REINFORCED CONCRETE DESIGN
CONCRETE PROPERTIES
For concrete weighing from 1,500 to 2500 kg/m3
'
043
.
0
5
.
1
fc
w
E c
c 
fc’ = 28 day compressive strength in MPa
Wc = unit weight of concrete in kg/m3
Modulus of Elasticity
For Normal weight concrete
'
4700 fc
Ec 
fc’ = 28 day compressive strength in MPa
Wc = unit weight of concrete in kg/m3
REINFORCING BARS
GRADES AND STRENGTH OF REINFORCING BARS
(Non Prestressed)
ASTM
SPECS
GRADE Min.Yeild
Strength
(ksi)
Min.Yeild
Strength
(MPa)
Min
Tensile
Strength
(ksi)
Min
Tensile
Strength
(MPa)
A615 40
60
40
60
276
414
70
90
483
620
A616 50
60
50
60
345
414
80
90
552
620
A617 40
60
40
60
276
414
70
90
483
620
A618 60 60 414 80 552
Modulus of Elasticity of steel shall be taken as 200,000 MPa
CONCRETE PROTECTION FOR REINFORCEMENT
( NON PRESTRESSED)
CAST IN PLACE CONCRETE
Minimum
Cover,mm
a) Concrete cast against and permanently exposed to earth 75
b) Concrete exposed to earth or weather:
20 mm bars through 36 mm bars
16 mm bar, W31 or D31 wire, and smaller
50
40
c) Concrete not exposed to earth or weather or in contact with ground:
Slabs, walls, joist
32 mm bar and smaller
Beams,columns
Primary reinforcement ,ties,stirrups,spirals
Shells,folded plates members:
20 mm bars and larger
16 mm bars,W31or D31 wire,or smaller
20
40
20
15
PRECAST CONCRETE
( manufactured under plant Conditions)
Minimum
Cover,mm
a) Concrete exposed to earth or weather:
Wall Panels
32 mm bar and smaller
Other members
20 mm bars through 32 mm bars
16 mm bars,W31or D31 wire,or smaller
20
40
30
b) Concrete not exposed to earth or weather or
in contact with ground:
Slabs, walls, joist
32 mm bar and smaller
Beams,columns
Primary reinforcement
ties,stirrups,spirals
Shells,folded plates members:
20 mm bars and larger
16 mm bars,W31or D31 wire,or smaller
15
10
15
10
ULTIMATE STRENGTH DESIGN(USD)
Required Strength ( Load Factors)
1.Required strength U to resist dead load D and live load L
shall at least be equal to : U =1.2D +1.6L
2. If resistance to structural effects of specified wind load
W, are included in the design,the following combinations of D,L and W
shall be investigated to determine the greatest required strength U
a) U =0.75(1.4D + 1.7L + 1.7W)
Where load combination shall include full value and zero
value of L to determine the most severe condition, and
b) U = 0.9D +1.3L
For any combination of D, L and W required strength U
shall not be less than c) U =1.4D +1.7L
3. If resistance to structural effects of specified earthquake load E, are
included in the design,the following combinations of D,L and E shall
be investigated to determine the greatest required strength U
a) U =1.32D + 1.1(f1)L + 1.1E
Where load combination shall include full value and zero value of
L to determine the most severe condition, and
b) U = 0.99D +1.1E
For any combination of D, L and E required strength U shall not be less
than
c) U =1.4D +1.7L
4. If resistance to earth pressure H, are included in the design,the
following combinations of D,L and H shall be investigated to
determine the greatest required strength U
a) U =1.4D + 1.7L + 1.7H
Where D or L reduces the effect of H
b) U = 0.9D +1.7H
For any combination of D, L and E required strength U shall not be less
than
c) U =1.4D +1.7L
5. If resistance to loadings due to weight and pressure offluids
with well defined densities and controllable height F are
included in the design, such loading shall have a factor of 1.4
and be added to all loading combinations that include live load.
6. If resistance to impact effects are taken into account in
design,such effect shall be included with live load L.
7. Where structural effects T of differential settlement, creep,
shrinkage,expansion of creep compensating concrete or
temperature change maybe significant in design, required
strength U shall be a least equal to
a) U =0.75(1.4D + 1.7L + 1.4T)
but required strength U shall not be less than
b) U =1.4D +1.7L
STRENGTH REDUCTION FACTOR Ф
STRENGTH REDUCTION FACTOR Ф shall be as follows:
1. Flexure, without axial load 0.90
2. Shear and Torsion 0.85
3. Bearing on concrete except on
Post tension anchorage zone 0.70
4. Post tension anchorage zone 0.85
5. Axial tension and axial tension with flexure 0.90
6. Axial load and axial load with flexure
Both axial load and moment shall be multiplied by Ф
7. Axial compression and axial compression with flexure
a) Members with spiral reinforcement 0.75
b) Other reinforced members 0.70
except that for low values of axial compression Ф shall be
permitted to increase in accordance with the following:
For members in which fy does not exceed 415 MPa with symmetric
reinforcement,and with ( h –d’-d)/h not less than 0.7, Ф shall be permitted to
increase linearly to 0.9, as ФPn decreases from 0.10fc’Ag to zero.
For other reinforced members, Ф shall be permitted to increase linearly to 0.9, as
ФPn decreases from 0.10fc’Ag or ФPb whichever is smaller to zero.
DESIGN AND ANALYSIS FOR FLEXURE (BEAMS)
• Basic Assumptions
• 1. Strain in concrete and the reinforcement shall be assumed
directly proportional to the distance from the neutral axis ,except, for
deep flexural members with overall depth-to-clear span ratio greater
than 2/5 for continuous spans and 4/5 for simple span a non linear
distribution of strain shall be considered.
• 2. Maximum usable strain at extreme concrete compression fiber
shall be 0.003
• 3. Stress in reinforcement below specified yield strength fy for grade of
reinforcement used shall be taken Es times steel strain. For strain
greater than corresponding to fy, stress in the reinforcement shall be
considered independent of strain and equal to fy.
• 4. Tensile strength of concrete shall be neglected in axial and flexural
calculations.
 5. Relationship between concrete compressive stress distribution and
concrete strain shall be assumed to be
rectangular.trapezoidal,parabolic or any other assumed shape that
result in prediction of strength in substantial agreement with results of
comprehensive tests.
 6. Requirements of 5 may be considered satisfied by an equivalent
rectangular stress distribution defined by the following:
Concrete stress distribution of 0.85fc’ shall be assumed uniformly
distributed over an equivalent compression zone bounded by the
edges of the cross section and a straight line located parallel to the
neutral axis at a distance “a” from the fiber of maximum compressive
strain.
Distance c from fiber of maximum strain to the neutral axis shall be
measured in a direction perpendicular to the neutral axis.
Compression Zone
(stress in concrete) (maximum usable strain of concrete)
0.85fc’ 0.003
εs (strain of steel)
c
7. Factor β1 shall be taken as follows:
β1 = 0.85 if fc’≤ 30 MPa
β1 = 0.85 - 0.008( fc’- 30) if fc’ > 30 MPa but β1 shall not be less
than 0.65
a
NA
c
a 1


SYMBOLS AND NOTATIONS
 a = depth of equivalent rectangular stress block, mm
 c = distance from extreme compression face, mm
 As = area of non prestressed tension reinforcement, mm2
 As’ = area of non prestressed compression reinforcement, mm2
 b = width of compression face of the member, mm
 bw = width of the web, mm
 d = distance from extreme compression face to center of tension
reinforcement, mm
 d’ = distance from extreme compression face to center of
compression reinforcement, mm
 fc’ = specified compressive strength of concrete, MPa
 fy = specified yield strength of non prestressed reinforcement,MPa
 fs = calculated tensile stress in reinforcement at service loads,MPa
 fs’ = calculated compressive stress in reinforcement at service loads,MPa
• Mu = factored moment at section; ultimate moment capacity,design
strength
• Mn = nominal moment capacity
• Ф = strength reduction factor
• pb = reinforcement ratio producing balance strain condition
• p = ratio of non prestressed tension reinforcement = As/bd
• p’ = ratio of non prestressed compression reinforcement = As’/bd
• pmin = minimum required ratio of non prestressed tension
reinforcement
• pmin = 1.4/fy
• Ec = modulus of elasticity of concrete,MPa
• Es = modulus of elasticity of reinforcement,MPa
• bf = flange width of T –beams
• t = flange thickness of T- beams
 Balanced strain condition
This exist at a cross section when tension reinforcement reaches
the strain corresponding to its yield strength fy just as concrete
compression reaches its assumed ultimate strain of 0.003.
Compression
Zone
d
ab
0.85fc’
C = 0.85fc’abb
0.003
T = Asbfy
s
y
s
E
f


b
cb
Stress Diagram Strain Diagram
Asb = balance steel area
∑ Fx = 0
C = T
0.85fc’abb = Asbfy
From the Stress Diagram
EQ.1
bd
A
df
a
fc sb
y
b

'
85
.
0
divide both sides of EQ.1 by bdfy
Let
bd
A
p sb
b  then
y
b
b
df
a
fc
p
'
85
.
0

s
b
d
c



003
.
0
003
.
0
200000
y
s
f


1

b
b
a
c 
fy
d
ab


600
600 1

From the strain diagram
y
y
b
f
f
fc
p
)
600
(
600
'
85
.
0 1



EQ. 2
EQ. 3
Substituting EQ 3 in EQ 2
MAXIMUM PERMISSIBLE TENSILE STEEL RATIO
PMAX = 0.75PB
This limitation is to ensure that the steel reinforcement
will yield first to ensure ductile failure.
Minimum permissible tensile steel ratio
pmin = 1.4/fy
The provision for minimum amount of reinforcement applies to
beams which for architectural and other reasons are much larger in
cross section as required by strength consideration. With very small
amount of tensile reinforcement, the computed moment strength as
a reinforced concrete member is smaller than that of the
corresponding plain concrete section computed from its modulus of
rupture. Failure in this case is quite sudden.
Overreinforced beam
A design in which the steel reinforcement is more than that required for
balanced strain condition. If the beam is overeinforced, the steel will not
yield before failure. As the load is increased, deflections are not
noticeable although the compression concrete is highly stressed, and
failure occurs suddenly without warning to the user of the structure.
Underreinforced beam
A design in which the steel reinforcement is lesser than that required for
balanced strain condition. If the ultimate load is approached , the steel will
begin to yield although the compression concrete is understressed. As the
load is increased, the steel will continue to elongate, resulting into
appreciable deflections and large visible cracks in the tensile concrete.
Failure under this condition is ductile and will give warning to the user of
the structure to decrease the load or apply remedial measure.
SPACING LIMITS OF REINFORCEMENT
Beams
 The minimum clear spacing between parallel bars in a layer should
be db( bar diameter) but not less 25 mm.
 Where parallel reinforcement is placed in two or more layers,bars in
the upper layer should be directly placed above bars in the bottom
layer with clear distance between layers not less than 25 mm.
Columns
 In spirally reinforced or tied reinforced compression members, clear
distance between longitudinal reinforcement shall not be less than
1.5db nor 40 mm.
Walls and Slabs
 In walls and slabs other than concrete joist construction, primary
reinforcement shall be spaced not farther than three times the slab
or wall thickness nor 450 mm.
MINIMUM THICKNESS OF NON-PRESTRESSED BEAMS AND
ONE WAY SLABS UNLESS DEFLECTIONS ARE COMPUTED
Member Simply Supported One end continuous Both ends continuous Cantilever
Solid One-Way
Slab
L/20 L/24 L/28 L/10
Beams or ribbed
one way slab L/16
L/18.5 L/21 L/8
Span Length L in millimeters
Values given shall be used directly for members with normal density concrete
(Wc = 2300 kg/m3) and Grade 60 (415 MPa) reinforcement. For other conditions,
the values shall be modified as follows:
For structural lightweight concrete having unit weights of 1500 -2000 kg/m3 the
values shall be multiplied by ( 1.65 – 0.0005 Wc) but not less than 1.09, where Wc
is the unit mass in kg/m3.
For fy other 415 MPa, the values shall be multiplied by
( 0.4 +fy/700)
FLEXURAL ANALYSIS : BEAMS REINFORCED FOR TENSION
 Case I : Steel yields at failure (pmax ≥ p , fs ≥ fy)
As
Compression
zone a C = 0.85fc’ab
T = Asfy
(d – a/2) Mu
0.85fc’
b
d
Stress Diagram
b
fc
f
A
a
y
s
'
85
.
0

Depth of concrete stress block Ultimate moment capacity
Mu = Ф 0.85fc’ab(d – a/2)
Mu = Ф Asfy (d – a/2)
GENERAL PROCEDURE FOR ANALYSIS : CASE I
GIVEN:b,d,AS fc’,fy
REQUIRED : MU
1. Check for ductility requirements
p = As/bd
β1 = 0.85 if fc’≤ 30 MPa
β1 = 0.85 - 0.008( fc’- 30) if fc’ > 30 MPa but β1 shall not
be less than 0.65
pmax = 0.75pb pmin =1.4/fy
pmin ≤ p≤ pmax
2. Solve for the depth of the concrete stress block
3. Check for minimum depth if necessary
4. Determine MU
Mu = Ф 0.85fc’ab(d – a/2) or Mu = Ф Asfy (d – a/2)
Units:
If As is in mm2, fc’ and fy in MPa, a,b and d in mm then Mu is in
N.mm. Dividing this by 106 changes N.mm to kN.m
5. Solve for any other requirement if there are any.
y
y
b
f
f
fc
p
)
600
(
600
'
85
.
0 1



b
fc
f
A
a
y
s
'
85
.
0

PROBLEMS
 CE Board May 1981
 A rectangular beam with b =250 mm and d =460 mm is reinforced for
tension only with 3 – 25 mm bars. The beam is simply supported on
a span of 6 m and carries a uniform dead load of 12 kN/m. Calculate
the uniform live load the beam can carry. Concrete weighs 23 kN/m3
and steel covering is 60 mm. fc’ = 20.7 MPa, fy =276 MPa. Also
check for minimum depth requirement.
 Solution
005
.
0
276
4
.
1
4
.
1
013
.
0
)
460
(
250
62
.
1472
62
.
1472
4
)
25
(
3
min
2
2








fy
p
bd
A
p
mm
A
s
s

  03711
.
0
276
)
276
600
(
)
600
(
85
.
0
)
7
.
20
(
85
.
0
600
600
'
85
.
0 1





y
y
b
f
f
fc
p

p
p
p b 


 0278
.
0
)
03711
.
0
(
75
.
0
75
.
0
max
Steel yields at failure
mm
b
fc
f
A
a
y
s
4
.
92
250
)
7
.
20
(
85
.
0
)
276
(
62
.
1472
'
85
.
0



m
kN
a
d
f
A
M y
s
u .
37
.
151
)
10
(
)
2
4
.
92
460
(
276
)
62
.
1472
(
9
.
0
)
2
( 6





m
kN
W
W
L
W
M
u
u
u
u
/
64
.
33
8
)
6
(
37
.
151
8
2
2


 L
D
u W
W
W 7
.
1
4
.
1 

460
60
250
Weight of the beam
WB=bDWc
m
kN
WB /
3
23
)
52
.
0
(
25
.
0 

Total dead load
m
kN
WD /
15
3
12 


m
kN
W
W
L
L
/
42
.
7
7
.
1
)
15
(
4
.
1
64
.
33



Minimum required depth
mm
mm
f
L
d
y
520
85
.
297
)
700
276
4
.
0
(
16
6000
)
700
4
.
0
(
16
min 





CE Board May 1985
A 350 mm x 500 mm rectangular beam is reinforced for tension only with 5 of
28 mm diameter bars. The beam has an effective depth of 446 mm.
fc’ =34.5MPa, fy = 414 MPa. Determine the following Ultimate moment
capacity in kN.m
350
446
As
2
2
76
.
3078
4
)
28
(
5
mm
As 


00338
.
0
414
4
.
1
0197
.
0
)
446
(
350
76
.
3078
min 




p
bd
A
p s
814
.
0
)
30
5
.
34
(
008
.
0
85
.
0
)
30
'
(
008
.
0
85
.
0
1
1








 fc
  03412
.
0
414
)
414
600
(
)
600
(
814
.
0
)
5
.
34
(
85
.
0
600
600
'
85
.
0 1





y
y
b
f
f
fc
p

p
p
p b 


 0256
.
0
)
03412
.
0
(
75
.
0
75
.
0
max
Steel yields at failure
mm
b
fc
f
A
a
y
s
18
.
124
350
)
5
.
34
(
85
.
0
)
414
(
76
.
3078
'
85
.
0



m
kN
a
d
f
A
M y
s
u .
4
.
440
)
10
(
)
2
18
.
124
446
(
414
)
76
.
3078
(
9
.
0
)
2
( 6





Case II : Steel does not yield at failure ( pmax < p , fs < fy )
General Procedure for Analysis : Case II
Given: b,d,As,fc’,fy
Required : Mu
1. Check for ductility requirements
p = As/bd
β1 = 0.85 if fc’≤ 30 MPa
β1 = 0.85 - 0.008( fc’- 30) if fc’ > 30 MPa but β1 shall not
be less than 0.65
y
y
b
f
f
fc
p
)
600
(
600
'
85
.
0 1



pmax = 0.75pb
p > pmax
2. Using the stress and strain diagram solve for fs and a.
Stress Diagram Strain Diagram
b
0.85fc’
C=0.85fc’ab
T =Asfs εs
d
c
d-c
d-a/2
0.003
As
Mu NA
From the stress Diagram :
∑F =0 C = T 0.85fc’ab = Asfs EQ 1
From the strain diagram
:
c
c
d
s 

003
.
0

EQ 2
1
200000


a
c
fs
s


substitute in EQ 2, combine with EQ1 to solve for fs and a
3. Determine Mu
Mu = Ф 0.85fc’ab(d – a/2)
Mu = Ф Asfs (d – a/2)
Problem:
A rectangular beam has b =300 mm, d = 500 mm, As = 6 of 32 mm,
fc’ =27.6 MPa,fy =414 MPa. Calculate the ultimate moment capacity.
300
500
As
2
2
49
.
4825
4
)
32
(
6
mm
As 


00338
.
0
414
4
.
1
032
.
0
)
500
(
300
49
.
4825
min 




p
bd
A
p s
  02850
.
0
414
)
414
600
(
)
600
(
85
.
0
)
6
.
27
(
85
.
0
600
600
'
85
.
0 1





y
y
b
f
f
fc
p

p
p
p b 


 0214
.
0
)
02850
.
0
(
75
.
0
75
.
0
max
Tension Steel
does not yield at failure
∑F =0 C = T 0.85fc’ab = Asfs
1
.
46
.
1
49
.
4825
300
)
6
.
27
(
85
.
0
EQ
a
f
f
a
s
s



c
c
d
s 

003
.
0

1
200000


a
c
fs
s


2
.
)
425
(
600
85
.
0
85
.
0
)
85
.
0
(
500
600
85
.
0
85
.
0
500
600
500
)
003
.
0
(
200000
1
1
EQ
a
a
f
a
a
f
a
a
f
a
a
f
s
s
s
s











mm
a
a
a
a
a
a
a
a
EQ
EQ
22
.
260
2
)
53
.
174657
(
4
)
76
.
410
(
96
.
410
0
53
.
174657
96
.
410
600
255000
46
.
1
)
425
(
600
46
.
1
2
.
1
.
2
2
2













MPa
MPa
fs 414
94
.
379
22
.
260
)
22
.
260
425
(
600




m
kN
M
a
d
f
A
M
u
s
s
u
.
34
.
610
)
10
(
)
2
22
.
260
500
(
94
.
379
)
49
.
4825
(
9
.
0
)
2
( 6





Plate #1 : Beams Reinforced for tension
1. A simply supported beam 6 m long is 350 mm wide has an effective
depth of 500 mm. It supports a uniform dead load of 12 kN/m and
a concentrated live load applied at the midspan. If it is reinforced
with 6 of 22 mm diameter bars, fc’ = 20.7 MPa, fy = 414 MPa, concrete
weighs 23 kN/m3, determine the maximum value of this concentrated load .
Use concrete cover of 70 mm.
2. A rectangular beam reinforced for tension has b = 300 mm, d = 480 mm
The beam is reinforced with 7 of 25 mm bars with fc’ = 21 MPa, fy =415 MPa.
If the beam is a cantilever beam 3 m long and supports a uniform dead load
of 15 kN/m( including its own weight) applied along its entire length, calculate
the maximum value of the concentrated live load that can be applied at the
free end.
3. A reinforced concrete beam rectangular beam 300 mm wide has an effective
depth of 450 mm and is reinforced for tension only. Assuming fc’ = 27 MPa.
fy = 350 MPa, determine the required steel area that would produce balance
strain condition.
2
2
8
.
2280
4
)
22
(
6 mm
As 

 02137
.
0
414
)
414
600
(
)
600
(
85
.
0
)
7
.
20
(
85
.
0



b
p
013
.
0
)
500
(
350
8
.
2280



bd
A
p s
p
p
p b 

 016
.
0
75
.
0
max
Tension steel
Yields at failure
p
f
p
y



 00338
.
0
414
4
.
1
4
.
1
min
28
.
153
350
)
7
.
20
(
85
.
0
)
414
(
8
.
2280
'
85
.
0



b
fc
f
A
a
y
s
m
kN
a
d
f
A
M y
s
u .
78
.
359
)
10
(
)
2
28
.
153
500
(
414
)
8
.
2280
(
9
.
0
)
2
( 6





Solution to #1
Weight of the beam
m
kN
WB /
59
.
4
)
57
.
0
)(
35
.
0
(
23 

Total Dead
m
kN
WD /
59
.
16
59
.
4
12 


4
7
.
1
8
4
.
1
7
.
1
4
.
1
2
L
P
L
W
M
M
M L
D
L
D
u 



4
)
6
(
7
.
1
8
)
6
)(
59
.
16
(
4
.
1
78
.
359
2
L
P

 kN
PL 1
.
100

Solution to #2
2
2
1
.
3436
4
)
25
(
7 mm
As 

 02161
.
0
415
)
415
600
(
)
600
(
85
.
0
)
21
(
85
.
0



b
p
024
.
0
)
480
(
300
1
.
3436



bd
A
p s
p
p
p b 

 0162
.
0
75
.
0
max
Tension steel does
Not Yield at failure
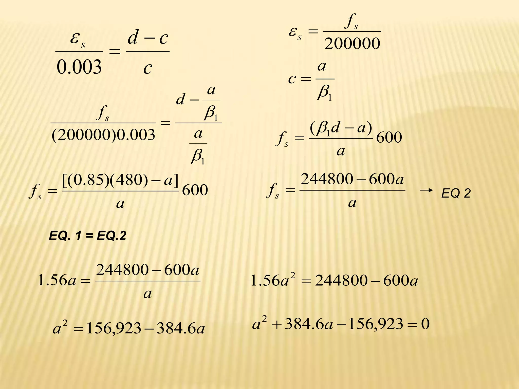
0.85fc’ab = Asfs 0.85(21)300a=3436.1fs fs =1.56a EQ.1
c
c
d
s 

003
.
0

EQ 2
1
200000


a
c
fs
s


1
1
003
.
0
)
200000
(


a
a
d
fs


600
)
( 1
a
a
d
fs



600
]
)
480
)(
85
.
0
[(
a
a
fs


a
a
fs
600
244800 

EQ. 1 = EQ.2
a
a
a
600
244800
56
.
1

 a
a 600
244800
56
.
1 2


a
a 6
.
384
923
,
156
2

 0
923
,
156
6
.
384
2


 a
a
0
923
,
156
6
.
384
2


 a
a
mm
a 04
.
248
2
)
156923
(
4
)
6
.
384
(
6
.
384 2





y
s f
MPa
f 


 94
.
386
04
.
248
)
04
.
248
(
600
244800
m
kN
a
d
f
A
M s
s
u .
97
.
425
)
10
(
)
2
04
.
248
480
(
94
.
386
)
1
.
3436
(
9
.
0
)
2
( 6





)
2
(
a
d
f
A
M s
s
u 
 
PL
15 kN/m
3 m
L
P
L
W
M
M
M L
D
L
D
u 7
.
1
2
4
.
1
7
.
1
4
.
1
2




3
7
.
1
2
)
3
(
15
4
.
1
97
.
425
2
L
P


kN
PL
65

FLEXURAL ANALYSIS: BEAMS REINFORCED FOR TENSION &
COMPRESSION ( DOUBLY REINFORCED BEAMS )
As’
As
As’
As2
b STRESS DIAGRAMS STRAIN DIAGRAM
0.85fc’ 0.003
d’ a
d-a/2 Mu1
Mu2
Mu
C2=As’fs’ c εs’
c-d’
d-c
d-d’
C1=0.85fc’ab
T1=As1fy T2=As2fy
As1
εs
d
Criteria for adding compression reinforcement : p > 0.75pb
d’
Compression is resisted by concrete Compression is resisted by As’
Compression reinforcement is provided to ensure ductile failure ( tension steel must
yield) thus the stress in tension steel must always be equal to fy. On the other hand
the stress in compression steel may be equal to or less than fy. This stress must
always be checked.
Maximum permissible tensile steel area – NSCP states that for members with
compression reinforcement, the portion of pb equalized by compression reinforcement
need not be multiplied by the 0.75 factor thus
fy
f
A
bd
p
A s
s
b
s
,
'
max 75
.
0 

Stress in compression steel
From the strain diagram
c
d
c
s '
003
.
0
'



200000
'
' s
s
f


1

a
c 
a
d
a
fs
)
(
600 '
1
' 


also and
then
Other double reinforced beam formulas ( derived from stress diagrams)
Mu = Mu1 +Mu2
As = As1 + As2
C1 = T1
0.85fc’ab =As1fy
C2 = T2
As2 fy = As’fs’ if fs’ = fy As2 =As’
Mu1 =ФO.85fc’ab(d-a/2) Mu1 = ФAs1fy(d-a/2)
Mu2 =ФAs2fy(d-d’) Mu2 =ФAs’fs’(d-d’)
If fs’=fy
Mu2 =ФAs’fy(d-d’)
FLEXURAL ANALYSIS :DOUBLY REINFORCED BEAMS
CASE 1 :COMPRESSION AND TENSION STEEL YIELDS AT FAILURE
GIVEN :B,D,D’,AS,AS’,FC’,FY
REQ’D :MU
1. Assume that compression steel yields at failure
fs’ = fy As’ = As2 As1 = As - As’
2. Solve for a
3. Solve for fs’
b
fc
f
A
a y
s
'
85
.
0
1

a
d
a
fs
)
(
600 '
1
' 


4. If fs’ ≥ fy
Mu1 = ФAs1fy(d-a/2)
Mu2 =ФAs’fy (d-d’)
Mu = Mu1 +Mu2
5. Check for yielding of tension steel
'
max 75
.
0 s
b
s A
bd
p
A 
 ≥ As
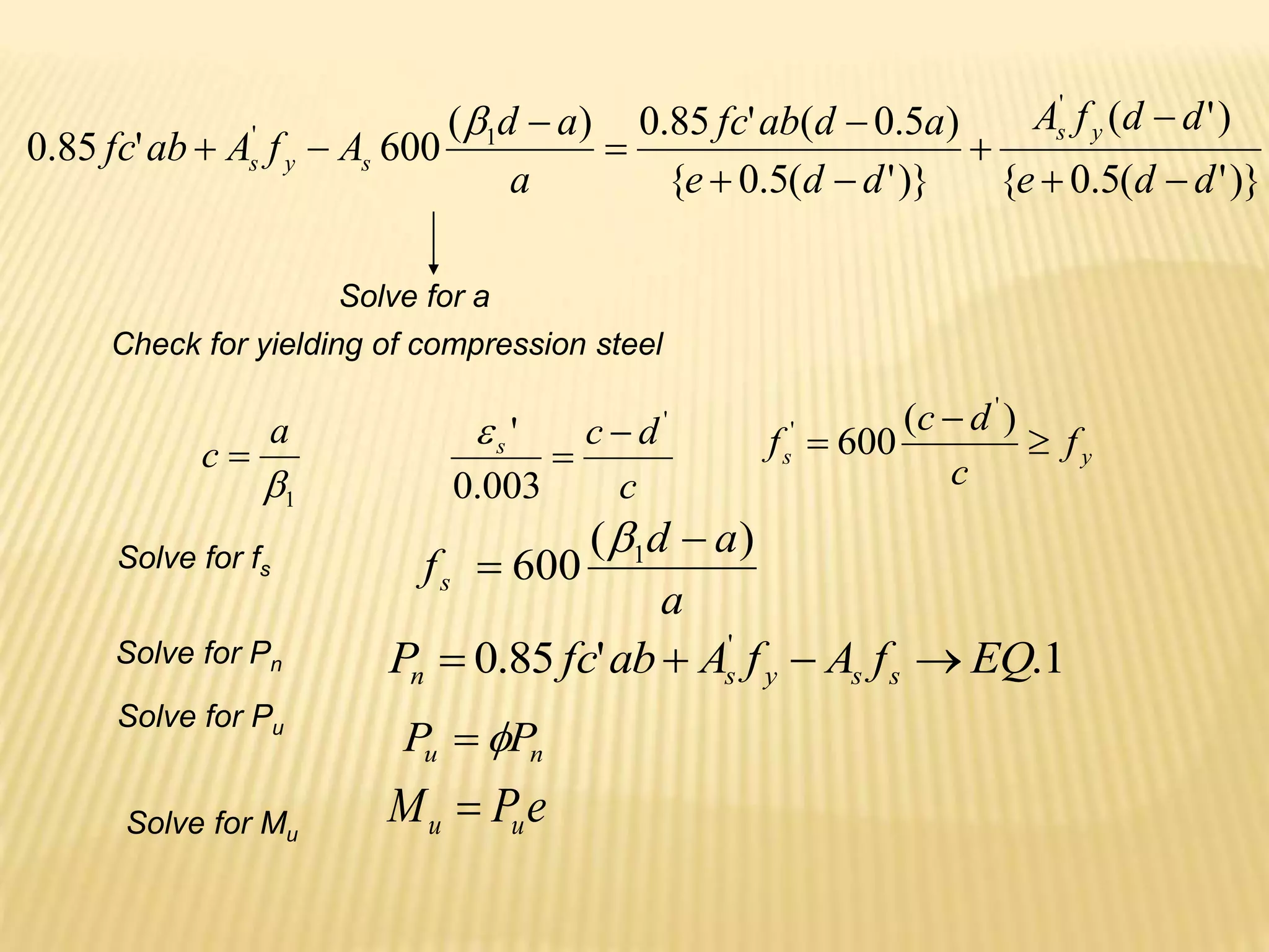
Problem#1:
Determine the permissible ultimate moment capacity of the beam
shown in figure. fc’= 20.7 MPa, fy = 345 MPa.
2 of 28 mm
4 of 36 mm
600 mm
60 mm
350 mm
Case 2 : Compression steel does not yield at failure
tension steel yields at failure
Given :b,d,d’,As,As’,fc’,fy
Req’d :Mu
1. Assume that compression steel yields at failure
fs’ = fy As’ = As2 As1 = As - As2
2. Solve for a
b
fc
f
A
a y
s
'
85
.
0
1

a
d
a
fs
)
(
600 '
1
' 


3. Solve for fs’
4. If fs’< fy
From the stress diagrams
∑F = 0 C1 + C2 = T1 + T2
0.85fc’ab + As’fs’ = As1fy + As2fy As1fy + As2fy = Asfy
0.85fc’ab + As’fs’ = Asfy EQ.A
a
d
a
fs
)
(
600 '
1
' 

 EQ.B
5.Using EQ. A and EQ. B solve for a and fs’
6. Solve for Mu
Mu1 = Ф0.85fc’ab(d-a/2)
Mu2 =ФAs’fs’(d-d’)
Mu = Mu1 +Mu2
7. Check for yielding of tension steel
'
max 75
.
0 s
b
s A
bd
p
A 
 ≥ As
As’ = 775mm2
As =3625 mm2
350 mm
63 mm
600 mm
Problem#2:
Determine the permissible ultimate moment capacity of
the beam shown in figure. fc’= 27.5 MPa, fy = 345 MPa.
Problem#1:
Determine the permissible ultimate moment capacity of the beam
shown in figure. fc’= 20.7 MPa, fy = 345 MPa.
2 of 28 mm
4 of 36 mm
600 mm
60 mm
350 mm
Solution to Problem #1
2
2
5
.
4071
4
)
36
(
4 mm
As 


2
1 2840
5
.
1231
5
.
4071
' mm
As
As
As 




2
2
5
.
1231
4
)
28
(
2
' mm
As 


Assume that compression steel yields at failure
mm
b
fc
f
A
a
y
s
1
.
159
350
)
7
.
20
(
85
.
0
)
345
(
2840
'
85
.
0
1



y
s f
MPa
a
d
a
f 




 67
.
407
1
.
159
)])
60
(
85
.
0
[
1
.
159
(
600
)
(
600 '
1
' 
Compression steel yields at failure
m
kN
a
d
f
As
Mu y .
94
.
458
10
)
2
1
.
159
600
)(
345
(
2840
9
.
0
)
2
( 6
1
1 



 
m
kN
d
d
f
As
Mu y .
48
.
206
10
)
60
600
)(
345
(
5
.
1231
9
.
0
)
'
(
' 6
2 



 
m
kN
Mu
Mu
Mu .
42
.
665
48
.
206
94
.
458
2
1 




Check for yielding of tension steel yields
  0275
.
0
345
)
345
600
(
)
600
(
85
.
0
)
7
.
20
(
85
.
0
f
f
600
600
'
fc
85
.
0
p
y
y
1
b 





failure
at
yields
steel
nsion
te
mm
5
.
4071
mm
7
.
5562
5
.
1231
)
600
(
350
)
0275
.
0
(
75
.
0
A
A
bd
p
75
.
0
A
fy
fs'
fy
f
A
bd
p
75
.
0
A
2
2
max
s
'
s
b
max
s
,
s
'
s
b
max
s









mm
b
fc
f
A
a
y
s
18
.
120
350
)
5
.
27
(
85
.
0
)
345
(
2850
'
85
.
0
1



y
s f
MPa
a
d
a
f 




 65
.
332
18
.
120
)])
63
(
85
.
0
[
18
.
120
(
600
)
(
600 '
1
' 
Compression steel does not yield at failure
Solution to #2
2
1 2850
775
3625
' mm
As
As
As 




∑Fx =0 0.85fc’ab + As’fs’ = Asfy
0.85(27.5)350a + 775fs’ = 3625(345)
10.56a +fs’ = 1613.7
fs’ =1613.7 – 10.56 a EQ.1
a
a
a
d
a
fs
)])
63
(
85
.
0
[
(
600
)
(
600 '
1
' 




2
.
)
55
.
53
(
600
'
EQ
a
a
fs 


2
.
1
. EQ
EQ 
a
a
a
)
55
.
53
(
600
56
.
10
7
.
1613



32130
600
56
.
10
7
.
1613 2


 a
a
a
0
32130
7
.
1013
56
.
10 2


 a
a
0
6
.
3042
96
2


 a
a
mm
a 12
.
121
2
)
6
.
3042
(
4
)
96
(
96 2




12
.
121
)
55
.
53
12
.
121
(
600
' 

s
f
y
s f
MPa
f 
 7
.
334
'
)
2
(
1
1
a
d
f
As
Mu y 
 
)
'
(
'
'
2 d
d
fs
As
Mu 
 
6
1
10
)
2
12
.
121
600
)(
345
)
2850
(
9
.
0 

Mu
m
kN
Mu .
36
.
477
1 
6
2
10
)
63
600
(
7
.
334
)
775
(
9
.
0 

Mu
m
kN
Mu .
36
.
125
2 
m
kN
Mu
Mu
Mu .
72
.
602
2
1 


2
'
max 6
.
6500
'
75
.
0 mm
f
fs
A
bd
p
A
y
s
b
s 


0365
.
0
345
)
345
600
(
)
600
(
7
.
334
)
5
.
27
(
85
.
0



b
p
yields
TS
3625 2
max mm
As 
bf
t
bw
d
Cf =0.85fc’(bf-bw) t
a
bw
Tf =Asffy Tw =Aswfy
Cw=0.85fc’abw c
0.85fc’ 0.85fc’ 0.003
d-t/2 d-a/2
Muf Muw
Mu
As Asf Asw
(bf –bw)
εs
Compression is resisted by the Compression is resisted by the
overhanging flange Web
Where
bf = flange width bw = width of the web t = thickness of the slab
Stress Diagrams Strain
Diagram
T – BEAMS
Reinforced concrete floor systems, roof ,decks etc. are almost always
monolithic. Forms are built for beam soffits and sides and for the underside of
the slabs, and the entire construction is poured at once. Beam reinforcement and
stirrups extend up into the slab thus part of the slab will act with the upper part of
the beam to resist longitudinal compression. The resulting shape of the beam is
in the form of a T rather than rectangular. Figure below shows the stress and
strain diagrams of a T- beam.
Code requirements of T- beams
1. In T-beam construction, the flange and the web shall be built
integrally or effectively bonded together
2. The width of the flange effective as a T- beam shall not exceed ¼ of
the span , and the effective overhanging flange on each side of the
web shall not exceed :
a) eight times the slab thickness
b) ½ the clear spacing to the next web
3. For beams with slab on one side only, the effective overhanging
flange shall not exceed :
a) 1/12 the span length of the beam
b) 6 times the slab thickness
c) ½ the clear distance to the next web
w
f
b
w
p
p
p
p 

 )
(
75
.
0
max
For yielding of tension steel
Where
y
y
b
f
f
fc
p
)
600
(
600
'
85
.
0 1



d
b
A
p
w
s
w

d
b
A
p
w
sf
f

bw’ S3 bw S2 bw S1
bf’ bf
t
For interior beam:
bf is the smallest of
1. bf = L/4
2. bf = bw + 16t
3. bf = S1 /2 + S2 /2 + bw
For End beams:
bf’ is the smallest of
4. bf’ = L/12 + bw’
5. bf’ = bw’ + 6t
6. bf’ = S3/2 + bw’
For Symmetrical interior beam (S1 =S2 = S3)
bf is the smallest of
7. bf = L/4
8. bf = bw + 16t
9. bf = center to center spacing of beams
T- BEAMS FORMULAS
 From the stress diagrams sw
sf
s A
A
A 

uw
uf
u M
M
M 

y
w
f
sf
w
f
y
sf
f
f
f
t
b
b
fc
A
t
b
b
fc
f
A
T
C
)
(
'
85
.
0
)
(
'
85
.
0





w
sw
sw
w
w
w
b
fc
fy
A
a
fy
A
ab
fc
T
C
'
85
.
0
'
85
.
0



)
2
(
)
2
(
)
(
'
85
.
0
t
d
fy
A
M
t
d
t
b
b
fc
M
sf
uf
w
f
uf







)
2
(
)
2
(
'
85
.
0
a
d
f
A
M
a
d
ab
fc
M
y
sw
uw
w
uw






bf
z
z
t
As As
NA
NA
The compression block of a T- beam can fall either within the flange
only or partly in the web. If it falls within the flange, the rectangular
beam formulas apply, if it falls partly on the web the beam should be
considered as a T- beam .
Criterion for selection of analysis:
0.85fc’bfz = Asfy
f
y
s
b
fc
f
A
z
'
85
.
0

if z < t wide rectangular beam
if z > t T-beam
FLEXURAL ANALYSIS OF T- BEAMS ( Z > T)
 Given: bw,t,As,d,center to center spacing of beams
(assuming symmetrical interior beam), L, fc’,fy
Required: MU
1. Determine the effective flange width bf
bf = L/4
bf = bw + 16t
bf = center to center spacing of beams
Use the smallest value of bf
Note: if bf is given omit step 1
2. Determine if it is to be analyzed as T- beam
f
y
s
b
fc
f
A
z
'
85
.
0

z > t
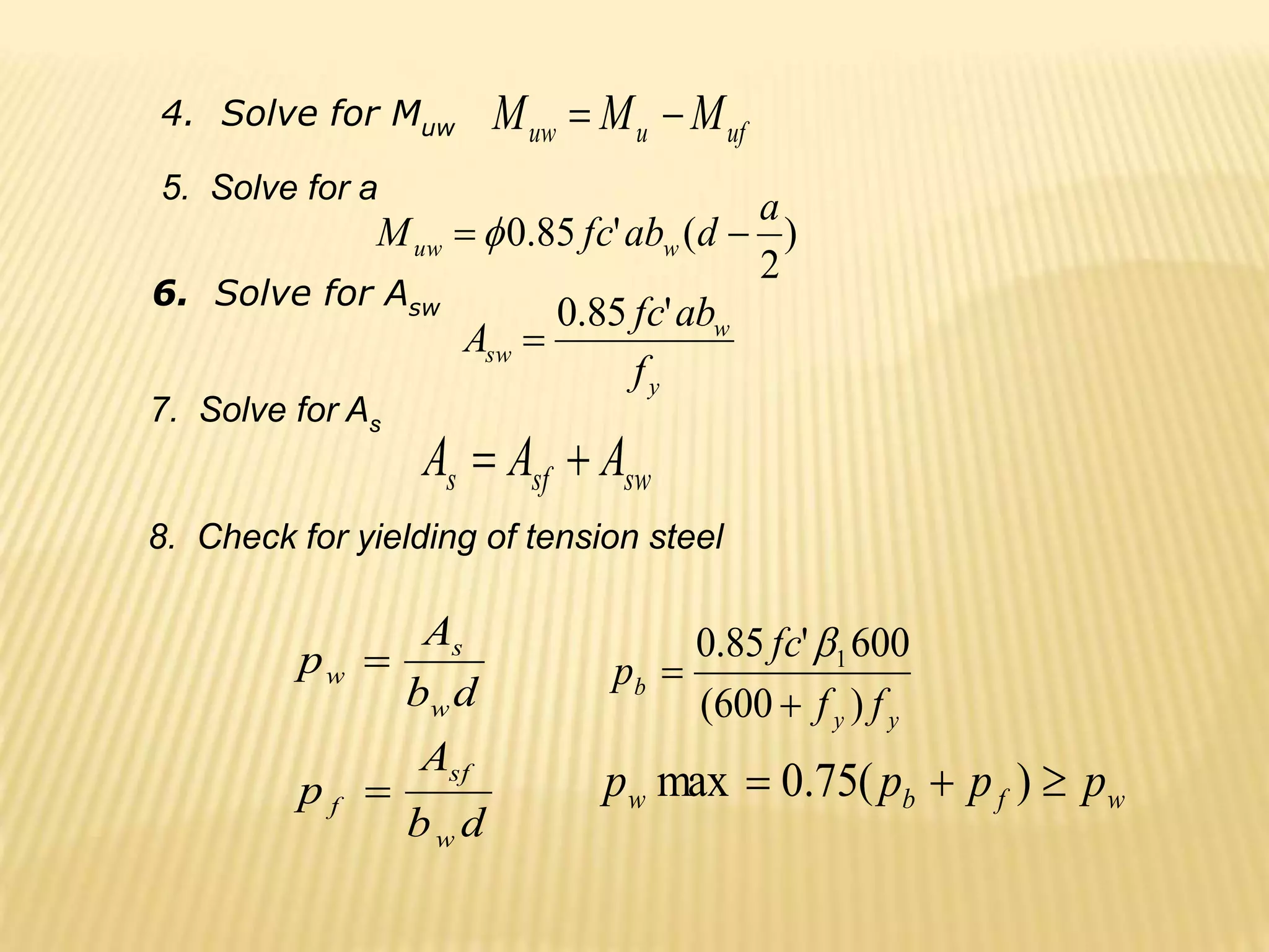
3. Solve for Asf
y
w
f
sf
f
t
b
b
fc
A
)
(
'
85
.
0 

d
b
A
p
d
b
A
p
w
sf
f
w
s
w


y
y
b
f
f
fc
p
)
600
(
600
'
85
.
0 1



w
f
b
w p
p
p
p 

 )
(
75
.
0
max
4. Check for yielding of tension steel
5. Solve for Muf
)
2
(
)
2
(
)
(
'
85
.
0
t
d
fy
A
M
t
d
t
b
b
fc
M
sf
uf
w
f
uf







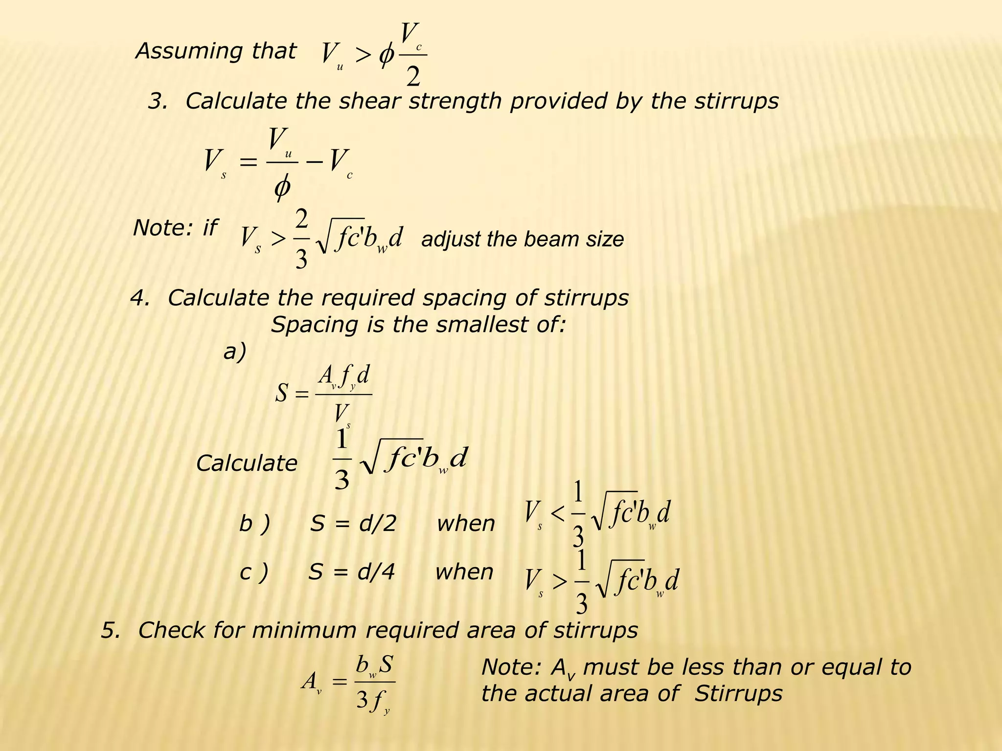
6. Solve for Asw sf
s
sw A
A
A 

w
y
s
b
fc
f
A
a
'
85
.
0

)
2
(
)
2
(
'
85
.
0
a
d
f
A
M
a
d
ab
fc
M
y
sw
uw
w
uw






uw
uf
u M
M
M 

7. Solve for a
8. Solve for Muw
9. Solve for Mu
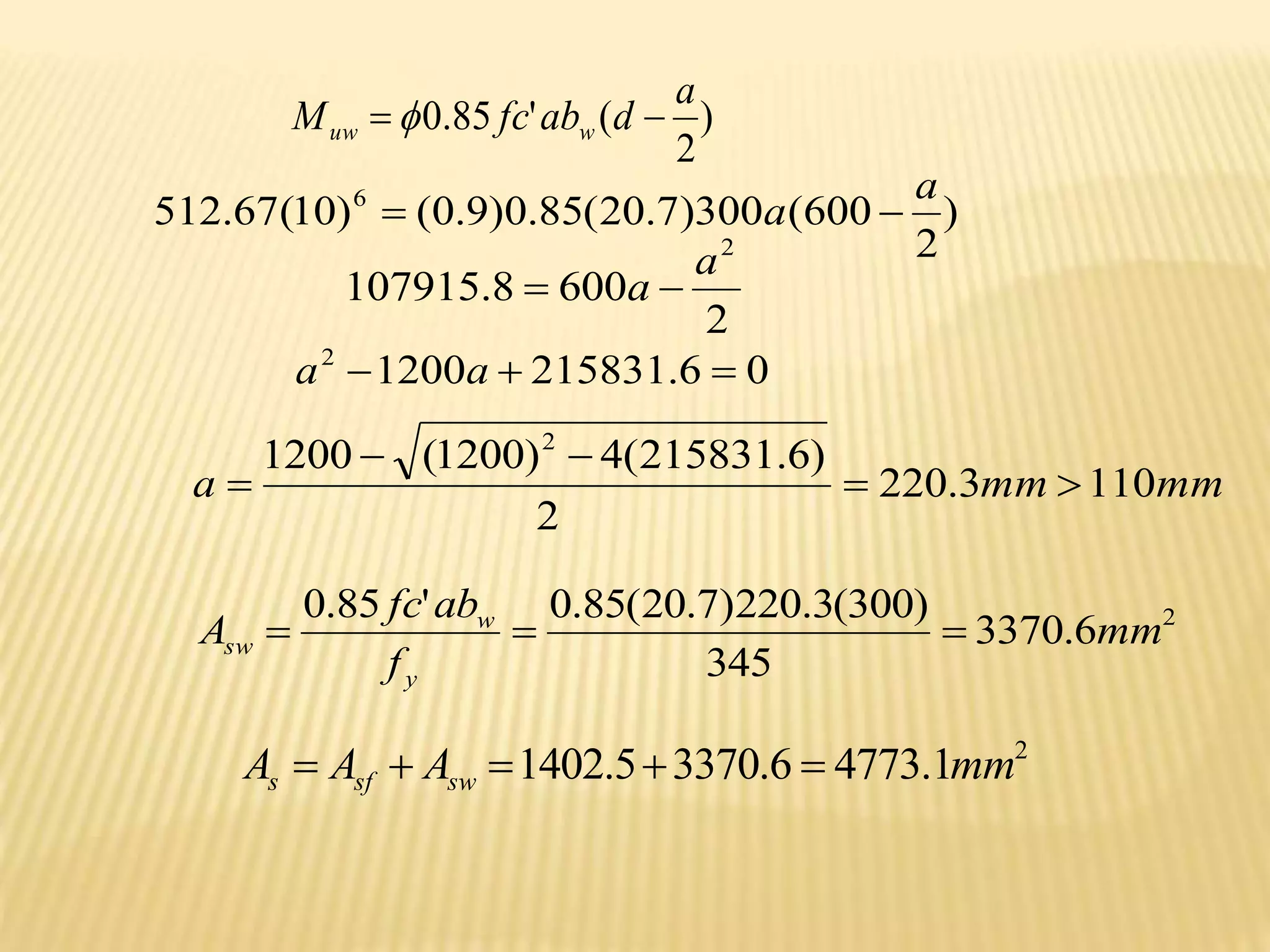
Problem :
A reinforced concrete T- beam spaced at 2.0 m on centers has a
span of 3.0 m with a slab thickness of 100 mm. The effective depth
is 750 mm and the width of the web is 350 mm. The beam is
reinforced with steel of area 5200 mm2. If fc’ = 20.7 MPa and
fy= 345 MPa, calculate the ultimate moment capacity.
Solution
Determine the effective flange width bf
bf = L/4 = 3000/4 = 750 mm
bf = bw + 16t = 350+16(100) = 1950 mm
bf = center to center spacing of beams = 2000 mm
Use bf = 750 mm
Determine if it is to be analyzed as T- beam
mm
mm
b
fc
f
A
z
f
y
s
100
94
.
135
)
750
)(
7
.
20
(
85
.
0
)
345
(
5200
'
85
.
0




Analyze as T - beam
0078
.
0
)
750
(
350
2040
0198
.
0
)
750
(
350
5200






d
b
A
p
d
b
A
p
w
sf
f
w
s
w
0275
.
0
345
)
345
600
(
)
600
(
85
.
0
)
7
.
20
(
85
.
0
)
600
(
600
'
85
.
0 1





y
y
b
f
f
fc
p

)
(
75
.
0
max f
b
w p
p
p 

2
2040
345
100
)
350
750
)(
7
.
20
(
85
.
0
)
(
'
85
.
0
mm
f
t
b
b
fc
A
y
w
f
sf 




w
w p
p 


 02649
.
0
)
0078
.
0
0275
.
0
(
75
.
0
max
tension steel yields at failure
6
10
)
2
100
750
(
345
)
2040
(
9
.
0
)
2
(




t
d
fy
A
M sf
uf 
m
kN
M
M
M uw
uf
u .
42
.
1092
03
.
649
39
.
443 




2
3160
2040
5200 mm
A
A
A sf
s
sw 




mm
mm
b
fc
f
A
a
w
y
sw
100
03
.
177
350
)
7
.
20
(
85
.
0
)
345
(
3160
'
85
.
0




m
kN
a
d
f
A
M y
sw
uw .
03
.
649
10
)
2
03
.
177
750
(
345
)
3160
(
9
.
0
)
2
( 6





m
kN
Muf .
39
.
443

Flexural analysis of T- beams ( z < t)
Given: bw,t,As,d,center to center spacing of beams(assuming
symmetrical interior beam), L, fc’,fy
Required: MU
1. Determine the effective flange width bf
bf = L/4
bf = bw + 16t
bf = center to center spacing of beams
Use the smallest value of bf
Note: if bf is given omit step 1
f
y
s
b
fc
f
A
z
'
85
.
0

2. Determine if it is to be analyzed as T- beam
z < t
z=a
)
2
(
z
d
f
A
M y
s
u 

3. Solve for MU
4. Check for yielding of tension steel
bd
A
p s

y
y
b
f
f
fc
p
)
600
(
600
'
85
.
0 1



p
p
p b 
 75
.
0
max
Problem :
A reinforced concrete T- beam has an effective flange width of
1500 mm , slab thickness of 100 mm, effective depth of 600 mm
and the width of the web is 250 mm. The beam is reinforced with
steel of area 4500 mm2. If fc’ = 20.7 MPa and fy= 345 MPa,
calculate the ultimate moment capacity.
mm
mm
b
fc
f
A
z
f
y
s
100
8
.
58
)
1500
)(
7
.
20
(
85
.
0
)
345
(
4500
'
85
.
0




Analyze as wide rectangular beam
solution
m
kN
z
d
f
A
M y
s
u .
3
.
797
10
)
2
8
.
58
600
(
345
)
4500
(
9
.
0
)
2
( 6





005
.
0
)
600
(
1500
4500



bd
A
p s
0275
.
0
345
)
345
600
(
)
600
(
85
.
0
)
7
.
20
(
85
.
0
)
600
(
600
'
85
.
0 1





y
y
b
f
f
fc
p

p
p
p b 

 0206
.
0
75
.
0
max
tension steel yields at failure
Plate #2 Doubly Reinforced beams
1. A rectangular concrete beam has a width of 300 mm and an effective
depth to bottom bars of 450 mm. The beam is reinforced with six
32 mm bars and two 28 mm top bars located 65 mm from the top
of the beam. If fc’=34.5 MPa, fy =345 MPa, calculate the ultimate
moment capacity of the beam.
2. Calculate the ultimate moment capacity of the beam shown in figure.
fc’=34.5 MPa, fy = 415 MPa.
As’ = 1850mm2
As =4820 mm2
80 mm
700 mm
400 mm
Non- Rectangular Beams
To deal with these beams, the code requirements and principles
of rectangular beams are applied. Stress and strain diagrams plays
an important role in establishing the formulas that will analyze these
beams.
375 mm
75 mm
375 mm
3 of 16 mm
Problem
Compute the ultimate moment capacity
Of the beam shown in figure. Assume
fc’=21 MPa, fy = 345 MPa
375 mm
75 mm
375 mm
3 of 16 mm
Ac
0.003
s

c
375 - c
x
a
C=0.85fc’Ac
T=Asfy
375 - 2a/3
Solution
2
2
2
.
603
4
)
16
(
3
mm
As 


Assume that steel yields at failure( subject to checking)
C=T 0.85fc’Ac=Asfy 0.85(21)Ac =603.2(345) Ac =11,658.48 mm2
Stress diagram Strain Diagram
ax
Ac
2
1

450
375

a
x
1
.
833
.
0 EQ
a
x 

)
833
.
0
(
2
1
48
.
11658 a
a
 mm
a 3
.
167

mm
a
c 82
.
196
85
.
0
3
.
167
1




From the strain diagram
c
c
s 

375
003
.
0

200000
s
s
f


82
.
196
82
.
196
375
003
.
0
)
200000
(


s
f
y
s f
MPa
f 
 18
.
543 tension steel yields at failure
By similar triangles
m
kN
a
fy
A
M s
u .
34
.
49
10
)
3
3
.
167
]
2
[
375
(
345
)
2
.
603
(
9
.
0
)
3
2
375
( 6





