Building Executable Biology Models for
              Synthetic Biology
                                                Natalio Krasnogor
                        ASAP - Interdisciplinary Optimisation Laboratory
                        School of Computer Science


                        Centre for Integrative Systems Biology
                        School of Biology


                        Centre for Healthcare Associated Infections
                        Institute of Infection, Immunity & Inflammation

                                                   University of Nottingham




                        1 /57   Ben-Gurion University of the Negev - June 23rd to July 5th 2009 - Distinguished Scientist Visitor Program - Beer Sheva, Israel


Tuesday, 30 June 2009
Based on
   F. J. Romero-Campero, J. Twycross, M. Camara, M. Bennett, M. Gheorghe,
   and N. Krasnogor. Modular assembly of cell systems biology models using
   p systems. International Journal of Foundations of Computer Science,
   2009.

   F.J. Romero-Camero and N. Krasnogor. An approach to biomodel
   engineering based on p systems. In Proceedings of Computation In Europe
   (CIE 2009), 2009

   F. Romero-Campero, H.Cao, M. Camara, and N. Krasnogor. Structure and
   parameter estimation for cell systems biology models. In Maarten Keijzer
   et.al, editor, Proceedings of the Genetic and Evolutionary Computation
   Conference (GECCO-2008), pages 331-338. ACM Publisher, 2008. This
   paper won the Best Paper award at the Bioinformatics track.

  Analysis of Alternative Fitness Methods for the Evolutionary Synthesis of
  Cell Systems Biology Models. F. Romero-Campero, H.Cao, M. Camara, and
  N. Krasnogor. Submitted.
                        2 /57   Ben-Gurion University of the Negev - June 23rd to July 5th 2009 - Distinguished Scientist Visitor Program - Beer Sheva, Israel


Tuesday, 30 June 2009
Outline
   •Brief Introduction to Computational Modeling
   •Modeling for Top Down SB
    •Executable Biology
   •Automated Model Synthesis and Optimisation
   •Conclusions



                        3 /57   Ben-Gurion University of the Negev - June 23rd to July 5th 2009 - Distinguished Scientist Visitor Program - Beer Sheva, Israel


Tuesday, 30 June 2009
Synthetic Biology
   • Aims at designing, constructing and developing artificial biological
   systems

   •Offers new routes to ‘genetically modified’ organisms, synthetic living
   entities, smart drugs and hybrid computational-biological devices.

   • Potentially enormous societal impact, e.g., healthcare, environmental
   protection and remediation, etc

   • Synthetic Biology's basic assumption:
          • Methods commonly used to build non-biological systems could
             also be use to specify, design, implement, verify, test, deploy
             and maintain novel synthetic biosystems.
             • These method come from computer science, engineering and
             maths.
             • Modelling and optimisation run through all of the above.
                        4 /57   Ben-Gurion University of the Negev - June 23rd to July 5th 2009 - Distinguished Scientist Visitor Program - Beer Sheva, Israel


Tuesday, 30 June 2009
Models and Reality
     •The use of models is intrinsic to any
     scientific activity.

     •Models are abstractions of the real-world
     that highlight some key features while
     ignoring others that are assumed to be not
     relevant.

     •A model should not be seen or presented
     as representations of the truth, but instead
                        5 /57    Ben-Gurion University of the Negev - June 23rd to July 5th 2009 - Distinguished Scientist Visitor Program - Beer Sheva, Israel


Tuesday, 30 June 2009
The goals of Modelling
     •To capture the essential features of
     a biological entity/phenomenon
     •To disambiguate the understanding
     behind those features and their
     interactions
     •To move from qualitative knowledge
     towards quantitative knowledge

                        6 /57   Ben-Gurion University of the Negev - June 23rd to July 5th 2009 - Distinguished Scientist Visitor Program - Beer Sheva, Israel


Tuesday, 30 June 2009
 Modeling relies on rigorous computational,
    engineering and mathematical tools &
    techniques
   However, the act of modeling remains at the
    interface between art and science
   Undoubtedly, a multidisciplinary endeavour




                        7 /57   Ben-Gurion University of the Negev - June 23rd to July 5th 2009 - Distinguished Scientist Visitor Program - Beer Sheva, Israel


Tuesday, 30 June 2009
Modelling Approaches

     There exist many modelling approaches, each with its
     advantages and disadvantages.
        Macroscopic, Microscopic and Mesoscopic
        Quantitative and qualitative
        Discrete and Continuous
        Deterministic and Stochastic
        Top-down or Bottom-up




                        8 /57   Ben-Gurion University of the Negev - June 23rd to July 5th 2009 - Distinguished Scientist Visitor Program - Beer Sheva, Israel


Tuesday, 30 June 2009
Tools Suitability and Cost
       From [D.E Goldberg, 2002] (adapted):
        “Since science and math are in the description
        business, the model is the thing…The engineer
        or inventor has much different motives. The
        engineered object is the thing”         ε, error



                                                                Synthetic Biologist




                                                                                        Computer Scientist/Mathematician


                                                                      C, cost of modelling

                        9 /57   Ben-Gurion University of the Negev - June 23rd to July 5th 2009 - Distinguished Scientist Visitor Program - Beer Sheva, Israel


Tuesday, 30 June 2009
Modelling Frameworks
     •Denotational Semantics Models:
     Set of equations showing relationships between molecular
     quantities and how they change over time.
     They are approximated numerically.
     (I.e. Ordinary Differential Equations, PDEs, etc)

     •Operational Semantics Models:
     Algorithm (list of instructions) executable by an abstract
     machine whose computation resembles the behaviour of the
     system under study. (i.e. Finite State Machine)

       Jasmin Fisher and Thomas Henzinger. Executable cell biology. Nature Biotechnology, 25, 11, 1239-1249
                                                   (2008)

                        10 /57   Ben-Gurion University of the Negev - June 23rd to July 5th 2009 - Distinguished Scientist Visitor Program - Beer Sheva, Israel


Tuesday, 30 June 2009
The Scale Separation Map
                                                                            • With sufficient data each process can be
                                                                            assigned its space-time region
                                                                            unambiguously

                          Couplings, e.g. F                                 • A given process may well have its Δx
                                                                            (respectively Δt) > than another’s ξA
                                                                            (respectively τA)
   Spatial scale (log)




                                                                            • Hence different processes in the SSM might
                                                                            require different modelling techniques




                              Temporal scale (log)


                            11 /57   Ben-Gurion University of the Negev - June 23rd to July 5th 2009 - Distinguished Scientist Visitor Program - Beer Sheva, Israel


Tuesday, 30 June 2009
Even within a single cell the space & time
             scale separations are important
                                                                                   E.g.:

                                                                                  • Within a cell the dissociation
                                                                                         constants of DNA/ transcription
                                                                                         factor binding to specific/non-
                                                                                         specific sites differ by 4-6 orders of
                                                                                         magnitude

                                                                                  • DNA protein binding occurs at 1-10s
                                                                                         time scale very fast in comparison
                                                                                         to a cell’s life cycle.




