𝒑𝒈 𝟐𝟔𝟐
𝑐𝑜𝑠 (𝑎 + 𝑏) + 𝑐𝑜𝑠 (𝑎 − 𝑏) = 2 𝑐𝑜𝑠 𝑎 𝑐𝑜𝑠 𝑏
𝒑𝒈 𝟐𝟔𝟑
𝒑𝒈 𝟐𝟔𝟒
1
4 0
1
2
𝟑
16
𝟑
𝟑
=
𝟑
𝟑
=
𝑠𝑖𝑛 10 ° 𝑠𝑖𝑛 50 ° 𝑠𝑖𝑛 70 °
𝑐𝑜𝑠 10 ° 𝑐𝑜𝑠 50 ° 𝑐𝑜𝑠 70 °
=
𝑐𝑜𝑠 10 °
𝑐𝑜𝑠 10 °
×
𝑠𝑖𝑛 10 ° 𝑠𝑖𝑛 50 ° 𝑠𝑖𝑛 70 °
𝑐𝑜𝑠 10 ° 𝑐𝑜𝑠 50 ° 𝑐𝑜𝑠 70 °
=
1
2
𝑠𝑖𝑛 20 ° 𝑐𝑜𝑠 20 ° 𝑠𝑖𝑛 50 °
1
2
𝑐𝑜𝑠 10 ° (𝑐𝑜𝑠 40 ° + 𝑐𝑜𝑠 60 °) 𝑐𝑜𝑠 70°
=
1
4
𝑠𝑖𝑛 40 ° 𝑠𝑖𝑛 50 °
1
2
𝑐𝑜𝑠 10 ° (𝑐𝑜𝑠 40 ° 𝑐𝑜𝑠 70 ° +
1
2
𝑐𝑜𝑠 70 °)
=
1
8
𝑐𝑜𝑠 10 ° − 𝑐𝑜𝑠 90 °
1
4
𝑐𝑜𝑠 10° 𝑐𝑜𝑠 30° + 𝑐𝑜𝑠 110° + 𝑐𝑜𝑠 70 °
=
1
2
3
2
− 𝑐𝑜𝑠 70° + 𝑐𝑜𝑠 70 °
𝒑𝒈 𝟐𝟔𝟑
𝒑𝒈 𝟐𝟔𝟒
𝑠𝑖𝑛 4𝜃 + 𝑠𝑖𝑛 2𝜃 𝑠𝑖𝑛 9𝜃 − 𝑠𝑖𝑛 3𝜃
− 𝑐𝑜𝑠 12𝜃 + 𝑐𝑜𝑠 6𝜃
−
1
2
(𝑐𝑜𝑠 4 ∝ − 𝑐𝑜𝑠 2 ∝)
1
2
(𝑠𝑖𝑛 120 ° − 𝑠𝑖𝑛 2 ∝)
𝒑𝒈 𝟐𝟔𝟑
𝒑𝒈 𝟐𝟔𝟑
𝒑𝒈 𝟐𝟔𝟓
𝒑𝒈 𝟐𝟔𝟓
𝑠𝑖𝑛 20 ° 𝑠𝑖𝑛 40 ° 𝑠𝑖𝑛 80 °
=
1
2
