1
Structural Theory II
2
DEFLECTIONS OF BEAMS
The deformation of a beam is usually expressed in terms of
its deflection from the original unloaded position. The deflection is measured
from the original nuetral surface of the beam to the nuetral surface of the
deformed beam.The configuration assumed by the deformed beam is known
as the elastic curve.
Elastic Curve
y
x
y = the deflection of the beam at any distance x
3
DOUBLE INTEGRATION METHOD
dx
y
dθ
dθ
x
θ
Elastic Curve
ρ
x
y
0,0
Figure shows the exaggerated view of the elastic curve of a deflected beam. Select
the left support as origin of an x axis directed along the original undeflected position
of the beam and a y axis directed positive upward. The deflections are so small so
that the difference in the original length of the beam and the projection of its
deflected length is negligible. Consequently, the elastic curve is very flat so its
slope at any point is very small. The value of the tan θ = dy/dx maybe set to θ with
minimal error.
L
d
s
O
4
dx
dy


2
2
dx
y
d
dx
d


Differentiating with respect to x
ds = pdθ
Differential length of arc ds
Since elastic curve is very flat
ds = dx
dx = pdθ EQ. 2
Combining EQs. 1 and 2
EQ. 1
2
2
1
dx
y
d


EQ. 3
From the derivation of the flexure formula
EI
M


1
EQ. 4
Equating EQs 3 and 4
2
2
dx
y
d
EI
M  EQ. 5
Equation 5 is known as the differential
equation of the elastic curve of a beam.
The product EI is called the flexural rigidity
which is usually constant along the length
of the beam. M is the moment equation
expressed in terms of x.
5
Integrating EQ. 5 assuming EI is constant
 
 1
C
Mdx
dx
dy
EI EQ. 6
This is the equation of the slope of the elastic curve or the value of dy/dx
at any point. C1 is a constant of integration to be evaluated from the given
condition of loading.
Integrating EQ. 6 assuming EI is constant
2
1 C
x
C
Mdxdx
EIy 

  EQ. 7
This is the equation of the deflection of the elastic curve the value of y for
any value of x . C2 is another constant of integration to be evaluated
from the given condition of the beam and its loading.
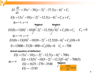
To evaluate C1 and C2
from the given figure of the elastic curve @ x = 0, y = 0
@ x = L, y = 0
7
1
2
2
2
}
6
{
5
.
37
}
2
{
30
39 C
x
x
x
dx
dy
EI 





2
1
3
3
3
}
6
{
5
.
12
}
2
{
10
13 C
x
C
x
x
x
EIy 






@ x = 0, y = 0
2
1
3
3
3
)
0
(
}
6
0
{
5
.
12
}
2
0
{
10
)
0
(
13
)
0
( C
C
EI 






Neglect Neglect
0
2 
C
@ x = 10, y = 0
0
)
10
(
}
6
10
{
5
.
12
}
2
10
{
10
)
10
(
13
)
0
( 1
3
3
3






 C
EI
0
)
10
(
800
5120
13000
0 1 



 C 708
1 

C
Actual equation of deflection
x
x
x
x
EIy 708
}
6
{
5
.
12
}
2
{
10
13 3
3
3






@ x = 5
)
5
(
708
}
6
5
{
5
.
12
}
2
5
{
10
)
5
(
13 3
3
3






EIy
Neglect
3540
270
1625 


EIy
2185


EIy
3
.
2185
m
kN
EI
y 

8
Problem
Using double integration method, locate and compute the maximun
deflection of the beam given in the previous problem. Assume constant EI.
2m
60 kN 75 kN
4m
4m
Point of maximum deflection
Where slope of elastic curve is
zero
x
1
2
2
2
}
6
{
5
.
37
}
2
{
30
39 C
x
x
x
dx
dy
EI 





Equation of slope as derived in the previous problem
Neglect this since the value of x is
between 2 and 6
Set this to zero
708
}
2
{
30
39
0 2
2



 x
x
9
708
}
4
4
{
30
39
0 2
2




 x
x
x
708
120
120
30
39
0 2
2




 x
x
x
828
120
9
0 2


 x
x
)
9
(
2
)
828
)(
9
(
4
)
120
(
120 2





x
location
m
x 
 014
.
5
x
x
x
x
EIy 708
}
6
{
5
.
12
}
2
{
10
13 3
3
3






)
014
.
5
(
708
}
2
014
.
5
{
10
)
014
.
5
(
13 3
3




EIy
Maximum deflection
3
max .
02
.
2185
m
kN
EI
y 

10
2m
45 kN
3m
24 kN/m
Problem : Determine the
Slope and deflection under the
45 kN load. EI is constant.
2m
45 kN
3m
24 kN/m
A B
RA=87
  0
B
M
0
5
.
2
)
5
(
24
)
3
(
45
)
5
( 


A
R
kN
RA 87

x


 L
M
M
dx
y
d
EI 2
2
2
2
2
12
}
2
{
45
87 x
x
x
dx
y
d
EI 



11
1
3
2
2
4
}
2
{
5
.
22
5
.
43 C
x
x
x
dx
dy
EI 




2
1
4
3
3
}
2
{
5
.
7
5
.
14 C
x
C
x
x
x
EIy 





When x=0, y =0
2
1
4
3
3
0
0
}
2
0
{
5
.
7
)
0
(
5
.
14
)
0
( C
C
EI 




 0
2 
C
When x=5, y =0
0
5
5
}
2
5
{
5
.
7
)
5
(
5
.
14
)
0
( 1
4
3
3





 C
EI
0
5
625
5
.
202
5
.
1812
0 1 



 C 197
1 

C
)
2
(
197
2
}
2
2
{
5
.
7
)
2
(
5
.
14 4
3
3





EIy
When x=2, y =?
3
.
294
m
kN
EI
y


1
3
2
2
4
}
2
{
5
.
22
5
.
43 C
x
x
x
dx
dy
EI 




When x=2, dy/dx =?
197
)
2
(
4
}
2
2
{
5
.
22
)
2
(
5
.
43 3
2
2





dx
dy
EI
2
.
55
m
kN
EI
dx
dy 

12
Problem
Using double integration method, determine deflection midway between
supports of the overhanging beam shown. Assume constant EI.
1m
600 N
2m
3m 2m
400 N/m
A B C D E
1m
600 N
2m
3m 2m
400 N/m
A B C D E
Establishing continuity of loading
400 N/m
13
1m
600 N
2m
3m 2m
400 N/m
A B C D E
400 N/m
RA
RD
400(7)=2800
1.5
400(4)=1600
  0
D
M
0
)
5
.
1
(
2800
)
2
(
600
)
6
( 


A
R N
RA 500

  0
y
F
0
2800
600
1600
500 




D
R
N
RD 1300

14
1m
600 N
2m
3m 2m
400 N/m
A B C D E
400 N/m
RA=500
RD=1300
x
400{x-1}
2
1

x
400{x-4}
2
4

x
X-6


 L
M
M
dx
y
d
EI 2
2
2
}
1
{
}
1
{
400
2
}
4
{
}
4
{
400
}
6
{
1300
500
2
2









x
x
x
x
x
x
dx
y
d
EI
2
2
2
2
}
1
{
200
}
4
{
200
}
6
{
1300
500 





 x
x
x
x
dx
y
d
EI
15
1
3
3
2
2
}
1
{
3
200
}
4
{
3
200
}
6
{
650
250 C
x
x
x
x
dx
dy
EI 







2
1
4
4
3
3
}
1
{
3
50
}
4
{
3
50
}
6
{
3
650
3
250
C
x
C
x
x
x
x
EIy 








At x =0 , y = 0
2
0
0
0
0
0
0 C





 0
2 
C
At x =6 , y = 0
0
6
}
1
6
{
3
50
}
4
6
{
3
50
}
6
6
{
3
650
)
6
(
3
250
0 1
4
4
3
3








 C
6
3
31250
3
800
0
18000
0 1
C




 33
.
1308
1 

C
x
x
x
x
x
EIy 33
.
1308
}
1
{
3
50
}
4
{
3
50
}
6
{
3
650
3
250 4
4
3
3








At x =3 , y = ?
)
3
(
33
.
1308
}
1
3
{
3
50
)
3
(
3
250 4
3




EIy
3
.
67
.
1941
m
kN
EI
y


16
Determine the deflection at the free end of the overhanging beam given in the
previous problem.
x
x
x
x
x
EIy 33
.
1308
}
1
{
3
50
}
4
{
3
50
}
6
{
3
650
3
250 4
4
3
3








At x =8 , y = ?
)
8
(
33
.
1308
}
7
{
3
50
}
4
{
3
50
}
2
{
3
650
)
8
(
3
250 4
4
3
3





EIy
3
31400
3
120050
3
12800
3
5200
3
128000





EIy
3
.
3
5450
m
kN
EI
y


17
w
L/2 L/2
y
w
L/2 L/2
Determine the maximum deflection of the beam shown in figure.
4
wL
RA 
18
w
L/2
4
wL
RA 
x
z
2
zx
3
x


 L
M
M
dx
y
d
EI 2
2
3
2
4
2
2
x
zx
x
wL
dx
y
d
EI 

2
L
x
w
z

x
L
w
z
2

3
2
2
4
2
2
x
L
wxx
x
wL
dx
y
d
EI 

L
wx
x
wL
dx
y
d
EI
3
4
3
2
2


1
4
2
12
8
C
L
wx
x
wL
dx
dy
EI 


2
1
5
3
60
24
C
x
C
L
wx
x
wL
EIy 



19
2
1
5
3
60
24
C
x
C
L
wx
x
wL
EIy 



x=0 , y=0
2
0
0
0
0 C



 0
2 
C
x=L/2 , dy/dx=0
1
4
2
12
8
C
L
wx
x
wL
dx
dy
EI 


1
4
2
12
)
2
(
)
2
(
8
0 C
L
L
w
L
wL


 1
3
3
192
32
0 C
wL
wL



192
5 3
1
wL
C 

x
wL
L
wx
x
wL
EIy
192
5
60
24
3
5
3



At x= L/2 , y =ymax
Plate No.1 :Beam Deflections by double integration method
1m
50+2N kN 60+N kN
3m
2m
1. Using double integration method, determine the midspan deflection
of the beam shown. Assume constant EI.
2. Determine the slope and deflection under the 35+ N kN load. EI is constant.
2m
35+N kN
4m
16 + N kN/m
3. Using double integration method, locate and compute the maximun
deflection of the beam shown . Assume constant EI.
w
L
22
AB

Any load
A B
A
B
t
cg
B
x
EI
M
diagram
dt
dθ
C D
dx
EI
M
dx
dθ
dθ
ρ
ds
dt
O
Elastic Curve
Magnified View of Segment CD
AREA MOMENT METHOD
tangent @B
tangent @A
Figure shows the magnified view of segment CD. Two adjacent
plane sections of an originally straight beam rotates through the
angle dθ. The arc distance ds measured along the elastic curve
equals ρdθ, where ρ is the radius of curvature of the elastic curve at
the given position. The elastic curve is relatively flat so ds is
assumed to be equal to dx without any serious error.
x
23
From the derivation of the flexure formula
EI
M


1
ds = pdθ
ds
EI
M
d 
 but ds = dx
dx
EI
M
d 
 EQ. 1
The tangents drawn to the elastic curve at C and D in figure are
separated by the small angle dθ by which OC and CD rotate relative to
each other. Hence the change in slope between the elastic curve at any
two points A and B will be equal to the sum of such small angles.


B
A
AB d
 

B
A
x
x
AB Mdx
EI
1
 Theorem 1
24
x
dt
d 


tan 
xd
dt 
 

 
xd
dt
t
A
B


B
A
x
x
A
B Mdx
x
EI
t )
(
1 Theorem 2
Theorem 1
The change in rotation between any two tangents drawn at any two
points on a continuous elastic curve is equal to the area of the M/EI
diagram between these two points.
Theorem 2
The deviation of the tangent to the elastic curve at point B with respect
To the tangent drawn to the elastic curve at point A in a direction
perpendicular to the original straight axis of the beam is equal to the
moment of area of the M/EI diagram from A to B about point B.
25
26
Convention of signs
+θAB
+tB/A
A
B -θAB
-tB/A
A
MOMENT DIAGRAM BY PARTS
In order to apply the area moment theorems effectively, area of the moment
diagram and locations of the centroids of its area is necessary. However
these is quite complicated since often times moment diagrams consist of
irregular curves which requires integration to compute and locate the centroid
of the area of the moment diagram.
To simply this, a method of dividing the moment diagrams into parts
whose areas and centroids are known will be adopted. This method
is called moment diagram by parts. The basic technique is to draw the
moment diagram of each load separately.
27
The construction of moment diagram by parts are based on the following basic principles.
1. The resultant bending moment at any section caused by any load system is the
algebraic sum of the bending moment caused by each load acting separately.
R1
L
a
w
R2
R1
A A
w
B B
B
a
MB=R1L
MB=-wa2/2
R1L
-wa2/2
M-Diagram by parts
Resultant M-Diagram
Conventional M-Diagram
28
2. The moment effect of a single specified load is the variation from the general
equation y = kxn. The graph of the equation is shown in the figure below.
h
b
y = kxn
c.g
x
bh
n
area
1
1


b
n
x
2
1


Where
n =degree of curve
n = 0 couple
n= 1 concentrated load
n =2 uniformly distributed load
n =3 uniformly varying load
29
Lh
2
1
Lh
3
1
Lh
4
1
Loading M- Diagram Area Centroid
P
L L
x
3
L
4
L
5
L
w L
x
L
x
2
2
wL
h 
6
2
wL
h 
PL
h 
w
L
L
M
L
L
x
M
h  Lh
2
L
Areas and centroid of areas of typical loadings
30
Application of Area – Moment Theorem
Determination of deflection at known point on a simple beam
Any load
A
B
A
B
t
B
x
C
EI
M
c

A
C
t
a
L
D
C
x
General Procedure
1. Sketch the elastic curve and M/EI
Diagram.
2. Draw tangent lines to the elastic
curve at the supports. Compute
A
B
t
EI
x
A
t B
AB
A
B 
3. By proportion solve for CD.
L
t
a
CD A
B

4. Draw another tangent to the elastic
curve at the point where the deflection
is to be determined. Compute
A
C
t
EI
x
A
t C
AC
A
C 
5.
c
 = CD -
A
C
t
A C B
Diagram
31
A
B
A
B
t
C
c

A
C
t
3m
D
Problems
1. Compute the midspan deflection of the beam shown below. Assume constant EI.
60 kN
2m 4m
20 kN/m
A
B
C
2m 4m
20 kN/m
60 kN
RA
kN
R
R
M
A
A
B
100
0
3
)
6
(
20
)
4
(
60
)
6
(
0






A
B
C
RA=100
6m
100(6)=600
32
A
B
C
6m
20 kN/m
360
2
)
6
(
20
2
2
2


wL
-360
A
B
C
6m
60
4 m
-60(4)=-240
-360
-60(4)=-240
100(6)=600
4 m
1
2
3
6 m
1
x
2
x
3
x
480
4
)
240
(
2
1
720
3
6
)
360
(
1
1800
2
)
6
)(
600
(
1
3
2
1










A
A
A
3
4
5
.
1
)
6
(
4
1
2
3
6
3
2
1





x
x
x
3
3
3
2
2
1
1
.
1880
)
3
4
(
480
)
5
.
1
(
720
)
2
(
1800
m
kN
EI
EI
t
EI
x
A
x
A
x
A
t
EI
x
A
t
A
B
A
B
B
AB
A
B








3
.
940
)
6
(
1880
3
m
kN
EI
CD
EI
CD
L
t
a
CD A
B



A C
3m
60 kN
2m
20 kN/m
RA=100
100(3)=300
90
2
)
3
(
20
2
2
2





wL
-60(1)-60
4
5
6
4
x
5
x
6
x
30
1
)
60
(
2
1
90
3
3
)
90
(
1
450
2
)
3
)(
300
(
1
3
2
4










A
A
A
3
1
75
.
0
)
3
(
4
1
1
3
3
6
5
4





x
x
x
3
6
6
5
5
4
4
.
5
.
372
)
3
1
(
30
)
75
.
0
(
90
)
1
(
450
m
kN
EI
EI
t
EI
x
A
x
A
x
A
t
EI
x
A
t
A
C
A
C
C
AC
A
C








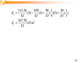
c
 = CD -
A
C
t
3
.
5
.
567
5
.
372
940
m
kN
EI
EI
C 



37
24 kN/m
96kN
48 kN
2 m 4 m 1 m
Compute the deflection at the free end of the overhanging beam shown below.
Assume constant EI.
A
B C
  0
B
M
0
)
4
(
96
3
)
6
(
24
)
1
(
24
6 



A
R
132

A
R
A
B C
B
A
t
y
B
C
t
132(6)=792
432
2
)
6
(
24 2



-96(4)=-384
-24(1)=-24
1
2
3
4
38
45 kN
15 kN/m
3m 1m 1m
3. Compute the slope and deflection at the free end of the cantilever beam.
A
B
B
tA
A 
 AB

A

5
.
22
6
)
3
(
15
6
2
2


wL
45
)
1
(
45 
22.5
45
B
tA
A 

EI
x
A A
AB
A 

EI
A
]
3
1
3
[
1
)
45
(
2
1
3
)
5
4
(
3
)
5
.
22
(
4
1




3
.
5
.
115
m
kN
EI
A 

EI
A
1
)
45
(
2
1
3
)
5
.
22
(
4
1



2
.
375
.
39
m
kN
EI
A 

39
Location of maximum deflection
Any load
A
B
A
B
t
B
x
C
max

x
L
A
x
θA
θAC
C
A
t
A C B
Note : at point of maximum deflection
Slope of the elastic curve is zero.
Tangent at this point is horizontal
so θA = θAC gives the location of the
Maximum deflection.
Likewise,
EIL
x
A
d B
AB
A
A 


tan
EI
x
A
t A
AC
C
A 

max

EI
AAC
AC 

L
A
t
d
B
A
A 


tan
40
50 kN 75 kN
Problem:
Locate and compute the maximum deflection of the beam shown below.
Assume constant EI.
1 m 3 m 1 m
A
B
A
B
t
C
max

x
L
θA
θAC
C
A
t
RA=55
kN
R
R
M
A
A
B
55
0
)
4
(
50
)
1
(
75
)
5
(
0






55(5)=275
-50(4)=-200
-75(1)=-75
L
A
t
d
B
A
A 


tan
EIL
x
A B
AB
A 

)
5
(
)
3
1
)(
1
)(
75
(
2
1
)
3
4
(
4
)
200
(
2
1
)
3
5
(
5
)
275
(
2
1
EI
A




1
.
120
EQ
EI
A 


41
1 m 3 m 1 m
RA=55
50 75
A C
x
55x
-50(x-1)
EI
AAC
AC
A 


EI
x
x
x
x
A
)
1
)(
1
)(
50
(
2
1
)
55
(
2
1





EI
x
x
A
2
2
)
1
(
25
5
.
27 



EI
x
x
x
A
)
1
2
(
25
5
.
27 2
2





2
.
25
50
5
.
2 2
EQ
EI
x
x
A 




25
50
5
.
2
120 2


 x
x
58
20
0 2


 x
x
By quadratic formula
m
x 57
.
2

42
55x=55(2.57)=141.35
-50(x-1)=- 50(2.57-1)=- 78.5
EI
x
A
t A
AC
C
A 

max

EI
)]
57
.
1
(
3
2
1
)[
57
.
1
)(
5
.
78
(
2
1
57
.
2
)
3
2
(
57
.
2
)
35
.
141
(
2
1
max




2.57
1.57
A C
3
max .
08
.
185
m
kN
EI


43
50 kN 75 kN
Problem:
Locate and compute the maximum deflection of the beam shown below.
Assume constant EI.
1 m 3 m 1 m
Non Prismatic Beams ( Beams with variable I)
Problem
A cantilever beam of Length L with stepwise cross section carries a vertical load P
at its free end. The section of the beam changes midway along its length so that
its second moment of area is reduced by half. The smaller section is towards the
free end. If E is constant, determine the deflection at the free end.
44
P
L/2 L/2
EI
PL
2
EI
PL
4
EI
PL
2
I
2I
A B
B
tA
A 

45
EI
PL
2
EI
PL
4
EI
PL
2
A1
A2
A3
A
EI
PL
EI
PLL
A
8
2
)
2
(
2
1 2
1 

EI
PL
EI
PLL
A
8
2
)
4
(
1 2
2 

EI
PL
EI
PLL
A
16
2
)
4
(
2
1 2
3 

3
)
2
(
3
2 L
L

L
L
L
4
3
)
2
(
2
1
2


L
L
L
6
5
)
2
(
3
2
2


3
3
2
2
1
1 x
A
x
A
x
A
B
tA
A 




6
5
1
16
4
3
8
3
8
2
2
2
L
E
PL
L
EI
PL
L
EI
PL
A 



EI
PL
E
PL
EI
PL
EI
PL
A
16
3
1
96
5
32
3
24
3
3
3
3





46
Conjugate Beam Method
an imaginary beam with span equal to the span of the real beam. Loading
consists of the M/EI diagram of the real beam. Positive M/EI represents
downward loadings.
EI
M
c

c

Any load
Real Beam
L
Conjugate Beam
C
V C
M
C
C
L
The clockwise rotation of the
tangent at any point on the
elastic curve of the real beam is
equal to the positive shear about
the same point on the conjugate
beam
The downward deflection at any
point on the elastic curve of the
real beam is equal to the positive
moment about the same point on
the conjugate beam
c
 C
M
=
c
 C
V
=
47
Other properties of the conjugate beam
 A fixed end for a real beam becomes free end for the conjugate beam.
 A free end for a real beam becomes fixed end for the conjugate A
simple support for the real beam remains a simple support for the
conjugate beam.
 An interior support of the real becomes an internal hinge for the
conjugate beam and conversely.
 The conjugate beam of the real beam is always determinate.
Real Beam
Conjugate Beam
Real Beam
Conjugate Beam
Real Beam
Conjugate Beam
ILLUSTRATION
48
EI
M
AC

c

Any load
Real Beam
Conjugate Beam
C
V C
M
C
L
C

A

C
A
t
A B
C
A
B
t
From the geometry of elastic curve
θA = θC+ θAC
θC = θA - θAC
LEI
x
A
L
A
B
t
B
AB
A 


EI
AAC
AC 

EI
A
LEI
x
A AC
B
AB
C 

 EQ. 1
XB
a
D
49
EI
M
C
V C
M
C
L
XB
RA
From the conjugate beam
∑MB = 0
0


EI
X
A
L
R B
AB
A
EI
AAB
EIL
X
A
R B
AB
A 
C
V C
M
C
a
RA
EI
AAC
Vc =∑FV
EI
A
LEI
x
A
V AC
B
AB
C 
 EQ. 2
xc
50
EI
M
C
V C
M
C
L
XB
RA
From the conjugate beam
∑MB = 0
0


EI
X
A
L
R B
AB
A
EI
AAB
EIL
X
A
R B
AB
A 
C
V C
M
C
a
RA
EI
AAC
Vc =∑FV
EI
A
LEI
x
A
V AC
B
AB
C 
 EQ. 2
xc
C
C V


EQ.1 = EQ.2
51
L
A
B
t
a
CD

a
LEI
x
A
CD B
AB

EI
x
A
t C
AC
A
C 
c
 = CD -
A
C
t
EI
x
A
a
LEI
x
A c
AC
B
AB
c 

 EQ. 3
From the conjugate beam
Mc =∑Mc
EI
x
A
a
R
M c
AC
A
c 

EI
x
A
a
LEI
x
A
M c
AC
B
AB
c 
 EQ. 4
EQ. 3 = EQ. 4
c
c M


C
V C
M
C
a
EI
AAC
xc
EIL
X
A
R B
AB
A 
52
2 m 4 m
20 kN/m
60 kN
1. Using the conjugate beam method, compute the midspan deflection of
the beam shown. Assume constant EI
kN
R
R
M
A
A
B
100
0
3
)
6
(
20
)
4
(
60
)
6
(
0






100(6)=600
RA
360
2
)
6
(
20
2
2
2


wL
-360
-60(4)=-240
A
C B
Conjugate beam
c

3m
53
600/EI
360/EI
240/EI
A
3m
B
C
RA
’
0
)
3
4
(
)
5
.
1
(
)
2
(
)
6
(
'
0
3
2
1 





P
P
P
R
M
A
B
4m
P1
P2
P3
EI
EI
P
1800
2
6
)
600
(
1
1 

EI
EI
P
720
3
6
)
360
(
1
2 

EI
EI
P
480
2
4
)
240
(
1
3 

2m
1.5m
4/3
EI
R
EI
EI
EI
R
A
A
36
.
313
0
)
3
4
(
480
)
5
.
1
(
720
)
2
(
1800
)
6
(
'
'





54
300/EI
A
3m
C
P4
60(1)=60/EI
90
6
3
360 2
2


y
y
90/EI
P5
P6
1m
EI
EI
P
450
2
3
)
300
(
1
4 

EI
EI
P
90
3
3
)
90
(
1
5 

EI
EI
P
30
2
1
)
60
(
1
6 

)
3
1
(
)
3
)(
4
1
(
)
1
(
)
3
(
' 6
5
4 P
P
P
RA
C 




EI
RA
36
.
313
'



 C
c
c M
M

55
3
.
58
.
567
)
3
1
(
30
)
3
)(
4
1
(
90
)
1
(
450
)
3
(
36
.
313
m
kN
EI
EI
EI
EI
EI
C
C







56
24 kN/m
72 kN
48 kN
2 m 4 m 1 m
2. Compute the deflection at the free end of the overhanging beam shown below.
Assume constant EI.
A
B
C
kN
R
R
M
A
A
B
112

0
)
3
)(
6
(
24
)
4
(
72
)
1
(
48
)
6
(
0







112
112(6)=672
432
2
)
6
(
24 2



-72(4)=-288
-48(1)=-48
57
672/EI
EI
432
288/EI
48/EI
A B C
A B
EI
432
288/EI
672/EI
RB
2 m 4 m
P1
P2
P3
EI
EI
P
2016
)
6
(
2
)
672
(
1
1 

EI
EI
P
864
)
6
(
3
)
432
(
1
2 

EI
EI
P
576
)
4
(
2
)
288
(
1
3 

4 m
3/4 (6)= 4.5m
2+2/3 (4)= 14/3m
58
2
1
3
2
.
248
0
)
4
(
1
2016
)
3
14
(
576
)
5
.
4
(
864
)
6
(
0
)
4
(
)
3
14
(
)
5
.
4
(
)
6
(
0
m
kN
EI
R
E
EI
EI
R
P
P
P
R
M
B
B
B
A











B C
48/EI
EI
RB
248

P4
EI
EI
P
24
)
1
(
2
)
48
(
1
4 

1m
2/3


 c
c
c M
M

)
1
(
)
3
2
(
4 B
c R
P 






 3
.
232
)
1
(
248
)
3
2
(
24
m
kN
EI
EI
EI
c

59
24 kN/m
72 kN
48 kN
2 m 4 m 1 m
2. Compute the deflection at the free end of the overhanging beam shown below.
Assume constant EI.
A
B
C
kN
R
R
M
A
A
B
112

0
)
3
)(
6
(
24
)
4
(
72
)
1
(
48
)
6
(
0







112
112(6)=672
-72(4)=-288
-48(1)=-48
432
2
)
6
(
24 2



-432
60 kN
2 m 4 m
3. Using the conjugate beam method, locate and compute the maximum
deflection of the beam shown. Assume constant EI
A B
x
C At point of maximum deflection
0

c

RA
kN
R
R
M
A
A
B
40
0
)
4
(
60
)
6
(
0





40(6)=240
-60(4)=-240
max



 c
c M
M
max

61
240/EI
240/EI
A
2 m 4 m
EI
EI
P
720
)
6
(
2
)
240
(
1
1 

EI
EI
P
480
)
4
(
2
)
240
(
1
2 

P1
P2
2m
4/3
R1
B
x
0
)
3
4
(
)
2
(
)
6
(
0
2
1
1 




P
P
R
MB
0
)
3
4
(
480
)
2
(
720
)
6
(
1 


EI
EI
R
EI
R
33
.
133
1 
A
C
62
60 kN
2 m
A C
RA=40
X
40X
-60(X-2)
40X/EI
60(X-2)/EI
R1=133.33/EI
P3
P4
X
X-2
EI
x
x
EI
x
P
2
3
20
)
(
2
)
40
(
1


EI
x
x
EI
x
P
2
4
)
2
(
30
)
2
(
2
)
2
(
60 




63
0
20
)
2
(
30
33
.
133
0
0
2
2
3
4
1








 
EI
x
EI
x
EI
P
P
R
FV
c

m
x
x
x
x
x
x
x
x
73
.
2
2
)
33
.
25
(
4
)
12
(
)
12
(
0
33
.
25
12
0
33
.
253
120
10
0
20
120
120
30
33
.
133
2
2
2
2
2
2















64
40X/EI
60(X-2)/EI
R1=133.33/EI
P4
X
X-2
EI
EI
x
EI
x
P
06
.
149
)
73
.
2
(
20
)
(
2
)
40
(
1 2
3 


EI
EI
x
EI
x
P
16
)
2
73
.
2
(
30
)
2
(
2
)
2
(
60 2
4 





P3


 c
c M
M
max

C
A
)
73
.
2
(
3
06
.
149
)
2
73
.
2
(
3
16
)
73
.
2
(
33
.
133
3
)
2
(
3
1
max
3
4
1
max
EI
EI
EI
x
P
x
P
x
R










3
max .
24
.
232
m
kN
EI


65
180 kN
3 m 6 m 3 m
I 2I I
3 m
4. Using the conjugate beam method, compute the maximum deflection
of the beam shown. Assume constant E
b
A B
 
2
2
4
3
48
b
L
EI
Pb
C 


P
L
at center
b = distance of P from the nearer support < L/2
C

L/2
EI
EI
C
230
]
)
2
(
4
)
6
(
3
[
48
)
2
(
60 2
2




66
180 kN
3 m 6 m 3 m
2I I
3 m
A B C D E
A B C D E
90 kN
270
540
270
270/EI 270/EI
135/EI 135/EI
270/EI
I
Ordinary M - Diagram
Modified M/EI – Diagram
(conjugate beam)
Solution
67
270/EI
135/EI
270/EI
Modified M/EI – Diagram
(conjugate beam)
F1 F2
F3
R
F1 =1/2(270)3 =405
F2 = 135(3) = 405
F3 =1/2(135)3 =202.5
R = F1 + F2 + F3 = 1012.5
C
)
1
(
)
5
.
1
(
)
4
(
)
6
( 3
2
1 F
F
F
R
c 




EI
EI
EI
EI
EI
c
3645
)
1
(
5
.
202
)
5
.
1
(
405
)
4
(
405
)
6
(
5
.
1012








 c
c
c M
M

3m 3m
69
2 m 4 m
20+N kN/m
30N kN
1. Using the area moment method, compute the midspan deflection of
the beam shown. Assume constant EI
20N kN/m
24N kN
48+3N kN
2 m 4 m 1 m
2. Compute the deflection at the free end of the overhanging beam shown below.
Assume constant EI.
A
B
C
Plate No.2: area moment method
70
30N kN
2 m 4 m
3. Using the area moment method, locate and compute the maximum
deflection of the beam shown. Assume constant EI
A B
C
71
2 m 4 m
20+N kN/m
30N kN
1. Using the conjugate beam method, compute the midspan deflection of
the beam shown. Assume constant EI
20N kN/m
24N kN
48+3N kN
2 m 4 m 1 m
2. Compute the deflection at the free end of the overhanging beam shown below.
Assume constant EI.
A
B
C
Plate No.3 : Conjugate beam method
30N kN
2 m 4 m
3. Using the conjugate beam method, locate and compute the maximum
deflection of the beam shown. Assume constant EI
A B
C
73
VIRTUAL WORK METHOD
Virtual Work Equation for Beams and Frames
the slope and deflection in any direction at a point in a beam or frame can be
obtained by applying a unit load at that point and applying the formula
where Mp = the bending moment at the element under consideration
due to the applied loadings
Mu = the bending moment due to a unit load applied at the
point where the deflection is required
If rotation at a point is required, apply a unit couple at the point to
determine Mu,then use EQ. A.
dx
EI
M
M
L
U
P


0
 EQ. A
dx
EI
M
M
L
U
P


0

74
c

c

Any load
Real System
L
C
L
1
L
1
C
C
Virtual System for deflection at C
Virtual System for Rotation at C
75
General Procedure : Slope and deflection of beams by Virtual Work Method
1. Real System - Draw a diagram of the beam showing all the given forces.
2. Virtual System - Draw a diagram of the beam without the real loads. If
the deflection is to be determined , apply a unit load at the point in the
direction of the desired deflection. If the slope is to be determined, apply
a unit couple on the beam where the slope is desired.
3. Examine the real and virtual systems; the variation of EI along the length
of the beam. Divide the beam into segments so that the real and virtual
systems is continuous in each segment.
4. For each segment of the beam, determine an equation expressing the
Variation of the bending moment due to the real loading (MP) along the
length of the segment in terms of position coordinate x. The origin x
maybe located anywhere on the beam and must be chosen so that the number of
terms in the equation is minimum. Use the sign convention of bending moment,
5. For each segment of the beam, determine an equation expressing the
Variation of the bending moment due to the virtual loading (Mu)
using the same x coordinate adopted in step 4. The sign convention of
bending moment due to the real loading must be the same for the virtual loading.
6. Determine the desired slope or deflection using
dx
EI
M
M
L
U
P