       [F.J. Romero Campero, 2007]
                        12 /57   Ben-Gurion University of the Negev - June 23rd to July 5th 2009 - Distinguished Scientist Visitor Program - Beer Sheva, Israel


Tuesday, 30 June 2009
Stochasticity in Cellular Systems
         Most commonly recognised sources of noise in cellular system are low
          number of molecules and slow molecular interactions.




         Over 80% of genes in E. coli express fewer than a hundred proteins per cell.

         Mesoscopic, discrete and stochastic approaches are more suitable:
            Only relevant molecules are taken into account.
            Focus on the statistics of the molecular interactions and how often they
             take place.

         Mads Karn et al. Stochasticity in Gene Expression: From Theories to Phenotypes. Nature Reviews, 6,
         451-464 (2005)

         Purnananda Guptasarma. Does replication-induced transcription regulate synthesis of the myriad low
         copy number poteins of E. Coli. BioEssays, 17, 11, 987-997

                        13 /57   Ben-Gurion University of the Negev - June 23rd to July 5th 2009 - Distinguished Scientist Visitor Program - Beer Sheva, Israel


Tuesday, 30 June 2009
    It thus makes sense to use methodologies
          designed to cope with complex,
          concurrent, interactive systems of parts as
          found in computer sciences (e.g.):
            Petri Nets
            Process Calculi
            P-Systems




                        14 /57   Ben-Gurion University of the Negev - June 23rd to July 5th 2009 - Distinguished Scientist Visitor Program - Beer Sheva, Israel


Tuesday, 30 June 2009
InfoBiotics
                                      www.infobiotic.net
     •The utilisation of cutting-edge information
     processing techniques for biological modelling and
     synthesis
     •The understanding of life itself as multi-scale
     (Spatial/Temporal) information processing systems
     •Composed of 3 key components:
       •Executable Biology (or other modeling
       techniques)
       •Automated Model and Parameter Estimation
       •Model Checking (and other formal analysis)
                        15 /57   Ben-Gurion University of the Negev - June 23rd to July 5th 2009 - Distinguished Scientist Visitor Program - Beer Sheva, Israel


Tuesday, 30 June 2009
Modeling in Systems & Synthetic Biology

     Systems Biology                                                                                      Synthetic Biology
                                                                Colonies
       • Understanding                                                                                   •Control
       • Integration                                                                                     • Design
       • Prediction                                                                                      • Engineering
       • Life as it is                                                                                   •Life as it could be
                                                                   Cells


  Computational modelling to                                                                            Computational modelling to
  elucidate and characterise                                                                            engineer and evaluate
  modular patterns exhibiting                                                                           possible cellular designs
  robustness, signal filtering,                                                                         exhibiting a desired
  amplification, adaption,                                                                              behaviour by combining well
  error correction, etc.                                                                                studied and characterised
                                                              Networks                                  cellular modules



                        16 /57   Ben-Gurion University of the Negev - June 23rd to July 5th 2009 - Distinguished Scientist Visitor Program - Beer Sheva, Israel


Tuesday, 30 June 2009
Model Development
          From [E. Klipp et al, Systems Biology in Practice,
           2005]
         1.    Formulation of the problem
         2.    Verification of available information
         3.    Selection of model structure
         4.    Establishing a simple model
         5.    Sensitivity analysis
         6.    Experimental tests of the model predictions
         7.    Stating the agreements and divergences between
               experimental and modelling results
         8.    Iterative refinement of model


                        17 /57   Ben-Gurion University of the Negev - June 23rd to July 5th 2009 - Distinguished Scientist Visitor Program - Beer Sheva, Israel


Tuesday, 30 June 2009
Outline
   •Brief Introduction to Computational Modeling
   •Modeling for Top Down SB
    •Executable Biology

   •Automated Model Synthesis and Optimisation
   •Conclusions


                        18 /57   Ben-Gurion University of the Negev - June 23rd to July 5th 2009 - Distinguished Scientist Visitor Program - Beer Sheva, Israel


Tuesday, 30 June 2009
Executable Biology with P systems
      Field of membrane computing initiated by
       Gheorghe Păun in 2000
      Inspired by the hierarchical membrane structure
       of eukaryotic cells
      A formal language: precisely defined and
       machine processable
      An executable biology methodology



                        19 /57   Ben-Gurion University of the Negev - June 23rd to July 5th 2009 - Distinguished Scientist Visitor Program - Beer Sheva, Israel


Tuesday, 30 June 2009
Distributed and parallel rewritting systems in
      compartmentalised hierarchical structures.


                                                                                                                                 Objects




Compartments

                                                                                                                                  Rewriting Rules

  •   Computational universality and efficiency.

  •   Modelling Framework

                        20 /57   Ben-Gurion University of the Negev - June 23rd to July 5th 2009 - Distinguished Scientist Visitor Program - Beer Sheva, Israel


Tuesday, 30 June 2009
Stochastic P Systems




                        21 /57   Ben-Gurion University of the Negev - June 23rd to July 5th 2009 - Distinguished Scientist Visitor Program - Beer Sheva, Israel


Tuesday, 30 June 2009
Rewriting Rules




    used by Multi-volume Gillespie’s algorithm
                        22 /57   Ben-Gurion University of the Negev - June 23rd to July 5th 2009 - Distinguished Scientist Visitor Program - Beer Sheva, Israel


Tuesday, 30 June 2009
Molecular Interactions
                        Inside Compartments




                        23 /57   Ben-Gurion University of the Negev - June 23rd to July 5th 2009 - Distinguished Scientist Visitor Program - Beer Sheva, Israel


Tuesday, 30 June 2009
Passive Diffusion of Molecules




                        24 /57   Ben-Gurion University of the Negev - June 23rd to July 5th 2009 - Distinguished Scientist Visitor Program - Beer Sheva, Israel


Tuesday, 30 June 2009
Signal Sensing and
                              Active Transport




                        25 /57   Ben-Gurion University of the Negev - June 23rd to July 5th 2009 - Distinguished Scientist Visitor Program - Beer Sheva, Israel


Tuesday, 30 June 2009
Specification of Transcriptional
                 Regulatory Networks




                        26 /57   Ben-Gurion University of the Negev - June 23rd to July 5th 2009 - Distinguished Scientist Visitor Program - Beer Sheva, Israel


Tuesday, 30 June 2009
Scalability through Modularity




                        27 /57   Ben-Gurion University of the Negev - June 23rd to July 5th 2009 - Distinguished Scientist Visitor Program - Beer Sheva, Israel


Tuesday, 30 June 2009
Modularity in Gene Regulatory Networks

          According to E. Davidson
           functional cis-regulatory modules
           are nonrandom clusters of target
           binding sites for transcription
           factors regulating the same gene
           or operon.
          A library of modules
           corresponding to promoters of
           well studied genes. The activity of
           these promoters have been
           modelled mechanistically in terms
           of rewriting rules representing TF
           binding and debinding and
           transcription initiation.