𝑐𝑜𝑠 20 ° − 𝑐𝑜𝑠 60 ° 𝑠𝑖𝑛 80 °
=
1
2
𝑐𝑜𝑠 20 ° −
1
2
𝑠𝑖𝑛 80 °
=
1
4
2 𝑐𝑜𝑠 20 ° − 1 𝑠𝑖𝑛 80 °
=
1
4
2 𝑐𝑜𝑠 20 ° 𝑠𝑖𝑛 80 ° − 𝑠𝑖𝑛 80 °
=
1
4
𝑠𝑖𝑛 100 ° − 𝑠𝑖𝑛 60 ° − 𝑠𝑖𝑛 80 °
=
1
4
𝑠𝑖𝑛 80 ° −
3
2
− 𝑠𝑖𝑛 80 °
=
1
8
3
𝑐𝑜𝑠 4𝑥 𝑐𝑜𝑠 2𝑥 − 𝑐𝑜𝑠2
3𝑥
=
1
2
𝑐𝑜𝑠 2𝑥 + 𝑐𝑜𝑠 6𝑥 − 𝑐𝑜𝑠2 3𝑥
=
1
2
1 − 2𝑠𝑖𝑛 2
𝑥 + 2 𝑐𝑜𝑠2
3𝑥 − 1 − 𝑐𝑜𝑠2
3𝑥
= − 𝑠𝑖𝑛 2
𝑥
𝒑𝒈 𝟐𝟔𝟓
4 𝑐𝑜𝑠 𝐴 𝑐𝑜𝑠 (60° + 𝐴) 𝑐𝑜𝑠 (60° − 𝐴)
= 2 𝑐𝑜𝑠 𝐴 (𝑐𝑜𝑠 2𝐴 + 𝑐𝑜𝑠 120 °)
= 2 𝑐𝑜𝑠 𝐴 (𝑐𝑜𝑠 2𝐴 − 𝑐𝑜𝑠 60 °)
= 2 𝑐𝑜𝑠 𝐴 𝑐𝑜𝑠 2𝐴 −
1
2
= 2 𝑐𝑜𝑠 𝐴 𝑐𝑜𝑠 2𝐴 − 𝑐𝑜𝑠 𝐴
= 𝑐𝑜𝑠 𝐴 + 𝑐𝑜𝑠 3𝐴 − 𝑐𝑜𝑠 𝐴
= 𝑐𝑜𝑠 3𝐴
𝒑𝒈 𝟐𝟔𝟓 − 𝟐𝟔𝟔
𝒑𝒈 𝟐𝟔𝟔
𝒑𝒈 𝟐𝟔𝟔 − 𝟐𝟔𝟕
𝒑𝒈 𝟐𝟔𝟗
𝟐 𝒔𝒊𝒏 𝟔𝜽 𝒄𝒐𝒔 𝟐𝜽 − 𝟐 𝒔𝒊𝒏 𝟑𝜶 𝒔𝒊𝒏 𝟐𝜶
𝟐 𝒄𝒐𝒔
𝟏𝟏𝑨
𝟐
𝒄𝒐𝒔
𝟕𝑨
𝟐
𝟐 𝒄𝒐𝒔 𝟔𝜽 𝒔𝒊𝒏 𝜽
𝟐 𝒄𝒐𝒔
𝟒𝟓 ° + 𝜶
𝟐
𝒄𝒐𝒔
𝟒𝟓 ° − 𝜶
𝟐
𝒑𝒈 𝟐𝟔𝟕
𝒑𝒈 𝟐𝟔𝟗
𝟎
− 𝟑
𝟏