0

If the beam is divided into segments, then integral on the right side of EQ. 1
can be evaluated by adding algebraically the integrals for all segments of the beam.
EQ. 1
dx
EI
M
M
L
U
P


0

76
120 kN
2 m 4 m
Problem 1:
Using the virtual work method, compute the slope and deflection under the
120 kN load of the beam shown. Assume constant EI
2 m 4 m
120 kN
A B C
80 40
Real system
x
A B
80
Segment AB ( 0rigin at A)
0<x<2
Mp = 80x
Segment BC ( 0rigin at C)
0<x<4
40
x
Mp = 40x
2 m 4 m
1
A B C
Virtual system
For vertical
Deflection at B x
A B
Mu =2/3x
2/3
2/3
1/3
Segment AB ( 0rigin at A)
0<x<2
x
1/3
B C
Mu =1/3x
Segment BC ( 0rigin at C)
0<x<4
Segment Origin Limits Mp Mu
AB A 0 – 2 80x 2/3x
CB C 0 – 4 40x 1/3x
dx
EI
M
M
L
U
P


0


 

4
0
2
0
3
1
40
3
2
80
dx
EI
x
x
dx
EI
x
x
B


 

4
0
2
2
0
2
3
40
3
160
dx
x
EI
dx
x
EI
B

   4
0
3
2
0
3
9
40
9
160
x
EI
x
EI
B 


)
64
(
9
40
)
8
(
9
160
EI
EI
B 



 3
.
9
3840
m
kN
EI
B

2 m 4 m
1
A B C
1/6 1/6
Virtual system
For slope at B
x
A B
Mu = -1/6x






6
1
0
6
1
0
A
A
C
R
R
M
Segment AB ( 0rigin at A)
0<x<2
x
B C
Mu =1/6x
1/6
1/6
Segment BC ( 0rigin at C)
0<x<4
Segment Origin Limits Mp Mu
AB A 0 – 2 80x -1/6x
CB C 0 – 4 40x 1/6x
dx
EI
M
M
L
U
P


0


 


4
0
2
0
6
1
40
)
6
1
(
80
dx
EI
x
x
dx
EI
x
x
B


 


4
0
2
2
0
2
3
20
3
40
dx
x
EI
dx
x
EI
B

   4
0
3
2
0
3
9
20
9
40
x
EI
x
EI
B 



)
64
(
9
20
)
8
(
9
40
EI
EI
B 



2
.
9
960
m
kN
EI
B 

81
120 kN
2 m 4 m
Problem 1:
Using the virtual work method, compute the slope and deflection under the
120 kN load of the beam shown. Assume constant EI
2 m 4 m
20 kN/m
60 kN
Problem 2 :
Using the virtual work method, compute the midspan deflection of
the beam shown. Assume constant EI
82
2 m 4 m
20 kN/m
60 kN
3 m
1
A B C D
A B C D
1/2 1/2
100 80
x
A B
100
Segment AB ( 0rigin at A)
0<x<2
Mp = 100x – 20x (x/2)
Mp =100x -10x2
x
A B
Mu =1/2x
20 kN/m
1/2
Segment BC ( 0rigin at A)
2<x<3
x
100
60 kN
x-2
20 kN/m
B C
x
A B C
Mu =1/2x
1/2
Mp=100x -20x(x/2) – 60(x-2)
Mp =40x-10x2+120
Solution to Problem 2
Real System
Virtual system
for vertical
deflection of C
83
Segment CD ( 0rigin at D)
0<x<3
x
Mp = 40x
x
C D
Mu =1/2x
80 1/2
20 kN/m
C D
Mp = 80x – 20x (x/2)
Mp =80x -10x2
dx
EI
M
M
L
U
P


0

Segment Origin Limits Mp Mu
AB A 0 – 2 100x-10x2 1/2x
BC A 2 – 3 40x-10x2 +120 1/2x
DC D 0 – 3 80x-10x2 1/2x
84










3
0
2
3
2
2
2
0
2
2
1
)
10
80
(
2
1
)
120
10
40
(
2
1
)
10
100
(
dx
EI
x
x
x
dx
EI
x
x
x
dx
EI
x
x
x
c

3
0
4
3
3
2
2
4
3
2
0
4
3
4
5
3
40
1
30
4
5
3
20
1
4
5
3
50
1

























x
x
EI
x
x
x
EI
x
x
EI
c





























4
405
360
1
)
120
20
3
160
(
)
270
4
405
180
(
1
20
3
400
1
EI
EI
EI
c























4
1035
1
3
460
4
1395
1
3
340
1
EI
EI
EI
c

EI
EI
EI
c
12
6810
12
480
7290
1
3
120
4
2430
1






















3
0
3
2
3
2
3
2
2
0
3
2
)
5
40
(
)
60
5
20
(
)
5
50
(
dx
EI
x
x
dx
EI
x
x
x
dx
EI
x
x
c

85
2 m 4 m
24 kN/m
A
48 kN
Problem
Determine the slope and deflection at the free end of the overhanging beam showm
2 m 4 m
24 kN/m
A
48 kN
56
2 m
2 m
136
Real System
B
B
C
C







kN
R
R
M
B
B
A
136
0
6
)
8
(
48
3
)
6
(
24
0












kN
R
R
R
R
F
A
A
B
A
y
56
0
)
6
(
24
48
136
0
)
6
(
24
48
0
86
2 m 4 m
A B C
1
1/3
2 m
4/3
Virtual System
for vertical
deflection at C
x
24 kN/m
A
56
Mp = 56x -12x2
A
1/3
x
Mu= - 1/3x
x
B
B
B
C
48
x
B C
1
Mp=-48x Mu= -x
87
Segment Origin Limits Mp Mu
AB A 0 – 6 56x-12x2 -1/3x
CB C 0 – 2 -48x -x
dx
EI
M
M
L
U
P


0









2
0
6
0
2
)
(
48
)
3
1
)(
12
56
(
dx
EI
x
x
dx
EI
x
x
x
C


 


2
0
2
6
0
2
3
48
1
)
56
12
(
3
1
dx
x
EI
dx
x
x
EI
C

 2
0
3
6
0
3
4 16
3
56
3
3
1
x
EI
x
x
EI
C 









EI
EI
EI
C
80
)
8
(
16
)
4032
3888
(
3
1





88
2 m 4 m
A B C
1
1/6
2 m
1/6
Virtual System
for slope at C
∑MB = 0
1 – 6RA = 0
RA = 1/6
x
24 kN/m
A
56
Mp = 56x -12x2
A
1/6
x
Mu= - 1/6x
B
B
x
B C
x
B C
Mp= - 48x Mu= -1
48
1
89
Segment Origin Limits Mp Mu
AB A 0 – 6 56x-12x2 -1/6x
CB C 0 – 2 -48x -1
dx
EI
M
M
L
U
P


0


 



2
0
6
0
2
)
1
(
48
)
6
1
)(
12
56
(
dx
EI
x
dx
EI
x
x
x
C


 


2
0
6
0
2
3 48
)
56
12
(
6
1
xdx
EI
dx
x
x
EI
C

 2
0
2
6
0
3
4 24
3
56
3
6
1
x
EI
x
x
EI
C 









EI
EI
EI
C
72
)
4
(
24
)
4032
3888
(
6
1





90
180 kN
3 m 6 m 3 m
I 2I I
3 m
4. Using the virtual work method, compute the vertical deflection
of point D of the beam shown. Assume constant E
A B C D E
180 kN
3 m 6 m 3 m
I 2I I
3 m
A B C D E
x
x
x
x
Real System
90
90
91
180 kN
3 m 6 m 3 m
I 2I I
3 m
Problem
Using the virtual work method, compute the vertical deflection
of point D of the beam shown. Assume constant E
A B C D E
180 kN
3 m 6 m 3 m
I 2I I
3 m
A B C D E
x
x
x
x
Real System
90 90
x
A
90
B
x
A B
1/4
1
3 m 6 m 3 m
I 2I I
A B C D E
x
x x
Virtual System
1/4 3/4
x
MP 90

Segment AB
0<x<3
x
MU
4
1

x
A
90
B
x
MP 90

Segment BC
3<x<6
C
x
A
1/4
B
x
MU
4
1

C
x
A
90
B
x
M
x
x
M
x
x
M
P
P
P
90
1080
1080
180
90
)
6
(
180
90








Segment CD
6<x<9
C
180
X-6
x
A
1/4
B
x
MU
4
1

C
D D
x
D E
90
Segment DE
0<x<3
x
MP 90

x
3/4
D E
x
MU
4
3

94
Segment Origin Limits Mp Mu
AB A 0 – 3 90x 1/4x
BC A 3 – 6 90x 1/4x 2EI
CD A 6 – 9 90x-180(x-6) =1080-90x 1/4x 2EI
ED E 0-3 90x 3/4x EI
EI
EI


  




3
0
9
6
3
0
6
3
)
4
3
(
90
2
4
1
)
90
1080
(
2
)
4
1
(
90
)
4
1
(
90
dx
EI
x
x
dx
EI
x
x
dx
EI
x
x
dx
EI
x
x
D

95
dx
EI
M
M
L
U
P


0



  




3
0
2
9
6
2
3
0
6
3
2
2
2
135
)
90
1080
(
8
1
4
45
2
45
dx
x
EI
dx
x
x
EI
dx
x
EI
dx
x
EI
D

       3
0
3
9
6
3
2
6
3
3
3
0
3
6
135
30
540
8
1
12
45
6
45
x
EI
x
x
EI
x
EI
x
EI
D 





     
27
6
135
)
2
972
1296
(
)
2
2187
4374
(
2
1
27
216
6
45
27
6
45
EI
EI
EI
EI
D 














EI
EI
EI
EI
EI
D
12
48843
6
3645
)
2
1215
3078
(
2
1
6
8505
6
1215















  




3
0
9
6
3
0
6
3
)
4
3
(
90
2
4
1
)
90
1080
(
2
)
4
1
(
90
)
4
1
(
90
dx
EI
x
x
dx
EI
x
x
dx
EI
x
x
dx
EI
x
x
D

96
2 m 4 m
12N kN/m
50 +NkN
Problem 1 :
Using the virtual work method, compute the midspan deflection of
the beam shown. Assume constant EI
2 m 4 m
14N kN/m
A
24NkN
Problem 2
Using the virtual work method,determine the slope and deflection at the free end of
the overhanging beam showm
2 m
B
C
Plate No. 3: Slope & Deflection by Virtual Work Method
97
Problem 3
A cantilever beam of Length L with stepwise cross section carries a vertical load P
at its free end. The section of the beam changes midway along its length so that
its second moment of area is reduced by one third. The smaller section is
towards the free end. If E is constant, determine the deflection at the free end
using the virtual work method
P
L/2 L/2
I
3I
A B C
P
L/2 L/2
I
3I
A
B
C
1
L/2 L/2
I
3I
A
B
C
Real System Virtual system
x
x
3I
x
x
Segment AB 0 <x < L/2
Px
MP 
 x
MU 

Segment BC L/2 <x < L
Px
MP 
 x
MU 

Segment Limits MP Mu EI
AB 0 – L/2 -Px -x EI
BC L/2 – L -Px -x 3EI
dx
EI
M
M
L
U
P


0


 

L
L
L
dx
EI
Pxx
dx
EI
Pxx
2
2
0 3


 

L
L
L
dx
EI
Px
dx
EI
Px
2
2
2
0
2
3
1

L
L
L
x
P
EI
x
P
EI 2
3
2
0
3
]
[
9
1
]
[
3
1


 EI
PL
EI
PL
EI
PL
PL
EI
PL
EI
PL
L
L
EI
P
L
EI
P
L
L
P
EI
L
P
EI
36
5
72
10
72
)
7
3
(
)
8
(
9
7
24
)
8
(
9
)
8
(
3
]
)
2
(
[
9
1
]
)
2
[(
3
1
3
3
3
3
3
3
3
3
3
3
3
3
















100

 

AE
L
F
F
dx
EI
M
M p
u
u
P


 

AE
L
F
F
dx
EI
M
M p
u
u
P

Slope and Deflection of Frames by Virtual Work Method
Considering axial deformation of
members of the frame
dx
EI
M
M u
P



dx
EI
M
M u
P



Neglecting axial deformation of
members of the frame
where
Mp = the bending moment at the element under
consideration due to the applied loadings
Mu = the bending moment due to a unit load
applied at the point where the deflection is required
or a unit couple applied at the point where the
slope is required.
Fp = the axial load at the element under
consideration due to the applied loadings
Fu = the axial load due to a unit load applied at the
point where the deflection is required or a unit
couple applied at the point where the slope is
required.
Note: unless otherwise stated in the problem, the effect of axial deformation
is negligible.
101
General Procedure : Slope and deflection of frames by Virtual Work Method
1. Real System – Determine the internal forces at the ends of the members
of the frame due to the real loading.
2. Virtual System - If the deflection is to be determined , apply a unit load at the point
in the frame in the direction of the desired deflection. If the slope is to be determined,
apply a unit couple on the frame where the slope is desired. Determine the member
end forces due to the virtual loading
3. Divide the frame into segments so that the real and virtual systems is continuous in
each segment.
4. For each segment of the frame , determine an equation expressing the
Variation of the bending moment due to the real loading (MP) along the
length of the segment in terms of position coordinate x. The origin x
maybe located anywhere on the frame and must be chosen so that the number of
terms in the equation is minimum. Use the sign convention of bending moment,
5. For each segment of the beam, determine an equation expressing the
Variation of the bending moment due to the virtual loading (Mu) along the frame
using the same x coordinate adopted in step 4. The sign convention of
bending moment due to the real loading must be the same for the virtual loading.
6. If the effects of the axial deformation is to be included in the analysis, divide the
frame into segments so that the real and virtual forces and AE are constant in
each segment. It is not necessary that these segments be the same as in
steps 4 and 5. It is important that the same sign convention be used for Fp and Fu.
7. Determine the desired slope or deflection using

 

AE
L
F
F
dx
EI
M
M p
u
u
P
 
 

AE
L
F
F
dx
EI
M
M p
u
u
P

102
16 kN/m
36 kN
2 m
2 m
6 m
A
B
C
E
3 m
F
G
For the frame shown in the figure, determine the vertical deflection of point E.
Assume constant EI for all members.
16 kN/m
36 kN
2 m
2 m
6 m
A
B
C
E
3 m
F
G
∑MA = 0 RG(6) – 16(6)3 -36(2) = 0 RG = 60 kN
∑Fy = 0 RAy + RG – 16(6) = 0 RAy = 36 kN
∑Fx = 0 RAx – 36 = 0 RAx = 36 kN
60
36
36
Real System
103
2 m
2 m
A
B
C
E
3 m
F
G
Virtual System for vertical deflection of E
1
1/2 1/2
6 m
x
A
36
B
36
Mp =36x
x
A
B
1/2
Mu =0
Segment AB
x
A
36
C
36
Mp =36x - 36(x-2) x
A
B
1/2
Mu =0
Segment BC
36
2 m
B
C
104
16 kN/m
C F
36 60
∑MC = 0 60(6) – 16(6)3- Mc =0 Mc = 72
72
E
16 kN/m
C
36
72
E
x
C F
1/2 1/2
E
1
Mp = 36x -16x(x/2) + 72
Mp = 36x – 8x2 + 72
C
1/2
E
x
Mu =1/2x
16 kN/m
60
72
F
x
Mp = 60x -16x(x/2)
Mp = 60x – 8x2
E F
x
Mu =1/2x
E
Segment CE ( origin at C 0<x<3)
Segment EF ( origin at F 0<x,3)
105
x
G
60
Mp =0
F
x
G
1/2
Mu =0
F
Segment Origin Limits Mp Mu
AB A 0 – 2 36x 0
CE C 0 – 3 36x-8x2+72 1/2x EI
FE F 0 - 3 60x- 8x2 1/2x EI
EI
EI
GF C 0 – 2 0 0 EI
BC A 2 – 4 36x-36(x-2) =72 0 EI
dx
EI
M
M
L
U
P


0

dx
EI
x
x
x
dx
EI
x
x
x
E 






3
0
2
3
0
2
2
1
)
8
60
(
2
1
)
72
8
36
(

106
dx
EI
x
x
dx
EI
x
x
x
E 






3
0
3
2
3
0
3
2
)
4
30
(
)
36
4
18
(

   3
0
4
3
3
0
2
4
3
10
1
18
6
1
x
x
EI
x
x
x
EI
E 





   
EI
EI
EI
E
432
81
270
1
162
81
162
1







15 kN/m
3 m
A
B
C
4 m
Problem
Determine the rotation of joint
B of the frame shown in the figure.
107
15 kN/m
3 m
A
B
C
4 m
30 kN
30 kN 3 m
A
C
4 m
B
1
∑MA = 0
1 – 4RC = 0 RC = 1/4
∑Fy = 0
RA – RC =0 RA = 1/4
A
x Mp =0
30
Segment AB( 0rigin at A) 0<x<3
A
x Mu =0
1/4
Real System Virtual System
1/4
1/4
108
15 kN/m
C
30 kN
Mp = 30x -15x(x)/2
x Mp =30x -15x2/2
1/4
x
C
B
B
Mu = 1/4x
Segment CB ( 0rigin at C) 0 < x < 4
Segment Origin Limits Mp Mu
AB A 0 – 3 0 0
EI
EI
CB C 0 – 4 30x-15(x2) /2 1/4x EI
dx
EI
M
M u
P






4
0
2
4
1
)
2
15
30
(
EI
xdx
x
x
C

109



4
0
3
2
)
8
15
4
30
(
EI
dx
x
x
C

4
0
4
3
)
(
32
15
4
10
1







 x
x
EI
C








 )
4
(
32
15
4
4
10
1 4
3
EI
C

 
120
160
1


EI
C

2
.
40
m
kN
EI
C 

110
80 kN
5 m
4 m
3 m
A
B
C
5 m
80 kN
5 m
4 m
3 m
A
B
C
Ay
Ax
24(5)4/5 = 96
24(5)3/5 =72
24(5)
∑Fx = 0 Ax – 80 – 72 = 0 Ax = 152 kN
∑Fy = 0 Ay – 96 = 0 Ay = 96 kN
MA
∑MA = 0 MA – 96(2) -72(6.5) – 80(5) = 0
MA = 1060 kN.m
+
Problem
Determine the vertical deflection of point
C for the frame shown in figure.
2I
111
5 m
4 m
A
B
C
3 m
1
MA
RA
∑MA = 0 MA – 1(4) = 0
MA = 4
+
∑Fy = 0 RA – 1 = 0 RA = 1
80 kN
5 m
4 m
3 m
A
B
C
96
152
1060
5 m
4 m
A
B
C
3 m
1
4
1
REAL SYSTEM VIRTUAL SYSTEM
112
x
A
96
152
1060
A
4
1
Mp = 152x - 1060
x
Mu = - 4
C
24x
x
B
B B
Mp = -24x (x)/2
Mp = - 12x2
C
x
1
4/5
3/5
Mu = -4/5x
Segment AB origin at A ( 0 < x < 5 )
Segment CB origin at C ( 0 < x < 5 )
113
Segment Origin Limits Mp Mu
AB A 0 – 5 152x- 1060 -4
EI
2 EI
CB C 0 – 5 -12x2 -4/5x EI
dx
EI
M
M
L
U
P


0

dx
EI
x
x
dx
EI
x
c 







5
0
2
5
0
)
5
4
)(
12
(
2
)
4
)(
1060
152
(

dx
EI
x
dx
EI
x
c 
 


5
0
3
5
0
)
6
.
9
(
)
304
2120
(

   5
0
4
5
0
2 4
.
2
152
2120
1
x
EI
x
x
EI
c 



   
4
2
5
4
.
2
)
5
(
152
)
5
(
2120
1
EI
EI
c 



     
EI
EI
EI
EI
c
1500
6800
1
625
4
.
2
3800
10600
1






EI
c
8300


114
16 kN/m
48 kN
4 m
6 m
A
B
C
E
3 m
D
I I
2I
Problem
For the frame shown in figure,determine the horizontal deflection of point D
using the virtual work method.
115
16 kN/m
48 kN
4 m
A
B
C
E
3 m
D
C
16 kN/m
3 m
Cx Cx
Cy
Cy
∑MA = 0
Cx (4) + Cy(3) – 48(4) – 16(3)(1.5) = 0
4Cx + 3Cy = 264
∑ME = 0
Cx (4) - Cy(3) – 16(3)(1.5) = 0
4Cx - 3Cy = 72
4Cx + 3Cy = 264
4Cx - 3Cy = 72
8Cx = 336 Cx = 42 Cy = 32
Ax
Ay
∑Fx = 0
Ax + Cx – 48 = 0
Ax + 42 - 48 = 0
Ax = 6
∑Fy = 0
Ay + Cy – 16(3) = 0
Ay + 32 - 48 = 0
Ay = 16
Ex
Ey
∑Fx = 0
Ex - Cx = 0
Ex - 42 = 0
Ex = 42
∑Fy = 0
Ey - Cy – 16(3) = 0
Ey - 32 - 48 = 0
Ey = 80
116
4 m
6 m
A
B
C
E
3 m
D 1
Ay Ey
∑MA =0
6Ey – 1(4) = 0
Ey = 2/3
∑Fy =0
Ey – Ay = 0
Ay = 2/3
Ax
Ex
Ax =Ex = 1/2
117
16 kN/m
48 kN
4 m
6 m
A
B
C
E
3 m
D
16 80
6 42
4 m
6 m
A
B
C
E
3 m
D 1
2/3 2/3
1/2 1/2
Real System Virtual System
118
16
6
x Mp =6x
A
B
2/3
1/2
x
A
B
Mu =1/2x
Segment AB origin at A( 0 < x < 4)
16 kN/m
B
C
D
80
42(4) = 168
x
16
6(4) = 24
42
42
Mp = 80x – 16x(x)/2 – 168
Mp = 80x – 8x2 - 168
B
2/3
2/3
1/2(4) = 2
2
1/2
1/2
x
Mu = 2/3x - 2
Segment DB origin at D( 0 < x < 6)
119
80
42
x Mp =42x
E
D
2/3
1/2
x
E
D
Mu =1/2x
Segment ED origin at E( 0 < x < 4)
Segment Origin Limits Mp Mu EI
AB A 0 – 4 6x 1/2x EI
DB D 0 – 6 80x-8x2-168 2/3x -2 2EI
ED E 0 – 4 42x 1/2x EI
120
dx
EI
M
M
L
U
P


0



 





4
0
5
0
2
4
0
)
2
1
)(
42
(
2
)
2
3
2
)(
168
8
80
(
)
2
1
)(
6
(
dx
EI
x
x
dx
EI
x
x
x
dx
EI
x
x
D



 





4
0
2
6
0
3
2
4
0
2
)
21
(
2
)
336
272
3
16
3
208
(
3
dx
EI
x
dx
EI
x
x
x
dx
EI
x
D

   4
0
3
6
0
2
4
3
4
0
3 7
336
136
12
16
9
208
2
1
1
x
EI
x
x
x
x
EI
x
EI
D 












   4
0
3
6
0
2
4
3
4
0
3
4
7
)
6
(
336
)
6
(
136
6
12
16
6
9
208
2
1
4
1
EI
EI
EI
D 












 
EI
EI
EI
D
448
2016
4896
1728
4992
2
1
64








 3
.
704
m
kN
EI
D

121
121
Plate # 4 : Slope and Deflections of Frames
For the frame shown in the figure, determine the vertical deflection of point E
and the rotation at point C. Assume constant EI for all members.
18+N kN/m
2 m
2 m
6 m
A
B
C
E
3 m
F
G
75+N kN
122
Deflection of Trusses


AE
L
F
F
p
u
A

Considering axial deformation of
members of the truss
 
 T
L
Fu
T 

Considering thermal deformation of
members of the truss
Fp = the axial load at the element under
consideration due to the applied loadings
Fu = the axial load due to a unit load applied at the
point where the deflection is required or a unit
couple applied at the point where the slope is
required.
L = length of truss member
A = cross sectional area of truss member
E = modulus of elasticity of truss member
α = coeffecient of linear expansion
ΔF = fabrication error of truss member
ΔT = change in temperature
Note: unless otherwise stated in the problem, the effect of thermal deformation
and fabrication errors are negligible.
Considering fabrication errors of
members of the truss
 
 F
u
F F

F
T
A 


 


VIRTUAL WORK METHOD
EQ. 1
EQ. 2
EQ. 3 EQ. 4
123
General Procedure : Deflection of Trusses by Virtual Work Method
1. Real System – Determine the internal forces at the members due to the external loads
by using the method of sections or joints. Consider tensile and compressive forces
to be positive and negative respectively. Likewise, increases in temperature and member
length; decreases in temperature and member length are positive and negative
respectively.
2. Virtual System - Removed all applied loads and apply a unit load at the point
in the truss in the direction of the desired deflection to form the virtual force
system. By using the method of joints or sections,determine force in all members
due to this load. Use the same sign convention for member forces, temperature
change and fabrication errors adopted in 1.
3. The desired deflection can now be determined by using EQ. 1 if deflection is due
to external loads, EQ. 2 if due to temperature change, EQ. 3 if due to fabrication
errors. If necessary use EQ. 4 to determine the deflection due to combined axial,
thermal change and fabrication errors. Positive results indicates that the deflection
conforms with the direction of the unit load; negative results indicates otherwise.
It is recommended that computations be arranged in tabular form.
124
40 kN
60 kN
A
B
C D
E
F
40 kN
60 kN
A
B
C D
E
F
4 m
3 m
3 m
∑MA = 0 40(6) + 60(3) – 4 RF = 0 RF = 105 kN
∑Fy = 0 Ay – RF = 0 Ay -105 = 0 Ay = 105 kN
∑Fx = 0 Ax – 40 – 60 = 0 Ax = 100 kN
RF
Ay
Ax
Problem
Determine the horizontal deflection of point D for the truss shown. Cross sectional areas
of horizontal and vertical members is 4000 sq. mm each, inclined members 5000 sq.mm.
E = 200000 MPa for all members.
125
40 CD =40 (C)
BC =0
Joint C
40
BD
DE
Joint D
∑Fx = 0
BD(4/5) – 40 = 0 BD =50 kN (T )
∑Fy = 0
DE – BD(3/5) = 0 DE = 30 kN (C)
C D
30
BE=0
Joint E
E
EF = 30 kN (C)
A
100
105
105
30
BF
AF
∑Fy = 0
BF(3/5)+ 30 - 105 = 0 BF = 125 kN (C)
∑Fx = 0
125(4/5) – AF = 0 AF = 100 kN (T)
100
AB = 105 kN (T)
F
Joint F
Joint A
126
1
A
B
C D
E
F
4 m
3 m
3 m
Ay
RF
Ax
∑MA = 0 1(6) – 4 RF = 0 RF = 1.5
∑Fy = 0 Ay – RF = 0 Ay -1.5 = 0 Ay = 1.5
∑Fx = 0 Ax – 1 = 0 Ax = 1
A
1
1.5
AF = 1 (T)
AB = 1.5 (T)
Joint A
1.5
EF
BF
1
∑Fx = 0
BF(4/5) - 1 = 0 BF = 1.25 (C)
∑Fy = 0
1.25(3/5) + EF – 1.5 = 0 EF =0.75 (C)
F
Joint F
Joint E
By inspection
DE= EF = 0.75 (C) BE = 0
Joint C
By inspection
CD= BC = 0
BD
0.75
Joint D
∑Fx = 0
BD(4/5) – 1 = 0
BD =1.25 (T )
D
0
1
127
40 kN
60 kN
A
B
C D
E
F
105
105
100
0
0
- 40
50 - 30
- 125
- 30
100
105
REAL SYSTEM
1
A
B
C D
E
F
4 m
1.5
1
1.5
1.0
0
0
0
-0.75
-0.75
-1.25
1.25
VIRTUAL SYSTEM
1.5
128
Member Fp (kN) Fu L (mm) mm2 )
.
( 2
mm
mm
kN
A
L
F
F u
P
AB 105 1.5 3000 4000 118.13
AF 100 1 4000 4000 100
BD 50 1.25 5000 5000 62.5
BF -125 -1.25 5000 5000 156.25
DE - 30 -0.75 3000 4000 16.88
EF - 30 -0.75 3000 4000 16.88
NOTE: members with zero forces may
not be included in the tabulation.
)
.
(
64
.
470 2
mm
mm
kN
A
L
F
F u
P




AE
L
F
F
p
u
D

mm
D 352
.
2
)
1000
(
200000
64
.
470



Horizontal Deflection of point D
129
129
Solve the preceding problem considering the effect of an
increase in temperature Of 300C.
C
mm
mm
x 0
6
10
7
.
11 


Member Fu L (mm) )
(mm
L
Fu
AB 1.5 3000 4500
AF 1 4000 4000
BD 1.25 5000 6250
BF -1.25 5000 -6250
DE -0.75 3000 -2250
EF -0.75 3000 -2250
)
(
4000 mm
L
Fu 

 
 T
L
Fu
T 



 
mm
T 404
.
1
)
30
(
10
)
7
.
11
(
4000 6






 mm
T
D
DT 756
.
3
404
.
1
352
.
2



130
130
Solve the preceding problem considering the effect of axial
load, temperature increase of 300C and that each member
was fabricated 0.005 mm too long.
Member Fu )
(mm
L
Fu
AB 1.5 0.005 0.0075
AF 1 0.005 0.005
BD 1.25 0.005 0.00625
BF -1.25 0.005 -0.00625
DE -0.75 0.005 -0.00375
EF -0.75 0.005 -0.00375
)
(
005
.
0 mm
F
Fu 


 


 mm
F
Fu
F 005
.
0








 mm
F
T
D
DT 761
.
3
005
.
0
404
.
1
352
.
2




F

131
A
B C D
E
F
G
H
100 kN
A
100 kN
200 kN
100 kN 100 kN
A
B
H
100
BC
BG
GH
300
4 at 3 m each = 12 m
A
B C D
E
F
G
H
100 kN
A
100 kN
200 kN
100 kN 100 kN
300 kN 300 kN
4m
4
3
5
AB
AH
300 kN
∑Fy =0
AB(4/5) – 300 = 0
AB = 375 kN (C)
∑Fx =0
AB(3/5) – AH = 0
375(3/5) – AH = 0
AH = 225 kN (T)
By symmetry
DE = 375 kN (C) EF = 225 kN (T)
225 GH = 225
100
BH = 100
Joint H
By symmetry
GF = 225 kN (T) DF = 100 kN (T)
G
∑MG = 0
4BC + 200(3) – 300 (6) = 0
BC = 300 kN (C) CD = 300 kN (C)
4
3
5
∑Fy =0
BG(4/5)+200 – 300 = 0
BG = 125 kN (T) DG = 125 kN (T)
100
By inspection; CG = 0
Problem
Determine the horizontal and vertical deflections of point G
for the truss shown. A = 4500 mm2,E=200 GPa for all members.
132
A
B C D
E
F
G
H
A
1
4 at 3 m each = 12 m
4m
1/2 1/2
4
3
5
AB
AH
1/2
∑Fy =0
AB(4/5) – 1/2 = 0
AB = 0.625 (C)
∑Fx =0
AB(3/5) – AH = 0
0.625(3/5) – AH = 0
AH = 0.375 (T)
By symmetry
DE = 0.675 (C)
EF = 0.375 (T)
0.375 GH = 0.375
BH = 0
Joint H
By symmetry
GF = 0.375 (T) DF = 0 A
B
H
BC
CH
GH
1/2
G
∑MG = 0
4BC - 1/2(6) = 0
BC = 0.75 (C) CD = 0.75 (C)
4
3
5
∑Fy =0
CH(4/5) – 1/2 = 0
CH = 0.625 (T) DG = 0.625 (T)
By inspection; CG = 0
133
A
B C D
E
F
G
H
A
1
1/2 1/2
-0.625 -0.625
0.375
0.625 0.625
0.375 0.375 0.375
-0.75 -0.75
0 0 0
VIRTUAL SYSTEM ( Vertical deflection of G)
A
B C D
E
F
G
H
100 kN
A
100 kN
200 kN
100 kN 100 kN
300 kN 300 kN
-375
225
-300
125 125
225 225 225
-375
-300
100 100
0
REAL SYSTEM
Member Fp (kN) Fu L (mm) mm2
)
.
( 2
mm
mm
kN
A
L
F
F u
P
AH 225 0.375 3000 4500 56.25
BC -300 -0.75 3000 4500 168.7
BG 125 0.625 5000 4500 86.8
CD -300 -0.75 3000 4500 168.7
DE -375 -0.625 5000 4500 260.42
DG 125 0.625 5000 4500 86.8
EF 225 0.375 3000 4500 56.25
AB -375 -0.625 5000 4500 260.42
FG 225 0.375 3000 4500 56.25
GH 225 0.375 3000 4500 56.25
)
.
(
81
.
256
,
1 2
mm
mm
kN
A
L
F
F u
P


134
200000
)
1000
(
81
.
1256

  AE
L
F
F U
P
GV

mm
GV 28
.
6


A
B C D
E
F
G
H
A
4 at 3 m each = 12 m
4m
1
1
4
3
5
AB = 0
AH =1 (T)
1
BH = 0
1
Joint A
Joint H
1
BG=0
CG=0
DG=0
GF=0
G
H
A
GH=1 (T)
1
135
A
B C D
E
F
G
H
A
4 at 3 m each = 12 m
4m
1
1
1
1
0 0
0
0 0
0
0
0
0
0
Member Fp (kN) Fu L (mm) mm2 )
.
( 2
mm
mm
kN
A
L
F
F u
P
AH 225 1 3000 4000 150
GH 225 1 3000 4000 150
)
.
(
300 2
mm
mm
kN
a
L
F
F U
p