          E. Davidson, The Regulatory Genome, Gene Regulatory Networks in Development and Evolution,
          Elsevier.

                        28 /57   Ben-Gurion University of the Negev - June 23rd to July 5th 2009 - Distinguished Scientist Visitor Program - Beer Sheva, Israel


Tuesday, 30 June 2009
Modelling Individual Cells
          An individual cell is represented as a P system, a set of compartments
           where specific objects describing molecular species are placed.
          The gene regulatory networks in each cell are represented as a collection
           of modules and rewriting rules.




                        29 /57   Ben-Gurion University of the Negev - June 23rd to July 5th 2009 - Distinguished Scientist Visitor Program - Beer Sheva, Israel


Tuesday, 30 June 2009
    Using P systems modules one can model a large variety of
       commonly occurring BRN:

           Gene Regulatory Networks
           Signaling Networks
           Metabolic Networks

      This can be done in an incremental way.


            F. J. Romero-Campero, J. Twycross, M. Camara, M. Bennett, M. Gheorghe, and N. Krasnogor.
            Modular assembly of cell systems biology models using p systems. International Journal of
            Foundations of Computer Science, 2009




                        30 /57   Ben-Gurion University of the Negev - June 23rd to July 5th 2009 - Distinguished Scientist Visitor Program - Beer Sheva, Israel


Tuesday, 30 June 2009
InfoBiotics
                                                                                                                               Pipeline




                        31 /57   Ben-Gurion University of the Negev - June 23rd to July 5th 2009 - Distinguished Scientist Visitor Program - Beer Sheva, Israel


Tuesday, 30 June 2009
Quick Demo
      Simulator-results-rescaled.html
      Cie-model22-rescaled.html




                        32 /57   Ben-Gurion University of the Negev - June 23rd to July 5th 2009 - Distinguished Scientist Visitor Program - Beer Sheva, Israel


Tuesday, 30 June 2009
Outline
   •Brief Introduction to Computational Modeling
   •Modeling for Top Down SB
    •Executable Biology

   •Automated Model Synthesis and Optimisation
   •Conclusions


                        33 /57   Ben-Gurion University of the Negev - June 23rd to July 5th 2009 - Distinguished Scientist Visitor Program - Beer Sheva, Israel


Tuesday, 30 June 2009
Automated Model Synthesis and Optimisation

        Modeling is an intrinsically difficult process

        It involves “feature selection” and disambiguation

       Model Synthesis requires
         design the topology or structure of the system in
          terms of molecular interactions
         estimate the kinetic parameters associated with
          each molecular interaction

        All the above iterated
                        34 /57   Ben-Gurion University of the Negev - June 23rd to July 5th 2009 - Distinguished Scientist Visitor Program - Beer Sheva, Israel


Tuesday, 30 June 2009
Large Literature on Model Synthesis
 •       Mason et al. use a random Local Search (LS) as the mutation to
         evolve electronic networks with desired dynamics

 •       Chickarmane et al. use a standard GA to optimize the kinetic
         parameters of a population of ODE-based reaction networks having
         the desired topology.

 •       Spieth et al. propose a Memetic Algorithm to find gene regulatory
         networks from experimental DNA microarray data where the network
         structure is optimized with a GA and the parameters are optimized
         with an Evolution Strategy (ES).

 •       Jaramillo et al. use Simulated Annealing as the main search strategy
         for model inference based on (O)DEs


                        35 /57   Ben-Gurion University of the Negev - June 23rd to July 5th 2009 - Distinguished Scientist Visitor Program - Beer Sheva, Israel


Tuesday, 30 June 2009
Evolutionary Algorithms for Automated
         Model Synthesis and Optimisation
         EA are potentially very useful for AMSO
          There’s a substantial amount of work on:
             using GP-like systems to evolve executable
              structures
             using EAs for continuous/discrete
              optimisation
          An EA population represents alternative
           models (could lead to different experimental
           setups)
          EAs have the potential to capture, rather than
           avoid, evolvability of models
                        36 /57   Ben-Gurion University of the Negev - June 23rd to July 5th 2009 - Distinguished Scientist Visitor Program - Beer Sheva, Israel


Tuesday, 30 June 2009
Nested EA for Model Synthesis




                                                                                                                    F. Romero-Campero, H.Cao, M.
                                                                                                                    Camara, and N. Krasnogor.
                                                                                                                    Structure and parameter
                                                                                                                    estimation for cell systems
                                                                                                                    biology models. Proceedings of
                                                                                                                    the Genetic and Evolutionary
                                                                                                                    Computation Conference
                                                                                                                    (GECCO-2008), pages
                                                                                                                    331-338. ACM Publisher, 2008.

                                                                                                                    Best Paper award at the
                                                                                                                    Bioinformatics track.




                        37 /57   Ben-Gurion University of the Negev - June 23rd to July 5th 2009 - Distinguished Scientist Visitor Program - Beer Sheva, Israel


Tuesday, 30 June 2009
Fitness Evaluation




                        38 /57   Ben-Gurion University of the Negev - June 23rd to July 5th 2009 - Distinguished Scientist Visitor Program - Beer Sheva, Israel


Tuesday, 30 June 2009
The Objective (Fitness)
                          Function
                                                                                                                   • Multiple time-series
                                                                                                                   per target

                                                                                                                   • Different time series
                                                                                                                   have very different
                                                                                                                   profiles, e.g., maxima
                                                                                                                   occur at different
                                                                                                                   times/places

                                                                                                                   • Transient states
                                                                                                                   (sometimes) as
                                                                                                                   important as steady
                                                                                                                   states