𝟐
−
𝟑
𝟑
𝒑𝒈 𝟐𝟔𝟕
𝒑𝒈 𝟐𝟔𝟕
𝒑𝒈 𝟐𝟕𝟎
𝒑𝒈 𝟐𝟕𝟎
𝒑𝒈 𝟐𝟕𝟎
𝑐𝑜𝑠2𝐴 + 𝑐𝑜𝑠2 (60 °−) + 𝑐𝑜𝑠2 (60 ° + 𝐴)
= 𝑐𝑜𝑠2
𝐴 +
1
2
𝑐𝑜𝑠 120 ° − 2𝐴 + 1 +
1
2
𝑐𝑜𝑠 120 ° + 2𝐴 + 1
𝑐𝑜𝑠2
𝐴 =
𝑐𝑜𝑠 2𝐴 + 1
2
= 𝑐𝑜𝑠2
𝐴 + 1 +
1
2
𝑐𝑜𝑠 120 ° − 2𝐴 + 𝑐𝑜𝑠 120 ° + 2𝐴
= 𝑐𝑜𝑠2𝐴 + 1 + 𝑐𝑜𝑠 120 ° 𝑐𝑜𝑠 2𝐴
= 𝑐𝑜𝑠2
𝐴 + 1 −
1
2
(2𝑐𝑜𝑠2
𝐴 − 1)
= 𝑐𝑜𝑠2
𝐴 + 1 − 𝑐𝑜𝑠2
𝐴 +
1
2
=
3
2
𝒑𝒈 𝟐𝟔𝟖
𝐴 + 𝐵 + 𝐶 = 180
𝐴 + 𝐵
2
= 90 −
𝐶
2
𝑠𝑖𝑛
𝐴 + 𝐵
2
= 𝑠𝑖𝑛 90 −
𝐶
2
= 𝑐𝑜𝑠
𝐶
2
𝒑𝒈 𝟐𝟔𝟖 − 𝟐𝟔𝟗
𝐴 + 𝐵 + 𝐶 = 180
𝐴 + 𝐵
2
= 90 −
𝐶
2
𝑐𝑜𝑠
𝐴 + 𝐵
2
= 𝑐𝑜𝑠 90 −
𝐶
2
= 𝑠𝑖𝑛
𝐶
2
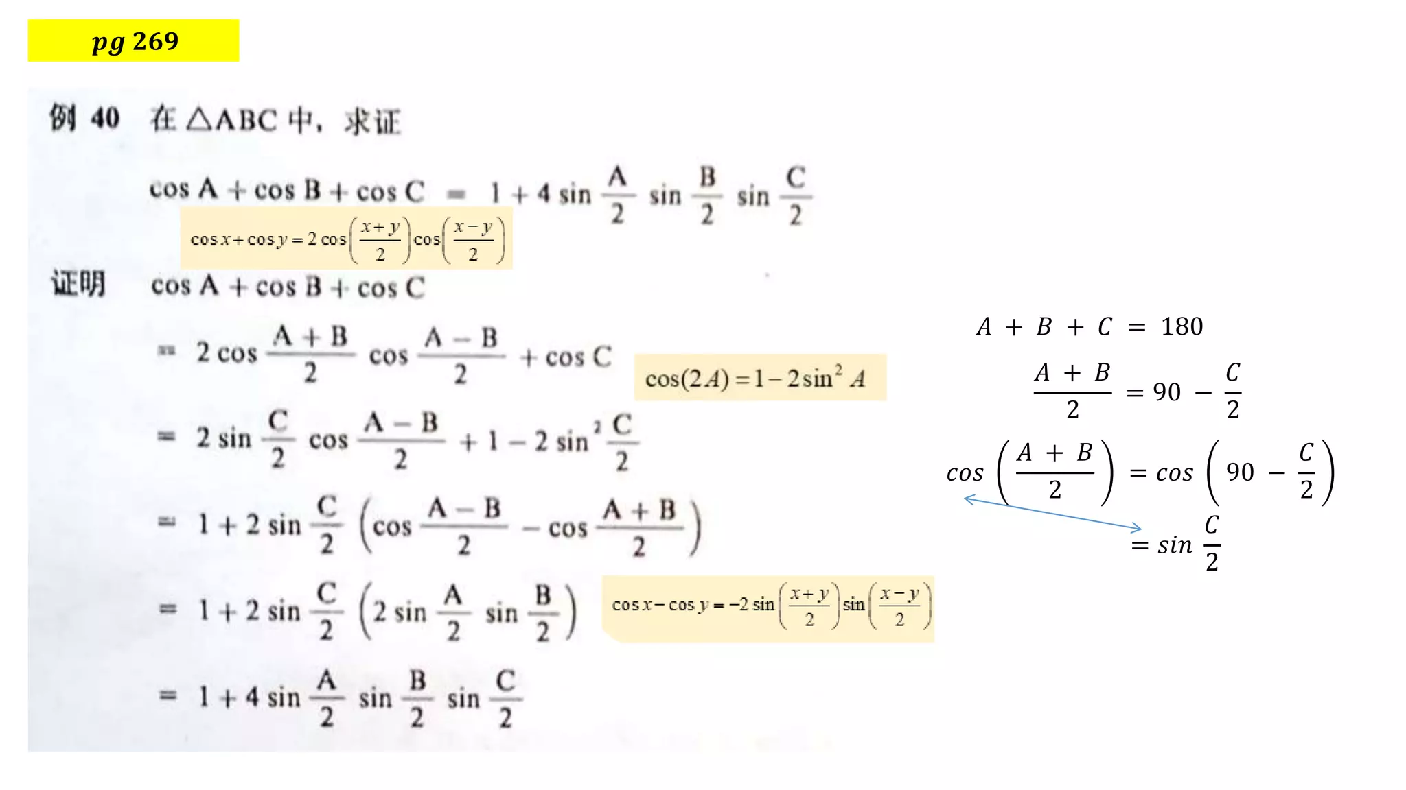
𝒑𝒈 𝟐𝟔𝟗
𝐴 + 𝐵 + 𝐶 = 180
𝐴 + 𝐵
2
= 90 −
𝐶
2
𝑐𝑜𝑠
𝐴 + 𝐵
2
= 𝑐𝑜𝑠 90 −
𝐶
2
= 𝑠𝑖𝑛
𝐶
2
𝒑𝒈 𝟐𝟕𝟎

SUEC 高中 Adv Maths (Product-Sum Indentities)

  • 1.