400 mm
75 mm
400 mm
3 of 16 mm
Problem
Compute the ultimate moment capacity of the beam shown in
figure. Assume fc’=20.7 MPa, fy = 345 MPa
400 mm
75 mm
400 mm
3 of 16 mm
Ac
0.003
s

c
400 - c
x
a
C=0.85fc’Ac
T=Asfy
400 - 2a/3
Solution
2
2
2
.
603
4
)
16
(
3
mm
As 


Assume that steel yields at failure( subject to checking)
C=T 0.85fc’Ac=Asfy 0.85(20.7)Ac =603.2(345) Ac =11,829.8 mm2
Stress diagram Strain Diagram
ax
Ac
2
1

475
400

a
x
1
.
842
.
0 EQ
a
x 

)
842
.
0
(
2
1
8
.
11829 a
a
 mm
a 63
.
167

mm
a
c 21
.
197
85
.
0
63
.
167
1




From the strain diagram
c
c
s 

375
003
.
0

200000
s
s
f


21
.
197
21
.
197
400
003
.
0
)
200000
(


s
f
y
s f
MPa
f 
 98
.
616 tension steel yields at failure
By similar triangles
m
kN
a
fy
A
M sf
u .
98
.
53
10
)
3
63
.
167
]
2
[
400
(
345
)
2
.
603
(
9
.
0
)
3
2
400
( 6





BEAM DEFLECTIONS
'
7
.
0 fc
fr 
Unless stiffness values are obtained by a more comprehensive
analysis,immediate deflection shall be computed with the
modulus of elasticity of concrete and with an effective moment
of inertia as follows, but not greater than Ig .
cr
a
cr
g
a
cr
e I
M
M
I
M
M
I

























3
3
1
Where
t
g
r
cr
y
I
f
M 
fr = modulus of rupture of concrete
fc’ in MPa
Ma = maximum moment in member at stage deflection is computed.
Ig = moment of inertia of gross concrete section about centroidal
axis, neglecting reinforcement.
Icr = moment of inertia of cracked section transformed to concrete
yt = distance from centroidal axis of gross cross section , neglecting
reinforcement, to extreme fiber in tension
b b
x
d-x
nAs
As
d
TRANSFORMED SECTION
n = modular ratio
c
s
E
E
n 
To Locate nuetral axis:
Moment of area of Moment of area of
concrete about NA = steel about NA
)
(
2
2
x
d
nA
x
b s 

Nuetral axis
To determine Icr
2
3
)
(
3
x
d
nA
bx
I s
cr 


yt = distance from centroidal axis of gross section
neglecting reinforcement, to extreme fiber in tension.
Unless stiffness values are obtained by a more comprehensive analysis,
additional long term deflection resulting from creep and shrinkage of
flexural members shall be determined by multiplying the immediate
deflection caused by the sustained load considered, by the factor
'
50
1 p




where p’ shall be the value of reinforcement ratio for non prestress
compression reinforcement at midspan for simple and continuous spans,
and at support for cantilever. It is permitted to assume the time-dependent
factor ξ for sustained load to be equal to
5 years or more ………………………….. 2
12 months ………………………….. 1.4
6 months ………………………….. 1.2
3 months ………………………….. 1.0
Problem:
A concrete beam 6 m long is 300 mm wide and 600 mm deep and
carries a dead load of 9 kN/m and live load of 12 kN/m. The beam
is reinforced for tension only with four 25 mm bars with an effective
depth to tension bars of 530 mm. fc’ = 20.7 MPa , fy = 345 MPa ,
fr = 2.832 MPa, Ec = 20,000 MPa, Es = 200,000 MPa.
Covering of bars is 70 mm.
a) Calculate the maximum instantaneous deflection due to dead load
and live load.
b) Calculate the deflection due to the same loads after five years
assuming that 30% of the live load is sustained.
Gross moment of inertia
4
6
3
3
10
5400
12
)
600
(
300
12
mm
x
bh
Ig 


mm
N
x
y
I
f
M
t
g
r
cr .
10
97
.
50
300
10
)
5400
(
832
.
2 6
6



m
kN
Mcr .
97
.
50

b=300 b
x
530-x
nAs
As
d=530
10
20000
200000



c
s
E
E
n
)
(
2
2
x
d
nA
x
b s 

2
2
2
.
1963
4
)
25
(
4
mm
As 


Transformed section
)
(
2
2
x
d
nA
x
b s 
 )
530
)(
5
.
1963
(
10
2
300
2
x
x


x
x 9
.
130
69377
2

 0
69377
9
.
130
2


 x
x
mm
x 96
.
205
2
)
69377
(
4
)
9
.
130
(
9
.
130 2





2
3
2
3
)
96
.
205
530
)(
5
.
1963
(
10
3
)
96
.
205
(
300
)
(
3





 x
d
nA
bx
I s
cr
4
6
10
38
.
935
,
2 mm
x
Icr 
a) m
kN
L
W
M T
a .
5
.
94
8
)
6
)(
9
12
(
8
2
2




4
6
10
1
.
322
,
3 mm
x
Ie 
Effective moment of inertia
cr
a
cr
g
a
cr
e I
M
M
I
M
M
I

























3
3
1
a) Instantaneous deflection
mm
I
E
L
W
e
c
T
44
.
3
)
10
(
1
.
3322
)
20000
(
384
)
6000
)(
21
(
5
384
5
6
4
4




a) Long term deflection
Since only 30% l of the live load is sustained
m
kN
WT /
7
.
14
)
9
(
3
.
0
12 


mm
I
E
L
W
e
c
T
41
.
2
)
10
(
1
.
3322
)
20000
(
384
)
6000
)(
7
.
14
(
5
384
5
' 6
4
4




2
)
0
(
50
1
2
50
1 '





p


Long term deflection
mm
L 26
.
8
)
41
.
2
(
2
44
.
3
' 



 


Compression
Zone
d
a
0.85fc’
C = 0.85fc’ab
0.003
T = Asfy
s
y
s
E
f


b
c
Stress Diagram Strain Diagram
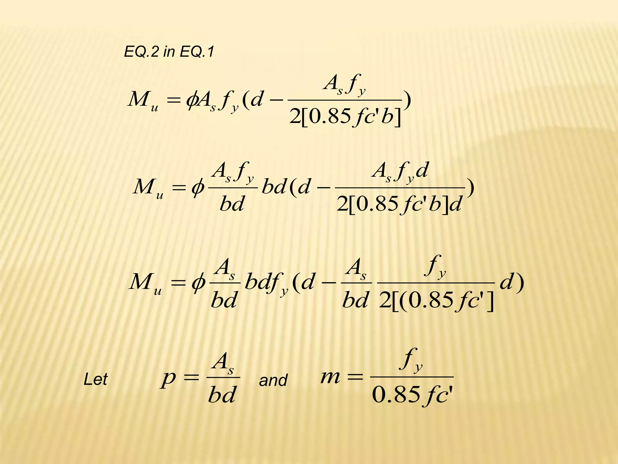
Design for Flexure : Beams Reinforced for tension
Derivation of designing formulas
1
.
)
2
( EQ
a
d
f
A
M y
s
u 

  2
.
'
85
.
0
EQ
b
fc
f
A
a
y
s


d-a/2 Mu
)
]
'
85
.
0
[
2
(
b
fc
f
A
d
f
A
M
y
s
y
s
u 
 
EQ.2 in EQ.1
)
]
'
85
.
0
[
2
(
d
b
fc
d
f
A
d
bd
bd
f
A
M
y
s
y
s
u 
 
)
]
'
85
.
0
[(
2
( d
fc
f
bd
A
d
bdf
bd
A
M
y
s
y
s
u 
 
bd
A
p s

'
85
.
0 fc
f
m
y

Let and
)
2
( d
pm
d
pbdf
M y
u 
 
)
2
1
(
2 pm
pf
bd
M y
u 
 
)
2
1
(
pm
pf
R y
u 

Let
u
u R
bd
M 2

 For proportioning of section
y
y
u f
m
p
pf
R
2
1
2


)
2
1
(
pm
pf
R y
u 

Coeffecient of resistance
mfy
f
m
p
pf
R y
y
u
2
}
2
1
{
2


2
2
2
p
m
p
R
mf
u
y


0
2
2
2


 u
y
R
mf
m
p
p
2
2
4
)
2
(
2 2
y
u
mf
R
m
m
p



2
2
4
)
2
(
2
2
2
y
u
f
m
mR
m
m
p



2
]
2
1
[
)
2
(
2 2
y
u
f
mR
m
m
p



2
2
1
2
2
y
u
f
mR
m
m
p



2
]
2
1
1
[
2
y
u
f
mR
m
p



)
2
1
1
(
1
y
u
f
mR
m
p 

 Actual tensile steel ratio
NSCP COEFFECIENTS FOR CONTINUOUS BEAMS AND SLABS
NSCP states that in lieu of frame analysis, the following approximate moments
and shear are permitted for design of continuous beams and one way slabs
provided that :
There are two or more spans
Spans are approximately equal,with the large of two adjacent spans not greater
than the shorter by more than 20 %
Loads are uniformly distributed
Unit live load does not exceed three times the unit dead load
The members are prismatic
Positive moment
End spans
Discontinuous end unrestrained WULn2/11
Discontinuous end integral with support WULn2/14
Interior spans WULn2/16
Negative moment at exterior face of first interior support
Two spans WULn2/9
More than two spans WULn2/10
Negative moment at other faces of interior supports WULn2/11
Negative moment at face of all supports for
Slabs with span not exceeding 3 m; and beams
where ratio of column stiffness to beam stiffness
exceeds eight at each end of the span WULn2/12
Negative moment at interior face of exterior supports
for members built integrally with supports
Where support is a spandrel beam WULn2/24
Where support is a column WULn2/16
Shear in end members at face of first interior support 1.15WULn/2
Shear at face of all other supports WULn/2
Where Ln = the clear span for positive moment or shear and average of
adjacent clear spans for negative moments.
L1 L2
16
2
1
wL

2
1
wL
11
2
2
wL
9
2
n
wL

2
2
1 L
L
Ln


14
2
1
wL
2
15
.
1 2
wL
2
15
.
1 n
wL
Shear
Moment
Shear and moment for continuous beams or slab with two spans
discontinuous edge integral with support,discontinous end unrestrained
column column
L1 L2
16
2
1
wL

2
1
wL
16
2
2
wL
10
2
n
wL

2
2
1 L
L
Ln


14
2
1
wL
2
15
.
1 n
wL
2
15
.
1 n
wL
Shear
Moment
Shear and moment for continuous beams or slab with more than
two spans and discontinuous end integral with support
column column column
Spandrel beam
L3
2
3
wL
14
2
3
wL
10
2
n
wL

2
3
2 L
L
Ln


24
2
3
wL

L1 L2
2
1
wL
16
2
2
wL
10
2
n
wL

2
2
1 L
L
Ln


11
2
1
wL
2
15
.
1 n
wL
2
15
.
1 n
wL
Shear
Moment
Shear and moment for continuous beams or slab with more than
two spans and discontinuous end unrestrained
column column
L3
2
3
wL
11
2
3
wL
10
2
n
wL

2
3
2 L
L
Ln


Case 1 : Design for balanced strain condition with given dimensions
Given : b,d, fc’ and fy
Required : Steel area that would produce balance strain condition
General Procedure:
1. Solve for pb
y
y
b
f
f
fc
p
)
600
(
600
'
85
.
0 1



2. Solve for Asb Asb = pbbd
Problem:
A reinforced concrete rectangular beam 300 mm wide has an effective
depth of 460 mm and is reinforced for tension only. If fc’=20 MPa,
fy = 300 MPa, determine the balance steel area in mm2.
032
.
0
300
)
300
600
(
)
600
(
85
.
0
)
20
(
85
.
0
)
600
(
600
'
85
.
0 1





y
y
b
f
f
fc
p

Asb = pbbd=0.032(300)460 = 4416 mm2
Solution
)
2
1
(
pm
pf
R y
u 

u
u
R
M
bd


2
'
85
.
0 fc
f
m
y

Case 2 : Design of cross section and reinforcement from given loads
and type of beam dimensions
Given : fc’ , fy, Loads, type of beam, Wc
Required : cross section dimension ,size and number of steel bars
General Procedure:
1.Assume the weight of the beam ( DL) as 20 to 25% of (DL + LL). add
this to the given dead load.
2.By any available method, determine designing moment Mu.
3.Assume a value of steel ratio p ( 0.3pb to 0.6pb but not less than pmin).
This will provide enough allowance for the rounding off of values of
number of bars to be used.
4.Solve for the following design constants :
5. Solve for bd2
6. Try a ratio of d/b ( from d= b to d = 2b ) , then solve for b
and d. Alternatively b may be assumed until a reasonable value of d is
attained. Provide concrete cover to get total thickness. Check for
minimum depth if required.
7. Compute actual weight ( W = bDWc) and compare with assume
Weight.
8. Solve for actual p
9.Solve for As: As = pbd
10.Solve for the number of bars by dividing As by the area of one bar
to be used. Round off this number to the next integer.
Problems :
Design a rectangular beam for a 6 m simple span to support a uniform
dead load of 15 kN/m and uniform live load of 24 kN/m applied along it’s
entire length. fc’=20 MPa, fy = 350 MPa,Wc=23.5 kN/m3.
Design a rectangular beam reinforced for tension only to support a
service dead load moment of 85 kN.m ( including its weight) and service
live load moment of 102 kN.m. Use p =0.6pb, d/b = 1.75 , fc’=28 MPa,
fy = 276 MPa.
)
2
1
1
(
1
y
u
f
mR
m
p 


Problems :
Design a rectangular beam for a 6 m simple span to support a uniform
dead load of 15 kN/m and uniform live load of 24 kN/m applied along it’s
entire length. fc’=20 MPa, fy = 350 MPa,Wc=23.5 kN/m3
25
.
3
]
2
)
59
.
20
(
0104
.
0
1
)[
350
(
0104
.
0
)
2
1
(
59
.
20
)
20
(
85
.
0
350
'
85
.
0
0104
.
0
350
)
350
600
(
)
600
(
85
.
0
)
20
(
85
.
0
4
.
0
4
.
0
.
4
.
327
8
)
6
(
24
7
.
1
8
)
6
(
8
.
22
4
.
1
/
8
.
22
8
.
7
15
8
.
7
)
15
24
(
20
.
0
2
2





















pm
pf
R
fc
fy
m
p
p
m
kN
M
m
kN
W
w
y
u
b
u
D
B
mm
b
R
M
d
R
M
bd
u
u
u
u
570
350
)
25
.
3
(
9
.
0
)
10
(
24
.
327 6
2






Trial section 350 mm x 570mm effective depth, total depth 650 mm
Actual weight
2
.
3
)
570
)(
350
(
9
.
0
)
10
(
24
.
327
/
8
.
7
/
35
.
5
5
.
23
)
65
.
0
(
35
.
0
2
6
2






bd
M
R
m
kN
m
kN
w
u
u
B

7
4
)
20
(
2035
20
2035
570
)
350
(
0102
.
0
102
.
0
)
350
)
2
.
3
)(
59
.
20
(
2
1
1
(
59
.
20
1
)
2
1
1
(
1
2
2














N
bars
mm
try
mm
pbd
A
p
f
mR
m
p
s
y
u
Problems :
Design a rectangular beam for a 5 m simple span to support a uniform
dead load of 12 kN/m and uniform live load of 20 kN/m applied along it’s
entire length. fc’=20 MPa, fy = 400 MPa,Wc=23.5 kN/m3.
Design a rectangular beam reinforced for tension only to support a
service dead load moment of 65 kN.m ( including its weight) and service
live load moment of 80 kN.m. Use p =0.45pb, d/b = 1.5 , fc’=20 MPa,
fy = 300 MPa.
Plate # 3 Design of beams reinforced for tension
A reinforced concrete T- beam spaced at 3.0 m on centers has a
span of 4.0 m with a slab thickness of 75 mm. The effective depth
is 750 mm and the width of the web is 300 mm. The beam is
reinforced with steel of area 4200 mm2. If fc’ = 20.7 MPa and
fy= 345 MPa, calculate the ultimate moment capacity.
2
bd
M
R u
u


)
2
1
1
(
1
y
u
f
mR
m
p 


'
85
.
0 fc
f
m
y

Design of reinforcement of a beam with given moment and
cross sectional dimension
Given : b,d, Mu ,fc’ , fy,
Required : Number of steel bars
General Procedure :
1. Solve for Ru and m
2. Solve for p
3. Check for yielding of tension steel and pmin if required.
4. Solve for As : As = pbd
Problem :
Determine the required tension steel area for a rectangular beam with
b =250 mm, d =330mm, fc’ =20.7 MPa, fy = 414 MPa. The beam is
required to support a factored moment of 110 kN.m.
49
.
4
)
330
)(
250
(
90
.
0
)
10
(
110
2
6
2




bd
M
R u
u
53
.
23
)
7
.
20
(
85
.
0
414
'
85
.
0



fc
f
m
y
)
2
1
1
(
1
y
u
f
mR
m
p 


01276
.
0
)
414
49
.
4
)
53
.
23
(
2
1
1
(
53
.
23
1




p
Note :
If p > 0.006 no need to
check for pmin
p < 0.02 no need to
check for pmax
As = pbd
As = 0.01276(250)330
As = 1052.7 mm2
Solution
DESIGN OF CONTINUOUS BEAM
In the design of continuous beam, the cross section is determined
by the maximum moment obtained by any structural analysis
method or by its equivalent NSCP coefficients.
The reinforcements are designed from the moment obtained at the
different sections of maximum positive and negative moments.
Problem:
Figure shows a continuous beam of three spans with the left and right
ends discontinuous and integral with the support . Design the section
and reinforcements at critical sections using the given service uniform
loading. Given dead loads includes the weight of the beam. fc’= 28
MPa, fy =350 MPa . Use NSCP coefficients to determine the moments.
DL = 12 kN/m DL = 15 kN/m DL = 20 kN/m
LL =16 kN/m LL = 18 kN/m LL = 24 kN/m
4 m 5 m 6 m
A B C D E F G
Factored loads
W1 = 1.4(12)+1.7(16)= 44 W2=1.4(15)+1.7(18)= 51.6 W3 = 1.4(20)+1.7(24)=68.8
m
kN
L
w
M A .
44
16
)
4
(
44
16
2
2
1
1






Design moments by NSCP coeffecients
m
kN
L
w
MB .
28
.
50
14
)
4
(
44
14
2
2
1
1



m
kN
L
w
M n
C .
49
.
104
10
)
2
5
4
(
6
.
51
10
2
2
1
2







m
kN
L
w
MD .
63
.
80
16
)
5
(
6
.
51
16
2
2
2
2



m
kN
L
w
M n
E .
12
.
208
10
)
2
5
6
(
8
.
68
10
2
2
2
3







m
kN
L
w
MF .
91
.
176
14
)
6
(
8
.
68
14
2
2
3
3



m
kN
L
w
MG .
9
.
157
16
)
6
(
8
.
68
16
2
2
3
3






Proportioning of uniform beam size
Note: use the biggest computed design Moment Mu =208.12 kN.m
MPa
Ru 53
.
5
)
2
)
71
.
14
(
01825
.
0
1
)(
350
(
01825
.
0 


71
.
14
)
28
(
85
.
0
350
'
85
.
0



fc
f
m
y
0365
.
0
350
)
350
600
(
)
600
(
85
.
0
)
28
(
85
.
0
)
600
(
600
'
85
.
0 1





y
y
b
f
f
fc
p

01825
.
0
0365
.
0
)
5
.
0
(
5
.
0 

 b
p
p
)
2
1
(
pm
pf
R y
u 

mm
b
R
M
d
u
u
410
)
250
)(
53
.
5
(
9
.
0
)
10
(
12
.
208 6




Try b = 250 mm
004
.
0
350
4
.
1
4
.
1
min 


y
f
p
Section A m
kN
Mu .
44


16
.
1
)
410
)(
250
(
9
.
0
)
10
(
44
2
6
2



bd
M
R u
u

0034
.
0
)
350
71
.
14
)
16
.
1
(
2
1
1
(
71
.
14
1
)
2
1
1
(
1







y
u
f
mR
m
p
Use p = 0.004
2
410
410
)
250
(
004
.
0 mm
pbd
As 


Try 20 mm bars
pcs
N 2
)
20
(
)
4
(
410
2



Section B m
kN
Mu .
28
.
50

32
.
1
)
410
)(
250
(
9
.
0
)
10
(
28
.
50
2
6
2



bd
M
R u
u

0034
.
0
)
350
71
.
14
)
32
.
1
(
2
1
1
(
71
.
14
1
)
2
1
1
(
1







y
u
f
mR
m
p
Top bars
Use p = 0.004
2
410
410
)
250
(
004
.
0 mm
pbd
As 


Try 20 mm bars
pcs
N 2
)
20
(
)
4
(
410
2



bottom bars
Section C m
kN
Mu .
49
.
104


74
.
2
)
410
)(
250
(
9
.
0
)
10
(
49
.
104
2
6
2



bd
M
R u
u

00834
.
0
)
350
71
.
14
)
74
.
2
(
2
1
1
(
71
.
14
1
)
2
1
1
(
1







y
u
f
mR
m
p
2
86
.
854
410
)
250
(
00834
.
0 mm
pbd
As 


Try 20 mm bars
pcs
N 3
)
20
(
)
4
(
86
.
854
2



top bars
Section D m
kN
Mu .
63
.
80

11
.
2
)
410
)(
250
(
9
.
0
)
10
(
63
.
80
2
6
2



bd
M
R u
u

00632
.
0
)
350
71
.
14
)
11
.
2
(
2
1
1
(
71
.
14
1
)
2
1
1
(
1







y
u
f
mR
m
p
2
06
.
648
410
)
250
(
00632
.
0 mm
pbd
As 


Try 20 mm bars
pcs
N 3
)
20
(
)
4
(
06
.
648
2



bottom bars
Section E m
kN
Mu .
12
.
208


44
.
5
)
410
)(
250
(
9
.
0
)
10
(
12
.
208
2
6
2



bd
M
R u
u

018
.
0
)
350
71
.
14
)
44
.
5
(
2
1
1
(
71
.
14
1
)
2
1
1
(
1







y
u
f
mR
m
p
2
1845
410
)
250
(
018
.
0 mm
pbd
As 


Try 20 mm bars
pcs
N 6
)
20
(
)
4
(
1845
2



Top bars
Section F m
kN
Mu .
91
.
176

62
.
4
)
410
)(
250
(
9
.
0
)
10
(
91
.
176
2
6
2



bd
M
R u
u

0148
.
0
)
350
71
.
14
)
62
.
4
(
2
1
1
(
71
.
14
1
)
2
1
1
(
1







y
u
f
mR
m
p
2
1517
410
)
250
(
0148
.
0 mm
pbd
As 


Try 20 mm bars
pcs
N 5
)
20
(
)
4
(
1517
2



bottom bars
Section G m
kN
Mu .
9
.
157


12
.
4
)
410
)(
250
(
9
.
0
)
10
(
9
.
157
2
6
2



bd
M
R u
u

013
.
0
)
350
71
.
14
)
12
.
4
(
2
1
1
(
71
.
14
1
)
2
1
1
(
1







y
u
f
mR
m
p
2
5
.
1332
410
)
250
(
013
.
0 mm
pbd
As 


Try 20 mm bars
pcs
N 5
)
20
(
)
4
(
5
.
1332
2



top bars
Gross moment of inertia using 100 mm covering
4
6
3
3
10
5400
12
)
600
(
300
12
mm
x
bh
Ig 


mm
N
x
y
I
f
M
t
g
r
cr .
10
79
.
55
300
10
)
5400
(
1
.
3 6
6



A B C D E F G
2 of 20
2 of 20
3 of 20
3 of 20
6 of 20
5 of 20
5 of 20
A B C D E F G
2 of 20
2 of 20
1 of 20 1 of 20 3 of 20 3 of 20 3 of 20
2 of 20 2 of 20
2 of 20 2 of 20
Placement of bars
Requirement
Layout
3 of 20
250 mm
500 mm
250 mm
500 mm
250 mm
500 mm
Section at A and B Section at C Section at D
250 mm
500 mm
250 mm
500 mm
250 mm
500 mm
Section at E Section at F Section at G
DL = 9 kN/m DL = 12 kN/m DL = 15kN/m
LL =12 kN/m LL = 14 kN/m LL = 18 kN/m
3.6 m 4.0 m 4.5 m
Plate # 4: Design of continuous beams
Problem
Design the uniform size and reinforcements at critical section of
the continuous beam shown above. fc’= 20 MPa, fy = 300 MPa.
Given dead loads includes the weight of the beam.
2
bd
M
R u
u


)
2
1
1
(
1
fy
mR
m
p u



y
y
b
f
f
fc
p
)
600
(
600
'
85
.
0 1



b
p
p 75
.
0
max 
DESIGN FOR FLEXURE :DOUBLY REINFORCED BEAMS
Given :b,d,d’, Mu ,fc’,fy
Req’d : As, As’
General Procedure
1. Solve for Ru
2. Solve for p
3. Check if the beam needs compression reinforcement
if p > pmax then compression reinforcement is necessary
bd
p
As max
1 
b
fc
f
A
a y
s
'
85
.
0
1

)
2
(
1
1
a
d
f
A
M y
s
u 
 
1
2 u
u
u M
M
M 

5. Solve for a
6. Solve for Mu1
7. Solve for Mu2
4. Solve for As1
8. Solve for As2
)
'
(
2
2
d
d
f
M
A
y
u
s



9. Solve for fs
’
a
d
a
fs
)
(
600 '
1
' 


Case 1
If fs’ ≥ fy then fs’ = fy
( compression steel yields at failure)
2
'
s
s A
A 
Case 2
If fs’ < fy then use fs’
( compression steel does not yield at failure)
'
2
'
s
y
s
s
f
f
A
A 
10. Solve for As
2
1 s
s
s A
A
A 

Problem:
Design the reinforcement of a rectangular beam to carry a factored
moment of 272 kN.m. The beam width is 250 mm,effective depth
400mm. Use fc’ = 20.7 MPa, fy = 345 MPa, d’ =60 mm.
55
.
7
)
400
)(
250
(
9
.
0
)
10
(
272
2
6
2



bd
M
R u
u

0317
.
0
)
345
55
.
7
)
61
.
19
(
2
1
1
(
61
.
19
1




p
61
.
19
)
7
.
20
(
85
.
0
345
'
85
.
0



fc
f
m
y
0275
.
0
345
)
345
600
(
)
600
(
85
.
0
)
7
.
20
(
85
.
0
)
600
(
600
'
85
.
0 1





y
y
b
f
f
fc
p

0206
.
0
)
0275
.
0
(
75
.
0
max 

p
p > pmax compression reinforcement is necessary
Solution
2
max
1 2060
400
)
250
(
0206
.
0 mm
bd
p
As 


mm
b
fc
f
A
a
y
s
57
.
161
250
)
7
.
20
(
85
.
0
)
345
(
2060
'
85
.
0
1



m
kN
a
d
f
A
M y
s
u .
18
.
204
10
)
2
57
.
161
400
(
345
)
2060
(
9
.
0
)
2
( 6
1
1 




m
kN
M
M
M u
u
u .
82
.
67
18
.
204
272
1
2 




2
6
2
2 42
.
642
)
60
400
)(
345
(
9
.
0
)
10
(
82
.
67
)
'
(
mm
d
d
f
M
A
y
u
s 





MPa
a
d
a
fs 6
.
410
57
.
161
)])
60
(
85
.
0
[
57
.
161
(
600
)
(
600 '
1
'






Compression
Steel yields
at failure
2
2
'
42
.
642 mm
A
A s
s 
 2
2
1 42
.
2702
42
.
642
2060 mm
A
A
A s
s
s 




Plate # 5 :
DESIGN FOR FLEXURE :DOUBLY REINFORCED BEAMS and T BEAMS
Design the reinforcement of a rectangular beam to resist a dead load
moment of 200 kN.m(including its own weight) and a live load moment of
300 kN.m . The beam is limited in size to 350 mm by 600mm overall
depth. Steel covering ( from centroid of bars to outermost fiber is 100 mm
for both tension and compression reinforcement. Use fc’ = 27.5 MPa, fy =
414 MPa
A reinforced concrete T-beam with d = 550 mm, bw = 300 mm , slab
thickness =100 mm is 4.8 m long and spaced 3 m on centers. The beam
support a service dead load moment of 400 kN.m (including its weight) and
service live load moment of 500 kN.m. If fc’=27.5 MPa, fy = 414 MPa ,
determine the required steel area.
Design the reinforcement of a T- beam to support a uniform service dead
load of 25 kN/m and service live load of 30 kN/m on a simple span of 8 m .
Properties of the T- beam are as follows : bf = 1500 mm,
bw = 250 mm, d = 600 mm, t = 100 mm, fc’ = 20.7 MPa, fy = 345 MPa.
DESIGN FOR BENDING : T-BEAMS (z > t)
Given: bw,t,Mu,d,center to center spacing of beams(assuming symmetrical
interior beam), L, fc’,fy
Required: As
1. Determine the effective flange width bf
bf = L/4
bf = bw + 16t
bf = center to center spacing of beams
Use the smallest value of bf
Note: if bf is given omit step 1
2. Solve for Asf
y
w
f
sf
f
t
b
b
fc
A
)
(
'
85
.
0 

3. Solve for Muf
)
2
(
t
d
fy
A
M sf
uf 
 
If Mu > Muf then design as T- beam
uf
u
uw M
M
M 

)
2
(
'
85
.
0
a
d
ab
fc
M w
uw 
 
y
w
sw
f
ab
fc
A
'
85
.
0

4. Solve for Muw
5. Solve for a
6. Solve for Asw
sw
sf
s A
A
A 

d
b
A
p
d
b
A
p
w
sf
f
w
s
w


7. Solve for As
8. Check for yielding of tension steel
y
y
b
f
f
fc
p
)
600
(
600
'
85
.
0 1



w
f
b
w p
p
p
p 

 )
(
75
.
0
max
Design the reinforcement of a T- beam to resist a factored moment of
750 kN.m. Properties of the T- beam are as follows : bf = 550 mm,
bw = 300 mm, d = 600 mm, t = 110 mm, fc’ = 20.7 MPa, fy = 345 MPa.
2
5
.
1402
345
110
)
300
550
)(
7
.
20
(
85
.
0
)
(
'
85
.
0
mm
f
t
b
b
fc
A
y
w
f
sf 




solution
m
kN
t
d
fy
A
M sf
uf .
33
.
237
10
)
2
110
600
(
345
)
5
.
1402
(
9
.
0
)
2
( 6





Mu > Muf design as T- beam
m
kN
M
M
M uf
u
uw .
67
.
512
33
.
237
750 




)
2
(
'
85
.
0
a
d
ab
fc
M w
uw 
 
2
6
.
3370
345
)
300
(
3
.
220
)
7
.
20
(
85
.
0
'
85
.
0
mm
f
ab
fc
A
y
w
sw 


2
1
.
4773
6
.
3370
5
.
1402 mm
A
A
A sw
sf
s 




)
2
600
(
300
)
7
.
20
(
85
.
0
)
9
.
0
(
)
10
(
67
.
512 6 a
a 

2
600
8
.
107915
2
a
a 

0
6
.
215831
1200
2


 a
a
mm
mm
a 110
3
.
220
2
)
6
.
215831
(
4
)
1200
(
1200 2





008
.
0
)
600
(
300
5
.
1402
0265
.
0
)
600
(
300
1
.
4773






d
b
A
p
d
b
A
p
w
sf
f
w
s
w
Check for yielding of tension steel
0275
.
0
345
)
345
600
(
)
600
(
85
.
0
)
7
.
20
(
85
.
0
)
600
(
600
'
85
.
0 1





y
y
b
f
f
fc
p

w
f
b
w p
p
p
p 




 0266
.
0
)
008
.
0
0275
.
0
(
75
.
0
)
(
75
.
0
max
Tension steel yields at failure
DESIGN FOR BENDING : T-BEAMS (z < t)
Given: bw,t,Mu,d,center to center spacing of beams(assuming symmetrical
interior beam), L, fc’,fy
Required: As
1. Determine the effective flange width bf
bf = L/4
bf = bw + 16t
bf = center to center spacing of beams
Use the smallest value of bf
Note: if bf is given omit step 1
2. Solve for Asf
y
w
f
sf
f
t
b
b
fc
A
)
(
'
85
.
0 

)
2
(
t
d
fy
A
M sf
uf 
 
3. Solve for Muf
If Mu < Muf then z < t ,design as wide rectangular beam
4. Solve for a
)
2
(
'
85
.
0
a
d
ab
fc
M f
u 
 
5. Solve for As
y
f
s
f
a
b
fc
A
'
85
.
0

d
b
A
p
f
s

y
y
b
f
f
fc
p
)
600
(
600
'
85
.
0 1



p
p
p b 
 75
.
0
max
6. Check for yielding of tension steel
Problem :
A reinforced concrete T-beam with bf = 810 mm, d = 300 mm,
bw = 200 mm , t = 100 mm, fc’=20.7 MPa, fy = 414 MPa is to be
designed to carry an ultimate moment of 221 kN.m Determine the
required steel area.
2
2
.
2683
414
100
)
200
810
)(
7
.
20
(
85
.
0
)
(
'
85
.
0
mm
f
t
b
b
fc
A
y
w
f
sf 




m
kN
t
d
fy
A
M sf
uf .
9
.
249
10
)
2
100
300
(
414
)
2
.
2683
(
9
.
0
)
2
( 6





solution
Design as wide rectangular beam
)
2
(
'
85
.
0
a
d
ab
fc
M f
u 
 
  )
2
300
(
810
)
7
.
20
(
85
.
0
9
.
0
)
10
(
221 6 a
a 

2
300
6
.
17229
2
a
a 

0
2
.
34459
600
2


 a
a
mm
a 33
.
64
2
)
2
.
34459
(
4
)
600
(
600 2




2
5
.
2214
414
33
.
64
)
810
)(
7
.
20
(
85
.
0
'
85
.
0
mm
f
a
b
fc
A
y
f
s 


0091
.
0
)
300
(
810
5
.
2214



d
b
A
p
f
s   0213
.
0
414
)
414
600
(
600
85
.
0
)
7
.
20
(
85
.
0



b
p
0091
.
0
016
.
0
)
0213
.
0
(
75
.
0
max 


p Tension steel yields at failure
Plate # 6: Flexural design of T-beams
A reinforced concrete T-beam with d = 550 mm, bw = 300 mm , slab
thickness =100 mm is 4.8 m long and spaced 3 m on centers. The beam
support a service dead load moment of 400 kN.m (including its weight)
and service live load moment of 500 kN.m. If fc’=27.5 MPa, fy = 414 MPa
, determine the required steel area.
Design the reinforcement of a T- beam to support a uniform service
dead load of 25 kN/m and service live load of 30 kN/m on a simple span
of 8 m . Properties of the T- beam are as follows : bf = 1500 mm,
bw = 250 mm, d = 600 mm, t = 100 mm, fc’ = 20.7 MPa, fy = 345 MPa.
Reinforced concrete slab are large flat plates that are supported at its
sides by reinforced concrete beams, walls, column, steel beams or by
the ground. If the slabs are supported on opposite sides only they are
called one way slab since bending will occur on one direction only.
A one way slab is considered as a wide & shallow rectangular beam.
Reinforcing steel is usually spaced uniformly over its width. One way
slabs are analyzed by considering a one meter strip, which is assumed
independent of the adjacent strips.
Maximum spacing of reinforcement
Flexural reinforcement shall not be spaced farther apart than 3 times
the slab thickness nor 450 mm.
Minimum size of flexural reinforcement = 12 mm
ONE WAY SLAB
The area of shrinkage reinforcement shall be
where Grade 275 deformed bars are used… 0.002bt
where Grade 415 deformed bars are used… 0.0018bt
where reinforcement with fy > 415 MPa measured
at yield strain of 0.35% are used …. 0.0018(400)bt/fy
Shrinkage and temperature reinforcement
Shrinkage reinforcement shall not be spaced farther apart than 5
times the slab thickness nor 450 mm.
Minimum size of shrinkage and temperature bars = 10 mm
Design of one way slab
Given: Loads, type of slab, fc’,fy,Wc
Req’d: t, size and spacing of main bars and
temperature bars
General Procedure
1. Determine the minimum slab thickness t using table for minimum
thickness of non prestressed beams and one way slab. This
thickness should be at least 75 mm
2. Compute the weight of the slab ( this is to be added to the given
dead load)
3. Calculate the design moment Mu
4. Compute the effective depth d
d = t – covering – ½ bar diameter ( minimum of 12 mm)
5. Compute design constants
2
bd
M
R u
u


'
85
.
0 fc
f
m
y
 )
2
1
1
(
1
y
u
f
mR
m
p 


1000
1
s
A
A
S 
1000
1
t
t
A
A
S 
p > pmin
5. Solve for As
As = pbd
6. Solve for the spacing of bars
where : A1 = area of 1 bar
Use the smallest of the following
a)S b)3t c) 450 mm
7. Solve for area of temperature bars
At = 0.002bt , At = 0.0018bt, At =0.0018(400)bt/fy
8. Solve for the spacing of temperature bars
where : A1 = area of 1 temperature bar ( minimum of 10mm dia.)
Use the smallest of the following
a) St b) 5t c)450 mm
Problem:
Design a one way slab having a simple span of 3.0 m. The slab is to
carry a uniform dead load of 2.5 KPa and uniform live load of 4.2 kPa.
fc’ = 27.6 MPa , fy = 276 MPa for main bars and temperature bars.
Concrete weighs 23.5 kN/m3
)
700
4
.
0
(
20
y
f
L
t 

Solution
mm
mm
t 75
120
)
700
276
4
.
0
(
20
3000




Slab thickness
Weight of Slab (assuming 1 m wide strip)
m
kN
Ws /
82
.
2
12
.
0
)
1
(
5
.
23 

m
kN
WD /
32
.
5
82
.
2
5
.
2 


Total dead load
Factored uniform load
m
kN
W
W
W L
D
u /
59
.
14
)
2
.
4
(
7
.
1
)
32
.
5
(
4
.
1
7
.
1
4
.
1 




Design Moment
m
kN
L
W
M u
u .
41
.
16
8
)
3
(
59
.
14
8
2
2



Effective depth assuming 12 mm bar
mm
t
d 94
2
12
20
120
2
1
20 





 
MPa
bd
M
R u
u 06
.
2
)
94
)(
1000
(
9
.
0
)
10
(
41
.
16
2
6
2




76
.
11
)
6
.
27
(
85
.
0
276
'
85
.
0



fc
f
m
y
00782
.
0
)
276
)
06
.
2
)(
76
.
11
(
2
1
1
(
76
.
11
1




p
00507
.
0
276
4
.
1
4
.
1
min 


y
f
p
2
4
.
735
94
)
1000
(
00782
.
0 mm
pbd
As 


mm
t
mm
say
A
A
S
s
360
3
150
7
.
153
)
1000
(
4
.
735
4
)
12
(
1000
2
1






Using 12 mm bars
2
240
120
)
1000
(
002
.
0
002
.
0 mm
bt
At 


mm
t
mm
say
A
A
S
t
t 600
5
320
327
)
1000
(
240
4
)
10
(
1000
2
1






Using 10 mm bars
Temperature bars
12 mm main bars @ 150 mm o.c
10 mm temp bars @ 320 mm o.c
120 mm
Problem:
Design a 4 m long one way slab with one end discontinuous as shown in
the figure . The slab is to carry a uniform dead load of 3.6 KPa
and uniform live load of 4.0 kPa. fc’ = 20.7 MPa , fy = 415 MPa for
main bars and fy = 276 MPa for temperature bars.
Concrete weighs 22.56 kN/m3.
4m 4m
column column column
C B A
mm
say
L
t 170
67
.
166
24
4000
24



Weight of Slab (assuming 1 m wide strip)
m
kN
Ws /
83
.
3
17
.
0
)
1
(
56
.
22 

m
kN
WD /
43
.
7
83
.
3
6
.
3 


Total dead load
Factored uniform load
m
kN
W
W
W L
D
u /
2
.
17
)
0
.
4
(
7
.
1
)
43
.
7
(
4
.
1
7
.
1
4
.
1 




Design Moments
m
kN
L
W
M u
A .
2
.
17
16
)
4
(
2
.
17
16
2
2




m
kN
L
W
M u
B .
66
.
19
14
)
4
(
2
.
17
14
2
2



m
kN
L
W
M u
C .
58
.
30
9
)
4
(
2
.
17
9
2
2




Effective depth assuming 12 mm bar
mm
t
d 144
2
12
20
170
2
1
20 





 
MPa
Ru 92
.
0
)
144
)(
1000
(
9
.
0
)
10
(
2
.
17
2
6


MPa
Ru 05
.
1
)
144
)(
1000
(
9
.
0
)
10
(
66
.
19
2
6


MPa
Ru 635
.
1
)
144
)(
1000
(
9
.
0
)
10
(
58
.
30
2
6


58
.
23
)
7
.
20
(
85
.
0
415
'
85
.
0



fc
f
m
y
00337
.
0
00228
.
0
)
415
)
92
.
0
)(
58
.
23
(
2
1
1
(
58
.
23
1
use
pA 



00337
.
0
415
4
.
1
4
.
1
min 


y
f
p
00337
.
0
00261
.
0
)
415
)
05
.
1
)(
58
.
23
(
2
1
1
(
58
.
23
1
use
pB 



00415
.
0
)
415
)
635
.
1
)(
58
.
23
(
2
1
1
(
58
.
23
1




C
p
2
min 28
.
485
144
)
1000
(
00337
.
0 mm
bd
p
A
A sB
sA 



mm
mm
say
A
A
S
s
450
230
233
)
1000
(
28
.
485
4
)
12
(
1000
2
1





Using 12 mm bars
2
6
.
597
144
)
1000
(
00415
.
0 mm
bd
p
A c
sC 


mm
mm
say
A
A
S
s
450
180
189
)
1000
(
6
.
597
4
)
12
(
1000
2
1





Using 12 mm bars
2
340
170
)
1000
(
002
.
0
002
.
0 mm
bt
At 


mm
mm
say
A
A
S
t
t 450
230
9
.
230
)
1000
(
340
4
)
10
(
1000
2
1





Using 10 mm bars
Temperature bars
C B A
12 mm continuous bent bars at 230 mm 0.C
12 mm extra bars at 230 mm 0.C
10 mm temperature
bars at 230 mm 0.C
170mm
Design a 4.5 m long one way slab with one end discontinuous as shown in
the figure . The slab is to carry a uniform dead load of 4.2 KPa
and uniform live load of 4.5 kPa. fc’ = 20.7 MPa , fy = 345 MPa for
main bars and fy = 276 MPa for temperature bars. Concrete weighs
23.5 kN/m3. Draw layout of bars.
4.5m 4.5m
column column column
Plate # 7: Design of one way slab
Design a one way cantilever slab of 2.0 m span . The slab is to
carry a uniform dead load of 2.4 KPa and uniform live load of 3.6 kPa.
fc’ = 27.6 MPa , fy = 415 MPa for main bars and temperature bars.
Concrete weighs 22.56 kN/m3. Draw layout of bars.
Prelim Exam
A rectangular beam has b =300 mm, d = 500 mm, As = 6 of 32 mm,
fc’ =27.6 MPa,fy =414 MPa. If the beam is simply supported on a span of 6 m,
determine the concentrated live load that could be applied at the third points on
the beam if steel covering is 80 mm and concrete weighs 23.5 kN/m3.
A doubly reinforced rectangular concrete beam has b =350 mm,d =600mm,
fc’=27.5 MPa, fy = 345 MPa, As =3625 mm2, As’ = 775mm2 ,covering for tension
and compression bars 80 mm and 63 mm respectively. If the beam is an interior
span of a three span continuous beam supporting a service dead load of 20 kN/m
(weight included) determine the maximum uniformly distributed live load it can
support on an average clear span of 5.0 m. Use NSCP moment coeffecients.
400 mm
75 mm
400 mm
3 of 16 mm
Determine the ultimate moment capacity
of the triangular beam shown in figure.
fc’ =20.7 MPa, fy = 345 MPa.
mm
b
fc
f
A
a
y
s
18
.
120
350
)
5
.
27
(
85
.
0
)
345
(
2850
'
85
.
0
1



y
s f
MPa
a
d
a
f 




 65
.
332
18
.
120
)])
63
(
85
.
0
[
18
.
120
(
600
)
(
600 '
1
' 
Compression steel does not yields at failure
2
1 2850
775
3625
' mm
As
As
As 




∑Fx =0 0.85fc’ab + As’fs’ = Asfy
0.85(27.5)350a + 775fs’ = 3625(345)
10.56a +fs’ = 1613.7
fs’ =1613.7 – 10.56 a EQ.1
Solution to #2
a
a
a
d
a
fs
)])
63
(
85
.
0
[
(
600
)
(
600 '
1
' 




2
.
)
55
.
53
(
600
'
EQ
a
a
fs 


2
.
1
. EQ
EQ 
a
a
a
)
55
.
53
(
600
56
.
10
7
.
1613



32130
600
56
.
10
7
.
1613 2


 a
a
a
0
32130
7
.
1013
56
.
10 2


 a
a
0
6
.
3042
96
2


 a
a
mm
a 12
.
121
2
)
6
.
3042
(
4
)
96
(
96 2




12
.
121
)
55
.
53
12
.
121
(
600
' 

s
f
y
s f
MPa
f 
 7
.
334
'
)
2
(
1
1
a
d
f
As
Mu y 
 
)
'
(
'
'
2 d
d
fs
As
Mu 
 
6
1
10
)
2
12
.
121
600
)(
345
)
2850
(
9
.
0 

Mu
m
kN
Mu .
36
.
477
1 
6
2
10
)
63
600
(
7
.
334
)
775
(
9
.
0 

Mu
m
kN
Mu .
36
.
125
2 
m
kN
Mu
Mu
Mu .
72
.
602
2
1 


2
'
max 6
.
6500
'
75
.
0 mm
f
fs
A
bd
p
A
y
s
b
s 


0365
.
0
345
)
345
600
(
)
600
(
7
.
334
)
5
.
27
(
85
.
0



b
p
#1
p=0.03217
pmax = 0.021 tension steel does not yield at failure
a = 260.22 mm
fs =379.92 MPa
Mu = 610.31 kN.m
WD = 4.1 kN/m
P = 171.9 kN
#2
a = 121.12 mm compression steel does not yield at failure
fs’=334.7 MPa
Mu = 602.72 kN.m
WL = 125.34 kN.m
400mm
75 mm
400 mm
3 of 16 mm
Ac
0.003
s

c
375 - c
x
a
C=0.85fc’Ac
T=Asfy
375 - 2a/3
Solution
2
2
2
.
603
4
)
16
(
3
mm
As 


Assume that steel yields at failure( subject to checking)
C=T 0.85fc’Ac=Asfy 0.85(20.7)Ac =603.2(345) Ac =11,827.45 mm2
ax
Ac
2
1

475
400

a
x
1
.
842
.
0 EQ
a
x 

)
842
.
0
(
2
1
45
.
11827 a
a
 mm
a 6
.
167

mm
a
c 17
.
197
85
.
0
6
.
167
1




From the strain diagram
c
c
s 

400
003
.
0

2000000
s
s
f


17
.
197
17
.
197
400
003
.
0
)
200000
(


s
f
y
s f
MPa
f 
 22
.
617 tension steel yields at failure
By similar triangles
m
kN
a
f
A
M y
s
u .
91
.
53
10
)
3
6
.
167
]
2
[
400
(
345
)
2
.
603
(
9
.
0
)
3
2
375
( 6





SHEAR AND DIAGONAL TENSION
Another type of beam failure other than bending is shear failure.
Shear failure are very dangerous if it happens before flexure failure
because they can occur without warning
BASIC CODE REQUIREMENT
Factored shear strength Vu shall be equal or less than design shear ФVn
n
u V
V 

s
c
n V
V
V 

where:
Vc = shear carried by concrete
Vs = shear carried by the stirrups
Vu = factored shear strength
SHEAR STRENGTH PROVIDED BY CONCRETE
d
b
'
fc
6
1
V w
c 
d
b
'
fc
3
.
0
d
b
7
M
d
V
p
120
'
fc
V w
w
u
u
w
c 








0
.
1
M
d
V
u
u

Shear strength provided by concrete subject to shear and flexure
only;
or in more detailed calculation
where : '
fc is in MPa and shall not exceed 0.7 MPa
bw = width of the beam web for T-beams,
width of the beam for rectangular beams
d =effective depth of the beam
pw = As/bwd
Spacing limits of shear reinforcement
Spacing S of shear reinforcement placed perpendicular to the axis
of the member shall not exceed d/2 for nonprestressed members
and 3/4 h for prestressed members, nor 600mm. When d
b
'
fc
33
.
0
V w
s 
maximum spacing given by the above limits shall be reduced by
one half.
2
V
V c
u


Minimum shear reinforcement
When
except in the following conditions:
a)slabs and footings
b)concrete joist construction
c)beams with total depth not greater than 250 mm,2.5 times flange
thickness or half the width of the web whichever is greatest.
, minimum area of shear reinforcement
shall be provided in all reinforced concrete flexural members
Where shear reinforcement is required, the minimum area of shear
reinforcement shall be computed by:
y
w
v
f
3
S
b
A 
Where:
Av =cross sectional area of the stirrups
taken twice for u-shaped stirrups
d
b
'
fc
3
2
S
d
f
A
V w
y
v
s 

Shear strength provided by reinforcement
a) When shear reinforcement perpendicular to
the axis of the member is used
b) When inclined stirrups are used as shear reinforcement
d
b
'
fc
3
2
S
)
cos
(sin
d
f
A
V w
y
v
s 




CRITICAL SECTION FOR BEAM SHEAR
Maximum factored shear force Vu maybe computed in accordance
with the following provided that:
a) the support reaction ,in the direction of the applied shear
introduces compression on the end regions of member
no concentrated load occur between the face of the support and
location of the critical section.
b) For non prestressed members,sections located less than a distance
of d from the face of the support maybe designed for the same shear
Vu as that computed at a distance of d
Size of stirrups
Main bars smaller than or equal to 32 mm diameter: 10 mm
Main bars greater than 32 mm diameter : 12 mm
Shear carried by stirrups
c
u
s V
V
V 


PROBLEMS
Determine the minimum cross section required for a rectangular
beam to satisfy the condition that web reinforcement be neglected
Vu = 72 kN,fc’ =27.6MPa. Assume d = 1.6b.
2
V
V c
u


2
)
6
(
bd
'
fc
Vu


2
)
6
(
)
b
6
.
1
(
b
'
fc
Vu


2
)
6
(
)
b
6
.
1
(
6
.
27
85
.
0
)
1000
(
72
2

)
6
.
1
(
6
.
27
86
.
0
)
12
(
72000
b 
mm
350
b 
mm
560
350
)
6
.
1
(
d 

A rectangular beam with b = 270 mm, d = 500 mm is provided with 10
mm vertical stirrups with fy = 276 MPa. Assuming fc’ = 21 MPa;
a) Determine the required spacing if Vu = 40 kN
b) Determine the required spacing if Vu = 92 kN
c) Determine the required spacing if Vu = 236 kN
d) Determine the required spacing if Vu = 473 kN
Solution
Shear carried by concrete
d
b
'
fc
6
1
V w
c 
N
108
,
103
500
)
270
(
21
6
1
Vc 

N
43821
2
)
103108
(
85
.
0
2
Vc



2
V
N
42000
V c
u



a) Stirrups not necessary
N
92000
Vu 
b)
c
u
s V
V
V 


N
3
.
5127
103108
85
.
0
92000
Vs 


2
2
v mm
1
.
157
4
)
10
(
2
A 


mm
3
.
4228
3
.
5127
500
)
276
(
1
.
157
V
d
f
A
S
s
y
v



N
206216
)
500
)(
270
(
21
3
1
d
b
'
fc
3
1
w 

mm
250
2
500
2
d
S 


N
236000
Vu 
c)
c
u
s V
V
V 


N
174539
103108
85
.
0
236000
Vs 


mm
120
mmsay
124
174539
500
)
276
(
1
.
157
V
d
f
A
S
s
y
v



d
b
'
fc
3
1
V w
s 
Use S = 250 mm
N
d
b
fc w 206216
'
3
1

mm
d
S 250
2
500
2



d
b
fc
V w
s '
3
1

Use S = 120 mm
N
Vu 473000

d)
c
u
s V
V
V 


N
Vs 5
.
453362
103108
85
.
0
473000



N
d
b
fc w 206216
'
3
1

N
d
b
fc w 412432
'
3
2

d
b
fc
V w
s '
3
2

Beam size is inadequate for shear
d
b
'
fc
6
1
V w
c 
2
V
V c
u 

2
V
V c
u 

Design of vertical stirrups
Given :bw or b,d,fc’,fy, beam loading & span,
Required: size and spacing of stirrups
General Procedure
1.Calculate factored shear force VU at the critical section.
2.Calculate shear strength of concrete:
provide stirrups
stirrups not necessary
2
c
u
V
V 

c
u
s
V
V
V 


d
b
fc
V w
s '
3
2

s
y
v
V
d
f
A
S 
d
b
fc w
'
3
1
d
b
fc
V w
s
'
3
1

d
b
fc
V w
s
'
3
1

Assuming that
3. Calculate the shear strength provided by the stirrups
Note: if
4. Calculate the required spacing of stirrups
Spacing is the smallest of:
a)
Calculate
b ) S = d/2 when
c ) S = d/4 when
5. Check for minimum required area of stirrups
y
w
v
f
S
b
A
3

Note: Av must be less than or equal to
the actual area of Stirrups
adjust the beam size
Problem:
A simply supported reinforced concrete beam 230 mm wide with an effective
depth of 500 mm has a span of 6m. The beam carries a dead load of 9
kN/m ( including its own weight) and live load of 18 kN/m applied throughtout
its entire span. Determine the required spacing of 10 mm stirrups. fc’ = 28
MPa ,fy= 345 MPa.
N
d
b
fc
V w
c 101420
500
)
230
(
28
6
1
'
6
1



wu
6 m
Wu =1.4(9)+1.7(18)=43.2 kN/m R =Wu(3)=43.2(3)=129.6kN
R
43.2 kN/m
R=129.6kN
0.5
VU
Shear force at crtical section
Vu = 129.6-0.5(43.2)=108kN =108000N
N
Vc
5
.
43103
2
)
101420
(
85
.
0
2



2
c
u
V
V


101420
85
.
0
108000



 c
u
s V
V
V

N
Vs 25639

2
2
1
.
157
4
)
10
(
2
mm
Av 


mm
V
d
f
A
S
s
y
v
1056
25639
500
)
345
(
1
.
157



N
d
b
fc w 202840
'
3
1

mm
d
S 250
2
500
2



d
b
fc
V w
s '
3
1

mm
S 250

Use
y
w
v
f
S
b
A
3

2
2
1
.
157
56
.
55
)
345
(
3
)
250
(
230
mm
mm
Av 


Minimum required area
Use 10 mm u shaped stirrups spaced at 250 mm on centers
PLATE # 7 : SHEAR
A simply supported reinforced concrete beam 250 mm wide with an
effective depth of 600 mm has a span of 7.5m. The beam carries a
dead load of 12 kN/m ( including its own weight) and live load of 24
kN/m applied throughtout its entire span. Determine the required
spacing of 10 mm stirrups. fc’ = 28 MPa ,fy= 345 MPa.
A rectangular beam with b = 300 mm, d = 550 mm is provided with 10
mm vertical stirrups with fy = 276 MPa. Assuming fc’ = 21 MPa;
a) Determine the required spacing if Vu = 50 kN
b) Determine the required spacing if Vu = 220 kN
c) Determine the required spacing if Vu = 360 kN
d) Determine the required spacing if Vu = 500kN
Design of beams for bending shear and deflection
General procedure
1. Design section and reinforcement by bending
2. Design stirrups by shear
3. Check adequacy of design by deflection
Problem :
Design a rectangular beam for a 6 m simple span to support a
uniform dead load of 18 kN/m(weight included) and uniform live load
of 12 kN/m applied along it’s entire length. fc’=20 MPa, fy = 345 MPa
for main bars and stirrups,Wc=23.5 kN/m3 ,p=0.6pmax Consider
immediate deflection due to live load only with an allowable of 1/360 of
span length. fr=3.1 MPa n=10,Ec=20000 MPa. Use 100 mm covering.
29
.
20
)
20
(
85
.
0
345
'
85
.
0



fc
f
m
y
Solution
m
kN
Wu /
6
.
45
)
12
(
7
.
1
)
18
(
4
.
1 


m
kN
L
W
M u
u .
2
.
205
8
)
6
(
6
.
45
8
2
2



02659
.
0
345
)
345
600
(
)
600
(
85
.
0
)
20
(
85
.
0
)
600
(
600
'
85
.
0 1





y
y
b
f
f
fc
p

012
.
0
02659
.
0
)
75
.
0
(
6
.
0
)
75
.
0
)(
6
.
0
( 

 b
p
p
MPa
pm
pf
R y
u 635
.
3
)
2
]
29
.
20
[
012
.
0
1
)(
345
(
012
.
0
)
2
1
( 




6
.
3
)
500
)(
250
(
9
.
0
)
10
(
5
.
202
2
6
2




bd
M
R u
u
mm
b
R
M
d
u
u
500
250
)
635
.
3
(
9
.
0
)
10
(
5
.
202 6




01186
.
0
)
345
6
.
3
)
29
.
20
(
2
1
1
(
29
.
20
1
)
2
1
1
(
1







y
u
f
mR
m
p
2
5
.
482
,
1
500
)
250
(
01186
.
0 mm
pbd
As 


Try b = 250 mm
pcs
4
4
)
25
(
5
.
1482
N 2



N
d
b
fc
V w
c 93169
500
)
250
(
20
6
1
'
6
1



wu
6 m
R =Wu(3)=45.6(3)=136.8kN
R
45.6 kN/m
0.5
VU
Shear force at critical section
Vu = 136.8- 0.5(45.6)=114kN =114000N
R=136.8
N
Vc
8
.
39596
2
)
93169
(
85
.
0
2