Horizontal Deflection of point G
200000
1000
)
300
(

  AE
L
F
F U
p
GH

mm
GH 5
.
1


VIRTUAL SYSTEM ( Horizontal deflection of G)
136
Problem
Determine the vertical deflection of point G of the truss given in the previous problem
due to the given loads and fabrication errors of an increase of 0.2 mm in length for
tension members and 0.25 mm decrease in length for compression members. All
Other data remain unchanged. .
A
B C D
E
F
G
H
100 kN
A
100 kN
200 kN
100 kN 100 kN
300 kN 300 kN
-375
225
-300
125 125
225 225 225
-375
-300
100 100
0
REAL SYSTEM
A
B C D
E
F
G
H
A
1
1/2
-0.625 -0.625
0.375
0.625 0.625
0.375 0.375 0.375
-0.75 -0.75
0 0 0
VIRTUAL SYSTEM ( Vertical deflection of G)
1/2
137
Member Fp (kN) Fu L (mm) mm2
)
.
( 2
mm
mm
kN
A
L
F
F u
P
AH 225 0.375 3000 4500 56.25
BC -300 -0.75 3000 4500 168.7
BG 125 0.625 5000 4500 86.8
CD -300 -0.75 3000 4500 168.7
DE -375 -0.625 5000 4500 260.42
DG 125 0.625 5000 4500 86.8
EF 225 0.375 3000 4500 56.25
AB -375 -0.625 5000 4500 260.42
FG 225 0.375 3000 4500 56.25
GH 225 0.375 3000 4500 56.25
81
.
256
,
1

 A
L
F
F u
P
F
 F
u
F 
-0.25
-0.25
-0.25
-0.25
mm
mm
0.20
0.20
0.20
0.20
0.20
0.20
0.156
0.156
0.075
0.075
0.075
0.075
0.188
0.188
0.125
0.125
mm
F F
u 238
.
1




 

 F
u
U
P
GV F
AE
L
F
F




 mm
GV 518
.
7
238
.
1
2000
1000
81
.
1256

138
Problem
Determine the vertical deflection of point G of the truss given in the previous problem
due to the given loads and temperature increase of 200C . All Other data remain
unchanged. .
A
B C D
E
F
G
H
100 kN
A
100 kN
200 kN
100 kN 100 kN
300 kN 300 kN
-375
225
-300
125 125
225 225 225
-375
-300
100 100
0
REAL SYSTEM
A
B C D
E
F
G
H
A
1
1/2
-0.625 -0.625
0.375
0.625 0.625
0.375 0.375 0.375
-0.75 -0.75
0 0 0
VIRTUAL SYSTEM ( Vertical deflection of G)
C
m
m
0
7
.
11

 
1/2
139
Member Fp (kN) Fu L (mm) mm2
)
.
( 2
mm
mm
kN
A
L
F
F u
P
AH 225 0.375 3000 4500 56.25
BC -300 -0.75 3000 4500 168.7
BG 125 0.625 5000 4500 86.8
CD -300 -0.75 3000 4500 168.7
DE -375 -0.625 5000 4500 260.42
DG 125 0.625 5000 4500 86.8
EF 225 0.375 3000 4500 56.25
AB -375 -0.625 5000 4500 260.42
FG 225 0.375 3000 4500 56.25
GH 225 0.375 3000 4500 56.25
81
.
256
,
1

 A
L
F
F u
P
L
Fu
mm
-3125
-3125
1125
1125
1125
1125
-2250
-2250
3125
3125
0

 L
Fu

 

 T
L
F
AE
L
F
F
u
U
P
GV 




 mm
GV 28
.
6
0
200000
1000
81
.
1256

140
60 kN
100 kN
A
B C
D
6 m 6 m
4m
300 mm2
300 mm2
300 mm2 300 mm2
200 mm2
Problem
For the truss shown in the figure , if E = 200 GPa, determine the following:
a) the vertical deflection of B
b) the horizontal deflection of C
c) the horizontal deflection of D
60 kN
100 kN
A
B C
D
6 m 6 m
4m
300 mm2
300 mm2
300 mm2 300 mm2
200 mm2
∑MA = 0 100(6) + 60(4) - 12 Rc = 0 Rc = 70 kN
∑Fy = 0 Ay + Rc - 100= 0 Ay +70 -100 = 0 Ay = 30 kN
∑Fx = 0 Ax – 60 = 0 Ax = 60 kN
Ax
Ay Rc
141
60 kN
100 kN
A
B C
D
6 m 6 m
4m
60
30 70
C
70
2
3
3.61
∑Fy =0
CD(2/3.61) – 70 = 0
CD = 126.35 kN (C)
∑Fx =0
CD(3/3.61) – BC = 0
126.350(3/3.61) – BC = 0
BC= 105 kN (T)
CD
BC
100 kN
B 105
AB=105 kN (T)
BD = 100 kN (T)
A
60
30
105
AD
2
3.61
3
∑Fy =0
AD(2/3.61) – 30 = 0
AD = 54.15 kN (C)
-126.35
105
105
100
-54.15
REAL SYSTEM
142
1 kN
A
B
C
D
6 m 6 m
4m
1/2 1/2
C
1/2
2
3
3.61
∑Fy =0
CD(2/3.61) – 1/2 = 0
CD = 0.90 (C)
∑Fx =0
CD(3/3.61) – BC = 0
0.9(3/3.61) – BC = 0
BC= 0.75 (T)
By symmetry
AD =0.90 (C) AB = 0.75 (T)
By inspection BD = 1 (T)
CD
BC
-0.90 -0.90
1
0.75 0.75
Virtual System for vertical deflection of B
Member Fp (kN) Fu L (mm) mm2 )
.
( 2
mm
mm
kN
A
L
F
F u
P
AD -54.15 -0.90 7220 300 1,172.89
BC 105 0.75 6000 300 1,575
BD 100 1.0 4000 200 2,000
CD -126.35 -0.90 7220 300 2,736.74
AB 105 0.75 6000 300 1,575
2
.
63
.
9059
mm
mm
kN
A
L
F
F u
P


Vertical deflection of B


 mm
BV 5
.
45
200000
)
1000
(
63
.
9059

143
A
B
C
D
6 m 6 m
4m
0 0
0
1 1
1
1
C
2
3
3.61
BC=1 1
CD =0
BD =0
1
AB = 1
A
1 1
AD=0
2
3.61
3
B
Member Fp (kN) Fu L (mm) mm2
AB 105 1.0 6000 300 2100
BC 105 1.0 6000 300 2100
)
.
( 2
mm
mm
kN
A
L
F
F u
P
2
.
4200
mm
mm
kN
A
L
F
F u
P


Horizontal Deflection of point C
200000
1000
)
4200
(

  AE
L
F
F U
p
CH

mm
GH 21


Virtual System for horizontal deflection of C
144
A
B
C
D
6 m 6 m
4m
0.60 - 0.60
0
0.50 0.50
1
Ax
Ay
∑MA = 0 1(4) - 12 Rc = 0 Rc = 1/3
∑Fy = 0 Ay - Rc = 0 Ay -1/3 = 0 Ay = 1/3
∑Fx = 0 Ax – 1 = 0 Ax = 1
RC
C
1/3
2
3
3.61
∑Fy =0
CD(2/3.61) – 1/3 = 0
CD = 0.60 (C)
∑Fx =0
CD(3/3.61) – BC = 0
0.6(3/3.61) – BC = 0
BC= 0.5 (T)
BC
B 0.5
AB=0.5 (T)
BD = 0
A
1
1/3
0.5
AD
2
3.61
3
∑Fy =0
AD(2/3.61) – 1/30 = 0
AD = 0.60 (T)
Virtual system for horizontal deflection of D
145
Member Fp (kN) Fu L (mm) mm2
AD -54.15 0.60 7220 300 -781.93
BC 105 0.50 6000 300 1,050
CD -126.35 -0.60 7220 300 1,824.5
AB 105 0.50 6000 300 1,050
2
.
56
.
3142
mm
mm
kN
A
L
F
F u
P


Horizontal deflection of D


 mm
DH 71
.
15
200000
)
1000
(
56
.
3142

)
.
( 2
mm
mm
kN
A
L
F
F u
P


AE
L
F
F U
p
DH

146
90 kN
100 kN
A
B C
D
6 m 6 m
4m
400 mm2
400 mm2
300 mm2 300 mm2
200 mm2
For the truss shown in figure, determine the vertical deflection of joint B
If E = 200GPa.
Midterm Exam
I
147
For the frame shown in the figure, determine the vertical deflection of point E.
Assume constant EI for all members.
18 kN/m
2 m
2 m
6 m
A
B
C
E
3 m
F
G
75 kN
II
148
Methods of analysis
1. METHOD OF SUPERPOSITION
2. THREE MOMENT EQUATION
3. MOMENT DISTRIBUTION METHOD
4. SLOPE DEFLECTION METHOD
ANALYSIS OF STATICALLY INDETERMINATE BEAMS- the
process of determining the unkown reactions and end moments of
the beam so that the shear and moment diagrams of the beam can
be plotted.
Method of Superposition - Apply known slope or deflection formulas
to obtain equations involving slope or deflections.
The following table will be useful in applying the method of superposition
149
Loading Slope Deflection

P
L 

P
L 
w
EI
PL
2
2
EI
PL
3
3
EI
wL
6
3
EI
wL
8
4

2
L
2
L
P

b at center
)
4
3
(
48
2
2
b
L
EI
Pb

b=distance of P from the
nearer support
150

w
L
 EI
wL
24
3
EI
wL
30
4
M
EI
ML
EI
ML
2
2


2
L
2
L
P
L
w
L
at supports at center
at center
EI
PL
48
3
EI
wL
384
5 4
Loading Slope Deflection


EI
PL
16
2
at supports
EI
wL
24
3
 
151
w
a a
A
B C
w
A B
C
B

L = 2a
Remove redundant at B and solve for
Vertical deflection at B due to the given
loadings
EI
wL
B
384
5 4


C
B

L = 2a
B
RB
Remove applied loads and apply at RB at B
Solve for Vertical deflection at B due to RB.
EI
L
RB
B
48
3


By superposition of deflections;
of
settlement
B
B 


 B
iIlustration of method of superposition
152
W= 25 kN/m
6 m
A
B C
60 kN
3m
6 m
3m
60 kN
w
A B
C
B

L = 12m
C
B

L = 12 m
B
RB
60 kN
3m 3m
60 kN
 

 )
4
3
(
48
384
5 2
2
4
b
L
EI
Pb
EI
wL
B

EI
L
RB
B
48
3


Problem
Analyze the indeterminate beam shown by method of superposition.
Assume that support B does not settle.
153
 

 )
4
3
(
48
384
5
48
2
2
4
3
b
L
EI
Pb
EI
wL
EI
L
RB
 
kN
R
R
B
B
270
)
3
(
4
)
12
(
3
)
3
)(
60
(
2
8
)
12
)(
25
(
5
)
12
( 2
2
4
3




B
B 


kN
R
R C
A 75
2
270
)
12
(
25
)
60
(
2





154
W =25 kN/m
A B C
3m 3m
3m
3m
75 kN 75 kN
270 kN
60 kN 60 kN
75
-60
-135
135
1
2
A A’ B
MA’ = A1
MA’ = ½(75) 3 = 112.5 kN.m
MB – MA’ = A2
MB – 112.5 = -1/2(60+135) 3
MB = - 180 kN.m
-180
112.5 112.5
60
-75
0 0
V-Diagram
M-Diagram
155
Problem
Analyze the beam given in the previous problem if B settles 18 mm vertically
down. E = 200000 MPa and I = 600 x 106 mm4.
B
B 


 18
 


 )
4
3
(
48
384
5
18
48
2
2
4
3
b
L
EI
Pb
EI
wL
EI
L
RB
 
kN
N
R
R
EI
R
B
B
B
220
220000
82500
187500
)
12000
(
)
10
)(
500
(
200000
)
48
(
18
)
3000
(
4
)
12000
(
3
)
3
(
)
1000
)(
60
(
2
8
)
12000
)(
25
(
5
)
48
(
18
)
12000
(
3
6
2
2
2
4
3









kN
R
R C
A 100
2
220
)
12
(
25
)
60
(
2





156
W =25 kN/m
A B C
3m 3m
3m
3m
100 kN 100 kN
220 kN
60 kN
100
-35
-110
110
1
2
A A’ B
MA’ = A1
MA’ = ½(100) 3 = 150 kN.m
MB – MA’ = A2
MB – 150= -1/2(110+35) 3
MB = - 67.5 kN.m
-67.5
150 150
35
-100
0 0
V-Diagram
M-Diagram
25
-25
157
48 kN
6 m
24 kN/m
6m 1

24kN/m

48 kN
6m 
 2
2 
4m
6m

A B
RB
EI
wL
8
4
1 

4m

 2
2 
EI
PL
EI
PL 2
1
2
1
2 )
2
(
2 


EI
L
RB
3
3





 3
2
1 

 EQ. of Deformation
EI
L
R
EI
PL
EI
PL
EI
wL B
3
3
8
3
3
1
2
1
4



Problem;
Analyze the indeterminate beam shown in figure.
3

EI
PL
3
3
1
3 

158
RA = 24(6)+48 – 78.89 =113.11
MA = 78.89(6) – 48(4) – 24(6)(3) = -150.66 kN.m
6 m
24 kN/m
4m
A
B
113.11 78.89
150.66
-150.66
48 kN
17.11
-30.89
113.11
-78.89
A C
B
1
2
1
A
M
M A
C 

m
kN
M
M
C
C
.
78
.
109
4
2
11
.
17
11
.
113
)
66
.
150
(






 



2
A
M
M C
B 

1
A
M
M A
C 

0
2
2
89
.
78
89
.
30
78
.
109






 


B
B
M
M
109.78
3
)
6
(
3
)
4
(
48
)
4
(
48
8
)
6
(
24 3
3
2
4
B
R



RB = 78.89
V-Diagram
M-Diagram
159
h1 h3
L1 L2
Any Loading
A1
a1
A2
a2
Moment diagram
due to loads on L1
Moment diagram
due to loads on L2
1
2 3
Continuous Beams :Three Moment Equation
A relation between the moments at any three points on a beam
and their relative vertical distances and deviation.
SYMBOLS & NOTATIONS
M1, M2, M3 = moments at points 1,2 & 3
L1 = horizontal distance between points
1 & 2, span # 1
L2 = horizontal distance between points
2 & 3, span # 2
h1=vertical deviation of point 1 with
respect to point 2
h3=vertical deviation of point 3 with
respect to point 2
I1 = moment of inertia of section of span #1
I2 = moment of inertia of section of span #2
E1,E2 = modulus of elasticity of sections
of span #1 and #2
A1a1 = moment of area of Moment diagram
of the loads on span #1 about the
left end of span # 1
A2a2 = moment of area of Moment diagram
of the loads on span #2 about the
right end of span # 2
M1
L1
L2
Moment diagram
due to end
moments
M2
M2
M3
160
2
/
1
1 t
h 
2
/
1
t
h1
h3
3
2
/
3 h
t 
2
/
3
t
L1
L2
1
2
3
2
3
2
/
3
1
2
/
1
1
L
h
t
L
t
h 


2
3
1
1
2
2
/
3
1
2
/
1
L
h
L
h
L
t
L
t



1
1
1
1
2
1
1
1
1
1
2
/
1
)
3
2
(
2
1
)
3
1
(
2
1
I
E
L
L
M
L
L
M
a
A
t



1
1
2
1
2
2
1
1
1
1
2
/
1
3
1
6
1
I
E
L
M
L
M
a
A
t



EQ.1
EQ.2
161
2
2
2
2
2
2
2
3
2
2
2
/
3
)
3
2
(
2
1
)
3
1
(
2
1
I
E
L
L
M
L
L
M
a
A
t



2
2
2
2
2
2
2
3
2
2
2
/
3
3
1
6
1
I
E
L
M
L
M
a
A
t


 EQ.3
2
3
1
1
2
2
2
2
2
2
2
2
3
2
2
1
1
1
2
1
2
2
1
1
1
1
3
1
6
1
3
1
6
1
L
h
L
h
L
I
E
L
M
L
M
a
A
L
I
E
L
M
L
M
a
A
































2
3
1
1
2
2
2
2
2
1
1
1
1
1
2
2
2
2
2
2
2
3
1
1
1
2
1
1
1
1
6
6
6
2
2
L
h
L
h
L
I
E
a
A
L
I
E
a
A
I
E
L
M
I
E
L
M
I
E
L
M
I
E
L
M



















2
3
1
1
2
2
2
2
2
1
1
1
1
1
2
2
2
3
2
2
2
1
1
1
2
1
1
1
1
6
6
6
2
L
h
L
h
L
I
E
a
A
L
I
E
a
A
I
E
L
M
I
E
L
I
E
L
M
I
E
L
M
Multiplying by 6 and simplifying
Substituting EQs 2 and 3 in EQ. 1
162



















2
3
1
1
2
2
2
2
1
1
1
1
2
2
3
2
2
1
1
2
1
1
1
6
6
6
2
L
h
L
h
E
L
I
a
A
L
I
a
A
I
L
M
I
L
I
L
M
I
L
M
  












2
3
1
1
2
2
2
1
1
1
2
3
2
1
2
1
1 6
6
6
2
L
h
L
h
EI
L
a
A
L
a
A
L
M
L
L
M
L
M



















2
3
1
1
2
2
2
2
2
1
1
1
1
1
2
2
2
3
2
2
2
1
1
1
2
1
1
1
1
6
6
6
2
L
h
L
h
L
I
E
a
A
L
I
E
a
A
I
E
L
M
I
E
L
I
E
L
M
I
E
L
M
If E is constant
If E and I are constants
  0
6
6
2
2
2
2
1
1
1
2
3
2
1
2
1
1 





L
a
A
L
a
A
L
M
L
L
M
L
M
General Form of the three moment equation
If E and I are constants, h1 = h3 = 0
163
1
1
1
6
L
a
A
2
2
2
6
L
a
A
Type of loading
and span
P
a b
L
 
2
2
a
L
L
Pa
  
2
2
b
L
L
Pb

w
L
L
4
3
wL
4
3
wL
60
8 3
wL
60
7 3
wL
w
164
1
1
1
6
L
a
A
2
2
2
6
L
a
A
Type of loading
and span
L
w
L
L
4
3
wL
32
5 3
wL
L
L
a
M )
3
( 2
2


60
8 3
wL
60
7 3
wL
M
a
b L
L
b
M )
3
( 2
2

w
165
24 kN
2 m 2 m 6 m
6 kN/m
A B
D
C
3 m
2 m
48 kN
Considering points A, B and C
MA = 0     2
.
403
2
5
5
)
2
(
48
6 2
2
2
2
1
1
1




 a
L
L
Pa
L
a
A
    144
2
4
4
)
2
(
24
6 2
2
2
2
2
2
2




 b
L
L
Pb
L
a
A
L1 =5
L2 =4
  0
6
6
2
2
2
2
1
1
1
2
2
1
1 





L
a
A
L
a
A
L
M
L
L
M
L
M C
B
A
  0
144
2
.
403
4
4
5
2 



 C
B M
M
0
2
.
547
4
18 

 C
B M
M EQ. 1
Problem
Analyze the indeterminate beam shown by three moment equation.
Assume constant EI.
h1 =0
h3 =0
166
Considering points B ,C and D
MD = 0     144
2
4
4
)
2
(
24
6 2
2
2
2
1
1
1




 a
L
L
Pa
L
a
A
864
4
)
6
(
16
4
6 3
3
2
2
2



wL
L
a
A
L1 =4
L2 =6
  0
6
6
2
2
2
2
1
1
1
2
2
1
1 





L
a
A
L
a
A
L
M
L
L
M
L
M D
C
B
  0
864
144
)
0
(
6
6
4
2
4 




 C
B M
M
0
252
5 

 C
B M
M EQ. 2
252
5 

 C
B M
M
0
2
.
547
4
)
252
5
(
18 



 C
C M
M
0
2
.
547
4
4536
90 



 C
C M
M MC = -46.38 kN.m
MB = -20.1 kN.m
167
Any Loading
A B
C
Any Loading
A B C
+MA
+MB Any Loading
B
+MB
+MC
Positive sense of end moments: if end moments are positive they must be
plotted as illustrated below, if negative plot it otherwise
Note:
After the end moments are plotted, neglect negative signs; in computing
reactions using ∑M = 0 positive moments depends on your assumption
RA RB1 RB2 RC
For interior reactions
COMPUTATION OF REACTIONS
2
1 B
B
B R
R
R 

168
A B
3 m
2 m
48 kN
20.1
0
RA
RB1
∑MB = 0
RA(5) + 20.1 – 48(3) = 0 RA = 24.78 kN
∑Fy = 0 RB1 + RA – 48 =0 RB1 = 23.22 kN
+
24 kN
2 m 2 m
B
C
20.1 46.38
∑MB = 0
RC1(4)- 46.38 +20.1 – 24(2) = 0 RC1 = 18.57 kN
∑Fy = 0 RB2 + RC1 – 24 =0 RB2 = 5.43 kN
+
RB2 RC1
6 m
6 kN/m
D
C
46.38 0
RC2 RD
∑MC = 0
RD(6)+46.38 –6 (6)3 = 0 RD = 10.27 kN
∑Fy = 0 RD + RC2 – 6(6) =0 RC2 =25.73 kN
+
kN
R
R
R B
B
B 65
.
28
2
1 


kN
R
R
R C
C
C 3
.
44
2
1 


169
24 kN
2 m 2 m 6 m
6 kN/m
A B
D
C
3 m
2 m
48 kN
24.78 28.65 44.3 10.27
24.78
-23.22
5.43
-18.57
25.73
-10.27
A 1 B 2 C 3 D
4.29 1.71
1
2
3
4
5
6
M1 = A1
M1 = 24.78(2) = 49.56
MB – M1 = A2
MB - 49.56= -23.22(3)
MB = -20.1
M2-MB = A3
M2- (-20.1) = 5.43(2)
M2 =-9.24
MC – M2 =A4
MC-(-9.24)=-18.57(2)
MC = - 46.38
M3 – MC = A5
M3- (-46.38) =1/2(25.73)(4.29)
M3 =8.81
MD – M3 = A6
MD -8.81 =1/2(10.2)(1.71)
MD =0
49.56
-20.1
-9.24
-46.28
8.81
170
64 kN
2 m
2 m 6 m
16 kN/m
A
B
48 kN
C
Considering points A, B and C
MA = 0
    384
2
4
4
)
2
(
64
6 2
2
2
2
1
1
1




 a
L
L
Pa
L
a
A
    1504
4
)
6
(
16
4
6
6
)
4
(
48
4
6 3
2
2
3
2
2
2
2
2







wL
b
L
L
Pb
L
a
A
L1 =4
L2 =6
  0
6
6
2
2
2
2
1
1
1
2
2
1
1 





L
a
A
L
a
A
L
M
L
L
M
L
M C
B
A
  0
1504
384
6
6
4
2 



 C
B M
M
0
1888
6
20 

 C
B M
M EQ.1
2 m
Problem
Analyze the indeterminate beam
Shown assuming constant EI.
171
64 kN
2 m 2 m 6 m
16 kN/m
A
B
48 kN
Imaginary span
C
D
Note: all values for imaginary span is 0
Considering points B,C and D
MD = 0
    1376
4
)
6
(
16
2
6
6
)
2
(
48
4
6 3
2
2
3
2
2
1
1
1







wL
a
L
L
Pa
L
a
A
0
6
2
2
2

L
a
A
L1 =6
L2 =0
  0
6
6
2
2
2
2
1
1
1
2
2
1
1 





L
a
A
L
a
A
L
M
L
L
M
L
M D
C
B
0
1376
6
2
6 

 C
B M
M
0
688
6
3 

 C
B M
M EQ. 2
172
0
1888
6
20 

 C
B M
M
0
1200
17 

B
M
0
688
6
3 

 C
B M
M
MB = -70.59 kN.m MC = -79.37 kN.m
A B
2 m
2 m
64 kN
70.59
0
RA
RB1
∑MB = 0
RA(4) + 70.59 – 64(2) = 0 RA = 14.35 kN
∑Fy = 0 RB1 + RA – 64 =0 RB1 = 49.65 kN
+
48 kN
6 m
16 kN/m
B C
70.59 79.37
RB2
RC
∑MB = 0
RC(6)+ 70.59 - 79.37 – 48(2)- 16(6)3 = 0
RC = 65.46 kN
∑Fy = 0 RB2 + RC – 48 – 16(6)=0 RB2 = 78.54 kN
+
kN
R
R
R B
B
B 19
.
128
2
1 


2 m
173
64 kN
2 m
2 m
6 m
16 kN/m
A
B
48 kN
C
2 m
14.35 128.19 65.46
14.35
-49.65
78.54
46.54
-1.46
-65.46
4
3
2
1
A 1 B 2 C
M1 – MA = A1
M1 – 0 = 14.35(2)
M1 = 28.7 kN.m
MB - M1 =A2
MB – 28.7 =- 49.65(2)
MB = -70.59 kN.m
M2 – M3 =A3
M2 –(-70.59) = ½(78.54+46.54)2
M2 = 54.49 kN.m
MC – M2 = A4
MC- 54.49=-1/2(1.46+65.46)4
MC = - 79.37 kN.m
28.7
-70.59
54.49
-79.37
174
114 kN
36 kN/m
D
B
A
2 m
90 kN
2 m 2 m
C
2 m
5 m
114 kN
36 kN/m
D
B
A
2 m
90 kN
2 m 2 m
C
2 m
5 m
A’
1 m
1 m
Considering points A’, A and B
MA’ = 0
    240
1
3
3
)
1
(
90
6 2
2
2
2
2
2
2




 b
L
L
Pb
L
a
A
L1 =0 L2 =3
  0
6
6
2
2
2
2
1
1
1
2
2
1
1
'






L
a
A
L
a
A
L
M
L
L
M
L
M B
A
A
0
6
1
1
1

L
a
A
  0
240
3
3
0
2 


 B
A M
M
1
.
0
120
5
.
1
3 EQ
M
M B
A 



Problem:
Analyze the indeterminate beam
shown assuming constant EI.
175
Considering points A, B and C
    300
2
3
3
)
2
(
90
6 2
2
2
2
1
1
1




 a
L
L
Pa
L
a
A
    684
2
4
4
)
2
(
114
6 2
2
2
2
2
2
2




 b
L
L
Pb
L
a
A
L1 =3
L2 =4
  0
6
6
2
2
2
2
1
1
1
2
2
1
1 





L
a
A
L
a
A
L
M
L
L
M
L
M C
B
A
  0
684
300
4
4
3
2
3 




 C
B
A M
M
M
2
.
0
984
4
14
3 EQ
M
M
M C
B
A 




1
.
0
120
5
.
1
3 EQ
M
M B
A 



3
.
0
864
4
5
.
12 EQ
M
M C
B 



subtract
176
Considering points B ,C and D
MD =-36(2)(1)= -72 kN.m
    684
2
4
4
)
2
(
114
6 2
2
2
2
1
1
1




 a
L
L
Pa
L
a
A
1125
4
)
5
(
36
4
6 3
3
2
2
2



wL
L
a
A
L1 =4
L2 =5
  0
6
6
2
2
2
2
1
1
1
2
2
1
1 





L
a
A
L
a
A
L
M
L
L
M
L
M D
C
B
  0
1125
684
)
72
(
5
5
4
2
4 





 C
B M
M
36 kN/m
D
2 m
  0
1449
5
4
2
4 


 C
B M
M
Divide by 4.5
4
.
0
322
4
89
.
0 EQ
M
M C
B 



3
.
0
864
4
5
.
12 EQ
M
M C
B 



0
542
61
.
11 

B
M m
kN
MB .
68
.
46


0
322
4
)
68
.
46
(
89
.
0 


 C
M m
kN
MC .
11
.
70


1
.
0
120
5
.
1
3 EQ
M
M B
A 



0
120
)
68
.
46
(
5
.
1
3 



A
M m
kN
MA .
66
.
16


0
984
)
11
.
70
(
4
)
68
.
46
(
14
)
66
.
16
(
3 






Check
subtract
177
B
A
2 m
90 kN
1 m
16.66 46.68
114 kN
B
2 m 2 m
C
46.68 70.11
36 kN/m
D
C
2 m
5 m
70.11
RA
RB1
RB2 RC1
RC2 RD
∑MA = 0
RB1(3)+ 16.66 – 46.68 – 90(2) = 0
RB1 = 70 kN
∑Fy = 0 RB1 + RA – 90 =0 RA = 20 kN
+
∑MB = 0
RC1(4)+ 46.68 – 70.11 – 114(2) = 0
RC1 = 62.86 kN
∑Fy = 0 RB2 + RC 1– 114 =0 RB2 = 51.14 kN
+
∑MC = 0
RD(5)+ 70.11 – 36(7)3.5 = 0
RD = 162.38 kN
∑Fy = 0 RC2 + RD – 36(7)=0 Rc2 = 89.62 kN
RB = 70 + 51.14 =121.14 kN
RC = 62.86 + 89.62 = 152.48 kN
+
178
114 kN
36 kN/m
D
B
A
2 m
90 kN
2 m 2 m
C
2 m
5 m
1 m
20 121.14 152.48 162.38
20
-70
51.14
-62.86
89.62
-90.38
72
2.49
2.51
5
6
7
4
3
2
1
Point of zero shear
36x = 92.03 x = 2.56
16.66 M1 – MA = A1
M1 – (-16.66) = 20(2)
M1 = 23.34 kN.m
MB - M1 =A2
MB – 23.34 =- 70(1)
MB = -46.68 kN.m
M2 – MB =A3
M2 –(-46.68) =(51.14)2
M2 = 55.6 kN.m
MC – M2 = A4
MC- 55.6= -(62.86)2
MC = - 70.11 kN.m
M3 – Mc = A5
M3- (-70.11)= 1/2(89.62)2.49
M3 = 41.47 kN.m
MD – M3 = A6
MD- 41.47= -1/2(90.48)2.51
MD = - 72 kN.m
ME – MD = A7
ME-(- 72)= 1/2(72)2
ME = 0
A 1 B 2 C 3 D E
23.34
-16.66
-46.68
56.12
-70.11
35.73
-72
0
179
124+N kN
26N kN/m
D
B
A
90 +NkN
2 m 2 m
C
2 m
5 m
3m
24+3N kN
2 m 2 m 6 m
4N kN/m
A B
D
C
3 m
2 m
48+2N kN
Plate # 8 : Three Moment Equation
Analyze the indeterminate beams
shown by using the three
moment equation.
E
180
Carry over moment – the moment induced at fixed end of
a beam by the action of a moment applied at the other
end. When a moment MB is applied at B and flexes the
beam it induced a wall moment MA at A such that :
L
EI
MB

4

MB
-1/2MB
B
A
Beam stiffness – the moment required by the simply supported end of a
beam to produce a unit rotation of that end the other end being rigidly
fixed.
Absolute stiffness Relative Stiffness
L
EI
kabs
4

L
I
k 
B
A M
M
2
1



MOMENT DISTRIBUTION
181
Distribution Factors of any member of joint


k
k
DF
k = stiffness of the member
∑k = sum of stiffness of all members meeting at the joint
A B C
Member BA
Joint B
Member
BC
Joint B
- + - +
Convention of signs for fixed end moment
For external supports
Fixed end
DF= 0
Hinged end
DF= 1.0
182
Fixed End Moments of typical loadings
2
2
L
b
Pa
12
2
wL

Loading MA MB
P
L
w
A B
w
A
12
2
wL
2
2
L
Pab

a b
A B
L
L
30
2
wL

20
2
wL
B
183
96
5 2
wL

Loading MA MB
L
w
A
96
5 2
wL
2
6
L
EI

L
L
20
2
wL

30
2
wL
B
 2
6
L
EI

w
A B
A B
184
General Procedure: Moment Distribution
1. Lock all joints against rotation. Compute the fixed end moments.
2. Compute the distribution factors of each member of joint using
3. Prepare the table of moment distribution. Indicate by arrows how the
moments will be distributed to adjacent joints
4. Unlock each support and compute the balancing moment (BM)
using BM =( Sum or Difference in moment at joint)DF
sign of BM - take the sign of the moment with the smaller absolute value;
if the moments are of the same sign take the opposite sign
Sum – if the moments are of the same sign
Difference- if the moments are of opposite sign
5. Carry over one half of BM to the adjacent joints as indicate by the arrows
in step 3
6. Repeat steps 4 and 5 until the moment to be distributed becomes
negligible
MODIFIED STIFFNESS METHOD
For continuous beams with hinge or rollers ends the moment at this end is
zero. Multiplying the stiffness of this member by ¾ eliminates any further
distribution of moment at this ends.