                                                                                                                   •RMSE might mislead
                                                                                                                   search
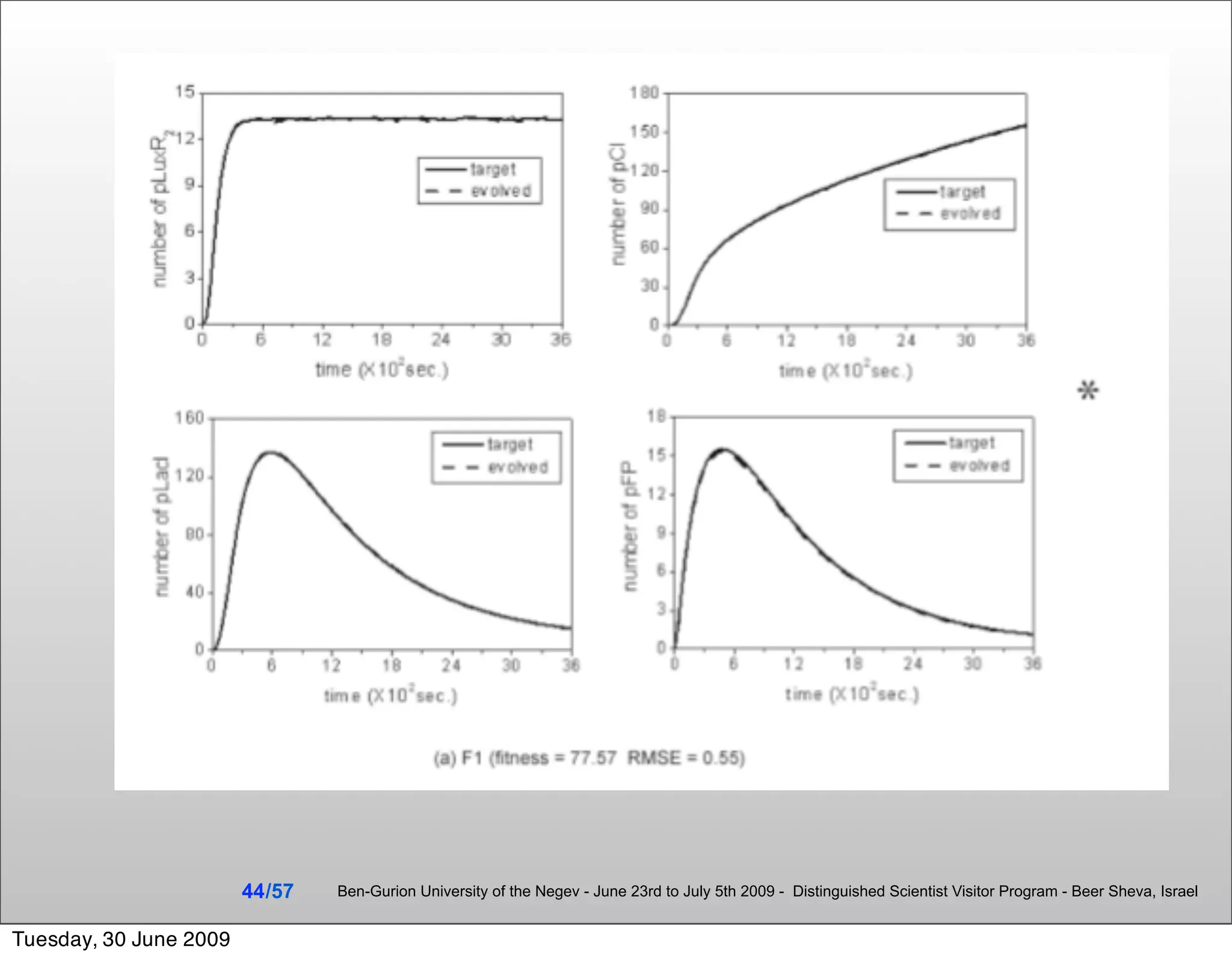
     H. Cao, F. Romero-Campero, M.Camara, N.Krasnogor. Analysis of Alternative Fitness Methods for the
     Evolutionary Synthesis of Cell Systems Biology Models. Submitted (2009)
                        39 /57   Ben-Gurion University of the Negev - June 23rd to July 5th 2009 - Distinguished Scientist Visitor Program - Beer Sheva, Israel


Tuesday, 30 June 2009
A Few Examples




                        40 /57   Ben-Gurion University of the Negev - June 23rd to July 5th 2009 - Distinguished Scientist Visitor Program - Beer Sheva, Israel


Tuesday, 30 June 2009
41 /57
                                 Problem Specification
                                 Ben-Gurion University of the Negev - June 23rd to July 5th 2009 - Distinguished Scientist Visitor Program - Beer Sheva, Israel


Tuesday, 30 June 2009
42 /57   Ben-Gurion University of the Negev - June 23rd to July 5th 2009 - Distinguished Scientist Visitor Program - Beer Sheva, Israel


Tuesday, 30 June 2009
Results Study Case 4




                        43 /57   Ben-Gurion University of the Negev - June 23rd to July 5th 2009 - Distinguished Scientist Visitor Program - Beer Sheva, Israel


Tuesday, 30 June 2009
44 /57   Ben-Gurion University of the Negev - June 23rd to July 5th 2009 - Distinguished Scientist Visitor Program - Beer Sheva, Israel


Tuesday, 30 June 2009
45 /57   Ben-Gurion University of the Negev - June 23rd to July 5th 2009 - Distinguished Scientist Visitor Program - Beer Sheva, Israel


Tuesday, 30 June 2009
46 /57   Ben-Gurion University of the Negev - June 23rd to July 5th 2009 - Distinguished Scientist Visitor Program - Beer Sheva, Israel


Tuesday, 30 June 2009
47 /57   Ben-Gurion University of the Negev - June 23rd to July 5th 2009 - Distinguished Scientist Visitor Program - Beer Sheva, Israel


Tuesday, 30 June 2009
48 /57   Ben-Gurion University of the Negev - June 23rd to July 5th 2009 - Distinguished Scientist Visitor Program - Beer Sheva, Israel


Tuesday, 30 June 2009
Target




                        49 /57   Ben-Gurion University of the Negev - June 23rd to July 5th 2009 - Distinguished Scientist Visitor Program - Beer Sheva, Israel


Tuesday, 30 June 2009
Target




                        50 /57   Ben-Gurion University of the Negev - June 23rd to July 5th 2009 - Distinguished Scientist Visitor Program - Beer Sheva, Israel


Tuesday, 30 June 2009
The fact that this algorithm produces alternative models
       for a specific biological signature is very encouraging as
       it could help biologists to design new experiments to
       discriminate among competing hypothesis (models).

         Comparing results by only using the elementary
       modules and by adding newly found modules to the
       library shows the obvious advantage of the incremental
       methodology with modules.

       This points out the great potential to automatically design
       more complex cellular models in the future by using a
       modular approach.


                        51 /57   Ben-Gurion University of the Negev - June 23rd to July 5th 2009 - Distinguished Scientist Visitor Program - Beer Sheva, Israel


Tuesday, 30 June 2009
Outline
   •Brief Introduction to Computational Modeling
   •Modeling for Top Down SB
    •Executable Biology

   •Automated Model Synthesis and Optimisation
   •Conclusions


                        52 /57   Ben-Gurion University of the Negev - June 23rd to July 5th 2009 - Distinguished Scientist Visitor Program - Beer Sheva, Israel


Tuesday, 30 June 2009
Summary & Conclusions
     This talk has focused on an integrative methodology,
      InfoBiotics, for Systems & Synthetic Biology
           Executable Biology
           Parameter and Model Structure Discovery
           Model Checking


     Computational models (or executable in Fisher &
      Henzinger’s jargon) adhere to (a degree) to an operational
      semantics.