2
c
u
V
V


93169
85
.
0
114000



 c
u
s V
V
V

N
Vs 40949

2
2
1
.
157
4
)
10
(
2
mm
Av 


mm
V
d
f
A
S
s
y
v
661
40949
500
)
345
(
1
.
157



Using 10 mm u shape stirrups
N
d
b
fc w 186338
'
3
1

mm
d
S 250
2
500
2



mm
S 250

Use
y
w
v
f
S
b
A
3

2
2
1
.
157
56
.
55
)
345
(
3
)
250
(
230
mm
mm
Av 


Minimum required area
Gross moment of inertia
4
6
3
3
10
4500
12
)
600
(
250
12
mm
x
bh
Ig 


m
kN
mm
N
x
y
I
f
M
t
g
r
cr .
5
.
46
.
10
5
.
46
300
10
)
4500
(
1
.
3 6
6




b=250 b
x
500-x
nAs
As
d=500
2
2
1570
4
)
20
(
5
mm
As 


Transformed section
100
)
(
2
2
x
d
nA
x
b s 
 )
500
)(
1570
(
10
2
250
2
x
x


x
x 6
.
125
62800
2

 0
62800
6
.
125
2


 x
x
mm
x 6
.
195
2
)
62800
(
4
)
6
.
125
(
6
.
125 2





2
3
2
3
)
6
.
195
500
)(
1570
(
10
3
)
6
.
195
(
250
)
(
3





 x
d
nA
bx
I s
cr
4
6
10
3
.
078
,
2 mm
x
Icr 
a) m
kN
L
W
M L
a .
54
8
)
6
)(
12
(
8
2
2



6
3
6
3
10
3
.
2078
54
5
.
46
1
10
4500
54
5
.
46
x
x
Ie























4
6
10
6
.
624
,
3 mm
x
Ie 
Effective moment of inertia
cr
a
cr
g
a
cr
e I
M
M
I
M
M
I

























3
3
1
Instantaneous deflection due to live load
mm
I
E
L
W
e
c
L
79
.
2
)
10
(
6
.
3624
)
20000
(
384
)
6000
)(
12
(
5
384
5
6
4
4




allowable deflection due to live load
mm
79
.
2
mm
67
.
16
360
6000
360
L
allowable 




Section is adequate
Plate #8:Design of beams for bending shear and deflection
Make a complete design of a rectangular beam reinforced for tension
only for a 7.5 m simple span to support a uniform dead load of
24 kN/m(weight included) and uniform live load of 18 kN/m applied
along it’s entire length. fc’=20 MPa, fy = 300 MPa for main bars and
stirrups,Wc=23.5 kN/m3 ,p=0.18(fc’/fy). Consider immediate deflection
due to total load with an allowable of 1/360 of span length.
Es = 200000MPa,Ec=18500 MPa, . Use 100 mm covering.
'
7
.
0 fc
fr 
BOND AND DEVELOPMENT LENGTH
Bond
In reinforced concrete, concrete and steel act as a unit. For
this to happen, there must be absolutely no slippage of the
bars in relation to the surrounding concrete. The steel and
concrete must stick or bond together so that there will be
transfer of stress from steel to concrete and vice-versa.
Failure of transfer of stress makes the concrete an
unreinforced member thus it will be subject to collapse.
Development Length
Bar development length is the embedment necessary to
assure that the bar can be stressed to its yield point with
some reserved to ensure member toughness.
T = Abfy
F
Ld
db
Basic concept of development length
ΣF = 0
F = T
y
2
b
d
b f
d
4
L
d



b
y
d d
4
f
L


Where : μ = average bond stress
Ld = minimum development length
The code however provides the basic development length
Ldb for various conditions. The values provided are modified
for different conditions. Thus the minimum development length
provided by the code is;
Ld = Ldb(applicable modification factors) ≥ 300 mm
'
fc
f
A
02
.
0
L
y
b
db 
'
fc
f
25
L
y
db 
'
fc
8
f
d
3
L
y
b
db 
Basic Development Length of bars in tension
For 32 mm bar & smaller and deformed wire
For 36 mm bar
For deformed wire
but not to be taken less than 0.6dbfy
Basic Development Length of bars in compression
but not to be taken less than 0.04dbfy
'
fc
f
d
24
.
0
L
y
b
db 
Where
Ldb = basic development length ( mm)
Ab = area of one bar (mm2)
db = diameter of one bar (mm)
fc’,fy in MPa
Modification Factors for bars in tension
provided
A
required
A
s
s
Condition Modification
Factor,m
a) For bars in beams or column with a minimum cover not less than specified by the code 1.0
b) For bars in beams or column with transverse reinforcement satisfying the requirement of the code 1.0
c) Bars in beams or column with a clear spacing not less than 3db 1.0
d) Bar in the inner layer of slab or wall reinforcement and with a clear spacing not less than 3db 1.0
e) Any bars with cover of not less than 2db and with a clear spacing not less than 3db 1.0
f) For bars with cover of db or less with a clear spacing of 2db or less 2.0
g) For bars not included in items a to f 1.4
h) For 32 mm bar and smaller with clear spacing not less than 5db and with cover from face of the
member to edge bar, measured in the plane of the bar, not less than 2.5db, the factors from items
a to g may be multiplied by 0.8
0.8
i) Top reinforcement 1.3
j) Lightweight aggregate concrete 1.3
K)Lightweight aggregate concrete when fct is specified
l) For reinforcement enclosed within special reinforcement not less than 6 mm diameter and not
more than 100 mm pitch, within 12 mm or larger circular ties spaced at not more than
100 mm on center or larger ties or stirrups spaced not more than 100 mm on center and arranged
such that alternate bars shall have supported by the corner of a tie hoop with an included angle
not more than 1350,the factors in items a through g maybe multiplied by 1.8
1.8
m) Excess Reinforcement. Development length maybe reduced where reinforcement in a flexural
member is more than required by analysis
ct
f
fc
8
.
1
'
Modification Factors for bars in Compression
provided
A
required
A
s
s
Condition
Modification
Factor,m
a) Excess reinforcement. Reinforcement more than
that required by analysis
b) Spiral and Ties. Reinforcement enclosed within
spiral reinforcement not less than 6 mm diameter
and not more than 100 mm pitch or within 10 mm
ties and spaced not more than 100 mm on center.
0.75
Problems
A rectangular beam 200 mm wide and 400 mm deep is reinforced with
3 of 22 mm tension top bars with fc’ = 20.7 MPa and fy = 275 MPa.
Calculate the required development length.
'
02
.
0
fc
f
A
L y
b
db 
Solution
mm
Ldb 460
7
.
20
275
4
)
22
(
02
.
0
2



mm
Ldb 363
)
275
)(
22
(
06
.
0 
 mm
Ldb 460

Modification Factor
Top bar = 1.3
Required development length
Use
mm
L
L db
d 598
)
460
(
3
.
1
3
.
1 


y
b
db f
d
L 06
.
0

A rectangular beam 250 mm wide and 500 mm deep is reinforced with 4 of 25 mm
with fc’ = 27 MPa and fy = 345 MPa. If the member is made up of lightweight
aggregate with fct = 2.88 MPa ,Calculate the required development length.
'
02
.
0
fc
f
A
L y
b
db 
Solution
mm
Ldb 652
27
345
4
)
25
(
02
.
0
2



mm
Ldb 518
)
345
)(
25
(
06
.
0 

mm
Ldb 652

Use
y
b
db f
d
L 06
.
0

Modification Factor
Lightweight concrete
With specified fct
00
.
1
)
88
.
2
(
8
.
1
27
8
.
1
'


ct
f
fc
db
d L
L 0
.
1

)
652
(
0
.
1

d
L
mm
Ld 652

A cantilever beam 320 mm wide and 500 mm deep is reinforced with 3 of 36 mm
straight top bars with fc’ = 27 MPa and fy = 345 MPa. Calculate required
development length.
Solution
Modification Factor
Top bar = 1.3
Required development length
mm
L
L db
d 2158
)
1660
(
3
.
1
3
.
1 


'
25
fc
f
L y
db 
mm
Ldb 1660
27
)
345
(
25


A rectangular beam 250 mm wide and 410 mm deep is reinforced with
3 of 20 mm compression bars with fc’ = 20.7 MPa and fy = 275 MPa.
Calculate the required development length.
'
24
.
0
fc
f
d
L y
b
db 
mm
Ldb 254
7
.
20
275
)
20
(
24
.
0


mm
Ldb 220
)
275
)(
20
(
04
.
0 

mm
Ldb 254

Use
y
b
db f
d
L 04
.
0

No applicable modification factor mm
Ld 254

Plate # 9 Development Length
A rectangular beam 300 mm wide and 450 mm deep is reinforced with 4 of 25 mm
tension top bars with fc’ = 20.7 MPa and fy = 345 MPa. Calculate the required
development length.
A rectangular beam 200 mm wide and 350 mm deep is reinforced with 3 of 20 mm
with fc’ = 30 MPa and fy = 415 MPa. If the member is made up of lightweight
aggregate with fct = 2.4 MPa ,Calculate the required development length.
A cantilever beam 300 mm wide and 450 mm deep is reinforced with 6 of 22 mm
straight top bars with fc’ = 20.7 MPa and fy = 415 MPa. Calculate required
development length.
A rectangular beam 350 mm wide and 600 mm deep is reinforced with 4 of 32 mm
compression bars with fc’ = 20.7 MPa and fy = 275 MPa. Calculate the required
development length.
Development Length of Flexural Reinforcement
Tension reinforcement in flexural members maybe developed by :
a) bending across the web to be anchored
b) made continues with reinforcement on opposite face ofthe member
Critical points for development length in flexural members are at points
of maximum stress and at points where the adjacent reinforcements
terminates or is bent. Reinforcement shall extend beyond the point at
which it isno longer required to resist flexure for a distance equal to the
effective depth of member or 12db whichever is greater, except at
supports of simple beam and free end of cantilevers. Continuing
reinforcement shall have an embedment length not less than the
development length beyond the point where bent or terminated tension
reinforcement is no longer required to resist flexure
a
u
n
l
V
M
Ld 

Development of positive moment bars
The code stipulates that at least one third the positive
reinforcement in simple members and one fourth the positive
reinforcement in continuous members shall extend along the
same face in the member into the supports. In beams such
reinforcement shall extend into the support at least 150mm.
At simple supports and at points of inflection,positive
moment tension reinforcement shall be limited to a diameter
such that Ld computed by
Where:
Mn = nominal moment strength assuming that all reinforcement
at section are stressed to specified yield strength fy
Vu = factored shear force at supports for simple beams and at
points of inflection for continuous beams
la = end anchorage ;at support shall be the embedment length beyond
the center of support; at point of inflection limited to the effective depth
or 12db whichever is greater.
Value of Mn/Vu maybe increased by 30% when the ends of the
reinforcement are confined by a compressive reaction such as a
column below but not when the beam frame into the girder.
a
u
n
l
V
M
Ld 
 3
.
1
a
u
n
l
V
M
Ld 
 3
.
1 a
u
n
l
V
M
Ld 

When or Use smaller bar
Size or increase
End anchorage la
)
2
(
a
d
f
A
M y
s
n 

b
fc
f
A
a
y
s
'
85
.
0

Where:
Max Ld Max Ld
la 1.3Mn/Vu Mn/Vu la
tension bars
at least 1/3 of positive reinforcement
VU
la is the larger
Max Ld
or 12db la Mn/Vu tension bars
at least ¼ of positive moment reinforcement
.
CL
Point of inflection
150 mm min
Value of d
Development length for Negative moment Reinforcement
Negative moment reinforcement should have an embedment length into the span to
develop the calculated tension in the bar,or a length equal to the effective depth of the
member or 12db whichever is the greatest. At least one third of the total negative
reinforcement should have an embedment length beyond the point of inflection not less
than the effective depth of the member or 12 db or 1/16 of the clear span whichever is
greatest.
Development length for Negative moment
Ld
` the larger value of 12db,d or Ln/16
at least 1/3 of the total Negative moment reinforcement
Clear span =Ln
Point of inflection
Ln1/4 0.3 Ln1 0.3 Ln2
Ln1/8 Ln1/8 Ln2/8
Ln1 Ln2
150 mm min 150 mm min
Recommended bar details for continuous beams
12db
r r
D
900 hook 4db
db
bend diameter,D =2r 1800 hook
D =6db for 10 mm through 25 mm bars
D =8db for 28 mm through 32 mm bars
D =10db for 36 mm bars
Hooks
If sufficient space is not available to anchor tension bars by running
them straight for the required development length as required by the
code, hooks maybe used.
Ldb STANDARD HOOKS
65 mm min
12db
6db for 36 mm bar
4db 4db for 10 mm through 25 mm bars
5db for 28 mm through 32 mm bars
Development of standard hooks
Basic Development Length of standard hooks
'
100
fc
d
l b
hb 
Actual Development Length of standard hooks
ldh = lhb(applicable modification factors) ≥8db nor 150 mm
Modification Factors
1. If the reinforcing bar has an fy other 415 MPa, lhb is to be multiplied by fy/415
2. When 900 hooks and 32 mm or smaller bar are used and when 60 mm or
more of side cover normal to the hook is present, together with at least 50 mm
cover for the bar extension, lhb is to be multiplied by 0.7.
3. When hooks made of 32 mm and smaller are enclosed vertically and
horizontally within ties or stirrups ties spaced no farther apart than 3db, lhb is to be
multiplied by 0.8
4. Where the amount of flexural reinforcement exceeds the theoretical amount
required and where the specifications being used do not specifically require that
development lengths be based on fy the value of lhb is to be multiplied by
Asrequired/As provided.
5. When light weight concrete are used, apply a modification factor of 1.3
6. For bars being developed by standard hook at discontinuous end with side
cover and top or bottom cover over hook less than 60 mm,hooked bar shall be
enclosed within ties or stirrups spaced along the full development length ldh not
greater than 3db where db is the diameter of hooked bar. For this case, the
factor mentioned in item 3 shall not apply.
Splices of Reinforcement
Splicing maybe done by welding, by mechanical connections or most
frequently by lapping bars. Lapped bars are usually tied in contact.
Lap splice must not be used for bars larger than 32 mm.
Splices in tension
The minimum length of lap for tension lap splice shall be as required for
class A or class B, but shall not be less than 300 mm, where
Class A splice 1.0Ld
Class B splice 1.3Ld
Lap splices of deformed bars and wires in tension shall be class B splice
except that class A splice are allowed when
a)the area of the reinforcement provided is at least twice than that
required by analysis.
b)One half or less of the total reinforcement is spliced within the
required lap strength.
Splices of deformed bars in compression
Compression bars maybe spliced by lapping,end bearing, welding or
mechanical devices. The minimum length of such bars should be the
development length Ld but may not be less than 0.07dbfy for fy of 415
MPa or less, or (0.13fy -24)db for fy greater than 415 MPa.
Problems
A simply supported beam is reinforced with three of 28 mm
bars with fc’= 27.6 MPa and fy = 275 MPa. Assuming that side, bottom and top
cover to be greater than 60 mm, determine the following:
a) the required development length if a 900 hook is used
b) the required development length if a 1800 hook is used
ldh
ldh
Solution
Using a 900 hook
'
100
fc
d
l b
hb 
mm
lhb 533
6
.
27
)
28
(
100


Modification factor for fy other than 415 MPa
6626
.
0
415
275
415



y
f
m
Required development length
Ldh =0.6626(533)0.7=247.2 say 250 mm
Modification factor for 900 hook = 0.7
ldh
Solution
Using a 1800 hook
'
100
fc
d
l b
hb 
mm
lhb 533
6
.
27
)
28
(
100


Modification factor for fy other than 415 MPa
6626
.
0
415
275
415



y
f
m
Required development length
Ldh =0.6626(533)=353.17 say 355 mm
Problem
For the simply supported beam shown in figure below, investigate whether the
bars size is satisfactory for the required development length. The beam is
reinforced with 4 of 25 mm bars . fc’ = 20.7 MPa and fy = 414 MPa, Vu = 270 kN.
The beam is made up of normal sand concrete and the reaction produces
compression on concrete.
300mm
600 mm
175 mm
Solution
Basic development length
'
02
.
0
fc
f
A
L y
b
db 
mm
Ldb 894
7
.
20
414
4
)
25
(
02
.
0
2



mm
Ldb 621
)
414
)(
25
(
06
.
0 

y
b
db f
d
L 06
.
0

mm
Ldb 894

Use
Since there is no applicable
modification factor
mm
Ld 894

)
2
(
a
d
f
A
M y
s
n 

b
fc
f
A
a
y
s
'
85
.
0

mm
a 154
300
)
7
.
20
(
85
.
0
414
4
)
25
(
4
2



)
2
154
600
(
414
4
)
25
(
4
2



n
M
mm
N
x
Mn .
10
14
.
425 6

a
u
n
l
V
M

3
.
1
mm
x
2
.
2221
175
)
1000
(
270
10
14
.
425
3
.
1
6


mm
mm 2
.
2221
894 
a
u
n
d l
V
M
L 
 3
.
1
bars are adequate
A rectangular beam has b = 380 mm and d = 500 mm. The beam is simply
supported over a length of 6 m measured from the center of the support and is
reinforced for tension with 6 of 25 mm diameter bars. Assuming fc’ = 21 MPa,
fy = 276 MPa, draw the details of the bar showing the cut off points of each bar.
The beam carries a uniformly distributed load throughout its length and is made up
of normal sand- gravel concrete. The reactions at the ends produces compression
on concrete. Maximum value of la is 150 mm. Vu = 210 kN at support.
Solution
Basic development length
'
02
.
0
fc
f
A
L y
b
db 
mm
Ldb 591
21
276
4
)
25
(
02
.
0
2



mm
Ldb 414
)
276
)(
25
(
06
.
0 

y
b
db f
d
L 06
.
0

mm
Ldb 591

Use
Since there is no applicable
modification factor
mm
Ld 591

x1
x2
L2
L1
L3
3m
CL
Parabolic
Moment
diagram
2 of 25
BAR LAYOUT & CUT OFF POINTS
3
y
3
2y
y
Location of cut off points
By square property of parabola
Ld
mm
x
L 




 2950
500
2450
500
1
1
y
y
x 3
32
2
2

y
y
x 3
2
32
2
1

m
x 73
.
1
2 
Reinforcement shall extend beyond the point at which it is no longer required to resist
flexure for a distance equal to the effective depth of member or 12db whichever is
greater
Available development length
mm
300
)
25
(
12  mm
d 500
 Use extension = 500 mm
m
x 45
.
2
1 
Ld
mm
x
L 




 2230
500
1730
500
2
2 No need for hook
For the last two bars the code requires that the be bars be limited to a diameter so that
The code stipulates that at least one third the positive reinforcement (2 bars) in
simple members shall extend along the same face in the member into the
supports
a
u
n
l
V
M
Ld 
 3
.
1
)
2
(
a
d
f
A
M y
s
n 

mm
a 40
380
)
21
(
85
.
0
)
276
(
75
.
981


)
2
40
500
)(
276
(
75
.
981 

n
M
2
2
75
.
981
4
)
25
(
2
mm
AS 


mm
N
x
Mn .
10
1
.
130 6

b
fc
f
A
a
y
s
'
85
.
0

d
L
mm
x


 955
150
)
1000
(
210
10
1
.
130
3
.
1
6
Ld
mm
L 


 3150
150
3000
3
2230
2950
3150
2230
2950
3150
DETAILS
7 m 10 m
496 kN.m
point of inflection point of inflection
Problem
Figure shows the first interior support of a continuous beam reinforced with 6 of 25
mm bars to resist a negative moment of 496 kN.m for which the calculated steel area
required is 2600 mm2. Determine and draw the details of the lengths of the bars
required if normal gravel-sand concrete is used. fy =414 MPa ,fc’ = 20.7 MPa,
b = 350mm,d= 600 mm.
2.4 m 2.1 m
350mm 320mm
Mu for 4 bars
Ld1 Ld2
L1
L2
L3 L4
7 m 10 m
496 kN.m
point of inflection point of inflection
Mu for 4 bars
Mu for 2 bars
(Mu for 6 bars)
Bar 1
Bar 2
Bar 3
350mm 320mm
2.4 m 2.1 m
Solution
Basic development length
'
02
.
0
fc
f
A
L y
b
db 
mm
Ldb 893
7
.
20
414
4
)
25
(
02
.
0
2



mm
Ldb 893

Use
mm
Ldb 621
)
414
)(
25
(
06
.
0 

y
b
db f
d
L 06
.
0

For bar 1 (As at section = 2 of 25 mm)
At least one third of the total negative reinforcement should have an embedment
length beyond the point of inflection not less than the effective depth of the
member or 12 db or 1/16 of the clear span whichever is greatest.
1/3 of 6 = 2 bars
12db = 12(25)=300 mm 1/16 of 7000=438 mm for 7 m span use 600 mm
d=600 mm 1/16 of 10000=625mm for 10 m span use 625 mm
mm
L 3000
600
2400
3 


mm
L 2725
625
2100
4 


7m span
10m span
For bar 2 (As at section = 4 of 25 mm)
Negative moment reinforcement should have an embedment length into the
span to develop the calculated tension in the bar,or a length equal to the
effective depth of the member or 12db whichever is the greatest
12db = 12(25)=300 mm d=600 mm use 600 mm
mm
L 950
600
350
1 

 mm
L 920
600
320
2 


For bar 3 (As at section = 6 of 25 mm)
24
.
2945
4
)
25
(
6 2



provided
As
2
2600mm
Asrequired 
Modification factor
88
.
0
24
.
2945
2600



provided
required
As
As
m
mm
Ld 785
)
893
(
88
.
0
1 

mm
Ld 785
)
893
(
88
.
0
2 

A rectangular beam has b = 350 mm and d = 450 mm. The beam is simply
supported over a length of 5 m measured from the center of the support and is
reinforced for tension with 7 of 20 mm diameter bars. Assuming fc’ = 27 MPa,
fy = 345 MPa, draw the details of the bar showing the cut off points of each bar.
The beam carries a uniformly distributed load throughout its length and is made up
of normal sand- gravel concrete. The reactions at the ends produces compression
on concrete. Maximum value of la is 150 mm. Vu = 150 kN at support.
450 mm
350 mm
Plate # 10. BAR DETAILING
Hint : extend 3 bars beyond the support
6 m 9 m
450 kN.m
point of inflection point of inflection
Figure shows the first interior support of a continuous beam reinforced with 6 of 25
mm bars to resist a negative moment of 450 kN.m for which the calculated steel area
required is 2400 mm2. Determine and draw the details of the lengths of the bars
required if normal gravel-sand concrete is used. fy =414 MPa ,fc’ = 20.7 MPa,
b = 350mm,d= 600 mm.
2.5 m 2.0 m
330mm 300mm
AXIALLY LOADED COLUMNS
 Columns are classified as pedestal, short column and long
column. Pedestal is a column whose height is less than
three times its least lateral dimension. They maybe
designed without reinforcement with a maximum permissible
compressive strength of Φ0.85fc’ where Φ =0.70.
 If the column does not qualify as pedestal then it maybe
classified as a short column. They fail due to initial material
failure. The load on the column depends on the dimension
and the strength of the material it is made.
 If the length of the column is increased, chances of lateral
buckling increases. Column that fails due to lateral bucking
are classified as long columns.
AXIALLY LOADED SHORT TIED COLUMNS
The axial load capacity of tied columns is given by:
Pu =Ф0.80{0.85fc’(Ag-Ast) + Astfy} Ф = 0.70
Ag = gross area of the column
Ast = area of reinforcement
Limits of reinforcement for tied columns
1. Pg ranges from 0.01 to 0.06
2. The minimum number of longitudinal bars is 4 for bars within
rectangular or circular ties, 3 for bars within triangular bars.
Sizes and spacing of main bars and ties
1. Clear distance between longitudinal bars shall not be less than
1.5db nor 40 mm.
2. Use 10 mm diameter ties for 32 mm bars or smaller and at least
12 mm in size for 36 mm and bundled longitudinal bars.
Vertical spacing of ties shall be the smallest of the following:
 16 times longitudinal bar diameter
 48 times tie diameter
 least dimension of the column
g
st
g
A
A
p 
AXIALLY LOADED SHORT SPIRAL
COLUMNS
The axial load capacity of spiral columns is given by:
Pu =Ф0.85{0.85fc’(Ag-Ast) + Astfy} Ф = 0.75
Limits of reinforcement for spiral columns
1. Pg ranges from 0.01 to 0.06
2. The minimum number of longitudinal bars is 6
Sizes and spacing of main bars and ties
1. Clear spacing between spirals shall not exceed 75 mm,
nor less than 25 mm
2. For cast in place construction, size of spirals shall not be less
than 10 mm.
3. The percentage of spiral reinforcement is computed by
2
)
(
4
c
b
c
s
s
SD
d
D
a
p


Where:
Dc = diameter of the concrete core
as = cross sectional area of the spiral
S = spacing of the spirals
db = diameter of main bars
y
c
g
f
A
A
fc
ps
)
1
(
'
45
.
0
min


4
2
c
c
D
A


4. The minimum spiral percentage is given by
Where: Ac = area of the concrete core
D
DC
Clear cover ( min. of 40 mm)
Clear cover ( min. of 40 mm)
Dc = D – 2 ( clear cover )
PROBLEMS
 A square tied column 350 mm by 350 mm is reinforced with 6 of 25
mm bars with fc’ = 20.7 MPa and fy = 345 MPa. Determine the
following :
a) Ultimate axial load capacity of the column.
b) spacing of 10 mm lateral ties
Solution
Pu =Ф0.80{0.85fc’(Ag-Ast) + Astfy} 2
2
25
.
2945
4
)
25
(
6 mm
Ast 


kN
1747
1000
)}
345
(
25
.
2945
]
25
.
2945
)
350
)(
350
)[(
7
.
20
(
85
.
0
){
80
.
0
(
7
.
0
Pu 



mm
S 400
)
25
(
16 

mm
S 480
)
10
(
48 

mm
S 350
 Use S = 350 mm
Spacing of 10 mm ties
PROBLEMS
 A circular spiral column 400 mm in diameter is reinforced with 8 of
25 mm bars with fc’ = 20.7 MPa and fy = 345 MPa. Determine the
following :
a) ultimate axial load capacity of the column.
b) the spacing of 10 mm spirals assuming clear covering of 40 mm
Solution
Pu =Ф0.85{0.85fc’(Ag-Ast) + Astfy}
2
2
3927
4
)
25
(
8 mm
Ast 


kN
2
.
2229
1000
)}
345
(
3927
]
3927
125664
)[(
7
.
20
(
85
.
0
){
85
.
0
(
75
.
0
Pu 



2
2
125664
4
)
400
(
mm
Ag 


0152
.
0
345
)
1
80425
125664
)(
7
.
20
(
45
.
0
)
1
(
'
45
.
0





y
c
g
f
A
A
fc
ps
2
2
2
80425
4
)
320
(
4
mm
D
A c
c 




Diameter ot the concrete core
Dc = D – 2 ( clear cover )=400-2(40) = 320 mm
mm
mm
mm
D
P
d
D
a
S
c
s
b
c
s
75
25
60
)
320
(
0152
.
0
)
25
320
)(
54
.
78
(
4
)
(
4
2
2







2
2
2
54
.
78
4
)
10
(
4
mm
D
A s
s 




Use s = 60 mm
 
y
ss
y
st
c
u F
A
f
A
A
fc
P 

 '
85
.
0
85
.
0

t
s
g
c
t
s
g
c
A
E
A
E
I
E
I
E
r



5
5
Design strength of composite members
Where:
Ф= 0.75 for composite members with spiral reinforcement
Ф= 0.70 for other reinforcement
Ast = area of reinforcing bars of strength fy
Ass = area of structural shape of strength Fy
Ac = net concrete area
For evaluation of slenderness effect, radius of gyration of composite
members should not exceed
Short Composite column
Structural steel encased concrete core
s
y
E
f
D
t
8
min 
Concrete
Core
Steel pipe filled with concrete
t
Dc D
t
s
y
E
f
b
t
3
1
min
1 
s
y
E
f
b
t
3
2
min
2 
Concrete
Core
t2 b2
t1
b1
and
Steel tubing filled with concrete
Concrete
core
10 mm
Calculate the maximum axial load that the concrete-filled pipe shown can
resist. fc’ = 25 MPa, Fy =248 MPa for steel pipe. Check if the section
complies with the code.
300 mm
 
y
p
c
u F
A
A
fc
P 
 '
85
.
0
85
.
0

2
2
2
9111
4
]
)
280
(
)
300
[(
mm
Ap 



2
2
61575
4
]
)
280
[(
mm
Ac 


  N
Pu 2122958
)
248
(
9111
)
61575
)(
25
(
85
.
0
85
.
0
)
7
.
0
( 


mm
mm
E
f
D
t
s
y
10
74
.
3
)
200000
(
8
248
300
8
min 



Minimum required thickness of pipe
500 mm
500 mm
W14 x 210
Calculate the ultimate axial load capacity of the composite column shown
below. fc’ = 21 MPa, Fy = 248 MPa
Properties of W 14 x 210
Area = 40000 mm2
Depth = 400 mm
 
y
WF
c
u F
A
A
fc
P 
 '
85
.
0
85
.
0

2
210000
40000
)
500
(
500 mm
Ac 


  N
Pu 8132757
)
248
(
40000
)
210000
)(
21
(
85
.
0
85
.
0
)
7
.
0
( 


W14 x 210
Calculate the ultimate axial load capacity of the composite column shown
below .fc’=21 MPa, Fy=248 MPa,fy =276MPa.
Reinforcing bars consist of 8 of 20 mm diameter bars.
Properties of W 14 x 210
Area = 40000 mm2
Depth = 400 mm
500 mm
500 mm
 
y
WF
y
s
c
u F
A
f
A
A
fc
P 

 '
85
.
0
85
.
0

2
2
2513
4
]
)
20
[(
8
mm
As 


 
)
248
(
40000
)
276
(
2513
)
207487
)(
21
(
85
.
0
85
.
0
)
7
.
0
( 


u
P
2
207487
2513
40000
)
500
(
500 mm
Ac 



N
Pu 8518752

 
y
g
g
u
g
f
p
p
fc
P
A



)
1
(
'
85
.
0
8
.
0
)
7
.
0
(
Design of axially Loaded Tied Columns
Given :axial load, fc’, fy
Required : Column size, size of main bars, size and spacing
of lateral ties
General Procedure
1.Solve for design axial load Pu
2.Assume pg 0.01 to 0.06
3. Solve for required gross area to get column size
4. Solve for Ast
Ast = pgAg
5. Using adjusted values of column size and Ast, check
column capacity (optional)
Pu =Ф0.80{0.85fc’(Ag-Ast) + Astfy}
6. Assume size ot ties and solve for the spacing
Use the smallest value from the ff:
a) 16 times longitudinal bar diameter
b) 48 times tie diameter
c) least dimension of the column
Problem:
Design a square tied column to support an axial dead load
of 600 kN and axial live load of 750 kN. fc’ =20.7 MPa, fy = 345 MPa.
kN
P
P
P L
D
u 2115
)
750
(
7
.
1
)
600
(
4
.
1
7
.
1
4
.
1 




Assume pg = 0.02
 
y
g
g
u
g
f
p
p
fc
P
A



)
1
(
'
85
.
0
8
.
0
)
7
.
0
(
 
2
156435
)
345
(
02
.
0
)
02
.
0
1
)(
7
.
20
(
85
.
0
8
.
0
)
7
.
0
(
)
1000
(
2115
mm
Ag 



mm
A
t g 395
156435 

 Say 400 mmx 400 mm square column
2
3128
)
156435
(
02
.
0 mm
A
p
A g
g
s



Using 20 mm bars
pcs
No 10
)
20
(
)
4
(
3128
. 2



Note: No need to check column capacity
mm
S 320
)
20
(
16 

mm
S 480
)
10
(
48 

mm
S 400
 Use S = 320 mm
Spacing of 10 mm ties
 
y
g
g
u
g
f
p
p
fc
P
A



)
1
(
'
85
.
0
85
.
0
)
75
.
0
(
Design of axially Loaded Short Spiral Columns
Given :axial load, fc’, fy
Required : Column size, size of main bars, size and spacing
of spirals
General Procedure
1.Solve for design axial load Pu
2. Assume pg 0.01 to 0.06
3. Solve for required gross area to get column size
y
c
g
s
f
A
A
fc
p
)
(
'
45
.
0 

2
)
(
4
c
s
b
c
s
D
P
d
D
a
S


4. Solve for Ast
Ast = pgAg
5. Using adjusted values of column size and Ast, check
column capacity (optional)
Pu =Ф0.85{0.85fc’(Ag-Ast) + Astfy}
6. Solve for the diameter of the concrete core
Dc = D – 2 ( clear cover)
7. Solve for the spiral percentage
8. Assume size of spirals and solve for required spacing
where: S ≥ 25 mm, S≤ 75 mm
Problem:
Design a circular spiral column to support an axial dead load of 600 kN and axial
live load of 750 kN. fc’ =20.7 MPa, fy = 345 MPa.
kN
P
P
P L
D
u 2115
)
750
(
7
.
1
)
600
(
4
.
1
7
.
1
4
.
1 




 
y
g
g
u
g
f
p
p
fc
P
A



)
1
(
'
85
.
0
85
.
0
)
75
.
0
(
Assume pg=0.02
 
2
137427
)
345
(
02
.
0
)
02
.
0
1
)(
7
.
20
(
85
.
0
85
.
0
)
75
.
0
(
)
1000
(
2115
mm
Ag 



2
2
137427
4
mm
D


mm
D 420

2
2749
)
137427
(
02
.
0 mm
A
p
A g
g
st 


6
)
25
(
)
4
(
2749
2



N
Using 25 mm bars
014
.
0
345
)
1
90792
137427
)(
7
.
20
(
45
.
0
)
1
(
'
45
.
0





y
c
g
f
A
A
fc
ps
2
2
2
90792
4
)
340
(
4
mm
D
A c
c 




Diameter ot the concrete core
Dc = D – 2 ( clear cover )=420-2(40) = 340 mm
mm
mm
mm
D
P
d
D
a
S
c
s
b
c
s
75
25
65
)
340
(
014
.
0
)
25
340
)(
54
.
78
(
4
)
(
4
2
2







2
2
2
54
.
78
4
)
10
(
4
mm
D
A s
s 




Use 10 mm spirals at 65 mm pitch
Using 10 mm spirals
420
10 mm spirals at
65 mm pitch
25 mm main vertical bars
40
40
Plate # 11 : Axially loaded short columns
A square tied column 400 mm by 400 mm is reinforced with 8 of 25 mm bars
with fc’ = 20.7 MPa and fy = 345 MPa. Determine the following :
a) Ultimate axial load capacity of the column.
b) spacing of 10 mm lateral ties
A circular spiral column 450 mm in diameter is reinforced with 10 of 25 mm
bars with fc’ = 27 MPa and fy = 415 MPa. Determine the following :
a) ultimate axial load capacity of the column.
b) the spacing of 10 mm spirals assuming clear covering of 40 mm
Concrete
core
12mm
Calculate the maximum axial load that the concrete-filled pipe shown can
resist. fc’ = 20 MPa, Fy =250 MPa for steel pipe. Check if the section
complies with the code.
350 mm
12mm
W12 x 150
Calculate the ultimate axial load capacity of the composite column shown
below .fc’=25 MPa, Fy=248 MPa,fy =345MPa. Reinforcing bars consist of 8 of
20 mm diameter bars.
Properties of W 12 x 150
Area = 30000 mm2
Depth = 300 mm
450 mm
450 mm
Design a circular spiral column to support an axial dead load of 450 kN and axial live
load of 600 kN. fc’ =20.7 MPa, fy = 345 MPa. Use pg =0.025 and 10 mm spirals
Design a square tied column to support an axial dead load of 450 kN and axial
live load of 600 kN. fc’ =20.7 MPa, fy = 345 MPa. Use pg =0.03 and 10 mm ties.
SHORT COLUMNS SUBJECT TO AXIAL LOAD AND BENDING
( ECCENTRICALLY LOADED COLUMNS)
 All columns are subject to axial force and bending and they must be
proportioned to resist these forces. Eccentricities of 0.10h for tied
column and 0.05h for spiral columns can be permitted for axially
loaded columns. Beyond this, analysis for the effect of axial load
and bending must be undertaken.
 Columns will tend to bend under the action of moment and produces
compression on one side and tension on the other side. The
following failures are possible under combined axial load and
bending.
1. Large axial load and negligible
moment. Failure under this condition
occur by sudden crushing of
concrete with all bars reaching their
yeild stress simultaneuosly
Plastic centroid
Pn
2. Large axial load and small moment.
with entire cross section in
compression . Failure under this
condition occur by sudden crushing of
concrete with all bars are in
compression
3. Large axial load with moment bigger in
2. Bars in the far side in tension has not
yielded. Failure occur by crushing of
concrete
Plastic centroid
Pn
Plastic centroid
e
e
Pn
4. Balance loading condition – bars on the
tensile side yield at the same time that
concrete crushes at 0.85fc’
Plastic centroid
e
Pn
5. Large moment, small axial load
Failure initiated by tensile yielding
of tension bars
Plastic centroid
e
Pn
Plastic centroid
6. Moment, no axial load - Fails as a
beam
M
Plastic centroid – the point in the column through which the resultant of
the column load passes through to produce uniform strain at failure. It is
the location of the resultant force of concrete and steel.
In locating this point, all concrete is assumed to be stressed in
compression to 0.85fc’ and all steel bars in compression at (fy – 0.85fc’).
For symmetrical cross sections the plastic centroid coincides with the
centroid of the cross section.
Eccentricity of a column is the distance from the load to the plastic
centroid of the cross section.
Plastic centroid
Centroid of cross section
Plastic centroid
centroid of cross section
eccentricity
Pn
Problem:
The T shaped cross section shown below is reinforced with 4 of 32 mm bars
with fc’= 20.7 MPa and fy = 345 MPa. Determine the location of the plastic
centroid measured from the 450 mm side.
450mm
75mm 75mm
250 mm
100 mm
100 mm
150 mm 200 mm
450mm
75mm 75mm
250 mm
100 mm
100 mm
150 mm 200 mm
1
2
75
75
250
275
x
1
P
2
P
3
P
4
P
P
kN
A
fc
P 63
.
1187
)
450
(
150
)
7
.
20
(
85
.
0
'
85
.
0 1
1 


kN
A
fc
P 75
.
879
)
250
(
200
)
7
.
20
(
85
.
0
'
85
.
0 2
2 


kN
A
fc
fy
P s 63
.
526
4
)
32
(
2
)}
7
.
20
(
85
.
0
345
{
)
'
85
.
0
(
2
3 





kN
A
fc
fy
P s 63
.
526
4
)
32
(
2
)}
7
.
20
(
85
.
0
345
{
)
'
85
.
0
(
2
4 





kN
P
P
P
P
P 7
.
3120
4
3
2
1 





 Px
x
P
4
4
3
3
2
2
1
1 x
P
x
P
x
P
x
P
x
P 



 
275
63
.
526
)
75
(
63
.
526
)
250
(
75
.
879
)
75
(
63
.
1187
7
.
3120 



x
mm
x 158

BALANCED LOADING CONDITION
 Balanced loading occur when the tension steel just reaches its yield
strain as concrete is strained to 0.003. Every column has always
have a loading situation where an ultimate load Pnb placed at eccentricity
eb will produce a moment Mnb. If the eccentricity of the column is less
than eb (e < eb) , the column fails in compression( compression
controlled column); if e > eb the column fails in tension( tension
controlled column)
d
0.003
C2 = As’fy
d’
d – d’
T = Asfy
C1= 0.85fc’abb
ab
0.85fc’
b
eb
s
y
s
E
f

 cb
εs’
Axis of bending
Pnb
Determination of Pnb
From stress Diagram
ΣFy =0
Pnb - C1 - C2+ T = 0
Balanced loading condition
Stress Diagram
Strain Diagram
If As = As’
C2 = T
Pnb =0.85fc’abb
y
b
f
d
a


600
600 1

From strain Diagram
EQ. 1
EQ. 2
d-d’
2
Pnb =C1
d-ab/2
To determine eb
ΣM @ center of tension steel = 0
Pnb( eb + ½{d-d’}) –C1( d-ab/2) – C2(d –d’)= 0
Pnb( eb + ½{d-d’}) –0.85fc’abb( d-ab/2) – As’fy(d –d’)= 0
2
)
'
(
)
(
)
2
(
'
'
d
d
P
d
d
f
A
a
d
e
nb
y
s
b
b






Balanced Moment Mnb = Pnbeb
EQ. 3
Determination of eb, Pnb and Mnb of column with given section and reinforcement.
1. Solve for ab
y
b
f
d
a


600
600 1

2. Solve for Pnb Pnb =0.85fc’abb
3. Solve for eb
2
)
'
(
)
(
)
2
(
'
'
d
d
P
d
d
f
A
a
d
e
nb
y
s
b
b






4. Solve for the balanced Moment Mnb = Pnbeb
Problem:
The column shown is reinforced with 6 of 25 mm diameter
bars. If fc’ = 21 MPa, fy = 345 MPa determine Pnb, eb and Mnb.
400 mm
65 mm
65 mm
500 mm
Axis of bending
mm
f
d
a
y
b 76
.
234
345
600
435
)
85
.
0
(
600
600
600 1






2
2
6
.
1472
4
)
25
(
3
' mm
A
A s
s 



mm
d 435
65
500 


Pnb =0.85fc’abb
Pnb =0.85(21)234.76(400)= 1,676,186 N
2
)
'
(
)
(
)
2
(
'
'
d
d
P
d
d
f
A
a
d
e
nb
y
s
b
b






2
)
65
435
(
1676186
)
65
435
)(
345
(
6
.
1472
)
2
76
.
234
435
(






b
e
mm
eb 76
.
244

mm
N
x
e
P
M b
nb
nb .
10
26
.
410
)
76
.
244
)(
1676186
( 6



m
kN
Mnb .
26
.
410

Plastic centroid
e
Large moment, small axial load
Failure initiated by tensile yielding
of tension bars
Analysis of tension controlled columns
Plastic centroid
eb
e
e
tension controlled columns
Compression controlled columns
e
eb 
y
s f
f  Tension steel yields at failure
y
s f
f 
' Compression steel yields at failure
003
.
0

c

ANALYSIS OF ECCENTRICALLY LOADED COLUMNS: ANALYTICAL METHOD
d
0.003
C2 = As’fy
d’
d – d’
T = Asfy
C1= 0.85fc’ab
a
0.85fc’
b
e
s
y
s
E
f

 c
εs’
Axis of bending
Pn
1. From stress Diagram
ΣFy =0
Pn - C1 - C2+ T = 0
Stress Diagram
Strain Diagram
If As = As’
C2 = T
Pn =0.85fc’ab EQ. 1
d-d’
2
2. ΣM @ center of tension steel = 0
Pn( e + ½{d-d’}) –C1( d-a/2) – C2(d –d’)= 0
Pn( e + ½{d-d’}) –0.85fc’ab( d-a/2) – As’fy(d –d’)= 0
0.85fc’ab( e + ½{d-d’}) –0.85fc’ab( d-a/2) – As’fy(d –d’)= 0 Solve for a
3. Check for yielding of compression steel
4. Solve for Pn
c
d
c
s
'
003
.
0
' 

 y
s f
c
d
c
f 


)
(
600
'
'
1

a
c 
Pn =0.85fc’ab
5. Solve for Pu
n
u P
P 

6. Solve for Mu
e
P
M u
u 
Plate #12: Eccentrically loaded columns
The column shown is reinforced with 6 of 32 mm diameter
bars. If fc’ = 27 MPa, fy = 345 MPa , e = 370 mm, determine
Pu, and Mu .
450 mm
65 mm
65 mm
600 mm
Axis of bending
Plate #12: Eccentrically loaded columns
The column shown is reinforced with 6 of 28 mm diameter
bars. If fc’ = 27 MPa, fy = 345 MPa , e = 150 mm, determine
Pu, and Mu .
400 mm
65 mm
65 mm
500 mm
Axis of bending
Problem:
The column shown is reinforced with 6 of 25 mm diameter
bars. If fc’ = 21 MPa, fy = 345 MPa , e = 260 mm, determine
Pu, and Mu .
400 mm
65 mm
65 mm
500 mm
Axis of bending
2
2
6
.
1472
4
)
25
(
3
' mm
A
A s
s 



mm
d 435
65
500 


mm
mm
eb 260
76
.
244 
 Tension controls
From the preceding problem
Pn =0.85fc’ab
Pn=0.85(21)400a=7140a EQ.1
ΣM @ center of tension steel = 0
0.85fc’ab( e + ½{d-d’}) –0.85fc’ab( d-a/2) – As’fy(d –d’)= 0
0
)
65
435
)(
345
(
6
.
1472
)
2
435
(
7140
)}
65
435
(
2
1
260
{
7140 






a
a
a
0
4
.
26327
2
435
445
2




a
a
a
0
8
.
52654
20
2


 a
a
mm
a 7
.
219
2
)
8
.
52654
(
4
)
20
(
20 2





mm
a
c 47
.
258
85
.
0
7
.
219
1




y
s f
MPa
f 


 1
.
449
47
.
258
)
65
47
.
258
(
600
' compression steel
yields at failure
kN
N
a
Pn 65
.
1568
1568658
)
7
.
219
(
7140
7140 



kN
Pu 1098
65
.
1568
)
7
.
0
( 

  m
kN
e
P
M u
u .
48
.
285
26
.
0
1098 


c
c
d
s 

003
.
0

y
s f
c
c
d
f 


)
(
600
y
s f
MPa
f 


 8
.
409
47
.
258
)
47
.
258
435
(
600
Verify yeilding of tension steel( not required)
tension steel
yields at failure
Plastic centroid
e
Analysis of compression controlled columns
e
eb 
y
s f
f  Tension steel does not yield at failure
y
s f
f 
' Compression steel yields at failure
003
.
0

c

2. Large axial load and small moment.
with entire cross section in compression.
Failure under this condition occur by
sudden crushing of concrete with all bars
are in compression
3. Large axial load with moment bigger in
2. Bars in the far side in tension has not
yielded. Failure occur by crushing of
concrete
d
0.003
C2 = As’fy
d’
d – d’
T = Asfs
C1= 0.85fc’ab
a
0.85fc’
b
e
s
s
s
E
f

 c
εs’
Axis of bending
Pn
1. From stress Diagram
ΣFy =0
Pn - C1 - C2+ T = 0
Stress Diagram
Strain Diagram
d-d’
2
0
'
85
.
0 '



 s
s
y
s
n f
A
f
A
ab
fc
P
1
.
'
85
.
0 '
EQ
f
A
f
A
ab
fc
P s
s
y
s
n 



Note: unknowns are s
n f
a
P &
,
2
a
d 
0
. 
 S
centerofT
M
0
)
'
(
)
2
(
'
85
.
0
)}
'
(
2
1
{ '






 d
d
f
A
a
d
ab
fc
d
d
e
P y
s
n
2
.
)}
'
(
5
.
0
{
)
'
(
)}
'
(
5
.
0
{
)
5
.
0
(
'
85
.
0
'
EQ
d
d
e
d
d
f
A
d
d
e
a
d
ab
fc
P
y
s
n 








2
.
1
. EQ
EQ 
3
.
)}
'
(
5
.
0
{
)
'
(
)}
'
(
5
.
0
{
)
5
.
0
(
'
85
.
0
'
85
.
0
'
'
EQ
d
d
e
d
d
f
A
d
d
e
a
d
ab
fc
f
A
f
A
ab
fc
y
s
s
s
y
s 










1
.
'
85
.
0 '
EQ
f
A
f
A
ab
fc
P s
s
y
s
n 



1
1
)
(
600
)
(
600


a
a
d
c
c
d
fs



 4
.
)
(
600 1
EQ
a
a
d
fs 



0
)
'
(
)
2
(
)}
'
(
2
1
{ 2
1 





 d
d
C
a
d
C
d
d
e
Pn
From the strain diagram
)}
'
(
5
.
0
{
)
'
(
)}
'
(
5
.
0
{
)
5
.
0
(
'
85
.
0
)
(
600
'
85
.
0
'
1
'
d
d
e
d
d
f
A
d
d
e
a
d
ab
fc
a
a
d
A
f
A
ab
fc
y
s
s
y
s












Solve for a
Check for yielding of compression steel
Solve for Pn
c
d
c
s
'
003
.
0
' 

 y
s f
c
d
c
f 


)
(
600
'
'
1

a
c 
Solve for Pu
n
u P
P 

Solve for Mu
e
P
M u
u 
Solve for fs
a
a
d
fs
)
(
600 1 


1
.
'
85
.
0 '
EQ
f
A
f
A
ab
fc
P s
s
y
s
n 



Problem:
The column shown is reinforced with 6 of 25 mm diameter
bars. If fc’ = 21 MPa, fy = 345 MPa , e = 200 mm, determine
Pu, and Mu .
400 mm
65 mm
65 mm
500 mm
Axis of bending
2
2
6
.
1472
4
)
25
(
3
' mm
A
A s
s 



mm
d 435
65
500 


mm
mm
eb 200
76
.
244 
 Compressions controls
From the preceding problem
 
)}
65
435
(
5
.
0
200
{
)
65
435
)(
345
(
6
.
1472
)}
65
435
(
5
.
0
200
{
)
5
.
0
435
(
400
)
21
(
85
.
0
}
435
85
.
0
{
)
600
(
6
.
1472
)
345
(
6
.
1472
400
)
21
(
85
.
0











a
a
a
a
a
38
.
68
385
)
5
.
0
435
(
}
75
.
369
{
75
.
123
16
.
71 





a
a
a
a
a
a
a
a
a
a
a 3
.
26326
5
.
0
435
75
.
47643
5
.
17616276
6
.
27396
385 3
2
2






0
35232553
1
.
97428
100 2
3



 a
a
a
0
35232553
)
28
.
256
(
1
.
97428
)
28
.
256
(
100
)
28
.
256
( 2
3




mm
a 28
.
256

703.1 0k
  MPa
a
a
d
fs 73
.
214
28
.
256
}
28
.
256
435
85
.
0
{
600
)
(
600 1






Can be solved by
Newton’s Method
of approximation
or by trial and error
y
s f
MPa
f 


 65
.
470
5
.
301
)
65
5
.
301
(
600
'
mm
c 5
.
301
85
.
0
28
.
256


Compression steel yields
1
.
'
85
.
0 '
EQ
f
A
f
A
ab
fc
P s
s
y
s
n 



  )
73
.
214
(
6
.
1472
)
345
(
6
.
1472
400
28
.
256
)
21
(
85
.
0 


n
P
kN
N
Pn 68
.
2021
2021682 

kN
Pu 2
.
1415
68
.
2021
)
7
.
0
( 

m
kN
Mu .
04
.
283
)
2
.
0
(
2
.
1415 

COLUMN INTERACTION DIAGRAM
It was observed that the use of analytical method is very complicated and requires accuracy of
manipulation of algebraic equations. An option is to analyze the column by using the column
interaction diagram.
Interaction diagram is the graph of the axial load capacity and the moment capacity of the column of
the M-P axes. The diagram is very useful for studying the strength of the column with varying
proportions of the loads and moments.
Balanced Loading
Compression
zone
A
Pn
Pure bending
Mn
Pure axial load
Tension
zone
B
C
D
Tension failure
Compression Failure
Pn
Mn
The diagram is made by plotting the axial load capacity when the moment is zero( point A), then the
balanced loading( point C) and the moment capacity when the axial load is zero( point D). In between
points A and D , the column fail due to axial and bending. Point C the balanced point. In reference to
Point B, the vertical and horizontal dotted line represents the particular load combination of axial load
and moment.
Pn
e
How to use the column interaction Diagram
Process Design Analysis
Given Loads, Pu and e Section properties
section dimension eccentricity
Required Amount of reinforcement axial load and
moment capacity
calculate
Locate
obtain
g
n
A
P

h
A
M
g
n

and
g
st
g
A
A
p  
g
n
A
P

h
A
M
g
n

e/h
Intersection of
and
and determine pg
Intersection of pg & e/h
project horizontally to
The left to get
g
n
A
P

project vertically
down to get
h
A
M
g
n

As
t
Pn or Pu Mn or Mu
Problem
Calculate the ultimate axial load capacity of the column section
shown if the eccentricity is 200 mm. fc’ = 20.7 MPa, fy = 413.7 MPa.
Solve using the column interaction diagram.
400 mm
75 mm
75 mm
450 mm
Axis of
bending
4 of 25 mm
4 of 25 mm
Solution
1. Solve for ,pg, and e/h
016
.
0
)
600
)(
400
(
4
)
25
(
8
2




g
st
g
A
A
p
33
.
0
600
200


h
e
2. Locate the intersection of pg and e/h. Project horizontally to the left
to obtain
g
n
A
P

MPa
A
P
g
n
52
.
8


n
u
P
P 

Pu =8.52Ag = 8.52(400)600 = 2044.8 kN

75
.
0
450
600
450





h
50
45
40
35
30
25
20
15
10
5
0
Interaction Diagram
fc’= 3 ksi ( 20.7 MPa)
fy = 60 ksi ( 413.7 MPa)
75
.
0


h
h

Pn
e
1 2 3 4 5 6 7 8 9 10 11 12 13 14 15
0.07
pg=0.08
0.06
0.05
04
0.03
0.02
0.01
8.2 MPa
)
(MPa
A
P
g
n

)
(MPa
h
A
M
g
n

0.016
Problem
Calculate the nominal axial load capacity of the colum shown applied at
an eccentricity of 400 mm. fc’=20.7 MPa,fy=413.7 MPa.
Reinforcement consist of 16 of 28 mm bars.
500 mm
70 mm
70 mm
360 mm
Axis of
bending
0394
.
0
)
500
)(
500
(
4
)
28
(
10
2




g
st
g
A
A
p
72
.
0
360
500
360





h
Since there is no available interaction diagram for
Use the interaction diagrams for and
With fy = 413.7 MPa and fc’=20.7 MPa and interpolate the values
obtained
e/h = 400/500 = 0.80
From column interaction diagram for f y = 413.7 MPa and
fc’=20.7 MPa
72
.
0