k
k
DF
185
30 kN
24 kN/m
A
C
B
5 m 5 m
3 m
Problem
Analyze the indeterminate beam shown by moment distribution method .
Using the modified stiffness method. Assume constant EI.
Fixed end Moments
m
kN
L
Pab
M AB
F .
09
.
21
8
)
3
)(
5
(
30
2
2
2
2






m
kN
L
Pba
M BA
F .
15
.
35
8
)
5
)(
3
(
30
2
2
2
2



m
kN
wL
M BC
F .
50
12
)
5
(
24
12
2
2






186
m
kN
wL
M CB
F .
50
12
)
5
(
24
12
2
2



Member Absolute K Relative K
AB,BA I/8 1/8(40)= 5
BC,CB I/5 1/5(40)= 8
Distribution Factors


k
k
DF
38
.
0
8
5
5





BC
BA
BA
BA
k
k
k
DF
62
.
0
8
5
8





BC
BA
BC
BC
k
k
k
DF
0
.
1

AB
DF
0

CB
DF
Note: in any interior joint, the sum
of the distribution factors is 1.
187
Joint A B C
Member AB BA BC CB
DF 1.0 0.38 0.62 0
FEM -21.09 35 .15 - 50 50
BM 21.09 5.64 9.21
COM 2.82 10.54 4.6
BM -2.82 - 4.0 -6.54
COM - 2.0 -1.41 -3.27
BM 2. 0 0.54 0.87
COM 0.27 1. 0 0. 43
BM -0.27 - 0.38 -0.62
COM -0.19 - 0.13 -0.31
BM 0.19 0.06 0.07
COM 0.03 0.09 0.03
BM - 0.03 -0.04 -0.05
COM -0.02 -0.01 -0.02
BM 0.02 0.00 0.01
Final End Moment 0 47.05 -47.05 51.4 6
Moment Distribution Table ( Regular Method)
Plotting of end moments + -
188
Using Modified Stiffness Method
Member Absolute K ModifiedRelative K Relative K
AB,BA I/8 ( ¾) (1/8) ¾(1/8)(40)= 3.75
BC,CB I/5 (1/5) ( 1/5)(40)= 8
Distribution Factors
32
.
0
8
75
.
3
75
.
3





BC
BA
BA
BA
k
k
k
DF
68
.
0
8
75
.
3
8





BC
BA
BC
BC
k
k
k
DF
0
.
1

AB
DF
0

CB
DF
189
Joint A B C
Member AB BA BC CB
DF 1.0 0.32 0.68 0
FEM -21.09 35.15 - 50 50
BM 21.09
COM 10.54
Adjusted FEM 0 45.69 -50 50
Moment Distribution Table ( Modified Stiffness Method)
BM 1.38 2.93
COM 1.46
Final End Moment 0 47.07 -47.07 51.46
190
A B
5 m 3 m
24 kN/m
C
B
30 kN
47.07
47.07
∑MA = 0
RB1(8)- 47.07– 30(5) = 0
RB 1= 24.63 kN
∑Fy = 0 RB1 - RA – 30 =0 RA = 5.37 kN
+
∑MB = 0
RC(5)+ 47.07- 51.46 – 24(5)2.5 = 0
RC = 60.88kN
∑Fy = 0 RB2 + RC – 24(5) =0 RB2 = 59.12kN
+
5 m
RB = 24.63 + 59.12 = 83.75 kN
RA
RB1
RB2 RC
51.46
191
30 kN
24 kN/m
A C
B
5 m 5 m
3 m
5.37 83.75 60.88
5.37
-24.63
59.12
2.46
-60.88
2.54
26.85
-47.07
25.64
-51.46
A
B
2
C
1
2
3
4
46
.
51
)
54
.
2
)(
88
.
60
(
2
1
)
64
.
25
(
64
.
25
)
46
.
2
)(
12
.
59
(
2
1
)
07
.
47
(
07
.
47
)
3
(
63
.
24
85
.
26
85
.
26
)
5
(
37
.
5
0
4
2
2
2
3
2
2
1
1
1
1
1

























C
C
C
B
B
B
B
A
M
M
A
M
M
M
M
A
M
M
M
M
A
M
M
M
M
A
M
M
192
124+N kN
26N kN/m
D
B
A
90 +NkN
2 m 2 m
C
2 m
5 m
3m
24+3N kN
2 m 2 m 6 m
4N kN/m
A B
D
C
3 m
2 m
48+2N kN
Plate # 9 : Moment Distribution
Analyze the indeterminate beams
shown by using the moment
Distribution method
E
193
120 kN
24 kN/m
A
C
B
5 m 5 m
3 m
Problem
Analyze the indeterminate beam shown by moment distribution method .
Assume constant E.
36 kN/m
9 m
D
I I 2I
Fixed end Moments
m
kN
L
Pab
M AB
F .
67
.
66
8
)
3
)(
5
(
120
2
2
2
2






m
kN
L
Pba
M BA
F .
6
.
140
8
)
5
)(
3
(
120
2
2
2
2



m
kN
wL
M BC
F .
50
12
)
5
(
24
12
2
2






m
kN
wL
M CB
F .
50
12
)
5
(
24
12
2
2


 m
kN
wL
M DC
F .
243
12
)
9
(
36
12
2
2



m
kN
wL
M CD
F .
243
12
)
9
(
36
12
2
2






194
Using Modified Stiffness Method
Member Absolute K ModifiedRelative K Relative K
AB,BA I/8 ( ¾) (1/8)=3/32 3/32(360)= 33.75
BC,CB I/5 (1/5) ( 1/5)(360)= 72
CD,DC 2I/9 (2I/9) ( 2/9)(360)=80
Distribution Factors
32
.
0
72
75
.
33
75
.
33





BC
BA
BA
BA
k
k
k
DF
68
.
0
72
75
.
33
72





BC
BA
BC
BC
k
k
k
DF
0
.
1

AB
DF
0

DC
DF
47
.
0
80
72
72





CD
CB
CB
CB
k
k
k
DF
53
.
0
80
72
80





CD
CB
CD
CD
k
k
k
DF
Joint A B C D
Member AB BA BC CB CD DC
DF 1.0 0.32 0.68 0.47 0.53 0
FEM -66.67 140.6 - 50 50 -243 243
Moment Distribution Table ( Modified Stiffness Method)
66.67
BM
COM 33.33
ADJUSTED
FEM
0 173.93 - 50 50 -243 243
BM
COM
-39.66 -84.27 90.71 102.29
45.35 -42.13 51.14
BM
COM
BM
COM
-14.51 -30.84 19.80 22.33
-15.32
9.90 11.16
-6.73
-3.17 8.12
7.2
3.60 - 3.36 4.06
BM
COM
-1.15 -2.45 1.58 1.78
-1.22 0.89
0.79
BM
COM
-0.25 -0.54 0.57 0.65
-0.27
0.28 0.32
BM -0.09 -0.19 0.13 0.14
Final End
Moment
0 115.1 -115.1 107.69 -107.69 310.57
120 kN
A
B
5 m 3 m
24 kN/m
C
B
5 m
36 kN/m
9 m
D
115.1
115.1
107.69 107.69 310.57
C
16
.
30

A
R 1
B
R
2
B
R 1
C
R 2
C
R 54
.
184

D
R
196














kN
R
R
F
kN
R
R
M
B
B
y
A
A
B
39
.
89
0
120
61
.
30
0
61
.
30
0
)
3
(
120
1
.
115
8
0
1
1















kN
R
R
F
kN
R
R
M
C
C
y
B
B
C
52
.
58
0
)
5
(
24
48
.
61
0
48
.
61
0
5
.
2
)
5
(
24
1
.
115
69
.
107
5
0
1
1
2
2
+















kN
R
R
F
kN
R
R
M
D
D
y
C
C
D
54
.
184
0
)
9
(
36
46
.
139
0
46
.
139
0
5
.
4
)
9
(
36
69
.
107
57
.
310
9
0
2
2
+
197
120 kN
24 kN/m
A
C
B
5 m 3 m
36 kN/m
9 m
D
I I 2I
61
.
30

A
R 54
.
184

D
R




kN
R
R
B
B
87
.
150
48
.
61
39
.
89
87
.
150

B
R




kN
R
R
C
C
98
.
197
46
.
139
52
.
58
98
.
197

C
R
30.61
-89.39
61.48
5 m
-58.52
139.46
-184.54
2.56
3.87
1
2
3
4
5
6
1
1
A B 2 C 3
D
05
.
153
)
5
(
61
.
30
1
1
1



M
A
M
1
.
115
)
3
(
39
.
89
05
.
153
2
1







B
B
B
M
M
A
M
M
4
.
36
)
56
.
2
)(
48
.
61
(
2
1
)
1
.
115
(
2
2
3
2







M
M
A
M
M B
153.05
-115.1 -107.69
-36.4
162.16
310.57
198
120 kN
24 kN/m
A
C
B
5 m 3 m
36 kN/m
9 m
D
I I 2I
61
.
30

A
R 54
.
184

D
R




kN
R
R
B
B
87
.
150
48
.
61
39
.
89
87
.
150

B
R




kN
R
R
C
C
28
.
199
46
.
139
52
.
58
28
.
199

C
R
30.61
-89.39
61.48
5 m
-58.52
139.46
-184.54
2.56
3.87
1
2
3
4
5
6
1
1
A B 2 C 3
D
05
.
153
)
5
(
61
.
30
1
1
1



M
A
M
1
.
115
)
3
(
39
.
89
05
.
153
2
1







B
B
B
M
M
A
M
M
4
.
36
)
56
.
2
)(
48
.
61
(
2
1
)
1
.
115
(
2
2
3
2







M
M
A
M
M B
153.05
-115.1 -107.69
-36.4
162.16
310.57
199
69
.
107
)
44
.
2
)(
42
.
58
(
2
1
)
4
.
36
(
4
2








C
C
C
M
M
A
M
M
16
.
162
)
87
.
3
)(
46
.
139
(
2
1
)
69
.
107
(
3
3
5
3






M
M
A
M
M C
57
.
310
)
13
.
5
)(
54
.
184
(
2
1
)
16
.
162
(
6
3







D
D
D
M
M
A
M
M
200
A
C
B
5 m 5 m
3 m
Problem
Analyze the indeterminate beam shown by moment distribution method .
Support B settle down 10 mm. E= 200 GPa ,I = 600 x 106 mm4
10 mm
m
kN
M
x
M
mm
N
mm
mm
mm
mm
N
L
EI
M
FAB
FAB
FAB
.
5
.
112
)
10
(
1
)
8000
(
10
)
10
(
600
)
200000
(
6
.
6
6
2
6
2
4
2
2









m
kN
M
L
EI
M
FBA
FBA
.
5
.
112
6
2





m
kN
M
x
M
L
EI
M
FBC
FBC
FBC
.
288
)
10
(
1
)
5000
(
10
)
10
(
600
)
200000
(
6
6
6
2
6
2




m
kN
M
L
EI
M
FCB
FCB
.
288
6
2



201
Member Absolute K M0dified K Relative K
AB,BA I/8 ¾(1/8) 3/4 (1/8)(160)= 15
BC,CB I/5 1/5(160)= 32
Distribution Factors


k
k
DF
32
.
0
32
15
15





BC
BA
BA
BA
k
k
k
DF
68
.
0
32
15
32





BC
BA
BC
BC
k
k
k
DF
0
.
1

AB
DF
0

CB
DF
202
Joint A B C
Member AB BA BC CB
DF 1.0 0.32 0.68 0
FEM -112.5 -112.5 288 288
Moment Distribution Table ( Modified Stiffness Method)
112.5
BM
COM 56.25
Adjusted FEM 0 -56.25 288 288
BM
COM
-74.16 -157.59
-78.79
0 -130.41 130.41 209.21
Final end moment
203
A
B
5 m 3 m
130.41
C
B
5 m
130.41
209.21
A
R
1
B
R 2
B
R
C
R








kN
R
kN
R
R
M
B
A
A
B
3
.
16
3
.
16
0
41
.
130
)
8
(
0
1









kN
R
kN
R
R
M
B
C
C
B
92
.
67
92
.
67
0
21
.
209
41
.
130
)
5
(
0
2



 kN
RB 22
.
84
92
.
67
3
.
16
204
A
C
B
5 m 5 m
3 m 10 mm
kN
RA 3
.
16
 kN
RC 92
.
67

kN
RB 22
.
84

16.3
-67.92
21
.
209
5
)
92
.
67
(
41
.
130
41
.
130
)
8
(
3
.
16
0
2
1











C
C
B
C
B
B
A
B
M
M
A
M
M
M
M
A
M
M
130.41
-209.21
1
2
205
Joint A B C
Member AB BA BC CB
DF 1.0 0.32 0.68 0
FEM -21.09 35.15 - 50 50
BM 21.09
COM 10.54
Adjusted FEM 0 45.69 -50
Moment Distribution Table ( Modified Stiffness Method)
BM 1.38 2.93
COM 1.46
Final End Moment 0 47.07 -47.07 51.46
206
SLOPE DEFLECTION METHOD
The slope deflection equations relate the moments at the end of the member
Of the member to the rotation and displacements of its ends and the external
load applied to the member.
Any type of loading
N
F
N
F

N
 
F

L
207
NF
F
N
NF FEM
L
EI
M 


 )
3
2
(
2



Slope deflection equation
Where :
NF
M
N

F


NF
FEM
= end moment
= rotation at the near end of the member
= rotation at the far end of the member
= rotation of the chord joining the elastic curve at the near
and far ends of the member
= fixed end moment due to the loadings in the member
Note: member end moments, end rotations, are positive when
clockwise
subscript N refers to the near end of the member
subscript F refers to the far end of the member
Use the same sign convention for FEM as in moment distribution
L



 = settlement of support
208
Degree s of Freedom
The unknown joint displacements(translation and rotation) are referred to as the
degrees of freedom of the structure. The number of degrees is called degree
of kinematic indeterminacy. If a structure does not have a degree of freedom
then it is called kinematically determinate.
Equations of Equilibrium of Interior Joints
Because the entire structure are in equilibrium, each of its members and joints
must also be in equilibrium thus in the figure below;
BA
M BC
M


 0
BC
BA M
M Joint condition equation
209
Analysis of Continuous beams by slope deflection method
1. Identify the degrees of freedom of the structure. For continuous beams,
the degrees of freedom consist of the unknown rotation of joints.
2. Compute the fixed end moments using the same table in moment distribution.
3. If there are support setllements, determine the rotation of the chords of the
members adjacent to the supports by
L



4. Write the slope deflection equation of each member in terms of the
end moments, rotations of adjacent supports and chord rotation.
5. Write equilibrium equations for each joint that are free to rotate. The total
number of equilibrium equations must be equal to the number of degrees of
freedom of the structure.
6. Determine the unknown joint rotations by solving simutaneuosly the system
of equations consisting the slope deflection equations of the members and the
equations of equilibrium. Check the validity of results if necessary.
7. Substitute the computed values of the rotations in the slope deflection
equations to determine the end moments.
8. Using the values of the end moments , determine support reactions
9. Draw the shear and moment diagrams.
210
30 kN
24 kN/m
A
C
B
5 m 5 m
3 m
Problem
Analyze the indeterminate beam shown by slope deflection method .
Assume constant EI.
Fixed end Moments
m
kN
L
Pab
M AB
F .
09
.
21
8
)
3
)(
5
(
30
2
2
2
2






m
kN
L
Pba
M BA
F .
15
.
35
8
)
5
)(
3
(
30
2
2
2
2



m
kN
wL
M BC
F .
50
12
)
5
(
24
12
2
2






m
kN
wL
M CB
F .
50
12
)
5
(
24
12
2
2




 0

For all members
Since there are no
Support settlement
211
211
Member Absolute K Relative K
AB,BA I/8 1/8(40)= 5
BC,CB I/5 1/5(40)= 8
NF
F
N
NF FEM
L
EI
M 


 )
3
2
(
2



NF
F
N
NF
NF FEM
k
M 

 )
2
(
2 

Modified slope deflection equation
1
.
09
.
21
10
20
0
09
.
21
)
2
)(
5
(
2
0
)
2
(
2
EQ
FEM
k
M
B
A
B
A
AB
B
A
AB
AB
















212
2
.
15
.
35
20
10
15
.
35
)
2
)(
5
(
2
)
2
(
2
EQ
M
M
FEM
k
M
B
A
BA
A
B
BA
BA
A
B
BA
BA
















3
.
50
32
50
)
0
2
)(
8
(
2
0
)
2
(
2
EQ
M
M
fixedEnd
FEM
k
M
B
BC
B
BC
C
BC
C
B
BC
BC
















JOINT CONDITION EQUATION
4
.
0
7
.
29
104
20
0
85
.
14
52
10
0
50
32
15
.
35
20
10
0
EQ
M
M
B
A
B
A
B
B
A
BC
BA





















213
1
.
0
09
.
21
10
20 EQ
B
A 


 

4
.
0
7
.
29
104
20 EQ
B
A 


 

SUBTRACT
0087
.
1
0
09
.
21
)
091596
.
0
(
10
20
091596
.
0
0
61
.
8
94







A
A
B
B




m
kN
M
EQ
M
BA
B
A
BA
.
06
.
47
15
.
35
)
091596
.
0
(
20
)
0087
.
1
(
10
2
.
15
.
35
20
10







 

m
kN
M
EQ
M
BC
B
BC
.
06
.
47
50
)
091596
.
0
(
32
3
.
50
32






 
m
kN
M
FEM
k
M
CB
CB
B
C
CB
CB
.
46
.
51
50
)
091596
.
0
)(
8
(
2
)
2
(
2





 

214
214
120 kN
24 kN/m
A
C
B
5 m 5 m
3 m
Problem
Analyze the indeterminate beam shown by slope deflection method .
Assume constant E.
36 kN/m
9 m
D
I I 2I
Fixed end Moments
m
kN
L
Pab
M AB
F .
67
.
66
8
)
3
)(
5
(
120
2
2
2
2






m
kN
L
Pba
M BA
F .
6
.
140
8
)
5
)(
3
(
120
2
2
2
2



m
kN
wL
M BC
F .
50
12
)
5
(
24
12
2
2






m
kN
wL
M CB
F .
50
12
)
5
(
24
12
2
2


 m
kN
wL
M DC
F .
243
12
)
9
(
36
12
2
2



m
kN
wL
M CD
F .
243
12
)
9
(
36
12
2
2






215
Member Absolute K Relative K
AB,BA I/8 (1/8)360=45
BC,CB I/5 (1/5)360=72
CD,DC 2I/9 (2/9)360=80
2
.
6
.
140
180
90
6
.
140
)
2
)(
45
(
2
)
2
(
2
EQ
M
M
FEM
k
M
B
A
BA
A
B
BA
BA
A
B
BA
BA
















1
.
67
.
66
90
180
0
67
.
66
)
2
)(
45
(
2
0
)
2
(
2
EQ
FEM
k
M
B
A
B
A
AB
B
A
AB
AB
















216
3
.
50
144
288
50
)
2
)(
72
(
2
)
2
(
2
EQ
M
M
FEM
k
M
C
B
BC
C
B
BC
BC
C
B
BC
BC
















JOINT CONDITION EQUATION at B
4
.
0
6
.
90
144
468
90
0
50
144
288
6
.
140
180
90
0
EQ
M
M
C
B
A
C
B
B
A
BC
BA




















5
.
50
288
144
50
)
2
)(
72
(
2
)
2
(
2
EQ
M
M
FEM
k
M
C
B
CB
B
C
CB
CB
B
C
CB
CB
















6
.
243
320
243
)
0
2
)(
80
(
2
0
)
2
(
2
EQ
M
M
fixedEnd
FEM
k
M
C
CD
C
CD
D
CD
D
C
CD
CD
















JOINT CONDITION EQUATION at C
7
.
0
193
608
144
0
243
320
50
288
144
0
EQ
M
M
C
B
C
C
B
CD
CB
















JOINT CONDITION EQUATION
8
.
0
34
.
33
45
90 EQ
B
A 


 

Divide EQ. 1 by 2
218
4
.
0
6
.
90
144
468
90 EQ
C
B
A 



 


8
.
0
34
.
33
45
90 EQ
B
A 


 

subtract
9
.
0
94
.
123
144
423 EQ
C
B 


 

Multiply EQ. 7 by 2.9375
10
.
0
94
.
566
1786
423 EQ
C
B 


 

9
.
0
94
.
123
144
423 EQ
C
B 


 

420755
.
0
0
88
.
690
1642



C
C


subtract
436238
.
0
0
94
.
123
)
420755
.
0
(
144
423





B
B


588563
.
0
0
34
.
33
)
436238
.
0
(
45
90





A
A


219
420755
.
0

C

436238
.
0


B

588563
.
0

A

0
000006
.
0
0
6
.
90
)
420755
.
0
(
144
)
436238
.
0
(
468
)
588563
.
0
(
90






check
m
kN
M
M
BA
B
A
BA
.
05
.
115
6
.
140
)
436238
.
0
(
180
)
588563
.
0
(
90
6
.
140
180
90







 

m
kN
M
M
BC
C
B
BC
.
05
.
115
50
)
420755
.
0
(
144
)
436238
.
0
(
288
50
144
288








 

m
kN
M
M
CB
C
B
CB
.
36
.
108
50
)
420755
.
0
(
288
)
436238
.
0
(
144
50
288
144







 

m
kN
M
M
CD
C
CD
.
36
.
108
243
)
420755
.
0
(
320
243
320





 
m
kN
M
M
M
FEM
k
M
DC
C
DC
C
DC
DC
C
D
DC
DC
.
32
.
310
243
)
420755
.
0
(
160
243
160
243
)
)(
80
(
2
)
2
(
2














220
125+N kN
16N kN/m
A
C
B
6 m 5 m
3 m
24N kN/m
8 m
D
2I I 2I
Draw the shear and Moment diagrams of the beam shown using the
slope deflection method . Assume constant E.
Plate # 10: Slope Deflection Method
221
ANALYSIS OF RIGID FRAMES WITHOUT SIDESWAY
The analysis of rigid frames without sideway is similar to the analysis of
continuous beams. The joints are only subject to rotations. This could
be analyzed by either moment distribution or slope deflection method
16 kN/m
4 m
A
B C
D
6m
Problem : Analyze the rigid frame shown by moment distribution.
Assume that there is no sidesway
I I
2I
222
m
kN
wL
M CB
F .
48
12
)
6
(
16
12
2
2



Member Absolute K Relative K
AB,BA I/4 1/4(12)= 3
BC,CB 21/6 =I/3 1/3(12)= 4
Distribution Factors


k
k
DF
43
.
0
3
4
3





BC
BA
BA
BA
k
k
k
DF
57
.
0
3
4
4





BC
BA
BC
BC
k
k
k
DF
0

AB
DF
0

DC
DF
m
kN
wL
M BC
F .
48
12
)
6
(
16
12
2
2






CD,DC I/4 1/4(12)= 3
57
.
0
3
4
4





CD
CB
CB
CB
k
k
k
DF
43
.
0
3
4
3





CD
CB
CD
CD
k
k
k
DF
223
Joint A B C D
Member AB BA BC CB CD DC
DF 0 0.43 0.57 0.57 0.43 0
FEM 0 0 -48 48 0 0
BM
COM 10.32 -13.68 13.68 -10.32
20.64 27.36 -27.36 -20.64 0
BM 5.88 7.8 -7.8 - 5.88
COM 2.94 -3.9 3.9 - 2.94
BM 1.68 2.22 -2.22 -1.68
COM 0.84 -1.11 1.11 - 0.84
BM 0.48 0.63 -0.63 -0.48
COM 0.24 -0.31 0.31 - 0.24
BM 0.13 0.18 -0.18 -0.13
COM 0.06 -0.09 0.09 - 0.06
BM 0.04 0.05 -0.05 -0.04
COM 0.02 -0.03 0.03 - 0.02
BM 0.01 0.02 -0.02 -0.01
Final
End Moment 14.42 28.86 -28.86 28.86 -28.86 -14.42
224
A
H
4
A
B







kN
H
H
M
A
A
B
82
.
10
0
4
86
.
28
42
.
14
0
14.42
28.86
A
V
B
V
B
H
D
H
4
D
C







kN
H
H
M
D
D
C
82
.
10
0
4
86
.
28
42
.
14
0
14.42
28.86
D
V
C
V
C
H
225
16 kN/m
B C
2I
B
V C
V
28.86
28.86
6m




















kN
V
kN
V
V
F
kN
V
V
kN
V
V
M
A
B
B
y
C
D
C
C
B
48
48
0
)
6
(
16
48
0
48
48
0
6
3
)
6
(
16
86
.
28
86
.
28
0
16 kN/m
4 m
A
B C
D
I I
2I
48 48
10.82 10.82
14.42 14.42
ANALYSIS OF RIGID FRAMES WITH SIDESWAY
The analysis of rigid frames without sideway is similar to the analysis of
continuous beams. The joints are only subject to rotations and
translation ( sidesway). This could be analyzed by either moment
distribution or slope deflection method.
Any load
A
B C
D
A
H '
D
H
AB
M DC
M
y z
 
= Joint translation
or sidesway
A
V D
V
228
Procedure
Step 1 : Hold frame at C to prevent sidesway by applying
an imaginary horizontal (R) force at C. Determine the
end moments due to the given loadings.
Any load
A
B C
D
R
'
A
H '
D
H
'
AB
M '
DC
M
y z
,
'
AB
M ,
'
BA
M '
DC
M
,.....
'
BC
M
Note:
are the end moments due to the given
loads
'
A
V '
D
V
229
Step 2
Isolate the FBD of the columns and using the resulting end moments determine
horizontal reactions HA’ and HD’.
'
AB
M
'
BA
M
'
A
H
y
A
B
y
M
M
H
y
H
M
M
M
BA
AB
A
A
BA
AB
B
'
'
'
0
'
'
'
0







'
DC
M
'
CD
M
'
D
H
z
D
C
z
M
M
H
z
H
M
M
M
DC
CD
D
D
DC
CD
C
'
'
'
0
'
'
'
0







230
Step 3
From the FBD of the frame solve for R
Any load
A
B C
D
R
'
A
H '
D
H
'
AB
M '
DC
M
y z
'
'
0
D
A
x
H
H
R
F




231
Step 4
Remove all loads and push the frame at C to produce sideway
Assume the value of the sideway in terms of the unknown sidesway
correction Factor x. By slope deflection or moment distribution
Solve for the end moments in terms of x.
A
B
C
D
Q
'
'
A
H '
'
D
H
'
'
AB
M '
'
DC
M
y z
 
x
EI
100


Example
2
6
L
EI
M
M FBA
FAB




2
6
L
EI
M
M FDC
FCD




,
'
'
AB
M ,
'
'
BA
M '
'
DC
M
,.....
'
'
BC
M
Note:
are the end moments due to 
'
'
D
V
'
'
A
V
232
232
Step 5
Isolate the FBD of the columns and using the resulting end moments determine
horizontal reactions HA’ ‘and HD’’.
'
'
AB
M
'
'
BA
M
'
'
A
H
y
A
B
y
M
M
H
y
H
M
M
M
BA
AB
A
A
BA
AB
B
'
'
'
'
'
'
0
'
'
'
'
'
'
0







'
'
DC
M
'
'
CD
M
'
'
D
H
z
D
C
z
M
M
H
z
H
M
M
M
DC
CD
D
D
DC
CD
C
'
'
'
'
'
'
0
'
'
'
'
'
'
0







233
A
B
C
D
Q
'
'
A
H '
'
D
H
'
'
AB
M '
'
DC
M
y z
 
Step 5
From the FBD of the frame solve for Q
'
'
'
'
0
D
A
x
H
H
Q
F




234
Step 6
Since Q and R are imaginary they must be equal thus equating values of
R and Q determines the value of x
Note : If Q and R are of opposite direction x is positive
If Q and R are of the same direction x is negattive
Step 7
Determine the end moments and reactions
'
'
' AB
AB
AB M
M
M 

'
'
' BA
BA
BA M
M
M 

'
'
' BC
BC
BC M
M
M 

'
'
' CB
CB
CB M
M
M 

'
'
' CD
CD
CD M
M
M 

'
'
' DC
DC
DC M
M
M 

'
'
' A
A
A H
H
H 

'
'
' D
D
D H
H
H 

'
'
' A
A
A V
V
V 

'
'
' D
D
D V
V
V 

235
16 kN/m
4 m
A
B C
D
6m
I 2I
2I
8m
Problem : Analyze the rigid frame shown by moment distribution.
Assume that there is sidesway
236
16 kN/m
4 m
A
B C
D
I
2I
2I
8m
6m
R
'
A
H
'
D
H
'
AB
M
'
DC
M
'
A
V
'
D
V
Frame A
237
237
m
kN
wL
M CB
F .
48
12
)
6
(
16
12
2
2



Member Absolute K Relative K
AB,BA I/4 1/4(12)= 3
BC,CB 21/6 =I/3 1/3(12)= 4
Distribution Factors


k
k
DF
43
.
0
3
4
3





BC
BA
BA
BA
k
k
k
DF
57
.
0
3
4
4





BC
BA
BC
BC
k
k
k
DF
0

AB
DF
0

DC
DF
m
kN
wL
M BC
F .
48
12
)
6
(
16
12
2
2






CD,DC 2I /8)=I/4 1/4(12)= 3
57
.
0
3
4
4





CD
CB
CB
CB
k
k
k
DF
43
.
0
3
4
3





CD
CB
CD
CD
k
k
k
DF
238
Joint A B C D
Member AB BA BC CB CD DC
DF 0 0.43 0.57 0.57 0.43 0
FEM 0 0 -48 48 0 0
BM
COM 10.23 -18.82 18.82 -10.23
20.46 27.64 -27.54 -20.46 0
BM 8.09 10.73 -10.73 -8.09
COM 4.04 -5.36 5.36 - 4.04
BM 2.30 3.06 -3.06 -2.30
COM 1.15 -1.53 1.53 - 1.15
BM 0.66 0.87 -0.87 -0.66
COM 0.33 -0.43 0.43 - 0.33
BM 0.19 0.24 -0.24 -0.19
COM 0.09 -0.12 0.12 - 0.09
BM 0.05 0.07 -0.07 -0.05
COM 0.02 -0.03 0.03 - 0.02
End Moment
15.86 31.76 -31.76 31.76 -31.76 -15.86
BM 0.01 0.02 -0.02 -0.01
86
.
15
'
AB
M 76
.
31
'
BA
M 76
.
31
' 

BC
M 76
.
31
'
CB
M 76
.
31
' 

CD
M 86
.
15
' 

DC
M
Moment Distribution Table due to Loads
239
'
A
H
4
A
B







kN
H
H
M
A
A
B
91
.
11
'
0
4
'
76
.
31
86
.
15
0
15.86
31.76
'
A
V
'
B
V
'
D
H
8m
D
C







kN
H
H
M
D
D
C
95
.
5
'
0
8
'
76
.
31
86
.
15
0
15.86
31.76
'
D
V
'
C
V







kN
R
R
Fx
96
.
5
0
95
.
5
91
.
11
0
From FBD of frame A
240
4 m
A
B C
D
6m
I 2I
2I
8m
 
Q
Assume
x
EI
120


x
x
EI
EI
L
EI
M
M FBA
FAB 45
4
120
6
6
2
2








x
x
EI
I
E
L
EI
M
M FDC
FCD 5
.
22
8
120
2
6
6
2
2








Frame B
241
Joint A B C D
Member AB BA BC CB CD DC
DF 0 0.43 0.57 0.57 0.43 0
FEM -45x -45x -22.5x -22.5x
BM
COM
19.35x 25.65x 12.82x 9.68x
9.67x 6.41x 12.32x 4.84x
BM
COM
-2.76x -3.65x -7.02x -5.3x
-1.38x - 3.51x -1.82x -2.65x
BM
COM
1.65x 1.86x 1.04x 0.78x
0.82x 0.52x 0.93x 0.39x
BM
COM
-0.24x - 0.28x -0.53x -0.4x
-0.12x -0.26x -0.14x -0.2x
BM
COM
0.12x 0.14x 0.08x 0.06x
0.06x 0.04x 0.07x 0.03x
-0.02x -0.02x -0.04x -0.03x
BM
-35.95x -26.9x 26.9x 17.71x -17.71x -20.09x
Moment Distribution Table due to 
x
MAB 95
.
35
'
' 

x
MBA 9
.
26
'
' 

x
MBC 9
.
26
'
' 
x
MCB 71
.
17
'
' 
x
MCD 71
.
17
'
' 

x
MDC 09
.
20
'
' 

End Moment
242
'
'
A
H
4
A
B







x
H
H
x
x
M
A
A
B
71
.
15
'
'
0
4
'
'
9
.
26
95
.
35
0
5.36
26.9x
'
'
A
V
'
'
B
V
'
'
D
H
8m
D
C







x
H
H
x
x
M
D
D
C
73
.
4
'
'
0
8
'
'
09
.
20
71
.
17
0
20.09x
17.71x
'
'
D
V
'
'
C
V







x
Q
Q
x
x
Fx
44
.
20
0
73
.
4
71
.
15
0
From FBD of frame B
Sidesway Correction Factor
292
.
0
96
.
5
44
.
20



x
x
R
Q
Positive since Q and R are of opposite directions
)
292
.
0
(
95
.
35
86
.
15
95
.
35
86
.
15
'
'
'






AB
AB
AB
AB
AB
M
x
M
M
M
M
)
292
.
0
(
9
.
26
76
.
31
9
.
26
76
.
31
'
'
'






BA
BA
BA
BA
BA
M
x
M
M
M
M
m
kN
MBA .
9
.
23

m
kN
MAB .
36
.
5

)
292
.
0
(
9
.
26
76
.
31
9
.
26
76
.
31
'
'
'








BC
BC
BC
BC
BC
M
x
M
M
M
M
m
kN
MBC .
9
.
23


)
292
.
0
(
71
.
17
76
.
31
71
.
17
76
.
31
'
'
'






CB
CB
CB
CB
CB
M
x
M
M
M
M
m
kN
MCB .
93
.
36

)
292
.
0
(
71
.
17
76
.
31
71
.
17
76
.
31
'
'
'