    𝒑𝒈 𝟐𝟔𝟐 𝑐𝑜𝑠 (𝑎+ 𝑏) + 𝑐𝑜𝑠 (𝑎 − 𝑏) = 2 𝑐𝑜𝑠 𝑎 𝑐𝑜𝑠 𝑏
  • 2.
  • 3.
  • 4.
    = 𝟑 𝟑 = 𝑠𝑖𝑛 10 °𝑠𝑖𝑛 50 ° 𝑠𝑖𝑛 70 ° 𝑐𝑜𝑠 10 ° 𝑐𝑜𝑠 50 ° 𝑐𝑜𝑠 70 ° = 𝑐𝑜𝑠 10 ° 𝑐𝑜𝑠 10 ° × 𝑠𝑖𝑛 10 ° 𝑠𝑖𝑛 50 ° 𝑠𝑖𝑛 70 ° 𝑐𝑜𝑠 10 ° 𝑐𝑜𝑠 50 ° 𝑐𝑜𝑠 70 ° = 1 2 𝑠𝑖𝑛 20 ° 𝑐𝑜𝑠 20 ° 𝑠𝑖𝑛 50 ° 1 2 𝑐𝑜𝑠 10 ° (𝑐𝑜𝑠 40 ° + 𝑐𝑜𝑠 60 °) 𝑐𝑜𝑠 70° = 1 4 𝑠𝑖𝑛 40 ° 𝑠𝑖𝑛 50 ° 1 2 𝑐𝑜𝑠 10 ° (𝑐𝑜𝑠 40 ° 𝑐𝑜𝑠 70 ° + 1 2 𝑐𝑜𝑠 70 °) = 1 8 𝑐𝑜𝑠 10 ° − 𝑐𝑜𝑠 90 ° 1 4 𝑐𝑜𝑠 10° 𝑐𝑜𝑠 30° + 𝑐𝑜𝑠 110° + 𝑐𝑜𝑠 70 ° = 1 2 3 2 − 𝑐𝑜𝑠 70° + 𝑐𝑜𝑠 70 °
  • 5.
  • 6.
    𝒑𝒈 𝟐𝟔𝟒 𝑠𝑖𝑛 4𝜃+ 𝑠𝑖𝑛 2𝜃 𝑠𝑖𝑛 9𝜃 − 𝑠𝑖𝑛 3𝜃 − 𝑐𝑜𝑠 12𝜃 + 𝑐𝑜𝑠 6𝜃 − 1 2 (𝑐𝑜𝑠 4 ∝ − 𝑐𝑜𝑠 2 ∝) 1 2 (𝑠𝑖𝑛 120 ° − 𝑠𝑖𝑛 2 ∝)
  • 7.
  • 8.
  • 9.
  • 10.
    𝒑𝒈 𝟐𝟔𝟓 𝑠𝑖𝑛 20° 𝑠𝑖𝑛 40 ° 𝑠𝑖𝑛 80 ° = 1 2 𝑐𝑜𝑠 20 ° − 𝑐𝑜𝑠 60 ° 𝑠𝑖𝑛 80 ° = 1 2 𝑐𝑜𝑠 20 ° − 1 2 𝑠𝑖𝑛 80 ° = 1 4 2 𝑐𝑜𝑠 20 ° − 1 𝑠𝑖𝑛 80 ° = 1 4 2 𝑐𝑜𝑠 20 ° 𝑠𝑖𝑛 80 ° − 𝑠𝑖𝑛 80 ° = 1 4 𝑠𝑖𝑛 100 ° − 𝑠𝑖𝑛 60 ° − 𝑠𝑖𝑛 80 ° = 1 4 𝑠𝑖𝑛 80 ° − 3 2 − 𝑠𝑖𝑛 80 ° = 1 8 3 𝑐𝑜𝑠 4𝑥 𝑐𝑜𝑠 2𝑥 − 𝑐𝑜𝑠2 3𝑥 = 1 2 𝑐𝑜𝑠 2𝑥 + 𝑐𝑜𝑠 6𝑥 − 𝑐𝑜𝑠2 3𝑥 = 1 2 1 − 2𝑠𝑖𝑛 2 𝑥 + 2 𝑐𝑜𝑠2 3𝑥 − 1 − 𝑐𝑜𝑠2 3𝑥 = − 𝑠𝑖𝑛 2 𝑥
  • 11.