60
.
0

 75
.
0


60
.
0


MPa
A
P
g
n
6
.
4


From column interaction diagram for
f y = 413.7 MPa and fc’=20.7 MPa
75
.
0


MPa
A
P
g
n
8
.
5


Interpolating values

0.60 4.6
0.72 x
0.75 5.8
g
n
A
P

75
.
0
60
.
0
075
.
72
.
0
8
.
5
6
.
4
8
.
5





x
X = 5.56 MPa
MPa
A
P
g
n
56
.
5


56
.
5
)
500
)(
500
(
7
.
0

n
P
Pn = 1,985,714 N = 1,985.7 kN
50
45
40
35
30
25
20
15
10
5
0
Interaction Diagram
fc’= 3 ksi ( 20.7 MPa)
fy = 60 ksi ( 413.7 MPa)
60
.
0


h
h

Pn
e
0.08
0.07
0.06
0.05
0.04
0.03
0.02
0.01
0.039
4.6 MPa
50
45
40
35
30
25
20
15
10
5
0
Interaction Diagram
fc’= 3 ksi ( 20.7 MPa)
fy = 60 ksi ( 413.7 MPa)
75
.
0


h
h

Pn
e
0.039
5.8 MPa
Plate # 13: Analysis of eccentric columns using interaction diagram
Calculate the ultimate axial load capacity of the column section
shown if the eccentricity is 300 mm. fc’ = 27.57 MPa(4 ksi), fy= 413.MPa(60ksi).
Solve using the column interaction diagram.
350 mm
75 mm
75 mm
400 mm
Axis of
bending
4 of 25 mm
4 of 25 mm
1ksi =6.8928 MPa
Calculate the nominal axial load capacity of the colum shown applied at
an eccentricity of 400 mm. fc’=27.57 MPa,fy=413.7 MPa.
Reinforcement consist of 16 of 22 mm bars.
450 mm
70 mm
70 mm
330 mm
Axis of
bending
Problem
CE Board May 2000
For the spiral column shown, determine the maximum nominal axial load
capacity if the eccentricity is 150 mm. fc’= 27.6 MPa, fy = 413.7 MPa.
Use the column interaction diagram. 1 ksi = 6.8928 MPa
375 mm 500 mm
0155
.
0
4
)
500
(
4
)
22
(
8
2
2





g
st
g
A
A
p
75
.
0
375
500
375





h
3
.
0
500
150


h
e
MPa
x
ksi
A
P
g
n
961
.
8
8928
.
6
3
.
1
3
.
1 



8 of
22 mm
7
1.3 ksi
0
1
2
3
4
5
6
0.2 0.4 0.6 0.8 1.0 1.2 1.4 1.6 1.8 2.0
0.08
0.07
0.05
0.06
0.04
0.03
0.02
0.01
0.0155
h

h
e
Pn
INTERACTION DIAGRAM
fc’ = 4ksi(27.6 MPa)
fy = 60 ksi ( 413.7 MPa)
75
.
0


ΦMn/Agh(ksi)
ΦP
n
/A
g
(ksi)
A rectangular column is as shown in the
figure. It is acted upon by the following loads:
axial load due to dead load = 450 kN
axial load due to live load = 500 kN
Moment due to dead load = 134 kN.m
Moment due to live load = 150 kN.m
The column is to be analyzed and designed
by ultimate strength design method.
Use fc’ = 20.7MPa, fy = 413.7 MPa.
Determine
a) Eccentricity of the column
b) Area of steel bars required
400 mm
75 mm
75 mm
450 mm
Axis of
bending
Determination of steel area
Solution:
Pu = 1.4PD + 1.7PL
Pu =1.4 (450) + 1.7(500) = 1480 kN
Pn = Pu/Φ
Pn = 1480/0.7
Pn = 2114.28 kN
Mu =1.4MD + 1.7ML
Mu =1.4(134)+1.7(150) = 442.6 kN.m
Mn =Mu/Φ = 442.6/0.7 = 632.28 kN.m
Eccentricity
e= Mn/Pn= 632.28/ 2114.28
e = 0.3 m = 300 mm
75
.
0
450
600
450





h
50
.
0
600
300


h
e
MPa
A
P
g
n
17
.
6
)
600
)(
400
(
)
1000
)(
28
.
2114
(
7
.
0



MPa
h
A
M
g
n
07
.
3
)
600
)(
400
)(
600
(
)
10
)(
28
.
632
(
7
.
0 6



g
n
A
P

h
A
M
g
n

and
Intersection of
pg =0.017
Ast =pgAg= 0.017(400)(600)
Ast = 4080 mm2
MPa
A
P
g
n
17
.
6


50
45
40
35
30
25
20
15
10
5
0
Interaction Diagram
fc’= 3 ksi ( 20.7 MPa)
fy = 60 ksi ( 413.7 MPa)
60
.
0


h
h

Pn
e
1 2 3 4 5 6 7 8 9 10 11 12 13 14 15
pg=0.017
MPa
h
A
M
g
n
07
.
3


DESIGN OF ECCENTRIC COLUMNS( SECTION &
REINFORCEMENT)
 The size of column can be obtained by assuming an average
compressive stress of concrete from 0.5fc’ to 0.6 fc’ under the load
PU. Design of reinforcement follows the procedure of the preceding
topic. If value of pg is not reasonable, section maybe revised.
Design a square tied column to carry a factored axial load of 2,000 kN
And a factored moment of 190 kN.m. Use 25 mm bars to be placed
uniformly along the faces of the column. Assume fc’=20.7MPa and
fy =413.7 MPa.
Solution
Ag = Pu/0.5fc’
Ag = (2000)(1000) /0.5(20.7)
Ag = 193,237 mm2
Using a square column
h = 439 mm say 450 mm
Proposed Layout
450 mm
62.5 mm
62.5 mm
325 mm
Axis of
bending
e = Mu/Pu
e =190/2000 = 0.095 m = 95 mm
e/h = 95/450 = 0.211
722
.
0
325
450
325





h
Interpolate between 60
.
0

 75
.
0


and
Pn =Pu/Ф= 2000/0.7=2,857 kN
ФPn/Ag = 0.7(2857)1000/(450)(450)
ФPn/Ag =9.876 MPa/6.8928 = 1.43 ksi
60
.
0


Intersection of e/h and ФPn/Ag pg =0.018
75
.
0


Intersection of e/h and ФPn/Ag pg =0.016

0.60 0.018
0.722 x
0.75 0.016
pg
75
.
0
6
.
0
75
.
0
722
.
0
016
.
0
018
.
0
016
.
0





x
x = pg = 0.01637
As =PgAg
As = 0.01637(450)(450)
As = 3315 mm2
0.2 0.4 0.6 0.8 1.0 1.2 1.4 1.6 1.8 2.0
1.43 ksi
0
2
3
4
5
6
e
Pn
INTERACTION DIAGRAM
fc’ = 3 ksi(20.7 MPa)
fy = 60 ksi ( 413.7 MPa)
75
.
0


ΦMn/Agh(ksi)
ΦPn/A
g
(ksi)
h
h

1
pg=0.016
7
1.43 ksi
0
1
2
3
4
5
6
0.2 0.4 0.6 0.8 1.0 1.2 1.4 1.6 1.8 2.0
e
Pn
INTERACTION DIAGRAM
fc’ = 3ksi(20.7 MPa)
fy = 60 ksi ( 413.7 MPa)
60
.
0


ΦMn/Agh(ksi)
ΦP
n
/A
g
(ksi)
h
h

pg=0.018
7
Plate # 14 : Design of eccentric columns by using interaction diagram
For the spiral column shown, determine the maximum nominal axial load
capacity if the eccentricity is 200 mm. fc’= 27.6 MPa, fy = 413.7 MPa.
Use the column interaction diagram. 1 ksi = 6.8928 MPa
400 mm 530 mm
8 of
22 mm
Design a square tied column to carry a factored axial load of 2,500 kN
And a factored moment of 300 kN.m. Use 28mm bars to be placed
uniformly along the faces of the column. Assume fc’=20.7MPa and
fy =413.7 MPa.
A rectangular column is as shown in the
figure. It is acted upon by the following loads:
axial load due to dead load = 500 kN
axial load due to live load = 600 kN
Moment due to dead load = 140 kN.m
Moment due to live load = 180 kN.m
The column is to be analyzed and designed
by ultimate strength design method.
Use fc’ = 20.7MPa, fy = 413.7 MPa.
Determine
a) Eccentricity of the column
b) Area of steel bars required
450 mm
75 mm
75 mm
500 mm
Axis of
bending
Axial Load and Biaxial Bending
In some cases, columns are subject to bending on both axes. This
is the usual case of corner columns where beams or girder frames
into the column from both directions .
ex
ey
Mx
My
Bresler Equation
Biaxially loaded columns can be analyzed by Bresler’s equation.
no
ny
nx
n P
P
P
P
1
1
1
1



Where:
Pnx = axial load capacity of the column for eccentricity ex with ey =0
Pny = axial load capacity of the column for eccentricity ey with ex =0
Pno = axial load capacity of the column when ex = 0 and ey = 0
Pno = 0.85fc’Ag + Asfy
Problem
 Calculate the permissible axial load capacity Pu of the short tied
column shown shown if ex= 200 mm and ey = 100 mm.
Use fc’ =20.7 MPa, fy = 413.7 MPa
450 mm
600 mm
225 mm 375 mm
75 mm
75 mm
75 mm
75 mm
8 of 28 mm
022
.
0
)
600
)(
375
(
4
)
28
(
8
2




g
st
g
A
A
p
For eccentricity ex ( bending about the y axis)
75
.
0
450
600
450





h
333
.
0
600
200


h
e
ksi
A
P
g
n
28
.
1


MPa
A
P
g
n
823
.
8


)
1000
(
7
.
0
)
375
)(
600
(
823
.
8

nx
P
Pnx =2836 kN
Solution
For eccentricity ey ( bending about the x axis)
)
1000
(
7
.
0
)
375
)(
600
(
305
.
9

ny
P
60
.
0
225
375
225





h
267
.
0
375
100


h
e
ksi
A
P
g
n
35
.
1


MPa
A
P
g
n
305
.
9


Pny =2991 kN
no
ny
nx
n P
P
P
P
1
1
1
1



Pno = 0.85fc’Ag + Asfy = 5,997kN
997
,
5
1
991
,
2
1
836
,
2
1
1



n
P
Pn = 1,922 kN
ΦPn/A
g
(ksi)
1.28ksi
0
2
3
4
5
6
e
Pn
INTERACTION DIAGRAM
fc’ = 3 ksi(20.7 MPa)
fy = 60 ksi ( 413.7 MPa)
75
.
0


ΦMn/Agh(ksi)
h
h

1
7
0
1
2
3
4
5
6
0.2 0.4 0.6 0.8 1.0 1.2 1.4 1.6 1.8 2.0
e
Pn
INTERACTION DIAGRAM
fc’ = 3ksi(20.7 MPa)
fy = 60 ksi ( 413.7 MPa)
60
.
0


ΦMn/Agh(ksi)
ΦP
n
/A
g
(ksi)
h
h

1.35 ksi
7
Using the data of the preceding problem, determine Mux and Muy .
Solution
n
u P
P 

kN
Pu 4
.
1345
)
1922
(
7
.
0 

m
kN
e
P
M y
u
ux .
54
.
134
)
10
.
0
(
4
.
1345 


m
kN
e
P
M x
u
uy .
08
.
269
)
20
.
0
(
4
.
1345 


Plate # 14 : Columns subject to Biaxial Bending
Calculate the permissible axial load capacity Pu of the short tied
column shown shown if ex= 250 mm and ey = 150 mm. Solve by
analytical method. Use fc’ =20.7 MPa, fy = 413.7 MPa
500 mm
650 mm
250 mm 400 mm
75 mm
75 mm
75 mm
75 mm
10 of 28 mm
Long Columns
 CONSIDERATION OF SLENDERNESS EFFECTS
For compression members braced against
sideways,effects of slenderness maybe neglected
when:
r
kLu
b
b
M
M
2
1
12
34 

For compression members not braced against sideways,
effects of slenderness maybe neglected when
22

r
kLu
Where:
M2b = value of the larger factored end moment on a compression
member due to loads that result in no appreciable
sidesway, calculated by conventional elastic frame analysis
M1b = value of the smaller factored end moment on a compression
member due to loads that result in no appreciable sidesway,
calculated by conventional elastic frame analysis positive if
member is bent in single curvature, negative if member is
bent in double curvature
M1b
M2b
Lu
Effective Length Factor
Effective length factor is equal to 1 when the member is braced
against sideway ; for members not braced against sideway
effects of cracking and reinforcement on relative stiffness must
be considered and should be greater than 1.
Radius of Gyration
r = 0.25 D for circular columns ,D the column diameter
r = 0.30 h for rectangular columns ,h the column dimension in
the direction stability is being considered
Unsupported Length of Compression members
Unsupported length Lu a of compression member is taken as the
clear distance between floor slabs, beams or other members
capable of providing lateral support for that compression
member. Where column capitals or haunches are present it
shall be measured to the lower extremity of capital or haunch in
the place considered.
Braced and Unbraced Frame
A frame maybe considered braced if the bracing elements such as shear
walls, shear trusses, or other means resisting lateral movement of a storey,
have a total stiffness at least, six times the sum of the stiffness of all the
columns resisting lateral movement in that storey.
PROBLEM
A square column having an unsupported length of 5 m is used in a
braced frame against sidesway. The column is bent in single
curvature and subject to factored end moments of 58 kN/m at the
top and 42 kN.m at the bottom. Determine its minimum dimension
so that slenderness effects may not be considered in the analysis.
m
kN
M b .
58
2  m
kN
M b .
42
1 

h
r 3
.
0

mm
m
Lu 5000
5 

+ since the
column is bent
in single
curvature
h
3
.
0
)
5000
(
1
58
)
42
(
12
34 

0
.
1

k
column
is braced
against
sidesway
mm
h 660

r
kLu
b
b
M
M
2
1
12
34 

MOMENT MAGNIFIER METHOD
According to NSCP 1992 edition, compression members shall be
designed using the factored axial load Pu from a conventional frame
analysis and a magnified factored moment Mc defined by :
b
b
s
s
c M
M
M 2
2 
 

Where:
M2b = value of the larger factored end moment on a compression
member due to loads that result in no appreciable sidesway,
calculated by conventional elastic frame analysis. For use in
EQ.1 M2b ≥ Pu(15 + 0.03 h) 15 + 0.03h in mm
M1b = value of the smaller factored end moment on a compression
member due to loads that result in no appreciable sidesway,
calculated by conventional elastic frame analysis positive if member
is bent in single curvature, negative if member is bent in double
curvature
EQ. 1
M2s = value of the larger factored end moment on a
compression member due to loads that result in appreciable
sidesway ( wind, earthquake and other lateral loads) ,
calculated by conventional elastic frame analysis.
15 + 0.03h in mm
For use in EQ.1 M2b ≥ Pu(15 + 0.03 h)
b

0
.
1
1



Pc
Pu
Cm
b


moment magnification factor that takes into account
the effect of member curvature in a frame braced
against sideway.
=
b
b
M
M
Cm
2
1
4
.
0
6
.
0 
 but not less than 0.4,
For all other cases Cm = 1.
= moment magnification factor that takes into account
the lateral drift of a column caused by lateral or
gravity loading the frame not braced against sidesway
s

2
2
)
( u
c
kL
EI
P


0
.
1
1
1





Pc
Pu
s


0
.
1

s
 for columns braced against sidesway
Pu Pc summation for all columns in a storey.
EQ 2
For frames not braced against sidesway, both and should be
computed. For frames braced against sidesway, should be taken
as 1.0. In calculating Pc ,EI should be determined either by
s

b

s

d
se
s
g
c
I
E
I
E
EI




1
5
d
g
c
I
E
EI



1
5
.
2
or
Where
βd = the ratio of factored dead load moment to maximum total
factored moment ( always positive), where the load is due to
gravity only in the calculation of Pc in computing or
the ratio of the maximum sustained lateral load to the
maximum total factored lateral load in that story in the
calculation of Pc in computing
b

s

Ig = moment of inertia of gross section about centroidal axis
neglecting reinforcement
Ise = moment of inertia of reinforcement about centroidal axis of
member cross section
Ec =modulus of elasticity of concrete
Es =modulus of elasticity of reinforcement
'
4700 fc
Ec

Moment Magnifier for biaxial bending
For compression members subject to moment on both axes, moment
about each principal axis shall be magnified by computed from the
corresponding restraint about that axis.

ALIGNMENT CHARTS
Ψ =
∑EI/L of Columns
∑EI/L of Beams
Effective Length Factor k are obtained using the Jackson and
Moreland alignment chart. To use this chart a parameter ψA for end A
of column AB and ψB for end B are computed. A straightedge is
placed between A and B. The point where the straightedge cross the
middle monograph is k. The parameter ψ at one end of the column
equals the sum of the stiffnesses of the columns (including the column
under consideration) meeting at the joint divided by the sum of all the
stiffnesses of the beams meeting at that joint.
K
ψA
∞
50
10
5
3.0
2.0
1.0
0.8
0.6
0.5
0.4
0.3
0.2
0.1
0
ψB
∞
50
10
5
3.0
2.0
1.0
0.8
0.6
0.5
0.4
0.3
0.2
0.1
0
1.0
0.9
0.8
0.7
0.6
0.5
BRACED FRAME
K
ψA
∞
20.0
10.0
8.0
6.0
5.0
4.0
3.0
2.0
1.0
0
ψB
∞
30.0
20.0
10.0
6.0
5.0
4.0
3.0
2.0
1.0
0
20.0
4.0
2.0
1.5
1.0
UNBRACED FRAME
30.0
50.0
100.0
8.0
50.0
100.0
3.0
5.0
10.0
∞
ALIGNMENT CHARTS
Note: Ψ ═ ∞ for pinned ends and 1.0 for fixed end
PROBLEMS
1. A rectangular concrete column has a dimension of 300 mm by
380 mm. The column length is 4.5 m and is to be used in a
frame braced against sidesway ( k =1.0, EI = 34 MN.m2). The
column is bent in single curvature by ultimate factored moment of
110 kN.m at the top and 120 kN.m at the bottom. The column
carries factored axial dead load of 150 kN and factored axial live
load of 350 kN. Considering the longer dimension of the column,
is slenderness effects be considered in the analysis ? If so, what
is the magnified moment capacity of this column ?
2. Solve the previous problem considering the effect of wind
loads producing an unfactored axial load of 130 kN an unfactored
moment of 100 kN.m
Solution to #1
m
kN
M b .
120
2  m
kN
M b .
110
1 

mm
h
r 114
)
380
(
3
.
0
3
.
0 


mm
m
Lu 4500
5
.
4 

47
.
39
114
)
4500
(
1


r
kLu
23
120
110
12
34
12
34
2
1




B
B
M
M
B
B
u
M
M
r
kL
2
1
12
34 
 Column is Long
0
2 
s
M
+ since the
column is bent
in single
curvature
9668
.
0
120
110
4
.
0
6
.
0
4
.
0
6
.
0
2
1





b
b
m
M
M
C
kN
Pu 500
350
150 


kN
N
kL
EI
P
u
c 18
.
571
,
16
188
,
571
,
16
)}
5
.
4
)(
1
{(
)
10
(
34
)
( 2
6
2
2
2






0103
.
1
)
18
.
16571
(
7
.
0
500
1
9668
.
0
1





c
u
m
b
P
P
C


m
kN
M
M
M s
s
c
b
b
c .
24
.
121
)
0
(
)
120
(
0103
.
1
2
2 



 


]
7
.
1
7
.
1
4
.
1
[
75
.
0
2 W
L
D
s M
M
M
M 


m
kN
M s .
5
.
127
)]
100
(
7
.
1
)
0
(
7
.
1
)
0
(
4
.
1
[
75
.
0
2 



Solution to #2
kN
P
P L
D 500
350
150
]
7
.
1
4
.
1
[ 


 Specified in the previous
problem
kN
P
P
P
P W
L
D
u 7
.
540
)]
130
(
7
.
1
500
[
75
.
0
]
7
.
1
7
.
1
4
.
1
[
75
.
0 





014
.
1
)
18
.
16571
(
7
.
0
75
.
540
1
9668
.
0
1





c
u
m
b
P
P
C


m
kN
M
M
M s
s
b
b
c .
18
.
249
)
5
.
127
(
0
.
1
)
120
(
014
.
1
2
2 



 


 0
.
1
s
 Frame is braced against sidesway
Plate No.15 Long Columns ( Part I)
1.A square column having an unsupported length of 4.5 m is used in a
frame braced against sidesway. The column is bent in single curvature
and subject to factored end moments of 52 kN/m at the top and 36 kN.m at
the bottom. Determine its minimum dimension so that slenderness effects
may not be considered in the analysis.
2. A square concrete column has a dimension of 450 mm by 450 mm.
The column length is 5 m and is to be used in a frame braced against
sidesway ( k =1.0, EI = 44 MN.m2). The column is bent in single
curvature by ultimate factored moment of 130 kN.m at the top and 150
kN.m at the bottom. The column carries factored axial dead load of 180
kN and factored axial live load of 390 kN. Is slenderness effects be
considered in the analysis ? If so, what is the magnified moment
capacity of this column ?
3. Solve the previous problem considering the effect of wind loads
producing an unfactored axial load of 150 kN an unfactored moment of
120 kN.m
For the column shown in figure, PD = 266.88 kN, PL = 444.8 kN, MD =
162.72kN.m, and ML = 189.84 kN.m. The column belongs to a braced
frame and is bent in single curvature about the x axis by equal moments
at each end of the member . The unsupported length is 6 m. fc’ = 20.7
MPa, fy = 413.7 MPa . Determine the following :
a) Critical load Pc
500
mm
375
mm
8 of 32 mm
375 mm
b) Magnified moment
c) the steel ratio required to
sustain the magnified moment
Solution:
2
2
98
.
6433
4
)
32
(
8
mm
As 


Pu=1.4PD + 1.7PL = 1129.79 kN
M1b= M2b =1.4MD + 1.7ML = 550.54 kN.m
MPa
fc
Ec 7
.
21383
7
.
20
4700
'
4700 


4
6
3
10
25
.
3906
12
)
500
(
375
mm
x
Ig 

4
6
2
2
10
194
.
226
)
5
.
187
(
98
.
6433 mm
x
z
A
I s
se 


MPa
Es 200000

41
.
0
54
.
550
)
72
.
162
(
4
.
1
4
.
1



u
D
d
M
M

d
se
s
g
c
I
E
I
E
EI




1
5
41
.
0
1
10
)
194
.
226
(
200000
5
10
)
35
.
3906
(
71
.
21383 6
6



EI
2
13
.
10
4
.
4 mm
N
x
EI 
2
2
)
( u
c
kL
EI
P


kN
x
Pc 85
.
12062
)
6000
(
10
4
.
4
2
13
2



0
.
1
54
.
550
54
.
550
4
.
0
6
.
0
4
.
0
6
.
0
2
1





b
b
M
M
Cm
13
.
1
)
85
.
12062
(
7
.
0
79
.
1129
1
1
1





Pc
Pu
Cm
b


m
kN
M
M b
b
c .
11
.
622
)
54
.
550
(
13
.
1
2 

 
MPa
A
P
A
P
g
u
g
n
03
.
6
)
500
(
375
79
.
1129




MPa
h
A
M
h
A
M
g
c
g
n
64
.
6
)
500
)(
375
)(
500
(
)
10
)(
11
.
622
( 6




Using the column interaction diagram
g
n
A
P

h
A
M
g
n

Project 6.03 MPa(0.875ksi) from axis horizontally to the right
Project 6.64 MPa(0.963ksi) from axis vertically up
Locate intersection of projected lines to get pg = 0.05
0
2
3
4
5
6
e
Pn
INTERACTION DIAGRAM
fc’ = 3 ksi(20.7 MPa)
fy = 60 ksi ( 413.7 MPa)
75
.
0


ΦMn/Agh(ksi)
h
h

1
0.2 0.4 0.6 0.8 1.0 1.2 1.4 1.6 1.8 2.0
0.875 ksi
0.963 ksi
Problem:
Design the steel reinforcement for a 7.5 m 600 mm by 600 mm square tied
Column bent in single curvature in a braced frame with ψ equal 1 at one end
and 2.0 at the other end. The column is used to carry the following loads
axial dead load = 800 kN
axial live load = 880 kN
dead load moment = 135 kN. m
live load moment = 175 kN. m
Use fc’ = 20.7 MPa, fy = 413.7 MPa, and place the bars at two end faces
With d’ = 75 mm.
Axis
of
bending
600 mm
75mm 450 mm 75 mm
SOLUTION
Pu =1.4 PD + 1.7PL
Pu= 1.4 (800) + 1.7(880) = 2,616 kN
MU = M2b = M1b = 1.4 MD + 1.7 ML
MU = M2b = M1b = 1.4(135) + 1.7 (175)
MU = M2b = M1b = 486.5 kN.m
M1b / M2b = 1.0 r = 03 h = 0.3(600) = 180
from Alignment chart k = 0.82
KLu / r = 0.82( 7500)/180 = 34.17
34 – 12M1b / M2b =34 -12(1) = 24
Check:
M2b > Pu (15 + 0.03h)
M2b > 2616 (15 + 0.03(600))/1000 = 86.33 kN.m
K
ψA
∞
50
10
5
3.0
2.0
1.0
0.8
0.6
0.5
0.4
0.3
0.2
0.1
0
ψB
∞
50
10
5
3.0
2.0
1.0
0.8
0.6
0.5
0.4
0.3
0.2
0.1
0
1.0
0.9
0.8
0.7
0.6
0.5
BRACED FRAME
0.82
1.0
0.4(1)
0.6
M
M
0.4
0.6
Cm
2b
1b





MPa
7
.
21383
7
.
20
4700
'
fc
4700
Ec



4
9
3
g
mm
10
x
8
.
10
12
)
600
(
600
I 

3885
.
0
5
.
486
)
135
(
4
.
1
d



2
12
9
.
10
532
.
66
3885
.
0
1
5
.
2
)
10
)(
8
.
10
(
7
.
383
,
21
1
5
.
2 mm
N
x
I
E
EI
d
g
c






 
kN
kL
EI
P
u
c 361
,
17
)
1000
(
)
7500
(
82
.
0
)
10
)(
532
.
66
(
)
( 2
12
2
2
2





274
.
1
)
361
,
17
(
7
.
0
616
,
2
1
1
Pc
Pu
1
Cm
b






 0
M s
2

m
.
kN
8
.
619
)
5
.
486
)(
274
.
1
(
0
M
M
M b
2
b
s
2
s
c




 

mm
237
m
237
.
0
616
,
2
8
.
619
P
M
e
u
u



 395
.
0
600
237
h
e


75
.
0
450
600
450
h






ksi
0547
.
1
MPa
27
.
7
)
600
(
600
)
1000
(
616
,
2
A
P
A
Pn
g
U
g





Pg=0.016
As =0.016(600)600 = 5,760 mm2
Using 25 mm bars
pcs
12
4
)
25
(
5760
No 2



0
2
3
4
5
6
e
Pn
INTERACTION DIAGRAM
fc’ = 3 ksi(20.7 MPa)
fy = 60 ksi ( 413.7 MPa)
75
.
0


ΦMn/Agh(ksi)
h
h

1
0.2 0.4 0.6 0.8 1.0 1.2 1.4 1.6 1.8 2.0
1.0547 ksi
0.016
0
1
2
3
4
5
6
0.2 0.4 0.6 0.8 1.0 1.2 1.4 1.6 1.8 2.0
e
Pn
INTERACTION DIAGRAM
fc’ = 4ksi(27.6 MPa)
fy = 60 ksi ( 413.7 MPa)
75
.
0


ΦP
n
/A
g
(ksi)
h
h

7
ΦMn/Agh(ksi)
Plate # 17: Design of Long columns
Design the steel reinforcement for a 6.0 m 500 mm by 500 mm square tied
Column bent in single curvature in a braced frame with ψ equal 2.0 at one end and
3.0 at the other end. The column is used to carry the following loads
axial dead load = 600 kN
axial live load = 650 kN
dead load moment = 105 kN. m
live load moment = 125 kN. m
Use fc’ = 20.7 MPa, fy = 413.7 MPa, and place the bars at two end faces
With d’ = 75 mm.
Axis
of
bending
500 mm
75mm 350 mm 75 mm
For the column shown in figure, PD = 200 kN, PL = 400 kN, MD =
122kN.m, and ML = 148 kN.m. The column belongs to a braced frame
and is bent in single curvature about the x axis by equal moments at
each end of the member . The unsupported length is 6 m. fc’ = 20.7
MPa, fy = 413.7 MPa . Determine the following :
a) Critical load Pc
450
mm
300
mm
8 of 28 mm
350 mm
b) Magnified moment
c) the steel ratio required to
sustain the magnified moment
TWO WAY SLABS
When a rectangular reinforced concrete slab is supported on four
sides,reinforcement placed perpendicular to the side may be assumed
to be effective in the two directions. These slabs are known as two
way slabs. Bending occurs on both directions. However if the slab is
supported on all sides but the ratio of the long side to short is two or
more times, the slab act as a one way slab with bending occuring in
the short direction.
Two methods of designing will be discussed. The direct design
method and the ACI moment coeffecient method. Other methods
available are the strip method and the equivalent frame method.
Beam or wall
Beam
Beam
Beam
Beam
Drop panel
Column
capital
Two way edge supported slab
Two way column supported slab
( Flat Slab)
panel
panel
h =slab thickness
Column
Strip
Column
Strip
L2
L1
Smaller of
0.25L1 or 0.25L2
Middle
Strip
Column and Middle Strip
When the design moments are computed, the moments are distributed
to the column and middle strip. Column strip is a design strip with a width on
each side of a column centerline equal to 0.25L1 or 0.25L2 whichever is less.
Column strip includes beam if any. The middle strip is a design strip bounded
by two column strips.
CL of column
Minimum thickness
Minimum thickness of slabs without interior beams spanning between the
supports shall be in accordance with Table 1 and shall not be less than the
following values:
a) slabs without drop panels 125 mm
b) slabs with drop panels 100 mm
Yield
Stress
Fy,MPa(1)
Without drop panels(2) With drop panels(2)
Exterior Panels Interior
Panels
Exterior Panels Interior
Panels
Without
edge
beam
With
edge
beam(3)
Without
edge
beam
With
edge
beam(3)
275 Ln /33 Ln /36 Ln /36 Ln /36
Ln /36 Ln /36
Ln /40 Ln /40
Ln /33 Ln /33 Ln /33
Ln /30
415
Table 1
(1) For values of reinforcement yield stress between 275 MPa and 415 MPa minimum
thickness shall be obtained by linear interpolation
(2) See definition of drop panel in Sections 5.13.4.7.1, 5.13.4.7.2,NSCP 5th Edition
(3) Slabs with beam between columns along exterior edges. The value of α for the
edge beam shall not be less than 0.8.
L
Not less than 1/6L h
Not less than 1/4h
Drop panels and column capitals are placed around the vicinity of the column
to reduce the effect of negative moment and shear
Sections 5.13.4.7.1 Drop panel shall extend in each direction from centerline
of support a distance not less than one sixth the span length measured center
to center of supports in that direction.
5.13.4.7.2 Projection of drop panel below the slab shall be at least one fourth
of the slab thickness beyond the drop.
DROP PANEL
Column capital
THE MINIMUM THICKNESS OF SLABS WITH OR WITHOUT
BEAMS SPANNING BETWEEN THE SUPPORTS ON ALL SIDES
AND HAVING A RATIO OF LONG SPAN TO SHORT SPAN NOT
EXCEEDING 2 SHALL BE











)
1
1
(
12
.
0
5000
36000
)
f
73
.
0
800
(
L
h
m
y
n




9000
36000
)
f
73
.
0
800
(
L
h y
n



36000
)
f
73
.
0
800
(
L
h y
n


but not less than
and need not be more than
EQ 10.1
EQ 10.2
EQ 10.3
The values of h obtained from EQS.10.1,10.2 and 10.3 maybe shall be
modified as required by Sections 5.9.5.3.4 and 5.9.5.3.5 but in no case
shall the thickness be less than
0
.
2
m


0
.
2
m


------------------------- 125 mm
------------------------- 90 mm
Section 5.9.5.3.4 For slabs without beams, but with drop panels extending
In each direction from centerline of support a distance not less than one sixth
the span length in that direction measured center to center of supports and
projection of slab at least one fourth of slab thickness beyond the thickness
required by EQS.10.1,10.2 and 10.3 shall be reduced by 10%.
Section 5.9.5.3.5 At discontinuous edge, an edge beam shall be provided
With a stiffness ratio σ not less than 0.8; or the minimum thickness
required by EQS.10.1,10.2 and 10.3 shall be increased by 10% in the
panel with a discontinuous edge.
Where
Ln = length of clear span in the long direction of a two- way construction
measured face to face of supports in slabs without beams and face
to face of beams or other supports in other cases.
αm = average value of α for all beams on edges of a panel.
α = ratio of flexural stiffness of beam section to flexural stiffness a
width of the slab bounded laterally by centerline of adjacent
panel ( if any) in each side of the beam.
β = ratio of clear spans in long to short direction of two way slabs.
Ecb = modulus of elasticity of beam concrete
Ecs = modulus of elasticity of slab concrete
Ib =moment of inertia about the centroidal axis of gross section of
section defined in section 5.13.2.4
Section 5.13.2.4 For monolithic or fully composite construction, a beam includes that
portion of the slab on each side of the beam extending a distance equal to the projection
of the beam above or below the slab, whichever is greater, but not greater than four times
the slab thickness
Is =moment of inertia about the centroidal axis of gross section of slab
Is =H3 /12 times width of slab defined in notation α and βt .
s
cs
b
cb
I
E
I
E


DIRECT DESIGN METHOD
Limitations of Direct Design Method
There shall be a minimum of three continuous span in each direction
Panel shall be rectangular with a ratio of longer to shorter span center to
center of support within a panel not greater than 2
Successive span lengths center to center of supports in each direction shall
not differ by more than 1/3 the longer support
Columns be offset a maximum of 10% of span ( in the direction of the offset)
from either axis between centerlines of successive columns.
All loads shall be due to gravity only and uniformly distributed over an entire
panel. Live load shall not exceed three times the dead load.
For a panel between supports on all sides , the relative stiffness of beams in
the two perpendicular direction, must be between 0.2 and 0.5.
Where :L1 = length of the span in the direction that moments are being
determined, measured center to center of supports
L2 = length of span transverse to LI, measured center to center of
supports.
2
2
2
2
1
1
L
L


Moments in slabs
The total moment resisted by the slab equals absolute sum of the positive
and negative factored moments in each direction and shall not be less than
8
L
)
L
w
(
M
2
n
2
u
o
 Where: wu is the factored
load
Clear span Ln shall extend face to face of the columns,capitals,bracket or
walls Ln in EQ. A shall not be less than 0.65L1. Circular or polygon supports
shall be treated as square supports with the same area
If the transverse span of panels on either side of the centerline of supports
varies L2 in EQ. A shall be taken as the average of adjacent transverse
spans. When the span adjacent and parallel to an edge is considered, the
distance from edge to panel centerline shall be substituted for L2 in EQ. A.
EQ. A
Negative and Positive Factored Moments
Negative factored moments shall be located at face of rectangular supports.
Circular or regular polygon supports shall be treated as square supports with
the same area
A. In an interior span, total static moment Mo shall be distributed as follows:
Negative factored moments 0.65
Positive factored moments 0.35
B. In an end span, total factored static moment Mo shall be distributed according
to the table below
Interior Negative
Factored Moment
Positive
Factored Moment
Exterior Negative
Factored Moment
Exterior edge
unrestrained
Slabs with
beams b/w
all supports
Slabs without beams
b/w interior supports
Without
edge beam
With
edge beam
Exterior edge
Fully restrained
1 2 3 4 5
0.75 0.70 0.70 0.70 0.65
0.65
0.63 0.57 0.52 0.50 0.35
0 0.16 0.26 0.30
Factored Moment in Column strips
Column strips shall be proportioned to resist the following portion in percent
Of interior factored negative moments.
TABLE A
0
l
l
1
2


0
.
1
l
l
1
2


1
2
l
l
0.5 1.0 2.0
75
75
75
75 45
90
Linear interpolation be made for the values shown
Column strips shall be proportioned to resist the following portion in percent
Of exterior factored negative moments.
TABLE B
0
l
l
1
2


0
.
1
l
l
1
2


1
2
l
l
0.5 1.0 2.0
75
100
100
75
45
100
Linear interpolation be made for the values shown
100
75
0
t


5
.
2
t


0
t


5
.
2
t


100 100
90 75
Where supports consists of columns or walls extending for a distance equal to
or greater than three – quarter other span length L2 used to compute Mo,
negative moments shall be considered to be uniformly distributed across Lo.
s
cs
cb
t
I
E
2
C
E


Where :
C = torsional rigidity of the effective transverse beam
Column strips shall be proportioned to resist the following in percent of
positive factored moments.
TABLE C
0
l
l
1
2


0
.
1
l
l
1
2


1
2
l
l
0.5 1.0 2.0
60
60
60
75 45
90
Linear interpolation be made for the values shown
For slabs with beams between supports, the slab portion of the column strip
shall be proportioned to resist that portion of the column strip moments not
resisted by the beams.
Factored moment in beams
Beams between supports shall be proportioned to resist 85% of column strip
moments If . If is between 1.0 and zero ,proportion
of
of column strip moments resisted by beams shall be obtained by linear
interpolation between 85 and zero percent.
Factored moment in middle strip
That portion of negative and positive factored moments not resisted by
column strips shall be proportionately assigned to corresponding half middle
strip. Each middles strip shall be proportioned to resist the sum of moment
assigned to its two half middle strip. A middle strip assigned to and parallel
with one edge supported by a wall shall be proportioned to resist twice the
moment assigned to the half middle strip corresponding to the first row of
Interior supports.
0
.
1
l
l
1
2


1
2
l
l

Modification of Factored Moments
Negative and positive factored moments maybe modified by 10 % provided
the total static moment for a panel in the direction considered is not less
than that required by EQ. A.
Factored shear in slab system with beams
Beams with shall be proportioned to resist shear caused by factored
loads on tributary areas bounded by 450 lines drawn from the corners of
the panel and the centerlines of adjacent panels parallel to the long side.
Beams with maybe proportioned to resist shear obtained by linear
Interpolation, assuming that the beam carries no load at α = 0
0
.
1
l
l
1
2


0
.
1
l
l
1
2


bw
d
1
x
L1
L2
L2/2
C.S for wide beam shear
450
450
Where
d =effective depth of the slab
A A
B
B
6 m
5 m 5 m
6 m
Problem
Using NSCP specifications, determine the minimum slab thickness of the
panel shown. The slab has beam between all supports which are poured
monolothically with the slab. fc’ =21MPa, fy = 414 MPa. Assume Ec be the
same for beam, slab and column.
Panel
for design
6 m
Section B-B
350 mm
500 mm
350 mm
Section A-A
350 mm 350 mm
500 mm
h
h
Solution
1. Assume

9000
36000
)
f
73
.
0
800
(
L
h y
n



22
.
1
350
5000
350
6000
Span
ShortClear
pan
LongClearS






Ln =6000 -350 =5650 mm
 
)
22
.
1
(
9000
36000
)
414
73
.
0
800
(
5650
h



h = 133 mm say 150 mm
2. Effective flange projection of beams
Section 5.13.2.4 For monolithic or fully composite construction, a beam includes that portion of the
slab on each side of the beam extending a distance equal to the projection of the beam above or
below the slab, whichever is greater, but not greater than four times the slab thickness
a) 500 – 150 = 350 mm
b) 4(150) = 600 mm use 350 mm
3. Moment of Inertias of beams
Approximate moment of inertias
Edge beams 1.4 to 1.6 of bh3/12
Interior beams 1.5 to 2 of bh3/12
a. Edge beam
4
6
3
mm
10
x
104
,
5
12
)
500
(
350
4
.
1
I 

b. Interior beam
4
6
3
mm
10
x
833
,
5
12
)
500
(
350
6
.
1
I 

4. Values of α
05
.
6
75
.
843
5104
1



Note : Ecb =Ecs
a) For edge beam with 3 m wide slab
4
6
3
s
mm
10
x
75
.
843
12
)
150
(
3000
I 

s
cs
b
cb
I
E
I
E


15
.
4
25
.
1406
5833
2



b) For interior beam with 5 m wide slab ( 2 beams)
4
6
3
s
mm
10
x
25
.
1406
12
)
150
(
5000
I 

46
.
3
5
.
1687
5833
3



c) For interior beam with 6 m wide slab
4
6
3
s
mm
10
x
5
.
1687
12
)
150
(
6000
I 

d) αm = average value of α for all beams on edges of a panel.
45
.
4
4
46
.
3
)
15
.
4
(
2
05
.
6
4
2 3
2
1
m











5. Check thickness
a) Minimum thickness











)
1
1
(
12
.
0
5000
36000
)
f
73
.
0
800
(
L
h
m
y
n



 











)
22
.
1
1
1
(
12
.
0
45
.
4
)
22
.
1
(
5000
36000
)
414
73
.
0
800
(
5650
h
h = 101 mm < 133 mm o.k
The values of h obtained from EQS.10.1,10.2 and 10.3 maybe shall be modified as
required by Sections 5.9.5.3.4 and 5.9.5.3.5 but in no case shall the thickness be
less than
0
.
2
m


0
.
2
m


------------------------- 125 mm
------------------------- 90 mm
45
.
4
m


Since hmin= 90 mm < 133 mm ok
b) thickness need not be more than
  mm
133
mm
173
36000
)
414
73
.
0
800
(
5650
h 


 o.k
Design the slab given in the preceding problem using auniform dead load
of 1.3 kPa excluding the weight of the slab and a uniform live load of
5.7 kPa. Use 12 mm bars , h = 150 mm and C = 4282 x 106 mm4.
Solution
1. Slab weight :
Ws = Wct(1)
Ws =23.5(0.15) = 3.53 kPa
Total uniform dead load
WD = 1.3 + 3.53 = 4.83 kPa
Total Factored uniform Load
Wu = 1.4WD+1.7WL = 1.4(4.83) +1.7(5.7) = 16.452 kPa
2. Effective depth
d = h - 1/2 bar diameter – cover
d = 150 - 1/2(12) – 20 = 124 mm
3. check depth for shear
Beams with shall be proportioned to resist shear caused by factored loads on
tributary areas bounded by 450 lines drawn from the corners of the panel and the centerlines
of adjacent panels parallel to the long side.
0
.
1
l
l
1
2


1
2.5 m
C.S
for
wide
beam
shear
45
0
45
0
5 m
6 m
x
0.124 m
0.35 m
0
.
1
45
.
3
6
5
)
15
.
4
(
l
l
1
2




x = 2.5-0.35/2 -0.124 = 2.201 m
taking b = 1 m
Shear force at critical section
Vu = Wu (shaded area)
Vu =Wu(x)(1)
Vu =16.452(2.201)
Vu = 36.21 kN
Shear carried by concrete
bd
'
fc
6
1
Vc

)
124
)(
1000
(
21
6
1
Vc

kN
7
.
94
N
706
,
94
Vc


kN
21
.
36
kN
5
.
80
)
7
.
94
(
85
.
0
Vc



 Ok for shear
Moment along the short span ( 5 m interior span)
4.
The total moment resisted by the slab equals absolute sum of the positive
and negative factored moments in each direction and shall not be less than
8
L
)
L
w
(
M
2
n
2
u
o
 Where: wu is the factored
load
EQ. A
Clear span Ln shall extend face to face of the columns,capitals,bracket or
walls Ln in EQ. A shall not be less than 0.65L1
L1 =5 m
Ln
L2= 6 m
0.35 m 0.35 m
Ln = 5 – 0.35 = 4.65 m
8
)
65
.
4
)(
6
(
452
.
16
(
M
2
o

m
.
kN
8
.
266
Mo

In an interior span, total static moment Mo shall be distributed as follows:
Negative factored moments 0.65
Positive factored moments 0.35
Negative factored moment=0.65(266.8) = -173.42 kN.m
Positive factored moment =0.35(266.8) = 93.38 kN.m
Distribute the above negative and positive moment to the
column strip, beam and middle strip
2
.
1
5
6
l
l
1
2

 46
.
3

 (in the direction of L1) 0
.
1
15
.
4
)
2
.
1
(
46
.
3
l
l
1
2




Factored Moment in Column strips
Column strips shall be proportioned to resist the following portion in percent of interior factored
negative moments.
Table A
0
.
1
l
l
1
2


1
2
l
l
0.5 1.0 2.0
75 45
90
Linear interpolation
be made for the values shown
1
2
l
l
Percentage
1.0 75
1.2 x
2.0 45
1.0 - 2.0 75 - 45
1.0 – 1.2 75 - x
75 - 45 75 - x
1.0 - 2.0 1.0 - 1.2
x= 69
Interior Negative moment resisted by column strip =0.69(-173.42)= -119.66kN.m
Factored moment in beams
Beams between supports shall be proportioned to resist 85% of column strip moments If 0
.
1
l
l
1
2


0.85(-119.66) = -101.71kN.m will be resisted by the beam
0.15(-119.66) = -17.95 kN.m will be resisted by the slab
The remaining –(173.42 – 119.66) = - 53.76 kN.m is allotted to the middle strip
0
.
1
l
l
1
2


1
2
l
l
0.5 1.0 2.0
75 45
90
Linear interpolation
be made for the values shown
Column strips shall be proportioned to resist the following in percent of positive factored moments.
TABLE C
1
2
l
l
Percentage
1.0 75
1.2 x
2.0 45
1.0 - 2.0 75 - 45
1.0 – 1.2 75 - x
75 - 45 75 - x
1.0 - 2.0 1.0 - 1.2
x= 69
Positive moment resisted by column strip =0.69(93.38)= 64.43kN.m
0.85(64.43) = 54.77kN.m will be resisted by the beam
0.15(64.43) = 9.66 kN.m will be resisted by the slab
The remaining (93.38 – 64.43) =28.95 kN.m is allotted to the middle strip
5. Moment along the short span (along edge beam) L1 =5 m
Ln
L2
0.35 m 0.35 m
Ln = 5 – 0.35 = 4.65 m
L2 =6/2 + 0.35/2 = 3.175 m
If the transverse span of panels on either side of the centerline of
supports varies L2 in EQ. A shall be taken as the average of
adjacent transverse spans. When the span adjacent and parallel
to an edge is considered, the distance from edge to panel
centerline shall be substituted for L2 in EQ. A.
Negative factored moment=0.65(141.18) = -91.78 kN.m
Positive factored moment =0.35(141.18) = 49.9 kN.m
8
)
65
.
4
)(
175
.
3
(
452
.
16
(
M
2
o

m
.
kN
18
.
141
Mo

2
.
1
5
6
l
l
1
2

 05
.
6

 (for edge beam) 0
.
1
26
.
7
)
2
.
1
(
05
.
6
l
l
1
2




4
6
3
s
mm
10
x
75
.
843
12
)
150
(
3000
I 

54
.
2
)
10
)(
75
.
843
(
2
10
x
4282
I
E
2
C
E
6
6
s
cs
cb
t




Note: Ecb =Ecs
Column strips shall be proportioned to resist the following portion in percent
Of exterior factored negative moments.
TABLE B
0
.
1
l
l
1
2


1
2
l
l
0.5 1.0 2.0
45
100
Linear interpolation be made for the values shown
0
t


5
.
2
t


100 100
90 75
1
2
l
l
Percentage
1.0 75
1.2 x
2.0 45
1.0 - 2.0 75 - 45
1.0 – 1.2 75 - x
75 - 45 75 - x
1.0 - 2.0 1.0 - 1.2
x= 69
Exterior Negative Moment
Column strip =0.69(-91.78) = 63.33 kN.m
Beam =0.85(-63.33) = - 53.83 kN.m
slab = 0.15(-63.33) = - 9.5 kN.m
Middle strip =-(91.78 -63.33) = - 28.45 kN.m
1
2
l
l
Percentage
1.0 75
1.2 x
2.0 45
1.0 - 2.0 75 - 45
1.0 – 1.2 75 - x
75 - 45 75 - x
1.0 - 2.0 1.0 - 1.2
x= 69
Positive Moment
From Table C
Column strip =0.69(49.4) = 34.1 kN.m
Beam =0.85(34.1) = 28.99 kN.m
slab = 0.15(34.1) = 5.12 kN.m
Middle strip = (49.4 -34.1) = 15.30 kN.m
interior Column strip
1.25 m 1.25 m
2.5 m
1.25
3.5
1.25
-9.5
-9.5
+5.12
-8.975
-8.975
+4.83
-8.975
-8.975
+4.83
-28.45
-26.88
-28.45
-26.88
+14.475
+15.3
-17.95/2 =-8.975
+9.66/2= +4.83
-53.76/2=-26.88
+28.95/2 = 14.475
-(26.88+28.45)= -55.33
+(14.475+15.3)=+29.78
Exterior Column strip
6. Moment along the long span (6m end span)
L2= 5 m
L1 = 6 m
Ln
Ln = 6 -0.35 = 5.65 m
8
)
65
.
5
)(
5
(
452
.
16
(
M
2
o

m
.
kN
24
.
328
Mo

Interior Negative
Factored Moment
Positive
Factored Moment
Exterior Negative
Factored Moment
Exterior edge
unrestrained
Slabs with
beams b/w
all supports
Slabs without beams
b/w interior supports
Without
edge beam
With
edge beam
Exterior edge
Fully restrained
1 2 3 4 5
0.75 0.70 0.70 0.70 0.65
0.65
0.63 0.57 0.52 0.50 0.35
0 0.16 0.26 0.30
In an end span, total factored static moment Mo shall
be distributed according to the table below
Factored Interior Negative Moment = -0.7(328.24)= -229.77 kN.m
Factored Positive Moment = -0.57(328.24)= -187.1 kN.m
Factored Exterior Negative Moment = -0.16(328.24)= -52.52 kN.m
83
.
0
6
5
l
l
1
2

 15
.
4

 0
.
1
44
.
3
)
83
.
00
(
15
.
4
l
l
1
2




1
2
l
l
Percentage
0.5 90
0.83 x
1.0 75
0.5 - 1.0 90 - 75
0.5 – 0.83 90 - x
0
.
1
5
.
0
83
.
0
5
.
0
75
90
x
90





1
.
80
x 
Interior Negative Moment ( Use Table A to get percentage)
Column strip =0.801(-229.77) = -184 kN.m
Beam =0.85(-184) = - 156.4 kN.m
slab = 0.15(-184) = - 27.6 kN.m
Middle strip =-(229.77- 184) = - 45.77 kN.m
1
2
l
l Percentage
0.5 90
0.83 x
1.0 75
0.5 - 1.0 90 - 75
0.5 – 0.83 90 - x
0
.
1
5
.
0
83
.
0
5
.
0
75
90
x
90





1
.
80
x 
Exterior Negative Moment ( Use Table B to get percentage)
Column strip =0.801(-52.52) = -42 kN.m
Beam =0.85(-42) = - 37.5 kN.m
slab = 0.15(-42) = - 6.3 kN.m
Middle strip =-(52.52- 42) = - 10.52 kN.m
1
2
l
l
Percentage
0.5 90
0.83 x
1.0 75
0.5 - 1.0 90 - 75
0.5 – 0.83 90 - x
0
.
1
5
.
0
83
.
0
5
.
0
75
90
x
90





1
.
80
x 
Positive Moment ( Use Table C to get percentage)
Column strip =0.801(187.1) = 150 kN.m
Beam =0.85(150) = 127.5 kN.m
slab = 0.15(150) = 22.5 kN.m
Middle strip =(187.1- 150) = 37.1 kN.m
-3.15
-3.15 -3.15
-3.15
-13.8
-13.8 -13.8
-13.8
11.25
11.25 11.25
11.25
-10.52
-45.77
37.1
Column
strip
Column
strip
1.25 m 1.25 m 1.25 m 1.25 m
2.5 m
Edge Beam
-6.3/2
22.5/2
-27.6/2
Note: Since the column strip exist on both sides of the beam, the value
Of the moment alloted to the slab must be divided by 2. In the middle
Strip it is not divided by 2 since the same moment is also alloted by the
Opposite middle strip.
-3.15 -3.15
-10.5
-13.8 -13.8
-45.77
+11.25 +11.25
+37.1
-9.5
-9.5
-8.975
-8.975
-53.33
-53.33
+28.97
+5.12
+4.83
1.25
m
1.25
m
3.5
m
1.25 m 1.25 m
2.5 m
A
A B
B C
C
D
E
F
D
E
F
Edge Beam
Row A & C
Across F Across E Across D Across F Across E Across D
Position
Mu
b
d
Ru
ρ
Use ρ
As
N 9.27
Use s
Row B
-3.15
1075
11.25
1075 1075
112 112
124 124 124 124
2500 2500 2500
-13.8 -10.5 -45.77
37.1
0.25955 0.75624 1.13708 0.30350 1.07238 1.32299
0.00063 0.00187 0.00284 0.00074 0.00267 0.00332
0.00338 0.00338 0.00338 0.00338 0.00338 0.00338
407.15 407.15
450.77 1048.31 1048.31 1048.31
Top Top Top Top
Bottom Bottom
290 290
260 260 260 260
3.6 3.99 3.6 9.27 9.27
s 298.61 298.61
269.71 269.71 269.71 269.71
00338
.
0
414
4
.
1
min 

p
Row D & F
Across A Across B Across C Across A Across B Across C
Position
Mu
b
d
Ru
ρ
Use ρ
As
N 12.98
Use s
Row E
-9.5
1075
5.12
1075 1075
124 124
124 124 124 124
3500 3500 3500
-9.5 -55.33 -55.33
29.78
0.6386 0.34417 0.6386 1.14237 0.61485 1.14237
0.00157 0.00084 0.00157 0.00285 0.00151 0.00285
0.00338 0.00338 0.00338 0.00338 0.00338 0.00338
450.77 450.77
450.77 1467.63 1467.33 1467.33
Top Top Top Top
Bottom Bottom
260 260
260 260 260 260
3.99 3.99 3.99 12.98 12.98
s 267.71 269.71
269.71 269.71 269.71 269.71
Temperature bars:
At =0.0018(1000)(150) = 270 mm2 Using 10 mm S = 418 mm
Maximum spacing = 2t = 300 mm say 260 mm
ACI MOMENT COEFFICIENT METHOD
The complexity of the Direct Design Method particularly in meeting its
requirements paved way to the ACI Moment Coeffecient Method. The
method makes use of tables of moment coeffecients for a variety of
conditions. These coeffecients are based on elastic analysis but also
takes into account inelastic distribution.
Moments at column strip and middle strip are computed by
2
a
a
a wl
C
M 
b
a l
l ,
2
b
b
b wl
C
M 
b
a C
C , =Tabulated moment coeffecients
= Clear span length in short and long directions respectively
w=uniform load in psf,Pa or KPa
panel
la
lb
Middle
strip
lb
Column strip
Column strip
Column
strip
Column
strip
la/4 la/4
lb/4
lb/4
Width of middle strip – one-half of the panel
Width of edge or column strip – one-fourth of the panel
Ratio
b
l
l
m a

1.0
Ca,Neg
Cb,Neg
0.95 Ca,Neg
Cb,Neg
0.90 Ca,Neg
Cb,Neg
0.85 Ca,Neg
Cb,Neg
0.80 Ca,Neg
Cb,Neg
0.75 Ca,Neg
Cb,Neg
0.70
Ca,Neg
Cb,Neg
0.65 Ca,Neg
Cb,Neg
0.60 Ca,Neg
Cb,Neg
0.55 Ca,Neg
Cb,Neg
0.50 Ca,Neg
Cb,Neg
Case 1 Case 2 Case 3 Case 4 Case 5 Case 6 Case 7 Case 8 Case 9
0.045
0.045
0.050
0.041
0.055
0.037
0.060
0.031
0.065
0.027
0.069
0.022
0.074
0.017
0.077
0.014
0.081
0.010
0.084
0.007
0.086.
0.006
0.050
0.050
0.055
0.045
0.060
0.040
0.066
0.034
0.071
0.029
0.076
0.024
0.081
0.019
0.085
0.015
0.089
0.011
0.092
0.008
0.094.
0.006
0.061
0.033
0.065
0.029
0.068
0.025
0.072
0.021
0.075
0.017
0.078
0.014
0.081
0.011
0.083
0.008
0.085
0.006
0.086
0.005.
0.088
0.033
0.033
0.061
0.038
0.056
0.043
0.052
0.049
0.046
0.055
0.041
0.061
0.036
0.068
0.029
0.074
0.024
0.080
0.018
0.085
0.015
0.089.
0.010
0.076
0.072
0.070
0.065
0.061
0.056
0.050
0.043
0.035
0.028
0.022
0.071
0.067
0.062
0.057
0.051
0.044
0.038
0.031
0.024
0.019
0.014
0.075
0.079
0.080
0.082
0.083
0.085
0.086
0.087
0.088
0.089
0.090
0.071
0.075
0.079
0.083
0.086
0.088
0.091
0.093
0.095
0.096
0.097
Table 1: Coeffecients for Negative Moments in Slabs
2
, a
aNeg
neg
a wl
C
M 
2
. b
bNeg
neg
b wl
C
M  w= total uniform dead plus live load
Ratio
b
l
l
m a