CD
CD
CD
CD
CD
M
x
M
M
M
M
m
kN
MCD .
93
.
36


)
292
.
0
(
09
.
20
86
.
15
09
.
20
86
.
15
'
'
'








DC
DC
DC
DC
DC
M
x
M
M
M
M
m
kN
MDC .
73
.
21


Final End Moments
244
A
H
4
A
B
5.36
23.9
A
V
'
'
B
V
D
H
8m
D
C







kN
H
H
M
A
A
B
32
.
7
0
4
9
.
23
36
.
5
0
21.73
36.93
D
V
'
'
C
V







kN
H
H
M
D
D
C
32
.
7
0
8
73
.
21
93
.
36
0








kN
H
H
x
H
H
H
H
A
A
A
A
A
A
32
.
7
)
292
.
0
(
71
.
15
91
.
11
71
.
15
91
.
11
Check
'
'
'
16 kN/m
B
C
VB Vc
23.9 36.93
6m



















kN
V
kN
V
V
F
kN
V
kN
V
V
M
D
C
C
y
A
B
B
C
17
.
50
17
.
50
0
)
6
(
16
83
.
45
0
83
.
45
83
.
45
0
6
93
.
36
9
.
23
3
)
6
(
16
0
A
B
C
D
7.32
7.32
45.83
50.17
86
.
2
16
83
.
45


x
x
2.86
Shear diagram
A
B
C
D
-
+
- +
-
+
-
+
5.36
23.9
23.9
36.93
21.73
36.93
M-diagram
4 m
A
B C
D
6m
I 2I
2I
8m
Problem : Analyze the rigid frame shown by moment distribution.
Assume that there is sidesway
25 kN
4 m
A
B C
D
I
2I
2I
8m
6m
R
'
D
H
'
AB
M
'
DC
M
'
A
V
'
D
V
Frame A
25 kN
250
250
Member Absolute K Relative K
AB,BA I/4 1/4(12)= 3
BC,CB 21/6 =I/3 1/3(12)= 4
Distribution Factors


k
k
DF
43
.
0
3
4
3





BC
BA
BA
BA
k
k
k
DF
57
.
0
3
4
4





BC
BA
BC
BC
k
k
k
DF
0

AB
DF
0

DC
DF
0





 FDC
FCD
F
FBC
FBA
FAB M
M
M
M
M
M CB
CD,DC 2I /8)=I/4 1/4(12)= 3
57
.
0
3
4
4





CD
CB
CB
CB
k
k
k
DF
43
.
0
3
4
3





CD
CB
CD
CD
k
k
k
DF
Joint A B C D
Member AB BA BC CB CD DC
DF 0 0.43 0.57 0.57 0.43 0
FEM 0 0 0 0 0 0
0
'
AB
M 0
'
BA
M 0
'
BC
M 0
'
CB
M 0
'
CD
M 0
'
DC
M
Moment Distribution Table due to Loads
4 m
A
B C
D
I
2I
2I
8m
6m
R
25






kN
R
R
FX
25
0
25
0
4 m
A
B C
D
6m
I 2I
2I
8m
 
Q
Assume
x
EI
120


x
x
EI
EI
L
EI
M
M FBA
FAB 45
4
120
6
6
2
2








x
x
EI
I
E
L
EI
M
M FDC
FCD 5
.
22
8
120
2
6
6
2
2








Frame B
253
Joint A B C D
Member AB BA BC CB CD DC
DF 0 0.43 0.57 0.57 0.43 0
FEM -45x -45x -22.5x -22.5x
BM
COM
19.35x 25.65x 12.82x 9.68x
9.67x 6.41x 12.32x 4.84x
BM
COM
-2.76x -3.65x -7.02x -5.3x
-1.38x - 3.51x -1.82x -2.65x
BM
COM
1.65x 1.86x 1.04x 0.78x
0.82x 0.52x 0.93x 0.39x
BM
COM
-0.24x - 0.28x -0.53x -0.4x
-0.12x -0.26x -0.14x -0.2x
BM
COM
0.12x 0.14x 0.08x 0.06x
0.06x 0.04x 0.07x 0.03x
-0.02x -0.02x -0.04x -0.03x
BM
-35.95x -26.9x 26.9x 17.71x -17.71x -20.09x
Moment Distribution Table due to 
x
MAB 95
.
35
'
' 

x
MBA 9
.
26
'
' 

x
MBC 9
.
26
'
' 
x
MCB 71
.
17
'
' 
x
MCD 71
.
17
'
' 

x
MDC 09
.
20
'
' 

End Moment
254
'
'
A
H
4
A
B







x
H
H
x
x
M
A
A
B
71
.
15
'
'
0
4
'
'
9
.
26
95
.
35
0
35.95x
26.9x
'
'
A
V
'
'
B
V
'
'
D
H
8m
D
C







x
H
H
x
x
M
D
D
C
73
.
4
'
'
0
8
'
'
09
.
20
71
.
17
0
20.09x
17.71x
'
'
D
V
'
'
C
V







x
Q
Q
x
x
Fx
44
.
20
0
73
.
4
71
.
15
0
From FBD of frame B
Sidesway Correction Factor
22
.
1
25
44
.
20



x
x
R
Q
Positive since Q and R are of opposite directions
kN.m
86
.
43
)
22
.
1
(
95
.
35
0
'
'
0






AB
AB
AB
AB
M
M
M
M
)
22
.
1
(
9
.
26
9
.
26
0
'
'
0






BA
BA
BA
BA
M
x
M
M
M
m
kN
MBA .
82
.
32


m
kN
MAB .
86
.
43


)
22
.
1
(
9
.
26
9
.
26
0
'
'
'





BC
BC
BC
BC
BC
M
x
M
M
M
M
m
kN
MBC .
82
.
32

)
22
.
1
(
71
.
17
71
.
17
0
'
'
'





CB
CB
CB
CB
CB
M
x
M
M
M
M
m
kN
MCB .
61
.
21

)
22
.
1
(
71
.
17
71
.
17
0
'
'
'






CD
CD
CD
CD
CD
M
x
M
M
M
M
m
kN
MCD .
61
.
21


)
22
.
1
(
09
.
20
09
.
20
0
'
'
'






DC
DC
DC
DC
DC
M
x
M
M
M
M
m
kN
MDC .
51
.
24


Final End Moments
A
H
4
A
B
43.86
32.82
A
V
'
'
B
V
D
H
8m
D
C







kN
H
H
M
A
A
B
17
.
19
0
4
82
.
32
86
.
43
0
24.51
21.61
D
V
'
'
C
V







kN
H
H
M
D
D
C
83
.
5
0
8
51
.
24
61
.
21
0
25
83
.
5
17
.
19
25
Check
'
'
'






D
A
A
A
A
H
H
H
H
H
I
A cantilever beam of Length L with stepwise cross section
carries a vertical load 2P at its free end. The section of the
beam changes midway along its length so that its second
moment of area is reduced by one half. The smaller section is
towards the free end. If E is constant, determine the
deflection at the free end.
2P
L/2 L/2
I
2I
A B C
Prelim: Structural Theory II
2 m 4 m
18kN/m
50 kN
II
Determine the midspan deflection of the beam shown by
a) Double Integration Method
b) Conjugate beam Method
c) Area Moment Method
A B
III
Locate and compute the maximum deflection of the beam
given in problem II.
+
259
I
A cantilever beam of Length L with stepwise cross section
carries a vertical load 2P at its free end. The section of the
beam changes midway along its length so that its second
moment of area is reduced by one half. The smaller section is
towards the free end. If E is constant, determine the
deflection at the free end using the virtual work method
2P
L/2 L/2
I
2I
A B C
MIDTERM EXAM: Structural Theory II
260
2 m 4 m
18kN/m
50 kN
II
Determine the midspan deflection of the beam shown by
using the virtual work Method
A B
261
24 kN/m
48 kN
2 m
2 m
6 m
A
B
C
E
3 m
F
G
III
For the frame shown in the figure, determine the vertical deflection of point E.
Assume constant EI for all members.
36 kN
262
Semi- Final Exam
Determine the horizontal and vertical displacement of joint C. A = 5000 sq. mm and
E = 200 GPa for all members
60kN 120kN 60kN
3m 4m 4m 3m
4m
F G H
A
B C D
E
w
L/2 L/2
A
B C
Draw the shear and moment diagrams of the beam shown. Assume constant EI.

