA > τB B ξB  temporal scale separation Spatial scale (log) τA • Region 2: ξA > ξB ^ τB ≈ τA τB  coarse and fine structures 3.1 2 3.2 in similar timescales • Region 3.1: ξA > ξB ^ τB < τA  familiar micro-macro models • Region 3.2: ξA > ξB ^ τB > τA  small and slow process linked to a fast and Temporal scale (log) large process (e.g. Blood flood and artery repair) 16 /203 Thursday, 9 July 2009
  • 20.
    A Scale Separation Map (SSM) is a two dimensional map with horizontal axis representing time and vertical axis representing space • Region 0: A and B overlap  single scale multi-science 1 0 model A ξA • Region 1: ξA ≈ ξB ^ τA > τB B ξB  temporal scale separation Spatial scale (log) τA • Region 2: ξA > ξB ^ τB ≈ τA τB  coarse and fine structures 3.1 2 3.2 in similar timescales • Region 3.1: ξA > ξB ^ τB < τA  familiar micro-macro models • Region 3.2: ξA > ξB ^ τB > τA  small and slow process linked to a fast and Temporal scale (log) large process (e.g. Blood flood and artery repair) 16 /203 Thursday, 9 July 2009
  • 21.
    A Scale Separation Map (SSM) is a two dimensional map with horizontal axis representing time and vertical axis representing space • Region 0: A and B overlap  single scale multi-science 1 0 model A ξA • Region 1: ξA ≈ ξB ^ τA > τB  temporal scale separation Spatial scale (log) τA • Region 2: ξA > ξB ^ τB ≈ τA  coarse and fine structures 3.1 2 3.2 in similar timescales • Region 3.1: ξA > ξB ^ τB < τA  familiar micro-macro models B ξB • Region 3.2: ξA > ξB ^ τB > τB τA  small and slow process linked to a fast and Temporal scale (log) large process (e.g. Blood flood and artery repair) 16 /203 Thursday, 9 July 2009
  • 22.
    A Scale Separation Map (SSM) is a two dimensional map with horizontal axis representing time and vertical axis representing space • Region 0: A and B overlap  single scale multi-science 1 0 model A ξA • Region 1: ξA ≈ ξB ^ τA > τB  temporal scale separation Spatial scale (log) τA • Region 2: ξA > ξB ^ τB ≈ τA  coarse and fine structures 3.1 2 3.2 in similar timescales • Region 3.1: ξA > ξB ^ τB < τA  familiar micro-macro models • Region 3.2: ξA > ξB ^ τB > B ξB τA  small and slow τB process linked to a fast and Temporal scale (log) large process (e.g. Blood flood and artery repair) 16 /203 Thursday, 9 July 2009
  • 23.
    A Scale Separation Map (SSM) is a two dimensional map with horizontal axis representing time and vertical axis representing space • Region 0: A and B overlap  single scale multi-science 1 0 model A ξA • Region 1: ξA ≈ ξB ^ τA > τB  temporal scale separation Spatial scale (log) τA • Region 2: ξA > ξB ^ τB ≈ τA  coarse and fine structures 3.1 2 3.2 in similar timescales • Region 3.1: ξA > ξB ^ τB < τA  familiar micro-macro models B ξB • Region 3.2: ξA > ξB ^ τB > τB τA  small and slow process linked to a fast and Temporal scale (log) large process (e.g. Blood flood and artery repair) 16 /203 Thursday, 9 July 2009
  • 24.
    Even within asingle cell the space & time scale separations are important E.g.: • Within a cell the dissociation constants of DNA/ transcription factor binding to specific/non- specific sites differ by 4-6 orders of magnitude • DNA protein binding occurs at 1-10s time scale very fast in comparison to a cell’s life cycle. [F.J. Romero Campero, 2007] 17 /203 Thursday, 9 July 2009
  • 25.
    The Scale SeparationMap • With sufficient data each process can be assigned its space-time region unambiguously Couplings, e.g. F • A given process may well have its Δx (respectively Δt) > than another’s ξA (respectively τA) Spatial scale (log) • Hence different processes in the SSM might require different modelling techniques Temporal scale (log) 18 /203 Thursday, 9 July 2009
  • 26.
    Modelling Approaches There exist many modelling approaches, each with its advantages and disadvantages. Macroscopic, Microscopic and Mesoscopic Quantitative and qualitative Discrete and Continuous Deterministic and Stochastic Top-down or Bottom-up 19 /203 Thursday, 9 July 2009
  • 27.
    Modelling Frameworks •Denotational Semantics Models: Set of equations showing relationships between molecular quantities and how they change over time. They are approximated numerically. (I.e. Ordinary Differential Equations, PDEs, etc) •Operational Semantics Models: Algorithm (list of instructions) executable by an abstract machine whose computation resembles the behaviour of the system under study. (i.e. Finite State Machine) Jasmin Fisher and Thomas Henzinger. Executable cell biology. Nature Biotechnology, 25, 11, 1239-1249 (2008) 20 /203 Thursday, 9 July 2009
  • 28.
    Tools Suitability andCost  From [D.E Goldberg, 2002] (adapted): “Since science and math are in the description business, the model is the thing…The engineer or inventor has much different motives. The engineered object is the thing” ε, error Synthetic Biologist Computer Scientist/Mathematician C, cost of modelling 21 /203 Thursday, 9 July 2009
  • 29.
    Tools Suitability andCost Low cost/ High cost/ High error Low error Adapted from [Goldberg 2002] Unarticulated Articulated Dimensional Facetwise Equations wisdom Qualitative models models Of motion models Chemical Bioinformatic Biopolimer Microarrays and G.E. Markup Language Sequence Markup Markup Language Markup Language (CML) Language (BSML) (BioML) (MAGEML) Cell Systems Biology Mathematics Markup Language Markup Language Markup Language (MathML) (SBML) (MathML) 22 /203 Thursday, 9 July 2009
  • 30.
    From [Di Venturaet al., Nature, 2006] Low cost/ High cost/ High error Low error Unarticulated Dimensional Facetwise Equations wisdom models models Of motion  Formalism-independent errors  Formalism-dependent errors 23 /203 Thursday, 9 July 2009
  • 31.
    From [Di Venturaet al., Nature, 2006] Low cost/ High cost/ High error Low error Unarticulated Dimensional Facetwise Equations wisdom models models Of motion  Formalism-independent errors  Formalism-dependent errors 23 /203 Thursday, 9 July 2009
  • 32.
    From [Di Venturaet al., Nature, 2006] Low cost/ High cost/ High error Low error Unarticulated Dimensional Facetwise Equations wisdom models models Of motion  Formalism-independent errors  Formalism-dependent errors 23 /203 Thursday, 9 July 2009
  • 33.
  • 34.
    Stochasticity in CellularSystems  Most commonly recognised sources of noise in cellular system are low number of molecules and slow molecular interactions.  Over 80% of genes in E. coli express fewer than a hundred proteins per cell.  Mesoscopic, discrete and stochastic approaches are more suitable:  Only relevant molecules are taken into account.  Focus on the statistics of the molecular interactions and how often they take place. Mads Karn et al. Stochasticity in Gene Expression: From Theories to Phenotypes. Nature Reviews, 6, 451-464 (2005) Purnananda Guptasarma. Does replication-induced transcription regulate synthesis of the myriad low copy number poteins of E. Coli. BioEssays, 17, 11, 987-997 25 /203 Thursday, 9 July 2009
  • 35.
    Towards Executable Modellsfor SBs “Although the road ahead is long and winding, it leads to a future where biology and medicine are transformed into precision engineering.” - Hiroaki Kitano.  Synthetic Biology and Systems biology promise more than integrated understanding: it promises systematic control of biological systems: 1. From an experimental viewpoint: Improved data acquisition 2. From a bioinformatics viewpoint: Improved data analysis tools 3. From a conceptual viewpoint: move from a science of mass-action/ energy-conversion to a science of information processing through multiple heterogeneous medium 26 /203 Thursday, 9 July 2009
  • 36.