1.0
Ca,dl
Cb,dl
0.95 Ca,dl
Cb,dl
0.90 Ca,dl
Cb,dl
0.85 Ca,dl
Cb,dl
0.80 Ca,dl
Cb,dl
0.75 Ca,dl
Cb,dl
0.70
Ca,dl
Cb,dl
0.65 Ca,dl
Cb,dl
0.60 Ca,dl
Cb,dl
0.55 Ca,dl
Cb,dl
0.50 Ca, dl
Cb, dl
Case 1 Case 2 Case 3 Case 4 Case 5 Case 6 Case 7 Case 8 Case 9
0.018
0.018
0.020
0.016
0.022
0.014
0.024
0.012
0.026
0.011
0.028
0.009
0.030
0.007
0.032
0.006
0.034
0.004
0.035
0.003
0.037
0.002
0.027
0.027
0.030
0.024
0.033
0.022
0.036
0.019
0.039
0.016
0.043
0.013
0.046
0.011
0.050
0.009
0.053
0.007
0.056
0.005
0.059
0.004
0.023
0.020
0.024
0.017
0.026
0.015
0.028
0.013
0.029
0.010
0.031
0.007
0.033
0.006
0.034
0.005
0.036
0.004
0.037
0.003
0.038
0.002
0.020
0.023
0.022
0.021
0.025
0.019
0.029
0.017
0.032
0.015
0.036
0.013
0.040
0.011
0.044
0.009
0.048
0.007
0.052
0.005
0.056
0.004
0.036
0.036
0.040
0.033
0.045
0.029
0.050
0.026
0.056
0.023
0.061
0.019
0.068
0.016
0.074
0.013
0.081
0.010
0.088
0.008
0.095
0.006
0.018
0.027
0.021
0.025
0.025
0.024
0.029
0.022
0.034
0.020
0.040
0.018
0.046
0.016
0.054
0.014
0.062
0.011
0.071
0.009
0.080
0.006
0.027
0.018
0.028
0.015
0.029
0.013
0.031
0.011
0.032
0.009
0.033
0.007
0.035
0.005
0.036
0.004
0.037
0.003
0.038
0.002
0.039
0.001
0.033
0.027
0.036
0.024
0.039
0.021
0.042
0.017
0.045
0.015
0.048
0.012
0.051
0.009
0.054
0.007
0.056
0.006
0.058
0.004
0.061
0.003
0.027
0.033
0.031
0.031
0.035
0.028
0.040
0.025
0.045
0.022
0.051
0.020
0.058
0.017
0.065
0.014
0.073
0.012
0.081
0.009
0.089
0.007
Table 2: Coeffecients for Dead Load Positive Moments in Slabs
w= total uniform dead load
2
a
dl
,
a
dl
,
apos wl
C
M  2
.
, b
dl
b
dl
bpos wl
C
M 
Ratio
b
l
l
m a

1.0
Ca,ll
Cb,ll
0.95 Ca,ll
Cb,ll
0.90 Ca,ll
Cb,ll
0.85 Ca,ll
Cb,ll
0.80 Ca,ll
Cb,ll
0.75 Ca,ll
Cb,ll
0.70
Ca,ll
Cb,ll
0.65 Ca,ll
Cb,ll
0.60 Ca,ll
Cb,ll
0.55 Ca,ll
Cb,ll
0.50 Ca,ll
Cb,ll
Case 1 Case 2 Case 3 Case 4 Case 5 Case 6 Case 7 Case 8 Case 9
0.027
0.027
0.030
0.025
0.034
0.022
0.037
0.019
0.041
0.017
0.045
0.014
0.049
0.012
0.053
0.010
0.058
0.007
0.062
0.006
0.066
0.004
0.032
0.032
0.035
0.029
0.039
0.026
0.040
0.023
0.048
0.020
0.052
0.016
0.057
0.014
0.062
0.011
0.067
0.009
0.072
0.007
0.077
0.005
0.030
0.028
0.032
0.025
0.036
0.022
0.039
0.020
0.042
0.017
0.046
0.013
0.050
0.011
0.054
0.009
0.059
0.007
0.063
0.006
0.067
0.004
0.028
0.030
0.031
0.027
0.035
0.024
0.040
0.022
0.044
0.019
0.049
0.016
0.054
0.014
0.059
0.011
0.065
0.009
0.070
0.007
0.076
0.005
0.036
0.036
0.040
0.033
0.045
0.029
0.050
0.026
0.056
0.023
0.061
0.019
0.068
0.016
0.074
0.013
0.081
0.010
0.088
0.008
0.095
0.006
0.032
0.032
0.031
0.029
0.035
0.027
0.040
0.024
0.045
0.022
0.051
0.019
0.057
0.016
0.064
0.014
0.071
0.011
0.080
0.009
0.088
0.007
0.032
0.027
0.034
0.024
0.037
0.021
0.041
0.019
0.044
0.016
0.047
0.013
0.051
0.011
0.055
0.009
0.059
0.007
0.063
0.005
0.067
0.004
0.035
0.032
0.038
0.029
0.042
0.025
0.046
0.022
0.051
0.019
0.055
0.016
0.060
0.013
0.064
0.010
0.068
0.008
0.073
0.006
0.078
0.005
0.032
0.035
0.036
0.032
0.040
0.029
0.045
0.026
0.051
0.023
0.056
0.020
0.063
0.017
0.070
0.014
0.077
0.011
0.085
0.009
0.092
0.007
Table 3: Coeffecients for Live Load Positive Moments in Slabs
w= total uniform live load
2
a
ll
,
a
ll
,
apos wl
C
M  2
,
, b
ll
b
ll
bPos wl
C
M 
Ratio
b
l
l
m a

1.0
Wa
Wb
0.95
0.90
0.85
0.80
0.75
0.70
l
0.65
0.60
0.55
0.50
Case 1 Case 2 Case 3 Case 4 Case 5 Case 6 Case 7 Case 8 Case 9
0.50
0.50
0.55
0.45
0.60
0.40
0.030
0.028
0.71
0.29
0.75
0.25
0.79
0.21
0.83
0.17
0.86
0.14
0.89
0.11
0.92
0.08
0.94
0.06
0.95
0.05
0.97
0.03
0.028
0.030
0.38
0.62
0.43
0.57
0.49
0.51
0.55
0.45
0.61
0.39
0.68
0.32
0.74
0.26
0.80
0.20
0.85
0.25
0.89
0.11
0.50
0.50
0.55
0.45
0.60
0.40
0.66
0.34
0.71
0.29
0.76
0.24
0.81
0.19
0.85
0.15
0.89
0.11
0.92
0.08
0.94
0.06
0.17
0.83
0.20
0.80
0.23
0.77
0.28
0.72
0.33
0.77
0.39
0.61
0.45
0.55
0.53
0.47
0.61
0.39
0.69
0.31
0.76
0.24
0.83
0.17
0.86
0.14
088
0.12
0.90
0.10
0.92
0.08
0.94
0.06
0.95
0.05
0.96
0.04
0.97
0.08
0.98
0.02
0.99
0.01
0.71
0.29
0.75
0.25
0.79
0.21
0.83
0.17
0.86
0.14
0.88
0.12
0.91
0.09
0.93
0.07
0.95
0.05
0.96
0.04
0.97
0.03
0.29
0.71
0.33
0.67
0.38
0.62
0.43
0.57
0.49
0.51
0.56
0.44
0.62
0.38
0.69
0.31
0.76
0.24
0.81
0.19
0.86
0.14
Wa
Wb
Wa
Wb
Wa
Wb
Wa
Wb
Wa
Wb
Wa
Wb
Wa
Wb
Wa
Wb
Wa
Wb
Wa
Wb
0.66
0.34
0.71
0.29
0.76
0.24
0.81
0.19
0.85
0.15
0.89
0.11
0.92
0.08
0.94
0.06
0.50
0.50
0.55
0.45
0.60
0.40
0.66
0.34
0.71
0.29
0.76
0.24
0.81
0.19
0.85
0.15
0.89
0.11
0.92
0.08
0.94
0.06
Table 4: Ratio of load w in la and lb directions for shear and slabs and load
0n supports
Continuous edge
Discontinuous Edge
Cases Description
Case 1 : Simply supported
Case 2 : Interior Panel
Case 3 : Edges of the Long span continuous
Case 4 : One edge of Long span, one edge
of short span continuous (corner panel)
Case 5 : Edges of the short span continuous
Case 6 : One edge of short span continuous
Case 7: One edge of long span continuous
Case 8: Two edge of long span, one edge
of short span continuous
Case 9: Two edge of short span, one edge
of long span continuous
Uses of Tables of coeffecients
Table 1 - to compute the total negative moment at the continuous edge(column strip)
Table 2 - to compute the positive dead load moment at the midspan(middle strip)
Table 3- to compute the positive live load moment at the midspan(middle strip)
Table 4 - to compute shear at the long and short span
Total Positive moment at midspan
Sum of positive dead load moment and positive live load moment
Negative Moment at Discontinuous egde =1/3 of Positive moment at the midspan
Minimum thickness
1/180 times the perimeter of the panel but not to be less than 75 mm
180
)
(
2
min
b
a l
l
h


A A
B
B
5.3 m
5.3 m 4.3 m
Problem
Design the thickness and reinforcement of the cornel panel shown using the
ACI moment coeffecient method. The slab has beam between all supports
which are poured monolothically with the slab. fc’ =20 MPa, fy = 350 MPa
The slab is to support a uniform dead load of 4.5 kPa and uniform live load of
3.9 kPa. Concrete weighs 23.5 kN/m3.
Panel
for design
5.3 m
Section B-B
300 mm
500 mm
300 mm
h
Section A-A
300 mm 300 mm
500 mm
h
Solution
Clear span length
short span = la = 4.3 – 0.3 = 4.0m
long span = lb = 5.3 – 0.3 = 5.0m
Slab thickness:
180
)
(
2
min
b
a l
l
h


mm
mm
h 75
100
180
)
5000
4000
(
2




Weight of slab
Ws = 0.10(23.5) =2.35 kN/m
Total Dead load
WD = 4.5 + 2.35 = 6.85 kN/m
Factored loads
Dead load = 1.4 (6.85) = 9.59 kN/m
Live load = 1.7 (3.9) = 6.63 kN/m
Total factored load = 16.22 kN/m
Effective depth ( using 12 mm bars)
d = 100 -1/2(12) – 20 =74 mm
Check for Shear
From Table 4 Wa = 0.71, Wb = 0.21, showing that the shear in the short
direction is more critical than the long direction.
uniform load per m width Wu = 0.71( 16.22) = 11.52 kN/m
80
.
0
5
4



b
a
l
l
m
11.52 kN/m
0.074 m
4 m
c.s for shear
R=11.52(4)/2=23.04 kN
Shear force at critical section
Vu =23.04 -0.074(11.52) = 22.19 kN=22190 N
Allowable shear force
N
Vu 46883
6
74
)
1000
(
20
85
.
0


22450
46883
2
085
2

 N
VC

Positive Moment at the midspan
Dead Load
2
a
dl
,
a
dl
,
apos wl
C
M  From Table 2 ,Ca,dl =0.039 w= 9.59
MaPos,dl=0.039(9.59)(4)2 =5.98 kN.m
From Table 3 ,Ca,ll =0.048 w= 6.63
MaPos,ll=0.048(6.63)(4)2 =5.09 kN.m
Live Load
2
a
ll
,
a
ll
,
apos wl
C
M 
Total Positive Moment at Midspan
MaPos = 5.98 + 5.09 = 11.07 kN.m
Negative Moment at discontinuous edge
MaNeg = -1/3MaPos
MaNeg = -1/3(11.07) = -3.69 kN.m
Design Moments
Short Direction
Negative Moment at continuous edge:
From Table 1 CaNeg =0.071, w = 16.22
Ma,Neg = 0.071(16.22)(4)2=18.43 kN/m
Long Direction
Negative Moment at continuous edge:
From Table 1 CbNeg =0.029, w = 16.22
Mb,Neg = 0.029(16.22)(5)2=11.76 kN/m
2
. b
bNeg
neg
b wl
C
M 
Positive Moment at the midspan
Dead Load
From Table 2 ,Cbdl =0.016 w= 9.59
MbPos,dl=0.016(9.59)(5)2 =3.84 kN.m
From Table 3 ,Cb,ll =0.020 w= 6.63
MbPos,ll=0.020(6.63)(5)2 =3.32 kN.m
Live Load
Total Positive Moment at Midspan
MbPos = 3.84 + 3.32 = 7.16 kN.m
Negative Moment at discontinuous edge
MbNeg = -1/3MaPos
MbNeg = -1/3(7.16) = -2.39kN.m
2
.
, b
dl
b
dl
bpos wl
C
M 
2
,
, b
ll
b
ll
bPos wl
C
M 
Design of As
004
.
0
350
4
.
1
4
.
1
59
.
20
)
20
(
85
.
0
350
'
85
.
0
min 





fy
p
fc
fy
m
Short Direction
Negative reinforcement at continuous edge Mu=18.43 kN.m
]
2
1
1
[
1
74
.
3
)
74
)(
1000
(
9
.
0
)
10
(
43
.
18
2
6
2
fy
mR
m
p
bd
M
R
u
u
u







012
.
0
]
350
74
.
3
)
59
.
20
(
2
1
1
[
59
.
20
1




p
2
888
74
)
1000
(
012
.
0 mm
pbd
As 


s
A
A
S 1
1000

mm
120
say
128
888
1
.
113
1000
1
.
113
4
)
12
(
bars
mm
12
Using
2
2
1
mm
S
S
mm
A



 
Positive reinforcement at midspan Mu=11.07 kN.m
25
.
2
)
74
)(
1000
(
9
.
0
)
10
(
07
.
11
2
6
2



bd
M
R u
u

00692
.
0
]
350
25
.
2
)
59
.
20
(
2
1
1
[
59
.
20
1




p
2
08
.
512
74
)
1000
(
00692
.
0 mm
pbd
As 


s
A
A
S 1
1000

mm
220
say
86
.
220
512
1
.
113
1000
1
.
113
4
)
12
( 2
2
1




S
S
mm
A 
Long Direction
Negative reinforcement at continuous edge Mu=11.76 kN.m
]
2
1
1
[
1
39
.
2
)
74
)(
1000
(
9
.
0
)
10
(
76
.
11
2
6
2
fy
mR
m
p
bd
M
R
u
u
u







0074
.
0
]
350
39
.
2
)
59
.
20
(
2
1
1
[
59
.
20
1




p
2
548
74
)
1000
(
0074
.
0 mm
pbd
As 


s
A
A
S 1
1000

mm
200
say
39
.
206
548
1
.
113
1000
1
.
113
4
)
12
(
bars
mm
12
Using
2
2
1
mm
S
S
mm
A



 
Positive reinforcement at midspan Mu=7.16 kN.m
45
.
1
)
74
)(
1000
(
9
.
0
)
10
(
16
.
7
2
6
2



bd
M
R u
u

0043
.
0
]
350
45
.
1
)
59
.
20
(
2
1
1
[
59
.
20
1




p
2
2
.
318
74
)
1000
(
0043
.
0 mm
pbd
As 


s
A
A
S 1
1000

mm
300
say
4
.
355
2
.
318
1
.
113
1000
1
.
113
4
)
12
( 2
2
1




S
S
mm
A 
-2.39
-11.76
+7.16
-18.43
-3.69
+11.07
1.25
m
1.25
m
2.5
m
1.0 m 1.0 m
2.0m
B
B
D
E
F
D
E
F
A C
A C
Row A
Position
Mu
b
d
Ru
ρ
Use ρ
As
618
Use s
Row E
-18.43
1000
11.07
1000 1000
74 74
74 74 68 74
1000 1000 1000
-3.69 -11.76 -2.39
7.16
3.74 2.25 2.39 1.72
0.0122 0.00692 0.0074 0.0052
0.0122 0.00692 0.0074 0.0052
902.8 512.08 547.6 384.8
Top Top Top Top
Bottom Bottom
12 mm 12 mm 12 mm 12 mm 12 mm
125 220 660 206 293.9
s
110 220 150 300 300
Across D,
E&F
Across D,
E&F
Row B Row C Row D Row F
Across A,
B&C
Across A,
B&C
Across A,
B&C
Across D,
E&F
Smax = 5t = 500 mm Temperature bars At = 0.0020(1000)100 = 200
S = 392 mm use s = 300 mm Bar size 10 mm
Bar size 12 mm
220
1.A square tied column 300 mm by 300 mm is reinforced with 6 of 20 mm
bars with fc’ = 20.7 MPa and fy = 345 MPa. Determine the following :
a) Ultimate axial load capacity of the column.
b) spacing of 10 mm lateral ties
Concrete Design
Semi- Final Exam
Pu =Ф0.80{0.85fc’(Ag-Ast) + Astfy} 2
2
95
.
1884
4
)
20
(
6 mm
Ast 


kN
Pu 38
.
1232
1000
)}
345
(
95
.
1884
]
95
.
1884
)
300
)(
300
)[(
7
.
20
(
85
.
0
){
80
.
0
(
7
.
0




mm
S 400
)
20
(
16 

mm
S 480
)
10
(
48 

mm
S 300
 Use S = 300 mm
Spacing of 10 mm ties
2. Calculate the ultimate axial load capacity of the composite column shown
below .fc’=21 MPa, Fy=250 MPa,fy =350MPa. Reinforcing bars consist of 8 of
20 mm diameter bars.
Properties of W 10 x 150
Area = 27000 mm2
Depth = 250 mm
W10 x 150
400 mm
400 mm
 
y
WF
y
s
c
u F
A
f
A
A
fc
P 

 '
85
.
0
85
.
0

2
2
2513
4
]
)
20
[(
8
mm
As 


 
)
250
(
27000
)
350
(
2513
)
130487
)(
21
(
85
.
0
85
.
0
)
7
.
0
( 


u
P
2
130487
2513
27000
)
400
(
400 mm
Ac 



kN
N
Pu 52
.
925
,
5
5925452 

3. A cantilever beam 300 mm wide and 450 mm deep is reinforced with
6 of 22 mm straight top bars with fc’ = 20.7 MPa and fy = 415 MPa.
Calculate required development length.
Solution
Modification Factor
Top bar = 1.3
Required development length
mm
L
L db
d 2964
)
2280
(
3
.
1
3
.
1 


'
25
fc
f
L y
db 
mm
Ldb 2280
7
.
20
)
415
(
25


4. A rectangular beam 350 mm wide and 600 mm deep is reinforced
with 4 of 32 mm compression bars with fc’ = 20.7 MPa and fy = 275
MPa. Calculate the required development length.
'
24
.
0
fc
f
d
L y
b
db 
mm
Ldb 2
.
464
7
.
20
275
)
32
(
24
.
0


mm
Ldb 352
)
275
)(
32
(
04
.
0 

mm
Ldb 2
.
464

Use
y
b
db f
d
L 04
.
0

No applicable modification factor mm
Ld 2
.
464

5. A rectangular beam with b = 300 mm, d = 500 mm is provided with 10 mm
vertical stirrups with fy = 276 MPa. Assuming fc’ = 21 MPa;
a) Determine the required spacing if Vu = 42 kN
b) Determine the required spacing if Vu = 95 kN
Solution
Shear carried by concrete
d
b
fc
V w
c
'
6
1

N
Vc 564
,
114
500
)
300
(
21
6
1


N
Vc
7
.
48689
2
)
114564
(
85
.
0
2



2
42000 c
u
V
N
V



a) Stirrups not necessary
N
Vu 95000

b)
c
u
s V
V
V 


N
Vs 2799
114564
85
.
0
95000



2
2
1
.
157
4
)
10
(
2
mm
Av 


mm
V
d
f
A
S
s
y
v
7745
2799
500
)
276
(
1
.
157



N
d
b
fc w 229129
)
500
)(
300
(
21
3
1
'
3
1


mm
d
S 250
2
500
2



d
b
fc
V w
s '
3
1

Use S = 250 mm
Semi-Final Exam
1. A square concrete column has a dimension of 400 mm by 400 mm.
The column length is 4.5 m and is to be used in a frame braced against
sidesway ( k =1.0, EI = 40MN.m2). The column is bent in single
curvature by ultimate factored moment of 100 kN.m at the top and 120
kN.m at the bottom. The column carries factored axial dead load of 150
kN and factored axial live load of 320 kN. Is slenderness effects be
considered in the analysis ? If so, what is the magnified moment
capacity of this column ?
2. Solve the previous problem considering the effect of wind loads
producing an unfactored axial load of 125 kN an unfactored moment of
90 kN.m.
3. For the column shown in figure, PD = 250 kN, PL = 410kN, MD = 140
kN.m, and ML = 152 kN.m. The column belongs to a braced frame and
is bent in single curvature about the x axis by equal moments at each
end of the member . The unsupported length is 6 m. fc’ = 20.7 MPa, fy =
413.7 MPa . Determine the following :
a) Critical load Pc
500
mm
350
mm
8 of 28 mm
350 mm
b) Magnified moment
Solution to #1
m
kN
M b .
120
2  m
kN
M b .
100
1 

mm
h
r 120
)
400
(
3
.
0
3
.
0 


mm
m
Lu 4500
5
.
4 

5
.
37
120
)
4500
(
1


r
kLu
24
120
100
12
34
12
34
2
1




B
B
M
M
B
B
u
M
M
r
kL
2
1
12
34 
 Column is Long
0
2 
s
M
+ since the
column is bent
in single
curvature
933
.
0
120
100
4
.
0
6
.
0
4
.
0
6
.
0
2
1





b
b
m
M
M
C
kN
Pu 470
320
150 


kN
N
kL
EI
P
u
c 5
.
495
,
19
515
,
495
,
19
)}
5
.
4
)(
1
{(
)
10
(
40
)
( 2
6
2
2
2






967
.
0
)
5
.
19495
(
7
.
0
470
1
933
.
0
1





c
u
m
b
P
P
C


m
kN
M
M
M s
s
c
b
b
c .
04
.
116
)
0
(
)
120
(
967
.
0
2
2 



 


]
7
.
1
7
.
1
4
.
1
[
75
.
0
2 W
L
D
s M
M
M
M 


m
kN
M s .
75
.
114
)]
90
(
7
.
1
)
0
(
7
.
1
)
0
(
4
.
1
[
75
.
0
2 



Solution to #2
kN
P
P L
D 470
320
150
]
7
.
1
4
.
1
[ 


 Specified in the previous
problem
kN
P
P
P
P W
L
D
u 87
.
511
)]
125
(
7
.
1
470
[
75
.
0
]
7
.
1
7
.
1
4
.
1
[
75
.
0 





97
.
0
)
5
.
19495
(
7
.
0
87
.
511
1
933
.
0
1





c
u
m
b
P
P
C


m
kN
M
M
M s
s
b
b
c .
15
.
231
)
75
.
114
(
0
.
1
)
120
(
97
.
0
2
2 



 


 0
.
1
s
 Frame is braced against sidesway
2
2
4926
4
)
28
(
8
mm
As 


Pu=1.4PD + 1.7PL = 1047 kN
M1b= M2b =1.4MD + 1.7ML = 454.4 kN.m
MPa
fc
Ec 7
.
21383
7
.
20
4700
'
4700 


4
6
3
10
83
.
3645
12
)
500
(
350
mm
x
Ig 

4
6
2
2
10
86
.
150
)
175
(
4926 mm
x
z
A
I s
se 


MPa
Es 200000

Solution to # 3
431
.
0
4
.
454
)
140
(
4
.
1
4
.
1



u
D
d
M
M

d
se
s
g
c
I
E
I
E
EI




1
5
431
.
0
1
10
)
86
.
150
(
200000
5
10
)
83
.
3645
(
71
.
21383 6
6



EI
2
13
.
10
576
.
4 mm
N
x
EI 
2
2
)
( u
c
kL
EI
P


kN
x
Pc 36
.
12545
)
6000
(
10
576
.
4
2
13
2



0
.
1
54
.
550
54
.
550
4
.
0
6
.
0
4
.
0
6
.
0
2
1





b
b
M
M
Cm
135
.
1
)
36
.
12545
(
7
.
0
1047
1
1
1





Pc
Pu
Cm
b


m
kN
M
M b
b
c .
78
.
515
)
4
.
454
(
135
.
1
2 

 
Prelim Exam
1. A concrete beam 6 m long is 300 mm wide and 500 mm deep and
carries a dead load of 7 kN/m and live load of 10 kN/m. The beam
is reinforced for tension only with four 20 mm bars with an effective
depth to tension bars of 430 mm. fc’ = 20.7 MPa , fy = 345 MPa ,
fr = 2.832 MPa, Ec = 20,000 MPa, Es = 200,000 MPa, n=10.
Covering of bars is 70 mm.
a) Calculate the maximum instantaneous deflection due to dead load
and live load.
b) Calculate the deflection due to the same loads after five years
assuming that 30% of the live load is sustained.
Gross moment of inertia
4
6
3
3
10
3125
12
)
500
(
300
12
mm
x
bh
Ig 


m
kN
mm
N
x
y
I
f
M
t
g
r
cr .
4
.
35
.
10
4
.
35
250
10
)
3125
(
832
.
2 6
6




b=300 b
x
430-x
nAs
As
d=430
2
2
1257
4
)
20
(
4
mm
As 


Transformed section
70
)
(
2
2
x
d
nA
x
b s 
 )
430
)(
1257
(
10
2
300
2
x
x


x
x 8
.
83
36034
2

 0
36034
8
.
83
2


 x
x
mm
x 5
.
152
2
)
36034
(
4
)
8
.
83
(
8
.
83 2





2
3
2
3
)
5
.
152
430
)(
1257
(
10
3
)
5
.
152
(
300
)
(
3





 x
d
nA
bx
I s
cr
4
6
10
6
.
1322 mm
x
Icr 
a) m
kN
L
W
M L
a .
5
.
76
8
)
6
)(
17
(
8
2
2



6
3
6
3
10
6
.
1322
5
.
76
4
.
35
1
10
3125
5
.
76
4
.
35
x
x
Ie























4
6
10
1
.
1501 mm
x
Ie 
Effective moment of inertia
cr
a
cr
g
a
cr
e I
M
M
I
M
M
I

























3
3
1
Instantaneous deflection due to live load
mm
I
E
L
W
e
c
L
55
.
9
)
10
(
1
.
1501
)
20000
(
384
)
6000
)(
17
(
5
384
5
6
4
4




b) Long term deflection
Since only 30% l of the live load is sustained
m
kN
WT /
10
)
10
(
3
.
0
7 


2
)
0
(
50
1
2
50
1 '





p


Long term deflection
mm
L 79
.
20
)
62
.
5
(
2
55
.
9
' 



 


mm
I
E
L
W
e
c
T
62
.
5
)
10
(
1
.
1501
)
20000
(
384
)
6000
)(
10
(
5
384
5
' 6
4
4




2. Determine the ultimate moment capacity of the triangular beam shown in
figure. fc’ =20.7 MPa, fy = 345 MPa.
400mm
75 mm
450mm
3 of 16 mm
Ac
0.003
s

c
375 - c
x
a
C=0.85fc’Ac
T=Asfy
400 - 2a/3
Solution
2
2
2
.
603
4
)
16
(
3
mm
As 


Assume that steel yields at failure( subject to checking)
C=T 0.85fc’Ac=Asfy 0.85(20.7)Ac =603.2(345) Ac =11,827.45 mm2
ax
Ac
2
1

475
450

a
x
1
.
947
.
0 EQ
a
x 

)
947
.
0
(
2
1
45
.
11827 a
a
 mm
a 04
.
158

mm
a
c 93
.
185
85
.
0
04
.
158
1




From the strain diagram
c
c
s 

400
003
.
0

2000000
s
s
f


93
.
185
93
.
185
400
003
.
0
)
200000
(


s
f
y
s f
MPa
f 
 8
.
690 tension steel yields at failure
By similar triangles
m
kN
a
f
A
M y
s
u .
1
.
55
10
)
3
04
.
158
]
2
[
400
(
345
)
2
.
603
(
9
.
0
)
3
2
400
( 6




 
2. A reinforced concrete T- beam has an effective flange width of 1500
mm span, slab thickness of 100 mm, effective depth of 600 mm and the
width of the web is 250 mm. The beam is reinforced with steel of area
4500 mm2. If fc’ = 20.7 MPa and fy= 345 MPa, calculate the ultimate
moment capacity.
mm
mm
b
fc
f
A
z
f
y
s
100
8
.
58
)
1500
)(
7
.
20
(
85
.
0
)
345
(
4500
'
85
.
0




Analyze as wide rectangular beam
solution
m
kN
z
d
f
A
M y
s
u .
3
.
797
10
)
2
8
.
58
600
(
345
)
4500
(
9
.
0
)
2
( 6





005
.
0
)
600
(
1500
4500



bd
A
p s
0275
.
0
345
)
345
600
(
)
600
(
85
.
0
)
7
.
20
(
85
.
0
)
600
(
600
'
85
.
0 1





y
y
b
f
f
fc
p

p
p
p b 

 0206
.
0
75
.
0
max tension steel yields at failure
2. A doubly reinforced rectangular concrete beam has b =350 mm,d =600mm,
fc’=27.5 MPa, fy = 345 MPa, As =3625 mm2, As’ = 775mm2 ,covering for tension
and compression bars 80 mm and 63 mm respectively. If the beam is an interior
span of a three span continuous beam supporting a service dead load of 20 kN/m
(weight included) determine the maximum uniformly distributed live load it can
support on an average clear span of 5.0 m. Use NSCP moment coeffecients.
mm
b
fc
f
A
a
y
s
18
.
120
350
)
5
.
27
(
85
.
0
)
345
(
2850
'
85
.
0
1



y
s f
MPa
a
d
a
f 




 65
.
332
18
.
120
)])
63
(
85
.
0
[
18
.
120
(
600
)
(
600 '
1
' 
2
1 2850
775
3625
' mm
As
As
As 




Compression steel does not yield at failure
∑Fx =0 0.85fc’ab + As’fs’ = Asfy
0.85(27.5)350a + 775fs’ = 3625(345)
10.56a +fs’ = 1613.7
fs’ =1613.7 – 10.56 a EQ.1
a
a
a
d
a
fs
)])
63
(
85
.
0
[
(
600
)
(
600 '
1
' 




2
.
)
55
.
53
(
600
'
EQ
a
a
fs 


2
.
1
. EQ
EQ 
a
a
a
)
55
.
53
(
600
56
.
10
7
.
1613



32130
600
56
.
10
7
.
1613 2


 a
a
a
0
32130
7
.
1013
56
.
10 2


 a
a
0
6
.
3042
96
2


 a
a
mm
a 12
.
121
2
)
6
.
3042
(
4
)
96
(
96 2




12
.
121
)
55
.
53
12
.
121
(
600
' 

s
f
y
s f
MPa
f 
 7
.
334
'
)
2
(
1
1
a
d
f
As
Mu y 
 
)
'
(
'
'
2 d
d
fs
As
Mu 
 
6
1
10
)
2
12
.
121
600
)(
345
)
2850
(
9
.
0 

Mu
m
kN
Mu .
36
.
477
1 
6
2
10
)
63
600
(
7
.
334
)
775
(
9
.
0 

Mu
m
kN
Mu .
36
.
125
2 
m
kN
Mu
Mu
Mu .
72
.
602
2
1 


2
'
max 6
.
6500
'
75
.
0 mm
f
fs
A
bd
p
A
y
s
b
s 


0365
.
0
345
)
345
600
(
)
600
(
7
.
334
)
5
.
27
(
85
.
0



b
p
2. A cantilever beam 300 mm wide and 450 mm deep is reinforced with 6 of 22 mm straight top bars with
fc’ = 20.7 MPa and fy = 415 MPa. Calculate required development length.
1. A rectangular beam with b = 300 mm, d = 500 mm is provided with 10 mm vertical stirrups with
fy = 276 MPa. Assuming fc’ = 21 MPa;
a) Determine the required spacing if Vu = 42 kN
b) Determine the required spacing if Vu = 95 kN
Concrete Design
Midterm Exam
3. A rectangular beam 350 mm wide and 600 mm deep is reinforced with 4 of 32 mm compression bars
with fc’ = 20.7 MPa and fy = 275 MPa. Calculate the required development length.
4. Calculate the ultimate axial load capacity of the composite column shown below .fc’=21 MPa,
Fy=250 MPa,fy =350MPa. Reinforcing bars consist of 8 of 20 mm diameter bars.
W10 x 150
400 mm
400 mm
5. Design a circular spiral column to support an axial dead load of 800 kN and axial live load of 950 kN.
fc’ =20.7 MPa, fy = 345 MPa.
4. Calculate the ultimate axial load capacity of the composite column shown below .fc’=21 MPa,
Fy=250 MPa,fy =350MPa. Reinforcing bars consist of 8 of 20 mm diameter bars.
W10 x 150
400 mm
400 mm
5. Design a circular spiral column to support an axial
dead load of 800 kN and axial live load of 950 kN.
fc’ =20.7 MPa, fy = 345 MPa.
For the simply supported beam shown in figure below, investigate whether the
bars size is satisfactory for the required development length. The beam is
reinforced with 4 of 22 mm bars . fc’ = 20 MPa and fy = 350 MPa, Vu = 240 kN.
The beam is made up of normal sand concrete and the reaction produces
compression on concrete.
250mm
500 mm
150 mm
4. A simply supported reinforced concrete beam 230 mm wide with an
effective depth of 500 mm has a span of 6m. The beam carries a dead load
of 9 kN/m ( including its own weight) and live load of 18 kN/m applied
throughtout its entire span. Determine the required spacing of 10 mm
stirrups. fc’ = 28 MPa ,fy= 345 MPa.
Concrete Design : Prelim Exam
1. A doubly reinforced rectangular concrete beam has b =350 mm,d =600mm,
fc’=27.5 MPa, fy = 345 MPa, As =3625 mm2, As’ = 775mm2 ,covering for tension
and compression bars 80 mm and 63 mm respectively. Determine the ultimate
moment capacity.
2. A reinforced concrete T- beam has an effective flange width of 1500 mm span,
slab thickness of 100 mm, effective depth of 600 mm and the width of the web is
250 mm. The beam is reinforced with steel of area 4500 mm2. If fc’ = 20.7 MPa
and fy= 345 MPa, calculate the ultimate moment capacity.
3. Determine the ultimate moment capacity of the triangular beam shown in
figure. fc’ =20.7 MPa, fy = 345 MPa.
400mm
75 mm
3 of 16 mm
450mm
4. Determine the ultimate moment capacity of the irregular beam shown in
figure. fc’ =20.7 MPa, fy = 345 MPa.
400mm
75 mm
3 of 16 mm
450mm
150 mm
3P 2P
3. A 350 mm x 600 mm rectangular beam is reinforced for tension only . The
beam has an effective depth of 530 mm. The beam carries a uniform dead load
of 7.5 kN/m ( including its own weight), a uniform live load of 5.6 kN/m, and a
concentrated dead load of 2P and 3P as shown in the figure.
fc’ =34.5MPa, fy = 414 MPa. Determine the following :
a) Ultimate moment capacity in kN.m
b) the maximum value of P in kN
3m 3m 2m
600 mm
350 mm
6 of 28mm
350 mm
6 of 28mm
600 mm
1. A concrete beam 6 m long is 300 mm wide and 500 mm deep and
carries a dead load of 7 kN/m and live load of 10 kN/m. The beam
is reinforced for tension only with four 20 mm bars with an effective
depth to tension bars of 430 mm. fc’ = 20.7 MPa , fy = 345 MPa ,
fr = 2.832 MPa, Ec = 20,000 MPa, Es = 200,000 MPa, n=10.
Covering of bars is 70 mm.
a) Calculate the maximum instantaneous deflection due to dead load
and live load.
b) Calculate the deflection due to the same loads after five years
assuming that 30% of the live load is sustained.
Structural Design 2
Midterm Exam
2. Design the reinforcement of a rectangular beam to resist a dead load moment of 200
kN.m(including its own weight) and a live load moment of 300 kN.m . The beam is
limited in size to 350 mm by 600mm overall depth. Steel covering ( from centroid of
bars to outermost fiber is 100 mm for both tension and compression reinforcement.
Use fc’ = 27.5 MPa, fy = 414 MPa
3. A reinforced concrete T-beam with d = 550 mm, bw = 300 mm , slab thickness is
100 mm , span 4.8 m long and spaced 3 m on centers. The beam support a service dead
load moment of 400 kN.m (including its weight) and service live load moment of 500
kN.m. If fc’=27.5 MPa, fy = 414 MPa , determine the required steel area.
2. A cantilever beam 300 mm wide and 450 mm deep is reinforced with 6 of 22 mm
straight top bars with fc’ = 20.7 MPa and fy = 415 MPa. Calculate required
development length.
1. A rectangular beam with b = 300 mm, d = 500 mm is provided with 10 mm
vertical stirrups with fy = 276 MPa. Assuming fc’ = 21 MPa;
a) Determine the required spacing if Vu = 42 kN
b) Determine the required spacing if Vu = 95 kN
Concrete Design
Semi-Final Exam
3. A rectangular beam 350 mm wide and 600 mm deep is reinforced with 4 of 32
mm compression bars with fc’ = 20.7 MPa and fy = 275 MPa. Calculate the
required development length.
4. A simply supported reinforced concrete beam 300 mm wide with an
effective depth of 550 mm has a span of 6m. The beam carries a dead load of
12 kN/m ( including its own weight) and live load of 24 kN/m applied
throughtout its entire span. Determine the required spacing of 10 mm
stirrups. fc’ = 28 MPa ,fy= 345 MPa.
5. Calculate the ultimate axial load capacity of the composite column shown below .fc’=21 MPa,
Fy=250 MPa,fy =350MPa. Reinforcing bars consist of 8 of 20 mm diameter bars.
W10 x 150
400 mm
400 mm
2. A cantilever beam 300 mm wide and 450 mm deep is reinforced with 6 of 20 mm
straight top bars with fc’ = 20.7 MPa and fy = 345 MPa. Calculate required
development length.
1. A rectangular beam with b = 300 mm, d = 500 mm is provided with 10 mm
vertical stirrups with fy = 276 MPa. Assuming fc’ = 21 MPa;
a) Determine the required spacing if Vu = 60 kN
b) Determine the required spacing if Vu = 90 kN
Concrete Design
Semi-Final Exam
3. A rectangular beam 350 mm wide and 600 mm deep is reinforced with 4 of 30
mm compression bars with fc’ = 20.7 MPa and fy = 275 MPa. Calculate the
required development length.
 4. A circular spiral column 350 mm in diameter is reinforced with 8 of 20
mm bars with fc’ = 20.7 MPa and fy = 345 MPa. Determine the following :
a) ultimate axial load capacity of the column.
b) the spacing of 10 mm spirals assuming clear covering of 40 mm
5. Calculate the ultimate axial load capacity of the composite column shown below .fc’=21 MPa,
Fy=348 MPa,fy =400MPa. Reinforcing bars consist of 8 of 20 mm diameter bars.
W10 x 150
450 mm
450 mm
W10 x 150
A = 40000 mm2
1. Calculate the ultimate axial load capacity of the composite column shown below .fc’=21 MPa,
Fy=250 MPa,fy =350MPa. Reinforcing bars consist of 8 of 20 mm diameter bars.
W10 x 150
400 mm
400 mm
2. A circular spiral column 400 mm in diameter is reinforced with 8 of 25
mm bars with fc’ = 20.7 MPa and fy = 345 MPa. Determine the following :
a) ultimate axial load capacity of the column.
b) the spacing of 10 mm spirals assuming clear covering of 40 mm
3.
. The column shown is reinforced with 6 of 25 mm diameter bars. If
fc’ = 21 MPa, fy = 345 MPa determine Pnb, eb and Mnb.
400 mm
65 mm
65 mm
500 mm
Axis of bending
.4. If The column shown in problem 3 has an eccentricity of 260
mm , determine Pu and Mu. All data remain unchanged.
1. A square concrete column has a dimension of 400 mm by 400 mm. The
column length is 4.5 m and is to be used in a frame braced against sidesway (
k =1.0, EI = 40MN.m2). The column is bent in single curvature by ultimate
factored moment of 100 kN.m at the top and 120 kN.m at the bottom. The
column carries factored axial dead load of 150 kN and factored axial live load
of 320 kN. Is slenderness effects be considered in the analysis ? If so, what
is the magnified moment capacity of this column ?
2. The column shown is reinforced with 6 of 25 mm diameter bars. If
fc’ = 21 MPa, fy = 345 MPa determine Pnb, eb and Mnb.
400 mm
65 mm
65 mm
500 mm
Axis of bending
4. For the column shown in figure, PD = 250 kN, PL = 410kN, MD = 140
kN.m, and ML = 152 kN.m. The column belongs to a braced frame and is
bent in single curvature about the x axis by equal moments at each end of
the member . The unsupported length is 6 m. fc’ = 20.7 MPa, fy = 413.7
MPa . Determine the following :
a) Critical load Pc
500
mm
350
mm
8 of 28 mm
350 mm
b) Magnified moment
3. If The column shown in problem 3 has an eccentricity of 260
mm , determine Pu and Mu. All data remain unchanged.