StructuralTheoryClass2.ppt

  • 1.
  • 2.
    2 DEFLECTIONS OF BEAMS Thedeformation of a beam is usually expressed in terms of its deflection from the original unloaded position. The deflection is measured from the original nuetral surface of the beam to the nuetral surface of the deformed beam.The configuration assumed by the deformed beam is known as the elastic curve. Elastic Curve y x y = the deflection of the beam at any distance x
  • 3.
    3 DOUBLE INTEGRATION METHOD dx y dθ dθ x θ ElasticCurve ρ x y 0,0 Figure shows the exaggerated view of the elastic curve of a deflected beam. Select the left support as origin of an x axis directed along the original undeflected position of the beam and a y axis directed positive upward. The deflections are so small so that the difference in the original length of the beam and the projection of its deflected length is negligible. Consequently, the elastic curve is very flat so its slope at any point is very small. The value of the tan θ = dy/dx maybe set to θ with minimal error. L d s O
  • 4.
    4 dx dy   2 2 dx y d dx d   Differentiating with respectto x ds = pdθ Differential length of arc ds Since elastic curve is very flat ds = dx dx = pdθ EQ. 2 Combining EQs. 1 and 2 EQ. 1 2 2 1 dx y d   EQ. 3 From the derivation of the flexure formula EI M   1 EQ. 4 Equating EQs 3 and 4 2 2 dx y d EI M  EQ. 5 Equation 5 is known as the differential equation of the elastic curve of a beam. The product EI is called the flexural rigidity which is usually constant along the length of the beam. M is the moment equation expressed in terms of x.
  • 5.
    5 Integrating EQ. 5assuming EI is constant    1 C Mdx dx dy EI EQ. 6 This is the equation of the slope of the elastic curve or the value of dy/dx at any point. C1 is a constant of integration to be evaluated from the given condition of loading. Integrating EQ. 6 assuming EI is constant 2 1 C x C Mdxdx EIy     EQ. 7 This is the equation of the deflection of the elastic curve the value of y for any value of x . C2 is another constant of integration to be evaluated from the given condition of the beam and its loading. To evaluate C1 and C2 from the given figure of the elastic curve @ x = 0, y = 0 @ x = L, y = 0
  • 6.
    7 1 2 2 2 } 6 { 5 . 37 } 2 { 30 39 C x x x dx dy EI       2 1 3 3 3 } 6 { 5 . 12 } 2 { 10 13C x C x x x EIy        @ x = 0, y = 0 2 1 3 3 3 ) 0 ( } 6 0 { 5 . 12 } 2 0 { 10 ) 0 ( 13 ) 0 ( C C EI        Neglect Neglect 0 2  C @ x = 10, y = 0 0 ) 10 ( } 6 10 { 5 . 12 } 2 10 { 10 ) 10 ( 13 ) 0 ( 1 3 3 3        C EI 0 ) 10 ( 800 5120 13000 0 1      C 708 1   C Actual equation of deflection x x x x EIy 708 } 6 { 5 . 12 } 2 { 10 13 3 3 3       @ x = 5 ) 5 ( 708 } 6 5 { 5 . 12 } 2 5 { 10 ) 5 ( 13 3 3 3       EIy Neglect 3540 270 1625    EIy 2185   EIy 3 . 2185 m kN EI y  
  • 7.
    8 Problem Using double integrationmethod, locate and compute the maximun deflection of the beam given in the previous problem. Assume constant EI. 2m 60 kN 75 kN 4m 4m Point of maximum deflection Where slope of elastic curve is zero x 1 2 2 2 } 6 { 5 . 37 } 2 { 30 39 C x x x dx dy EI       Equation of slope as derived in the previous problem Neglect this since the value of x is between 2 and 6 Set this to zero 708 } 2 { 30 39 0 2 2     x x
  • 8.
    9 708 } 4 4 { 30 39 0 2 2      x x x 708 120 120 30 39 02 2      x x x 828 120 9 0 2    x x ) 9 ( 2 ) 828 )( 9 ( 4 ) 120 ( 120 2      x location m x   014 . 5 x x x x EIy 708 } 6 { 5 . 12 } 2 { 10 13 3 3 3       ) 014 . 5 ( 708 } 2 014 . 5 { 10 ) 014 . 5 ( 13 3 3     EIy Maximum deflection 3 max . 02 . 2185 m kN EI y  
  • 9.
    10 2m 45 kN 3m 24 kN/m Problem: Determine the Slope and deflection under the 45 kN load. EI is constant. 2m 45 kN 3m 24 kN/m A B RA=87   0 B M 0 5 . 2 ) 5 ( 24 ) 3 ( 45 ) 5 (    A R kN RA 87  x    L M M dx y d EI 2 2 2 2 2 12 } 2 { 45 87 x x x dx y d EI    
  • 10.
    11 1 3 2 2 4 } 2 { 5 . 22 5 . 43 C x x x dx dy EI      2 1 4 3 3 } 2 { 5 . 7 5 . 14C x C x x x EIy       When x=0, y =0 2 1 4 3 3 0 0 } 2 0 { 5 . 7 ) 0 ( 5 . 14 ) 0 ( C C EI       0 2  C When x=5, y =0 0 5 5 } 2 5 { 5 . 7 ) 5 ( 5 . 14 ) 0 ( 1 4 3 3       C EI 0 5 625 5 . 202 5 . 1812 0 1      C 197 1   C ) 2 ( 197 2 } 2 2 { 5 . 7 ) 2 ( 5 . 14 4 3 3      EIy When x=2, y =? 3 . 294 m kN EI y   1 3 2 2 4 } 2 { 5 . 22 5 . 43 C x x x dx dy EI      When x=2, dy/dx =? 197 ) 2 ( 4 } 2 2 { 5 . 22 ) 2 ( 5 . 43 3 2 2      dx dy EI 2 . 55 m kN EI dx dy  
  • 11.
    12 Problem Using double integrationmethod, determine deflection midway between supports of the overhanging beam shown. Assume constant EI. 1m 600 N 2m 3m 2m 400 N/m A B C D E 1m 600 N 2m 3m 2m 400 N/m A B C D E Establishing continuity of loading 400 N/m
  • 12.
    13 1m 600 N 2m 3m 2m 400N/m A B C D E 400 N/m RA RD 400(7)=2800 1.5 400(4)=1600   0 D M 0 ) 5 . 1 ( 2800 ) 2 ( 600 ) 6 (    A R N RA 500    0 y F 0 2800 600 1600 500      D R N RD 1300 
  • 13.
    14 1m 600 N 2m 3m 2m 400N/m A B C D E 400 N/m RA=500 RD=1300 x 400{x-1} 2 1  x 400{x-4} 2 4  x X-6    L M M dx y d EI 2 2 2 } 1 { } 1 { 400 2 } 4 { } 4 { 400 } 6 { 1300 500 2 2          x x x x x x dx y d EI 2 2 2 2 } 1 { 200 } 4 { 200 } 6 { 1300 500        x x x x dx y d EI
  • 14.
    15 1 3 3 2 2 } 1 { 3 200 } 4 { 3 200 } 6 { 650 250 C x x x x dx dy EI         2 1 4 4 3 3 } 1 { 3 50 } 4 { 3 50 } 6 { 3 650 3 250 C x C x x x x EIy         At x =0 , y = 0 2 0 0 0 0 0 0 C       0 2  C At x =6 , y = 0 0 6 } 1 6 { 3 50 } 4 6 { 3 50 } 6 6 { 3 650 ) 6 ( 3 250 0 1 4 4 3 3          C 6 3 31250 3 800 0 18000 0 1 C      33 . 1308 1   C x x x x x EIy 33 . 1308 } 1 { 3 50 } 4 { 3 50 } 6 { 3 650 3 250 4 4 3 3         At x =3 , y = ? ) 3 ( 33 . 1308 } 1 3 { 3 50 ) 3 ( 3 250 4 3     EIy 3 . 67 . 1941 m kN EI y  
  • 15.
    16 Determine the deflectionat the free end of the overhanging beam given in the previous problem. x x x x x EIy 33 . 1308 } 1 { 3 50 } 4 { 3 50 } 6 { 3 650 3 250 4 4 3 3         At x =8 , y = ? ) 8 ( 33 . 1308 } 7 { 3 50 } 4 { 3 50 } 2 { 3 650 ) 8 ( 3 250 4 4 3 3      EIy 3 31400 3 120050 3 12800 3 5200 3 128000      EIy 3 . 3 5450 m kN EI y  
  • 16.
    17 w L/2 L/2 y w L/2 L/2 Determinethe maximum deflection of the beam shown in figure. 4 wL RA 
  • 17.
    18 w L/2 4 wL RA  x z 2 zx 3 x    L M M dx y d EI2 2 3 2 4 2 2 x zx x wL dx y d EI   2 L x w z  x L w z 2  3 2 2 4 2 2 x L wxx x wL dx y d EI   L wx x wL dx y d EI 3 4 3 2 2   1 4 2 12 8 C L wx x wL dx dy EI    2 1 5 3 60 24 C x C L wx x wL EIy    
  • 18.
    19 2 1 5 3 60 24 C x C L wx x wL EIy     x=0 ,y=0 2 0 0 0 0 C     0 2  C x=L/2 , dy/dx=0 1 4 2 12 8 C L wx x wL dx dy EI    1 4 2 12 ) 2 ( ) 2 ( 8 0 C L L w L wL    1 3 3 192 32 0 C wL wL    192 5 3 1 wL C   x wL L wx x wL EIy 192 5 60 24 3 5 3    At x= L/2 , y =ymax
  • 19.
    Plate No.1 :BeamDeflections by double integration method 1m 50+2N kN 60+N kN 3m 2m 1. Using double integration method, determine the midspan deflection of the beam shown. Assume constant EI. 2. Determine the slope and deflection under the 35+ N kN load. EI is constant. 2m 35+N kN 4m 16 + N kN/m
  • 20.
    3. Using doubleintegration method, locate and compute the maximun deflection of the beam shown . Assume constant EI. w L
  • 21.
    22 AB  Any load A B A B t cg B x EI M diagram dt dθ CD dx EI M dx dθ dθ ρ ds dt O Elastic Curve Magnified View of Segment CD AREA MOMENT METHOD tangent @B tangent @A Figure shows the magnified view of segment CD. Two adjacent plane sections of an originally straight beam rotates through the angle dθ. The arc distance ds measured along the elastic curve equals ρdθ, where ρ is the radius of curvature of the elastic curve at the given position. The elastic curve is relatively flat so ds is assumed to be equal to dx without any serious error. x
  • 22.
    23 From the derivationof the flexure formula EI M   1 ds = pdθ ds EI M d   but ds = dx dx EI M d   EQ. 1 The tangents drawn to the elastic curve at C and D in figure are separated by the small angle dθ by which OC and CD rotate relative to each other. Hence the change in slope between the elastic curve at any two points A and B will be equal to the sum of such small angles.   B A AB d    B A x x AB Mdx EI 1  Theorem 1
  • 23.
    24 x dt d    tan  xd dt      xd dt t A B   B A x x A B Mdx x EI t ) ( 1 Theorem 2 Theorem 1 The change in rotation between any two tangents drawn at any two points on a continuous elastic curve is equal to the area of the M/EI diagram between these two points. Theorem 2 The deviation of the tangent to the elastic curve at point B with respect To the tangent drawn to the elastic curve at point A in a direction perpendicular to the original straight axis of the beam is equal to the moment of area of the M/EI diagram from A to B about point B.
  • 24.
  • 25.
    26 Convention of signs +θAB +tB/A A B-θAB -tB/A A MOMENT DIAGRAM BY PARTS In order to apply the area moment theorems effectively, area of the moment diagram and locations of the centroids of its area is necessary. However these is quite complicated since often times moment diagrams consist of irregular curves which requires integration to compute and locate the centroid of the area of the moment diagram. To simply this, a method of dividing the moment diagrams into parts whose areas and centroids are known will be adopted. This method is called moment diagram by parts. The basic technique is to draw the moment diagram of each load separately.
  • 26.
    27 The construction ofmoment diagram by parts are based on the following basic principles. 1. The resultant bending moment at any section caused by any load system is the algebraic sum of the bending moment caused by each load acting separately. R1 L a w R2 R1 A A w B B B a MB=R1L MB=-wa2/2 R1L -wa2/2 M-Diagram by parts Resultant M-Diagram Conventional M-Diagram
  • 27.
    28 2. The momenteffect of a single specified load is the variation from the general equation y = kxn. The graph of the equation is shown in the figure below. h b y = kxn c.g x bh n area 1 1   b n x 2 1   Where n =degree of curve n = 0 couple n= 1 concentrated load n =2 uniformly distributed load n =3 uniformly varying load
  • 28.
    29 Lh 2 1 Lh 3 1 Lh 4 1 Loading M- DiagramArea Centroid P L L x 3 L 4 L 5 L w L x L x 2 2 wL h  6 2 wL h  PL h  w L L M L L x M h  Lh 2 L Areas and centroid of areas of typical loadings
  • 29.
    30 Application of Area– Moment Theorem Determination of deflection at known point on a simple beam Any load A B A B t B x C EI M c  A C t a L D C x General Procedure 1. Sketch the elastic curve and M/EI Diagram. 2. Draw tangent lines to the elastic curve at the supports. Compute A B t EI x A t B AB A B  3. By proportion solve for CD. L t a CD A B  4. Draw another tangent to the elastic curve at the point where the deflection is to be determined. Compute A C t EI x A t C AC A C  5. c  = CD - A C t A C B Diagram
  • 30.
    31 A B A B t C c  A C t 3m D Problems 1. Compute themidspan deflection of the beam shown below. Assume constant EI. 60 kN 2m 4m 20 kN/m A B C 2m 4m 20 kN/m 60 kN RA kN R R M A A B 100 0 3 ) 6 ( 20 ) 4 ( 60 ) 6 ( 0       A B C RA=100 6m 100(6)=600
  • 31.
  • 32.
  • 33.
  • 34.
    A C 3m 60 kN 2m 20kN/m RA=100 100(3)=300 90 2 ) 3 ( 20 2 2 2      wL -60(1)-60 4 5 6 4 x 5 x 6 x 30 1 ) 60 ( 2 1 90 3 3 ) 90 ( 1 450 2 ) 3 )( 300 ( 1 3 2 4           A A A 3 1 75 . 0 ) 3 ( 4 1 1 3 3 6 5 4      x x x
  • 35.
  • 36.
    37 24 kN/m 96kN 48 kN 2m 4 m 1 m Compute the deflection at the free end of the overhanging beam shown below. Assume constant EI. A B C   0 B M 0 ) 4 ( 96 3 ) 6 ( 24 ) 1 ( 24 6     A R 132  A R A B C B A t y B C t 132(6)=792 432 2 ) 6 ( 24 2    -96(4)=-384 -24(1)=-24 1 2 3 4
  • 37.
    38 45 kN 15 kN/m 3m1m 1m 3. Compute the slope and deflection at the free end of the cantilever beam. A B B tA A   AB  A  5 . 22 6 ) 3 ( 15 6 2 2   wL 45 ) 1 ( 45  22.5 45 B tA A   EI x A A AB A   EI A ] 3 1 3 [ 1 ) 45 ( 2 1 3 ) 5 4 ( 3 ) 5 . 22 ( 4 1     3 . 5 . 115 m kN EI A   EI A 1 ) 45 ( 2 1 3 ) 5 . 22 ( 4 1    2 . 375 . 39 m kN EI A  
  • 38.
    39 Location of maximumdeflection Any load A B A B t B x C max  x L A x θA θAC C A t A C B Note : at point of maximum deflection Slope of the elastic curve is zero. Tangent at this point is horizontal so θA = θAC gives the location of the Maximum deflection. Likewise, EIL x A d B AB A A    tan EI x A t A AC C A   max  EI AAC AC   L A t d B A A    tan
  • 39.
    40 50 kN 75kN Problem: Locate and compute the maximum deflection of the beam shown below. Assume constant EI. 1 m 3 m 1 m A B A B t C max  x L θA θAC C A t RA=55 kN R R M A A B 55 0 ) 4 ( 50 ) 1 ( 75 ) 5 ( 0       55(5)=275 -50(4)=-200 -75(1)=-75 L A t d B A A    tan EIL x A B AB A   ) 5 ( ) 3 1 )( 1 )( 75 ( 2 1 ) 3 4 ( 4 ) 200 ( 2 1 ) 3 5 ( 5 ) 275 ( 2 1 EI A     1 . 120 EQ EI A   
  • 40.
    41 1 m 3m 1 m RA=55 50 75 A C x 55x -50(x-1) EI AAC AC A    EI x x x x A ) 1 )( 1 )( 50 ( 2 1 ) 55 ( 2 1      EI x x A 2 2 ) 1 ( 25 5 . 27     EI x x x A ) 1 2 ( 25 5 . 27 2 2      2 . 25 50 5 . 2 2 EQ EI x x A      25 50 5 . 2 120 2    x x 58 20 0 2    x x By quadratic formula m x 57 . 2 
  • 41.
    42 55x=55(2.57)=141.35 -50(x-1)=- 50(2.57-1)=- 78.5 EI x A tA AC C A   max  EI )] 57 . 1 ( 3 2 1 )[ 57 . 1 )( 5 . 78 ( 2 1 57 . 2 ) 3 2 ( 57 . 2 ) 35 . 141 ( 2 1 max     2.57 1.57 A C 3 max . 08 . 185 m kN EI  
  • 42.
    43 50 kN 75kN Problem: Locate and compute the maximum deflection of the beam shown below. Assume constant EI. 1 m 3 m 1 m Non Prismatic Beams ( Beams with variable I) Problem A cantilever beam of Length L with stepwise cross section carries a vertical load P at its free end. The section of the beam changes midway along its length so that its second moment of area is reduced by half. The smaller section is towards the free end. If E is constant, determine the deflection at the free end.
  • 43.
  • 44.
    45 EI PL 2 EI PL 4 EI PL 2 A1 A2 A3 A EI PL EI PLL A 8 2 ) 2 ( 2 1 2 1   EI PL EI PLL A 8 2 ) 4 ( 12 2   EI PL EI PLL A 16 2 ) 4 ( 2 1 2 3   3 ) 2 ( 3 2 L L  L L L 4 3 ) 2 ( 2 1 2   L L L 6 5 ) 2 ( 3 2 2   3 3 2 2 1 1 x A x A x A B tA A      6 5 1 16 4 3 8 3 8 2 2 2 L E PL L EI PL L EI PL A     EI PL E PL EI PL EI PL A 16 3 1 96 5 32 3 24 3 3 3 3     
  • 45.
    46 Conjugate Beam Method animaginary beam with span equal to the span of the real beam. Loading consists of the M/EI diagram of the real beam. Positive M/EI represents downward loadings. EI M c  c  Any load Real Beam L Conjugate Beam C V C M C C L The clockwise rotation of the tangent at any point on the elastic curve of the real beam is equal to the positive shear about the same point on the conjugate beam The downward deflection at any point on the elastic curve of the real beam is equal to the positive moment about the same point on the conjugate beam c  C M = c  C V =
  • 46.
    47 Other properties ofthe conjugate beam  A fixed end for a real beam becomes free end for the conjugate beam.  A free end for a real beam becomes fixed end for the conjugate A simple support for the real beam remains a simple support for the conjugate beam.  An interior support of the real becomes an internal hinge for the conjugate beam and conversely.  The conjugate beam of the real beam is always determinate. Real Beam Conjugate Beam Real Beam Conjugate Beam Real Beam Conjugate Beam ILLUSTRATION
  • 47.
    48 EI M AC  c  Any load Real Beam ConjugateBeam C V C M C L C  A  C A t A B C A B t From the geometry of elastic curve θA = θC+ θAC θC = θA - θAC LEI x A L A B t B AB A    EI AAC AC   EI A LEI x A AC B AB C    EQ. 1 XB a D
  • 48.
    49 EI M C V C M C L XB RA From theconjugate beam ∑MB = 0 0   EI X A L R B AB A EI AAB EIL X A R B AB A  C V C M C a RA EI AAC Vc =∑FV EI A LEI x A V AC B AB C   EQ. 2 xc
  • 49.
    50 EI M C V C M C L XB RA From theconjugate beam ∑MB = 0 0   EI X A L R B AB A EI AAB EIL X A R B AB A  C V C M C a RA EI AAC Vc =∑FV EI A LEI x A V AC B AB C   EQ. 2 xc C C V   EQ.1 = EQ.2
  • 50.
    51 L A B t a CD  a LEI x A CD B AB  EI x A t C AC A C c  = CD - A C t EI x A a LEI x A c AC B AB c    EQ. 3 From the conjugate beam Mc =∑Mc EI x A a R M c AC A c   EI x A a LEI x A M c AC B AB c   EQ. 4 EQ. 3 = EQ. 4 c c M   C V C M C a EI AAC xc EIL X A R B AB A 
  • 51.
    52 2 m 4m 20 kN/m 60 kN 1. Using the conjugate beam method, compute the midspan deflection of the beam shown. Assume constant EI kN R R M A A B 100 0 3 ) 6 ( 20 ) 4 ( 60 ) 6 ( 0       100(6)=600 RA 360 2 ) 6 ( 20 2 2 2   wL -360 -60(4)=-240 A C B Conjugate beam c  3m
  • 52.
    53 600/EI 360/EI 240/EI A 3m B C RA ’ 0 ) 3 4 ( ) 5 . 1 ( ) 2 ( ) 6 ( ' 0 3 2 1       P P P R M A B 4m P1 P2 P3 EI EI P 1800 2 6 ) 600 ( 1 1   EI EI P 720 3 6 ) 360 ( 1 2  EI EI P 480 2 4 ) 240 ( 1 3   2m 1.5m 4/3 EI R EI EI EI R A A 36 . 313 0 ) 3 4 ( 480 ) 5 . 1 ( 720 ) 2 ( 1800 ) 6 ( ' '     
  • 53.
    54 300/EI A 3m C P4 60(1)=60/EI 90 6 3 360 2 2   y y 90/EI P5 P6 1m EI EI P 450 2 3 ) 300 ( 1 4   EI EI P 90 3 3 ) 90 ( 1 5  EI EI P 30 2 1 ) 60 ( 1 6   ) 3 1 ( ) 3 )( 4 1 ( ) 1 ( ) 3 ( ' 6 5 4 P P P RA C      EI RA 36 . 313 '     C c c M M 
  • 54.
  • 55.
    56 24 kN/m 72 kN 48kN 2 m 4 m 1 m 2. Compute the deflection at the free end of the overhanging beam shown below. Assume constant EI. A B C kN R R M A A B 112 0 ) 3 )( 6 ( 24 ) 4 ( 72 ) 1 ( 48 ) 6 ( 0        112 112(6)=672 432 2 ) 6 ( 24 2    -72(4)=-288 -48(1)=-48
  • 56.
    57 672/EI EI 432 288/EI 48/EI A B C AB EI 432 288/EI 672/EI RB 2 m 4 m P1 P2 P3 EI EI P 2016 ) 6 ( 2 ) 672 ( 1 1   EI EI P 864 ) 6 ( 3 ) 432 ( 1 2   EI EI P 576 ) 4 ( 2 ) 288 ( 1 3   4 m 3/4 (6)= 4.5m 2+2/3 (4)= 14/3m
  • 57.
  • 58.
    59 24 kN/m 72 kN 48kN 2 m 4 m 1 m 2. Compute the deflection at the free end of the overhanging beam shown below. Assume constant EI. A B C kN R R M A A B 112 0 ) 3 )( 6 ( 24 ) 4 ( 72 ) 1 ( 48 ) 6 ( 0        112 112(6)=672 -72(4)=-288 -48(1)=-48 432 2 ) 6 ( 24 2    -432
  • 59.
    60 kN 2 m4 m 3. Using the conjugate beam method, locate and compute the maximum deflection of the beam shown. Assume constant EI A B x C At point of maximum deflection 0  c  RA kN R R M A A B 40 0 ) 4 ( 60 ) 6 ( 0      40(6)=240 -60(4)=-240 max     c c M M max 
  • 60.
    61 240/EI 240/EI A 2 m 4m EI EI P 720 ) 6 ( 2 ) 240 ( 1 1   EI EI P 480 ) 4 ( 2 ) 240 ( 1 2   P1 P2 2m 4/3 R1 B x 0 ) 3 4 ( ) 2 ( ) 6 ( 0 2 1 1      P P R MB 0 ) 3 4 ( 480 ) 2 ( 720 ) 6 ( 1    EI EI R EI R 33 . 133 1  A C
  • 61.
    62 60 kN 2 m AC RA=40 X 40X -60(X-2) 40X/EI 60(X-2)/EI R1=133.33/EI P3 P4 X X-2 EI x x EI x P 2 3 20 ) ( 2 ) 40 ( 1   EI x x EI x P 2 4 ) 2 ( 30 ) 2 ( 2 ) 2 ( 60     
  • 62.
  • 63.
    64 40X/EI 60(X-2)/EI R1=133.33/EI P4 X X-2 EI EI x EI x P 06 . 149 ) 73 . 2 ( 20 ) ( 2 ) 40 ( 1 2 3    EI EI x EI x P 16 ) 2 73 . 2 ( 30 ) 2 ( 2 ) 2 ( 602 4       P3    c c M M max  C A ) 73 . 2 ( 3 06 . 149 ) 2 73 . 2 ( 3 16 ) 73 . 2 ( 33 . 133 3 ) 2 ( 3 1 max 3 4 1 max EI EI EI x P x P x R           3 max . 24 . 232 m kN EI  
  • 64.
    65 180 kN 3 m6 m 3 m I 2I I 3 m 4. Using the conjugate beam method, compute the maximum deflection of the beam shown. Assume constant E b A B   2 2 4 3 48 b L EI Pb C    P L at center b = distance of P from the nearer support < L/2 C  L/2 EI EI C 230 ] ) 2 ( 4 ) 6 ( 3 [ 48 ) 2 ( 60 2 2    
  • 65.
    66 180 kN 3 m6 m 3 m 2I I 3 m A B C D E A B C D E 90 kN 270 540 270 270/EI 270/EI 135/EI 135/EI 270/EI I Ordinary M - Diagram Modified M/EI – Diagram (conjugate beam) Solution
  • 66.
    67 270/EI 135/EI 270/EI Modified M/EI –Diagram (conjugate beam) F1 F2 F3 R F1 =1/2(270)3 =405 F2 = 135(3) = 405 F3 =1/2(135)3 =202.5 R = F1 + F2 + F3 = 1012.5 C ) 1 ( ) 5 . 1 ( ) 4 ( ) 6 ( 3 2 1 F F F R c      EI EI EI EI EI c 3645 ) 1 ( 5 . 202 ) 5 . 1 ( 405 ) 4 ( 405 ) 6 ( 5 . 1012          c c c M M  3m 3m
  • 68.
    69 2 m 4m 20+N kN/m 30N kN 1. Using the area moment method, compute the midspan deflection of the beam shown. Assume constant EI 20N kN/m 24N kN 48+3N kN 2 m 4 m 1 m 2. Compute the deflection at the free end of the overhanging beam shown below. Assume constant EI. A B C Plate No.2: area moment method
  • 69.
    70 30N kN 2 m4 m 3. Using the area moment method, locate and compute the maximum deflection of the beam shown. Assume constant EI A B C
  • 70.
    71 2 m 4m 20+N kN/m 30N kN 1. Using the conjugate beam method, compute the midspan deflection of the beam shown. Assume constant EI 20N kN/m 24N kN 48+3N kN 2 m 4 m 1 m 2. Compute the deflection at the free end of the overhanging beam shown below. Assume constant EI. A B C Plate No.3 : Conjugate beam method
  • 71.
    30N kN 2 m4 m 3. Using the conjugate beam method, locate and compute the maximum deflection of the beam shown. Assume constant EI A B C
  • 72.
    73 VIRTUAL WORK METHOD VirtualWork Equation for Beams and Frames the slope and deflection in any direction at a point in a beam or frame can be obtained by applying a unit load at that point and applying the formula where Mp = the bending moment at the element under consideration due to the applied loadings Mu = the bending moment due to a unit load applied at the point where the deflection is required If rotation at a point is required, apply a unit couple at the point to determine Mu,then use EQ. A. dx EI M M L U P   0  EQ. A dx EI M M L U P   0 
  • 73.
    74 c  c  Any load Real System L C L 1 L 1 C C VirtualSystem for deflection at C Virtual System for Rotation at C
  • 74.
    75 General Procedure :Slope and deflection of beams by Virtual Work Method 1. Real System - Draw a diagram of the beam showing all the given forces. 2. Virtual System - Draw a diagram of the beam without the real loads. If the deflection is to be determined , apply a unit load at the point in the direction of the desired deflection. If the slope is to be determined, apply a unit couple on the beam where the slope is desired. 3. Examine the real and virtual systems; the variation of EI along the length of the beam. Divide the beam into segments so that the real and virtual systems is continuous in each segment. 4. For each segment of the beam, determine an equation expressing the Variation of the bending moment due to the real loading (MP) along the length of the segment in terms of position coordinate x. The origin x maybe located anywhere on the beam and must be chosen so that the number of terms in the equation is minimum. Use the sign convention of bending moment, 5. For each segment of the beam, determine an equation expressing the Variation of the bending moment due to the virtual loading (Mu) using the same x coordinate adopted in step 4. The sign convention of bending moment due to the real loading must be the same for the virtual loading. 6. Determine the desired slope or deflection using dx EI M M L U P   0  If the beam is divided into segments, then integral on the right side of EQ. 1 can be evaluated by adding algebraically the integrals for all segments of the beam. EQ. 1 dx EI M M L U P   0 
  • 75.
    76 120 kN 2 m4 m Problem 1: Using the virtual work method, compute the slope and deflection under the 120 kN load of the beam shown. Assume constant EI 2 m 4 m 120 kN A B C 80 40 Real system x A B 80 Segment AB ( 0rigin at A) 0<x<2 Mp = 80x
  • 76.
    Segment BC (0rigin at C) 0<x<4 40 x Mp = 40x 2 m 4 m 1 A B C Virtual system For vertical Deflection at B x A B Mu =2/3x 2/3 2/3 1/3 Segment AB ( 0rigin at A) 0<x<2 x 1/3 B C Mu =1/3x Segment BC ( 0rigin at C) 0<x<4
  • 77.
    Segment Origin LimitsMp Mu AB A 0 – 2 80x 2/3x CB C 0 – 4 40x 1/3x dx EI M M L U P   0      4 0 2 0 3 1 40 3 2 80 dx EI x x dx EI x x B      4 0 2 2 0 2 3 40 3 160 dx x EI dx x EI B     4 0 3 2 0 3 9 40 9 160 x EI x EI B    ) 64 ( 9 40 ) 8 ( 9 160 EI EI B      3 . 9 3840 m kN EI B 
  • 78.
    2 m 4m 1 A B C 1/6 1/6 Virtual system For slope at B x A B Mu = -1/6x       6 1 0 6 1 0 A A C R R M Segment AB ( 0rigin at A) 0<x<2 x B C Mu =1/6x 1/6 1/6 Segment BC ( 0rigin at C) 0<x<4 Segment Origin Limits Mp Mu AB A 0 – 2 80x -1/6x CB C 0 – 4 40x 1/6x
  • 79.
    dx EI M M L U P   0       4 0 2 0 6 1 40 ) 6 1 ( 80 dx EI x x dx EI x x B       4 0 2 2 0 2 3 20 3 40 dx x EI dx x EI B    4 0 3 2 0 3 9 20 9 40 x EI x EI B     ) 64 ( 9 20 ) 8 ( 9 40 EI EI B     2 . 9 960 m kN EI B  
  • 80.
    81 120 kN 2 m4 m Problem 1: Using the virtual work method, compute the slope and deflection under the 120 kN load of the beam shown. Assume constant EI 2 m 4 m 20 kN/m 60 kN Problem 2 : Using the virtual work method, compute the midspan deflection of the beam shown. Assume constant EI
  • 81.
    82 2 m 4m 20 kN/m 60 kN 3 m 1 A B C D A B C D 1/2 1/2 100 80 x A B 100 Segment AB ( 0rigin at A) 0<x<2 Mp = 100x – 20x (x/2) Mp =100x -10x2 x A B Mu =1/2x 20 kN/m 1/2 Segment BC ( 0rigin at A) 2<x<3 x 100 60 kN x-2 20 kN/m B C x A B C Mu =1/2x 1/2 Mp=100x -20x(x/2) – 60(x-2) Mp =40x-10x2+120 Solution to Problem 2 Real System Virtual system for vertical deflection of C
  • 82.
    83 Segment CD (0rigin at D) 0<x<3 x Mp = 40x x C D Mu =1/2x 80 1/2 20 kN/m C D Mp = 80x – 20x (x/2) Mp =80x -10x2 dx EI M M L U P   0  Segment Origin Limits Mp Mu AB A 0 – 2 100x-10x2 1/2x BC A 2 – 3 40x-10x2 +120 1/2x DC D 0 – 3 80x-10x2 1/2x
  • 83.
    84           3 0 2 3 2 2 2 0 2 2 1 ) 10 80 ( 2 1 ) 120 10 40 ( 2 1 ) 10 100 ( dx EI x x x dx EI x x x dx EI x x x c  3 0 4 3 3 2 2 4 3 2 0 4 3 4 5 3 40 1 30 4 5 3 20 1 4 5 3 50 1                          x x EI x x x EI x x EI c                              4 405 360 1 ) 120 20 3 160 ( ) 270 4 405 180 ( 1 20 3 400 1 EI EI EI c                        4 1035 1 3 460 4 1395 1 3 340 1 EI EI EI c  EI EI EI c 12 6810 12 480 7290 1 3 120 4 2430 1                       3 0 3 2 3 2 3 2 2 0 3 2 ) 5 40 ( ) 60 5 20 ( ) 5 50 ( dx EI x x dx EI x x x dx EI x x c 
  • 84.
    85 2 m 4m 24 kN/m A 48 kN Problem Determine the slope and deflection at the free end of the overhanging beam showm 2 m 4 m 24 kN/m A 48 kN 56 2 m 2 m 136 Real System B B C C        kN R R M B B A 136 0 6 ) 8 ( 48 3 ) 6 ( 24 0             kN R R R R F A A B A y 56 0 ) 6 ( 24 48 136 0 ) 6 ( 24 48 0
  • 85.
    86 2 m 4m A B C 1 1/3 2 m 4/3 Virtual System for vertical deflection at C x 24 kN/m A 56 Mp = 56x -12x2 A 1/3 x Mu= - 1/3x x B B B C 48 x B C 1 Mp=-48x Mu= -x
  • 86.
    87 Segment Origin LimitsMp Mu AB A 0 – 6 56x-12x2 -1/3x CB C 0 – 2 -48x -x dx EI M M L U P   0          2 0 6 0 2 ) ( 48 ) 3 1 )( 12 56 ( dx EI x x dx EI x x x C       2 0 2 6 0 2 3 48 1 ) 56 12 ( 3 1 dx x EI dx x x EI C   2 0 3 6 0 3 4 16 3 56 3 3 1 x EI x x EI C           EI EI EI C 80 ) 8 ( 16 ) 4032 3888 ( 3 1     
  • 87.
    88 2 m 4m A B C 1 1/6 2 m 1/6 Virtual System for slope at C ∑MB = 0 1 – 6RA = 0 RA = 1/6 x 24 kN/m A 56 Mp = 56x -12x2 A 1/6 x Mu= - 1/6x B B x B C x B C Mp= - 48x Mu= -1 48 1
  • 88.
    89 Segment Origin LimitsMp Mu AB A 0 – 6 56x-12x2 -1/6x CB C 0 – 2 -48x -1 dx EI M M L U P   0        2 0 6 0 2 ) 1 ( 48 ) 6 1 )( 12 56 ( dx EI x dx EI x x x C       2 0 6 0 2 3 48 ) 56 12 ( 6 1 xdx EI dx x x EI C   2 0 2 6 0 3 4 24 3 56 3 6 1 x EI x x EI C           EI EI EI C 72 ) 4 ( 24 ) 4032 3888 ( 6 1     
  • 89.
    90 180 kN 3 m6 m 3 m I 2I I 3 m 4. Using the virtual work method, compute the vertical deflection of point D of the beam shown. Assume constant E A B C D E 180 kN 3 m 6 m 3 m I 2I I 3 m A B C D E x x x x Real System 90 90
  • 90.
    91 180 kN 3 m6 m 3 m I 2I I 3 m Problem Using the virtual work method, compute the vertical deflection of point D of the beam shown. Assume constant E A B C D E 180 kN 3 m 6 m 3 m I 2I I 3 m A B C D E x x x x Real System 90 90
  • 91.
    x A 90 B x A B 1/4 1 3 m6 m 3 m I 2I I A B C D E x x x Virtual System 1/4 3/4 x MP 90  Segment AB 0<x<3 x MU 4 1  x A 90 B x MP 90  Segment BC 3<x<6 C x A 1/4 B x MU 4 1  C
  • 92.
  • 93.
    94 Segment Origin LimitsMp Mu AB A 0 – 3 90x 1/4x BC A 3 – 6 90x 1/4x 2EI CD A 6 – 9 90x-180(x-6) =1080-90x 1/4x 2EI ED E 0-3 90x 3/4x EI EI EI          3 0 9 6 3 0 6 3 ) 4 3 ( 90 2 4 1 ) 90 1080 ( 2 ) 4 1 ( 90 ) 4 1 ( 90 dx EI x x dx EI x x dx EI x x dx EI x x D 
  • 94.
    95 dx EI M M L U P   0           3 0 2 9 6 2 3 0 6 3 2 2 2 135 ) 90 1080 ( 8 1 4 45 2 45 dx x EI dx x x EI dx x EI dx x EI D        3 0 3 9 6 3 2 6 3 3 3 0 3 6 135 30 540 8 1 12 45 6 45 x EI x x EI x EI x EI D             27 6 135 ) 2 972 1296 ( ) 2 2187 4374 ( 2 1 27 216 6 45 27 6 45 EI EI EI EI D                EI EI EI EI EI D 12 48843 6 3645 ) 2 1215 3078 ( 2 1 6 8505 6 1215                       3 0 9 6 3 0 6 3 ) 4 3 ( 90 2 4 1 ) 90 1080 ( 2 ) 4 1 ( 90 ) 4 1 ( 90 dx EI x x dx EI x x dx EI x x dx EI x x D 
  • 95.
    96 2 m 4m 12N kN/m 50 +NkN Problem 1 : Using the virtual work method, compute the midspan deflection of the beam shown. Assume constant EI 2 m 4 m 14N kN/m A 24NkN Problem 2 Using the virtual work method,determine the slope and deflection at the free end of the overhanging beam showm 2 m B C Plate No. 3: Slope & Deflection by Virtual Work Method
  • 96.
    97 Problem 3 A cantileverbeam of Length L with stepwise cross section carries a vertical load P at its free end. The section of the beam changes midway along its length so that its second moment of area is reduced by one third. The smaller section is towards the free end. If E is constant, determine the deflection at the free end using the virtual work method P L/2 L/2 I 3I A B C
  • 97.
    P L/2 L/2 I 3I A B C 1 L/2 L/2 I 3I A B C RealSystem Virtual system x x 3I x x Segment AB 0 <x < L/2 Px MP   x MU   Segment BC L/2 <x < L Px MP   x MU  
  • 98.
    Segment Limits MPMu EI AB 0 – L/2 -Px -x EI BC L/2 – L -Px -x 3EI dx EI M M L U P   0      L L L dx EI Pxx dx EI Pxx 2 2 0 3      L L L dx EI Px dx EI Px 2 2 2 0 2 3 1  L L L x P EI x P EI 2 3 2 0 3 ] [ 9 1 ] [ 3 1    EI PL EI PL EI PL PL EI PL EI PL L L EI P L EI P L L P EI L P EI 36 5 72 10 72 ) 7 3 ( ) 8 ( 9 7 24 ) 8 ( 9 ) 8 ( 3 ] ) 2 ( [ 9 1 ] ) 2 [( 3 1 3 3 3 3 3 3 3 3 3 3 3 3                
  • 99.