    There are goodreasons to think that information processing is a key viewpoint to take when modeling Life as we know is: • coded in discrete units (DNA, RNA, Proteins) • combinatorially assembles interactions (DNA-RNA, DNA- Proteins,RNA-Proteins , etc) through evolution and self-organisation • Life emerges from these interacting parts • Information is: • transported in time (heredity, memory e.g. neural, immune system, etc) • transported in space (molecular transport processes, channels, pumps, etc) • Transport in time = storage/memory  a computational process • Transport in space = communication  a computational process • Signal Transduction = processing  a computational process 27 /203 Thursday, 9 July 2009
  • 37.
    It thus makes sense to use methodologies designed to cope with complex, concurrent, interactive systems of parts as found in computer sciences (e.g.):  Petri Nets  Process Calculi  P-Systems 28 /203 Thursday, 9 July 2009
  • 38.
    InfoBiotics www.infobiotic.net •The utilisation of cutting-edge information processing techniques for biological modelling and synthesis •The understanding of life itself as multi-scale (Spatial/Temporal) information processing systems •Composed of 3 key components: •Executable Biology (or other modeling techniques) •Automated Model and Parameter Estimation •Model Checking (and other formal analysis) 29 /203 Thursday, 9 July 2009
  • 39.
    Modeling in Systems& Synthetic Biology Systems Biology Synthetic Biology Colonies • Understanding •Control • Integration • Design • Prediction • Engineering • Life as it is •Life as it could be Cells Computational modelling to Computational modelling to elucidate and characterise engineer and evaluate modular patterns exhibiting possible cellular designs robustness, signal filtering, exhibiting a desired amplification, adaption, behaviour by combining well error correction, etc. studied and characterised Networks cellular modules 30 /203 Thursday, 9 July 2009
  • 40.
    Model Design inSystems/Synthetic Biology • It is a hard process to design suitable models in systems/ synthetic biology where one has to consider the choice of the model structure and model parameters at different points repeatedly. • Some use of computer simulation has been mainly focused on the computation of the corresponding dynamics for a given model structure and model parameters. • Ultimate goal: for a new biological system (spec) one would like to estimate the model structure and model parameters (that match reality/constructible) simultaneously and automatically. • Models should be clear & understandable to the biologist 31 /203 Thursday, 9 July 2009
  • 41.
    How you selectfeatures, disambiguate and quantify depends on the goals behind your modelling enterprise. Basic goal: to clarify current understandings by formalising what the constitutive elements of a system Systems Biology are and how they interact Intermediate goal: to test current understandings Synthetic Biology against experimental data Advanced goal: to predict beyond current understanding and available data Dream goal: (1) to combinatorially combine in silico well-understood components/models for the design and generation of novel experiments and hypothesis and ultimately (2) to design, program, optimise & control (new) biological systems 32 /203 Thursday, 9 July 2009
  • 42.
    Model Development  From [E. Klipp et al, Systems Biology in Practice, 2005] 1. Formulation of the problem 2. Verification of available information 3. Selection of model structure 4. Establishing a simple model 5. Sensitivity analysis 6. Experimental tests of the model predictions 7. Stating the agreements and divergences between experimental and modelling results 8. Iterative refinement of model 33 /203 Thursday, 9 July 2009
  • 43.
    Outline •Brief Introduction to Computational Modeling •Modeling for Top Down SB •Executable Biology •A pinch of Model Checking •Modeling for the Bottom Up SB •Dissipative Particle Dynamics •Automated Model Synthesis and Optimisation •Conclusions 34 /203 Thursday, 9 July 2009
  • 44.
    Executable Biology withP systems  Field of membrane computing initiated by Gheorghe Păun in 2000  Inspired by the hierarchical membrane structure of eukaryotic cells  A formal language: precisely defined and machine processable  An executable biology methodology 35 /203 Thursday, 9 July 2009
  • 45.
    Functional Entities Container • A boundary defining self/non-self (symmetry breaking). • Maintain concentration gradients and avoid environmental damage. Metabolism • Confining raw materials to be processed. • Maintenance of internal structures (autopoiesis). Information • Sensing environmental signals / release of signals. • Genetic information 36 /203 Thursday, 9 July 2009
  • 46.
    Distributed and parallelrewritting systems in compartmentalised hierarchical structures. Objects Compartments Rewriting Rules • Computational universality and efficiency. • Modelling Framework 37 /203 Thursday, 9 July 2009
  • 47.
    Cell-like P systems Intuitive Visual representation as a Venn diagram with a unique superset and without intersected sets. the classic P system diagram appearing in most papers (Păun) 38 /203 Thursday, 9 July 2009
  • 48.
    Cell-like P systems Intuitive Visual representation as a Venn diagram with a unique superset and without intersected sets. formally equivalent to a tree: 1 2 4 3 7 5 6 the classic P system diagram appearing in most papers (Păun) 8 9 38 /203 Thursday, 9 July 2009
  • 49.
    Cell-like P systems Intuitive Visual representation as a Venn diagram with a unique superset and without intersected sets. formally equivalent to a tree: 1 2 4 3 7 5 6 the classic P system diagram appearing in most papers (Păun) 8 9 • a string of matching parentheses: [ 1 [2 ] 2 [ 3 ] 3 [4 [5 ] 5 [6 [ 8 ] 8 [9 ] 9 ]6 [7 ]7 ]4 ]1 38 /203 Thursday, 9 July 2009
  • 50.
    P-Systems: Modelling Principles Molecules Objects Structured Molecules Strings Molecular Species Multisets of objects/ strings Membranes/organelles Membrane Biochemical activity rules Biochemical transport Communication rules 39 /203 Thursday, 9 July 2009
  • 51.
    Stochastic P Systems 40 /203 Thursday, 9 July 2009
  • 52.
    Rewriting Rules used by Multi-volume Gillespie’s algorithm 41 /203 Thursday, 9 July 2009
  • 53.
    Molecular Species  A molecular species can be represented using individual objects.  A molecular species with relevant internal structure can be represented using a string. 42 /203 Thursday, 9 July 2009
  • 54.
    Molecular Interactions  Comprehensive and relevant rule-based schema for the most common molecular interactions taking place in living cells. Transformation/Degradation Complex Formation and Dissociation Diffusion in / out Binding and Debinding Recruitment and Releasing Transcription Factor Binding/Debinding Transcription/Translation 43 /203 Thursday, 9 July 2009
  • 55.
    Compartments / Cells  Compartments and regions are explicitly specified using membrane structures. 44 /203 Thursday, 9 July 2009
  • 56.
    Colonies / Tissues  Colonies and tissues are representing as collection of P systems distributed over a lattice.  Objects can travel around the lattice through translocation rules. v 45 /203 Thursday, 9 July 2009
  • 57.
    Molecular Interactions Inside Compartments 46 /203 Thursday, 9 July 2009
  • 58.
    Passive Diffusion ofMolecules 47 /203 Thursday, 9 July 2009
  • 59.
  • 60.
    a b Transport Modalities a b Antiport channel a b Symport channel a c b a b Promoted symport channel (trap) a b 49 /203 Thursday, 9 July 2009
  • 61.
    Transport Modalities 5 2 1 4 3 Phagocitosys Endocitosys Pinocitosys Exocitosys 50 /203 Thursday, 9 July 2009
  • 62.
    Transport Modalities Highly specific: cell specific & topology specific 51 /203 Thursday, 9 July 2009
  • 63.
    Signal Sensing and Active Transport 52 /203 Thursday, 9 July 2009
  • 64.
    Specification of Transcriptional Regulatory Networks 53 /203 Thursday, 9 July 2009
  • 65.
    Transcription as RewritingRules on Multisets of Objects and Strings 54 /203 Thursday, 9 July 2009
  • 66.
    Translation as RewritingRules on Multisets of Objects and Strings 55 /203 Thursday, 9 July 2009
  • 67.
    Post-Transcriptional Processes  For each protein in the system, post-transcriptional processes like translational initiation, messenger and protein degradation, protein dimerisation, signal sensing, signal diffusion etc are represented using modules of rules.  Modules can have also as parameters the stochastic kinetic constants associated with the corresponding rules in order to allow us to explore possible mutations in the promoters and ribosome binding sites in order to optimise the behaviour of the system. 56 /203 Thursday, 9 July 2009
  • 68.