reinforced concrete arki.ppt

  • 1.
  • 2.
    CONCRETE PROPERTIES For concreteweighing from 1,500 to 2500 kg/m3 ' 043 . 0 5 . 1 fc w E c c  fc’ = 28 day compressive strength in MPa Wc = unit weight of concrete in kg/m3 Modulus of Elasticity For Normal weight concrete ' 4700 fc Ec  fc’ = 28 day compressive strength in MPa Wc = unit weight of concrete in kg/m3
  • 3.
    REINFORCING BARS GRADES ANDSTRENGTH OF REINFORCING BARS (Non Prestressed) ASTM SPECS GRADE Min.Yeild Strength (ksi) Min.Yeild Strength (MPa) Min Tensile Strength (ksi) Min Tensile Strength (MPa) A615 40 60 40 60 276 414 70 90 483 620 A616 50 60 50 60 345 414 80 90 552 620 A617 40 60 40 60 276 414 70 90 483 620 A618 60 60 414 80 552 Modulus of Elasticity of steel shall be taken as 200,000 MPa
  • 4.
    CONCRETE PROTECTION FORREINFORCEMENT ( NON PRESTRESSED) CAST IN PLACE CONCRETE Minimum Cover,mm a) Concrete cast against and permanently exposed to earth 75 b) Concrete exposed to earth or weather: 20 mm bars through 36 mm bars 16 mm bar, W31 or D31 wire, and smaller 50 40 c) Concrete not exposed to earth or weather or in contact with ground: Slabs, walls, joist 32 mm bar and smaller Beams,columns Primary reinforcement ,ties,stirrups,spirals Shells,folded plates members: 20 mm bars and larger 16 mm bars,W31or D31 wire,or smaller 20 40 20 15
  • 5.
    PRECAST CONCRETE ( manufacturedunder plant Conditions) Minimum Cover,mm a) Concrete exposed to earth or weather: Wall Panels 32 mm bar and smaller Other members 20 mm bars through 32 mm bars 16 mm bars,W31or D31 wire,or smaller 20 40 30 b) Concrete not exposed to earth or weather or in contact with ground: Slabs, walls, joist 32 mm bar and smaller Beams,columns Primary reinforcement ties,stirrups,spirals Shells,folded plates members: 20 mm bars and larger 16 mm bars,W31or D31 wire,or smaller 15 10 15 10
  • 6.
    ULTIMATE STRENGTH DESIGN(USD) RequiredStrength ( Load Factors) 1.Required strength U to resist dead load D and live load L shall at least be equal to : U =1.2D +1.6L 2. If resistance to structural effects of specified wind load W, are included in the design,the following combinations of D,L and W shall be investigated to determine the greatest required strength U a) U =0.75(1.4D + 1.7L + 1.7W) Where load combination shall include full value and zero value of L to determine the most severe condition, and b) U = 0.9D +1.3L For any combination of D, L and W required strength U shall not be less than c) U =1.4D +1.7L
  • 7.
    3. If resistanceto structural effects of specified earthquake load E, are included in the design,the following combinations of D,L and E shall be investigated to determine the greatest required strength U a) U =1.32D + 1.1(f1)L + 1.1E Where load combination shall include full value and zero value of L to determine the most severe condition, and b) U = 0.99D +1.1E For any combination of D, L and E required strength U shall not be less than c) U =1.4D +1.7L 4. If resistance to earth pressure H, are included in the design,the following combinations of D,L and H shall be investigated to determine the greatest required strength U a) U =1.4D + 1.7L + 1.7H Where D or L reduces the effect of H b) U = 0.9D +1.7H For any combination of D, L and E required strength U shall not be less than c) U =1.4D +1.7L
  • 8.
    5. If resistanceto loadings due to weight and pressure offluids with well defined densities and controllable height F are included in the design, such loading shall have a factor of 1.4 and be added to all loading combinations that include live load. 6. If resistance to impact effects are taken into account in design,such effect shall be included with live load L. 7. Where structural effects T of differential settlement, creep, shrinkage,expansion of creep compensating concrete or temperature change maybe significant in design, required strength U shall be a least equal to a) U =0.75(1.4D + 1.7L + 1.4T) but required strength U shall not be less than b) U =1.4D +1.7L
  • 9.
    STRENGTH REDUCTION FACTORФ STRENGTH REDUCTION FACTOR Ф shall be as follows: 1. Flexure, without axial load 0.90 2. Shear and Torsion 0.85 3. Bearing on concrete except on Post tension anchorage zone 0.70 4. Post tension anchorage zone 0.85 5. Axial tension and axial tension with flexure 0.90 6. Axial load and axial load with flexure Both axial load and moment shall be multiplied by Ф 7. Axial compression and axial compression with flexure a) Members with spiral reinforcement 0.75 b) Other reinforced members 0.70 except that for low values of axial compression Ф shall be permitted to increase in accordance with the following: For members in which fy does not exceed 415 MPa with symmetric reinforcement,and with ( h –d’-d)/h not less than 0.7, Ф shall be permitted to increase linearly to 0.9, as ФPn decreases from 0.10fc’Ag to zero. For other reinforced members, Ф shall be permitted to increase linearly to 0.9, as ФPn decreases from 0.10fc’Ag or ФPb whichever is smaller to zero.
  • 10.
    DESIGN AND ANALYSISFOR FLEXURE (BEAMS) • Basic Assumptions • 1. Strain in concrete and the reinforcement shall be assumed directly proportional to the distance from the neutral axis ,except, for deep flexural members with overall depth-to-clear span ratio greater than 2/5 for continuous spans and 4/5 for simple span a non linear distribution of strain shall be considered. • 2. Maximum usable strain at extreme concrete compression fiber shall be 0.003 • 3. Stress in reinforcement below specified yield strength fy for grade of reinforcement used shall be taken Es times steel strain. For strain greater than corresponding to fy, stress in the reinforcement shall be considered independent of strain and equal to fy. • 4. Tensile strength of concrete shall be neglected in axial and flexural calculations.
  • 11.
     5. Relationshipbetween concrete compressive stress distribution and concrete strain shall be assumed to be rectangular.trapezoidal,parabolic or any other assumed shape that result in prediction of strength in substantial agreement with results of comprehensive tests.  6. Requirements of 5 may be considered satisfied by an equivalent rectangular stress distribution defined by the following: Concrete stress distribution of 0.85fc’ shall be assumed uniformly distributed over an equivalent compression zone bounded by the edges of the cross section and a straight line located parallel to the neutral axis at a distance “a” from the fiber of maximum compressive strain. Distance c from fiber of maximum strain to the neutral axis shall be measured in a direction perpendicular to the neutral axis.
  • 12.
    Compression Zone (stress inconcrete) (maximum usable strain of concrete) 0.85fc’ 0.003 εs (strain of steel) c 7. Factor β1 shall be taken as follows: β1 = 0.85 if fc’≤ 30 MPa β1 = 0.85 - 0.008( fc’- 30) if fc’ > 30 MPa but β1 shall not be less than 0.65 a NA c a 1  
  • 13.
    SYMBOLS AND NOTATIONS a = depth of equivalent rectangular stress block, mm  c = distance from extreme compression face, mm  As = area of non prestressed tension reinforcement, mm2  As’ = area of non prestressed compression reinforcement, mm2  b = width of compression face of the member, mm  bw = width of the web, mm  d = distance from extreme compression face to center of tension reinforcement, mm  d’ = distance from extreme compression face to center of compression reinforcement, mm  fc’ = specified compressive strength of concrete, MPa  fy = specified yield strength of non prestressed reinforcement,MPa  fs = calculated tensile stress in reinforcement at service loads,MPa  fs’ = calculated compressive stress in reinforcement at service loads,MPa
  • 14.
    • Mu =factored moment at section; ultimate moment capacity,design strength • Mn = nominal moment capacity • Ф = strength reduction factor • pb = reinforcement ratio producing balance strain condition • p = ratio of non prestressed tension reinforcement = As/bd • p’ = ratio of non prestressed compression reinforcement = As’/bd • pmin = minimum required ratio of non prestressed tension reinforcement • pmin = 1.4/fy • Ec = modulus of elasticity of concrete,MPa • Es = modulus of elasticity of reinforcement,MPa • bf = flange width of T –beams • t = flange thickness of T- beams
  • 15.
     Balanced straincondition This exist at a cross section when tension reinforcement reaches the strain corresponding to its yield strength fy just as concrete compression reaches its assumed ultimate strain of 0.003. Compression Zone d ab 0.85fc’ C = 0.85fc’abb 0.003 T = Asbfy s y s E f   b cb Stress Diagram Strain Diagram Asb = balance steel area ∑ Fx = 0 C = T 0.85fc’abb = Asbfy From the Stress Diagram EQ.1
  • 16.
    bd A df a fc sb y b  ' 85 . 0 divide bothsides of EQ.1 by bdfy Let bd A p sb b  then y b b df a fc p ' 85 . 0  s b d c    003 . 0 003 . 0 200000 y s f   1  b b a c  fy d ab   600 600 1  From the strain diagram y y b f f fc p ) 600 ( 600 ' 85 . 0 1    EQ. 2 EQ. 3 Substituting EQ 3 in EQ 2
  • 17.
    MAXIMUM PERMISSIBLE TENSILESTEEL RATIO PMAX = 0.75PB This limitation is to ensure that the steel reinforcement will yield first to ensure ductile failure. Minimum permissible tensile steel ratio pmin = 1.4/fy The provision for minimum amount of reinforcement applies to beams which for architectural and other reasons are much larger in cross section as required by strength consideration. With very small amount of tensile reinforcement, the computed moment strength as a reinforced concrete member is smaller than that of the corresponding plain concrete section computed from its modulus of rupture. Failure in this case is quite sudden.
  • 18.
    Overreinforced beam A designin which the steel reinforcement is more than that required for balanced strain condition. If the beam is overeinforced, the steel will not yield before failure. As the load is increased, deflections are not noticeable although the compression concrete is highly stressed, and failure occurs suddenly without warning to the user of the structure. Underreinforced beam A design in which the steel reinforcement is lesser than that required for balanced strain condition. If the ultimate load is approached , the steel will begin to yield although the compression concrete is understressed. As the load is increased, the steel will continue to elongate, resulting into appreciable deflections and large visible cracks in the tensile concrete. Failure under this condition is ductile and will give warning to the user of the structure to decrease the load or apply remedial measure.
  • 19.
    SPACING LIMITS OFREINFORCEMENT Beams  The minimum clear spacing between parallel bars in a layer should be db( bar diameter) but not less 25 mm.  Where parallel reinforcement is placed in two or more layers,bars in the upper layer should be directly placed above bars in the bottom layer with clear distance between layers not less than 25 mm. Columns  In spirally reinforced or tied reinforced compression members, clear distance between longitudinal reinforcement shall not be less than 1.5db nor 40 mm. Walls and Slabs  In walls and slabs other than concrete joist construction, primary reinforcement shall be spaced not farther than three times the slab or wall thickness nor 450 mm.
  • 20.
    MINIMUM THICKNESS OFNON-PRESTRESSED BEAMS AND ONE WAY SLABS UNLESS DEFLECTIONS ARE COMPUTED Member Simply Supported One end continuous Both ends continuous Cantilever Solid One-Way Slab L/20 L/24 L/28 L/10 Beams or ribbed one way slab L/16 L/18.5 L/21 L/8 Span Length L in millimeters Values given shall be used directly for members with normal density concrete (Wc = 2300 kg/m3) and Grade 60 (415 MPa) reinforcement. For other conditions, the values shall be modified as follows: For structural lightweight concrete having unit weights of 1500 -2000 kg/m3 the values shall be multiplied by ( 1.65 – 0.0005 Wc) but not less than 1.09, where Wc is the unit mass in kg/m3. For fy other 415 MPa, the values shall be multiplied by ( 0.4 +fy/700)
  • 21.
    FLEXURAL ANALYSIS :BEAMS REINFORCED FOR TENSION  Case I : Steel yields at failure (pmax ≥ p , fs ≥ fy) As Compression zone a C = 0.85fc’ab T = Asfy (d – a/2) Mu 0.85fc’ b d Stress Diagram b fc f A a y s ' 85 . 0  Depth of concrete stress block Ultimate moment capacity Mu = Ф 0.85fc’ab(d – a/2) Mu = Ф Asfy (d – a/2)
  • 22.
    GENERAL PROCEDURE FORANALYSIS : CASE I GIVEN:b,d,AS fc’,fy REQUIRED : MU 1. Check for ductility requirements p = As/bd β1 = 0.85 if fc’≤ 30 MPa β1 = 0.85 - 0.008( fc’- 30) if fc’ > 30 MPa but β1 shall not be less than 0.65 pmax = 0.75pb pmin =1.4/fy pmin ≤ p≤ pmax 2. Solve for the depth of the concrete stress block 3. Check for minimum depth if necessary 4. Determine MU Mu = Ф 0.85fc’ab(d – a/2) or Mu = Ф Asfy (d – a/2) Units: If As is in mm2, fc’ and fy in MPa, a,b and d in mm then Mu is in N.mm. Dividing this by 106 changes N.mm to kN.m 5. Solve for any other requirement if there are any. y y b f f fc p ) 600 ( 600 ' 85 . 0 1    b fc f A a y s ' 85 . 0 
  • 23.
    PROBLEMS  CE BoardMay 1981  A rectangular beam with b =250 mm and d =460 mm is reinforced for tension only with 3 – 25 mm bars. The beam is simply supported on a span of 6 m and carries a uniform dead load of 12 kN/m. Calculate the uniform live load the beam can carry. Concrete weighs 23 kN/m3 and steel covering is 60 mm. fc’ = 20.7 MPa, fy =276 MPa. Also check for minimum depth requirement.  Solution 005 . 0 276 4 . 1 4 . 1 013 . 0 ) 460 ( 250 62 . 1472 62 . 1472 4 ) 25 ( 3 min 2 2         fy p bd A p mm A s s    03711 . 0 276 ) 276 600 ( ) 600 ( 85 . 0 ) 7 . 20 ( 85 . 0 600 600 ' 85 . 0 1      y y b f f fc p 
  • 24.
    p p p b    0278 . 0 ) 03711 . 0 ( 75 . 0 75 . 0 max Steel yields at failure mm b fc f A a y s 4 . 92 250 ) 7 . 20 ( 85 . 0 ) 276 ( 62 . 1472 ' 85 . 0    m kN a d f A M y s u . 37 . 151 ) 10 ( ) 2 4 . 92 460 ( 276 ) 62 . 1472 ( 9 . 0 ) 2 ( 6      m kN W W L W M u u u u / 64 . 33 8 ) 6 ( 37 . 151 8 2 2    L D u W W W 7 . 1 4 . 1  
  • 25.
    460 60 250 Weight of thebeam WB=bDWc m kN WB / 3 23 ) 52 . 0 ( 25 . 0   Total dead load m kN WD / 15 3 12    m kN W W L L / 42 . 7 7 . 1 ) 15 ( 4 . 1 64 . 33    Minimum required depth mm mm f L d y 520 85 . 297 ) 700 276 4 . 0 ( 16 6000 ) 700 4 . 0 ( 16 min      
  • 26.
    CE Board May1985 A 350 mm x 500 mm rectangular beam is reinforced for tension only with 5 of 28 mm diameter bars. The beam has an effective depth of 446 mm. fc’ =34.5MPa, fy = 414 MPa. Determine the following Ultimate moment capacity in kN.m
  • 27.
    350 446 As 2 2 76 . 3078 4 ) 28 ( 5 mm As    00338 . 0 414 4 . 1 0197 . 0 ) 446 ( 350 76 . 3078 min      p bd A ps 814 . 0 ) 30 5 . 34 ( 008 . 0 85 . 0 ) 30 ' ( 008 . 0 85 . 0 1 1          fc   03412 . 0 414 ) 414 600 ( ) 600 ( 814 . 0 ) 5 . 34 ( 85 . 0 600 600 ' 85 . 0 1      y y b f f fc p  p p p b     0256 . 0 ) 03412 . 0 ( 75 . 0 75 . 0 max Steel yields at failure
  • 28.
  • 29.
    Case II :Steel does not yield at failure ( pmax < p , fs < fy ) General Procedure for Analysis : Case II Given: b,d,As,fc’,fy Required : Mu 1. Check for ductility requirements p = As/bd β1 = 0.85 if fc’≤ 30 MPa β1 = 0.85 - 0.008( fc’- 30) if fc’ > 30 MPa but β1 shall not be less than 0.65 y y b f f fc p ) 600 ( 600 ' 85 . 0 1   
  • 30.
    pmax = 0.75pb p> pmax 2. Using the stress and strain diagram solve for fs and a. Stress Diagram Strain Diagram b 0.85fc’ C=0.85fc’ab T =Asfs εs d c d-c d-a/2 0.003 As Mu NA From the stress Diagram : ∑F =0 C = T 0.85fc’ab = Asfs EQ 1
  • 31.
    From the straindiagram : c c d s   003 . 0  EQ 2 1 200000   a c fs s   substitute in EQ 2, combine with EQ1 to solve for fs and a 3. Determine Mu Mu = Ф 0.85fc’ab(d – a/2) Mu = Ф Asfs (d – a/2) Problem: A rectangular beam has b =300 mm, d = 500 mm, As = 6 of 32 mm, fc’ =27.6 MPa,fy =414 MPa. Calculate the ultimate moment capacity.
  • 32.
    300 500 As 2 2 49 . 4825 4 ) 32 ( 6 mm As    00338 . 0 414 4 . 1 032 . 0 ) 500 ( 300 49 . 4825 min      p bd A ps   02850 . 0 414 ) 414 600 ( ) 600 ( 85 . 0 ) 6 . 27 ( 85 . 0 600 600 ' 85 . 0 1      y y b f f fc p  p p p b     0214 . 0 ) 02850 . 0 ( 75 . 0 75 . 0 max Tension Steel does not yield at failure ∑F =0 C = T 0.85fc’ab = Asfs 1 . 46 . 1 49 . 4825 300 ) 6 . 27 ( 85 . 0 EQ a f f a s s   
  • 33.
  • 34.
  • 35.
    Plate #1 :Beams Reinforced for tension 1. A simply supported beam 6 m long is 350 mm wide has an effective depth of 500 mm. It supports a uniform dead load of 12 kN/m and a concentrated live load applied at the midspan. If it is reinforced with 6 of 22 mm diameter bars, fc’ = 20.7 MPa, fy = 414 MPa, concrete weighs 23 kN/m3, determine the maximum value of this concentrated load . Use concrete cover of 70 mm. 2. A rectangular beam reinforced for tension has b = 300 mm, d = 480 mm The beam is reinforced with 7 of 25 mm bars with fc’ = 21 MPa, fy =415 MPa. If the beam is a cantilever beam 3 m long and supports a uniform dead load of 15 kN/m( including its own weight) applied along its entire length, calculate the maximum value of the concentrated live load that can be applied at the free end. 3. A reinforced concrete beam rectangular beam 300 mm wide has an effective depth of 450 mm and is reinforced for tension only. Assuming fc’ = 27 MPa. fy = 350 MPa, determine the required steel area that would produce balance strain condition.
  • 36.
    2 2 8 . 2280 4 ) 22 ( 6 mm As   02137 . 0 414 ) 414 600 ( ) 600 ( 85 . 0 ) 7 . 20 ( 85 . 0    b p 013 . 0 ) 500 ( 350 8 . 2280    bd A p s p p p b    016 . 0 75 . 0 max Tension steel Yields at failure p f p y     00338 . 0 414 4 . 1 4 . 1 min 28 . 153 350 ) 7 . 20 ( 85 . 0 ) 414 ( 8 . 2280 ' 85 . 0    b fc f A a y s m kN a d f A M y s u . 78 . 359 ) 10 ( ) 2 28 . 153 500 ( 414 ) 8 . 2280 ( 9 . 0 ) 2 ( 6      Solution to #1 Weight of the beam m kN WB / 59 . 4 ) 57 . 0 )( 35 . 0 ( 23   Total Dead m kN WD / 59 . 16 59 . 4 12   
  • 37.
    4 7 . 1 8 4 . 1 7 . 1 4 . 1 2 L P L W M M M L D L D u     4 ) 6 ( 7 . 1 8 ) 6 )( 59 . 16 ( 4 . 1 78 . 359 2 L P  kN PL 1 . 100  Solution to #2 2 2 1 . 3436 4 ) 25 ( 7 mm As    02161 . 0 415 ) 415 600 ( ) 600 ( 85 . 0 ) 21 ( 85 . 0    b p 024 . 0 ) 480 ( 300 1 . 3436    bd A p s p p p b    0162 . 0 75 . 0 max Tension steel does Not Yield at failure 0.85fc’ab = Asfs 0.85(21)300a=3436.1fs fs =1.56a EQ.1
  • 38.
    c c d s   003 . 0  EQ 2 1 200000   a c fs s   1 1 003 . 0 ) 200000 (   a a d fs   600 ) (1 a a d fs    600 ] ) 480 )( 85 . 0 [( a a fs   a a fs 600 244800   EQ. 1 = EQ.2 a a a 600 244800 56 . 1   a a 600 244800 56 . 1 2   a a 6 . 384 923 , 156 2   0 923 , 156 6 . 384 2    a a
  • 39.
    0 923 , 156 6 . 384 2    a a mm a 04 . 248 2 ) 156923 ( 4 ) 6 . 384 ( 6 . 3842      y s f MPa f     94 . 386 04 . 248 ) 04 . 248 ( 600 244800 m kN a d f A M s s u . 97 . 425 ) 10 ( ) 2 04 . 248 480 ( 94 . 386 ) 1 . 3436 ( 9 . 0 ) 2 ( 6      ) 2 ( a d f A M s s u   
  • 40.
    PL 15 kN/m 3 m L P L W M M ML D L D u 7 . 1 2 4 . 1 7 . 1 4 . 1 2     3 7 . 1 2 ) 3 ( 15 4 . 1 97 . 425 2 L P   kN PL 65 
  • 41.
    FLEXURAL ANALYSIS: BEAMSREINFORCED FOR TENSION & COMPRESSION ( DOUBLY REINFORCED BEAMS ) As’ As As’ As2 b STRESS DIAGRAMS STRAIN DIAGRAM 0.85fc’ 0.003 d’ a d-a/2 Mu1 Mu2 Mu C2=As’fs’ c εs’ c-d’ d-c d-d’ C1=0.85fc’ab T1=As1fy T2=As2fy As1 εs d Criteria for adding compression reinforcement : p > 0.75pb d’ Compression is resisted by concrete Compression is resisted by As’
  • 42.
    Compression reinforcement isprovided to ensure ductile failure ( tension steel must yield) thus the stress in tension steel must always be equal to fy. On the other hand the stress in compression steel may be equal to or less than fy. This stress must always be checked. Maximum permissible tensile steel area – NSCP states that for members with compression reinforcement, the portion of pb equalized by compression reinforcement need not be multiplied by the 0.75 factor thus fy f A bd p A s s b s , ' max 75 . 0   Stress in compression steel From the strain diagram c d c s ' 003 . 0 '    200000 ' ' s s f   1  a c  a d a fs ) ( 600 ' 1 '    also and then
  • 43.
    Other double reinforcedbeam formulas ( derived from stress diagrams) Mu = Mu1 +Mu2 As = As1 + As2 C1 = T1 0.85fc’ab =As1fy C2 = T2 As2 fy = As’fs’ if fs’ = fy As2 =As’ Mu1 =ФO.85fc’ab(d-a/2) Mu1 = ФAs1fy(d-a/2) Mu2 =ФAs2fy(d-d’) Mu2 =ФAs’fs’(d-d’) If fs’=fy Mu2 =ФAs’fy(d-d’)
  • 44.
    FLEXURAL ANALYSIS :DOUBLYREINFORCED BEAMS CASE 1 :COMPRESSION AND TENSION STEEL YIELDS AT FAILURE GIVEN :B,D,D’,AS,AS’,FC’,FY REQ’D :MU 1. Assume that compression steel yields at failure fs’ = fy As’ = As2 As1 = As - As’ 2. Solve for a 3. Solve for fs’ b fc f A a y s ' 85 . 0 1  a d a fs ) ( 600 ' 1 '    4. If fs’ ≥ fy Mu1 = ФAs1fy(d-a/2) Mu2 =ФAs’fy (d-d’) Mu = Mu1 +Mu2 5. Check for yielding of tension steel ' max 75 . 0 s b s A bd p A   ≥ As
  • 45.
    Problem#1: Determine the permissibleultimate moment capacity of the beam shown in figure. fc’= 20.7 MPa, fy = 345 MPa. 2 of 28 mm 4 of 36 mm 600 mm 60 mm 350 mm Case 2 : Compression steel does not yield at failure tension steel yields at failure Given :b,d,d’,As,As’,fc’,fy Req’d :Mu
  • 46.
    1. Assume thatcompression steel yields at failure fs’ = fy As’ = As2 As1 = As - As2 2. Solve for a b fc f A a y s ' 85 . 0 1  a d a fs ) ( 600 ' 1 '    3. Solve for fs’ 4. If fs’< fy From the stress diagrams ∑F = 0 C1 + C2 = T1 + T2 0.85fc’ab + As’fs’ = As1fy + As2fy As1fy + As2fy = Asfy 0.85fc’ab + As’fs’ = Asfy EQ.A a d a fs ) ( 600 ' 1 '    EQ.B 5.Using EQ. A and EQ. B solve for a and fs’
  • 47.
    6. Solve forMu Mu1 = Ф0.85fc’ab(d-a/2) Mu2 =ФAs’fs’(d-d’) Mu = Mu1 +Mu2 7. Check for yielding of tension steel ' max 75 . 0 s b s A bd p A   ≥ As As’ = 775mm2 As =3625 mm2 350 mm 63 mm 600 mm Problem#2: Determine the permissible ultimate moment capacity of the beam shown in figure. fc’= 27.5 MPa, fy = 345 MPa.
  • 48.
    Problem#1: Determine the permissibleultimate moment capacity of the beam shown in figure. fc’= 20.7 MPa, fy = 345 MPa. 2 of 28 mm 4 of 36 mm 600 mm 60 mm 350 mm Solution to Problem #1 2 2 5 . 4071 4 ) 36 ( 4 mm As    2 1 2840 5 . 1231 5 . 4071 ' mm As As As      2 2 5 . 1231 4 ) 28 ( 2 ' mm As    Assume that compression steel yields at failure
  • 49.
    mm b fc f A a y s 1 . 159 350 ) 7 . 20 ( 85 . 0 ) 345 ( 2840 ' 85 . 0 1    y s f MPa a d a f      67 . 407 1 . 159 )]) 60 ( 85 . 0 [ 1 . 159 ( 600 ) ( 600 ' 1 '  Compression steel yields at failure m kN a d f As Mu y . 94 . 458 10 ) 2 1 . 159 600 )( 345 ( 2840 9 . 0 ) 2 ( 6 1 1       m kN d d f As Mu y . 48 . 206 10 ) 60 600 )( 345 ( 5 . 1231 9 . 0 ) ' ( ' 6 2       m kN Mu Mu Mu . 42 . 665 48 . 206 94 . 458 2 1     
  • 50.
    Check for yieldingof tension steel yields   0275 . 0 345 ) 345 600 ( ) 600 ( 85 . 0 ) 7 . 20 ( 85 . 0 f f 600 600 ' fc 85 . 0 p y y 1 b       failure at yields steel nsion te mm 5 . 4071 mm 7 . 5562 5 . 1231 ) 600 ( 350 ) 0275 . 0 ( 75 . 0 A A bd p 75 . 0 A fy fs' fy f A bd p 75 . 0 A 2 2 max s ' s b max s , s ' s b max s         
  • 51.
    mm b fc f A a y s 18 . 120 350 ) 5 . 27 ( 85 . 0 ) 345 ( 2850 ' 85 . 0 1    y s f MPa a d a f      65 . 332 18 . 120 )]) 63 ( 85 . 0 [ 18 . 120 ( 600 ) ( 600 ' 1 '  Compression steel does not yield at failure Solution to #2 2 1 2850 775 3625 ' mm As As As      ∑Fx =0 0.85fc’ab + As’fs’ = Asfy 0.85(27.5)350a + 775fs’ = 3625(345) 10.56a +fs’ = 1613.7 fs’ =1613.7 – 10.56 a EQ.1
  • 52.
    a a a d a fs )]) 63 ( 85 . 0 [ ( 600 ) ( 600 ' 1 '      2 . ) 55 . 53 ( 600 ' EQ a a fs   2 . 1 . EQ EQ  a a a ) 55 . 53 ( 600 56 . 10 7 . 1613    32130 600 56 . 10 7 . 1613 2    a a a 0 32130 7 . 1013 56 . 10 2    a a 0 6 . 3042 96 2    a a mm a 12 . 121 2 ) 6 . 3042 ( 4 ) 96 ( 96 2     12 . 121 ) 55 . 53 12 . 121 ( 600 '   s f y s f MPa f   7 . 334 ' ) 2 ( 1 1 a d f As Mu y    ) ' ( ' ' 2 d d fs As Mu    6 1 10 ) 2 12 . 121 600 )( 345 ) 2850 ( 9 . 0   Mu m kN Mu . 36 . 477 1  6 2 10 ) 63 600 ( 7 . 334 ) 775 ( 9 . 0   Mu m kN Mu . 36 . 125 2  m kN Mu Mu Mu . 72 . 602 2 1    2 ' max 6 . 6500 ' 75 . 0 mm f fs A bd p A y s b s    0365 . 0 345 ) 345 600 ( ) 600 ( 7 . 334 ) 5 . 27 ( 85 . 0    b p yields TS 3625 2 max mm As 
  • 53.
    bf t bw d Cf =0.85fc’(bf-bw) t a bw Tf=Asffy Tw =Aswfy Cw=0.85fc’abw c 0.85fc’ 0.85fc’ 0.003 d-t/2 d-a/2 Muf Muw Mu As Asf Asw (bf –bw) εs Compression is resisted by the Compression is resisted by the overhanging flange Web Where bf = flange width bw = width of the web t = thickness of the slab Stress Diagrams Strain Diagram T – BEAMS Reinforced concrete floor systems, roof ,decks etc. are almost always monolithic. Forms are built for beam soffits and sides and for the underside of the slabs, and the entire construction is poured at once. Beam reinforcement and stirrups extend up into the slab thus part of the slab will act with the upper part of the beam to resist longitudinal compression. The resulting shape of the beam is in the form of a T rather than rectangular. Figure below shows the stress and strain diagrams of a T- beam.
  • 54.
    Code requirements ofT- beams 1. In T-beam construction, the flange and the web shall be built integrally or effectively bonded together 2. The width of the flange effective as a T- beam shall not exceed ¼ of the span , and the effective overhanging flange on each side of the web shall not exceed : a) eight times the slab thickness b) ½ the clear spacing to the next web 3. For beams with slab on one side only, the effective overhanging flange shall not exceed : a) 1/12 the span length of the beam b) 6 times the slab thickness c) ½ the clear distance to the next web w f b w p p p p    ) ( 75 . 0 max For yielding of tension steel Where y y b f f fc p ) 600 ( 600 ' 85 . 0 1    d b A p w s w  d b A p w sf f 
  • 55.
    bw’ S3 bwS2 bw S1 bf’ bf t For interior beam: bf is the smallest of 1. bf = L/4 2. bf = bw + 16t 3. bf = S1 /2 + S2 /2 + bw For End beams: bf’ is the smallest of 4. bf’ = L/12 + bw’ 5. bf’ = bw’ + 6t 6. bf’ = S3/2 + bw’ For Symmetrical interior beam (S1 =S2 = S3) bf is the smallest of 7. bf = L/4 8. bf = bw + 16t 9. bf = center to center spacing of beams
  • 56.
    T- BEAMS FORMULAS From the stress diagrams sw sf s A A A   uw uf u M M M   y w f sf w f y sf f f f t b b fc A t b b fc f A T C ) ( ' 85 . 0 ) ( ' 85 . 0      w sw sw w w w b fc fy A a fy A ab fc T C ' 85 . 0 ' 85 . 0    ) 2 ( ) 2 ( ) ( ' 85 . 0 t d fy A M t d t b b fc M sf uf w f uf        ) 2 ( ) 2 ( ' 85 . 0 a d f A M a d ab fc M y sw uw w uw      
  • 57.
    bf z z t As As NA NA The compressionblock of a T- beam can fall either within the flange only or partly in the web. If it falls within the flange, the rectangular beam formulas apply, if it falls partly on the web the beam should be considered as a T- beam . Criterion for selection of analysis: 0.85fc’bfz = Asfy f y s b fc f A z ' 85 . 0  if z < t wide rectangular beam if z > t T-beam
  • 58.
    FLEXURAL ANALYSIS OFT- BEAMS ( Z > T)  Given: bw,t,As,d,center to center spacing of beams (assuming symmetrical interior beam), L, fc’,fy Required: MU 1. Determine the effective flange width bf bf = L/4 bf = bw + 16t bf = center to center spacing of beams Use the smallest value of bf Note: if bf is given omit step 1 2. Determine if it is to be analyzed as T- beam f y s b fc f A z ' 85 . 0 
  • 59.
    z > t 3.Solve for Asf y w f sf f t b b fc A ) ( ' 85 . 0   d b A p d b A p w sf f w s w   y y b f f fc p ) 600 ( 600 ' 85 . 0 1    w f b w p p p p    ) ( 75 . 0 max 4. Check for yielding of tension steel 5. Solve for Muf ) 2 ( ) 2 ( ) ( ' 85 . 0 t d fy A M t d t b b fc M sf uf w f uf       
  • 60.
    6. Solve forAsw sf s sw A A A   w y s b fc f A a ' 85 . 0  ) 2 ( ) 2 ( ' 85 . 0 a d f A M a d ab fc M y sw uw w uw       uw uf u M M M   7. Solve for a 8. Solve for Muw 9. Solve for Mu
  • 61.
    Problem : A reinforcedconcrete T- beam spaced at 2.0 m on centers has a span of 3.0 m with a slab thickness of 100 mm. The effective depth is 750 mm and the width of the web is 350 mm. The beam is reinforced with steel of area 5200 mm2. If fc’ = 20.7 MPa and fy= 345 MPa, calculate the ultimate moment capacity. Solution Determine the effective flange width bf bf = L/4 = 3000/4 = 750 mm bf = bw + 16t = 350+16(100) = 1950 mm bf = center to center spacing of beams = 2000 mm Use bf = 750 mm Determine if it is to be analyzed as T- beam mm mm b fc f A z f y s 100 94 . 135 ) 750 )( 7 . 20 ( 85 . 0 ) 345 ( 5200 ' 85 . 0     Analyze as T - beam
  • 62.
    0078 . 0 ) 750 ( 350 2040 0198 . 0 ) 750 ( 350 5200       d b A p d b A p w sf f w s w 0275 . 0 345 ) 345 600 ( ) 600 ( 85 . 0 ) 7 . 20 ( 85 . 0 ) 600 ( 600 ' 85 . 0 1      y y b f f fc p  ) ( 75 . 0 max f b wp p p   2 2040 345 100 ) 350 750 )( 7 . 20 ( 85 . 0 ) ( ' 85 . 0 mm f t b b fc A y w f sf      w w p p     02649 . 0 ) 0078 . 0 0275 . 0 ( 75 . 0 max tension steel yields at failure
  • 63.
    6 10 ) 2 100 750 ( 345 ) 2040 ( 9 . 0 ) 2 (     t d fy A M sf uf  m kN M M Muw uf u . 42 . 1092 03 . 649 39 . 443      2 3160 2040 5200 mm A A A sf s sw      mm mm b fc f A a w y sw 100 03 . 177 350 ) 7 . 20 ( 85 . 0 ) 345 ( 3160 ' 85 . 0     m kN a d f A M y sw uw . 03 . 649 10 ) 2 03 . 177 750 ( 345 ) 3160 ( 9 . 0 ) 2 ( 6      m kN Muf . 39 . 443 
  • 64.
    Flexural analysis ofT- beams ( z < t) Given: bw,t,As,d,center to center spacing of beams(assuming symmetrical interior beam), L, fc’,fy Required: MU 1. Determine the effective flange width bf bf = L/4 bf = bw + 16t bf = center to center spacing of beams Use the smallest value of bf Note: if bf is given omit step 1 f y s b fc f A z ' 85 . 0  2. Determine if it is to be analyzed as T- beam z < t z=a
  • 65.
    ) 2 ( z d f A M y s u   3.Solve for MU 4. Check for yielding of tension steel bd A p s  y y b f f fc p ) 600 ( 600 ' 85 . 0 1    p p p b   75 . 0 max Problem : A reinforced concrete T- beam has an effective flange width of 1500 mm , slab thickness of 100 mm, effective depth of 600 mm and the width of the web is 250 mm. The beam is reinforced with steel of area 4500 mm2. If fc’ = 20.7 MPa and fy= 345 MPa, calculate the ultimate moment capacity.
  • 66.
    mm mm b fc f A z f y s 100 8 . 58 ) 1500 )( 7 . 20 ( 85 . 0 ) 345 ( 4500 ' 85 . 0     Analyze as widerectangular beam solution m kN z d f A M y s u . 3 . 797 10 ) 2 8 . 58 600 ( 345 ) 4500 ( 9 . 0 ) 2 ( 6      005 . 0 ) 600 ( 1500 4500    bd A p s 0275 . 0 345 ) 345 600 ( ) 600 ( 85 . 0 ) 7 . 20 ( 85 . 0 ) 600 ( 600 ' 85 . 0 1      y y b f f fc p  p p p b    0206 . 0 75 . 0 max tension steel yields at failure
  • 67.
    Plate #2 DoublyReinforced beams 1. A rectangular concrete beam has a width of 300 mm and an effective depth to bottom bars of 450 mm. The beam is reinforced with six 32 mm bars and two 28 mm top bars located 65 mm from the top of the beam. If fc’=34.5 MPa, fy =345 MPa, calculate the ultimate moment capacity of the beam. 2. Calculate the ultimate moment capacity of the beam shown in figure. fc’=34.5 MPa, fy = 415 MPa. As’ = 1850mm2 As =4820 mm2 80 mm 700 mm 400 mm
  • 68.
    Non- Rectangular Beams Todeal with these beams, the code requirements and principles of rectangular beams are applied. Stress and strain diagrams plays an important role in establishing the formulas that will analyze these beams. 375 mm 75 mm 375 mm 3 of 16 mm Problem Compute the ultimate moment capacity Of the beam shown in figure. Assume fc’=21 MPa, fy = 345 MPa
  • 69.
    375 mm 75 mm 375mm 3 of 16 mm Ac 0.003 s  c 375 - c x a C=0.85fc’Ac T=Asfy 375 - 2a/3 Solution 2 2 2 . 603 4 ) 16 ( 3 mm As    Assume that steel yields at failure( subject to checking) C=T 0.85fc’Ac=Asfy 0.85(21)Ac =603.2(345) Ac =11,658.48 mm2 Stress diagram Strain Diagram
  • 70.
    ax Ac 2 1  450 375  a x 1 . 833 . 0 EQ a x   ) 833 . 0 ( 2 1 48 . 11658a a  mm a 3 . 167  mm a c 82 . 196 85 . 0 3 . 167 1     From the strain diagram c c s   375 003 . 0  200000 s s f   82 . 196 82 . 196 375 003 . 0 ) 200000 (   s f y s f MPa f   18 . 543 tension steel yields at failure By similar triangles m kN a fy A M s u . 34 . 49 10 ) 3 3 . 167 ] 2 [ 375 ( 345 ) 2 . 603 ( 9 . 0 ) 3 2 375 ( 6     
  • 71.
    400 mm 75 mm 400mm 3 of 16 mm Problem Compute the ultimate moment capacity of the beam shown in figure. Assume fc’=20.7 MPa, fy = 345 MPa
  • 72.
    400 mm 75 mm 400mm 3 of 16 mm Ac 0.003 s  c 400 - c x a C=0.85fc’Ac T=Asfy 400 - 2a/3 Solution 2 2 2 . 603 4 ) 16 ( 3 mm As    Assume that steel yields at failure( subject to checking) C=T 0.85fc’Ac=Asfy 0.85(20.7)Ac =603.2(345) Ac =11,829.8 mm2 Stress diagram Strain Diagram
  • 73.
    ax Ac 2 1  475 400  a x 1 . 842 . 0 EQ a x   ) 842 . 0 ( 2 1 8 . 11829a a  mm a 63 . 167  mm a c 21 . 197 85 . 0 63 . 167 1     From the strain diagram c c s   375 003 . 0  200000 s s f   21 . 197 21 . 197 400 003 . 0 ) 200000 (   s f y s f MPa f   98 . 616 tension steel yields at failure By similar triangles m kN a fy A M sf u . 98 . 53 10 ) 3 63 . 167 ] 2 [ 400 ( 345 ) 2 . 603 ( 9 . 0 ) 3 2 400 ( 6     
  • 74.
    BEAM DEFLECTIONS ' 7 . 0 fc fr Unless stiffness values are obtained by a more comprehensive analysis,immediate deflection shall be computed with the modulus of elasticity of concrete and with an effective moment of inertia as follows, but not greater than Ig . cr a cr g a cr e I M M I M M I                          3 3 1 Where t g r cr y I f M  fr = modulus of rupture of concrete fc’ in MPa
  • 75.
    Ma = maximummoment in member at stage deflection is computed. Ig = moment of inertia of gross concrete section about centroidal axis, neglecting reinforcement. Icr = moment of inertia of cracked section transformed to concrete yt = distance from centroidal axis of gross cross section , neglecting reinforcement, to extreme fiber in tension b b x d-x nAs As d TRANSFORMED SECTION n = modular ratio c s E E n  To Locate nuetral axis: Moment of area of Moment of area of concrete about NA = steel about NA ) ( 2 2 x d nA x b s   Nuetral axis
  • 76.
    To determine Icr 2 3 ) ( 3 x d nA bx Is cr    yt = distance from centroidal axis of gross section neglecting reinforcement, to extreme fiber in tension. Unless stiffness values are obtained by a more comprehensive analysis, additional long term deflection resulting from creep and shrinkage of flexural members shall be determined by multiplying the immediate deflection caused by the sustained load considered, by the factor ' 50 1 p     where p’ shall be the value of reinforcement ratio for non prestress compression reinforcement at midspan for simple and continuous spans, and at support for cantilever. It is permitted to assume the time-dependent factor ξ for sustained load to be equal to
  • 77.
    5 years ormore ………………………….. 2 12 months ………………………….. 1.4 6 months ………………………….. 1.2 3 months ………………………….. 1.0 Problem: A concrete beam 6 m long is 300 mm wide and 600 mm deep and carries a dead load of 9 kN/m and live load of 12 kN/m. The beam is reinforced for tension only with four 25 mm bars with an effective depth to tension bars of 530 mm. fc’ = 20.7 MPa , fy = 345 MPa , fr = 2.832 MPa, Ec = 20,000 MPa, Es = 200,000 MPa. Covering of bars is 70 mm. a) Calculate the maximum instantaneous deflection due to dead load and live load. b) Calculate the deflection due to the same loads after five years assuming that 30% of the live load is sustained.
  • 78.
    Gross moment ofinertia 4 6 3 3 10 5400 12 ) 600 ( 300 12 mm x bh Ig    mm N x y I f M t g r cr . 10 97 . 50 300 10 ) 5400 ( 832 . 2 6 6    m kN Mcr . 97 . 50  b=300 b x 530-x nAs As d=530 10 20000 200000    c s E E n ) ( 2 2 x d nA x b s   2 2 2 . 1963 4 ) 25 ( 4 mm As    Transformed section
  • 79.
    ) ( 2 2 x d nA x b s  ) 530 )( 5 . 1963 ( 10 2 300 2 x x   x x 9 . 130 69377 2   0 69377 9 . 130 2    x x mm x 96 . 205 2 ) 69377 ( 4 ) 9 . 130 ( 9 . 130 2      2 3 2 3 ) 96 . 205 530 )( 5 . 1963 ( 10 3 ) 96 . 205 ( 300 ) ( 3       x d nA bx I s cr 4 6 10 38 . 935 , 2 mm x Icr  a) m kN L W M T a . 5 . 94 8 ) 6 )( 9 12 ( 8 2 2    
  • 80.
    4 6 10 1 . 322 , 3 mm x Ie  Effectivemoment of inertia cr a cr g a cr e I M M I M M I                          3 3 1 a) Instantaneous deflection mm I E L W e c T 44 . 3 ) 10 ( 1 . 3322 ) 20000 ( 384 ) 6000 )( 21 ( 5 384 5 6 4 4    
  • 81.
    a) Long termdeflection Since only 30% l of the live load is sustained m kN WT / 7 . 14 ) 9 ( 3 . 0 12    mm I E L W e c T 41 . 2 ) 10 ( 1 . 3322 ) 20000 ( 384 ) 6000 )( 7 . 14 ( 5 384 5 ' 6 4 4     2 ) 0 ( 50 1 2 50 1 '      p   Long term deflection mm L 26 . 8 ) 41 . 2 ( 2 44 . 3 '        
  • 82.
    Compression Zone d a 0.85fc’ C = 0.85fc’ab 0.003 T= Asfy s y s E f   b c Stress Diagram Strain Diagram Design for Flexure : Beams Reinforced for tension Derivation of designing formulas 1 . ) 2 ( EQ a d f A M y s u     2 . ' 85 . 0 EQ b fc f A a y s   d-a/2 Mu
  • 83.
    ) ] ' 85 . 0 [ 2 ( b fc f A d f A M y s y s u    EQ.2in EQ.1 ) ] ' 85 . 0 [ 2 ( d b fc d f A d bd bd f A M y s y s u    ) ] ' 85 . 0 [( 2 ( d fc f bd A d bdf bd A M y s y s u    bd A p s  ' 85 . 0 fc f m y  Let and
  • 84.
    ) 2 ( d pm d pbdf M y u   ) 2 1 ( 2 pm pf bd M y u    ) 2 1 ( pm pf R y u   Let u u R bd M 2   For proportioning of section y y u f m p pf R 2 1 2   ) 2 1 ( pm pf R y u   Coeffecient of resistance
  • 85.
  • 86.
  • 87.
    NSCP COEFFECIENTS FORCONTINUOUS BEAMS AND SLABS NSCP states that in lieu of frame analysis, the following approximate moments and shear are permitted for design of continuous beams and one way slabs provided that : There are two or more spans Spans are approximately equal,with the large of two adjacent spans not greater than the shorter by more than 20 % Loads are uniformly distributed Unit live load does not exceed three times the unit dead load The members are prismatic Positive moment End spans Discontinuous end unrestrained WULn2/11 Discontinuous end integral with support WULn2/14 Interior spans WULn2/16
  • 88.
    Negative moment atexterior face of first interior support Two spans WULn2/9 More than two spans WULn2/10 Negative moment at other faces of interior supports WULn2/11 Negative moment at face of all supports for Slabs with span not exceeding 3 m; and beams where ratio of column stiffness to beam stiffness exceeds eight at each end of the span WULn2/12 Negative moment at interior face of exterior supports for members built integrally with supports Where support is a spandrel beam WULn2/24 Where support is a column WULn2/16 Shear in end members at face of first interior support 1.15WULn/2 Shear at face of all other supports WULn/2 Where Ln = the clear span for positive moment or shear and average of adjacent clear spans for negative moments.
  • 89.
    L1 L2 16 2 1 wL  2 1 wL 11 2 2 wL 9 2 n wL  2 2 1 L L Ln   14 2 1 wL 2 15 . 12 wL 2 15 . 1 n wL Shear Moment Shear and moment for continuous beams or slab with two spans discontinuous edge integral with support,discontinous end unrestrained column column
  • 90.
    L1 L2 16 2 1 wL  2 1 wL 16 2 2 wL 10 2 n wL  2 2 1 L L Ln   14 2 1 wL 2 15 . 1n wL 2 15 . 1 n wL Shear Moment Shear and moment for continuous beams or slab with more than two spans and discontinuous end integral with support column column column Spandrel beam L3 2 3 wL 14 2 3 wL 10 2 n wL  2 3 2 L L Ln   24 2 3 wL 
  • 91.
    L1 L2 2 1 wL 16 2 2 wL 10 2 n wL  2 2 1 L L Ln   11 2 1 wL 2 15 . 1n wL 2 15 . 1 n wL Shear Moment Shear and moment for continuous beams or slab with more than two spans and discontinuous end unrestrained column column L3 2 3 wL 11 2 3 wL 10 2 n wL  2 3 2 L L Ln  
  • 92.
    Case 1 :Design for balanced strain condition with given dimensions Given : b,d, fc’ and fy Required : Steel area that would produce balance strain condition General Procedure: 1. Solve for pb y y b f f fc p ) 600 ( 600 ' 85 . 0 1    2. Solve for Asb Asb = pbbd Problem: A reinforced concrete rectangular beam 300 mm wide has an effective depth of 460 mm and is reinforced for tension only. If fc’=20 MPa, fy = 300 MPa, determine the balance steel area in mm2. 032 . 0 300 ) 300 600 ( ) 600 ( 85 . 0 ) 20 ( 85 . 0 ) 600 ( 600 ' 85 . 0 1      y y b f f fc p  Asb = pbbd=0.032(300)460 = 4416 mm2 Solution
  • 93.
    ) 2 1 ( pm pf R y u   u u R M bd   2 ' 85 . 0fc f m y  Case 2 : Design of cross section and reinforcement from given loads and type of beam dimensions Given : fc’ , fy, Loads, type of beam, Wc Required : cross section dimension ,size and number of steel bars General Procedure: 1.Assume the weight of the beam ( DL) as 20 to 25% of (DL + LL). add this to the given dead load. 2.By any available method, determine designing moment Mu. 3.Assume a value of steel ratio p ( 0.3pb to 0.6pb but not less than pmin). This will provide enough allowance for the rounding off of values of number of bars to be used. 4.Solve for the following design constants : 5. Solve for bd2
  • 94.
    6. Try aratio of d/b ( from d= b to d = 2b ) , then solve for b and d. Alternatively b may be assumed until a reasonable value of d is attained. Provide concrete cover to get total thickness. Check for minimum depth if required. 7. Compute actual weight ( W = bDWc) and compare with assume Weight. 8. Solve for actual p 9.Solve for As: As = pbd 10.Solve for the number of bars by dividing As by the area of one bar to be used. Round off this number to the next integer. Problems : Design a rectangular beam for a 6 m simple span to support a uniform dead load of 15 kN/m and uniform live load of 24 kN/m applied along it’s entire length. fc’=20 MPa, fy = 350 MPa,Wc=23.5 kN/m3. Design a rectangular beam reinforced for tension only to support a service dead load moment of 85 kN.m ( including its weight) and service live load moment of 102 kN.m. Use p =0.6pb, d/b = 1.75 , fc’=28 MPa, fy = 276 MPa. ) 2 1 1 ( 1 y u f mR m p   
  • 95.
    Problems : Design arectangular beam for a 6 m simple span to support a uniform dead load of 15 kN/m and uniform live load of 24 kN/m applied along it’s entire length. fc’=20 MPa, fy = 350 MPa,Wc=23.5 kN/m3 25 . 3 ] 2 ) 59 . 20 ( 0104 . 0 1 )[ 350 ( 0104 . 0 ) 2 1 ( 59 . 20 ) 20 ( 85 . 0 350 ' 85 . 0 0104 . 0 350 ) 350 600 ( ) 600 ( 85 . 0 ) 20 ( 85 . 0 4 . 0 4 . 0 . 4 . 327 8 ) 6 ( 24 7 . 1 8 ) 6 ( 8 . 22 4 . 1 / 8 . 22 8 . 7 15 8 . 7 ) 15 24 ( 20 . 0 2 2                      pm pf R fc fy m p p m kN M m kN W w y u b u D B
  • 96.
    mm b R M d R M bd u u u u 570 350 ) 25 . 3 ( 9 . 0 ) 10 ( 24 . 327 6 2       Trial section350 mm x 570mm effective depth, total depth 650 mm Actual weight 2 . 3 ) 570 )( 350 ( 9 . 0 ) 10 ( 24 . 327 / 8 . 7 / 35 . 5 5 . 23 ) 65 . 0 ( 35 . 0 2 6 2       bd M R m kN m kN w u u B 
  • 97.
  • 98.
    Problems : Design arectangular beam for a 5 m simple span to support a uniform dead load of 12 kN/m and uniform live load of 20 kN/m applied along it’s entire length. fc’=20 MPa, fy = 400 MPa,Wc=23.5 kN/m3. Design a rectangular beam reinforced for tension only to support a service dead load moment of 65 kN.m ( including its weight) and service live load moment of 80 kN.m. Use p =0.45pb, d/b = 1.5 , fc’=20 MPa, fy = 300 MPa. Plate # 3 Design of beams reinforced for tension A reinforced concrete T- beam spaced at 3.0 m on centers has a span of 4.0 m with a slab thickness of 75 mm. The effective depth is 750 mm and the width of the web is 300 mm. The beam is reinforced with steel of area 4200 mm2. If fc’ = 20.7 MPa and fy= 345 MPa, calculate the ultimate moment capacity.
  • 99.
    2 bd M R u u   ) 2 1 1 ( 1 y u f mR m p    ' 85 . 0fc f m y  Design of reinforcement of a beam with given moment and cross sectional dimension Given : b,d, Mu ,fc’ , fy, Required : Number of steel bars General Procedure : 1. Solve for Ru and m 2. Solve for p 3. Check for yielding of tension steel and pmin if required. 4. Solve for As : As = pbd
  • 100.
    Problem : Determine therequired tension steel area for a rectangular beam with b =250 mm, d =330mm, fc’ =20.7 MPa, fy = 414 MPa. The beam is required to support a factored moment of 110 kN.m. 49 . 4 ) 330 )( 250 ( 90 . 0 ) 10 ( 110 2 6 2     bd M R u u 53 . 23 ) 7 . 20 ( 85 . 0 414 ' 85 . 0    fc f m y ) 2 1 1 ( 1 y u f mR m p    01276 . 0 ) 414 49 . 4 ) 53 . 23 ( 2 1 1 ( 53 . 23 1     p Note : If p > 0.006 no need to check for pmin p < 0.02 no need to check for pmax As = pbd As = 0.01276(250)330 As = 1052.7 mm2 Solution
  • 101.
    DESIGN OF CONTINUOUSBEAM In the design of continuous beam, the cross section is determined by the maximum moment obtained by any structural analysis method or by its equivalent NSCP coefficients. The reinforcements are designed from the moment obtained at the different sections of maximum positive and negative moments. Problem: Figure shows a continuous beam of three spans with the left and right ends discontinuous and integral with the support . Design the section and reinforcements at critical sections using the given service uniform loading. Given dead loads includes the weight of the beam. fc’= 28 MPa, fy =350 MPa . Use NSCP coefficients to determine the moments.
  • 102.
    DL = 12kN/m DL = 15 kN/m DL = 20 kN/m LL =16 kN/m LL = 18 kN/m LL = 24 kN/m 4 m 5 m 6 m A B C D E F G Factored loads W1 = 1.4(12)+1.7(16)= 44 W2=1.4(15)+1.7(18)= 51.6 W3 = 1.4(20)+1.7(24)=68.8 m kN L w M A . 44 16 ) 4 ( 44 16 2 2 1 1       Design moments by NSCP coeffecients m kN L w MB . 28 . 50 14 ) 4 ( 44 14 2 2 1 1   
  • 103.
    m kN L w M n C . 49 . 104 10 ) 2 5 4 ( 6 . 51 10 2 2 1 2        m kN L w MD. 63 . 80 16 ) 5 ( 6 . 51 16 2 2 2 2    m kN L w M n E . 12 . 208 10 ) 2 5 6 ( 8 . 68 10 2 2 2 3        m kN L w MF . 91 . 176 14 ) 6 ( 8 . 68 14 2 2 3 3    m kN L w MG . 9 . 157 16 ) 6 ( 8 . 68 16 2 2 3 3      
  • 104.
    Proportioning of uniformbeam size Note: use the biggest computed design Moment Mu =208.12 kN.m MPa Ru 53 . 5 ) 2 ) 71 . 14 ( 01825 . 0 1 )( 350 ( 01825 . 0    71 . 14 ) 28 ( 85 . 0 350 ' 85 . 0    fc f m y 0365 . 0 350 ) 350 600 ( ) 600 ( 85 . 0 ) 28 ( 85 . 0 ) 600 ( 600 ' 85 . 0 1      y y b f f fc p  01825 . 0 0365 . 0 ) 5 . 0 ( 5 . 0    b p p ) 2 1 ( pm pf R y u  
  • 105.
    mm b R M d u u 410 ) 250 )( 53 . 5 ( 9 . 0 ) 10 ( 12 . 208 6     Try b= 250 mm 004 . 0 350 4 . 1 4 . 1 min    y f p Section A m kN Mu . 44   16 . 1 ) 410 )( 250 ( 9 . 0 ) 10 ( 44 2 6 2    bd M R u u  0034 . 0 ) 350 71 . 14 ) 16 . 1 ( 2 1 1 ( 71 . 14 1 ) 2 1 1 ( 1        y u f mR m p
  • 106.
    Use p =0.004 2 410 410 ) 250 ( 004 . 0 mm pbd As    Try 20 mm bars pcs N 2 ) 20 ( ) 4 ( 410 2    Section B m kN Mu . 28 . 50  32 . 1 ) 410 )( 250 ( 9 . 0 ) 10 ( 28 . 50 2 6 2    bd M R u u  0034 . 0 ) 350 71 . 14 ) 32 . 1 ( 2 1 1 ( 71 . 14 1 ) 2 1 1 ( 1        y u f mR m p Top bars
  • 107.
    Use p =0.004 2 410 410 ) 250 ( 004 . 0 mm pbd As    Try 20 mm bars pcs N 2 ) 20 ( ) 4 ( 410 2    bottom bars Section C m kN Mu . 49 . 104   74 . 2 ) 410 )( 250 ( 9 . 0 ) 10 ( 49 . 104 2 6 2    bd M R u u  00834 . 0 ) 350 71 . 14 ) 74 . 2 ( 2 1 1 ( 71 . 14 1 ) 2 1 1 ( 1        y u f mR m p
  • 108.
    2 86 . 854 410 ) 250 ( 00834 . 0 mm pbd As    Try20 mm bars pcs N 3 ) 20 ( ) 4 ( 86 . 854 2    top bars Section D m kN Mu . 63 . 80  11 . 2 ) 410 )( 250 ( 9 . 0 ) 10 ( 63 . 80 2 6 2    bd M R u u  00632 . 0 ) 350 71 . 14 ) 11 . 2 ( 2 1 1 ( 71 . 14 1 ) 2 1 1 ( 1        y u f mR m p
  • 109.
    2 06 . 648 410 ) 250 ( 00632 . 0 mm pbd As    Try20 mm bars pcs N 3 ) 20 ( ) 4 ( 06 . 648 2    bottom bars Section E m kN Mu . 12 . 208   44 . 5 ) 410 )( 250 ( 9 . 0 ) 10 ( 12 . 208 2 6 2    bd M R u u  018 . 0 ) 350 71 . 14 ) 44 . 5 ( 2 1 1 ( 71 . 14 1 ) 2 1 1 ( 1        y u f mR m p
  • 110.
    2 1845 410 ) 250 ( 018 . 0 mm pbd As    Try20 mm bars pcs N 6 ) 20 ( ) 4 ( 1845 2    Top bars Section F m kN Mu . 91 . 176  62 . 4 ) 410 )( 250 ( 9 . 0 ) 10 ( 91 . 176 2 6 2    bd M R u u  0148 . 0 ) 350 71 . 14 ) 62 . 4 ( 2 1 1 ( 71 . 14 1 ) 2 1 1 ( 1        y u f mR m p
  • 111.
    2 1517 410 ) 250 ( 0148 . 0 mm pbd As    Try20 mm bars pcs N 5 ) 20 ( ) 4 ( 1517 2    bottom bars Section G m kN Mu . 9 . 157   12 . 4 ) 410 )( 250 ( 9 . 0 ) 10 ( 9 . 157 2 6 2    bd M R u u  013 . 0 ) 350 71 . 14 ) 12 . 4 ( 2 1 1 ( 71 . 14 1 ) 2 1 1 ( 1        y u f mR m p
  • 112.
    2 5 . 1332 410 ) 250 ( 013 . 0 mm pbd As    Try20 mm bars pcs N 5 ) 20 ( ) 4 ( 5 . 1332 2    top bars Gross moment of inertia using 100 mm covering 4 6 3 3 10 5400 12 ) 600 ( 300 12 mm x bh Ig    mm N x y I f M t g r cr . 10 79 . 55 300 10 ) 5400 ( 1 . 3 6 6   
  • 113.
    A B CD E F G 2 of 20 2 of 20 3 of 20 3 of 20 6 of 20 5 of 20 5 of 20 A B C D E F G 2 of 20 2 of 20 1 of 20 1 of 20 3 of 20 3 of 20 3 of 20 2 of 20 2 of 20 2 of 20 2 of 20 Placement of bars Requirement Layout 3 of 20
  • 114.
    250 mm 500 mm 250mm 500 mm 250 mm 500 mm Section at A and B Section at C Section at D 250 mm 500 mm 250 mm 500 mm 250 mm 500 mm Section at E Section at F Section at G
  • 115.
    DL = 9kN/m DL = 12 kN/m DL = 15kN/m LL =12 kN/m LL = 14 kN/m LL = 18 kN/m 3.6 m 4.0 m 4.5 m Plate # 4: Design of continuous beams Problem Design the uniform size and reinforcements at critical section of the continuous beam shown above. fc’= 20 MPa, fy = 300 MPa. Given dead loads includes the weight of the beam.
  • 116.
    2 bd M R u u   ) 2 1 1 ( 1 fy mR m p u    y y b f f fc p ) 600 ( 600 ' 85 . 01    b p p 75 . 0 max  DESIGN FOR FLEXURE :DOUBLY REINFORCED BEAMS Given :b,d,d’, Mu ,fc’,fy Req’d : As, As’ General Procedure 1. Solve for Ru 2. Solve for p 3. Check if the beam needs compression reinforcement if p > pmax then compression reinforcement is necessary
  • 117.
    bd p As max 1  b fc f A ay s ' 85 . 0 1  ) 2 ( 1 1 a d f A M y s u    1 2 u u u M M M   5. Solve for a 6. Solve for Mu1 7. Solve for Mu2 4. Solve for As1 8. Solve for As2 ) ' ( 2 2 d d f M A y u s    9. Solve for fs ’ a d a fs ) ( 600 ' 1 '    Case 1 If fs’ ≥ fy then fs’ = fy ( compression steel yields at failure) 2 ' s s A A  Case 2 If fs’ < fy then use fs’ ( compression steel does not yield at failure) ' 2 ' s y s s f f A A  10. Solve for As 2 1 s s s A A A  
  • 118.
    Problem: Design the reinforcementof a rectangular beam to carry a factored moment of 272 kN.m. The beam width is 250 mm,effective depth 400mm. Use fc’ = 20.7 MPa, fy = 345 MPa, d’ =60 mm. 55 . 7 ) 400 )( 250 ( 9 . 0 ) 10 ( 272 2 6 2    bd M R u u  0317 . 0 ) 345 55 . 7 ) 61 . 19 ( 2 1 1 ( 61 . 19 1     p 61 . 19 ) 7 . 20 ( 85 . 0 345 ' 85 . 0    fc f m y 0275 . 0 345 ) 345 600 ( ) 600 ( 85 . 0 ) 7 . 20 ( 85 . 0 ) 600 ( 600 ' 85 . 0 1      y y b f f fc p  0206 . 0 ) 0275 . 0 ( 75 . 0 max   p p > pmax compression reinforcement is necessary Solution
  • 119.
    2 max 1 2060 400 ) 250 ( 0206 . 0 mm bd p As   mm b fc f A a y s 57 . 161 250 ) 7 . 20 ( 85 . 0 ) 345 ( 2060 ' 85 . 0 1    m kN a d f A M y s u . 18 . 204 10 ) 2 57 . 161 400 ( 345 ) 2060 ( 9 . 0 ) 2 ( 6 1 1      m kN M M M u u u . 82 . 67 18 . 204 272 1 2      2 6 2 2 42 . 642 ) 60 400 )( 345 ( 9 . 0 ) 10 ( 82 . 67 ) ' ( mm d d f M A y u s       MPa a d a fs 6 . 410 57 . 161 )]) 60 ( 85 . 0 [ 57 . 161 ( 600 ) ( 600 ' 1 '       Compression Steel yields at failure 2 2 ' 42 . 642 mm A A s s   2 2 1 42 . 2702 42 . 642 2060 mm A A A s s s     
  • 120.