    100     AE L F F dx EI M M p u u P     AE L F F dx EI M M p u u P  Slope and Deflection of Frames by Virtual Work Method Considering axial deformation of members of the frame dx EI M M u P    dx EI M M u P    Neglecting axial deformation of members of the frame where Mp = the bending moment at the element under consideration due to the applied loadings Mu = the bending moment due to a unit load applied at the point where the deflection is required or a unit couple applied at the point where the slope is required. Fp = the axial load at the element under consideration due to the applied loadings Fu = the axial load due to a unit load applied at the point where the deflection is required or a unit couple applied at the point where the slope is required. Note: unless otherwise stated in the problem, the effect of axial deformation is negligible.
  • 100.
    101 General Procedure :Slope and deflection of frames by Virtual Work Method 1. Real System – Determine the internal forces at the ends of the members of the frame due to the real loading. 2. Virtual System - If the deflection is to be determined , apply a unit load at the point in the frame in the direction of the desired deflection. If the slope is to be determined, apply a unit couple on the frame where the slope is desired. Determine the member end forces due to the virtual loading 3. Divide the frame into segments so that the real and virtual systems is continuous in each segment. 4. For each segment of the frame , determine an equation expressing the Variation of the bending moment due to the real loading (MP) along the length of the segment in terms of position coordinate x. The origin x maybe located anywhere on the frame and must be chosen so that the number of terms in the equation is minimum. Use the sign convention of bending moment, 5. For each segment of the beam, determine an equation expressing the Variation of the bending moment due to the virtual loading (Mu) along the frame using the same x coordinate adopted in step 4. The sign convention of bending moment due to the real loading must be the same for the virtual loading. 6. If the effects of the axial deformation is to be included in the analysis, divide the frame into segments so that the real and virtual forces and AE are constant in each segment. It is not necessary that these segments be the same as in steps 4 and 5. It is important that the same sign convention be used for Fp and Fu. 7. Determine the desired slope or deflection using     AE L F F dx EI M M p u u P      AE L F F dx EI M M p u u P 
  • 101.
    102 16 kN/m 36 kN 2m 2 m 6 m A B C E 3 m F G For the frame shown in the figure, determine the vertical deflection of point E. Assume constant EI for all members. 16 kN/m 36 kN 2 m 2 m 6 m A B C E 3 m F G ∑MA = 0 RG(6) – 16(6)3 -36(2) = 0 RG = 60 kN ∑Fy = 0 RAy + RG – 16(6) = 0 RAy = 36 kN ∑Fx = 0 RAx – 36 = 0 RAx = 36 kN 60 36 36 Real System
  • 102.
    103 2 m 2 m A B C E 3m F G Virtual System for vertical deflection of E 1 1/2 1/2 6 m x A 36 B 36 Mp =36x x A B 1/2 Mu =0 Segment AB x A 36 C 36 Mp =36x - 36(x-2) x A B 1/2 Mu =0 Segment BC 36 2 m B C
  • 103.
    104 16 kN/m C F 3660 ∑MC = 0 60(6) – 16(6)3- Mc =0 Mc = 72 72 E 16 kN/m C 36 72 E x C F 1/2 1/2 E 1 Mp = 36x -16x(x/2) + 72 Mp = 36x – 8x2 + 72 C 1/2 E x Mu =1/2x 16 kN/m 60 72 F x Mp = 60x -16x(x/2) Mp = 60x – 8x2 E F x Mu =1/2x E Segment CE ( origin at C 0<x<3) Segment EF ( origin at F 0<x,3)
  • 104.
    105 x G 60 Mp =0 F x G 1/2 Mu =0 F SegmentOrigin Limits Mp Mu AB A 0 – 2 36x 0 CE C 0 – 3 36x-8x2+72 1/2x EI FE F 0 - 3 60x- 8x2 1/2x EI EI EI GF C 0 – 2 0 0 EI BC A 2 – 4 36x-36(x-2) =72 0 EI dx EI M M L U P   0  dx EI x x x dx EI x x x E        3 0 2 3 0 2 2 1 ) 8 60 ( 2 1 ) 72 8 36 ( 
  • 105.
    106 dx EI x x dx EI x x x E        3 0 3 2 3 0 3 2 ) 4 30 ( ) 36 4 18 (    3 0 4 3 3 0 2 4 3 10 1 18 6 1 x x EI x x x EI E           EI EI EI E 432 81 270 1 162 81 162 1        15 kN/m 3 m A B C 4 m Problem Determine the rotation of joint B of the frame shown in the figure.
  • 106.
    107 15 kN/m 3 m A B C 4m 30 kN 30 kN 3 m A C 4 m B 1 ∑MA = 0 1 – 4RC = 0 RC = 1/4 ∑Fy = 0 RA – RC =0 RA = 1/4 A x Mp =0 30 Segment AB( 0rigin at A) 0<x<3 A x Mu =0 1/4 Real System Virtual System 1/4 1/4
  • 107.
    108 15 kN/m C 30 kN Mp= 30x -15x(x)/2 x Mp =30x -15x2/2 1/4 x C B B Mu = 1/4x Segment CB ( 0rigin at C) 0 < x < 4 Segment Origin Limits Mp Mu AB A 0 – 3 0 0 EI EI CB C 0 – 4 30x-15(x2) /2 1/4x EI dx EI M M u P       4 0 2 4 1 ) 2 15 30 ( EI xdx x x C 
  • 108.
  • 109.
    110 80 kN 5 m 4m 3 m A B C 5 m 80 kN 5 m 4 m 3 m A B C Ay Ax 24(5)4/5 = 96 24(5)3/5 =72 24(5) ∑Fx = 0 Ax – 80 – 72 = 0 Ax = 152 kN ∑Fy = 0 Ay – 96 = 0 Ay = 96 kN MA ∑MA = 0 MA – 96(2) -72(6.5) – 80(5) = 0 MA = 1060 kN.m + Problem Determine the vertical deflection of point C for the frame shown in figure. 2I
  • 110.
    111 5 m 4 m A B C 3m 1 MA RA ∑MA = 0 MA – 1(4) = 0 MA = 4 + ∑Fy = 0 RA – 1 = 0 RA = 1 80 kN 5 m 4 m 3 m A B C 96 152 1060 5 m 4 m A B C 3 m 1 4 1 REAL SYSTEM VIRTUAL SYSTEM
  • 111.
    112 x A 96 152 1060 A 4 1 Mp = 152x- 1060 x Mu = - 4 C 24x x B B B Mp = -24x (x)/2 Mp = - 12x2 C x 1 4/5 3/5 Mu = -4/5x Segment AB origin at A ( 0 < x < 5 ) Segment CB origin at C ( 0 < x < 5 )
  • 112.
    113 Segment Origin LimitsMp Mu AB A 0 – 5 152x- 1060 -4 EI 2 EI CB C 0 – 5 -12x2 -4/5x EI dx EI M M L U P   0  dx EI x x dx EI x c         5 0 2 5 0 ) 5 4 )( 12 ( 2 ) 4 )( 1060 152 (  dx EI x dx EI x c      5 0 3 5 0 ) 6 . 9 ( ) 304 2120 (     5 0 4 5 0 2 4 . 2 152 2120 1 x EI x x EI c         4 2 5 4 . 2 ) 5 ( 152 ) 5 ( 2120 1 EI EI c           EI EI EI EI c 1500 6800 1 625 4 . 2 3800 10600 1       EI c 8300  
  • 113.
    114 16 kN/m 48 kN 4m 6 m A B C E 3 m D I I 2I Problem For the frame shown in figure,determine the horizontal deflection of point D using the virtual work method.
  • 114.
    115 16 kN/m 48 kN 4m A B C E 3 m D C 16 kN/m 3 m Cx Cx Cy Cy ∑MA = 0 Cx (4) + Cy(3) – 48(4) – 16(3)(1.5) = 0 4Cx + 3Cy = 264 ∑ME = 0 Cx (4) - Cy(3) – 16(3)(1.5) = 0 4Cx - 3Cy = 72 4Cx + 3Cy = 264 4Cx - 3Cy = 72 8Cx = 336 Cx = 42 Cy = 32 Ax Ay ∑Fx = 0 Ax + Cx – 48 = 0 Ax + 42 - 48 = 0 Ax = 6 ∑Fy = 0 Ay + Cy – 16(3) = 0 Ay + 32 - 48 = 0 Ay = 16 Ex Ey ∑Fx = 0 Ex - Cx = 0 Ex - 42 = 0 Ex = 42 ∑Fy = 0 Ey - Cy – 16(3) = 0 Ey - 32 - 48 = 0 Ey = 80
  • 115.
    116 4 m 6 m A B C E 3m D 1 Ay Ey ∑MA =0 6Ey – 1(4) = 0 Ey = 2/3 ∑Fy =0 Ey – Ay = 0 Ay = 2/3 Ax Ex Ax =Ex = 1/2
  • 116.
    117 16 kN/m 48 kN 4m 6 m A B C E 3 m D 16 80 6 42 4 m 6 m A B C E 3 m D 1 2/3 2/3 1/2 1/2 Real System Virtual System
  • 117.
    118 16 6 x Mp =6x A B 2/3 1/2 x A B Mu=1/2x Segment AB origin at A( 0 < x < 4) 16 kN/m B C D 80 42(4) = 168 x 16 6(4) = 24 42 42 Mp = 80x – 16x(x)/2 – 168 Mp = 80x – 8x2 - 168 B 2/3 2/3 1/2(4) = 2 2 1/2 1/2 x Mu = 2/3x - 2 Segment DB origin at D( 0 < x < 6)
  • 118.
    119 80 42 x Mp =42x E D 2/3 1/2 x E D Mu=1/2x Segment ED origin at E( 0 < x < 4) Segment Origin Limits Mp Mu EI AB A 0 – 4 6x 1/2x EI DB D 0 – 6 80x-8x2-168 2/3x -2 2EI ED E 0 – 4 42x 1/2x EI
  • 119.
    120 dx EI M M L U P   0           4 0 5 0 2 4 0 ) 2 1 )( 42 ( 2 ) 2 3 2 )( 168 8 80 ( ) 2 1 )( 6 ( dx EI x x dx EI x x x dx EI x x D           4 0 2 6 0 3 2 4 0 2 ) 21 ( 2 ) 336 272 3 16 3 208 ( 3 dx EI x dx EI x x x dx EI x D    4 0 3 6 0 2 4 3 4 0 3 7 336 136 12 16 9 208 2 1 1 x EI x x x x EI x EI D                 4 0 3 6 0 2 4 3 4 0 3 4 7 ) 6 ( 336 ) 6 ( 136 6 12 16 6 9 208 2 1 4 1 EI EI EI D                EI EI EI D 448 2016 4896 1728 4992 2 1 64          3 . 704 m kN EI D 
  • 120.
    121 121 Plate # 4: Slope and Deflections of Frames For the frame shown in the figure, determine the vertical deflection of point E and the rotation at point C. Assume constant EI for all members. 18+N kN/m 2 m 2 m 6 m A B C E 3 m F G 75+N kN
  • 121.
    122 Deflection of Trusses   AE L F F p u A  Consideringaxial deformation of members of the truss    T L Fu T   Considering thermal deformation of members of the truss Fp = the axial load at the element under consideration due to the applied loadings Fu = the axial load due to a unit load applied at the point where the deflection is required or a unit couple applied at the point where the slope is required. L = length of truss member A = cross sectional area of truss member E = modulus of elasticity of truss member α = coeffecient of linear expansion ΔF = fabrication error of truss member ΔT = change in temperature Note: unless otherwise stated in the problem, the effect of thermal deformation and fabrication errors are negligible. Considering fabrication errors of members of the truss    F u F F  F T A        VIRTUAL WORK METHOD EQ. 1 EQ. 2 EQ. 3 EQ. 4
  • 122.
    123 General Procedure :Deflection of Trusses by Virtual Work Method 1. Real System – Determine the internal forces at the members due to the external loads by using the method of sections or joints. Consider tensile and compressive forces to be positive and negative respectively. Likewise, increases in temperature and member length; decreases in temperature and member length are positive and negative respectively. 2. Virtual System - Removed all applied loads and apply a unit load at the point in the truss in the direction of the desired deflection to form the virtual force system. By using the method of joints or sections,determine force in all members due to this load. Use the same sign convention for member forces, temperature change and fabrication errors adopted in 1. 3. The desired deflection can now be determined by using EQ. 1 if deflection is due to external loads, EQ. 2 if due to temperature change, EQ. 3 if due to fabrication errors. If necessary use EQ. 4 to determine the deflection due to combined axial, thermal change and fabrication errors. Positive results indicates that the deflection conforms with the direction of the unit load; negative results indicates otherwise. It is recommended that computations be arranged in tabular form.
  • 123.
    124 40 kN 60 kN A B CD E F 40 kN 60 kN A B C D E F 4 m 3 m 3 m ∑MA = 0 40(6) + 60(3) – 4 RF = 0 RF = 105 kN ∑Fy = 0 Ay – RF = 0 Ay -105 = 0 Ay = 105 kN ∑Fx = 0 Ax – 40 – 60 = 0 Ax = 100 kN RF Ay Ax Problem Determine the horizontal deflection of point D for the truss shown. Cross sectional areas of horizontal and vertical members is 4000 sq. mm each, inclined members 5000 sq.mm. E = 200000 MPa for all members.
  • 124.
    125 40 CD =40(C) BC =0 Joint C 40 BD DE Joint D ∑Fx = 0 BD(4/5) – 40 = 0 BD =50 kN (T ) ∑Fy = 0 DE – BD(3/5) = 0 DE = 30 kN (C) C D 30 BE=0 Joint E E EF = 30 kN (C) A 100 105 105 30 BF AF ∑Fy = 0 BF(3/5)+ 30 - 105 = 0 BF = 125 kN (C) ∑Fx = 0 125(4/5) – AF = 0 AF = 100 kN (T) 100 AB = 105 kN (T) F Joint F Joint A
  • 125.
    126 1 A B C D E F 4 m 3m 3 m Ay RF Ax ∑MA = 0 1(6) – 4 RF = 0 RF = 1.5 ∑Fy = 0 Ay – RF = 0 Ay -1.5 = 0 Ay = 1.5 ∑Fx = 0 Ax – 1 = 0 Ax = 1 A 1 1.5 AF = 1 (T) AB = 1.5 (T) Joint A 1.5 EF BF 1 ∑Fx = 0 BF(4/5) - 1 = 0 BF = 1.25 (C) ∑Fy = 0 1.25(3/5) + EF – 1.5 = 0 EF =0.75 (C) F Joint F Joint E By inspection DE= EF = 0.75 (C) BE = 0 Joint C By inspection CD= BC = 0 BD 0.75 Joint D ∑Fx = 0 BD(4/5) – 1 = 0 BD =1.25 (T ) D 0 1
  • 126.
    127 40 kN 60 kN A B CD E F 105 105 100 0 0 - 40 50 - 30 - 125 - 30 100 105 REAL SYSTEM 1 A B C D E F 4 m 1.5 1 1.5 1.0 0 0 0 -0.75 -0.75 -1.25 1.25 VIRTUAL SYSTEM 1.5
  • 127.
    128 Member Fp (kN)Fu L (mm) mm2 ) . ( 2 mm mm kN A L F F u P AB 105 1.5 3000 4000 118.13 AF 100 1 4000 4000 100 BD 50 1.25 5000 5000 62.5 BF -125 -1.25 5000 5000 156.25 DE - 30 -0.75 3000 4000 16.88 EF - 30 -0.75 3000 4000 16.88 NOTE: members with zero forces may not be included in the tabulation. ) . ( 64 . 470 2 mm mm kN A L F F u P     AE L F F p u D  mm D 352 . 2 ) 1000 ( 200000 64 . 470    Horizontal Deflection of point D
  • 128.
    129 129 Solve the precedingproblem considering the effect of an increase in temperature Of 300C. C mm mm x 0 6 10 7 . 11    Member Fu L (mm) ) (mm L Fu AB 1.5 3000 4500 AF 1 4000 4000 BD 1.25 5000 6250 BF -1.25 5000 -6250 DE -0.75 3000 -2250 EF -0.75 3000 -2250 ) ( 4000 mm L Fu      T L Fu T       mm T 404 . 1 ) 30 ( 10 ) 7 . 11 ( 4000 6        mm T D DT 756 . 3 404 . 1 352 . 2   
  • 129.
    130 130 Solve the precedingproblem considering the effect of axial load, temperature increase of 300C and that each member was fabricated 0.005 mm too long. Member Fu ) (mm L Fu AB 1.5 0.005 0.0075 AF 1 0.005 0.005 BD 1.25 0.005 0.00625 BF -1.25 0.005 -0.00625 DE -0.75 0.005 -0.00375 EF -0.75 0.005 -0.00375 ) ( 005 . 0 mm F Fu         mm F Fu F 005 . 0          mm F T D DT 761 . 3 005 . 0 404 . 1 352 . 2     F 
  • 130.
    131 A B C D E F G H 100kN A 100 kN 200 kN 100 kN 100 kN A B H 100 BC BG GH 300 4 at 3 m each = 12 m A B C D E F G H 100 kN A 100 kN 200 kN 100 kN 100 kN 300 kN 300 kN 4m 4 3 5 AB AH 300 kN ∑Fy =0 AB(4/5) – 300 = 0 AB = 375 kN (C) ∑Fx =0 AB(3/5) – AH = 0 375(3/5) – AH = 0 AH = 225 kN (T) By symmetry DE = 375 kN (C) EF = 225 kN (T) 225 GH = 225 100 BH = 100 Joint H By symmetry GF = 225 kN (T) DF = 100 kN (T) G ∑MG = 0 4BC + 200(3) – 300 (6) = 0 BC = 300 kN (C) CD = 300 kN (C) 4 3 5 ∑Fy =0 BG(4/5)+200 – 300 = 0 BG = 125 kN (T) DG = 125 kN (T) 100 By inspection; CG = 0 Problem Determine the horizontal and vertical deflections of point G for the truss shown. A = 4500 mm2,E=200 GPa for all members.
  • 131.
    132 A B C D E F G H A 1 4at 3 m each = 12 m 4m 1/2 1/2 4 3 5 AB AH 1/2 ∑Fy =0 AB(4/5) – 1/2 = 0 AB = 0.625 (C) ∑Fx =0 AB(3/5) – AH = 0 0.625(3/5) – AH = 0 AH = 0.375 (T) By symmetry DE = 0.675 (C) EF = 0.375 (T) 0.375 GH = 0.375 BH = 0 Joint H By symmetry GF = 0.375 (T) DF = 0 A B H BC CH GH 1/2 G ∑MG = 0 4BC - 1/2(6) = 0 BC = 0.75 (C) CD = 0.75 (C) 4 3 5 ∑Fy =0 CH(4/5) – 1/2 = 0 CH = 0.625 (T) DG = 0.625 (T) By inspection; CG = 0
  • 132.
    133 A B C D E F G H A 1 1/21/2 -0.625 -0.625 0.375 0.625 0.625 0.375 0.375 0.375 -0.75 -0.75 0 0 0 VIRTUAL SYSTEM ( Vertical deflection of G) A B C D E F G H 100 kN A 100 kN 200 kN 100 kN 100 kN 300 kN 300 kN -375 225 -300 125 125 225 225 225 -375 -300 100 100 0 REAL SYSTEM Member Fp (kN) Fu L (mm) mm2 ) . ( 2 mm mm kN A L F F u P AH 225 0.375 3000 4500 56.25 BC -300 -0.75 3000 4500 168.7 BG 125 0.625 5000 4500 86.8 CD -300 -0.75 3000 4500 168.7 DE -375 -0.625 5000 4500 260.42 DG 125 0.625 5000 4500 86.8 EF 225 0.375 3000 4500 56.25 AB -375 -0.625 5000 4500 260.42 FG 225 0.375 3000 4500 56.25 GH 225 0.375 3000 4500 56.25 ) . ( 81 . 256 , 1 2 mm mm kN A L F F u P  
  • 133.
    134 200000 ) 1000 ( 81 . 1256    AE L F FU P GV  mm GV 28 . 6   A B C D E F G H A 4 at 3 m each = 12 m 4m 1 1 4 3 5 AB = 0 AH =1 (T) 1 BH = 0 1 Joint A Joint H 1 BG=0 CG=0 DG=0 GF=0 G H A GH=1 (T) 1
  • 134.
    135 A B C D E F G H A 4at 3 m each = 12 m 4m 1 1 1 1 0 0 0 0 0 0 0 0 0 0 Member Fp (kN) Fu L (mm) mm2 ) . ( 2 mm mm kN A L F F u P AH 225 1 3000 4000 150 GH 225 1 3000 4000 150 ) . ( 300 2 mm mm kN a L F F U p   Horizontal Deflection of point G 200000 1000 ) 300 (    AE L F F U p GH  mm GH 5 . 1   VIRTUAL SYSTEM ( Horizontal deflection of G)
  • 135.
    136 Problem Determine the verticaldeflection of point G of the truss given in the previous problem due to the given loads and fabrication errors of an increase of 0.2 mm in length for tension members and 0.25 mm decrease in length for compression members. All Other data remain unchanged. . A B C D E F G H 100 kN A 100 kN 200 kN 100 kN 100 kN 300 kN 300 kN -375 225 -300 125 125 225 225 225 -375 -300 100 100 0 REAL SYSTEM A B C D E F G H A 1 1/2 -0.625 -0.625 0.375 0.625 0.625 0.375 0.375 0.375 -0.75 -0.75 0 0 0 VIRTUAL SYSTEM ( Vertical deflection of G) 1/2
  • 136.
    137 Member Fp (kN)Fu L (mm) mm2 ) . ( 2 mm mm kN A L F F u P AH 225 0.375 3000 4500 56.25 BC -300 -0.75 3000 4500 168.7 BG 125 0.625 5000 4500 86.8 CD -300 -0.75 3000 4500 168.7 DE -375 -0.625 5000 4500 260.42 DG 125 0.625 5000 4500 86.8 EF 225 0.375 3000 4500 56.25 AB -375 -0.625 5000 4500 260.42 FG 225 0.375 3000 4500 56.25 GH 225 0.375 3000 4500 56.25 81 . 256 , 1   A L F F u P F  F u F  -0.25 -0.25 -0.25 -0.25 mm mm 0.20 0.20 0.20 0.20 0.20 0.20 0.156 0.156 0.075 0.075 0.075 0.075 0.188 0.188 0.125 0.125 mm F F u 238 . 1         F u U P GV F AE L F F      mm GV 518 . 7 238 . 1 2000 1000 81 . 1256 
  • 137.
    138 Problem Determine the verticaldeflection of point G of the truss given in the previous problem due to the given loads and temperature increase of 200C . All Other data remain unchanged. . A B C D E F G H 100 kN A 100 kN 200 kN 100 kN 100 kN 300 kN 300 kN -375 225 -300 125 125 225 225 225 -375 -300 100 100 0 REAL SYSTEM A B C D E F G H A 1 1/2 -0.625 -0.625 0.375 0.625 0.625 0.375 0.375 0.375 -0.75 -0.75 0 0 0 VIRTUAL SYSTEM ( Vertical deflection of G) C m m 0 7 . 11    1/2
  • 138.
    139 Member Fp (kN)Fu L (mm) mm2 ) . ( 2 mm mm kN A L F F u P AH 225 0.375 3000 4500 56.25 BC -300 -0.75 3000 4500 168.7 BG 125 0.625 5000 4500 86.8 CD -300 -0.75 3000 4500 168.7 DE -375 -0.625 5000 4500 260.42 DG 125 0.625 5000 4500 86.8 EF 225 0.375 3000 4500 56.25 AB -375 -0.625 5000 4500 260.42 FG 225 0.375 3000 4500 56.25 GH 225 0.375 3000 4500 56.25 81 . 256 , 1   A L F F u P L Fu mm -3125 -3125 1125 1125 1125 1125 -2250 -2250 3125 3125 0   L Fu      T L F AE L F F u U P GV       mm GV 28 . 6 0 200000 1000 81 . 1256 
  • 139.
    140 60 kN 100 kN A BC D 6 m 6 m 4m 300 mm2 300 mm2 300 mm2 300 mm2 200 mm2 Problem For the truss shown in the figure , if E = 200 GPa, determine the following: a) the vertical deflection of B b) the horizontal deflection of C c) the horizontal deflection of D 60 kN 100 kN A B C D 6 m 6 m 4m 300 mm2 300 mm2 300 mm2 300 mm2 200 mm2 ∑MA = 0 100(6) + 60(4) - 12 Rc = 0 Rc = 70 kN ∑Fy = 0 Ay + Rc - 100= 0 Ay +70 -100 = 0 Ay = 30 kN ∑Fx = 0 Ax – 60 = 0 Ax = 60 kN Ax Ay Rc
  • 140.
    141 60 kN 100 kN A BC D 6 m 6 m 4m 60 30 70 C 70 2 3 3.61 ∑Fy =0 CD(2/3.61) – 70 = 0 CD = 126.35 kN (C) ∑Fx =0 CD(3/3.61) – BC = 0 126.350(3/3.61) – BC = 0 BC= 105 kN (T) CD BC 100 kN B 105 AB=105 kN (T) BD = 100 kN (T) A 60 30 105 AD 2 3.61 3 ∑Fy =0 AD(2/3.61) – 30 = 0 AD = 54.15 kN (C) -126.35 105 105 100 -54.15 REAL SYSTEM
  • 141.
    142 1 kN A B C D 6 m6 m 4m 1/2 1/2 C 1/2 2 3 3.61 ∑Fy =0 CD(2/3.61) – 1/2 = 0 CD = 0.90 (C) ∑Fx =0 CD(3/3.61) – BC = 0 0.9(3/3.61) – BC = 0 BC= 0.75 (T) By symmetry AD =0.90 (C) AB = 0.75 (T) By inspection BD = 1 (T) CD BC -0.90 -0.90 1 0.75 0.75 Virtual System for vertical deflection of B Member Fp (kN) Fu L (mm) mm2 ) . ( 2 mm mm kN A L F F u P AD -54.15 -0.90 7220 300 1,172.89 BC 105 0.75 6000 300 1,575 BD 100 1.0 4000 200 2,000 CD -126.35 -0.90 7220 300 2,736.74 AB 105 0.75 6000 300 1,575 2 . 63 . 9059 mm mm kN A L F F u P   Vertical deflection of B    mm BV 5 . 45 200000 ) 1000 ( 63 . 9059 
  • 142.
    143 A B C D 6 m 6m 4m 0 0 0 1 1 1 1 C 2 3 3.61 BC=1 1 CD =0 BD =0 1 AB = 1 A 1 1 AD=0 2 3.61 3 B Member Fp (kN) Fu L (mm) mm2 AB 105 1.0 6000 300 2100 BC 105 1.0 6000 300 2100 ) . ( 2 mm mm kN A L F F u P 2 . 4200 mm mm kN A L F F u P   Horizontal Deflection of point C 200000 1000 ) 4200 (    AE L F F U p CH  mm GH 21   Virtual System for horizontal deflection of C
  • 143.
    144 A B C D 6 m 6m 4m 0.60 - 0.60 0 0.50 0.50 1 Ax Ay ∑MA = 0 1(4) - 12 Rc = 0 Rc = 1/3 ∑Fy = 0 Ay - Rc = 0 Ay -1/3 = 0 Ay = 1/3 ∑Fx = 0 Ax – 1 = 0 Ax = 1 RC C 1/3 2 3 3.61 ∑Fy =0 CD(2/3.61) – 1/3 = 0 CD = 0.60 (C) ∑Fx =0 CD(3/3.61) – BC = 0 0.6(3/3.61) – BC = 0 BC= 0.5 (T) BC B 0.5 AB=0.5 (T) BD = 0 A 1 1/3 0.5 AD 2 3.61 3 ∑Fy =0 AD(2/3.61) – 1/30 = 0 AD = 0.60 (T) Virtual system for horizontal deflection of D
  • 144.
    145 Member Fp (kN)Fu L (mm) mm2 AD -54.15 0.60 7220 300 -781.93 BC 105 0.50 6000 300 1,050 CD -126.35 -0.60 7220 300 1,824.5 AB 105 0.50 6000 300 1,050 2 . 56 . 3142 mm mm kN A L F F u P   Horizontal deflection of D    mm DH 71 . 15 200000 ) 1000 ( 56 . 3142  ) . ( 2 mm mm kN A L F F u P   AE L F F U p DH 
  • 145.
    146 90 kN 100 kN A BC D 6 m 6 m 4m 400 mm2 400 mm2 300 mm2 300 mm2 200 mm2 For the truss shown in figure, determine the vertical deflection of joint B If E = 200GPa. Midterm Exam I
  • 146.
    147 For the frameshown in the figure, determine the vertical deflection of point E. Assume constant EI for all members. 18 kN/m 2 m 2 m 6 m A B C E 3 m F G 75 kN II
  • 147.
    148 Methods of analysis 1.METHOD OF SUPERPOSITION 2. THREE MOMENT EQUATION 3. MOMENT DISTRIBUTION METHOD 4. SLOPE DEFLECTION METHOD ANALYSIS OF STATICALLY INDETERMINATE BEAMS- the process of determining the unkown reactions and end moments of the beam so that the shear and moment diagrams of the beam can be plotted. Method of Superposition - Apply known slope or deflection formulas to obtain equations involving slope or deflections. The following table will be useful in applying the method of superposition
  • 148.
    149 Loading Slope Deflection  P L  P L  w EI PL 2 2 EI PL 3 3 EI wL 6 3 EI wL 8 4  2 L 2 L P  b at center ) 4 3 ( 48 2 2 b L EI Pb  b=distance of P from the nearer support
  • 149.
    150  w L  EI wL 24 3 EI wL 30 4 M EI ML EI ML 2 2   2 L 2 L P L w L at supportsat center at center EI PL 48 3 EI wL 384 5 4 Loading Slope Deflection   EI PL 16 2 at supports EI wL 24 3  
  • 150.
    151 w a a A B C w AB C B  L = 2a Remove redundant at B and solve for Vertical deflection at B due to the given loadings EI wL B 384 5 4   C B  L = 2a B RB Remove applied loads and apply at RB at B Solve for Vertical deflection at B due to RB. EI L RB B 48 3   By superposition of deflections; of settlement B B     B iIlustration of method of superposition
  • 151.
    152 W= 25 kN/m 6m A B C 60 kN 3m 6 m 3m 60 kN w A B C B  L = 12m C B  L = 12 m B RB 60 kN 3m 3m 60 kN     ) 4 3 ( 48 384 5 2 2 4 b L EI Pb EI wL B  EI L RB B 48 3   Problem Analyze the indeterminate beam shown by method of superposition. Assume that support B does not settle.
  • 152.
    153     ) 4 3 ( 48 384 5 48 2 2 4 3 b L EI Pb EI wL EI L RB  kN R R B B 270 ) 3 ( 4 ) 12 ( 3 ) 3 )( 60 ( 2 8 ) 12 )( 25 ( 5 ) 12 ( 2 2 4 3     B B    kN R R C A 75 2 270 ) 12 ( 25 ) 60 ( 2     
  • 153.
    154 W =25 kN/m AB C 3m 3m 3m 3m 75 kN 75 kN 270 kN 60 kN 60 kN 75 -60 -135 135 1 2 A A’ B MA’ = A1 MA’ = ½(75) 3 = 112.5 kN.m MB – MA’ = A2 MB – 112.5 = -1/2(60+135) 3 MB = - 180 kN.m -180 112.5 112.5 60 -75 0 0 V-Diagram M-Diagram
  • 154.
    155 Problem Analyze the beamgiven in the previous problem if B settles 18 mm vertically down. E = 200000 MPa and I = 600 x 106 mm4. B B     18      ) 4 3 ( 48 384 5 18 48 2 2 4 3 b L EI Pb EI wL EI L RB   kN N R R EI R B B B 220 220000 82500 187500 ) 12000 ( ) 10 )( 500 ( 200000 ) 48 ( 18 ) 3000 ( 4 ) 12000 ( 3 ) 3 ( ) 1000 )( 60 ( 2 8 ) 12000 )( 25 ( 5 ) 48 ( 18 ) 12000 ( 3 6 2 2 2 4 3          kN R R C A 100 2 220 ) 12 ( 25 ) 60 ( 2     
  • 155.
    156 W =25 kN/m AB C 3m 3m 3m 3m 100 kN 100 kN 220 kN 60 kN 100 -35 -110 110 1 2 A A’ B MA’ = A1 MA’ = ½(100) 3 = 150 kN.m MB – MA’ = A2 MB – 150= -1/2(110+35) 3 MB = - 67.5 kN.m -67.5 150 150 35 -100 0 0 V-Diagram M-Diagram 25 -25
  • 156.
    157 48 kN 6 m 24kN/m 6m 1  24kN/m  48 kN 6m   2 2  4m 6m  A B RB EI wL 8 4 1   4m   2 2  EI PL EI PL 2 1 2 1 2 ) 2 ( 2    EI L RB 3 3       3 2 1    EQ. of Deformation EI L R EI PL EI PL EI wL B 3 3 8 3 3 1 2 1 4    Problem; Analyze the indeterminate beam shown in figure. 3  EI PL 3 3 1 3  
  • 157.
    158 RA = 24(6)+48– 78.89 =113.11 MA = 78.89(6) – 48(4) – 24(6)(3) = -150.66 kN.m 6 m 24 kN/m 4m A B 113.11 78.89 150.66 -150.66 48 kN 17.11 -30.89 113.11 -78.89 A C B 1 2 1 A M M A C   m kN M M C C . 78 . 109 4 2 11 . 17 11 . 113 ) 66 . 150 (            2 A M M C B   1 A M M A C   0 2 2 89 . 78 89 . 30 78 . 109           B B M M 109.78 3 ) 6 ( 3 ) 4 ( 48 ) 4 ( 48 8 ) 6 ( 24 3 3 2 4 B R    RB = 78.89 V-Diagram M-Diagram
  • 158.
    159 h1 h3 L1 L2 AnyLoading A1 a1 A2 a2 Moment diagram due to loads on L1 Moment diagram due to loads on L2 1 2 3 Continuous Beams :Three Moment Equation A relation between the moments at any three points on a beam and their relative vertical distances and deviation. SYMBOLS & NOTATIONS M1, M2, M3 = moments at points 1,2 & 3 L1 = horizontal distance between points 1 & 2, span # 1 L2 = horizontal distance between points 2 & 3, span # 2 h1=vertical deviation of point 1 with respect to point 2 h3=vertical deviation of point 3 with respect to point 2 I1 = moment of inertia of section of span #1 I2 = moment of inertia of section of span #2 E1,E2 = modulus of elasticity of sections of span #1 and #2 A1a1 = moment of area of Moment diagram of the loads on span #1 about the left end of span # 1 A2a2 = moment of area of Moment diagram of the loads on span #2 about the right end of span # 2 M1 L1 L2 Moment diagram due to end moments M2 M2 M3
  • 159.
    160 2 / 1 1 t h  2 / 1 t h1 h3 3 2 / 3h t  2 / 3 t L1 L2 1 2 3 2 3 2 / 3 1 2 / 1 1 L h t L t h    2 3 1 1 2 2 / 3 1 2 / 1 L h L h L t L t    1 1 1 1 2 1 1 1 1 1 2 / 1 ) 3 2 ( 2 1 ) 3 1 ( 2 1 I E L L M L L M a A t    1 1 2 1 2 2 1 1 1 1 2 / 1 3 1 6 1 I E L M L M a A t    EQ.1 EQ.2
  • 160.
  • 161.
    162                    2 3 1 1 2 2 2 2 1 1 1 1 2 2 3 2 2 1 1 2 1 1 1 6 6 6 2 L h L h E L I a A L I a A I L M I L I L M I L M                2 3 1 1 2 2 2 1 1 1 2 3 2 1 2 1 16 6 6 2 L h L h EI L a A L a A L M L L M L M                    2 3 1 1 2 2 2 2 2 1 1 1 1 1 2 2 2 3 2 2 2 1 1 1 2 1 1 1 1 6 6 6 2 L h L h L I E a A L I E a A I E L M I E L I E L M I E L M If E is constant If E and I are constants   0 6 6 2 2 2 2 1 1 1 2 3 2 1 2 1 1       L a A L a A L M L L M L M General Form of the three moment equation If E and I are constants, h1 = h3 = 0
  • 162.
    163 1 1 1 6 L a A 2 2 2 6 L a A Type of loading andspan P a b L   2 2 a L L Pa    2 2 b L L Pb  w L L 4 3 wL 4 3 wL 60 8 3 wL 60 7 3 wL w
  • 163.
    164 1 1 1 6 L a A 2 2 2 6 L a A Type of loading andspan L w L L 4 3 wL 32 5 3 wL L L a M ) 3 ( 2 2   60 8 3 wL 60 7 3 wL M a b L L b M ) 3 ( 2 2  w
  • 164.
    165 24 kN 2 m2 m 6 m 6 kN/m A B D C 3 m 2 m 48 kN Considering points A, B and C MA = 0     2 . 403 2 5 5 ) 2 ( 48 6 2 2 2 2 1 1 1      a L L Pa L a A     144 2 4 4 ) 2 ( 24 6 2 2 2 2 2 2 2      b L L Pb L a A L1 =5 L2 =4   0 6 6 2 2 2 2 1 1 1 2 2 1 1       L a A L a A L M L L M L M C B A   0 144 2 . 403 4 4 5 2      C B M M 0 2 . 547 4 18    C B M M EQ. 1 Problem Analyze the indeterminate beam shown by three moment equation. Assume constant EI. h1 =0 h3 =0
  • 165.
    166 Considering points B,C and D MD = 0     144 2 4 4 ) 2 ( 24 6 2 2 2 2 1 1 1      a L L Pa L a A 864 4 ) 6 ( 16 4 6 3 3 2 2 2    wL L a A L1 =4 L2 =6   0 6 6 2 2 2 2 1 1 1 2 2 1 1       L a A L a A L M L L M L M D C B   0 864 144 ) 0 ( 6 6 4 2 4       C B M M 0 252 5    C B M M EQ. 2 252 5    C B M M 0 2 . 547 4 ) 252 5 ( 18      C C M M 0 2 . 547 4 4536 90      C C M M MC = -46.38 kN.m MB = -20.1 kN.m
  • 166.
    167 Any Loading A B C AnyLoading A B C +MA +MB Any Loading B +MB +MC Positive sense of end moments: if end moments are positive they must be plotted as illustrated below, if negative plot it otherwise Note: After the end moments are plotted, neglect negative signs; in computing reactions using ∑M = 0 positive moments depends on your assumption RA RB1 RB2 RC For interior reactions COMPUTATION OF REACTIONS 2 1 B B B R R R  
  • 167.
    168 A B 3 m 2m 48 kN 20.1 0 RA RB1 ∑MB = 0 RA(5) + 20.1 – 48(3) = 0 RA = 24.78 kN ∑Fy = 0 RB1 + RA – 48 =0 RB1 = 23.22 kN + 24 kN 2 m 2 m B C 20.1 46.38 ∑MB = 0 RC1(4)- 46.38 +20.1 – 24(2) = 0 RC1 = 18.57 kN ∑Fy = 0 RB2 + RC1 – 24 =0 RB2 = 5.43 kN + RB2 RC1 6 m 6 kN/m D C 46.38 0 RC2 RD ∑MC = 0 RD(6)+46.38 –6 (6)3 = 0 RD = 10.27 kN ∑Fy = 0 RD + RC2 – 6(6) =0 RC2 =25.73 kN + kN R R R B B B 65 . 28 2 1    kN R R R C C C 3 . 44 2 1   
  • 168.
    169 24 kN 2 m2 m 6 m 6 kN/m A B D C 3 m 2 m 48 kN 24.78 28.65 44.3 10.27 24.78 -23.22 5.43 -18.57 25.73 -10.27 A 1 B 2 C 3 D 4.29 1.71 1 2 3 4 5 6 M1 = A1 M1 = 24.78(2) = 49.56 MB – M1 = A2 MB - 49.56= -23.22(3) MB = -20.1 M2-MB = A3 M2- (-20.1) = 5.43(2) M2 =-9.24 MC – M2 =A4 MC-(-9.24)=-18.57(2) MC = - 46.38 M3 – MC = A5 M3- (-46.38) =1/2(25.73)(4.29) M3 =8.81 MD – M3 = A6 MD -8.81 =1/2(10.2)(1.71) MD =0 49.56 -20.1 -9.24 -46.28 8.81
  • 169.
    170 64 kN 2 m 2m 6 m 16 kN/m A B 48 kN C Considering points A, B and C MA = 0     384 2 4 4 ) 2 ( 64 6 2 2 2 2 1 1 1      a L L Pa L a A     1504 4 ) 6 ( 16 4 6 6 ) 4 ( 48 4 6 3 2 2 3 2 2 2 2 2        wL b L L Pb L a A L1 =4 L2 =6   0 6 6 2 2 2 2 1 1 1 2 2 1 1       L a A L a A L M L L M L M C B A   0 1504 384 6 6 4 2      C B M M 0 1888 6 20    C B M M EQ.1 2 m Problem Analyze the indeterminate beam Shown assuming constant EI.
  • 170.
    171 64 kN 2 m2 m 6 m 16 kN/m A B 48 kN Imaginary span C D Note: all values for imaginary span is 0 Considering points B,C and D MD = 0     1376 4 ) 6 ( 16 2 6 6 ) 2 ( 48 4 6 3 2 2 3 2 2 1 1 1        wL a L L Pa L a A 0 6 2 2 2  L a A L1 =6 L2 =0   0 6 6 2 2 2 2 1 1 1 2 2 1 1       L a A L a A L M L L M L M D C B 0 1376 6 2 6    C B M M 0 688 6 3    C B M M EQ. 2
  • 171.
    172 0 1888 6 20    C BM M 0 1200 17   B M 0 688 6 3    C B M M MB = -70.59 kN.m MC = -79.37 kN.m A B 2 m 2 m 64 kN 70.59 0 RA RB1 ∑MB = 0 RA(4) + 70.59 – 64(2) = 0 RA = 14.35 kN ∑Fy = 0 RB1 + RA – 64 =0 RB1 = 49.65 kN + 48 kN 6 m 16 kN/m B C 70.59 79.37 RB2 RC ∑MB = 0 RC(6)+ 70.59 - 79.37 – 48(2)- 16(6)3 = 0 RC = 65.46 kN ∑Fy = 0 RB2 + RC – 48 – 16(6)=0 RB2 = 78.54 kN + kN R R R B B B 19 . 128 2 1    2 m
  • 172.
    173 64 kN 2 m 2m 6 m 16 kN/m A B 48 kN C 2 m 14.35 128.19 65.46 14.35 -49.65 78.54 46.54 -1.46 -65.46 4 3 2 1 A 1 B 2 C M1 – MA = A1 M1 – 0 = 14.35(2) M1 = 28.7 kN.m MB - M1 =A2 MB – 28.7 =- 49.65(2) MB = -70.59 kN.m M2 – M3 =A3 M2 –(-70.59) = ½(78.54+46.54)2 M2 = 54.49 kN.m MC – M2 = A4 MC- 54.49=-1/2(1.46+65.46)4 MC = - 79.37 kN.m 28.7 -70.59 54.49 -79.37
  • 173.