    Scalability through Modularity  Cellular functions arise from orchestrated interactions between motifs consisting of many molecular interacting species.  A P System model is a set of rules representing molecular interactions motifs that appear in many cellular systems. 57 /203 Thursday, 9 July 2009
  • 69.
    Basic P SystemModules Used 58 /203 Thursday, 9 July 2009
  • 70.
    Modularity in GeneRegulatory Networks  Cis-regulatory modules are nonrandom clusters of target binding sites for transcription factors regulating the same gene or operon.  A P system module is a set of rewriting rules containing variables that can be instantiated with specific objects, stochastic constants and membrane labels. E. Davidson (2006) The Regulatory Genome, Gene Regulation Networks in Development and Evolution, Elsevier 59 /203 Thursday, 9 July 2009
  • 71.
    Modularity in GeneRegulatory Networks AHL LuxR CI  Cis-regulatory modules are nonrandom clusters of target binding sites for transcription factors regulating the same gene or operon.  A P system module is a set of rewriting rules containing variables that can be instantiated with specific objects, stochastic constants and membrane labels. E. Davidson (2006) The Regulatory Genome, Gene Regulation Networks in Development and Evolution, Elsevier 59 /203 Thursday, 9 July 2009
  • 72.
    Modularity in GeneRegulatory Networks AHL LuxR CI  Cis-regulatory modules are nonrandom clusters of target binding sites for transcription factors regulating the same gene or operon.  A P system module is a set of rewriting rules containing variables that can be instantiated with specific objects, stochastic constants and membrane labels. E. Davidson (2006) The Regulatory Genome, Gene Regulation Networks in Development and Evolution, Elsevier 59 /203 Thursday, 9 July 2009
  • 73.
    Representing transcriptional fusions  Objects Variables can be instantiated with the name of specific genes to represent a construct where the gene is fused to the promoter or cluster of TF binding sites specified by the module. 60 /203 Thursday, 9 July 2009
  • 74.
    Representing transcriptional fusions  Objects Variables can be instantiated with the name of specific genes to represent a construct where the gene is fused to the promoter or cluster of TF binding sites specified by the module. 60 /203 Thursday, 9 July 2009
  • 75.
    Representing transcriptional fusions  Objects Variables can be instantiated with the name of specific genes to represent a construct where the gene is fused to the promoter or cluster of TF binding sites specified by the module. 60 /203 Thursday, 9 July 2009
  • 76.
    Representing transcriptional fusions  Objects Variables can be instantiated with the name of specific genes to represent a construct where the gene is fused to the promoter or cluster of TF binding sites specified by the module. 60 /203 Thursday, 9 July 2009
  • 77.
    Representing transcriptional fusions  Objects Variables can be instantiated with the name of specific genes to represent a construct where the gene is fused to the promoter or cluster of TF binding sites specified by the module. 60 /203 Thursday, 9 July 2009
  • 78.
    Representing transcriptional fusions  Objects Variables can be instantiated with the name of specific genes to represent a construct where the gene is fused to the promoter or cluster of TF binding sites specified by the module. 60 /203 Thursday, 9 July 2009
  • 79.
    Representing transcriptional fusions  Objects Variables can be instantiated with the name of specific genes to represent a construct where the gene is fused to the promoter or cluster of TF binding sites specified by the module. 60 /203 Thursday, 9 July 2009
  • 80.
    Representing Directed Evolution  Variables for stochastic constants can be instantiated with specific values in order to represent directed evolution. 61 /203 Thursday, 9 July 2009
  • 81.
    Representing Directed Evolution  Variables for stochastic constants can be instantiated with specific values in order to represent directed evolution. 61 /203 Thursday, 9 July 2009
  • 82.
    Representing Directed Evolution  Variables for stochastic constants can be instantiated with specific values in order to represent directed evolution. A 61 /203 Thursday, 9 July 2009
  • 83.
    Representing Directed Evolution  Variables for stochastic constants can be instantiated with specific values in order to represent directed evolution. A 61 /203 Thursday, 9 July 2009
  • 84.
    Representing synthetic transcriptional networks  The genes used to instantiate variables in our modules can codify other TFs that interact with other modules or promoters producing a synthetic gene regulatory network. 62 /203 Thursday, 9 July 2009
  • 85.
    Representing synthetic transcriptional networks  The genes used to instantiate variables in our modules can codify other TFs that interact with other modules or promoters producing a synthetic gene regulatory network. 62 /203 Thursday, 9 July 2009
  • 86.
    Stochastic P Systems  Gillespie Algorithm (SSA) generates trajectories of a stochastic system consisting of modified for multiple compartments/volumes: 1) A stochastic constant is associated with each rule. 2) A propensity is computed for each rule by multiplying the stochastic constant by the number of distinct possible combinations of the elements on the left hand side of the rule. 3) The rule to apply j0 and the waiting time τ for its application are computed by generating two random numbers r1,r2 ~ U(0,1) and using the formulas: F. J. Romero-Campero, J. Twycross, M. Camara, M. Bennett, M. Gheorghe, and N. Krasnogor. Modular assembly of cell systems biology models using p systems. International Journal of Foundations of Computer Science, 2009 63 /203 Thursday, 9 July 2009
  • 87.
    Multicompartmental Gillespie Algorithm 64 /203 Thursday, 9 July 2009
  • 88.
    Multicompartmental Gillespie Algorithm 1 3 2 64 /203 Thursday, 9 July 2009
  • 89.
    Multicompartmental Gillespie Algorithm 1 3 r11,…,r1n1 r31,…,r3n3 M3 M1 2 r21,…,r2n2 M2 64 /203 Thursday, 9 July 2009
  • 90.
    Multicompartmental Gillespie Algorithm 1 3 r11,…,r1n1 r31,…,r3n3 Local Gillespie M3 M1 2 r21,…,r2n2 M2 64 /203 Thursday, 9 July 2009
  • 91.
    Multicompartmental Gillespie Algorithm 1 3 r11,…,r1n1 ( 1, τ1, r01) r31,…,r n3 3 Local Gillespie M3 M1 2 r21,…,r2n2 M2 64 /203 Thursday, 9 July 2009
  • 92.
    Multicompartmental Gillespie Algorithm 1 3 r11,…,r1n1 ( 1, τ1, r01) r31,…,r n3 3 Local Gillespie M3 M1 ( 2, τ2, r02) 2 r21,…,r2n2 M2 64 /203 Thursday, 9 July 2009
  • 93.
    Multicompartmental Gillespie Algorithm 1 3 r11,…,r1n1 ( 1, τ1, r01) r31,…,r n3 3 Local Gillespie M3 M1 ( 2, τ2, r02) 2 ( 3, τ3, r03) r21,…,r2n2 M2 64 /203 Thursday, 9 July 2009
  • 94.
    Multicompartmental Gillespie Algorithm 1 3 r11,…,r1n1 ( 1, τ1, r01) r31,…,r n3 3 Local Gillespie M3 M1 ( 2, τ2, r02) 2 ( 3, τ3, r03) r21,…,r2n2 Sort Compartments M2 τ2 < τ1 < τ3 64 /203 Thursday, 9 July 2009
  • 95.
    Multicompartmental Gillespie Algorithm 1 3 r11,…,r1n1 ( 1, τ1, r01) r31,…,r n3 3 Local Gillespie M3 M1 ( 2, τ2, r02) 2 ( 3, τ3, r03) r21,…,r2n2 Sort Compartments M2 τ2 < τ1 < τ3 ( 2, τ2, r02) ( 1, τ1, r01) ( 3, τ3, r03) 64 /203 Thursday, 9 July 2009
  • 96.
    Multicompartmental Gillespie Algorithm 1 3 r11,…,r1n1 ( 1, τ1, r01) r31,…,r n3 3 Local Gillespie M3 M1 ( 2, τ2, r02) 2 ( 3, τ3, r03) r21,…,r2n2 ‘ Sort Compartments M2 τ2 < τ1 < τ3 ( 2, τ2, r02) ( 1, τ1, r01) ( 3, τ3, r03) 64 /203 Thursday, 9 July 2009
  • 97.