    Plate # 5: DESIGN FOR FLEXURE :DOUBLY REINFORCED BEAMS and T BEAMS Design the reinforcement of a rectangular beam to resist a dead load moment of 200 kN.m(including its own weight) and a live load moment of 300 kN.m . The beam is limited in size to 350 mm by 600mm overall depth. Steel covering ( from centroid of bars to outermost fiber is 100 mm for both tension and compression reinforcement. Use fc’ = 27.5 MPa, fy = 414 MPa A reinforced concrete T-beam with d = 550 mm, bw = 300 mm , slab thickness =100 mm is 4.8 m long and spaced 3 m on centers. The beam support a service dead load moment of 400 kN.m (including its weight) and service live load moment of 500 kN.m. If fc’=27.5 MPa, fy = 414 MPa , determine the required steel area. Design the reinforcement of a T- beam to support a uniform service dead load of 25 kN/m and service live load of 30 kN/m on a simple span of 8 m . Properties of the T- beam are as follows : bf = 1500 mm, bw = 250 mm, d = 600 mm, t = 100 mm, fc’ = 20.7 MPa, fy = 345 MPa.
  • 121.
    DESIGN FOR BENDING: T-BEAMS (z > t) Given: bw,t,Mu,d,center to center spacing of beams(assuming symmetrical interior beam), L, fc’,fy Required: As 1. Determine the effective flange width bf bf = L/4 bf = bw + 16t bf = center to center spacing of beams Use the smallest value of bf Note: if bf is given omit step 1 2. Solve for Asf y w f sf f t b b fc A ) ( ' 85 . 0   3. Solve for Muf ) 2 ( t d fy A M sf uf    If Mu > Muf then design as T- beam
  • 122.
    uf u uw M M M   ) 2 ( ' 85 . 0 a d ab fc Mw uw    y w sw f ab fc A ' 85 . 0  4. Solve for Muw 5. Solve for a 6. Solve for Asw sw sf s A A A   d b A p d b A p w sf f w s w   7. Solve for As 8. Check for yielding of tension steel y y b f f fc p ) 600 ( 600 ' 85 . 0 1    w f b w p p p p    ) ( 75 . 0 max
  • 123.
    Design the reinforcementof a T- beam to resist a factored moment of 750 kN.m. Properties of the T- beam are as follows : bf = 550 mm, bw = 300 mm, d = 600 mm, t = 110 mm, fc’ = 20.7 MPa, fy = 345 MPa. 2 5 . 1402 345 110 ) 300 550 )( 7 . 20 ( 85 . 0 ) ( ' 85 . 0 mm f t b b fc A y w f sf      solution m kN t d fy A M sf uf . 33 . 237 10 ) 2 110 600 ( 345 ) 5 . 1402 ( 9 . 0 ) 2 ( 6      Mu > Muf design as T- beam m kN M M M uf u uw . 67 . 512 33 . 237 750     
  • 124.
    ) 2 ( ' 85 . 0 a d ab fc M w uw   2 6 . 3370 345 ) 300 ( 3 . 220 ) 7 . 20 ( 85 . 0 ' 85 . 0 mm f ab fc A y w sw    2 1 . 4773 6 . 3370 5 . 1402 mm A A A sw sf s      ) 2 600 ( 300 ) 7 . 20 ( 85 . 0 ) 9 . 0 ( ) 10 ( 67 . 512 6 a a   2 600 8 . 107915 2 a a   0 6 . 215831 1200 2    a a mm mm a 110 3 . 220 2 ) 6 . 215831 ( 4 ) 1200 ( 1200 2     
  • 125.
    008 . 0 ) 600 ( 300 5 . 1402 0265 . 0 ) 600 ( 300 1 . 4773       d b A p d b A p w sf f w s w Check for yieldingof tension steel 0275 . 0 345 ) 345 600 ( ) 600 ( 85 . 0 ) 7 . 20 ( 85 . 0 ) 600 ( 600 ' 85 . 0 1      y y b f f fc p  w f b w p p p p       0266 . 0 ) 008 . 0 0275 . 0 ( 75 . 0 ) ( 75 . 0 max Tension steel yields at failure
  • 126.
    DESIGN FOR BENDING: T-BEAMS (z < t) Given: bw,t,Mu,d,center to center spacing of beams(assuming symmetrical interior beam), L, fc’,fy Required: As 1. Determine the effective flange width bf bf = L/4 bf = bw + 16t bf = center to center spacing of beams Use the smallest value of bf Note: if bf is given omit step 1 2. Solve for Asf y w f sf f t b b fc A ) ( ' 85 . 0  
  • 127.
    ) 2 ( t d fy A M sf uf   3. Solve for Muf If Mu < Muf then z < t ,design as wide rectangular beam 4. Solve for a ) 2 ( ' 85 . 0 a d ab fc M f u    5. Solve for As y f s f a b fc A ' 85 . 0  d b A p f s  y y b f f fc p ) 600 ( 600 ' 85 . 0 1    p p p b   75 . 0 max 6. Check for yielding of tension steel
  • 128.
    Problem : A reinforcedconcrete T-beam with bf = 810 mm, d = 300 mm, bw = 200 mm , t = 100 mm, fc’=20.7 MPa, fy = 414 MPa is to be designed to carry an ultimate moment of 221 kN.m Determine the required steel area. 2 2 . 2683 414 100 ) 200 810 )( 7 . 20 ( 85 . 0 ) ( ' 85 . 0 mm f t b b fc A y w f sf      m kN t d fy A M sf uf . 9 . 249 10 ) 2 100 300 ( 414 ) 2 . 2683 ( 9 . 0 ) 2 ( 6      solution Design as wide rectangular beam ) 2 ( ' 85 . 0 a d ab fc M f u   
  • 129.
      ) 2 300 ( 810 ) 7 . 20 ( 85 . 0 9 . 0 ) 10 ( 2216 a a   2 300 6 . 17229 2 a a   0 2 . 34459 600 2    a a mm a 33 . 64 2 ) 2 . 34459 ( 4 ) 600 ( 600 2     2 5 . 2214 414 33 . 64 ) 810 )( 7 . 20 ( 85 . 0 ' 85 . 0 mm f a b fc A y f s    0091 . 0 ) 300 ( 810 5 . 2214    d b A p f s   0213 . 0 414 ) 414 600 ( 600 85 . 0 ) 7 . 20 ( 85 . 0    b p 0091 . 0 016 . 0 ) 0213 . 0 ( 75 . 0 max    p Tension steel yields at failure
  • 130.
    Plate # 6:Flexural design of T-beams A reinforced concrete T-beam with d = 550 mm, bw = 300 mm , slab thickness =100 mm is 4.8 m long and spaced 3 m on centers. The beam support a service dead load moment of 400 kN.m (including its weight) and service live load moment of 500 kN.m. If fc’=27.5 MPa, fy = 414 MPa , determine the required steel area. Design the reinforcement of a T- beam to support a uniform service dead load of 25 kN/m and service live load of 30 kN/m on a simple span of 8 m . Properties of the T- beam are as follows : bf = 1500 mm, bw = 250 mm, d = 600 mm, t = 100 mm, fc’ = 20.7 MPa, fy = 345 MPa.
  • 131.
    Reinforced concrete slabare large flat plates that are supported at its sides by reinforced concrete beams, walls, column, steel beams or by the ground. If the slabs are supported on opposite sides only they are called one way slab since bending will occur on one direction only. A one way slab is considered as a wide & shallow rectangular beam. Reinforcing steel is usually spaced uniformly over its width. One way slabs are analyzed by considering a one meter strip, which is assumed independent of the adjacent strips. Maximum spacing of reinforcement Flexural reinforcement shall not be spaced farther apart than 3 times the slab thickness nor 450 mm. Minimum size of flexural reinforcement = 12 mm ONE WAY SLAB
  • 132.
    The area ofshrinkage reinforcement shall be where Grade 275 deformed bars are used… 0.002bt where Grade 415 deformed bars are used… 0.0018bt where reinforcement with fy > 415 MPa measured at yield strain of 0.35% are used …. 0.0018(400)bt/fy Shrinkage and temperature reinforcement Shrinkage reinforcement shall not be spaced farther apart than 5 times the slab thickness nor 450 mm. Minimum size of shrinkage and temperature bars = 10 mm
  • 133.
    Design of oneway slab Given: Loads, type of slab, fc’,fy,Wc Req’d: t, size and spacing of main bars and temperature bars General Procedure 1. Determine the minimum slab thickness t using table for minimum thickness of non prestressed beams and one way slab. This thickness should be at least 75 mm 2. Compute the weight of the slab ( this is to be added to the given dead load) 3. Calculate the design moment Mu 4. Compute the effective depth d d = t – covering – ½ bar diameter ( minimum of 12 mm) 5. Compute design constants 2 bd M R u u   ' 85 . 0 fc f m y  ) 2 1 1 ( 1 y u f mR m p   
  • 134.
    1000 1 s A A S  1000 1 t t A A S  p> pmin 5. Solve for As As = pbd 6. Solve for the spacing of bars where : A1 = area of 1 bar Use the smallest of the following a)S b)3t c) 450 mm 7. Solve for area of temperature bars At = 0.002bt , At = 0.0018bt, At =0.0018(400)bt/fy 8. Solve for the spacing of temperature bars where : A1 = area of 1 temperature bar ( minimum of 10mm dia.) Use the smallest of the following a) St b) 5t c)450 mm
  • 135.
    Problem: Design a oneway slab having a simple span of 3.0 m. The slab is to carry a uniform dead load of 2.5 KPa and uniform live load of 4.2 kPa. fc’ = 27.6 MPa , fy = 276 MPa for main bars and temperature bars. Concrete weighs 23.5 kN/m3 ) 700 4 . 0 ( 20 y f L t   Solution mm mm t 75 120 ) 700 276 4 . 0 ( 20 3000     Slab thickness Weight of Slab (assuming 1 m wide strip) m kN Ws / 82 . 2 12 . 0 ) 1 ( 5 . 23   m kN WD / 32 . 5 82 . 2 5 . 2    Total dead load
  • 136.
    Factored uniform load m kN W W WL D u / 59 . 14 ) 2 . 4 ( 7 . 1 ) 32 . 5 ( 4 . 1 7 . 1 4 . 1      Design Moment m kN L W M u u . 41 . 16 8 ) 3 ( 59 . 14 8 2 2    Effective depth assuming 12 mm bar mm t d 94 2 12 20 120 2 1 20         MPa bd M R u u 06 . 2 ) 94 )( 1000 ( 9 . 0 ) 10 ( 41 . 16 2 6 2     76 . 11 ) 6 . 27 ( 85 . 0 276 ' 85 . 0    fc f m y
  • 137.
    00782 . 0 ) 276 ) 06 . 2 )( 76 . 11 ( 2 1 1 ( 76 . 11 1     p 00507 . 0 276 4 . 1 4 . 1 min    y f p 2 4 . 735 94 ) 1000 ( 00782 . 0 mm pbd As   mm t mm say A A S s 360 3 150 7 . 153 ) 1000 ( 4 . 735 4 ) 12 ( 1000 2 1       Using 12 mm bars 2 240 120 ) 1000 ( 002 . 0 002 . 0 mm bt At    mm t mm say A A S t t 600 5 320 327 ) 1000 ( 240 4 ) 10 ( 1000 2 1       Using 10 mm bars Temperature bars
  • 138.
    12 mm mainbars @ 150 mm o.c 10 mm temp bars @ 320 mm o.c 120 mm
  • 139.
    Problem: Design a 4m long one way slab with one end discontinuous as shown in the figure . The slab is to carry a uniform dead load of 3.6 KPa and uniform live load of 4.0 kPa. fc’ = 20.7 MPa , fy = 415 MPa for main bars and fy = 276 MPa for temperature bars. Concrete weighs 22.56 kN/m3. 4m 4m column column column C B A mm say L t 170 67 . 166 24 4000 24   
  • 140.
    Weight of Slab(assuming 1 m wide strip) m kN Ws / 83 . 3 17 . 0 ) 1 ( 56 . 22   m kN WD / 43 . 7 83 . 3 6 . 3    Total dead load Factored uniform load m kN W W W L D u / 2 . 17 ) 0 . 4 ( 7 . 1 ) 43 . 7 ( 4 . 1 7 . 1 4 . 1      Design Moments m kN L W M u A . 2 . 17 16 ) 4 ( 2 . 17 16 2 2     m kN L W M u B . 66 . 19 14 ) 4 ( 2 . 17 14 2 2    m kN L W M u C . 58 . 30 9 ) 4 ( 2 . 17 9 2 2     Effective depth assuming 12 mm bar mm t d 144 2 12 20 170 2 1 20         MPa Ru 92 . 0 ) 144 )( 1000 ( 9 . 0 ) 10 ( 2 . 17 2 6   MPa Ru 05 . 1 ) 144 )( 1000 ( 9 . 0 ) 10 ( 66 . 19 2 6   MPa Ru 635 . 1 ) 144 )( 1000 ( 9 . 0 ) 10 ( 58 . 30 2 6  
  • 141.
    58 . 23 ) 7 . 20 ( 85 . 0 415 ' 85 . 0    fc f m y 00337 . 0 00228 . 0 ) 415 ) 92 . 0 )( 58 . 23 ( 2 1 1 ( 58 . 23 1 use pA     00337 . 0 415 4 . 1 4 . 1 min    y f p 00337 . 0 00261 . 0 ) 415 ) 05 . 1 )( 58 . 23 ( 2 1 1 ( 58 . 23 1 use pB    00415 . 0 ) 415 ) 635 . 1 )( 58 . 23 ( 2 1 1 ( 58 . 23 1     C p 2 min 28 . 485 144 ) 1000 ( 00337 . 0 mm bd p A A sB sA     mm mm say A A S s 450 230 233 ) 1000 ( 28 . 485 4 ) 12 ( 1000 2 1      Using 12 mm bars
  • 142.
    2 6 . 597 144 ) 1000 ( 00415 . 0 mm bd p A c sC   mm mm say A A S s 450 180 189 ) 1000 ( 6 . 597 4 ) 12 ( 1000 2 1      Using 12 mm bars 2 340 170 ) 1000 ( 002 . 0 002 . 0 mm bt At    mm mm say A A S t t 450 230 9 . 230 ) 1000 ( 340 4 ) 10 ( 1000 2 1      Using 10 mm bars Temperature bars
  • 143.
    C B A 12mm continuous bent bars at 230 mm 0.C 12 mm extra bars at 230 mm 0.C 10 mm temperature bars at 230 mm 0.C 170mm
  • 144.
    Design a 4.5m long one way slab with one end discontinuous as shown in the figure . The slab is to carry a uniform dead load of 4.2 KPa and uniform live load of 4.5 kPa. fc’ = 20.7 MPa , fy = 345 MPa for main bars and fy = 276 MPa for temperature bars. Concrete weighs 23.5 kN/m3. Draw layout of bars. 4.5m 4.5m column column column Plate # 7: Design of one way slab Design a one way cantilever slab of 2.0 m span . The slab is to carry a uniform dead load of 2.4 KPa and uniform live load of 3.6 kPa. fc’ = 27.6 MPa , fy = 415 MPa for main bars and temperature bars. Concrete weighs 22.56 kN/m3. Draw layout of bars.
  • 145.
    Prelim Exam A rectangularbeam has b =300 mm, d = 500 mm, As = 6 of 32 mm, fc’ =27.6 MPa,fy =414 MPa. If the beam is simply supported on a span of 6 m, determine the concentrated live load that could be applied at the third points on the beam if steel covering is 80 mm and concrete weighs 23.5 kN/m3. A doubly reinforced rectangular concrete beam has b =350 mm,d =600mm, fc’=27.5 MPa, fy = 345 MPa, As =3625 mm2, As’ = 775mm2 ,covering for tension and compression bars 80 mm and 63 mm respectively. If the beam is an interior span of a three span continuous beam supporting a service dead load of 20 kN/m (weight included) determine the maximum uniformly distributed live load it can support on an average clear span of 5.0 m. Use NSCP moment coeffecients. 400 mm 75 mm 400 mm 3 of 16 mm Determine the ultimate moment capacity of the triangular beam shown in figure. fc’ =20.7 MPa, fy = 345 MPa.
  • 146.
    mm b fc f A a y s 18 . 120 350 ) 5 . 27 ( 85 . 0 ) 345 ( 2850 ' 85 . 0 1    y s f MPa a d a f      65 . 332 18 . 120 )]) 63 ( 85 . 0 [ 18 . 120 ( 600 ) ( 600 ' 1 '  Compression steel does not yields at failure 2 1 2850 775 3625 ' mm As As As      ∑Fx =0 0.85fc’ab + As’fs’ = Asfy 0.85(27.5)350a + 775fs’ = 3625(345) 10.56a +fs’ = 1613.7 fs’ =1613.7 – 10.56 a EQ.1 Solution to #2
  • 147.
    a a a d a fs )]) 63 ( 85 . 0 [ ( 600 ) ( 600 ' 1 '      2 . ) 55 . 53 ( 600 ' EQ a a fs   2 . 1 . EQ EQ  a a a ) 55 . 53 ( 600 56 . 10 7 . 1613    32130 600 56 . 10 7 . 1613 2    a a a 0 32130 7 . 1013 56 . 10 2    a a 0 6 . 3042 96 2    a a mm a 12 . 121 2 ) 6 . 3042 ( 4 ) 96 ( 96 2     12 . 121 ) 55 . 53 12 . 121 ( 600 '   s f y s f MPa f   7 . 334 ' ) 2 ( 1 1 a d f As Mu y    ) ' ( ' ' 2 d d fs As Mu    6 1 10 ) 2 12 . 121 600 )( 345 ) 2850 ( 9 . 0   Mu m kN Mu . 36 . 477 1  6 2 10 ) 63 600 ( 7 . 334 ) 775 ( 9 . 0   Mu m kN Mu . 36 . 125 2  m kN Mu Mu Mu . 72 . 602 2 1    2 ' max 6 . 6500 ' 75 . 0 mm f fs A bd p A y s b s    0365 . 0 345 ) 345 600 ( ) 600 ( 7 . 334 ) 5 . 27 ( 85 . 0    b p
  • 148.
    #1 p=0.03217 pmax = 0.021tension steel does not yield at failure a = 260.22 mm fs =379.92 MPa Mu = 610.31 kN.m WD = 4.1 kN/m P = 171.9 kN #2 a = 121.12 mm compression steel does not yield at failure fs’=334.7 MPa Mu = 602.72 kN.m WL = 125.34 kN.m
  • 149.
    400mm 75 mm 400 mm 3of 16 mm Ac 0.003 s  c 375 - c x a C=0.85fc’Ac T=Asfy 375 - 2a/3 Solution 2 2 2 . 603 4 ) 16 ( 3 mm As    Assume that steel yields at failure( subject to checking) C=T 0.85fc’Ac=Asfy 0.85(20.7)Ac =603.2(345) Ac =11,827.45 mm2
  • 150.
    ax Ac 2 1  475 400  a x 1 . 842 . 0 EQ a x   ) 842 . 0 ( 2 1 45 . 11827a a  mm a 6 . 167  mm a c 17 . 197 85 . 0 6 . 167 1     From the strain diagram c c s   400 003 . 0  2000000 s s f   17 . 197 17 . 197 400 003 . 0 ) 200000 (   s f y s f MPa f   22 . 617 tension steel yields at failure By similar triangles m kN a f A M y s u . 91 . 53 10 ) 3 6 . 167 ] 2 [ 400 ( 345 ) 2 . 603 ( 9 . 0 ) 3 2 375 ( 6     
  • 151.
    SHEAR AND DIAGONALTENSION Another type of beam failure other than bending is shear failure. Shear failure are very dangerous if it happens before flexure failure because they can occur without warning BASIC CODE REQUIREMENT Factored shear strength Vu shall be equal or less than design shear ФVn n u V V   s c n V V V   where: Vc = shear carried by concrete Vs = shear carried by the stirrups Vu = factored shear strength
  • 152.
    SHEAR STRENGTH PROVIDEDBY CONCRETE d b ' fc 6 1 V w c  d b ' fc 3 . 0 d b 7 M d V p 120 ' fc V w w u u w c          0 . 1 M d V u u  Shear strength provided by concrete subject to shear and flexure only; or in more detailed calculation where : ' fc is in MPa and shall not exceed 0.7 MPa bw = width of the beam web for T-beams, width of the beam for rectangular beams d =effective depth of the beam pw = As/bwd
  • 153.
    Spacing limits ofshear reinforcement Spacing S of shear reinforcement placed perpendicular to the axis of the member shall not exceed d/2 for nonprestressed members and 3/4 h for prestressed members, nor 600mm. When d b ' fc 33 . 0 V w s  maximum spacing given by the above limits shall be reduced by one half. 2 V V c u   Minimum shear reinforcement When except in the following conditions: a)slabs and footings b)concrete joist construction c)beams with total depth not greater than 250 mm,2.5 times flange thickness or half the width of the web whichever is greatest. , minimum area of shear reinforcement shall be provided in all reinforced concrete flexural members
  • 154.
    Where shear reinforcementis required, the minimum area of shear reinforcement shall be computed by: y w v f 3 S b A  Where: Av =cross sectional area of the stirrups taken twice for u-shaped stirrups d b ' fc 3 2 S d f A V w y v s   Shear strength provided by reinforcement a) When shear reinforcement perpendicular to the axis of the member is used b) When inclined stirrups are used as shear reinforcement d b ' fc 3 2 S ) cos (sin d f A V w y v s     
  • 155.
    CRITICAL SECTION FORBEAM SHEAR Maximum factored shear force Vu maybe computed in accordance with the following provided that: a) the support reaction ,in the direction of the applied shear introduces compression on the end regions of member no concentrated load occur between the face of the support and location of the critical section. b) For non prestressed members,sections located less than a distance of d from the face of the support maybe designed for the same shear Vu as that computed at a distance of d Size of stirrups Main bars smaller than or equal to 32 mm diameter: 10 mm Main bars greater than 32 mm diameter : 12 mm Shear carried by stirrups c u s V V V   
  • 156.
    PROBLEMS Determine the minimumcross section required for a rectangular beam to satisfy the condition that web reinforcement be neglected Vu = 72 kN,fc’ =27.6MPa. Assume d = 1.6b. 2 V V c u   2 ) 6 ( bd ' fc Vu   2 ) 6 ( ) b 6 . 1 ( b ' fc Vu   2 ) 6 ( ) b 6 . 1 ( 6 . 27 85 . 0 ) 1000 ( 72 2  ) 6 . 1 ( 6 . 27 86 . 0 ) 12 ( 72000 b  mm 350 b  mm 560 350 ) 6 . 1 ( d  
  • 157.
    A rectangular beamwith b = 270 mm, d = 500 mm is provided with 10 mm vertical stirrups with fy = 276 MPa. Assuming fc’ = 21 MPa; a) Determine the required spacing if Vu = 40 kN b) Determine the required spacing if Vu = 92 kN c) Determine the required spacing if Vu = 236 kN d) Determine the required spacing if Vu = 473 kN Solution Shear carried by concrete d b ' fc 6 1 V w c  N 108 , 103 500 ) 270 ( 21 6 1 Vc   N 43821 2 ) 103108 ( 85 . 0 2 Vc   
  • 158.
    2 V N 42000 V c u    a) Stirrupsnot necessary N 92000 Vu  b) c u s V V V    N 3 . 5127 103108 85 . 0 92000 Vs    2 2 v mm 1 . 157 4 ) 10 ( 2 A    mm 3 . 4228 3 . 5127 500 ) 276 ( 1 . 157 V d f A S s y v   
  • 159.
    N 206216 ) 500 )( 270 ( 21 3 1 d b ' fc 3 1 w   mm 250 2 500 2 d S    N 236000 Vu c) c u s V V V    N 174539 103108 85 . 0 236000 Vs    mm 120 mmsay 124 174539 500 ) 276 ( 1 . 157 V d f A S s y v    d b ' fc 3 1 V w s  Use S = 250 mm
  • 160.
    N d b fc w 206216 ' 3 1  mm d S250 2 500 2    d b fc V w s ' 3 1  Use S = 120 mm N Vu 473000  d) c u s V V V    N Vs 5 . 453362 103108 85 . 0 473000    N d b fc w 206216 ' 3 1  N d b fc w 412432 ' 3 2  d b fc V w s ' 3 2  Beam size is inadequate for shear
  • 161.
    d b ' fc 6 1 V w c  2 V Vc u   2 V V c u   Design of vertical stirrups Given :bw or b,d,fc’,fy, beam loading & span, Required: size and spacing of stirrups General Procedure 1.Calculate factored shear force VU at the critical section. 2.Calculate shear strength of concrete: provide stirrups stirrups not necessary
  • 162.
    2 c u V V   c u s V V V    d b fc Vw s ' 3 2  s y v V d f A S  d b fc w ' 3 1 d b fc V w s ' 3 1  d b fc V w s ' 3 1  Assuming that 3. Calculate the shear strength provided by the stirrups Note: if 4. Calculate the required spacing of stirrups Spacing is the smallest of: a) Calculate b ) S = d/2 when c ) S = d/4 when 5. Check for minimum required area of stirrups y w v f S b A 3  Note: Av must be less than or equal to the actual area of Stirrups adjust the beam size
  • 163.
    Problem: A simply supportedreinforced concrete beam 230 mm wide with an effective depth of 500 mm has a span of 6m. The beam carries a dead load of 9 kN/m ( including its own weight) and live load of 18 kN/m applied throughtout its entire span. Determine the required spacing of 10 mm stirrups. fc’ = 28 MPa ,fy= 345 MPa. N d b fc V w c 101420 500 ) 230 ( 28 6 1 ' 6 1    wu 6 m Wu =1.4(9)+1.7(18)=43.2 kN/m R =Wu(3)=43.2(3)=129.6kN R
  • 164.
    43.2 kN/m R=129.6kN 0.5 VU Shear forceat crtical section Vu = 129.6-0.5(43.2)=108kN =108000N N Vc 5 . 43103 2 ) 101420 ( 85 . 0 2    2 c u V V   101420 85 . 0 108000     c u s V V V  N Vs 25639  2 2 1 . 157 4 ) 10 ( 2 mm Av    mm V d f A S s y v 1056 25639 500 ) 345 ( 1 . 157   
  • 165.
    N d b fc w 202840 ' 3 1  mm d S250 2 500 2    d b fc V w s ' 3 1  mm S 250  Use y w v f S b A 3  2 2 1 . 157 56 . 55 ) 345 ( 3 ) 250 ( 230 mm mm Av    Minimum required area Use 10 mm u shaped stirrups spaced at 250 mm on centers
  • 166.
    PLATE # 7: SHEAR A simply supported reinforced concrete beam 250 mm wide with an effective depth of 600 mm has a span of 7.5m. The beam carries a dead load of 12 kN/m ( including its own weight) and live load of 24 kN/m applied throughtout its entire span. Determine the required spacing of 10 mm stirrups. fc’ = 28 MPa ,fy= 345 MPa. A rectangular beam with b = 300 mm, d = 550 mm is provided with 10 mm vertical stirrups with fy = 276 MPa. Assuming fc’ = 21 MPa; a) Determine the required spacing if Vu = 50 kN b) Determine the required spacing if Vu = 220 kN c) Determine the required spacing if Vu = 360 kN d) Determine the required spacing if Vu = 500kN
  • 167.
    Design of beamsfor bending shear and deflection General procedure 1. Design section and reinforcement by bending 2. Design stirrups by shear 3. Check adequacy of design by deflection Problem : Design a rectangular beam for a 6 m simple span to support a uniform dead load of 18 kN/m(weight included) and uniform live load of 12 kN/m applied along it’s entire length. fc’=20 MPa, fy = 345 MPa for main bars and stirrups,Wc=23.5 kN/m3 ,p=0.6pmax Consider immediate deflection due to live load only with an allowable of 1/360 of span length. fr=3.1 MPa n=10,Ec=20000 MPa. Use 100 mm covering.
  • 168.
    29 . 20 ) 20 ( 85 . 0 345 ' 85 . 0    fc f m y Solution m kN Wu / 6 . 45 ) 12 ( 7 . 1 ) 18 ( 4 . 1    m kN L W Mu u . 2 . 205 8 ) 6 ( 6 . 45 8 2 2    02659 . 0 345 ) 345 600 ( ) 600 ( 85 . 0 ) 20 ( 85 . 0 ) 600 ( 600 ' 85 . 0 1      y y b f f fc p  012 . 0 02659 . 0 ) 75 . 0 ( 6 . 0 ) 75 . 0 )( 6 . 0 (    b p p MPa pm pf R y u 635 . 3 ) 2 ] 29 . 20 [ 012 . 0 1 )( 345 ( 012 . 0 ) 2 1 (     
  • 169.
  • 170.
    N d b fc V w c 93169 500 ) 250 ( 20 6 1 ' 6 1    wu 6m R =Wu(3)=45.6(3)=136.8kN R 45.6 kN/m 0.5 VU Shear force at critical section Vu = 136.8- 0.5(45.6)=114kN =114000N R=136.8
  • 171.
    N Vc 8 . 39596 2 ) 93169 ( 85 . 0 2    2 c u V V   93169 85 . 0 114000     c u s V V V  N Vs40949  2 2 1 . 157 4 ) 10 ( 2 mm Av    mm V d f A S s y v 661 40949 500 ) 345 ( 1 . 157    Using 10 mm u shape stirrups N d b fc w 186338 ' 3 1 
  • 172.
  • 173.
    Gross moment ofinertia 4 6 3 3 10 4500 12 ) 600 ( 250 12 mm x bh Ig    m kN mm N x y I f M t g r cr . 5 . 46 . 10 5 . 46 300 10 ) 4500 ( 1 . 3 6 6     b=250 b x 500-x nAs As d=500 2 2 1570 4 ) 20 ( 5 mm As    Transformed section 100
  • 174.
    ) ( 2 2 x d nA x b s  ) 500 )( 1570 ( 10 2 250 2 x x   x x 6 . 125 62800 2   0 62800 6 . 125 2    x x mm x 6 . 195 2 ) 62800 ( 4 ) 6 . 125 ( 6 . 125 2      2 3 2 3 ) 6 . 195 500 )( 1570 ( 10 3 ) 6 . 195 ( 250 ) ( 3       x d nA bx I s cr 4 6 10 3 . 078 , 2 mm x Icr  a) m kN L W M L a . 54 8 ) 6 )( 12 ( 8 2 2   
  • 175.
    6 3 6 3 10 3 . 2078 54 5 . 46 1 10 4500 54 5 . 46 x x Ie                        4 6 10 6 . 624 , 3 mm x Ie  Effectivemoment of inertia cr a cr g a cr e I M M I M M I                          3 3 1 Instantaneous deflection due to live load mm I E L W e c L 79 . 2 ) 10 ( 6 . 3624 ) 20000 ( 384 ) 6000 )( 12 ( 5 384 5 6 4 4     allowable deflection due to live load mm 79 . 2 mm 67 . 16 360 6000 360 L allowable      Section is adequate
  • 176.
    Plate #8:Design ofbeams for bending shear and deflection Make a complete design of a rectangular beam reinforced for tension only for a 7.5 m simple span to support a uniform dead load of 24 kN/m(weight included) and uniform live load of 18 kN/m applied along it’s entire length. fc’=20 MPa, fy = 300 MPa for main bars and stirrups,Wc=23.5 kN/m3 ,p=0.18(fc’/fy). Consider immediate deflection due to total load with an allowable of 1/360 of span length. Es = 200000MPa,Ec=18500 MPa, . Use 100 mm covering. ' 7 . 0 fc fr 
  • 177.
    BOND AND DEVELOPMENTLENGTH Bond In reinforced concrete, concrete and steel act as a unit. For this to happen, there must be absolutely no slippage of the bars in relation to the surrounding concrete. The steel and concrete must stick or bond together so that there will be transfer of stress from steel to concrete and vice-versa. Failure of transfer of stress makes the concrete an unreinforced member thus it will be subject to collapse. Development Length Bar development length is the embedment necessary to assure that the bar can be stressed to its yield point with some reserved to ensure member toughness.
  • 178.
    T = Abfy F Ld db Basicconcept of development length ΣF = 0 F = T y 2 b d b f d 4 L d    b y d d 4 f L   Where : μ = average bond stress Ld = minimum development length The code however provides the basic development length Ldb for various conditions. The values provided are modified for different conditions. Thus the minimum development length provided by the code is; Ld = Ldb(applicable modification factors) ≥ 300 mm
  • 179.
    ' fc f A 02 . 0 L y b db  ' fc f 25 L y db  ' fc 8 f d 3 L y b db Basic Development Length of bars in tension For 32 mm bar & smaller and deformed wire For 36 mm bar For deformed wire but not to be taken less than 0.6dbfy Basic Development Length of bars in compression but not to be taken less than 0.04dbfy ' fc f d 24 . 0 L y b db  Where Ldb = basic development length ( mm) Ab = area of one bar (mm2) db = diameter of one bar (mm) fc’,fy in MPa
  • 180.
    Modification Factors forbars in tension provided A required A s s Condition Modification Factor,m a) For bars in beams or column with a minimum cover not less than specified by the code 1.0 b) For bars in beams or column with transverse reinforcement satisfying the requirement of the code 1.0 c) Bars in beams or column with a clear spacing not less than 3db 1.0 d) Bar in the inner layer of slab or wall reinforcement and with a clear spacing not less than 3db 1.0 e) Any bars with cover of not less than 2db and with a clear spacing not less than 3db 1.0 f) For bars with cover of db or less with a clear spacing of 2db or less 2.0 g) For bars not included in items a to f 1.4 h) For 32 mm bar and smaller with clear spacing not less than 5db and with cover from face of the member to edge bar, measured in the plane of the bar, not less than 2.5db, the factors from items a to g may be multiplied by 0.8 0.8 i) Top reinforcement 1.3 j) Lightweight aggregate concrete 1.3 K)Lightweight aggregate concrete when fct is specified l) For reinforcement enclosed within special reinforcement not less than 6 mm diameter and not more than 100 mm pitch, within 12 mm or larger circular ties spaced at not more than 100 mm on center or larger ties or stirrups spaced not more than 100 mm on center and arranged such that alternate bars shall have supported by the corner of a tie hoop with an included angle not more than 1350,the factors in items a through g maybe multiplied by 1.8 1.8 m) Excess Reinforcement. Development length maybe reduced where reinforcement in a flexural member is more than required by analysis ct f fc 8 . 1 '
  • 181.
    Modification Factors forbars in Compression provided A required A s s Condition Modification Factor,m a) Excess reinforcement. Reinforcement more than that required by analysis b) Spiral and Ties. Reinforcement enclosed within spiral reinforcement not less than 6 mm diameter and not more than 100 mm pitch or within 10 mm ties and spaced not more than 100 mm on center. 0.75 Problems A rectangular beam 200 mm wide and 400 mm deep is reinforced with 3 of 22 mm tension top bars with fc’ = 20.7 MPa and fy = 275 MPa. Calculate the required development length.
  • 182.
    ' 02 . 0 fc f A L y b db  Solution mm Ldb460 7 . 20 275 4 ) 22 ( 02 . 0 2    mm Ldb 363 ) 275 )( 22 ( 06 . 0   mm Ldb 460  Modification Factor Top bar = 1.3 Required development length Use mm L L db d 598 ) 460 ( 3 . 1 3 . 1    y b db f d L 06 . 0 
  • 183.
    A rectangular beam250 mm wide and 500 mm deep is reinforced with 4 of 25 mm with fc’ = 27 MPa and fy = 345 MPa. If the member is made up of lightweight aggregate with fct = 2.88 MPa ,Calculate the required development length. ' 02 . 0 fc f A L y b db  Solution mm Ldb 652 27 345 4 ) 25 ( 02 . 0 2    mm Ldb 518 ) 345 )( 25 ( 06 . 0   mm Ldb 652  Use y b db f d L 06 . 0  Modification Factor Lightweight concrete With specified fct 00 . 1 ) 88 . 2 ( 8 . 1 27 8 . 1 '   ct f fc db d L L 0 . 1  ) 652 ( 0 . 1  d L mm Ld 652 
  • 185.
    A cantilever beam320 mm wide and 500 mm deep is reinforced with 3 of 36 mm straight top bars with fc’ = 27 MPa and fy = 345 MPa. Calculate required development length. Solution Modification Factor Top bar = 1.3 Required development length mm L L db d 2158 ) 1660 ( 3 . 1 3 . 1    ' 25 fc f L y db  mm Ldb 1660 27 ) 345 ( 25  
  • 186.
    A rectangular beam250 mm wide and 410 mm deep is reinforced with 3 of 20 mm compression bars with fc’ = 20.7 MPa and fy = 275 MPa. Calculate the required development length. ' 24 . 0 fc f d L y b db  mm Ldb 254 7 . 20 275 ) 20 ( 24 . 0   mm Ldb 220 ) 275 )( 20 ( 04 . 0   mm Ldb 254  Use y b db f d L 04 . 0  No applicable modification factor mm Ld 254 
  • 187.
    Plate # 9Development Length A rectangular beam 300 mm wide and 450 mm deep is reinforced with 4 of 25 mm tension top bars with fc’ = 20.7 MPa and fy = 345 MPa. Calculate the required development length. A rectangular beam 200 mm wide and 350 mm deep is reinforced with 3 of 20 mm with fc’ = 30 MPa and fy = 415 MPa. If the member is made up of lightweight aggregate with fct = 2.4 MPa ,Calculate the required development length. A cantilever beam 300 mm wide and 450 mm deep is reinforced with 6 of 22 mm straight top bars with fc’ = 20.7 MPa and fy = 415 MPa. Calculate required development length. A rectangular beam 350 mm wide and 600 mm deep is reinforced with 4 of 32 mm compression bars with fc’ = 20.7 MPa and fy = 275 MPa. Calculate the required development length.
  • 188.
    Development Length ofFlexural Reinforcement Tension reinforcement in flexural members maybe developed by : a) bending across the web to be anchored b) made continues with reinforcement on opposite face ofthe member Critical points for development length in flexural members are at points of maximum stress and at points where the adjacent reinforcements terminates or is bent. Reinforcement shall extend beyond the point at which it isno longer required to resist flexure for a distance equal to the effective depth of member or 12db whichever is greater, except at supports of simple beam and free end of cantilevers. Continuing reinforcement shall have an embedment length not less than the development length beyond the point where bent or terminated tension reinforcement is no longer required to resist flexure
  • 189.
    a u n l V M Ld   Development ofpositive moment bars The code stipulates that at least one third the positive reinforcement in simple members and one fourth the positive reinforcement in continuous members shall extend along the same face in the member into the supports. In beams such reinforcement shall extend into the support at least 150mm. At simple supports and at points of inflection,positive moment tension reinforcement shall be limited to a diameter such that Ld computed by Where: Mn = nominal moment strength assuming that all reinforcement at section are stressed to specified yield strength fy Vu = factored shear force at supports for simple beams and at points of inflection for continuous beams
  • 190.
    la = endanchorage ;at support shall be the embedment length beyond the center of support; at point of inflection limited to the effective depth or 12db whichever is greater. Value of Mn/Vu maybe increased by 30% when the ends of the reinforcement are confined by a compressive reaction such as a column below but not when the beam frame into the girder. a u n l V M Ld   3 . 1 a u n l V M Ld   3 . 1 a u n l V M Ld   When or Use smaller bar Size or increase End anchorage la ) 2 ( a d f A M y s n   b fc f A a y s ' 85 . 0  Where:
  • 191.
    Max Ld MaxLd la 1.3Mn/Vu Mn/Vu la tension bars at least 1/3 of positive reinforcement VU
  • 192.
    la is thelarger Max Ld or 12db la Mn/Vu tension bars at least ¼ of positive moment reinforcement . CL Point of inflection 150 mm min Value of d
  • 193.
    Development length forNegative moment Reinforcement Negative moment reinforcement should have an embedment length into the span to develop the calculated tension in the bar,or a length equal to the effective depth of the member or 12db whichever is the greatest. At least one third of the total negative reinforcement should have an embedment length beyond the point of inflection not less than the effective depth of the member or 12 db or 1/16 of the clear span whichever is greatest. Development length for Negative moment Ld ` the larger value of 12db,d or Ln/16 at least 1/3 of the total Negative moment reinforcement Clear span =Ln Point of inflection
  • 194.
    Ln1/4 0.3 Ln10.3 Ln2 Ln1/8 Ln1/8 Ln2/8 Ln1 Ln2 150 mm min 150 mm min Recommended bar details for continuous beams
  • 195.
    12db r r D 900 hook4db db bend diameter,D =2r 1800 hook D =6db for 10 mm through 25 mm bars D =8db for 28 mm through 32 mm bars D =10db for 36 mm bars Hooks If sufficient space is not available to anchor tension bars by running them straight for the required development length as required by the code, hooks maybe used.
  • 196.
    Ldb STANDARD HOOKS 65mm min 12db 6db for 36 mm bar 4db 4db for 10 mm through 25 mm bars 5db for 28 mm through 32 mm bars Development of standard hooks Basic Development Length of standard hooks ' 100 fc d l b hb  Actual Development Length of standard hooks ldh = lhb(applicable modification factors) ≥8db nor 150 mm
  • 197.
    Modification Factors 1. Ifthe reinforcing bar has an fy other 415 MPa, lhb is to be multiplied by fy/415 2. When 900 hooks and 32 mm or smaller bar are used and when 60 mm or more of side cover normal to the hook is present, together with at least 50 mm cover for the bar extension, lhb is to be multiplied by 0.7. 3. When hooks made of 32 mm and smaller are enclosed vertically and horizontally within ties or stirrups ties spaced no farther apart than 3db, lhb is to be multiplied by 0.8 4. Where the amount of flexural reinforcement exceeds the theoretical amount required and where the specifications being used do not specifically require that development lengths be based on fy the value of lhb is to be multiplied by Asrequired/As provided. 5. When light weight concrete are used, apply a modification factor of 1.3 6. For bars being developed by standard hook at discontinuous end with side cover and top or bottom cover over hook less than 60 mm,hooked bar shall be enclosed within ties or stirrups spaced along the full development length ldh not greater than 3db where db is the diameter of hooked bar. For this case, the factor mentioned in item 3 shall not apply.
  • 198.
    Splices of Reinforcement Splicingmaybe done by welding, by mechanical connections or most frequently by lapping bars. Lapped bars are usually tied in contact. Lap splice must not be used for bars larger than 32 mm. Splices in tension The minimum length of lap for tension lap splice shall be as required for class A or class B, but shall not be less than 300 mm, where Class A splice 1.0Ld Class B splice 1.3Ld Lap splices of deformed bars and wires in tension shall be class B splice except that class A splice are allowed when a)the area of the reinforcement provided is at least twice than that required by analysis. b)One half or less of the total reinforcement is spliced within the required lap strength. Splices of deformed bars in compression Compression bars maybe spliced by lapping,end bearing, welding or mechanical devices. The minimum length of such bars should be the development length Ld but may not be less than 0.07dbfy for fy of 415 MPa or less, or (0.13fy -24)db for fy greater than 415 MPa.
  • 199.
    Problems A simply supportedbeam is reinforced with three of 28 mm bars with fc’= 27.6 MPa and fy = 275 MPa. Assuming that side, bottom and top cover to be greater than 60 mm, determine the following: a) the required development length if a 900 hook is used b) the required development length if a 1800 hook is used ldh ldh Solution Using a 900 hook ' 100 fc d l b hb  mm lhb 533 6 . 27 ) 28 ( 100   Modification factor for fy other than 415 MPa 6626 . 0 415 275 415    y f m Required development length Ldh =0.6626(533)0.7=247.2 say 250 mm Modification factor for 900 hook = 0.7
  • 200.
    ldh Solution Using a 1800hook ' 100 fc d l b hb  mm lhb 533 6 . 27 ) 28 ( 100   Modification factor for fy other than 415 MPa 6626 . 0 415 275 415    y f m Required development length Ldh =0.6626(533)=353.17 say 355 mm Problem For the simply supported beam shown in figure below, investigate whether the bars size is satisfactory for the required development length. The beam is reinforced with 4 of 25 mm bars . fc’ = 20.7 MPa and fy = 414 MPa, Vu = 270 kN. The beam is made up of normal sand concrete and the reaction produces compression on concrete.
  • 201.
    300mm 600 mm 175 mm Solution Basicdevelopment length ' 02 . 0 fc f A L y b db  mm Ldb 894 7 . 20 414 4 ) 25 ( 02 . 0 2    mm Ldb 621 ) 414 )( 25 ( 06 . 0   y b db f d L 06 . 0  mm Ldb 894  Use Since there is no applicable modification factor mm Ld 894 
  • 202.
    ) 2 ( a d f A M y s n   b fc f A a y s ' 85 . 0  mm a154 300 ) 7 . 20 ( 85 . 0 414 4 ) 25 ( 4 2    ) 2 154 600 ( 414 4 ) 25 ( 4 2    n M mm N x Mn . 10 14 . 425 6  a u n l V M  3 . 1 mm x 2 . 2221 175 ) 1000 ( 270 10 14 . 425 3 . 1 6   mm mm 2 . 2221 894  a u n d l V M L   3 . 1 bars are adequate
  • 203.
    A rectangular beamhas b = 380 mm and d = 500 mm. The beam is simply supported over a length of 6 m measured from the center of the support and is reinforced for tension with 6 of 25 mm diameter bars. Assuming fc’ = 21 MPa, fy = 276 MPa, draw the details of the bar showing the cut off points of each bar. The beam carries a uniformly distributed load throughout its length and is made up of normal sand- gravel concrete. The reactions at the ends produces compression on concrete. Maximum value of la is 150 mm. Vu = 210 kN at support. Solution Basic development length ' 02 . 0 fc f A L y b db  mm Ldb 591 21 276 4 ) 25 ( 02 . 0 2    mm Ldb 414 ) 276 )( 25 ( 06 . 0   y b db f d L 06 . 0  mm Ldb 591  Use Since there is no applicable modification factor mm Ld 591 
  • 204.
  • 205.
    Location of cutoff points By square property of parabola Ld mm x L       2950 500 2450 500 1 1 y y x 3 32 2 2  y y x 3 2 32 2 1  m x 73 . 1 2  Reinforcement shall extend beyond the point at which it is no longer required to resist flexure for a distance equal to the effective depth of member or 12db whichever is greater Available development length mm 300 ) 25 ( 12  mm d 500  Use extension = 500 mm m x 45 . 2 1  Ld mm x L       2230 500 1730 500 2 2 No need for hook
  • 206.
    For the lasttwo bars the code requires that the be bars be limited to a diameter so that The code stipulates that at least one third the positive reinforcement (2 bars) in simple members shall extend along the same face in the member into the supports a u n l V M Ld   3 . 1 ) 2 ( a d f A M y s n   mm a 40 380 ) 21 ( 85 . 0 ) 276 ( 75 . 981   ) 2 40 500 )( 276 ( 75 . 981   n M 2 2 75 . 981 4 ) 25 ( 2 mm AS    mm N x Mn . 10 1 . 130 6  b fc f A a y s ' 85 . 0  d L mm x    955 150 ) 1000 ( 210 10 1 . 130 3 . 1 6 Ld mm L     3150 150 3000 3
  • 207.
  • 208.
    7 m 10m 496 kN.m point of inflection point of inflection Problem Figure shows the first interior support of a continuous beam reinforced with 6 of 25 mm bars to resist a negative moment of 496 kN.m for which the calculated steel area required is 2600 mm2. Determine and draw the details of the lengths of the bars required if normal gravel-sand concrete is used. fy =414 MPa ,fc’ = 20.7 MPa, b = 350mm,d= 600 mm. 2.4 m 2.1 m 350mm 320mm Mu for 4 bars
  • 209.
    Ld1 Ld2 L1 L2 L3 L4 7m 10 m 496 kN.m point of inflection point of inflection Mu for 4 bars Mu for 2 bars (Mu for 6 bars) Bar 1 Bar 2 Bar 3 350mm 320mm 2.4 m 2.1 m
  • 210.
    Solution Basic development length ' 02 . 0 fc f A Ly b db  mm Ldb 893 7 . 20 414 4 ) 25 ( 02 . 0 2    mm Ldb 893  Use mm Ldb 621 ) 414 )( 25 ( 06 . 0   y b db f d L 06 . 0  For bar 1 (As at section = 2 of 25 mm) At least one third of the total negative reinforcement should have an embedment length beyond the point of inflection not less than the effective depth of the member or 12 db or 1/16 of the clear span whichever is greatest. 1/3 of 6 = 2 bars 12db = 12(25)=300 mm 1/16 of 7000=438 mm for 7 m span use 600 mm d=600 mm 1/16 of 10000=625mm for 10 m span use 625 mm mm L 3000 600 2400 3    mm L 2725 625 2100 4    7m span 10m span
  • 211.
    For bar 2(As at section = 4 of 25 mm) Negative moment reinforcement should have an embedment length into the span to develop the calculated tension in the bar,or a length equal to the effective depth of the member or 12db whichever is the greatest 12db = 12(25)=300 mm d=600 mm use 600 mm mm L 950 600 350 1    mm L 920 600 320 2    For bar 3 (As at section = 6 of 25 mm) 24 . 2945 4 ) 25 ( 6 2    provided As 2 2600mm Asrequired  Modification factor 88 . 0 24 . 2945 2600    provided required As As m mm Ld 785 ) 893 ( 88 . 0 1   mm Ld 785 ) 893 ( 88 . 0 2  
  • 212.
    A rectangular beamhas b = 350 mm and d = 450 mm. The beam is simply supported over a length of 5 m measured from the center of the support and is reinforced for tension with 7 of 20 mm diameter bars. Assuming fc’ = 27 MPa, fy = 345 MPa, draw the details of the bar showing the cut off points of each bar. The beam carries a uniformly distributed load throughout its length and is made up of normal sand- gravel concrete. The reactions at the ends produces compression on concrete. Maximum value of la is 150 mm. Vu = 150 kN at support. 450 mm 350 mm Plate # 10. BAR DETAILING Hint : extend 3 bars beyond the support
  • 213.
    6 m 9m 450 kN.m point of inflection point of inflection Figure shows the first interior support of a continuous beam reinforced with 6 of 25 mm bars to resist a negative moment of 450 kN.m for which the calculated steel area required is 2400 mm2. Determine and draw the details of the lengths of the bars required if normal gravel-sand concrete is used. fy =414 MPa ,fc’ = 20.7 MPa, b = 350mm,d= 600 mm. 2.5 m 2.0 m 330mm 300mm
  • 214.
    AXIALLY LOADED COLUMNS Columns are classified as pedestal, short column and long column. Pedestal is a column whose height is less than three times its least lateral dimension. They maybe designed without reinforcement with a maximum permissible compressive strength of Φ0.85fc’ where Φ =0.70.  If the column does not qualify as pedestal then it maybe classified as a short column. They fail due to initial material failure. The load on the column depends on the dimension and the strength of the material it is made.  If the length of the column is increased, chances of lateral buckling increases. Column that fails due to lateral bucking are classified as long columns.
  • 215.
    AXIALLY LOADED SHORTTIED COLUMNS The axial load capacity of tied columns is given by: Pu =Ф0.80{0.85fc’(Ag-Ast) + Astfy} Ф = 0.70 Ag = gross area of the column Ast = area of reinforcement Limits of reinforcement for tied columns 1. Pg ranges from 0.01 to 0.06 2. The minimum number of longitudinal bars is 4 for bars within rectangular or circular ties, 3 for bars within triangular bars. Sizes and spacing of main bars and ties 1. Clear distance between longitudinal bars shall not be less than 1.5db nor 40 mm. 2. Use 10 mm diameter ties for 32 mm bars or smaller and at least 12 mm in size for 36 mm and bundled longitudinal bars. Vertical spacing of ties shall be the smallest of the following:  16 times longitudinal bar diameter  48 times tie diameter  least dimension of the column g st g A A p 
  • 216.
    AXIALLY LOADED SHORTSPIRAL COLUMNS The axial load capacity of spiral columns is given by: Pu =Ф0.85{0.85fc’(Ag-Ast) + Astfy} Ф = 0.75 Limits of reinforcement for spiral columns 1. Pg ranges from 0.01 to 0.06 2. The minimum number of longitudinal bars is 6 Sizes and spacing of main bars and ties 1. Clear spacing between spirals shall not exceed 75 mm, nor less than 25 mm 2. For cast in place construction, size of spirals shall not be less than 10 mm. 3. The percentage of spiral reinforcement is computed by 2 ) ( 4 c b c s s SD d D a p  
  • 217.
    Where: Dc = diameterof the concrete core as = cross sectional area of the spiral S = spacing of the spirals db = diameter of main bars y c g f A A fc ps ) 1 ( ' 45 . 0 min   4 2 c c D A   4. The minimum spiral percentage is given by Where: Ac = area of the concrete core D DC Clear cover ( min. of 40 mm) Clear cover ( min. of 40 mm) Dc = D – 2 ( clear cover )
  • 218.
    PROBLEMS  A squaretied column 350 mm by 350 mm is reinforced with 6 of 25 mm bars with fc’ = 20.7 MPa and fy = 345 MPa. Determine the following : a) Ultimate axial load capacity of the column. b) spacing of 10 mm lateral ties Solution Pu =Ф0.80{0.85fc’(Ag-Ast) + Astfy} 2 2 25 . 2945 4 ) 25 ( 6 mm Ast    kN 1747 1000 )} 345 ( 25 . 2945 ] 25 . 2945 ) 350 )( 350 )[( 7 . 20 ( 85 . 0 ){ 80 . 0 ( 7 . 0 Pu     mm S 400 ) 25 ( 16   mm S 480 ) 10 ( 48   mm S 350  Use S = 350 mm Spacing of 10 mm ties
  • 219.
    PROBLEMS  A circularspiral column 400 mm in diameter is reinforced with 8 of 25 mm bars with fc’ = 20.7 MPa and fy = 345 MPa. Determine the following : a) ultimate axial load capacity of the column. b) the spacing of 10 mm spirals assuming clear covering of 40 mm Solution Pu =Ф0.85{0.85fc’(Ag-Ast) + Astfy} 2 2 3927 4 ) 25 ( 8 mm Ast    kN 2 . 2229 1000 )} 345 ( 3927 ] 3927 125664 )[( 7 . 20 ( 85 . 0 ){ 85 . 0 ( 75 . 0 Pu     2 2 125664 4 ) 400 ( mm Ag   
  • 220.
    0152 . 0 345 ) 1 80425 125664 )( 7 . 20 ( 45 . 0 ) 1 ( ' 45 . 0      y c g f A A fc ps 2 2 2 80425 4 ) 320 ( 4 mm D A c c      Diameterot the concrete core Dc = D – 2 ( clear cover )=400-2(40) = 320 mm mm mm mm D P d D a S c s b c s 75 25 60 ) 320 ( 0152 . 0 ) 25 320 )( 54 . 78 ( 4 ) ( 4 2 2        2 2 2 54 . 78 4 ) 10 ( 4 mm D A s s      Use s = 60 mm
  • 221.
      y ss y st c u F A f A A fc P   ' 85 . 0 85 . 0  t s g c t s g c A E A E I E I E r    5 5 Design strength of composite members Where: Ф= 0.75 for composite members with spiral reinforcement Ф= 0.70 for other reinforcement Ast = area of reinforcing bars of strength fy Ass = area of structural shape of strength Fy Ac = net concrete area For evaluation of slenderness effect, radius of gyration of composite members should not exceed Short Composite column
  • 222.
    Structural steel encasedconcrete core s y E f D t 8 min  Concrete Core Steel pipe filled with concrete t Dc D t
  • 223.
    s y E f b t 3 1 min 1  s y E f b t 3 2 min 2  Concrete Core t2b2 t1 b1 and Steel tubing filled with concrete Concrete core 10 mm Calculate the maximum axial load that the concrete-filled pipe shown can resist. fc’ = 25 MPa, Fy =248 MPa for steel pipe. Check if the section complies with the code. 300 mm
  • 224.
      y p c u F A A fc P  ' 85 . 0 85 . 0  2 2 2 9111 4 ] ) 280 ( ) 300 [( mm Ap     2 2 61575 4 ] ) 280 [( mm Ac      N Pu 2122958 ) 248 ( 9111 ) 61575 )( 25 ( 85 . 0 85 . 0 ) 7 . 0 (    mm mm E f D t s y 10 74 . 3 ) 200000 ( 8 248 300 8 min     Minimum required thickness of pipe
  • 225.
    500 mm 500 mm W14x 210 Calculate the ultimate axial load capacity of the composite column shown below. fc’ = 21 MPa, Fy = 248 MPa Properties of W 14 x 210 Area = 40000 mm2 Depth = 400 mm   y WF c u F A A fc P   ' 85 . 0 85 . 0  2 210000 40000 ) 500 ( 500 mm Ac      N Pu 8132757 ) 248 ( 40000 ) 210000 )( 21 ( 85 . 0 85 . 0 ) 7 . 0 (   
  • 226.
    W14 x 210 Calculatethe ultimate axial load capacity of the composite column shown below .fc’=21 MPa, Fy=248 MPa,fy =276MPa. Reinforcing bars consist of 8 of 20 mm diameter bars. Properties of W 14 x 210 Area = 40000 mm2 Depth = 400 mm 500 mm 500 mm   y WF y s c u F A f A A fc P    ' 85 . 0 85 . 0  2 2 2513 4 ] ) 20 [( 8 mm As      ) 248 ( 40000 ) 276 ( 2513 ) 207487 )( 21 ( 85 . 0 85 . 0 ) 7 . 0 (    u P 2 207487 2513 40000 ) 500 ( 500 mm Ac     N Pu 8518752 
  • 227.
      y g g u g f p p fc P A    ) 1 ( ' 85 . 0 8 . 0 ) 7 . 0 ( Design ofaxially Loaded Tied Columns Given :axial load, fc’, fy Required : Column size, size of main bars, size and spacing of lateral ties General Procedure 1.Solve for design axial load Pu 2.Assume pg 0.01 to 0.06 3. Solve for required gross area to get column size 4. Solve for Ast Ast = pgAg 5. Using adjusted values of column size and Ast, check column capacity (optional) Pu =Ф0.80{0.85fc’(Ag-Ast) + Astfy} 6. Assume size ot ties and solve for the spacing Use the smallest value from the ff: a) 16 times longitudinal bar diameter b) 48 times tie diameter c) least dimension of the column
  • 228.
    Problem: Design a squaretied column to support an axial dead load of 600 kN and axial live load of 750 kN. fc’ =20.7 MPa, fy = 345 MPa. kN P P P L D u 2115 ) 750 ( 7 . 1 ) 600 ( 4 . 1 7 . 1 4 . 1      Assume pg = 0.02   y g g u g f p p fc P A    ) 1 ( ' 85 . 0 8 . 0 ) 7 . 0 (   2 156435 ) 345 ( 02 . 0 ) 02 . 0 1 )( 7 . 20 ( 85 . 0 8 . 0 ) 7 . 0 ( ) 1000 ( 2115 mm Ag     mm A t g 395 156435    Say 400 mmx 400 mm square column
  • 229.
    2 3128 ) 156435 ( 02 . 0 mm A p A g g s    Using20 mm bars pcs No 10 ) 20 ( ) 4 ( 3128 . 2    Note: No need to check column capacity mm S 320 ) 20 ( 16   mm S 480 ) 10 ( 48   mm S 400  Use S = 320 mm Spacing of 10 mm ties
  • 230.
      y g g u g f p p fc P A    ) 1 ( ' 85 . 0 85 . 0 ) 75 . 0 ( Design ofaxially Loaded Short Spiral Columns Given :axial load, fc’, fy Required : Column size, size of main bars, size and spacing of spirals General Procedure 1.Solve for design axial load Pu 2. Assume pg 0.01 to 0.06 3. Solve for required gross area to get column size
  • 231.
    y c g s f A A fc p ) ( ' 45 . 0   2 ) ( 4 c s b c s D P d D a S   4. Solvefor Ast Ast = pgAg 5. Using adjusted values of column size and Ast, check column capacity (optional) Pu =Ф0.85{0.85fc’(Ag-Ast) + Astfy} 6. Solve for the diameter of the concrete core Dc = D – 2 ( clear cover) 7. Solve for the spiral percentage 8. Assume size of spirals and solve for required spacing where: S ≥ 25 mm, S≤ 75 mm Problem: Design a circular spiral column to support an axial dead load of 600 kN and axial live load of 750 kN. fc’ =20.7 MPa, fy = 345 MPa.
  • 232.
    kN P P P L D u 2115 ) 750 ( 7 . 1 ) 600 ( 4 . 1 7 . 1 4 . 1       y g g u g f p p fc P A    ) 1 ( ' 85 . 0 85 . 0 ) 75 . 0 ( Assume pg=0.02   2 137427 ) 345 ( 02 . 0 ) 02 . 0 1 )( 7 . 20 ( 85 . 0 85 . 0 ) 75 . 0 ( ) 1000 ( 2115 mm Ag     2 2 137427 4 mm D   mm D 420  2 2749 ) 137427 ( 02 . 0 mm A p A g g st   