    174 114 kN 36 kN/m D B A 2m 90 kN 2 m 2 m C 2 m 5 m 114 kN 36 kN/m D B A 2 m 90 kN 2 m 2 m C 2 m 5 m A’ 1 m 1 m Considering points A’, A and B MA’ = 0     240 1 3 3 ) 1 ( 90 6 2 2 2 2 2 2 2      b L L Pb L a A L1 =0 L2 =3   0 6 6 2 2 2 2 1 1 1 2 2 1 1 '       L a A L a A L M L L M L M B A A 0 6 1 1 1  L a A   0 240 3 3 0 2     B A M M 1 . 0 120 5 . 1 3 EQ M M B A     Problem: Analyze the indeterminate beam shown assuming constant EI.
  • 174.
    175 Considering points A,B and C     300 2 3 3 ) 2 ( 90 6 2 2 2 2 1 1 1      a L L Pa L a A     684 2 4 4 ) 2 ( 114 6 2 2 2 2 2 2 2      b L L Pb L a A L1 =3 L2 =4   0 6 6 2 2 2 2 1 1 1 2 2 1 1       L a A L a A L M L L M L M C B A   0 684 300 4 4 3 2 3       C B A M M M 2 . 0 984 4 14 3 EQ M M M C B A      1 . 0 120 5 . 1 3 EQ M M B A     3 . 0 864 4 5 . 12 EQ M M C B     subtract
  • 175.
    176 Considering points B,C and D MD =-36(2)(1)= -72 kN.m     684 2 4 4 ) 2 ( 114 6 2 2 2 2 1 1 1      a L L Pa L a A 1125 4 ) 5 ( 36 4 6 3 3 2 2 2    wL L a A L1 =4 L2 =5   0 6 6 2 2 2 2 1 1 1 2 2 1 1       L a A L a A L M L L M L M D C B   0 1125 684 ) 72 ( 5 5 4 2 4        C B M M 36 kN/m D 2 m   0 1449 5 4 2 4     C B M M Divide by 4.5 4 . 0 322 4 89 . 0 EQ M M C B     3 . 0 864 4 5 . 12 EQ M M C B     0 542 61 . 11   B M m kN MB . 68 . 46   0 322 4 ) 68 . 46 ( 89 . 0     C M m kN MC . 11 . 70   1 . 0 120 5 . 1 3 EQ M M B A     0 120 ) 68 . 46 ( 5 . 1 3     A M m kN MA . 66 . 16   0 984 ) 11 . 70 ( 4 ) 68 . 46 ( 14 ) 66 . 16 ( 3        Check subtract
  • 176.
    177 B A 2 m 90 kN 1m 16.66 46.68 114 kN B 2 m 2 m C 46.68 70.11 36 kN/m D C 2 m 5 m 70.11 RA RB1 RB2 RC1 RC2 RD ∑MA = 0 RB1(3)+ 16.66 – 46.68 – 90(2) = 0 RB1 = 70 kN ∑Fy = 0 RB1 + RA – 90 =0 RA = 20 kN + ∑MB = 0 RC1(4)+ 46.68 – 70.11 – 114(2) = 0 RC1 = 62.86 kN ∑Fy = 0 RB2 + RC 1– 114 =0 RB2 = 51.14 kN + ∑MC = 0 RD(5)+ 70.11 – 36(7)3.5 = 0 RD = 162.38 kN ∑Fy = 0 RC2 + RD – 36(7)=0 Rc2 = 89.62 kN RB = 70 + 51.14 =121.14 kN RC = 62.86 + 89.62 = 152.48 kN +
  • 177.
    178 114 kN 36 kN/m D B A 2m 90 kN 2 m 2 m C 2 m 5 m 1 m 20 121.14 152.48 162.38 20 -70 51.14 -62.86 89.62 -90.38 72 2.49 2.51 5 6 7 4 3 2 1 Point of zero shear 36x = 92.03 x = 2.56 16.66 M1 – MA = A1 M1 – (-16.66) = 20(2) M1 = 23.34 kN.m MB - M1 =A2 MB – 23.34 =- 70(1) MB = -46.68 kN.m M2 – MB =A3 M2 –(-46.68) =(51.14)2 M2 = 55.6 kN.m MC – M2 = A4 MC- 55.6= -(62.86)2 MC = - 70.11 kN.m M3 – Mc = A5 M3- (-70.11)= 1/2(89.62)2.49 M3 = 41.47 kN.m MD – M3 = A6 MD- 41.47= -1/2(90.48)2.51 MD = - 72 kN.m ME – MD = A7 ME-(- 72)= 1/2(72)2 ME = 0 A 1 B 2 C 3 D E 23.34 -16.66 -46.68 56.12 -70.11 35.73 -72 0
  • 178.
    179 124+N kN 26N kN/m D B A 90+NkN 2 m 2 m C 2 m 5 m 3m 24+3N kN 2 m 2 m 6 m 4N kN/m A B D C 3 m 2 m 48+2N kN Plate # 8 : Three Moment Equation Analyze the indeterminate beams shown by using the three moment equation. E
  • 179.
    180 Carry over moment– the moment induced at fixed end of a beam by the action of a moment applied at the other end. When a moment MB is applied at B and flexes the beam it induced a wall moment MA at A such that : L EI MB  4  MB -1/2MB B A Beam stiffness – the moment required by the simply supported end of a beam to produce a unit rotation of that end the other end being rigidly fixed. Absolute stiffness Relative Stiffness L EI kabs 4  L I k  B A M M 2 1    MOMENT DISTRIBUTION
  • 180.
    181 Distribution Factors ofany member of joint   k k DF k = stiffness of the member ∑k = sum of stiffness of all members meeting at the joint A B C Member BA Joint B Member BC Joint B - + - + Convention of signs for fixed end moment For external supports Fixed end DF= 0 Hinged end DF= 1.0
  • 181.
    182 Fixed End Momentsof typical loadings 2 2 L b Pa 12 2 wL  Loading MA MB P L w A B w A 12 2 wL 2 2 L Pab  a b A B L L 30 2 wL  20 2 wL B
  • 182.
    183 96 5 2 wL  Loading MAMB L w A 96 5 2 wL 2 6 L EI  L L 20 2 wL  30 2 wL B  2 6 L EI  w A B A B
  • 183.
    184 General Procedure: MomentDistribution 1. Lock all joints against rotation. Compute the fixed end moments. 2. Compute the distribution factors of each member of joint using 3. Prepare the table of moment distribution. Indicate by arrows how the moments will be distributed to adjacent joints 4. Unlock each support and compute the balancing moment (BM) using BM =( Sum or Difference in moment at joint)DF sign of BM - take the sign of the moment with the smaller absolute value; if the moments are of the same sign take the opposite sign Sum – if the moments are of the same sign Difference- if the moments are of opposite sign 5. Carry over one half of BM to the adjacent joints as indicate by the arrows in step 3 6. Repeat steps 4 and 5 until the moment to be distributed becomes negligible MODIFIED STIFFNESS METHOD For continuous beams with hinge or rollers ends the moment at this end is zero. Multiplying the stiffness of this member by ¾ eliminates any further distribution of moment at this ends.   k k DF
  • 184.
    185 30 kN 24 kN/m A C B 5m 5 m 3 m Problem Analyze the indeterminate beam shown by moment distribution method . Using the modified stiffness method. Assume constant EI. Fixed end Moments m kN L Pab M AB F . 09 . 21 8 ) 3 )( 5 ( 30 2 2 2 2       m kN L Pba M BA F . 15 . 35 8 ) 5 )( 3 ( 30 2 2 2 2    m kN wL M BC F . 50 12 ) 5 ( 24 12 2 2      
  • 185.
    186 m kN wL M CB F . 50 12 ) 5 ( 24 12 2 2    MemberAbsolute K Relative K AB,BA I/8 1/8(40)= 5 BC,CB I/5 1/5(40)= 8 Distribution Factors   k k DF 38 . 0 8 5 5      BC BA BA BA k k k DF 62 . 0 8 5 8      BC BA BC BC k k k DF 0 . 1  AB DF 0  CB DF Note: in any interior joint, the sum of the distribution factors is 1.
  • 186.
    187 Joint A BC Member AB BA BC CB DF 1.0 0.38 0.62 0 FEM -21.09 35 .15 - 50 50 BM 21.09 5.64 9.21 COM 2.82 10.54 4.6 BM -2.82 - 4.0 -6.54 COM - 2.0 -1.41 -3.27 BM 2. 0 0.54 0.87 COM 0.27 1. 0 0. 43 BM -0.27 - 0.38 -0.62 COM -0.19 - 0.13 -0.31 BM 0.19 0.06 0.07 COM 0.03 0.09 0.03 BM - 0.03 -0.04 -0.05 COM -0.02 -0.01 -0.02 BM 0.02 0.00 0.01 Final End Moment 0 47.05 -47.05 51.4 6 Moment Distribution Table ( Regular Method) Plotting of end moments + -
  • 187.
    188 Using Modified StiffnessMethod Member Absolute K ModifiedRelative K Relative K AB,BA I/8 ( ¾) (1/8) ¾(1/8)(40)= 3.75 BC,CB I/5 (1/5) ( 1/5)(40)= 8 Distribution Factors 32 . 0 8 75 . 3 75 . 3      BC BA BA BA k k k DF 68 . 0 8 75 . 3 8      BC BA BC BC k k k DF 0 . 1  AB DF 0  CB DF
  • 188.
    189 Joint A BC Member AB BA BC CB DF 1.0 0.32 0.68 0 FEM -21.09 35.15 - 50 50 BM 21.09 COM 10.54 Adjusted FEM 0 45.69 -50 50 Moment Distribution Table ( Modified Stiffness Method) BM 1.38 2.93 COM 1.46 Final End Moment 0 47.07 -47.07 51.46
  • 189.
    190 A B 5 m3 m 24 kN/m C B 30 kN 47.07 47.07 ∑MA = 0 RB1(8)- 47.07– 30(5) = 0 RB 1= 24.63 kN ∑Fy = 0 RB1 - RA – 30 =0 RA = 5.37 kN + ∑MB = 0 RC(5)+ 47.07- 51.46 – 24(5)2.5 = 0 RC = 60.88kN ∑Fy = 0 RB2 + RC – 24(5) =0 RB2 = 59.12kN + 5 m RB = 24.63 + 59.12 = 83.75 kN RA RB1 RB2 RC 51.46
  • 190.
    191 30 kN 24 kN/m AC B 5 m 5 m 3 m 5.37 83.75 60.88 5.37 -24.63 59.12 2.46 -60.88 2.54 26.85 -47.07 25.64 -51.46 A B 2 C 1 2 3 4 46 . 51 ) 54 . 2 )( 88 . 60 ( 2 1 ) 64 . 25 ( 64 . 25 ) 46 . 2 )( 12 . 59 ( 2 1 ) 07 . 47 ( 07 . 47 ) 3 ( 63 . 24 85 . 26 85 . 26 ) 5 ( 37 . 5 0 4 2 2 2 3 2 2 1 1 1 1 1                          C C C B B B B A M M A M M M M A M M M M A M M M M A M M
  • 191.
    192 124+N kN 26N kN/m D B A 90+NkN 2 m 2 m C 2 m 5 m 3m 24+3N kN 2 m 2 m 6 m 4N kN/m A B D C 3 m 2 m 48+2N kN Plate # 9 : Moment Distribution Analyze the indeterminate beams shown by using the moment Distribution method E
  • 192.
    193 120 kN 24 kN/m A C B 5m 5 m 3 m Problem Analyze the indeterminate beam shown by moment distribution method . Assume constant E. 36 kN/m 9 m D I I 2I Fixed end Moments m kN L Pab M AB F . 67 . 66 8 ) 3 )( 5 ( 120 2 2 2 2       m kN L Pba M BA F . 6 . 140 8 ) 5 )( 3 ( 120 2 2 2 2    m kN wL M BC F . 50 12 ) 5 ( 24 12 2 2       m kN wL M CB F . 50 12 ) 5 ( 24 12 2 2    m kN wL M DC F . 243 12 ) 9 ( 36 12 2 2    m kN wL M CD F . 243 12 ) 9 ( 36 12 2 2      
  • 193.
    194 Using Modified StiffnessMethod Member Absolute K ModifiedRelative K Relative K AB,BA I/8 ( ¾) (1/8)=3/32 3/32(360)= 33.75 BC,CB I/5 (1/5) ( 1/5)(360)= 72 CD,DC 2I/9 (2I/9) ( 2/9)(360)=80 Distribution Factors 32 . 0 72 75 . 33 75 . 33      BC BA BA BA k k k DF 68 . 0 72 75 . 33 72      BC BA BC BC k k k DF 0 . 1  AB DF 0  DC DF 47 . 0 80 72 72      CD CB CB CB k k k DF 53 . 0 80 72 80      CD CB CD CD k k k DF
  • 194.
    Joint A BC D Member AB BA BC CB CD DC DF 1.0 0.32 0.68 0.47 0.53 0 FEM -66.67 140.6 - 50 50 -243 243 Moment Distribution Table ( Modified Stiffness Method) 66.67 BM COM 33.33 ADJUSTED FEM 0 173.93 - 50 50 -243 243 BM COM -39.66 -84.27 90.71 102.29 45.35 -42.13 51.14 BM COM BM COM -14.51 -30.84 19.80 22.33 -15.32 9.90 11.16 -6.73 -3.17 8.12 7.2 3.60 - 3.36 4.06 BM COM -1.15 -2.45 1.58 1.78 -1.22 0.89 0.79 BM COM -0.25 -0.54 0.57 0.65 -0.27 0.28 0.32 BM -0.09 -0.19 0.13 0.14 Final End Moment 0 115.1 -115.1 107.69 -107.69 310.57
  • 195.
    120 kN A B 5 m3 m 24 kN/m C B 5 m 36 kN/m 9 m D 115.1 115.1 107.69 107.69 310.57 C 16 . 30  A R 1 B R 2 B R 1 C R 2 C R 54 . 184  D R 196               kN R R F kN R R M B B y A A B 39 . 89 0 120 61 . 30 0 61 . 30 0 ) 3 ( 120 1 . 115 8 0 1 1                kN R R F kN R R M C C y B B C 52 . 58 0 ) 5 ( 24 48 . 61 0 48 . 61 0 5 . 2 ) 5 ( 24 1 . 115 69 . 107 5 0 1 1 2 2 +                kN R R F kN R R M D D y C C D 54 . 184 0 ) 9 ( 36 46 . 139 0 46 . 139 0 5 . 4 ) 9 ( 36 69 . 107 57 . 310 9 0 2 2 +
  • 196.
    197 120 kN 24 kN/m A C B 5m 3 m 36 kN/m 9 m D I I 2I 61 . 30  A R 54 . 184  D R     kN R R B B 87 . 150 48 . 61 39 . 89 87 . 150  B R     kN R R C C 98 . 197 46 . 139 52 . 58 98 . 197  C R 30.61 -89.39 61.48 5 m -58.52 139.46 -184.54 2.56 3.87 1 2 3 4 5 6 1 1 A B 2 C 3 D 05 . 153 ) 5 ( 61 . 30 1 1 1    M A M 1 . 115 ) 3 ( 39 . 89 05 . 153 2 1        B B B M M A M M 4 . 36 ) 56 . 2 )( 48 . 61 ( 2 1 ) 1 . 115 ( 2 2 3 2        M M A M M B 153.05 -115.1 -107.69 -36.4 162.16 310.57
  • 197.
    198 120 kN 24 kN/m A C B 5m 3 m 36 kN/m 9 m D I I 2I 61 . 30  A R 54 . 184  D R     kN R R B B 87 . 150 48 . 61 39 . 89 87 . 150  B R     kN R R C C 28 . 199 46 . 139 52 . 58 28 . 199  C R 30.61 -89.39 61.48 5 m -58.52 139.46 -184.54 2.56 3.87 1 2 3 4 5 6 1 1 A B 2 C 3 D 05 . 153 ) 5 ( 61 . 30 1 1 1    M A M 1 . 115 ) 3 ( 39 . 89 05 . 153 2 1        B B B M M A M M 4 . 36 ) 56 . 2 )( 48 . 61 ( 2 1 ) 1 . 115 ( 2 2 3 2        M M A M M B 153.05 -115.1 -107.69 -36.4 162.16 310.57
  • 198.
  • 199.
    200 A C B 5 m 5m 3 m Problem Analyze the indeterminate beam shown by moment distribution method . Support B settle down 10 mm. E= 200 GPa ,I = 600 x 106 mm4 10 mm m kN M x M mm N mm mm mm mm N L EI M FAB FAB FAB . 5 . 112 ) 10 ( 1 ) 8000 ( 10 ) 10 ( 600 ) 200000 ( 6 . 6 6 2 6 2 4 2 2          m kN M L EI M FBA FBA . 5 . 112 6 2      m kN M x M L EI M FBC FBC FBC . 288 ) 10 ( 1 ) 5000 ( 10 ) 10 ( 600 ) 200000 ( 6 6 6 2 6 2     m kN M L EI M FCB FCB . 288 6 2   
  • 200.
    201 Member Absolute KM0dified K Relative K AB,BA I/8 ¾(1/8) 3/4 (1/8)(160)= 15 BC,CB I/5 1/5(160)= 32 Distribution Factors   k k DF 32 . 0 32 15 15      BC BA BA BA k k k DF 68 . 0 32 15 32      BC BA BC BC k k k DF 0 . 1  AB DF 0  CB DF
  • 201.
    202 Joint A BC Member AB BA BC CB DF 1.0 0.32 0.68 0 FEM -112.5 -112.5 288 288 Moment Distribution Table ( Modified Stiffness Method) 112.5 BM COM 56.25 Adjusted FEM 0 -56.25 288 288 BM COM -74.16 -157.59 -78.79 0 -130.41 130.41 209.21 Final end moment
  • 202.
    203 A B 5 m 3m 130.41 C B 5 m 130.41 209.21 A R 1 B R 2 B R C R         kN R kN R R M B A A B 3 . 16 3 . 16 0 41 . 130 ) 8 ( 0 1          kN R kN R R M B C C B 92 . 67 92 . 67 0 21 . 209 41 . 130 ) 5 ( 0 2     kN RB 22 . 84 92 . 67 3 . 16
  • 203.
    204 A C B 5 m 5m 3 m 10 mm kN RA 3 . 16  kN RC 92 . 67  kN RB 22 . 84  16.3 -67.92 21 . 209 5 ) 92 . 67 ( 41 . 130 41 . 130 ) 8 ( 3 . 16 0 2 1            C C B C B B A B M M A M M M M A M M 130.41 -209.21 1 2
  • 204.
    205 Joint A BC Member AB BA BC CB DF 1.0 0.32 0.68 0 FEM -21.09 35.15 - 50 50 BM 21.09 COM 10.54 Adjusted FEM 0 45.69 -50 Moment Distribution Table ( Modified Stiffness Method) BM 1.38 2.93 COM 1.46 Final End Moment 0 47.07 -47.07 51.46
  • 205.
    206 SLOPE DEFLECTION METHOD Theslope deflection equations relate the moments at the end of the member Of the member to the rotation and displacements of its ends and the external load applied to the member. Any type of loading N F N F  N   F  L
  • 206.
    207 NF F N NF FEM L EI M    ) 3 2 ( 2    Slope deflection equation Where : NF M N  F   NF FEM = end moment = rotation at the near end of the member = rotation at the far end of the member = rotation of the chord joining the elastic curve at the near and far ends of the member = fixed end moment due to the loadings in the member Note: member end moments, end rotations, are positive when clockwise subscript N refers to the near end of the member subscript F refers to the far end of the member Use the same sign convention for FEM as in moment distribution L     = settlement of support
  • 207.
    208 Degree s ofFreedom The unknown joint displacements(translation and rotation) are referred to as the degrees of freedom of the structure. The number of degrees is called degree of kinematic indeterminacy. If a structure does not have a degree of freedom then it is called kinematically determinate. Equations of Equilibrium of Interior Joints Because the entire structure are in equilibrium, each of its members and joints must also be in equilibrium thus in the figure below; BA M BC M    0 BC BA M M Joint condition equation
  • 208.
    209 Analysis of Continuousbeams by slope deflection method 1. Identify the degrees of freedom of the structure. For continuous beams, the degrees of freedom consist of the unknown rotation of joints. 2. Compute the fixed end moments using the same table in moment distribution. 3. If there are support setllements, determine the rotation of the chords of the members adjacent to the supports by L    4. Write the slope deflection equation of each member in terms of the end moments, rotations of adjacent supports and chord rotation. 5. Write equilibrium equations for each joint that are free to rotate. The total number of equilibrium equations must be equal to the number of degrees of freedom of the structure. 6. Determine the unknown joint rotations by solving simutaneuosly the system of equations consisting the slope deflection equations of the members and the equations of equilibrium. Check the validity of results if necessary. 7. Substitute the computed values of the rotations in the slope deflection equations to determine the end moments. 8. Using the values of the end moments , determine support reactions 9. Draw the shear and moment diagrams.
  • 209.
    210 30 kN 24 kN/m A C B 5m 5 m 3 m Problem Analyze the indeterminate beam shown by slope deflection method . Assume constant EI. Fixed end Moments m kN L Pab M AB F . 09 . 21 8 ) 3 )( 5 ( 30 2 2 2 2       m kN L Pba M BA F . 15 . 35 8 ) 5 )( 3 ( 30 2 2 2 2    m kN wL M BC F . 50 12 ) 5 ( 24 12 2 2       m kN wL M CB F . 50 12 ) 5 ( 24 12 2 2      0  For all members Since there are no Support settlement
  • 210.
    211 211 Member Absolute KRelative K AB,BA I/8 1/8(40)= 5 BC,CB I/5 1/5(40)= 8 NF F N NF FEM L EI M     ) 3 2 ( 2    NF F N NF NF FEM k M    ) 2 ( 2   Modified slope deflection equation 1 . 09 . 21 10 20 0 09 . 21 ) 2 )( 5 ( 2 0 ) 2 ( 2 EQ FEM k M B A B A AB B A AB AB                
  • 211.
  • 212.
    213 1 . 0 09 . 21 10 20 EQ B A      4 . 0 7 . 29 104 20 EQ B A       SUBTRACT 0087 . 1 0 09 . 21 ) 091596 . 0 ( 10 20 091596 . 0 0 61 . 8 94        A A B B     m kN M EQ M BA B A BA . 06 . 47 15 . 35 ) 091596 . 0 ( 20 ) 0087 . 1 ( 10 2 . 15 . 35 20 10           m kN M EQ M BC B BC . 06 . 47 50 ) 091596 . 0 ( 32 3 . 50 32         m kN M FEM k M CB CB B C CB CB . 46 . 51 50 ) 091596 . 0 )( 8 ( 2 ) 2 ( 2        
  • 213.
    214 214 120 kN 24 kN/m A C B 5m 5 m 3 m Problem Analyze the indeterminate beam shown by slope deflection method . Assume constant E. 36 kN/m 9 m D I I 2I Fixed end Moments m kN L Pab M AB F . 67 . 66 8 ) 3 )( 5 ( 120 2 2 2 2       m kN L Pba M BA F . 6 . 140 8 ) 5 )( 3 ( 120 2 2 2 2    m kN wL M BC F . 50 12 ) 5 ( 24 12 2 2       m kN wL M CB F . 50 12 ) 5 ( 24 12 2 2    m kN wL M DC F . 243 12 ) 9 ( 36 12 2 2    m kN wL M CD F . 243 12 ) 9 ( 36 12 2 2      
  • 214.
    215 Member Absolute KRelative K AB,BA I/8 (1/8)360=45 BC,CB I/5 (1/5)360=72 CD,DC 2I/9 (2/9)360=80 2 . 6 . 140 180 90 6 . 140 ) 2 )( 45 ( 2 ) 2 ( 2 EQ M M FEM k M B A BA A B BA BA A B BA BA                 1 . 67 . 66 90 180 0 67 . 66 ) 2 )( 45 ( 2 0 ) 2 ( 2 EQ FEM k M B A B A AB B A AB AB                
  • 215.
    216 3 . 50 144 288 50 ) 2 )( 72 ( 2 ) 2 ( 2 EQ M M FEM k M C B BC C B BC BC C B BC BC                 JOINT CONDITION EQUATIONat B 4 . 0 6 . 90 144 468 90 0 50 144 288 6 . 140 180 90 0 EQ M M C B A C B B A BC BA                     5 . 50 288 144 50 ) 2 )( 72 ( 2 ) 2 ( 2 EQ M M FEM k M C B CB B C CB CB B C CB CB                
  • 216.
    6 . 243 320 243 ) 0 2 )( 80 ( 2 0 ) 2 ( 2 EQ M M fixedEnd FEM k M C CD C CD D CD D C CD CD                 JOINT CONDITION EQUATIONat C 7 . 0 193 608 144 0 243 320 50 288 144 0 EQ M M C B C C B CD CB                 JOINT CONDITION EQUATION 8 . 0 34 . 33 45 90 EQ B A       Divide EQ. 1 by 2
  • 217.
    218 4 . 0 6 . 90 144 468 90 EQ C B A        8 . 0 34 . 33 45 90 EQ B A       subtract 9 . 0 94 . 123 144 423 EQ C B       Multiply EQ. 7 by 2.9375 10 . 0 94 . 566 1786 423 EQ C B       9 . 0 94 . 123 144 423 EQ C B       420755 . 0 0 88 . 690 1642    C C   subtract 436238 . 0 0 94 . 123 ) 420755 . 0 ( 144 423      B B   588563 . 0 0 34 . 33 ) 436238 . 0 ( 45 90      A A  
  • 218.
    219 420755 . 0  C  436238 . 0   B  588563 . 0  A  0 000006 . 0 0 6 . 90 ) 420755 . 0 ( 144 ) 436238 . 0 ( 468 ) 588563 . 0 ( 90       check m kN M M BA B A BA . 05 . 115 6 . 140 ) 436238 . 0 ( 180 ) 588563 . 0 ( 90 6 . 140 180 90           m kN M M BC C B BC . 05 . 115 50 ) 420755 . 0 ( 144 ) 436238 . 0 ( 288 50 144 288            m kN M M CB C B CB . 36 . 108 50 ) 420755 . 0 ( 288 ) 436238 . 0 ( 144 50 288 144          m kN M M CD C CD . 36 . 108 243 ) 420755 . 0 ( 320 243 320        m kN M M M FEM k M DC C DC C DC DC C D DC DC . 32 . 310 243 ) 420755 . 0 ( 160 243 160 243 ) )( 80 ( 2 ) 2 ( 2              
  • 219.
    220 125+N kN 16N kN/m A C B 6m 5 m 3 m 24N kN/m 8 m D 2I I 2I Draw the shear and Moment diagrams of the beam shown using the slope deflection method . Assume constant E. Plate # 10: Slope Deflection Method
  • 220.
    221 ANALYSIS OF RIGIDFRAMES WITHOUT SIDESWAY The analysis of rigid frames without sideway is similar to the analysis of continuous beams. The joints are only subject to rotations. This could be analyzed by either moment distribution or slope deflection method 16 kN/m 4 m A B C D 6m Problem : Analyze the rigid frame shown by moment distribution. Assume that there is no sidesway I I 2I
  • 221.
    222 m kN wL M CB F . 48 12 ) 6 ( 16 12 2 2    MemberAbsolute K Relative K AB,BA I/4 1/4(12)= 3 BC,CB 21/6 =I/3 1/3(12)= 4 Distribution Factors   k k DF 43 . 0 3 4 3      BC BA BA BA k k k DF 57 . 0 3 4 4      BC BA BC BC k k k DF 0  AB DF 0  DC DF m kN wL M BC F . 48 12 ) 6 ( 16 12 2 2       CD,DC I/4 1/4(12)= 3 57 . 0 3 4 4      CD CB CB CB k k k DF 43 . 0 3 4 3      CD CB CD CD k k k DF
  • 222.
    223 Joint A BC D Member AB BA BC CB CD DC DF 0 0.43 0.57 0.57 0.43 0 FEM 0 0 -48 48 0 0 BM COM 10.32 -13.68 13.68 -10.32 20.64 27.36 -27.36 -20.64 0 BM 5.88 7.8 -7.8 - 5.88 COM 2.94 -3.9 3.9 - 2.94 BM 1.68 2.22 -2.22 -1.68 COM 0.84 -1.11 1.11 - 0.84 BM 0.48 0.63 -0.63 -0.48 COM 0.24 -0.31 0.31 - 0.24 BM 0.13 0.18 -0.18 -0.13 COM 0.06 -0.09 0.09 - 0.06 BM 0.04 0.05 -0.05 -0.04 COM 0.02 -0.03 0.03 - 0.02 BM 0.01 0.02 -0.02 -0.01 Final End Moment 14.42 28.86 -28.86 28.86 -28.86 -14.42
  • 223.
  • 224.
    225 16 kN/m B C 2I B VC V 28.86 28.86 6m                     kN V kN V V F kN V V kN V V M A B B y C D C C B 48 48 0 ) 6 ( 16 48 0 48 48 0 6 3 ) 6 ( 16 86 . 28 86 . 28 0
  • 225.
    16 kN/m 4 m A BC D I I 2I 48 48 10.82 10.82 14.42 14.42
  • 226.
    ANALYSIS OF RIGIDFRAMES WITH SIDESWAY The analysis of rigid frames without sideway is similar to the analysis of continuous beams. The joints are only subject to rotations and translation ( sidesway). This could be analyzed by either moment distribution or slope deflection method. Any load A B C D A H ' D H AB M DC M y z   = Joint translation or sidesway A V D V
  • 227.
    228 Procedure Step 1 :Hold frame at C to prevent sidesway by applying an imaginary horizontal (R) force at C. Determine the end moments due to the given loadings. Any load A B C D R ' A H ' D H ' AB M ' DC M y z , ' AB M , ' BA M ' DC M ,..... ' BC M Note: are the end moments due to the given loads ' A V ' D V
  • 228.
    229 Step 2 Isolate theFBD of the columns and using the resulting end moments determine horizontal reactions HA’ and HD’. ' AB M ' BA M ' A H y A B y M M H y H M M M BA AB A A BA AB B ' ' ' 0 ' ' ' 0        ' DC M ' CD M ' D H z D C z M M H z H M M M DC CD D D DC CD C ' ' ' 0 ' ' ' 0       
  • 229.
    230 Step 3 From theFBD of the frame solve for R Any load A B C D R ' A H ' D H ' AB M ' DC M y z ' ' 0 D A x H H R F    
  • 230.
    231 Step 4 Remove allloads and push the frame at C to produce sideway Assume the value of the sideway in terms of the unknown sidesway correction Factor x. By slope deflection or moment distribution Solve for the end moments in terms of x. A B C D Q ' ' A H ' ' D H ' ' AB M ' ' DC M y z   x EI 100   Example 2 6 L EI M M FBA FAB     2 6 L EI M M FDC FCD     , ' ' AB M , ' ' BA M ' ' DC M ,..... ' ' BC M Note: are the end moments due to  ' ' D V ' ' A V
  • 231.
    232 232 Step 5 Isolate theFBD of the columns and using the resulting end moments determine horizontal reactions HA’ ‘and HD’’. ' ' AB M ' ' BA M ' ' A H y A B y M M H y H M M M BA AB A A BA AB B ' ' ' ' ' ' 0 ' ' ' ' ' ' 0        ' ' DC M ' ' CD M ' ' D H z D C z M M H z H M M M DC CD D D DC CD C ' ' ' ' ' ' 0 ' ' ' ' ' ' 0       
  • 232.
    233 A B C D Q ' ' A H ' ' D H ' ' AB M ' ' DC M yz   Step 5 From the FBD of the frame solve for Q ' ' ' ' 0 D A x H H Q F    
  • 233.
    234 Step 6 Since Qand R are imaginary they must be equal thus equating values of R and Q determines the value of x Note : If Q and R are of opposite direction x is positive If Q and R are of the same direction x is negattive Step 7 Determine the end moments and reactions ' ' ' AB AB AB M M M   ' ' ' BA BA BA M M M   ' ' ' BC BC BC M M M   ' ' ' CB CB CB M M M   ' ' ' CD CD CD M M M   ' ' ' DC DC DC M M M   ' ' ' A A A H H H   ' ' ' D D D H H H   ' ' ' A A A V V V   ' ' ' D D D V V V  
  • 234.
    235 16 kN/m 4 m A BC D 6m I 2I 2I 8m Problem : Analyze the rigid frame shown by moment distribution. Assume that there is sidesway
  • 235.
    236 16 kN/m 4 m A BC D I 2I 2I 8m 6m R ' A H ' D H ' AB M ' DC M ' A V ' D V Frame A
  • 236.
    237 237 m kN wL M CB F . 48 12 ) 6 ( 16 12 2 2    MemberAbsolute K Relative K AB,BA I/4 1/4(12)= 3 BC,CB 21/6 =I/3 1/3(12)= 4 Distribution Factors   k k DF 43 . 0 3 4 3      BC BA BA BA k k k DF 57 . 0 3 4 4      BC BA BC BC k k k DF 0  AB DF 0  DC DF m kN wL M BC F . 48 12 ) 6 ( 16 12 2 2       CD,DC 2I /8)=I/4 1/4(12)= 3 57 . 0 3 4 4      CD CB CB CB k k k DF 43 . 0 3 4 3      CD CB CD CD k k k DF
  • 237.
    238 Joint A BC D Member AB BA BC CB CD DC DF 0 0.43 0.57 0.57 0.43 0 FEM 0 0 -48 48 0 0 BM COM 10.23 -18.82 18.82 -10.23 20.46 27.64 -27.54 -20.46 0 BM 8.09 10.73 -10.73 -8.09 COM 4.04 -5.36 5.36 - 4.04 BM 2.30 3.06 -3.06 -2.30 COM 1.15 -1.53 1.53 - 1.15 BM 0.66 0.87 -0.87 -0.66 COM 0.33 -0.43 0.43 - 0.33 BM 0.19 0.24 -0.24 -0.19 COM 0.09 -0.12 0.12 - 0.09 BM 0.05 0.07 -0.07 -0.05 COM 0.02 -0.03 0.03 - 0.02 End Moment 15.86 31.76 -31.76 31.76 -31.76 -15.86 BM 0.01 0.02 -0.02 -0.01 86 . 15 ' AB M 76 . 31 ' BA M 76 . 31 '   BC M 76 . 31 ' CB M 76 . 31 '   CD M 86 . 15 '   DC M Moment Distribution Table due to Loads
  • 238.
  • 239.
    240 4 m A B C D 6m I2I 2I 8m   Q Assume x EI 120   x x EI EI L EI M M FBA FAB 45 4 120 6 6 2 2         x x EI I E L EI M M FDC FCD 5 . 22 8 120 2 6 6 2 2         Frame B
  • 240.
    241 Joint A BC D Member AB BA BC CB CD DC DF 0 0.43 0.57 0.57 0.43 0 FEM -45x -45x -22.5x -22.5x BM COM 19.35x 25.65x 12.82x 9.68x 9.67x 6.41x 12.32x 4.84x BM COM -2.76x -3.65x -7.02x -5.3x -1.38x - 3.51x -1.82x -2.65x BM COM 1.65x 1.86x 1.04x 0.78x 0.82x 0.52x 0.93x 0.39x BM COM -0.24x - 0.28x -0.53x -0.4x -0.12x -0.26x -0.14x -0.2x BM COM 0.12x 0.14x 0.08x 0.06x 0.06x 0.04x 0.07x 0.03x -0.02x -0.02x -0.04x -0.03x BM -35.95x -26.9x 26.9x 17.71x -17.71x -20.09x Moment Distribution Table due to  x MAB 95 . 35 ' '   x MBA 9 . 26 ' '   x MBC 9 . 26 ' '  x MCB 71 . 17 ' '  x MCD 71 . 17 ' '   x MDC 09 . 20 ' '   End Moment
  • 241.
  • 242.
    Sidesway Correction Factor 292 . 0 96 . 5 44 . 20    x x R Q Positivesince Q and R are of opposite directions ) 292 . 0 ( 95 . 35 86 . 15 95 . 35 86 . 15 ' ' '       AB AB AB AB AB M x M M M M ) 292 . 0 ( 9 . 26 76 . 31 9 . 26 76 . 31 ' ' '       BA BA BA BA BA M x M M M M m kN MBA . 9 . 23  m kN MAB . 36 . 5  ) 292 . 0 ( 9 . 26 76 . 31 9 . 26 76 . 31 ' ' '         BC BC BC BC BC M x M M M M m kN MBC . 9 . 23   ) 292 . 0 ( 71 . 17 76 . 31 71 . 17 76 . 31 ' ' '       CB CB CB CB CB M x M M M M m kN MCB . 93 . 36  ) 292 . 0 ( 71 . 17 76 . 31 71 . 17 76 . 31 ' ' '         CD CD CD CD CD M x M M M M m kN MCD . 93 . 36   ) 292 . 0 ( 09 . 20 86 . 15 09 . 20 86 . 15 ' ' '         DC DC DC DC DC M x M M M M m kN MDC . 73 . 21   Final End Moments
  • 243.
  • 244.
    16 kN/m B C VB Vc 23.936.93 6m                    kN V kN V V F kN V kN V V M D C C y A B B C 17 . 50 17 . 50 0 ) 6 ( 16 83 . 45 0 83 . 45 83 . 45 0 6 93 . 36 9 . 23 3 ) 6 ( 16 0
  • 245.
  • 246.
  • 247.
    4 m A B C D 6m I2I 2I 8m Problem : Analyze the rigid frame shown by moment distribution. Assume that there is sidesway 25 kN
  • 248.
  • 249.
    250 250 Member Absolute KRelative K AB,BA I/4 1/4(12)= 3 BC,CB 21/6 =I/3 1/3(12)= 4 Distribution Factors   k k DF 43 . 0 3 4 3      BC BA BA BA k k k DF 57 . 0 3 4 4      BC BA BC BC k k k DF 0  AB DF 0  DC DF 0       FDC FCD F FBC FBA FAB M M M M M M CB CD,DC 2I /8)=I/4 1/4(12)= 3 57 . 0 3 4 4      CD CB CB CB k k k DF 43 . 0 3 4 3      CD CB CD CD k k k DF
  • 250.
    Joint A BC D Member AB BA BC CB CD DC DF 0 0.43 0.57 0.57 0.43 0 FEM 0 0 0 0 0 0 0 ' AB M 0 ' BA M 0 ' BC M 0 ' CB M 0 ' CD M 0 ' DC M Moment Distribution Table due to Loads 4 m A B C D I 2I 2I 8m 6m R 25       kN R R FX 25 0 25 0
  • 251.
    4 m A B C D 6m I2I 2I 8m   Q Assume x EI 120   x x EI EI L EI M M FBA FAB 45 4 120 6 6 2 2         x x EI I E L EI M M FDC FCD 5 . 22 8 120 2 6 6 2 2         Frame B
  • 252.
    253 Joint A BC D Member AB BA BC CB CD DC DF 0 0.43 0.57 0.57 0.43 0 FEM -45x -45x -22.5x -22.5x BM COM 19.35x 25.65x 12.82x 9.68x 9.67x 6.41x 12.32x 4.84x BM COM -2.76x -3.65x -7.02x -5.3x -1.38x - 3.51x -1.82x -2.65x BM COM 1.65x 1.86x 1.04x 0.78x 0.82x 0.52x 0.93x 0.39x BM COM -0.24x - 0.28x -0.53x -0.4x -0.12x -0.26x -0.14x -0.2x BM COM 0.12x 0.14x 0.08x 0.06x 0.06x 0.04x 0.07x 0.03x -0.02x -0.02x -0.04x -0.03x BM -35.95x -26.9x 26.9x 17.71x -17.71x -20.09x Moment Distribution Table due to  x MAB 95 . 35 ' '   x MBA 9 . 26 ' '   x MBC 9 . 26 ' '  x MCB 71 . 17 ' '  x MCD 71 . 17 ' '   x MDC 09 . 20 ' '   End Moment
  • 253.
  • 254.
    Sidesway Correction Factor 22 . 1 25 44 . 20    x x R Q Positivesince Q and R are of opposite directions kN.m 86 . 43 ) 22 . 1 ( 95 . 35 0 ' ' 0       AB AB AB AB M M M M ) 22 . 1 ( 9 . 26 9 . 26 0 ' ' 0       BA BA BA BA M x M M M m kN MBA . 82 . 32   m kN MAB . 86 . 43   ) 22 . 1 ( 9 . 26 9 . 26 0 ' ' '      BC BC BC BC BC M x M M M M m kN MBC . 82 . 32  ) 22 . 1 ( 71 . 17 71 . 17 0 ' ' '      CB CB CB CB CB M x M M M M m kN MCB . 61 . 21  ) 22 . 1 ( 71 . 17 71 . 17 0 ' ' '       CD CD CD CD CD M x M M M M m kN MCD . 61 . 21   ) 22 . 1 ( 09 . 20 09 . 20 0 ' ' '       DC DC DC DC DC M x M M M M m kN MDC . 51 . 24   Final End Moments
  • 255.
  • 256.
    I A cantilever beamof Length L with stepwise cross section carries a vertical load 2P at its free end. The section of the beam changes midway along its length so that its second moment of area is reduced by one half. The smaller section is towards the free end. If E is constant, determine the deflection at the free end. 2P L/2 L/2 I 2I A B C Prelim: Structural Theory II
  • 257.
    2 m 4m 18kN/m 50 kN II Determine the midspan deflection of the beam shown by a) Double Integration Method b) Conjugate beam Method c) Area Moment Method A B III Locate and compute the maximum deflection of the beam given in problem II.
  • 258.
    + 259 I A cantilever beamof Length L with stepwise cross section carries a vertical load 2P at its free end. The section of the beam changes midway along its length so that its second moment of area is reduced by one half. The smaller section is towards the free end. If E is constant, determine the deflection at the free end using the virtual work method 2P L/2 L/2 I 2I A B C MIDTERM EXAM: Structural Theory II
  • 259.
    260 2 m 4m 18kN/m 50 kN II Determine the midspan deflection of the beam shown by using the virtual work Method A B
  • 260.
    261 24 kN/m 48 kN 2m 2 m 6 m A B C E 3 m F G III For the frame shown in the figure, determine the vertical deflection of point E. Assume constant EI for all members. 36 kN
  • 261.
    262 Semi- Final Exam Determinethe horizontal and vertical displacement of joint C. A = 5000 sq. mm and E = 200 GPa for all members 60kN 120kN 60kN 3m 4m 4m 3m 4m F G H A B C D E w L/2 L/2 A B C Draw the shear and moment diagrams of the beam shown. Assume constant EI.