    Multicompartmental Gillespie Algorithm 1 3 r11,…,r1n1 ( 1, τ1, r01) r31,…,r n3 3 Local Gillespie M3 M1 ( 2, τ2, r02) 2 ( 3, τ3, r03) r21,…,r2n2 ‘ Sort Compartments M2 τ2 < τ1 < τ3 ( 2, τ2, r02) ( 1, τ1-τ2, r01) ( 1, τ1, r01) ( 3, τ3-τ2, r03) ( 3, τ3, r03) Update Waiting Times 64 /203 Thursday, 9 July 2009
  • 98.
    Multicompartmental Gillespie Algorithm 1 3 r11,…,r1n1 ( 1, τ1, r01) r31,…,r n3 3 Local Gillespie M3 M1 ( 2, τ2, r02) 2 ( 3, τ3, r03) r21,…,r2n2 ‘ Sort Compartments M2 τ2 < τ1 < τ3 ( 2, τ2, r02) ( 2, τ2’, r02) ( 1, τ1-τ2, r01) ( 1, τ1, r01) ( 3, τ3-τ2, r03) ( 3, τ3, r03) Update Waiting Times 64 /203 Thursday, 9 July 2009
  • 99.
    Multicompartmental Gillespie Algorithm 1 3 r11,…,r1n1 ( 1, τ1, r01) r31,…,r n3 3 Local Gillespie M3 M1 ( 2, τ2, r02) 2 ( 3, τ3, r03) r21,…,r2n2 ‘ Sort Compartments M2 τ2 < τ1 < τ3 ( 2, τ2, r02) ( 2, τ2’, r02) ( 1, τ1-τ2, r01) ( 1, τ1, r01) ( 3, τ3-τ2, r03) Insert new triplet ( 3, τ3, r03) τ1-τ2 <τ2’ < τ3-τ2 Update Waiting Times 64 /203 Thursday, 9 July 2009
  • 100.
    Multicompartmental Gillespie Algorithm 1 3 r11,…,r1n1 ( 1, τ1, r01) r31,…,r n3 3 Local Gillespie M3 M1 ( 2, τ2, r02) 2 ( 3, τ3, r03) r21,…,r2n2 ‘ Sort Compartments M2 τ2 < τ1 < τ3 ( 2, τ2, r02) ( 1, τ1-τ2, r01) ( 2, τ2’, r02) ( 1, τ1-τ2, r01) ( 1, τ1, r01) ( 2, τ2’, r02) ( 3, τ3-τ2, r03) ( 3, τ3-τ2, r03) Insert new triplet ( 3, τ3, r03) τ1-τ2 <τ2’ < τ3-τ2 Update Waiting Times 64 /203 Thursday, 9 July 2009
  • 101.
    Using P systems modules one can model a large variety of commonly occurring BRN:  Gene Regulatory Networks  Signaling Networks  Metabolic Networks  This can be done in an incremental way. F. J. Romero-Campero, J. Twycross, M. Camara, M. Bennett, M. Gheorghe, and N. Krasnogor. Modular assembly of cell systems biology models using p systems. International Journal of Foundations of Computer Science, 2009 65 /203 Thursday, 9 July 2009
  • 102.
    InfoBiotics Pipeline 66 /203 Thursday, 9 July 2009
  • 103.
    SBML from CellDesigner 67 /203 Thursday, 9 July 2009
  • 104.
    Runs simulations andextract data 68 /203 Thursday, 9 July 2009
  • 105.
    Plot Timeseries 69 /203 Thursday, 9 July 2009
  • 106.
    in time andspace 70 /203 Thursday, 9 July 2009
  • 107.
    Synthetic Biology Examples 71 /203 Thursday, 9 July 2009
  • 108.
    Multi-component negative- feedback oscillator Oscillations caused by time-delayed negative-feedback: Negative-feedback: gene-product that represses it's gene Time-delay: mRNA export, translation and repressor import Novak & Tyson: Design Principles of Biochemical Oscillators. Nat. Rev. Mol. Cell. Biol. 9: 981-991 (2008) 72 /203 Thursday, 9 July 2009
  • 109.
    Multi-component negative- feedback oscillator  Mathematical model − Xc = [mRNA in cytosol] − Yc = [protein in cytosol] − Xn = [mRNA in nucleus] − Yn = [protein in nucleus] − E = [total protease] − p = “integer indicating whether Y binds to DNA as a monomer, trimer, or so on” Executable Biology makes this more obvious: we can vary the value of p and the sequence of binding... 73 /203 Thursday, 9 July 2009
  • 110.
    Single protein repressesgene p=1 74 /203 Thursday, 9 July 2009
  • 111.
    When repression isweak (dissociation rate = 10) No obvious oscillatory behaviour in single simulation 75 /203 Thursday, 9 July 2009
  • 112.
    When repression isweak (dissociation rate = 10) Mean of 100 runs shows convergence to steady state 76 /203 Thursday, 9 July 2009
  • 113.
    When repression isstrong (dissociation rate = 0.1) Oscillations evident in single simulation 77 /203 Thursday, 9 July 2009
  • 114.
    When repression isstrong (dissociation rate = 0.1) Averging 100 runs dampens oscillations due to different phases but observable. Protein levels steady. 78 /203 Thursday, 9 July 2009
  • 115.
    Repressor binding sequence  When p=2 there are two possible scenarios: – First protein binds to second protein weakly then protein-dimer binds to gene strongly – First protein binds to gene weakly then second protein binds to protein-gene dimer strongly  In the following only the model structure is changed, not the parameters  First dissociation rate = 10  Second dissociation rate = 0.1 79 /203 Thursday, 9 July 2009
  • 116.
    1. Protein repressesas dimer 80 /203 Thursday, 9 July 2009
  • 117.
    1. Protein repressesas dimer target mRNA levels oscillate ready but protein accumulates in the cytosol 81 /203 Thursday, 9 July 2009
  • 118.
    2. Proteins represscooperatively 82 /203 Thursday, 9 July 2009
  • 119.
    2. Proteins represscooperatively target Oscillations are steady and protein levels are controlled 83 /203 Thursday, 9 July 2009
  • 120.
    An example: RonWeiss' Pulse Generator  Two different bacterial strains carrying specific synthetic gene regulatory networks are used.  The first strain produces a diffusible signal AHL.  The second strain possesses a synthetic gene regulatory network which produces a pulse of GFP after AHL sensing.  These two bacterial strains and their respective synthetic networks are modelled as a combination of modules.  S. Basu, R. Mehreja, et al. (2004) Spatiotemporal control of gene expression with pulse generating networks, PNAS, 101, 6355-6360 84 /203 Thursday, 9 July 2009
  • 121.
    Sending Cells 85 /203 Thursday, 9 July 2009
  • 122.
    Sending Cells 85 /203 Thursday, 9 July 2009
  • 123.
    Sending Cells Pconst 85 /203 Thursday, 9 July 2009
  • 124.
    Sending Cells Pconst luxI 85 /203 Thursday, 9 July 2009
  • 125.
    Sending Cells Pconst({X = luxI },…) Pconst luxI 85 /203 Thursday, 9 July 2009
  • 126.
    Sending Cells AHL Pconst({X = luxI },…) LuxI AHL PostTransc({X=LuxI},{c1=3.2,…}) Diff({X=AHL},{c=0.1}) Pconst luxI 85 /203 Thursday, 9 July 2009
  • 127.
    Pulse Generating Cells 86 /203 Thursday, 9 July 2009
  • 128.
    Pulse Generating Cells 86 /203 Thursday, 9 July 2009
  • 129.
    Pulse Generating Cells LuxR Pconst luxR 86 /203 Thursday, 9 July 2009
  • 130.
    Pulse Generating Cells AHL AHL LuxR Pconst luxR 86 /203 Thursday, 9 July 2009
  • 131.
    Pulse Generating Cells AHL AHL LuxR GFP PluxOR1 Pconst gfp luxR 86 /203 Thursday, 9 July 2009
  • 132.
    Pulse Generating Cells AHL AHL LuxR GFP PluxOR1 Pconst gfp luxR Plux cI 86 /203 Thursday, 9 July 2009
  • 133.
    Pulse Generating Cells AHL AHL LuxR GFP PluxOR1 Pconst gfp luxR CI Plux cI 86 /203 Thursday, 9 July 2009
  • 134.