    𝒑𝒈 𝟐𝟔𝟓 4 𝑐𝑜𝑠𝐴 𝑐𝑜𝑠 (60° + 𝐴) 𝑐𝑜𝑠 (60° − 𝐴) = 2 𝑐𝑜𝑠 𝐴 (𝑐𝑜𝑠 2𝐴 + 𝑐𝑜𝑠 120 °) = 2 𝑐𝑜𝑠 𝐴 (𝑐𝑜𝑠 2𝐴 − 𝑐𝑜𝑠 60 °) = 2 𝑐𝑜𝑠 𝐴 𝑐𝑜𝑠 2𝐴 − 1 2 = 2 𝑐𝑜𝑠 𝐴 𝑐𝑜𝑠 2𝐴 − 𝑐𝑜𝑠 𝐴 = 𝑐𝑜𝑠 𝐴 + 𝑐𝑜𝑠 3𝐴 − 𝑐𝑜𝑠 𝐴 = 𝑐𝑜𝑠 3𝐴
  • 12.
  • 13.
  • 14.
  • 15.
    𝒑𝒈 𝟐𝟔𝟗 𝟐 𝒔𝒊𝒏𝟔𝜽 𝒄𝒐𝒔 𝟐𝜽 − 𝟐 𝒔𝒊𝒏 𝟑𝜶 𝒔𝒊𝒏 𝟐𝜶 𝟐 𝒄𝒐𝒔 𝟏𝟏𝑨 𝟐 𝒄𝒐𝒔 𝟕𝑨 𝟐 𝟐 𝒄𝒐𝒔 𝟔𝜽 𝒔𝒊𝒏 𝜽 𝟐 𝒄𝒐𝒔 𝟒𝟓 ° + 𝜶 𝟐 𝒄𝒐𝒔 𝟒𝟓 ° − 𝜶 𝟐
  • 16.
  • 17.
  • 18.
  • 19.
  • 20.
  • 21.
  • 22.
    𝒑𝒈 𝟐𝟕𝟎 𝑐𝑜𝑠2𝐴 +𝑐𝑜𝑠2 (60 °−) + 𝑐𝑜𝑠2 (60 ° + 𝐴) = 𝑐𝑜𝑠2 𝐴 + 1 2 𝑐𝑜𝑠 120 ° − 2𝐴 + 1 + 1 2 𝑐𝑜𝑠 120 ° + 2𝐴 + 1 𝑐𝑜𝑠2 𝐴 = 𝑐𝑜𝑠 2𝐴 + 1 2 = 𝑐𝑜𝑠2 𝐴 + 1 + 1 2 𝑐𝑜𝑠 120 ° − 2𝐴 + 𝑐𝑜𝑠 120 ° + 2𝐴 = 𝑐𝑜𝑠2𝐴 + 1 + 𝑐𝑜𝑠 120 ° 𝑐𝑜𝑠 2𝐴 = 𝑐𝑜𝑠2 𝐴 + 1 − 1 2 (2𝑐𝑜𝑠2 𝐴 − 1) = 𝑐𝑜𝑠2 𝐴 + 1 − 𝑐𝑜𝑠2 𝐴 + 1 2 = 3 2
  • 23.
    𝒑𝒈 𝟐𝟔𝟖 𝐴 +𝐵 + 𝐶 = 180 𝐴 + 𝐵 2 = 90 − 𝐶 2 𝑠𝑖𝑛 𝐴 + 𝐵 2 = 𝑠𝑖𝑛 90 − 𝐶 2 = 𝑐𝑜𝑠 𝐶 2
  • 24.
    𝒑𝒈 𝟐𝟔𝟖 −𝟐𝟔𝟗 𝐴 + 𝐵 + 𝐶 = 180 𝐴 + 𝐵 2 = 90 − 𝐶 2 𝑐𝑜𝑠 𝐴 + 𝐵 2 = 𝑐𝑜𝑠 90 − 𝐶 2 = 𝑠𝑖𝑛 𝐶 2
  • 25.
    𝒑𝒈 𝟐𝟔𝟗 𝐴 +𝐵 + 𝐶 = 180 𝐴 + 𝐵 2 = 90 − 𝐶 2 𝑐𝑜𝑠 𝐴 + 𝐵 2 = 𝑐𝑜𝑠 90 − 𝐶 2 = 𝑠𝑖𝑛 𝐶 2
  • 26.

Editor's Notes

  • #2 https://www.onlinemathlearning.com/trig-functions.html
  • #6 turn into sum or diff
  • #27 16 ans - behind the book