     Refer to the excellent review [Fisher & Henzinger, Nature
      Biotechnology, 2007]



                        53 /57   Ben-Gurion University of the Negev - June 23rd to July 5th 2009 - Distinguished Scientist Visitor Program - Beer Sheva, Israel


Tuesday, 30 June 2009
Summary & Conclusions
         Computational models can thus be executed
          (quite a few tools out there, lots still missing)
         Quantitative VS qualitative modelling:
          computational models can be very useful even
          when not every detail about a system is known.
         Missing Parameters/model structures can
          sometimes be fitted with optimisation strategies
          (e.g. COPASI, GAs, etc)
         Computational models can be analysed by
          model checking: thus they can be used for
          testing hypothesis and expanding experimental
          data in a principled way

                        54 /57   Ben-Gurion University of the Negev - June 23rd to July 5th 2009 - Distinguished Scientist Visitor Program - Beer Sheva, Israel


Tuesday, 30 June 2009
Summary & Conclusions
         Synthetising Synthetic Biology Models is more like evolving
          general GP programs and less like fitting regresion or inter/extra-
          polation
         We evolve executable structures
         These are noisy and expensive to execute
         Like in GP programs, executable biology models might achieve
          similar behaviour through different program “structure”
         Prone to bloat
         Like in GP, complex relation between diversity and solution
          quality
         However, diverse solutions of similar fit might lead to interesting
          experimental routes
         Co-desig of models and wetware.
                        55 /57   Ben-Gurion University of the Negev - June 23rd to July 5th 2009 - Distinguished Scientist Visitor Program - Beer Sheva, Israel


Tuesday, 30 June 2009
Acknowledgements
    Members of my team working on SB2
                                                                                                                                              EP/E017215/1
       Jonathan Blake                 Integrated Environment
                                                                                                                                              EP/D021847/1

       Hongqing Cao                  Machine Learning & Optimisation                                                                BB/F01855X/1
                                                                                                                                     BB/D019613/1
       Francisco Romero-Campero                       Modeling & Model Checking


                                        Dissipative Particle Dynamics                  My colleagues in the Centre for
       James Smaldon
                                                                                       Biomolecular Sciences and the
                                                                                       Centre for Plant Integrative Biology
       Jamie Twycross                  Stochastic Simulations                         at Nottingham
                                       Thanks also go to:

                                              Ben Gurion University of the Negev’s
                                              Distinguished Scientists Visitor Program

                                              Professor Dr. Moshe Sipper
                        56 /57   Ben-Gurion University of the Negev - June 23rd to July 5th 2009 - Distinguished Scientist Visitor Program - Beer Sheva, Israel


Tuesday, 30 June 2009
Any Questions?

• www.infobiotic.org

• www.synbiont.org                                   Become a member and have access to $$$ for
                                                     engaging in SB research. Contact me if interested




                        57 /57   Ben-Gurion University of the Negev - June 23rd to July 5th 2009 - Distinguished Scientist Visitor Program - Beer Sheva, Israel