    Pulse Generating Cells AHL AHL Pconst({X=luxR},…) LuxR GFP PluxOR1({X=gfp},…) PluxOR1 Plux({X=cI},…) Pconst gfp luxR … … CI Diff({X=AHL},…) Plux cI 86 /203 Thursday, 9 July 2009
  • 135.
    Spatial Distribution ofSenders and Pulse Generators AHL GFP AHL LuxR Pconst PluxOR1 luxR gfp LuxI AHL CI Pconst luxI Plux cI 87 /203 Thursday, 9 July 2009
  • 136.
    AHL Spatial Distribution of Senders and Pulse Generators AHL GFP AHL LuxR Pconst PluxOR1 luxR gfp LuxI AHL CI Pconst luxI Plux cI 87 /203 Thursday, 9 July 2009
  • 137.
    Wave propagation simulation I SIMULATION I 88 /203 Thursday, 9 July 2009
  • 138.
    Pulse Generating Cells AHLWith Relay AHL LuxR GFP PluxOR1 Pconst gfp luxR CI Plux cI 89 /203 Thursday, 9 July 2009
  • 139.
    Pulse Generating Cells AHLWith Relay AHL LuxR GFP PluxOR1 Pconst gfp luxR Plux CI luxI LuxI Plux cI AHL 89 /203 Thursday, 9 July 2009
  • 140.
    Pulse Generating Cells AHLWith Relay AHL Pconst({X=luxR},…) LuxR GFP PluxOR1 Pconst gfp luxR Plux CI luxI LuxI Plux cI AHL 89 /203 Thursday, 9 July 2009
  • 141.
    Pulse Generating Cells AHLWith Relay AHL Pconst({X=luxR},…) LuxR GFP PluxOR1({X=gfp},…) PluxOR1 Pconst gfp luxR Plux CI luxI LuxI Plux cI AHL 89 /203 Thursday, 9 July 2009
  • 142.
    Pulse Generating Cells AHLWith Relay AHL Pconst({X=luxR},…) LuxR GFP PluxOR1({X=gfp},…) PluxOR1 Plux({X=cI},…) Pconst gfp luxR Plux CI luxI LuxI Plux cI AHL 89 /203 Thursday, 9 July 2009
  • 143.
    Pulse Generating Cells AHLWith Relay AHL Pconst({X=luxR},…) LuxR GFP PluxOR1({X=gfp},…) PluxOR1 Plux({X=cI},…) Pconst gfp luxR … Plux CI luxI LuxI Plux cI AHL 89 /203 Thursday, 9 July 2009
  • 144.
    Pulse Generating Cells AHLWith Relay AHL Pconst({X=luxR},…) LuxR GFP PluxOR1({X=gfp},…) PluxOR1 Plux({X=cI},…) Pconst gfp luxR … … Plux CI luxI LuxI Plux cI AHL 89 /203 Thursday, 9 July 2009
  • 145.
    Pulse Generating Cells AHLWith Relay AHL Pconst({X=luxR},…) LuxR GFP PluxOR1({X=gfp},…) PluxOR1 Plux({X=cI},…) Pconst gfp luxR … … Plux CI luxI Diff({X=AHL},…) LuxI Plux cI AHL 89 /203 Thursday, 9 July 2009
  • 146.
    Pulse Generating Cells AHLWith Relay AHL Pconst({X=luxR},…) LuxR GFP PluxOR1({X=gfp},…) PluxOR1 Plux({X=cI},…) Pconst gfp luxR … … Plux CI luxI Diff({X=AHL},…) Plux Plux({X=luxI},…) LuxI cI AHL 89 /203 Thursday, 9 July 2009
  • 147.
    Wave propagation simulation II SIMULATION II 90 /203 36 Thursday, 9 July 2009
  • 148.
    AHL Spatial Distribution of Pulse Generators and Seed AHL LuxR GFP Pconst PluxOR1 luxR gfp Plux CI luxI Plux cI LuxI AHL 91 /203 Thursday, 9 July 2009
  • 149.
    Wave propagation with Four Droplets of Signal SIMULATION III 92 /203 38 Thursday, 9 July 2009
  • 150.
    Pulse Generating Cells AHLWith Relay LuxR AHL PulseGenerator(X ) = PluxOR1 { Pconst({X=luxR},…) , Pconst luxR PluxOR1({X},…) , Plux({X=cI},…) , Plux … CI luxI Diff({X=AHL},…) , LuxI Plux cI Plux({X=luxI},…) } AHL 93 /203 Thursday, 9 July 2009
  • 151.
    Combining Complex Modules AHL AHL Inverter(X ) = LuxR { Pconst({X=luxR},…) , PluxOR1({X=lacI},…) , Pconst PluxOR1 Plac({X},…) , luxR lacI … LacI Diff({X=AHL},…)} Plac 94 /203 Thursday, 9 July 2009
  • 152.
    Combining Complex Modules AHL AHL Inverter(X ) = LuxR { Pconst({X=luxR},…) , PluxOR1({X=lacI},…) , Pconst PluxOR1 Plac({X},…) , luxR lacI … LacI Diff({X=AHL},…)} Plac PulseGenerator({X=lacI}) Inverter({X=gfP}) 94 /203 Thursday, 9 July 2009
  • 153.
    Inversion Through a Propagating Wave SIMULATION IV 95 /203 41 Thursday, 9 July 2009
  • 154.
    Outline •Brief Introduction to Computational Modeling •Modeling for Top Down SB •Executable Biology •A pinch of Model Checking •Modeling for the Bottom Up SB •Dissipative Particle Dynamics •Automated Model Synthesis and Optimisation •Conclusions 96 /203 Thursday, 9 July 2009
  • 155.
    Probabilistic Model Checking  A precise computational/mathematical model allows us to perform formal verification techniques: Probabilistic model checking.  Properties are expressed formally using temporal logic and analysed.  The fundamental components of the PRISM language are modules, variables and commands. • A model is composed of a number of modules which can interact with each other. • A module contains a number of local variables and commands. 97 /203 Thursday, 9 July 2009
  • 156.
    P Systems andPRISM P System Component PRISM Component Membrane Module Multisets of Objects Local Variables Rewriting rules Commands  Rewards/Costs are associated with states and transitions representing the number of objects and the application of rules.  Some Properties:  Expected Number of objects over time: R = ? [ I = T ]  Expected Number of rule application over time: R = ? [ C <= T ]  Expected Time to reach a state: R = ? [ F molec_1 = K ]  Transient properties: P = ? [ true U[t_1 t_2] molec_1 >= K_1 ]  Steady State/Long run properties: S = ? [ molec_1 >= K_1] PRISM is used as an example. Other model checkers are more appropriate for larger systems 98 /203 Thursday, 9 July 2009
  • 157.
    Post-transcriptional Regulation Post-transcriptional regulation [ gene ]b  [ gene + rna ]b ctrc ctrc*ctrl = 1.13 [ rna ]b  [ ]b c2=0.3465 10 proteins in [ rna ]b  [ rna + Protein ]b ctrl steady State [ Protein ]b  [ ]b c4=0.3465 99 /203 Thursday, 9 July 2009
  • 158.
    Post-transcriptional Regulation R = ? [ I = 240 ] P = ? [ true U[240,240] Proteins = N ] 100 /203 Thursday, 9 July 2009
  • 159.
    Positive Regulation [ TF + gene ] b  [ TF.gene ] b con [ TF.gene ] b  [ TF + gene ] b coff [ gene ]b  [ gene + rna ]b ctrc [ rna ]b  [ ]b c2 [ rna ]b  [ rna + Protein ]b ctrl [ Protein ]b  [ ]b c4 101 /203 Thursday, 9 July 2009
  • 160.
    Positive Regulation R = ? [ C <= 100 ] R = ? [ C <= 100 ] P = ? [ true U[60,60] Proteins = N ] 102 /203 Thursday, 9 July 2009
  • 161.
    Model Checking onthe Pulse Generator  The simulation of the Pulse Generator show some interesting properties that were subsequently analysed using model checking.  Due to the complexity of the system (state space explosion) we perform approximate model checking with a precision of 0.01 and a confidence of 0.001 which needed to run 100000 simulations. 103 /203 Thursday, 9 July 2009
  • 162.
    Model Checking onthe Pulse Generator  The simulations show that although the number of signals reaches eventually the same level in all the cells in the lattice those cells that are far from the sending cells produce fewer number of GFP molecules.  The difference between cells close to and far from the sending cells is the rate of increase of the signal AHL.  We study the effect of the rate of increase of the signal AHL in the number of GFP produced. S. Basu, R. Mehreja, et al. Spatiotemporal control of gene expression with pulse generating networks, PNAS, 101, 6355-6360 104 /203 Thursday, 9 July 2009
  • 163.
    We studied the expected number of GFP molecules produced over time for different increase rates of AHL. R = ? [ I = 60 ] rewards molecule = 1 : proteinGFP; endrewards The system is expected to produce longer pulses with lower amplitudes for slow increase rates of AHL signals. 105 /203 Thursday, 9 July 2009
  • 164.
    In order to get a clearer idea, the probability distribution of the number of GFP molecules at 60 minutes was computed. P = ? [ true U[60,60] ((proteinGFP > N) & (proteinGFP <= (N + 10))) ] Note that for slow increase rates of AHL the probability of having NO GFP molecules at all is high. 106 /203 Thursday, 9 July 2009
  • 165.
    Finally, assuming that for a cell to be fluorescence it needs to have a given number of GFP for an appreciable period of time we studied the expected amount of time a cell have more than 50 GFP molecules during the first 60 minutes after the signals arrive to the cell. R = ? [ C <= 60 ] rewards true : proteinGFP; endrewards 107 /203 Thursday, 9 July 2009
  • 166.
    Outline •Brief Introduction to Computational Modeling •Modeling for Top Down SB •Executable Biology •A pinch of Model Checking •Modeling for the Bottom Up SB •Dissipative Particle Dynamics •Automated Model Synthesis and Optimisation •Conclusions 108 /203 Thursday, 9 July 2009
  • 167.
    A (Proto)Cell asan Information Processing Device LeDuc et al. Towards an in vivo biologically inspired nanofactory. Nature (2007) 109 /203 Thursday, 9 July 2009
  • 168.
    Towards a syntheticcell from the bottom up  Biocompatible vesicles as long-circulating carriers  Polymer self-assembly into higher-order structures  Cell-mimics with hydrophobic ‘cell-wall’ and glycosylated surfaces  Potential for cross-talk with biological cells Pasparakis, G. Angew Chem Int Ed. 2008 47 (26), 4847-4850 110 /203 Thursday, 9 July 2009
  • 169.
    Vesicle Biorecognition Pasparakis, G. et al, Angew Chem Int Ed. 2008 47 (26), 4847-4850 111 /203 Thursday, 9 July 2009
  • 170.
    ‘Talking’ to cell-vesicleaggregates Pasparakis, G. Angew Chem Int Ed. 2008 47 (26), 4847-4850 112 /203 Thursday, 9 July 2009
  • 171.
    Outline •Brief Introduction to Computational Modeling •Modeling for Top Down SB •Executable Biology •A pinch of Model Checking •Modeling for the Bottom Up SB •Dissipative Particle Dynamics •Automated Model Synthesis and Optimisation •Conclusions 113 /203 Thursday, 9 July 2009
  • 172.
    Dissipative Particle Dynamics  Simulate movement of particles which represent several atoms / molecules  Calculate forces acting on particles, integrate equations of motion  Used extensively for investigating the self-assembly of lipid membrane structures at the mesoscale  Typical simulations contain ~105-106 particles, for ~105-106 time steps  Particles interact with each other within a finite radius much smaller than the simulation space, algorithmic optimisations of force calculations are possible 114 /203 Thursday, 9 July 2009
  • 173.
    Dissipative Particle Dynamics  First introduced by Hoogerbrugge and Koelmann in 1992.  Statistical mechanics of the model derived by espanol and warren in 1995.  A coarse graining approach is used so that one simulation particle represents a number of real molecules of a given type.  Since the timescale at which interactions occur is longer than in MD, fewer time-steps are required to simulation the same period of real time.  The short force cut-off radius enables optimisation of the force calculation code to be performed. O H H W O O H H H H 115 /203 Thursday, 9 July 2009
  • 174.
    Dissipative Particle Dynamics Conservative Force i W P Dissipative Force j W P Random Force 116 /203 Thursday, 9 July 2009
  • 175.
    Dissipative Particle Dynamics  Polymers  A number of simulation beads are tied together to represent the original molecule.  Two new forces are introduced between polymer particles, a Hookean spring force and a bond angle force. 117 /203 Thursday, 9 July 2009
  • 176.
    Liposome Formation inDPD 118 /203 Thursday, 9 July 2009
  • 177.
  • 178.
    Case Study One:Vesicle Diffusion Polar heads Non polar tails Pores J. Smaldon, J. Blake, D. Lancet, and N. Krasnogor. A multi-scaled approach to artificial life simulation with p systems and dissipative particle dynamics. In Proceedings of the Genetic and Evolutionary Computation Conference (GECCO-2008), ACM Publisher, 2008. 120 /203 Thursday, 9 July 2009
  • 179.
    Case Study One:Vesicle Diffusion  The regions were formed by allowing vesicles to self- assemble from phospholipids in the presence of pore inclusions  Pores are simple channels with an exterior mimicking the hydrophobic/hydrophilic profile of the bilayer 121 /203 Thursday, 9 July 2009
  • 180.
  • 181.
    Case Study One:Vesicle Diffusion Tagged solvent particles were placed within the liposome inner volume, the change in concentration due to diffusion of solvent through the membrane pores was measures 123 /203 Thursday, 9 July 2009
  • 182.
    Case Study Two:Liposome Logic  The behaviour of some prokaryotic RNA transcription motifs matches that of boolean logic gates[1]  DPD was extended with mesoscale collision based reactions.  transcriptional logic gates were simulated in bulk solvent and within a liposome core volume. 124 /203 Thursday, 9 July 2009
  • 183.
  • 184.
    Case Study Two:Liposome Logic OR gate results for different inputs: (¬X,¬Y) (¬X,Y) (X,¬Y) (X,Y) J. Smaldon, N. Krasnogor, M. Gheorghe, and A. Cameron. Liposome logic. In Proceedings of the 2009 Genetic and Evolutionary Computation Conference (GECCO 2009), 2009 126 /203 Thursday, 9 July 2009
  • 185.
    Parallel DPD  In order to simulate large systems, the DPD method can be parallelised using spatial decomposition techniques  Each processor is assigned a subvolume of the 3D simulation space  Communication required when particles move between subvolumes  Communication performed using MPI  10x-15x faster than the single processor version of DPD (Jupiter implementation) 127 /203 Thursday, 9 July 2009
  • 186.
    Compute Unified Device Architecture (CUDA) DPD  Algorithms can be written in C code for execution on an Nvidia G8X/GT200 GPU.  Modern CPUs have 2-4 cores, modern GPUs have hundreds. Highly parallel SIMD computing.  Several orders of magnitude calculation speed increase for MD.  The DPD algorithm was expressed in a manner enabling parallel execution with CUDA. 128 /203 Thursday, 9 July 2009
  • 187.
    CUDA DPD Implementation CUDA DPD is ~27 times faster than single processor 129 /203 Thursday, 9 July 2009
  • 188.
    Outline •Brief Introduction to Computational Modeling •Modeling for Top Down SB •Executable Biology •A pinch of Model Checking •Modeling for the Bottom Up SB •Dissipative Particle Dynamics •Automated Model Synthesis and Optimisation •Conclusions 130 /203 Thursday, 9 July 2009
  • 189.
    Automated Model Synthesisand Optimisation  Modeling is an intrinsically difficult process  It involves “feature selection” and disambiguation  Model Synthesis requires  design the topology or structure of the system in terms of molecular interactions  estimate the kinetic parameters associated with each molecular interaction  All the above iterated 131 /203 Thursday, 9 July 2009
  • 190.