Tuesday, 30 June 2009

Building Executable Biology Models for Synthetic Biology

  • 1.
    Building Executable BiologyModels for Synthetic Biology Natalio Krasnogor ASAP - Interdisciplinary Optimisation Laboratory School of Computer Science Centre for Integrative Systems Biology School of Biology Centre for Healthcare Associated Infections Institute of Infection, Immunity & Inflammation University of Nottingham 1 /57 Ben-Gurion University of the Negev - June 23rd to July 5th 2009 - Distinguished Scientist Visitor Program - Beer Sheva, Israel Tuesday, 30 June 2009
  • 2.
    Based on F. J. Romero-Campero, J. Twycross, M. Camara, M. Bennett, M. Gheorghe, and N. Krasnogor. Modular assembly of cell systems biology models using p systems. International Journal of Foundations of Computer Science, 2009. F.J. Romero-Camero and N. Krasnogor. An approach to biomodel engineering based on p systems. In Proceedings of Computation In Europe (CIE 2009), 2009 F. Romero-Campero, H.Cao, M. Camara, and N. Krasnogor. Structure and parameter estimation for cell systems biology models. In Maarten Keijzer et.al, editor, Proceedings of the Genetic and Evolutionary Computation Conference (GECCO-2008), pages 331-338. ACM Publisher, 2008. This paper won the Best Paper award at the Bioinformatics track. Analysis of Alternative Fitness Methods for the Evolutionary Synthesis of Cell Systems Biology Models. F. Romero-Campero, H.Cao, M. Camara, and N. Krasnogor. Submitted. 2 /57 Ben-Gurion University of the Negev - June 23rd to July 5th 2009 - Distinguished Scientist Visitor Program - Beer Sheva, Israel Tuesday, 30 June 2009
  • 3.
    Outline •Brief Introduction to Computational Modeling •Modeling for Top Down SB •Executable Biology •Automated Model Synthesis and Optimisation •Conclusions 3 /57 Ben-Gurion University of the Negev - June 23rd to July 5th 2009 - Distinguished Scientist Visitor Program - Beer Sheva, Israel Tuesday, 30 June 2009
  • 4.
    Synthetic Biology • Aims at designing, constructing and developing artificial biological systems •Offers new routes to ‘genetically modified’ organisms, synthetic living entities, smart drugs and hybrid computational-biological devices. • Potentially enormous societal impact, e.g., healthcare, environmental protection and remediation, etc • Synthetic Biology's basic assumption: • Methods commonly used to build non-biological systems could also be use to specify, design, implement, verify, test, deploy and maintain novel synthetic biosystems. • These method come from computer science, engineering and maths. • Modelling and optimisation run through all of the above. 4 /57 Ben-Gurion University of the Negev - June 23rd to July 5th 2009 - Distinguished Scientist Visitor Program - Beer Sheva, Israel Tuesday, 30 June 2009
  • 5.
    Models and Reality •The use of models is intrinsic to any scientific activity. •Models are abstractions of the real-world that highlight some key features while ignoring others that are assumed to be not relevant. •A model should not be seen or presented as representations of the truth, but instead 5 /57 Ben-Gurion University of the Negev - June 23rd to July 5th 2009 - Distinguished Scientist Visitor Program - Beer Sheva, Israel Tuesday, 30 June 2009
  • 6.
    The goals ofModelling •To capture the essential features of a biological entity/phenomenon •To disambiguate the understanding behind those features and their interactions •To move from qualitative knowledge towards quantitative knowledge 6 /57 Ben-Gurion University of the Negev - June 23rd to July 5th 2009 - Distinguished Scientist Visitor Program - Beer Sheva, Israel Tuesday, 30 June 2009
  • 7.
     Modeling relieson rigorous computational, engineering and mathematical tools & techniques  However, the act of modeling remains at the interface between art and science  Undoubtedly, a multidisciplinary endeavour 7 /57 Ben-Gurion University of the Negev - June 23rd to July 5th 2009 - Distinguished Scientist Visitor Program - Beer Sheva, Israel Tuesday, 30 June 2009
  • 8.
    Modelling Approaches There exist many modelling approaches, each with its advantages and disadvantages. Macroscopic, Microscopic and Mesoscopic Quantitative and qualitative Discrete and Continuous Deterministic and Stochastic Top-down or Bottom-up 8 /57 Ben-Gurion University of the Negev - June 23rd to July 5th 2009 - Distinguished Scientist Visitor Program - Beer Sheva, Israel Tuesday, 30 June 2009
  • 9.
    Tools Suitability andCost  From [D.E Goldberg, 2002] (adapted): “Since science and math are in the description business, the model is the thing…The engineer or inventor has much different motives. The engineered object is the thing” ε, error Synthetic Biologist Computer Scientist/Mathematician C, cost of modelling 9 /57 Ben-Gurion University of the Negev - June 23rd to July 5th 2009 - Distinguished Scientist Visitor Program - Beer Sheva, Israel Tuesday, 30 June 2009
  • 10.
    Modelling Frameworks •Denotational Semantics Models: Set of equations showing relationships between molecular quantities and how they change over time. They are approximated numerically. (I.e. Ordinary Differential Equations, PDEs, etc) •Operational Semantics Models: Algorithm (list of instructions) executable by an abstract machine whose computation resembles the behaviour of the system under study. (i.e. Finite State Machine) Jasmin Fisher and Thomas Henzinger. Executable cell biology. Nature Biotechnology, 25, 11, 1239-1249 (2008) 10 /57 Ben-Gurion University of the Negev - June 23rd to July 5th 2009 - Distinguished Scientist Visitor Program - Beer Sheva, Israel Tuesday, 30 June 2009
  • 11.
    The Scale SeparationMap • With sufficient data each process can be assigned its space-time region unambiguously Couplings, e.g. F • A given process may well have its Δx (respectively Δt) > than another’s ξA (respectively τA) Spatial scale (log) • Hence different processes in the SSM might require different modelling techniques Temporal scale (log) 11 /57 Ben-Gurion University of the Negev - June 23rd to July 5th 2009 - Distinguished Scientist Visitor Program - Beer Sheva, Israel Tuesday, 30 June 2009
  • 12.
    Even within asingle cell the space & time scale separations are important E.g.: • Within a cell the dissociation constants of DNA/ transcription factor binding to specific/non- specific sites differ by 4-6 orders of magnitude • DNA protein binding occurs at 1-10s time scale very fast in comparison to a cell’s life cycle. [F.J. Romero Campero, 2007] 12 /57 Ben-Gurion University of the Negev - June 23rd to July 5th 2009 - Distinguished Scientist Visitor Program - Beer Sheva, Israel Tuesday, 30 June 2009
  • 13.
    Stochasticity in CellularSystems  Most commonly recognised sources of noise in cellular system are low number of molecules and slow molecular interactions.  Over 80% of genes in E. coli express fewer than a hundred proteins per cell.  Mesoscopic, discrete and stochastic approaches are more suitable:  Only relevant molecules are taken into account.  Focus on the statistics of the molecular interactions and how often they take place. Mads Karn et al. Stochasticity in Gene Expression: From Theories to Phenotypes. Nature Reviews, 6, 451-464 (2005) Purnananda Guptasarma. Does replication-induced transcription regulate synthesis of the myriad low copy number poteins of E. Coli. BioEssays, 17, 11, 987-997 13 /57 Ben-Gurion University of the Negev - June 23rd to July 5th 2009 - Distinguished Scientist Visitor Program - Beer Sheva, Israel Tuesday, 30 June 2009
  • 14.
    It thus makes sense to use methodologies designed to cope with complex, concurrent, interactive systems of parts as found in computer sciences (e.g.):  Petri Nets  Process Calculi  P-Systems 14 /57 Ben-Gurion University of the Negev - June 23rd to July 5th 2009 - Distinguished Scientist Visitor Program - Beer Sheva, Israel Tuesday, 30 June 2009
  • 15.