    Once a model has been prototyped, whether derived from existing literature or “ab initio” ➡ Use some optimisation method to fine tune parameters/model structure  adopts an incremental methodology, namely starting from very simple P system modules (BioBricks) specifying basic molecular interactions, more complicated modules are produced to model more complex molecular systems. 132 /203 Thursday, 9 July 2009
  • 191.
    Large Literature onModel Synthesis • Mason et al. use a random Local Search (LS) as the mutation to evolve electronic networks with desired dynamics • Chickarmane et al. use a standard GA to optimize the kinetic parameters of a population of ODE-based reaction networks having the desired topology. • Spieth et al. propose a memetic algorithm to find gene regulatory networks from experimental DNA microarray data where the network structure is optimized with a GA and the parameters are optimized with an Evolution Strategy (ES). • Etc 133 /203 Thursday, 9 July 2009
  • 192.
    Evolutionary Algorithms forAutomated Model Synthesis and Optimisation EA are potentially very useful for AMSO  There’s a substantial amount of work on:  using GP-like systems to evolve executable structures  using EAs for continuous/discrete optimisation  An EA population represents alternative models (could lead to different experimental setups)  EAs have the potential to capture, rather than avoid, evolvability of models 134 /203 Thursday, 9 July 2009
  • 193.
    Evolving Executable BiologyModels • The main idea is to use a nested evolutionary algorithm where the first layer evolves model structures while the inner layer acts as a local search for the parameters of the model. • It uses stochastic P systems as a computational, modular and discrete-stochastic modelling framework. • It adopts an incremental methodology, namely starting from very simple P system modules specifying basic molecular interactions, more complicated modules are produced to model more complex molecular systems. •Successfully validated evolved models can then be added to the models library 135 /203 Thursday, 9 July 2009
  • 194.
    Nested EA forModel Synthesis F. Romero-Campero, H.Cao, M. Camara, and N. Krasnogor. Structure and parameter estimation for cell systems biology models. Proceedings of the Genetic and Evolutionary Computation Conference (GECCO-2008), pages 331-338. ACM Publisher, 2008. Best Paper award at the Bioinformatics track. 136 /203 Thursday, 9 July 2009
  • 195.
    Fitness Evaluation 137 /203 Thursday, 9 July 2009
  • 196.
    Representation 138 /203 Thursday, 9 July 2009
  • 197.
  • 198.
    Structural Operators 140 /203 Thursday, 9 July 2009
  • 199.
    Structural Operators 141 /203 Thursday, 9 July 2009
  • 200.
    Parameter Optimisation 142 /203 Thursday, 9 July 2009
  • 201.
    Parameter Optimisation 143 /203 Thursday, 9 July 2009
  • 202.
    Simple Illustrative Casestudies • Case 1: molecular complexation • Case 2: enzymatic reaction • Case 3: autoregulation in transcriptional networks •Case 3.1. negative autoregulation •Case 3.2. positive autoregulation 144 /203 Thursday, 9 July 2009
  • 203.
    Case 1: MolecularComplexation Target P System Model Structure c1 c2 Target P System Model Parameters 145 /203 Thursday, 9 July 2009
  • 204.
    Case 1: ExperimentalResults 50/50 runs found the same P system model structure as the target one Target and Evolved Time Series 146 /203 Thursday, 9 July 2009
  • 205.
    Case 1: ExperimentalResults 50/50 runs found the same P system model structure as the target one Target Model Parameters Best Model Parameters 147 /203 Target and Evolved Time Series Thursday, 9 July 2009
  • 206.
    Case 2: EnzymaticReaction Target P System Model Structure c1 c2 c3 Target P System Model Parameters 148 /203 Thursday, 9 July 2009
  • 207.
    Case 2: ExperimentalResults Target and Evolved Time Series 149 /203 Thursday, 9 July 2009
  • 208.
    Case 2: ExperimentalResults Target and Evolved Time Series Target Model Parameters Best Model Parameters Two Approaches Using Basic Adding the Newly Modules Found in Case 1 Number of runs the target 12/50 39/50 P system model was found Mean RMSE 3.8 2.85 150 /203 Thursday, 9 July 2009
  • 209.
    Case 3.1: NegativeAutoregulation Target P System Model Structure Target P System Model Parameters c1 c2 c3 c4 c5 c6 151 /203 Thursday, 9 July 2009
  • 210.
    Case 3.1: ExperimentalResults Design Design 1 Design 2 Model Number of runs 46/50 4/50 Mean +/- STD 4.11+/- 11.73 4.63 +/- 2.91 Best Model in Design 1 Best Model in Design 2 152 /203 Thursday, 9 July 2009
  • 211.
    Case 3.2: PositiveAutoregulation Target P System Model Structure Target P System Model Parameters c1 c2 c3 c4 c5 c6 c7 153 /203 Thursday, 9 July 2009
  • 212.
    Case 3.2: ExperimentalResults Design Design 1 Design 2 Model Number of runs 30/50 20/50 Mean +/- STD 16.36 +/- 3.03 20.14 +/- 5.13 Best Model in Design 1 154 /203 Thursday, 9 July 2009
  • 213.
    Revisiting the FitnessFunction • Multiple time-series per target • Different time series have very different profiles, e.g., response time or maxima occur at different times/places • Transient states (sometimes) as important as steady states •RMSE will mislead search H. Cao, F. Romero-Campero, M.Camara, N.Krasnogor. Analysis of Alternative Fitness Methods for the Evolutionary Synthesis of Cell Systems Biology Models. Submitted (2009) 155 /203 Thursday, 9 July 2009
  • 214.
    Four Fitness Functions N time series M time points in each time series Simulated data Target data F1 F2 F2 normalises whithin a time series between [0,1] 156 /203 Thursday, 9 July 2009
  • 215.
    Four Fitness Functions N time series M time points in each time series Simulated data Target data Randomly generated normalised vector with: F3 F3, unlike F1, does not assume an equal weighting of all the errors. It produces a randomised average of weights. 157 /203 Thursday, 9 July 2009
  • 216.
    Four Fitness Functions N time series M time points in each time series Simulated data Target data F4 F4 simply multiplies errors hence even small ones within a set with multiple orders of maginitudes can still have an effect. Indeed, this might lead to numerical instabilities due to nonlinear effects. 158 /203 Thursday, 9 July 2009
  • 217.
    Further Case Studies 159 /203 Thursday, 9 July 2009
  • 218.
  • 219.
  • 220.
  • 221.
  • 222.
  • 223.
  • 224.
  • 225.
    Results Study Case1 167 /203 Thursday, 9 July 2009
  • 226.
    Results Study Case2 168 /203 Thursday, 9 July 2009
  • 227.
    Results Study Case3 169 /203 Thursday, 9 July 2009
  • 228.
    Target model Alternative, biologically valid, modules 170 /203 Thursday, 9 July 2009
  • 229.
  • 230.
    Results Study Case4 172 /203 Thursday, 9 July 2009
  • 231.
    Comparisons of theconstants between the best fitness models obtained by F1, F4 and the target model for Test Case 4 (Values different from the target are in bold and underlined) 173 /203 Thursday, 9 July 2009
  • 232.
  • 233.
  • 234.
  • 235.
  • 236.
  • 237.
    Target 179 /203 Thursday, 9 July 2009
  • 238.
    Target 180 /203 Thursday, 9 July 2009
  • 239.
    The evolving curveof average fitness by four fitness methods (F1 ∼ F4) in 20 runs for Test Case 4. 181 /203 Thursday, 9 July 2009
  • 240.
    The evolving curveof average model diversity by four fitness methods (F1 ∼ F4) in 20 runs for Test Case 4 182 /203 Thursday, 9 July 2009
  • 241.
  • 242.
    Multi-Objective Optimisation in Morphogenesis The following slides are based on Rui Dilão, Daniele Muraro, Miguel Nicolau, Marc Schoenauer. Validation of a morphogenesis model of Drosophila early development by a multi-objective evolutionary optimization algorithm. Proc. 7th European Conference on Evolutionary Computation, ML and Data Mining in BioInformatics (EvoBIO'09), April 2009. 184 /203 Thursday, 9 July 2009
  • 243.
    • The authorsinvestigate the use of MOEA for modeling morphogenesis • The model organism is drosophila embrios Rui Dilão, Daniele Muraro, Miguel Nicolau, Marc Schoenauer. Validation of a morphogenesis model of Drosophila early development by a multi-objective evolutionary optimization algorithm. Proc. 7th European Conference on Evolutionary Computation, ML and Data Mining in BioInformatics (EvoBIO'09), April 2009 185 /203 Thursday, 9 July 2009
  • 244.
    Initial Conditions PDE model 186 /203 Thursday, 9 July 2009
  • 245.
    Target By Evolving: abcd, acad, Dbcd/Dcad, r, mRNA distributions and t However: Goal is not perfect fit but rather robust fit 187 /203 Thursday, 9 July 2009
  • 246.
    The authors use both Single and Multi-objective optimisation • CMA-ES is at the core of both • CMA-ES is a (µ,λ)-ES that employs multivariate Gaussian distributions • Uses “cumulative path” for co-variantly adapting this distribution • For the MO case it uses the global pareto dominance based selection Objective Function Bi-Objective Function 188 /203 Thursday, 9 July 2009
  • 247.
  • 248.
  • 249.
  • 250.
    Outline •Brief Introduction to Computational Modeling •Modeling for Top Down SB •Executable Biology •A pinch of Model Checking •Modeling for the Bottom Up SB •Dissipative Particle Dynamics •Automated Model Synthesis and Optimisation •Conclusions 192 /203 Thursday, 9 July 2009
  • 251.
    Summary & Conclusions  This talk has focused on an integrative methodology, InfoBiotics, for Systems & Synthetic Biology  Executable Biology/DPD  Parameter and Model Structure Discovery  Model Checking  Computational models (or executable in Fisher & Henzinger’s jargon) adhere to (a degree) to an operational semantics.  Refer to the excellent review [Fisher & Henzinger, Nature Biotechnology, 2007] 193 /203 Thursday, 9 July 2009
  • 252.
    Summary & Conclusions  The gap present in mathematical models between the model and its algorithmic implementation disappears in computational models as all of them are algorithms.  A new gap appears between the biology and the modelling technique and this can be solved by a judicious “feature selection”, i.e. the selection of the correct abstractions  Good computational models are more intuitive and analysable 194 /203 Thursday, 9 July 2009
  • 253.
    Summary & Conclusions  Computational models can thus be executed (quite a few tools out there, lots still missing)  Quantitative VS qualitative modelling: computational models can be very useful even when not every detail about a system is known.  Missing Parameters/model structures can sometimes be fitted with of-the-shelf optimisation strategies (e.g. COPASI, GAs, etc)  Computational models can be analysed by model checking: thus they can be used for testing hypothesis and expanding experimental data in a principled way 195 /203 Thursday, 9 July 2009
  • 254.
    Summary & Conclusions A nested evolutionary algorithm is proposed to automatically develop and optimise the modular structure and parameters of cellular models based on stochastic P systems. Several case studies with incremental model complexity demonstrate the effectiveness of our algorithm. The fact that this algorithm produces alternative models for a specific biological signature is very encouraging as it could help biologists to design new experiments to discriminate among competing hypothesis (models). Comparing results by only using the elementary modules and by adding newly found modules to the library shows the obvious advantage of the incremental methodology with modules. This points out the great potential to automatically design more complex cellular models in the future by using a modular approach. 196 /203 Thursday, 9 July 2009
  • 255.
    Summary & Conclusions  Synthetising Synthetic Biology Models is more like evolving general GP programs and less like fitting regresion or inter/extra- polation  We evolve executable structures, distributed programs(!)  These are noisy and expensive to execute  Like in GP programs, executable biology models might achieve similar behaviour through different program “structure”  Prone to bloat  Like in GP, complex relation between diversity and solution quality  However, diverse solutions of similar fit might lead to interesting experimental routes  Co-desig of models and wetware. 197 /203 Thursday, 9 July 2009
  • 256.
    Summary & Conclusions  Some really nice tutorials and other sources:  Luca Caderlli’s BraneCalculus & BioAmbients  Simulating Biological Systems in the Stochastic π −calculus by Phillips and Cardelli  From Pathway Databases to Network Models by Aguda and Goryachev  Modeling and analysis of biological processes by Brane Calculi and Membrane Systems by Busi and Zandron  D. Gilbert’s website contain several nice papers with related methods and tutorials 198 /203 Thursday, 9 July 2009
  • 257.
    Other Sources F. J. Romero-Campero, J. Twycross, M. Camara, M. Bennett, M. Gheorghe, and N. Krasnogor. Modular assembly of cell systems biology models using p systems. International Journal of Foundations of Computer Science, (to appear), 2009. F.J. Romero-Camero and N. Krasnogor. An approach to biomodel engineering based on p systems. In Proceedings of Computation In Europe (CIE 2009), 2009. J. Smaldon, N. Krasnogor, M. Gheorghe, and A. Cameron. Liposome logic. In Proceedings of the 2009 Genetic and Evolutionary Computation Conference (GECCO 2009), 2009 F. Romero-Campero, H.Cao, M. Camara, and N. Krasnogor. Structure and parameter estimation for cell systems biology models. In Maarten Keijzer et.al, editor, Proceedings of the Genetic and Evolutionary Computation Conference (GECCO-2008), pages 331-338. ACM Publisher, 2008. This paper won the Best Paper award at the Bioinformatics track. J. Smaldon, J. Blake, D. Lancet, and N. Krasnogor. A multi-scaled approach to artificial life simulation with p systems and dissipative particle dynamics. In Proceedings of the Genetic and Evolutionary Computation Conference (GECCO-2008). ACM Publisher, 2008. 199 /203 Thursday, 9 July 2009
  • 258.
    Other Sources Păun, Gh. Computing with membranes. Journal of Computer and System Sciences 61 (2000) 108-143 P Systems Web Page http://psystems.disco.unimib.it/ Bianco L. Membrane Models of Biological Systems PhD thesis 2007 Bernardini F, Gheorghe M, Krasnogor N, Terrazas G. Membrane Computing - Current Results and Future Problems. CiE 2005 49-53 Bernardini F, Gheorghe M, Krasnogor N. Quorum sensing P systems. Theoretical Computer Science 371 (2007) 20-33 Miguel Nicolau, Marc Schoenauer. Evolving Specific Network Statistical Properties using a Gene Regulatory Network Model. In ECCS 2008, 5th European Conference on Complex Systems, 2008. Miguel Nicolau, Marc Schoenauer. Evolving Scale-Free Topologies using a Gene Regulatory Network Model. CEC 2008, IEEE Congress on Evolutionary Computation, pp. 3748-3755, IEEE Press, 2008. 200 /203 Thursday, 9 July 2009
  • 259.
    Other Sources A. Ridwan. A parallel implementation of Gillespie's Direct Method. Proc. of the International Conference on Computational Science, p.284-291, Krakow, Poland, June 2004. G. C. Ewing et al. Akaroa2: Exploiting network computing by distributing stochastic simulation. Proc. of the European Simulation Multiconference, p. 175-181, Warsaw, June 1999. P. Hellekalek. Don't trust parallel Monte Carlo! ACM SIGSIM Simulation Digest, 28(1):82-89, 1998. M. Schwehm. Parallel stochastic simulation of whole cell models. Proc. of the Second International Conference on Systems Biology, p.333-341, CalTech, C.A., November 2001 201 /203 Thursday, 9 July 2009
  • 260.
    Acknowledgements Members of my team working on SB2 EP/E017215/1  Jonathan Blake Integrated Environment EP/D021847/1  Hongqing Cao Machine Learning & Optimisation BB/F01855X/1 BB/D019613/1  Francisco Romero-Campero Modeling & Model Checking  James Smaldon Dissipative Particle Dynamics My colleagues in the Centre for  Jamie Twycross Biomolecular Sciences and the Stochastic Simulations Centre for Plant Integrative Biology at Nottingham • GECCO 2009 organisers for inviting this tutorial, specially Martin Butz and Gunther Raidl • You for listening! 202 /203 Thursday, 9 July 2009
  • 261.
    Any Questions? • www.infobiotic.org •www.synbiont.org Become a member and have access to $$$ for engaging in SB research. Contact me if interested 203 /203 Thursday, 9 July 2009