    InfoBiotics www.infobiotic.net •The utilisation of cutting-edge information processing techniques for biological modelling and synthesis •The understanding of life itself as multi-scale (Spatial/Temporal) information processing systems •Composed of 3 key components: •Executable Biology (or other modeling techniques) •Automated Model and Parameter Estimation •Model Checking (and other formal analysis) 15 /57 Ben-Gurion University of the Negev - June 23rd to July 5th 2009 - Distinguished Scientist Visitor Program - Beer Sheva, Israel Tuesday, 30 June 2009
  • 16.
    Modeling in Systems& Synthetic Biology Systems Biology Synthetic Biology Colonies • Understanding •Control • Integration • Design • Prediction • Engineering • Life as it is •Life as it could be Cells Computational modelling to Computational modelling to elucidate and characterise engineer and evaluate modular patterns exhibiting possible cellular designs robustness, signal filtering, exhibiting a desired amplification, adaption, behaviour by combining well error correction, etc. studied and characterised Networks cellular modules 16 /57 Ben-Gurion University of the Negev - June 23rd to July 5th 2009 - Distinguished Scientist Visitor Program - Beer Sheva, Israel Tuesday, 30 June 2009
  • 17.
    Model Development  From [E. Klipp et al, Systems Biology in Practice, 2005] 1. Formulation of the problem 2. Verification of available information 3. Selection of model structure 4. Establishing a simple model 5. Sensitivity analysis 6. Experimental tests of the model predictions 7. Stating the agreements and divergences between experimental and modelling results 8. Iterative refinement of model 17 /57 Ben-Gurion University of the Negev - June 23rd to July 5th 2009 - Distinguished Scientist Visitor Program - Beer Sheva, Israel Tuesday, 30 June 2009
  • 18.
    Outline •Brief Introduction to Computational Modeling •Modeling for Top Down SB •Executable Biology •Automated Model Synthesis and Optimisation •Conclusions 18 /57 Ben-Gurion University of the Negev - June 23rd to July 5th 2009 - Distinguished Scientist Visitor Program - Beer Sheva, Israel Tuesday, 30 June 2009
  • 19.
    Executable Biology withP systems  Field of membrane computing initiated by Gheorghe Păun in 2000  Inspired by the hierarchical membrane structure of eukaryotic cells  A formal language: precisely defined and machine processable  An executable biology methodology 19 /57 Ben-Gurion University of the Negev - June 23rd to July 5th 2009 - Distinguished Scientist Visitor Program - Beer Sheva, Israel Tuesday, 30 June 2009
  • 20.
    Distributed and parallelrewritting systems in compartmentalised hierarchical structures. Objects Compartments Rewriting Rules • Computational universality and efficiency. • Modelling Framework 20 /57 Ben-Gurion University of the Negev - June 23rd to July 5th 2009 - Distinguished Scientist Visitor Program - Beer Sheva, Israel Tuesday, 30 June 2009
  • 21.
    Stochastic P Systems 21 /57 Ben-Gurion University of the Negev - June 23rd to July 5th 2009 - Distinguished Scientist Visitor Program - Beer Sheva, Israel Tuesday, 30 June 2009
  • 22.
    Rewriting Rules used by Multi-volume Gillespie’s algorithm 22 /57 Ben-Gurion University of the Negev - June 23rd to July 5th 2009 - Distinguished Scientist Visitor Program - Beer Sheva, Israel Tuesday, 30 June 2009
  • 23.
    Molecular Interactions Inside Compartments 23 /57 Ben-Gurion University of the Negev - June 23rd to July 5th 2009 - Distinguished Scientist Visitor Program - Beer Sheva, Israel Tuesday, 30 June 2009
  • 24.
    Passive Diffusion ofMolecules 24 /57 Ben-Gurion University of the Negev - June 23rd to July 5th 2009 - Distinguished Scientist Visitor Program - Beer Sheva, Israel Tuesday, 30 June 2009
  • 25.
    Signal Sensing and Active Transport 25 /57 Ben-Gurion University of the Negev - June 23rd to July 5th 2009 - Distinguished Scientist Visitor Program - Beer Sheva, Israel Tuesday, 30 June 2009
  • 26.
    Specification of Transcriptional Regulatory Networks 26 /57 Ben-Gurion University of the Negev - June 23rd to July 5th 2009 - Distinguished Scientist Visitor Program - Beer Sheva, Israel Tuesday, 30 June 2009
  • 27.
    Scalability through Modularity 27 /57 Ben-Gurion University of the Negev - June 23rd to July 5th 2009 - Distinguished Scientist Visitor Program - Beer Sheva, Israel Tuesday, 30 June 2009
  • 28.
    Modularity in GeneRegulatory Networks  According to E. Davidson functional cis-regulatory modules are nonrandom clusters of target binding sites for transcription factors regulating the same gene or operon.  A library of modules corresponding to promoters of well studied genes. The activity of these promoters have been modelled mechanistically in terms of rewriting rules representing TF binding and debinding and transcription initiation. E. Davidson, The Regulatory Genome, Gene Regulatory Networks in Development and Evolution, Elsevier. 28 /57 Ben-Gurion University of the Negev - June 23rd to July 5th 2009 - Distinguished Scientist Visitor Program - Beer Sheva, Israel Tuesday, 30 June 2009
  • 29.
    Modelling Individual Cells  An individual cell is represented as a P system, a set of compartments where specific objects describing molecular species are placed.  The gene regulatory networks in each cell are represented as a collection of modules and rewriting rules. 29 /57 Ben-Gurion University of the Negev - June 23rd to July 5th 2009 - Distinguished Scientist Visitor Program - Beer Sheva, Israel Tuesday, 30 June 2009
  • 30.
    Using P systems modules one can model a large variety of commonly occurring BRN:  Gene Regulatory Networks  Signaling Networks  Metabolic Networks  This can be done in an incremental way. F. J. Romero-Campero, J. Twycross, M. Camara, M. Bennett, M. Gheorghe, and N. Krasnogor. Modular assembly of cell systems biology models using p systems. International Journal of Foundations of Computer Science, 2009 30 /57 Ben-Gurion University of the Negev - June 23rd to July 5th 2009 - Distinguished Scientist Visitor Program - Beer Sheva, Israel Tuesday, 30 June 2009
  • 31.
    InfoBiotics Pipeline 31 /57 Ben-Gurion University of the Negev - June 23rd to July 5th 2009 - Distinguished Scientist Visitor Program - Beer Sheva, Israel Tuesday, 30 June 2009
  • 32.
    Quick Demo  Simulator-results-rescaled.html  Cie-model22-rescaled.html 32 /57 Ben-Gurion University of the Negev - June 23rd to July 5th 2009 - Distinguished Scientist Visitor Program - Beer Sheva, Israel Tuesday, 30 June 2009
  • 33.
    Outline •Brief Introduction to Computational Modeling •Modeling for Top Down SB •Executable Biology •Automated Model Synthesis and Optimisation •Conclusions 33 /57 Ben-Gurion University of the Negev - June 23rd to July 5th 2009 - Distinguished Scientist Visitor Program - Beer Sheva, Israel Tuesday, 30 June 2009
  • 34.
    Automated Model Synthesisand Optimisation  Modeling is an intrinsically difficult process  It involves “feature selection” and disambiguation  Model Synthesis requires  design the topology or structure of the system in terms of molecular interactions  estimate the kinetic parameters associated with each molecular interaction  All the above iterated 34 /57 Ben-Gurion University of the Negev - June 23rd to July 5th 2009 - Distinguished Scientist Visitor Program - Beer Sheva, Israel Tuesday, 30 June 2009
  • 35.
    Large Literature onModel Synthesis • Mason et al. use a random Local Search (LS) as the mutation to evolve electronic networks with desired dynamics • Chickarmane et al. use a standard GA to optimize the kinetic parameters of a population of ODE-based reaction networks having the desired topology. • Spieth et al. propose a Memetic Algorithm to find gene regulatory networks from experimental DNA microarray data where the network structure is optimized with a GA and the parameters are optimized with an Evolution Strategy (ES). • Jaramillo et al. use Simulated Annealing as the main search strategy for model inference based on (O)DEs 35 /57 Ben-Gurion University of the Negev - June 23rd to July 5th 2009 - Distinguished Scientist Visitor Program - Beer Sheva, Israel Tuesday, 30 June 2009
  • 36.
    Evolutionary Algorithms forAutomated Model Synthesis and Optimisation EA are potentially very useful for AMSO  There’s a substantial amount of work on:  using GP-like systems to evolve executable structures  using EAs for continuous/discrete optimisation  An EA population represents alternative models (could lead to different experimental setups)  EAs have the potential to capture, rather than avoid, evolvability of models 36 /57 Ben-Gurion University of the Negev - June 23rd to July 5th 2009 - Distinguished Scientist Visitor Program - Beer Sheva, Israel Tuesday, 30 June 2009
  • 37.
    Nested EA forModel Synthesis F. Romero-Campero, H.Cao, M. Camara, and N. Krasnogor. Structure and parameter estimation for cell systems biology models. Proceedings of the Genetic and Evolutionary Computation Conference (GECCO-2008), pages 331-338. ACM Publisher, 2008. Best Paper award at the Bioinformatics track. 37 /57 Ben-Gurion University of the Negev - June 23rd to July 5th 2009 - Distinguished Scientist Visitor Program - Beer Sheva, Israel Tuesday, 30 June 2009
  • 38.
    Fitness Evaluation 38 /57 Ben-Gurion University of the Negev - June 23rd to July 5th 2009 - Distinguished Scientist Visitor Program - Beer Sheva, Israel Tuesday, 30 June 2009
  • 39.
    The Objective (Fitness) Function • Multiple time-series per target • Different time series have very different profiles, e.g., maxima occur at different times/places • Transient states (sometimes) as important as steady states •RMSE might mislead search H. Cao, F. Romero-Campero, M.Camara, N.Krasnogor. Analysis of Alternative Fitness Methods for the Evolutionary Synthesis of Cell Systems Biology Models. Submitted (2009) 39 /57 Ben-Gurion University of the Negev - June 23rd to July 5th 2009 - Distinguished Scientist Visitor Program - Beer Sheva, Israel Tuesday, 30 June 2009
  • 40.
    A Few Examples 40 /57 Ben-Gurion University of the Negev - June 23rd to July 5th 2009 - Distinguished Scientist Visitor Program - Beer Sheva, Israel Tuesday, 30 June 2009
  • 41.
    41 /57 Problem Specification Ben-Gurion University of the Negev - June 23rd to July 5th 2009 - Distinguished Scientist Visitor Program - Beer Sheva, Israel Tuesday, 30 June 2009
  • 42.
    42 /57 Ben-Gurion University of the Negev - June 23rd to July 5th 2009 - Distinguished Scientist Visitor Program - Beer Sheva, Israel Tuesday, 30 June 2009
  • 43.
    Results Study Case4 43 /57 Ben-Gurion University of the Negev - June 23rd to July 5th 2009 - Distinguished Scientist Visitor Program - Beer Sheva, Israel Tuesday, 30 June 2009
  • 44.
    44 /57 Ben-Gurion University of the Negev - June 23rd to July 5th 2009 - Distinguished Scientist Visitor Program - Beer Sheva, Israel Tuesday, 30 June 2009
  • 45.
    45 /57 Ben-Gurion University of the Negev - June 23rd to July 5th 2009 - Distinguished Scientist Visitor Program - Beer Sheva, Israel Tuesday, 30 June 2009
  • 46.
    46 /57 Ben-Gurion University of the Negev - June 23rd to July 5th 2009 - Distinguished Scientist Visitor Program - Beer Sheva, Israel Tuesday, 30 June 2009
  • 47.
    47 /57 Ben-Gurion University of the Negev - June 23rd to July 5th 2009 - Distinguished Scientist Visitor Program - Beer Sheva, Israel Tuesday, 30 June 2009
  • 48.
    48 /57 Ben-Gurion University of the Negev - June 23rd to July 5th 2009 - Distinguished Scientist Visitor Program - Beer Sheva, Israel Tuesday, 30 June 2009
  • 49.
    Target 49 /57 Ben-Gurion University of the Negev - June 23rd to July 5th 2009 - Distinguished Scientist Visitor Program - Beer Sheva, Israel Tuesday, 30 June 2009
  • 50.
    Target 50 /57 Ben-Gurion University of the Negev - June 23rd to July 5th 2009 - Distinguished Scientist Visitor Program - Beer Sheva, Israel Tuesday, 30 June 2009
  • 51.
    The fact thatthis algorithm produces alternative models for a specific biological signature is very encouraging as it could help biologists to design new experiments to discriminate among competing hypothesis (models). Comparing results by only using the elementary modules and by adding newly found modules to the library shows the obvious advantage of the incremental methodology with modules. This points out the great potential to automatically design more complex cellular models in the future by using a modular approach. 51 /57 Ben-Gurion University of the Negev - June 23rd to July 5th 2009 - Distinguished Scientist Visitor Program - Beer Sheva, Israel Tuesday, 30 June 2009
  • 52.
    Outline •Brief Introduction to Computational Modeling •Modeling for Top Down SB •Executable Biology •Automated Model Synthesis and Optimisation •Conclusions 52 /57 Ben-Gurion University of the Negev - June 23rd to July 5th 2009 - Distinguished Scientist Visitor Program - Beer Sheva, Israel Tuesday, 30 June 2009
  • 53.
    Summary & Conclusions  This talk has focused on an integrative methodology, InfoBiotics, for Systems & Synthetic Biology  Executable Biology  Parameter and Model Structure Discovery  Model Checking  Computational models (or executable in Fisher & Henzinger’s jargon) adhere to (a degree) to an operational semantics.  Refer to the excellent review [Fisher & Henzinger, Nature Biotechnology, 2007] 53 /57 Ben-Gurion University of the Negev - June 23rd to July 5th 2009 - Distinguished Scientist Visitor Program - Beer Sheva, Israel Tuesday, 30 June 2009
  • 54.
    Summary & Conclusions  Computational models can thus be executed (quite a few tools out there, lots still missing)  Quantitative VS qualitative modelling: computational models can be very useful even when not every detail about a system is known.  Missing Parameters/model structures can sometimes be fitted with optimisation strategies (e.g. COPASI, GAs, etc)  Computational models can be analysed by model checking: thus they can be used for testing hypothesis and expanding experimental data in a principled way 54 /57 Ben-Gurion University of the Negev - June 23rd to July 5th 2009 - Distinguished Scientist Visitor Program - Beer Sheva, Israel Tuesday, 30 June 2009
  • 55.
    Summary & Conclusions  Synthetising Synthetic Biology Models is more like evolving general GP programs and less like fitting regresion or inter/extra- polation  We evolve executable structures  These are noisy and expensive to execute  Like in GP programs, executable biology models might achieve similar behaviour through different program “structure”  Prone to bloat  Like in GP, complex relation between diversity and solution quality  However, diverse solutions of similar fit might lead to interesting experimental routes  Co-desig of models and wetware. 55 /57 Ben-Gurion University of the Negev - June 23rd to July 5th 2009 - Distinguished Scientist Visitor Program - Beer Sheva, Israel Tuesday, 30 June 2009
  • 56.
    Acknowledgements Members of my team working on SB2 EP/E017215/1  Jonathan Blake Integrated Environment EP/D021847/1  Hongqing Cao Machine Learning & Optimisation BB/F01855X/1 BB/D019613/1  Francisco Romero-Campero Modeling & Model Checking Dissipative Particle Dynamics My colleagues in the Centre for  James Smaldon Biomolecular Sciences and the Centre for Plant Integrative Biology  Jamie Twycross Stochastic Simulations at Nottingham Thanks also go to: Ben Gurion University of the Negev’s Distinguished Scientists Visitor Program Professor Dr. Moshe Sipper 56 /57 Ben-Gurion University of the Negev - June 23rd to July 5th 2009 - Distinguished Scientist Visitor Program - Beer Sheva, Israel Tuesday, 30 June 2009
  • 57.
    Any Questions? • www.infobiotic.org •www.synbiont.org Become a member and have access to $$$ for engaging in SB research. Contact me if interested 57 /57 Ben-Gurion University of the Negev - June 23rd to July 5th 2009 - Distinguished Scientist Visitor Program - Beer Sheva, Israel Tuesday, 30 June 2009