  • 233.
    6 ) 25 ( ) 4 ( 2749 2    N Using 25 mmbars 014 . 0 345 ) 1 90792 137427 )( 7 . 20 ( 45 . 0 ) 1 ( ' 45 . 0      y c g f A A fc ps 2 2 2 90792 4 ) 340 ( 4 mm D A c c      Diameter ot the concrete core Dc = D – 2 ( clear cover )=420-2(40) = 340 mm mm mm mm D P d D a S c s b c s 75 25 65 ) 340 ( 014 . 0 ) 25 340 )( 54 . 78 ( 4 ) ( 4 2 2        2 2 2 54 . 78 4 ) 10 ( 4 mm D A s s      Use 10 mm spirals at 65 mm pitch Using 10 mm spirals 420 10 mm spirals at 65 mm pitch 25 mm main vertical bars 40 40
  • 234.
    Plate # 11: Axially loaded short columns A square tied column 400 mm by 400 mm is reinforced with 8 of 25 mm bars with fc’ = 20.7 MPa and fy = 345 MPa. Determine the following : a) Ultimate axial load capacity of the column. b) spacing of 10 mm lateral ties A circular spiral column 450 mm in diameter is reinforced with 10 of 25 mm bars with fc’ = 27 MPa and fy = 415 MPa. Determine the following : a) ultimate axial load capacity of the column. b) the spacing of 10 mm spirals assuming clear covering of 40 mm Concrete core 12mm Calculate the maximum axial load that the concrete-filled pipe shown can resist. fc’ = 20 MPa, Fy =250 MPa for steel pipe. Check if the section complies with the code. 350 mm 12mm
  • 235.
    W12 x 150 Calculatethe ultimate axial load capacity of the composite column shown below .fc’=25 MPa, Fy=248 MPa,fy =345MPa. Reinforcing bars consist of 8 of 20 mm diameter bars. Properties of W 12 x 150 Area = 30000 mm2 Depth = 300 mm 450 mm 450 mm Design a circular spiral column to support an axial dead load of 450 kN and axial live load of 600 kN. fc’ =20.7 MPa, fy = 345 MPa. Use pg =0.025 and 10 mm spirals Design a square tied column to support an axial dead load of 450 kN and axial live load of 600 kN. fc’ =20.7 MPa, fy = 345 MPa. Use pg =0.03 and 10 mm ties.
  • 236.
    SHORT COLUMNS SUBJECTTO AXIAL LOAD AND BENDING ( ECCENTRICALLY LOADED COLUMNS)  All columns are subject to axial force and bending and they must be proportioned to resist these forces. Eccentricities of 0.10h for tied column and 0.05h for spiral columns can be permitted for axially loaded columns. Beyond this, analysis for the effect of axial load and bending must be undertaken.  Columns will tend to bend under the action of moment and produces compression on one side and tension on the other side. The following failures are possible under combined axial load and bending.
  • 237.
    1. Large axialload and negligible moment. Failure under this condition occur by sudden crushing of concrete with all bars reaching their yeild stress simultaneuosly Plastic centroid Pn 2. Large axial load and small moment. with entire cross section in compression . Failure under this condition occur by sudden crushing of concrete with all bars are in compression 3. Large axial load with moment bigger in 2. Bars in the far side in tension has not yielded. Failure occur by crushing of concrete Plastic centroid Pn Plastic centroid e e Pn
  • 238.
    4. Balance loadingcondition – bars on the tensile side yield at the same time that concrete crushes at 0.85fc’ Plastic centroid e Pn 5. Large moment, small axial load Failure initiated by tensile yielding of tension bars Plastic centroid e Pn Plastic centroid 6. Moment, no axial load - Fails as a beam M
  • 239.
    Plastic centroid –the point in the column through which the resultant of the column load passes through to produce uniform strain at failure. It is the location of the resultant force of concrete and steel. In locating this point, all concrete is assumed to be stressed in compression to 0.85fc’ and all steel bars in compression at (fy – 0.85fc’). For symmetrical cross sections the plastic centroid coincides with the centroid of the cross section. Eccentricity of a column is the distance from the load to the plastic centroid of the cross section. Plastic centroid Centroid of cross section Plastic centroid centroid of cross section eccentricity Pn
  • 240.
    Problem: The T shapedcross section shown below is reinforced with 4 of 32 mm bars with fc’= 20.7 MPa and fy = 345 MPa. Determine the location of the plastic centroid measured from the 450 mm side. 450mm 75mm 75mm 250 mm 100 mm 100 mm 150 mm 200 mm
  • 241.
    450mm 75mm 75mm 250 mm 100mm 100 mm 150 mm 200 mm 1 2 75 75 250 275 x 1 P 2 P 3 P 4 P P kN A fc P 63 . 1187 ) 450 ( 150 ) 7 . 20 ( 85 . 0 ' 85 . 0 1 1    kN A fc P 75 . 879 ) 250 ( 200 ) 7 . 20 ( 85 . 0 ' 85 . 0 2 2    kN A fc fy P s 63 . 526 4 ) 32 ( 2 )} 7 . 20 ( 85 . 0 345 { ) ' 85 . 0 ( 2 3       kN A fc fy P s 63 . 526 4 ) 32 ( 2 )} 7 . 20 ( 85 . 0 345 { ) ' 85 . 0 ( 2 4       kN P P P P P 7 . 3120 4 3 2 1        Px x P 4 4 3 3 2 2 1 1 x P x P x P x P x P       275 63 . 526 ) 75 ( 63 . 526 ) 250 ( 75 . 879 ) 75 ( 63 . 1187 7 . 3120     x mm x 158 
  • 242.
    BALANCED LOADING CONDITION Balanced loading occur when the tension steel just reaches its yield strain as concrete is strained to 0.003. Every column has always have a loading situation where an ultimate load Pnb placed at eccentricity eb will produce a moment Mnb. If the eccentricity of the column is less than eb (e < eb) , the column fails in compression( compression controlled column); if e > eb the column fails in tension( tension controlled column)
  • 243.
    d 0.003 C2 = As’fy d’ d– d’ T = Asfy C1= 0.85fc’abb ab 0.85fc’ b eb s y s E f   cb εs’ Axis of bending Pnb Determination of Pnb From stress Diagram ΣFy =0 Pnb - C1 - C2+ T = 0 Balanced loading condition Stress Diagram Strain Diagram If As = As’ C2 = T Pnb =0.85fc’abb y b f d a   600 600 1  From strain Diagram EQ. 1 EQ. 2 d-d’ 2 Pnb =C1 d-ab/2
  • 244.
    To determine eb ΣM@ center of tension steel = 0 Pnb( eb + ½{d-d’}) –C1( d-ab/2) – C2(d –d’)= 0 Pnb( eb + ½{d-d’}) –0.85fc’abb( d-ab/2) – As’fy(d –d’)= 0 2 ) ' ( ) ( ) 2 ( ' ' d d P d d f A a d e nb y s b b       Balanced Moment Mnb = Pnbeb EQ. 3 Determination of eb, Pnb and Mnb of column with given section and reinforcement. 1. Solve for ab y b f d a   600 600 1  2. Solve for Pnb Pnb =0.85fc’abb 3. Solve for eb 2 ) ' ( ) ( ) 2 ( ' ' d d P d d f A a d e nb y s b b       4. Solve for the balanced Moment Mnb = Pnbeb
  • 245.
    Problem: The column shownis reinforced with 6 of 25 mm diameter bars. If fc’ = 21 MPa, fy = 345 MPa determine Pnb, eb and Mnb. 400 mm 65 mm 65 mm 500 mm Axis of bending mm f d a y b 76 . 234 345 600 435 ) 85 . 0 ( 600 600 600 1       2 2 6 . 1472 4 ) 25 ( 3 ' mm A A s s     mm d 435 65 500   
  • 246.
    Pnb =0.85fc’abb Pnb =0.85(21)234.76(400)=1,676,186 N 2 ) ' ( ) ( ) 2 ( ' ' d d P d d f A a d e nb y s b b       2 ) 65 435 ( 1676186 ) 65 435 )( 345 ( 6 . 1472 ) 2 76 . 234 435 (       b e mm eb 76 . 244  mm N x e P M b nb nb . 10 26 . 410 ) 76 . 244 )( 1676186 ( 6    m kN Mnb . 26 . 410 
  • 247.
    Plastic centroid e Large moment,small axial load Failure initiated by tensile yielding of tension bars Analysis of tension controlled columns Plastic centroid eb e e tension controlled columns Compression controlled columns e eb  y s f f  Tension steel yields at failure y s f f  ' Compression steel yields at failure 003 . 0  c  ANALYSIS OF ECCENTRICALLY LOADED COLUMNS: ANALYTICAL METHOD
  • 248.
    d 0.003 C2 = As’fy d’ d– d’ T = Asfy C1= 0.85fc’ab a 0.85fc’ b e s y s E f   c εs’ Axis of bending Pn 1. From stress Diagram ΣFy =0 Pn - C1 - C2+ T = 0 Stress Diagram Strain Diagram If As = As’ C2 = T Pn =0.85fc’ab EQ. 1 d-d’ 2
  • 249.
    2. ΣM @center of tension steel = 0 Pn( e + ½{d-d’}) –C1( d-a/2) – C2(d –d’)= 0 Pn( e + ½{d-d’}) –0.85fc’ab( d-a/2) – As’fy(d –d’)= 0 0.85fc’ab( e + ½{d-d’}) –0.85fc’ab( d-a/2) – As’fy(d –d’)= 0 Solve for a 3. Check for yielding of compression steel 4. Solve for Pn c d c s ' 003 . 0 '    y s f c d c f    ) ( 600 ' ' 1  a c  Pn =0.85fc’ab 5. Solve for Pu n u P P   6. Solve for Mu e P M u u 
  • 250.
    Plate #12: Eccentricallyloaded columns The column shown is reinforced with 6 of 32 mm diameter bars. If fc’ = 27 MPa, fy = 345 MPa , e = 370 mm, determine Pu, and Mu . 450 mm 65 mm 65 mm 600 mm Axis of bending
  • 251.
    Plate #12: Eccentricallyloaded columns The column shown is reinforced with 6 of 28 mm diameter bars. If fc’ = 27 MPa, fy = 345 MPa , e = 150 mm, determine Pu, and Mu . 400 mm 65 mm 65 mm 500 mm Axis of bending
  • 252.
    Problem: The column shownis reinforced with 6 of 25 mm diameter bars. If fc’ = 21 MPa, fy = 345 MPa , e = 260 mm, determine Pu, and Mu . 400 mm 65 mm 65 mm 500 mm Axis of bending 2 2 6 . 1472 4 ) 25 ( 3 ' mm A A s s     mm d 435 65 500    mm mm eb 260 76 . 244   Tension controls From the preceding problem
  • 253.
    Pn =0.85fc’ab Pn=0.85(21)400a=7140a EQ.1 ΣM@ center of tension steel = 0 0.85fc’ab( e + ½{d-d’}) –0.85fc’ab( d-a/2) – As’fy(d –d’)= 0 0 ) 65 435 )( 345 ( 6 . 1472 ) 2 435 ( 7140 )} 65 435 ( 2 1 260 { 7140        a a a 0 4 . 26327 2 435 445 2     a a a 0 8 . 52654 20 2    a a mm a 7 . 219 2 ) 8 . 52654 ( 4 ) 20 ( 20 2      mm a c 47 . 258 85 . 0 7 . 219 1    
  • 254.
    y s f MPa f    1 . 449 47 . 258 ) 65 47 . 258 ( 600 ' compression steel yields at failure kN N a Pn 65 . 1568 1568658 ) 7 . 219 ( 7140 7140     kN Pu 1098 65 . 1568 ) 7 . 0 (     m kN e P M u u . 48 . 285 26 . 0 1098    c c d s   003 . 0  y s f c c d f    ) ( 600 y s f MPa f     8 . 409 47 . 258 ) 47 . 258 435 ( 600 Verify yeilding of tension steel( not required) tension steel yields at failure
  • 255.
    Plastic centroid e Analysis ofcompression controlled columns e eb  y s f f  Tension steel does not yield at failure y s f f  ' Compression steel yields at failure 003 . 0  c  2. Large axial load and small moment. with entire cross section in compression. Failure under this condition occur by sudden crushing of concrete with all bars are in compression 3. Large axial load with moment bigger in 2. Bars in the far side in tension has not yielded. Failure occur by crushing of concrete
  • 256.
    d 0.003 C2 = As’fy d’ d– d’ T = Asfs C1= 0.85fc’ab a 0.85fc’ b e s s s E f   c εs’ Axis of bending Pn 1. From stress Diagram ΣFy =0 Pn - C1 - C2+ T = 0 Stress Diagram Strain Diagram d-d’ 2 0 ' 85 . 0 '     s s y s n f A f A ab fc P 1 . ' 85 . 0 ' EQ f A f A ab fc P s s y s n     Note: unknowns are s n f a P & , 2 a d 
  • 257.
    0 .   S centerofT M 0 ) ' ( ) 2 ( ' 85 . 0 )} ' ( 2 1 {'        d d f A a d ab fc d d e P y s n 2 . )} ' ( 5 . 0 { ) ' ( )} ' ( 5 . 0 { ) 5 . 0 ( ' 85 . 0 ' EQ d d e d d f A d d e a d ab fc P y s n          2 . 1 . EQ EQ  3 . )} ' ( 5 . 0 { ) ' ( )} ' ( 5 . 0 { ) 5 . 0 ( ' 85 . 0 ' 85 . 0 ' ' EQ d d e d d f A d d e a d ab fc f A f A ab fc y s s s y s            1 . ' 85 . 0 ' EQ f A f A ab fc P s s y s n     1 1 ) ( 600 ) ( 600   a a d c c d fs     4 . ) ( 600 1 EQ a a d fs     0 ) ' ( ) 2 ( )} ' ( 2 1 { 2 1        d d C a d C d d e Pn From the strain diagram
  • 258.
    )} ' ( 5 . 0 { ) ' ( )} ' ( 5 . 0 { ) 5 . 0 ( ' 85 . 0 ) ( 600 ' 85 . 0 ' 1 ' d d e d d f A d d e a d ab fc a a d A f A ab fc y s s y s             Solve for a Checkfor yielding of compression steel Solve for Pn c d c s ' 003 . 0 '    y s f c d c f    ) ( 600 ' ' 1  a c  Solve for Pu n u P P   Solve for Mu e P M u u  Solve for fs a a d fs ) ( 600 1    1 . ' 85 . 0 ' EQ f A f A ab fc P s s y s n    
  • 259.
    Problem: The column shownis reinforced with 6 of 25 mm diameter bars. If fc’ = 21 MPa, fy = 345 MPa , e = 200 mm, determine Pu, and Mu . 400 mm 65 mm 65 mm 500 mm Axis of bending 2 2 6 . 1472 4 ) 25 ( 3 ' mm A A s s     mm d 435 65 500    mm mm eb 200 76 . 244   Compressions controls From the preceding problem
  • 260.
      )} 65 435 ( 5 . 0 200 { ) 65 435 )( 345 ( 6 . 1472 )} 65 435 ( 5 . 0 200 { ) 5 . 0 435 ( 400 ) 21 ( 85 . 0 } 435 85 . 0 { ) 600 ( 6 . 1472 ) 345 ( 6 . 1472 400 ) 21 ( 85 . 0            a a a a a 38 . 68 385 ) 5 . 0 435 ( } 75 . 369 { 75 . 123 16 . 71       a a a a a a a a a a a3 . 26326 5 . 0 435 75 . 47643 5 . 17616276 6 . 27396 385 3 2 2       0 35232553 1 . 97428 100 2 3     a a a 0 35232553 ) 28 . 256 ( 1 . 97428 ) 28 . 256 ( 100 ) 28 . 256 ( 2 3     mm a 28 . 256  703.1 0k   MPa a a d fs 73 . 214 28 . 256 } 28 . 256 435 85 . 0 { 600 ) ( 600 1       Can be solved by Newton’s Method of approximation or by trial and error
  • 261.
    y s f MPa f    65 . 470 5 . 301 ) 65 5 . 301 ( 600 ' mm c 5 . 301 85 . 0 28 . 256   Compression steel yields 1 . ' 85 . 0 ' EQ f A f A ab fc P s s y s n       ) 73 . 214 ( 6 . 1472 ) 345 ( 6 . 1472 400 28 . 256 ) 21 ( 85 . 0    n P kN N Pn 68 . 2021 2021682   kN Pu 2 . 1415 68 . 2021 ) 7 . 0 (   m kN Mu . 04 . 283 ) 2 . 0 ( 2 . 1415  
  • 262.
    COLUMN INTERACTION DIAGRAM Itwas observed that the use of analytical method is very complicated and requires accuracy of manipulation of algebraic equations. An option is to analyze the column by using the column interaction diagram. Interaction diagram is the graph of the axial load capacity and the moment capacity of the column of the M-P axes. The diagram is very useful for studying the strength of the column with varying proportions of the loads and moments. Balanced Loading Compression zone A Pn Pure bending Mn Pure axial load Tension zone B C D Tension failure Compression Failure Pn Mn The diagram is made by plotting the axial load capacity when the moment is zero( point A), then the balanced loading( point C) and the moment capacity when the axial load is zero( point D). In between points A and D , the column fail due to axial and bending. Point C the balanced point. In reference to Point B, the vertical and horizontal dotted line represents the particular load combination of axial load and moment. Pn e
  • 263.
    How to usethe column interaction Diagram Process Design Analysis Given Loads, Pu and e Section properties section dimension eccentricity Required Amount of reinforcement axial load and moment capacity calculate Locate obtain g n A P  h A M g n  and g st g A A p   g n A P  h A M g n  e/h Intersection of and and determine pg Intersection of pg & e/h project horizontally to The left to get g n A P  project vertically down to get h A M g n  As t Pn or Pu Mn or Mu
  • 264.
    Problem Calculate the ultimateaxial load capacity of the column section shown if the eccentricity is 200 mm. fc’ = 20.7 MPa, fy = 413.7 MPa. Solve using the column interaction diagram. 400 mm 75 mm 75 mm 450 mm Axis of bending 4 of 25 mm 4 of 25 mm
  • 265.
    Solution 1. Solve for,pg, and e/h 016 . 0 ) 600 )( 400 ( 4 ) 25 ( 8 2     g st g A A p 33 . 0 600 200   h e 2. Locate the intersection of pg and e/h. Project horizontally to the left to obtain g n A P  MPa A P g n 52 . 8   n u P P   Pu =8.52Ag = 8.52(400)600 = 2044.8 kN  75 . 0 450 600 450      h
  • 266.
    50 45 40 35 30 25 20 15 10 5 0 Interaction Diagram fc’= 3ksi ( 20.7 MPa) fy = 60 ksi ( 413.7 MPa) 75 . 0   h h  Pn e 1 2 3 4 5 6 7 8 9 10 11 12 13 14 15 0.07 pg=0.08 0.06 0.05 04 0.03 0.02 0.01 8.2 MPa ) (MPa A P g n  ) (MPa h A M g n  0.016
  • 267.
    Problem Calculate the nominalaxial load capacity of the colum shown applied at an eccentricity of 400 mm. fc’=20.7 MPa,fy=413.7 MPa. Reinforcement consist of 16 of 28 mm bars. 500 mm 70 mm 70 mm 360 mm Axis of bending
  • 268.
    0394 . 0 ) 500 )( 500 ( 4 ) 28 ( 10 2     g st g A A p 72 . 0 360 500 360      h Since there isno available interaction diagram for Use the interaction diagrams for and With fy = 413.7 MPa and fc’=20.7 MPa and interpolate the values obtained e/h = 400/500 = 0.80 From column interaction diagram for f y = 413.7 MPa and fc’=20.7 MPa 72 . 0   60 . 0   75 . 0   60 . 0   MPa A P g n 6 . 4  
  • 269.
    From column interactiondiagram for f y = 413.7 MPa and fc’=20.7 MPa 75 . 0   MPa A P g n 8 . 5   Interpolating values  0.60 4.6 0.72 x 0.75 5.8 g n A P  75 . 0 60 . 0 075 . 72 . 0 8 . 5 6 . 4 8 . 5      x X = 5.56 MPa MPa A P g n 56 . 5   56 . 5 ) 500 )( 500 ( 7 . 0  n P Pn = 1,985,714 N = 1,985.7 kN
  • 270.
    50 45 40 35 30 25 20 15 10 5 0 Interaction Diagram fc’= 3ksi ( 20.7 MPa) fy = 60 ksi ( 413.7 MPa) 60 . 0   h h  Pn e 0.08 0.07 0.06 0.05 0.04 0.03 0.02 0.01 0.039 4.6 MPa
  • 271.
    50 45 40 35 30 25 20 15 10 5 0 Interaction Diagram fc’= 3ksi ( 20.7 MPa) fy = 60 ksi ( 413.7 MPa) 75 . 0   h h  Pn e 0.039 5.8 MPa
  • 272.
    Plate # 13:Analysis of eccentric columns using interaction diagram Calculate the ultimate axial load capacity of the column section shown if the eccentricity is 300 mm. fc’ = 27.57 MPa(4 ksi), fy= 413.MPa(60ksi). Solve using the column interaction diagram. 350 mm 75 mm 75 mm 400 mm Axis of bending 4 of 25 mm 4 of 25 mm 1ksi =6.8928 MPa
  • 273.
    Calculate the nominalaxial load capacity of the colum shown applied at an eccentricity of 400 mm. fc’=27.57 MPa,fy=413.7 MPa. Reinforcement consist of 16 of 22 mm bars. 450 mm 70 mm 70 mm 330 mm Axis of bending
  • 274.
    Problem CE Board May2000 For the spiral column shown, determine the maximum nominal axial load capacity if the eccentricity is 150 mm. fc’= 27.6 MPa, fy = 413.7 MPa. Use the column interaction diagram. 1 ksi = 6.8928 MPa 375 mm 500 mm 0155 . 0 4 ) 500 ( 4 ) 22 ( 8 2 2      g st g A A p 75 . 0 375 500 375      h 3 . 0 500 150   h e MPa x ksi A P g n 961 . 8 8928 . 6 3 . 1 3 . 1     8 of 22 mm
  • 275.
    7 1.3 ksi 0 1 2 3 4 5 6 0.2 0.40.6 0.8 1.0 1.2 1.4 1.6 1.8 2.0 0.08 0.07 0.05 0.06 0.04 0.03 0.02 0.01 0.0155 h  h e Pn INTERACTION DIAGRAM fc’ = 4ksi(27.6 MPa) fy = 60 ksi ( 413.7 MPa) 75 . 0   ΦMn/Agh(ksi) ΦP n /A g (ksi)
  • 276.
    A rectangular columnis as shown in the figure. It is acted upon by the following loads: axial load due to dead load = 450 kN axial load due to live load = 500 kN Moment due to dead load = 134 kN.m Moment due to live load = 150 kN.m The column is to be analyzed and designed by ultimate strength design method. Use fc’ = 20.7MPa, fy = 413.7 MPa. Determine a) Eccentricity of the column b) Area of steel bars required 400 mm 75 mm 75 mm 450 mm Axis of bending Determination of steel area
  • 277.
    Solution: Pu = 1.4PD+ 1.7PL Pu =1.4 (450) + 1.7(500) = 1480 kN Pn = Pu/Φ Pn = 1480/0.7 Pn = 2114.28 kN Mu =1.4MD + 1.7ML Mu =1.4(134)+1.7(150) = 442.6 kN.m Mn =Mu/Φ = 442.6/0.7 = 632.28 kN.m Eccentricity e= Mn/Pn= 632.28/ 2114.28 e = 0.3 m = 300 mm 75 . 0 450 600 450      h 50 . 0 600 300   h e MPa A P g n 17 . 6 ) 600 )( 400 ( ) 1000 )( 28 . 2114 ( 7 . 0    MPa h A M g n 07 . 3 ) 600 )( 400 )( 600 ( ) 10 )( 28 . 632 ( 7 . 0 6    g n A P  h A M g n  and Intersection of pg =0.017 Ast =pgAg= 0.017(400)(600) Ast = 4080 mm2
  • 278.
    MPa A P g n 17 . 6   50 45 40 35 30 25 20 15 10 5 0 Interaction Diagram fc’= 3ksi ( 20.7 MPa) fy = 60 ksi ( 413.7 MPa) 60 . 0   h h  Pn e 1 2 3 4 5 6 7 8 9 10 11 12 13 14 15 pg=0.017 MPa h A M g n 07 . 3  
  • 279.
    DESIGN OF ECCENTRICCOLUMNS( SECTION & REINFORCEMENT)  The size of column can be obtained by assuming an average compressive stress of concrete from 0.5fc’ to 0.6 fc’ under the load PU. Design of reinforcement follows the procedure of the preceding topic. If value of pg is not reasonable, section maybe revised. Design a square tied column to carry a factored axial load of 2,000 kN And a factored moment of 190 kN.m. Use 25 mm bars to be placed uniformly along the faces of the column. Assume fc’=20.7MPa and fy =413.7 MPa.
  • 280.
    Solution Ag = Pu/0.5fc’ Ag= (2000)(1000) /0.5(20.7) Ag = 193,237 mm2 Using a square column h = 439 mm say 450 mm Proposed Layout 450 mm 62.5 mm 62.5 mm 325 mm Axis of bending
  • 281.
    e = Mu/Pu e=190/2000 = 0.095 m = 95 mm e/h = 95/450 = 0.211 722 . 0 325 450 325      h Interpolate between 60 . 0   75 . 0   and Pn =Pu/Ф= 2000/0.7=2,857 kN ФPn/Ag = 0.7(2857)1000/(450)(450) ФPn/Ag =9.876 MPa/6.8928 = 1.43 ksi 60 . 0   Intersection of e/h and ФPn/Ag pg =0.018 75 . 0   Intersection of e/h and ФPn/Ag pg =0.016  0.60 0.018 0.722 x 0.75 0.016 pg 75 . 0 6 . 0 75 . 0 722 . 0 016 . 0 018 . 0 016 . 0      x x = pg = 0.01637 As =PgAg As = 0.01637(450)(450) As = 3315 mm2
  • 282.
    0.2 0.4 0.60.8 1.0 1.2 1.4 1.6 1.8 2.0 1.43 ksi 0 2 3 4 5 6 e Pn INTERACTION DIAGRAM fc’ = 3 ksi(20.7 MPa) fy = 60 ksi ( 413.7 MPa) 75 . 0   ΦMn/Agh(ksi) ΦPn/A g (ksi) h h  1 pg=0.016 7
  • 283.
    1.43 ksi 0 1 2 3 4 5 6 0.2 0.40.6 0.8 1.0 1.2 1.4 1.6 1.8 2.0 e Pn INTERACTION DIAGRAM fc’ = 3ksi(20.7 MPa) fy = 60 ksi ( 413.7 MPa) 60 . 0   ΦMn/Agh(ksi) ΦP n /A g (ksi) h h  pg=0.018 7
  • 284.
    Plate # 14: Design of eccentric columns by using interaction diagram For the spiral column shown, determine the maximum nominal axial load capacity if the eccentricity is 200 mm. fc’= 27.6 MPa, fy = 413.7 MPa. Use the column interaction diagram. 1 ksi = 6.8928 MPa 400 mm 530 mm 8 of 22 mm Design a square tied column to carry a factored axial load of 2,500 kN And a factored moment of 300 kN.m. Use 28mm bars to be placed uniformly along the faces of the column. Assume fc’=20.7MPa and fy =413.7 MPa.
  • 285.
    A rectangular columnis as shown in the figure. It is acted upon by the following loads: axial load due to dead load = 500 kN axial load due to live load = 600 kN Moment due to dead load = 140 kN.m Moment due to live load = 180 kN.m The column is to be analyzed and designed by ultimate strength design method. Use fc’ = 20.7MPa, fy = 413.7 MPa. Determine a) Eccentricity of the column b) Area of steel bars required 450 mm 75 mm 75 mm 500 mm Axis of bending
  • 286.
    Axial Load andBiaxial Bending In some cases, columns are subject to bending on both axes. This is the usual case of corner columns where beams or girder frames into the column from both directions . ex ey Mx My
  • 287.
    Bresler Equation Biaxially loadedcolumns can be analyzed by Bresler’s equation. no ny nx n P P P P 1 1 1 1    Where: Pnx = axial load capacity of the column for eccentricity ex with ey =0 Pny = axial load capacity of the column for eccentricity ey with ex =0 Pno = axial load capacity of the column when ex = 0 and ey = 0 Pno = 0.85fc’Ag + Asfy
  • 288.
    Problem  Calculate thepermissible axial load capacity Pu of the short tied column shown shown if ex= 200 mm and ey = 100 mm. Use fc’ =20.7 MPa, fy = 413.7 MPa 450 mm 600 mm 225 mm 375 mm 75 mm 75 mm 75 mm 75 mm 8 of 28 mm
  • 289.
    022 . 0 ) 600 )( 375 ( 4 ) 28 ( 8 2     g st g A A p For eccentricity ex( bending about the y axis) 75 . 0 450 600 450      h 333 . 0 600 200   h e ksi A P g n 28 . 1   MPa A P g n 823 . 8   ) 1000 ( 7 . 0 ) 375 )( 600 ( 823 . 8  nx P Pnx =2836 kN Solution
  • 290.
    For eccentricity ey( bending about the x axis) ) 1000 ( 7 . 0 ) 375 )( 600 ( 305 . 9  ny P 60 . 0 225 375 225      h 267 . 0 375 100   h e ksi A P g n 35 . 1   MPa A P g n 305 . 9   Pny =2991 kN no ny nx n P P P P 1 1 1 1    Pno = 0.85fc’Ag + Asfy = 5,997kN 997 , 5 1 991 , 2 1 836 , 2 1 1    n P Pn = 1,922 kN
  • 291.
    ΦPn/A g (ksi) 1.28ksi 0 2 3 4 5 6 e Pn INTERACTION DIAGRAM fc’ =3 ksi(20.7 MPa) fy = 60 ksi ( 413.7 MPa) 75 . 0   ΦMn/Agh(ksi) h h  1 7
  • 292.
    0 1 2 3 4 5 6 0.2 0.4 0.60.8 1.0 1.2 1.4 1.6 1.8 2.0 e Pn INTERACTION DIAGRAM fc’ = 3ksi(20.7 MPa) fy = 60 ksi ( 413.7 MPa) 60 . 0   ΦMn/Agh(ksi) ΦP n /A g (ksi) h h  1.35 ksi 7
  • 293.
    Using the dataof the preceding problem, determine Mux and Muy . Solution n u P P   kN Pu 4 . 1345 ) 1922 ( 7 . 0   m kN e P M y u ux . 54 . 134 ) 10 . 0 ( 4 . 1345    m kN e P M x u uy . 08 . 269 ) 20 . 0 ( 4 . 1345   
  • 294.
    Plate # 14: Columns subject to Biaxial Bending Calculate the permissible axial load capacity Pu of the short tied column shown shown if ex= 250 mm and ey = 150 mm. Solve by analytical method. Use fc’ =20.7 MPa, fy = 413.7 MPa 500 mm 650 mm 250 mm 400 mm 75 mm 75 mm 75 mm 75 mm 10 of 28 mm
  • 295.
    Long Columns  CONSIDERATIONOF SLENDERNESS EFFECTS For compression members braced against sideways,effects of slenderness maybe neglected when: r kLu b b M M 2 1 12 34   For compression members not braced against sideways, effects of slenderness maybe neglected when 22  r kLu
  • 296.
    Where: M2b = valueof the larger factored end moment on a compression member due to loads that result in no appreciable sidesway, calculated by conventional elastic frame analysis M1b = value of the smaller factored end moment on a compression member due to loads that result in no appreciable sidesway, calculated by conventional elastic frame analysis positive if member is bent in single curvature, negative if member is bent in double curvature M1b M2b Lu
  • 297.
    Effective Length Factor Effectivelength factor is equal to 1 when the member is braced against sideway ; for members not braced against sideway effects of cracking and reinforcement on relative stiffness must be considered and should be greater than 1. Radius of Gyration r = 0.25 D for circular columns ,D the column diameter r = 0.30 h for rectangular columns ,h the column dimension in the direction stability is being considered Unsupported Length of Compression members Unsupported length Lu a of compression member is taken as the clear distance between floor slabs, beams or other members capable of providing lateral support for that compression member. Where column capitals or haunches are present it shall be measured to the lower extremity of capital or haunch in the place considered.
  • 298.
    Braced and UnbracedFrame A frame maybe considered braced if the bracing elements such as shear walls, shear trusses, or other means resisting lateral movement of a storey, have a total stiffness at least, six times the sum of the stiffness of all the columns resisting lateral movement in that storey. PROBLEM A square column having an unsupported length of 5 m is used in a braced frame against sidesway. The column is bent in single curvature and subject to factored end moments of 58 kN/m at the top and 42 kN.m at the bottom. Determine its minimum dimension so that slenderness effects may not be considered in the analysis.
  • 299.
    m kN M b . 58 2 m kN M b . 42 1   h r 3 . 0  mm m Lu 5000 5   + since the column is bent in single curvature h 3 . 0 ) 5000 ( 1 58 ) 42 ( 12 34   0 . 1  k column is braced against sidesway mm h 660  r kLu b b M M 2 1 12 34  
  • 300.
    MOMENT MAGNIFIER METHOD Accordingto NSCP 1992 edition, compression members shall be designed using the factored axial load Pu from a conventional frame analysis and a magnified factored moment Mc defined by : b b s s c M M M 2 2     Where: M2b = value of the larger factored end moment on a compression member due to loads that result in no appreciable sidesway, calculated by conventional elastic frame analysis. For use in EQ.1 M2b ≥ Pu(15 + 0.03 h) 15 + 0.03h in mm M1b = value of the smaller factored end moment on a compression member due to loads that result in no appreciable sidesway, calculated by conventional elastic frame analysis positive if member is bent in single curvature, negative if member is bent in double curvature EQ. 1
  • 301.
    M2s = valueof the larger factored end moment on a compression member due to loads that result in appreciable sidesway ( wind, earthquake and other lateral loads) , calculated by conventional elastic frame analysis. 15 + 0.03h in mm For use in EQ.1 M2b ≥ Pu(15 + 0.03 h) b  0 . 1 1    Pc Pu Cm b   moment magnification factor that takes into account the effect of member curvature in a frame braced against sideway. =
  • 302.
    b b M M Cm 2 1 4 . 0 6 . 0   butnot less than 0.4, For all other cases Cm = 1. = moment magnification factor that takes into account the lateral drift of a column caused by lateral or gravity loading the frame not braced against sidesway s  2 2 ) ( u c kL EI P   0 . 1 1 1      Pc Pu s   0 . 1  s  for columns braced against sidesway Pu Pc summation for all columns in a storey. EQ 2
  • 303.
    For frames notbraced against sidesway, both and should be computed. For frames braced against sidesway, should be taken as 1.0. In calculating Pc ,EI should be determined either by s  b  s  d se s g c I E I E EI     1 5 d g c I E EI    1 5 . 2 or Where βd = the ratio of factored dead load moment to maximum total factored moment ( always positive), where the load is due to gravity only in the calculation of Pc in computing or the ratio of the maximum sustained lateral load to the maximum total factored lateral load in that story in the calculation of Pc in computing b  s 
  • 304.
    Ig = momentof inertia of gross section about centroidal axis neglecting reinforcement Ise = moment of inertia of reinforcement about centroidal axis of member cross section Ec =modulus of elasticity of concrete Es =modulus of elasticity of reinforcement ' 4700 fc Ec  Moment Magnifier for biaxial bending For compression members subject to moment on both axes, moment about each principal axis shall be magnified by computed from the corresponding restraint about that axis. 
  • 305.
    ALIGNMENT CHARTS Ψ = ∑EI/Lof Columns ∑EI/L of Beams Effective Length Factor k are obtained using the Jackson and Moreland alignment chart. To use this chart a parameter ψA for end A of column AB and ψB for end B are computed. A straightedge is placed between A and B. The point where the straightedge cross the middle monograph is k. The parameter ψ at one end of the column equals the sum of the stiffnesses of the columns (including the column under consideration) meeting at the joint divided by the sum of all the stiffnesses of the beams meeting at that joint.
  • 306.
  • 307.
    PROBLEMS 1. A rectangularconcrete column has a dimension of 300 mm by 380 mm. The column length is 4.5 m and is to be used in a frame braced against sidesway ( k =1.0, EI = 34 MN.m2). The column is bent in single curvature by ultimate factored moment of 110 kN.m at the top and 120 kN.m at the bottom. The column carries factored axial dead load of 150 kN and factored axial live load of 350 kN. Considering the longer dimension of the column, is slenderness effects be considered in the analysis ? If so, what is the magnified moment capacity of this column ? 2. Solve the previous problem considering the effect of wind loads producing an unfactored axial load of 130 kN an unfactored moment of 100 kN.m
  • 308.
    Solution to #1 m kN Mb . 120 2  m kN M b . 110 1   mm h r 114 ) 380 ( 3 . 0 3 . 0    mm m Lu 4500 5 . 4   47 . 39 114 ) 4500 ( 1   r kLu 23 120 110 12 34 12 34 2 1     B B M M B B u M M r kL 2 1 12 34   Column is Long 0 2  s M + since the column is bent in single curvature
  • 309.
    9668 . 0 120 110 4 . 0 6 . 0 4 . 0 6 . 0 2 1      b b m M M C kN Pu 500 350 150    kN N kL EI P u c18 . 571 , 16 188 , 571 , 16 )} 5 . 4 )( 1 {( ) 10 ( 34 ) ( 2 6 2 2 2       0103 . 1 ) 18 . 16571 ( 7 . 0 500 1 9668 . 0 1      c u m b P P C   m kN M M M s s c b b c . 24 . 121 ) 0 ( ) 120 ( 0103 . 1 2 2        
  • 310.
    ] 7 . 1 7 . 1 4 . 1 [ 75 . 0 2 W L D s M M M M   m kN M s . 5 . 127 )] 100 ( 7 . 1 ) 0 ( 7 . 1 ) 0 ( 4 . 1 [ 75 . 0 2     Solution to #2 kN P P L D 500 350 150 ] 7 . 1 4 . 1 [     Specified in the previous problem kN P P P P W L D u 7 . 540 )] 130 ( 7 . 1 500 [ 75 . 0 ] 7 . 1 7 . 1 4 . 1 [ 75 . 0       014 . 1 ) 18 . 16571 ( 7 . 0 75 . 540 1 9668 . 0 1      c u m b P P C   m kN M M M s s b b c . 18 . 249 ) 5 . 127 ( 0 . 1 ) 120 ( 014 . 1 2 2          0 . 1 s  Frame is braced against sidesway
  • 311.
    Plate No.15 LongColumns ( Part I) 1.A square column having an unsupported length of 4.5 m is used in a frame braced against sidesway. The column is bent in single curvature and subject to factored end moments of 52 kN/m at the top and 36 kN.m at the bottom. Determine its minimum dimension so that slenderness effects may not be considered in the analysis. 2. A square concrete column has a dimension of 450 mm by 450 mm. The column length is 5 m and is to be used in a frame braced against sidesway ( k =1.0, EI = 44 MN.m2). The column is bent in single curvature by ultimate factored moment of 130 kN.m at the top and 150 kN.m at the bottom. The column carries factored axial dead load of 180 kN and factored axial live load of 390 kN. Is slenderness effects be considered in the analysis ? If so, what is the magnified moment capacity of this column ? 3. Solve the previous problem considering the effect of wind loads producing an unfactored axial load of 150 kN an unfactored moment of 120 kN.m
  • 312.
    For the columnshown in figure, PD = 266.88 kN, PL = 444.8 kN, MD = 162.72kN.m, and ML = 189.84 kN.m. The column belongs to a braced frame and is bent in single curvature about the x axis by equal moments at each end of the member . The unsupported length is 6 m. fc’ = 20.7 MPa, fy = 413.7 MPa . Determine the following : a) Critical load Pc 500 mm 375 mm 8 of 32 mm 375 mm b) Magnified moment c) the steel ratio required to sustain the magnified moment
  • 313.
    Solution: 2 2 98 . 6433 4 ) 32 ( 8 mm As    Pu=1.4PD +1.7PL = 1129.79 kN M1b= M2b =1.4MD + 1.7ML = 550.54 kN.m MPa fc Ec 7 . 21383 7 . 20 4700 ' 4700    4 6 3 10 25 . 3906 12 ) 500 ( 375 mm x Ig   4 6 2 2 10 194 . 226 ) 5 . 187 ( 98 . 6433 mm x z A I s se    MPa Es 200000 
  • 314.
  • 315.
  • 316.
    m kN M M b b c . 11 . 622 ) 54 . 550 ( 13 . 1 2    MPa A P A P g u g n 03 . 6 ) 500 ( 375 79 . 1129     MPa h A M h A M g c g n 64 . 6 ) 500 )( 375 )( 500 ( ) 10 )( 11 . 622 ( 6     Using the column interaction diagram g n A P  h A M g n  Project 6.03 MPa(0.875ksi) from axis horizontally to the right Project 6.64 MPa(0.963ksi) from axis vertically up Locate intersection of projected lines to get pg = 0.05
  • 317.
    0 2 3 4 5 6 e Pn INTERACTION DIAGRAM fc’ =3 ksi(20.7 MPa) fy = 60 ksi ( 413.7 MPa) 75 . 0   ΦMn/Agh(ksi) h h  1 0.2 0.4 0.6 0.8 1.0 1.2 1.4 1.6 1.8 2.0 0.875 ksi 0.963 ksi
  • 318.
    Problem: Design the steelreinforcement for a 7.5 m 600 mm by 600 mm square tied Column bent in single curvature in a braced frame with ψ equal 1 at one end and 2.0 at the other end. The column is used to carry the following loads axial dead load = 800 kN axial live load = 880 kN dead load moment = 135 kN. m live load moment = 175 kN. m Use fc’ = 20.7 MPa, fy = 413.7 MPa, and place the bars at two end faces With d’ = 75 mm. Axis of bending 600 mm 75mm 450 mm 75 mm
  • 319.
    SOLUTION Pu =1.4 PD+ 1.7PL Pu= 1.4 (800) + 1.7(880) = 2,616 kN MU = M2b = M1b = 1.4 MD + 1.7 ML MU = M2b = M1b = 1.4(135) + 1.7 (175) MU = M2b = M1b = 486.5 kN.m M1b / M2b = 1.0 r = 03 h = 0.3(600) = 180 from Alignment chart k = 0.82 KLu / r = 0.82( 7500)/180 = 34.17 34 – 12M1b / M2b =34 -12(1) = 24 Check: M2b > Pu (15 + 0.03h) M2b > 2616 (15 + 0.03(600))/1000 = 86.33 kN.m K ψA ∞ 50 10 5 3.0 2.0 1.0 0.8 0.6 0.5 0.4 0.3 0.2 0.1 0 ψB ∞ 50 10 5 3.0 2.0 1.0 0.8 0.6 0.5 0.4 0.3 0.2 0.1 0 1.0 0.9 0.8 0.7 0.6 0.5 BRACED FRAME 0.82
  • 320.
  • 321.
    274 . 1 ) 361 , 17 ( 7 . 0 616 , 2 1 1 Pc Pu 1 Cm b        0 M s 2  m . kN 8 . 619 ) 5 . 486 )( 274 . 1 ( 0 M M Mb 2 b s 2 s c        mm 237 m 237 . 0 616 , 2 8 . 619 P M e u u     395 . 0 600 237 h e   75 . 0 450 600 450 h       ksi 0547 . 1 MPa 27 . 7 ) 600 ( 600 ) 1000 ( 616 , 2 A P A Pn g U g      Pg=0.016 As =0.016(600)600 = 5,760 mm2 Using 25 mm bars pcs 12 4 ) 25 ( 5760 No 2   
  • 322.
    0 2 3 4 5 6 e Pn INTERACTION DIAGRAM fc’ =3 ksi(20.7 MPa) fy = 60 ksi ( 413.7 MPa) 75 . 0   ΦMn/Agh(ksi) h h  1 0.2 0.4 0.6 0.8 1.0 1.2 1.4 1.6 1.8 2.0 1.0547 ksi 0.016
  • 323.
    0 1 2 3 4 5 6 0.2 0.4 0.60.8 1.0 1.2 1.4 1.6 1.8 2.0 e Pn INTERACTION DIAGRAM fc’ = 4ksi(27.6 MPa) fy = 60 ksi ( 413.7 MPa) 75 . 0   ΦP n /A g (ksi) h h  7 ΦMn/Agh(ksi)
  • 324.
    Plate # 17:Design of Long columns Design the steel reinforcement for a 6.0 m 500 mm by 500 mm square tied Column bent in single curvature in a braced frame with ψ equal 2.0 at one end and 3.0 at the other end. The column is used to carry the following loads axial dead load = 600 kN axial live load = 650 kN dead load moment = 105 kN. m live load moment = 125 kN. m Use fc’ = 20.7 MPa, fy = 413.7 MPa, and place the bars at two end faces With d’ = 75 mm. Axis of bending 500 mm 75mm 350 mm 75 mm
  • 325.
    For the columnshown in figure, PD = 200 kN, PL = 400 kN, MD = 122kN.m, and ML = 148 kN.m. The column belongs to a braced frame and is bent in single curvature about the x axis by equal moments at each end of the member . The unsupported length is 6 m. fc’ = 20.7 MPa, fy = 413.7 MPa . Determine the following : a) Critical load Pc 450 mm 300 mm 8 of 28 mm 350 mm b) Magnified moment c) the steel ratio required to sustain the magnified moment
  • 326.
    TWO WAY SLABS Whena rectangular reinforced concrete slab is supported on four sides,reinforcement placed perpendicular to the side may be assumed to be effective in the two directions. These slabs are known as two way slabs. Bending occurs on both directions. However if the slab is supported on all sides but the ratio of the long side to short is two or more times, the slab act as a one way slab with bending occuring in the short direction. Two methods of designing will be discussed. The direct design method and the ACI moment coeffecient method. Other methods available are the strip method and the equivalent frame method.
  • 327.
    Beam or wall Beam Beam Beam Beam Droppanel Column capital Two way edge supported slab Two way column supported slab ( Flat Slab) panel panel h =slab thickness
  • 328.
    Column Strip Column Strip L2 L1 Smaller of 0.25L1 or0.25L2 Middle Strip Column and Middle Strip When the design moments are computed, the moments are distributed to the column and middle strip. Column strip is a design strip with a width on each side of a column centerline equal to 0.25L1 or 0.25L2 whichever is less. Column strip includes beam if any. The middle strip is a design strip bounded by two column strips. CL of column
  • 329.
    Minimum thickness Minimum thicknessof slabs without interior beams spanning between the supports shall be in accordance with Table 1 and shall not be less than the following values: a) slabs without drop panels 125 mm b) slabs with drop panels 100 mm Yield Stress Fy,MPa(1) Without drop panels(2) With drop panels(2) Exterior Panels Interior Panels Exterior Panels Interior Panels Without edge beam With edge beam(3) Without edge beam With edge beam(3) 275 Ln /33 Ln /36 Ln /36 Ln /36 Ln /36 Ln /36 Ln /40 Ln /40 Ln /33 Ln /33 Ln /33 Ln /30 415 Table 1 (1) For values of reinforcement yield stress between 275 MPa and 415 MPa minimum thickness shall be obtained by linear interpolation (2) See definition of drop panel in Sections 5.13.4.7.1, 5.13.4.7.2,NSCP 5th Edition (3) Slabs with beam between columns along exterior edges. The value of α for the edge beam shall not be less than 0.8.
  • 330.
    L Not less than1/6L h Not less than 1/4h Drop panels and column capitals are placed around the vicinity of the column to reduce the effect of negative moment and shear Sections 5.13.4.7.1 Drop panel shall extend in each direction from centerline of support a distance not less than one sixth the span length measured center to center of supports in that direction. 5.13.4.7.2 Projection of drop panel below the slab shall be at least one fourth of the slab thickness beyond the drop. DROP PANEL Column capital
  • 331.
    THE MINIMUM THICKNESSOF SLABS WITH OR WITHOUT BEAMS SPANNING BETWEEN THE SUPPORTS ON ALL SIDES AND HAVING A RATIO OF LONG SPAN TO SHORT SPAN NOT EXCEEDING 2 SHALL BE            ) 1 1 ( 12 . 0 5000 36000 ) f 73 . 0 800 ( L h m y n     9000 36000 ) f 73 . 0 800 ( L h y n    36000 ) f 73 . 0 800 ( L h y n   but not less than and need not be more than EQ 10.1 EQ 10.2 EQ 10.3
  • 332.
    The values ofh obtained from EQS.10.1,10.2 and 10.3 maybe shall be modified as required by Sections 5.9.5.3.4 and 5.9.5.3.5 but in no case shall the thickness be less than 0 . 2 m   0 . 2 m   ------------------------- 125 mm ------------------------- 90 mm Section 5.9.5.3.4 For slabs without beams, but with drop panels extending In each direction from centerline of support a distance not less than one sixth the span length in that direction measured center to center of supports and projection of slab at least one fourth of slab thickness beyond the thickness required by EQS.10.1,10.2 and 10.3 shall be reduced by 10%. Section 5.9.5.3.5 At discontinuous edge, an edge beam shall be provided With a stiffness ratio σ not less than 0.8; or the minimum thickness required by EQS.10.1,10.2 and 10.3 shall be increased by 10% in the panel with a discontinuous edge.
  • 333.
    Where Ln = lengthof clear span in the long direction of a two- way construction measured face to face of supports in slabs without beams and face to face of beams or other supports in other cases. αm = average value of α for all beams on edges of a panel. α = ratio of flexural stiffness of beam section to flexural stiffness a width of the slab bounded laterally by centerline of adjacent panel ( if any) in each side of the beam. β = ratio of clear spans in long to short direction of two way slabs. Ecb = modulus of elasticity of beam concrete Ecs = modulus of elasticity of slab concrete Ib =moment of inertia about the centroidal axis of gross section of section defined in section 5.13.2.4 Section 5.13.2.4 For monolithic or fully composite construction, a beam includes that portion of the slab on each side of the beam extending a distance equal to the projection of the beam above or below the slab, whichever is greater, but not greater than four times the slab thickness Is =moment of inertia about the centroidal axis of gross section of slab Is =H3 /12 times width of slab defined in notation α and βt . s cs b cb I E I E  
  • 334.
    DIRECT DESIGN METHOD Limitationsof Direct Design Method There shall be a minimum of three continuous span in each direction Panel shall be rectangular with a ratio of longer to shorter span center to center of support within a panel not greater than 2 Successive span lengths center to center of supports in each direction shall not differ by more than 1/3 the longer support Columns be offset a maximum of 10% of span ( in the direction of the offset) from either axis between centerlines of successive columns. All loads shall be due to gravity only and uniformly distributed over an entire panel. Live load shall not exceed three times the dead load. For a panel between supports on all sides , the relative stiffness of beams in the two perpendicular direction, must be between 0.2 and 0.5. Where :L1 = length of the span in the direction that moments are being determined, measured center to center of supports L2 = length of span transverse to LI, measured center to center of supports. 2 2 2 2 1 1 L L  
  • 335.
    Moments in slabs Thetotal moment resisted by the slab equals absolute sum of the positive and negative factored moments in each direction and shall not be less than 8 L ) L w ( M 2 n 2 u o  Where: wu is the factored load Clear span Ln shall extend face to face of the columns,capitals,bracket or walls Ln in EQ. A shall not be less than 0.65L1. Circular or polygon supports shall be treated as square supports with the same area If the transverse span of panels on either side of the centerline of supports varies L2 in EQ. A shall be taken as the average of adjacent transverse spans. When the span adjacent and parallel to an edge is considered, the distance from edge to panel centerline shall be substituted for L2 in EQ. A. EQ. A
  • 336.
    Negative and PositiveFactored Moments Negative factored moments shall be located at face of rectangular supports. Circular or regular polygon supports shall be treated as square supports with the same area A. In an interior span, total static moment Mo shall be distributed as follows: Negative factored moments 0.65 Positive factored moments 0.35 B. In an end span, total factored static moment Mo shall be distributed according to the table below Interior Negative Factored Moment Positive Factored Moment Exterior Negative Factored Moment Exterior edge unrestrained Slabs with beams b/w all supports Slabs without beams b/w interior supports Without edge beam With edge beam Exterior edge Fully restrained 1 2 3 4 5 0.75 0.70 0.70 0.70 0.65 0.65 0.63 0.57 0.52 0.50 0.35 0 0.16 0.26 0.30
  • 337.
    Factored Moment inColumn strips Column strips shall be proportioned to resist the following portion in percent Of interior factored negative moments. TABLE A 0 l l 1 2   0 . 1 l l 1 2   1 2 l l 0.5 1.0 2.0 75 75 75 75 45 90 Linear interpolation be made for the values shown
  • 338.
    Column strips shallbe proportioned to resist the following portion in percent Of exterior factored negative moments. TABLE B 0 l l 1 2   0 . 1 l l 1 2   1 2 l l 0.5 1.0 2.0 75 100 100 75 45 100 Linear interpolation be made for the values shown 100 75 0 t   5 . 2 t   0 t   5 . 2 t   100 100 90 75 Where supports consists of columns or walls extending for a distance equal to or greater than three – quarter other span length L2 used to compute Mo, negative moments shall be considered to be uniformly distributed across Lo.
  • 339.
    s cs cb t I E 2 C E   Where : C =torsional rigidity of the effective transverse beam Column strips shall be proportioned to resist the following in percent of positive factored moments. TABLE C 0 l l 1 2   0 . 1 l l 1 2   1 2 l l 0.5 1.0 2.0 60 60 60 75 45 90 Linear interpolation be made for the values shown
  • 340.
    For slabs withbeams between supports, the slab portion of the column strip shall be proportioned to resist that portion of the column strip moments not resisted by the beams. Factored moment in beams Beams between supports shall be proportioned to resist 85% of column strip moments If . If is between 1.0 and zero ,proportion of of column strip moments resisted by beams shall be obtained by linear interpolation between 85 and zero percent. Factored moment in middle strip That portion of negative and positive factored moments not resisted by column strips shall be proportionately assigned to corresponding half middle strip. Each middles strip shall be proportioned to resist the sum of moment assigned to its two half middle strip. A middle strip assigned to and parallel with one edge supported by a wall shall be proportioned to resist twice the moment assigned to the half middle strip corresponding to the first row of Interior supports. 0 . 1 l l 1 2   1 2 l l 
  • 341.
    Modification of FactoredMoments Negative and positive factored moments maybe modified by 10 % provided the total static moment for a panel in the direction considered is not less than that required by EQ. A. Factored shear in slab system with beams Beams with shall be proportioned to resist shear caused by factored loads on tributary areas bounded by 450 lines drawn from the corners of the panel and the centerlines of adjacent panels parallel to the long side. Beams with maybe proportioned to resist shear obtained by linear Interpolation, assuming that the beam carries no load at α = 0 0 . 1 l l 1 2   0 . 1 l l 1 2  
  • 342.
    bw d 1 x L1 L2 L2/2 C.S for widebeam shear 450 450 Where d =effective depth of the slab
  • 343.
    A A B B 6 m 5m 5 m 6 m Problem Using NSCP specifications, determine the minimum slab thickness of the panel shown. The slab has beam between all supports which are poured monolothically with the slab. fc’ =21MPa, fy = 414 MPa. Assume Ec be the same for beam, slab and column. Panel for design 6 m
  • 344.
    Section B-B 350 mm 500mm 350 mm Section A-A 350 mm 350 mm 500 mm h h Solution 1. Assume  9000 36000 ) f 73 . 0 800 ( L h y n    22 . 1 350 5000 350 6000 Span ShortClear pan LongClearS       Ln =6000 -350 =5650 mm   ) 22 . 1 ( 9000 36000 ) 414 73 . 0 800 ( 5650 h    h = 133 mm say 150 mm
  • 345.
    2. Effective flangeprojection of beams Section 5.13.2.4 For monolithic or fully composite construction, a beam includes that portion of the slab on each side of the beam extending a distance equal to the projection of the beam above or below the slab, whichever is greater, but not greater than four times the slab thickness a) 500 – 150 = 350 mm b) 4(150) = 600 mm use 350 mm 3. Moment of Inertias of beams Approximate moment of inertias Edge beams 1.4 to 1.6 of bh3/12 Interior beams 1.5 to 2 of bh3/12 a. Edge beam 4 6 3 mm 10 x 104 , 5 12 ) 500 ( 350 4 . 1 I   b. Interior beam 4 6 3 mm 10 x 833 , 5 12 ) 500 ( 350 6 . 1 I  
  • 346.
    4. Values ofα 05 . 6 75 . 843 5104 1    Note : Ecb =Ecs a) For edge beam with 3 m wide slab 4 6 3 s mm 10 x 75 . 843 12 ) 150 ( 3000 I   s cs b cb I E I E   15 . 4 25 . 1406 5833 2    b) For interior beam with 5 m wide slab ( 2 beams) 4 6 3 s mm 10 x 25 . 1406 12 ) 150 ( 5000 I  
  • 347.
    46 . 3 5 . 1687 5833 3    c) For interiorbeam with 6 m wide slab 4 6 3 s mm 10 x 5 . 1687 12 ) 150 ( 6000 I   d) αm = average value of α for all beams on edges of a panel. 45 . 4 4 46 . 3 ) 15 . 4 ( 2 05 . 6 4 2 3 2 1 m            5. Check thickness a) Minimum thickness            ) 1 1 ( 12 . 0 5000 36000 ) f 73 . 0 800 ( L h m y n   
  • 348.
                 ) 22 . 1 1 1 ( 12 . 0 45 . 4 ) 22 . 1 ( 5000 36000 ) 414 73 . 0 800 ( 5650 h h =101 mm < 133 mm o.k The values of h obtained from EQS.10.1,10.2 and 10.3 maybe shall be modified as required by Sections 5.9.5.3.4 and 5.9.5.3.5 but in no case shall the thickness be less than 0 . 2 m   0 . 2 m   ------------------------- 125 mm ------------------------- 90 mm 45 . 4 m   Since hmin= 90 mm < 133 mm ok b) thickness need not be more than   mm 133 mm 173 36000 ) 414 73 . 0 800 ( 5650 h     o.k
  • 349.
    Design the slabgiven in the preceding problem using auniform dead load of 1.3 kPa excluding the weight of the slab and a uniform live load of 5.7 kPa. Use 12 mm bars , h = 150 mm and C = 4282 x 106 mm4. Solution 1. Slab weight : Ws = Wct(1) Ws =23.5(0.15) = 3.53 kPa Total uniform dead load WD = 1.3 + 3.53 = 4.83 kPa Total Factored uniform Load Wu = 1.4WD+1.7WL = 1.4(4.83) +1.7(5.7) = 16.452 kPa 2. Effective depth d = h - 1/2 bar diameter – cover d = 150 - 1/2(12) – 20 = 124 mm 3. check depth for shear Beams with shall be proportioned to resist shear caused by factored loads on tributary areas bounded by 450 lines drawn from the corners of the panel and the centerlines of adjacent panels parallel to the long side. 0 . 1 l l 1 2  
  • 350.
    1 2.5 m C.S for wide beam shear 45 0 45 0 5 m 6m x 0.124 m 0.35 m 0 . 1 45 . 3 6 5 ) 15 . 4 ( l l 1 2     x = 2.5-0.35/2 -0.124 = 2.201 m taking b = 1 m Shear force at critical section Vu = Wu (shaded area) Vu =Wu(x)(1) Vu =16.452(2.201) Vu = 36.21 kN Shear carried by concrete bd ' fc 6 1 Vc  ) 124 )( 1000 ( 21 6 1 Vc  kN 7 . 94 N 706 , 94 Vc  
  • 351.
    kN 21 . 36 kN 5 . 80 ) 7 . 94 ( 85 . 0 Vc     Ok forshear Moment along the short span ( 5 m interior span) 4. The total moment resisted by the slab equals absolute sum of the positive and negative factored moments in each direction and shall not be less than 8 L ) L w ( M 2 n 2 u o  Where: wu is the factored load EQ. A Clear span Ln shall extend face to face of the columns,capitals,bracket or walls Ln in EQ. A shall not be less than 0.65L1 L1 =5 m Ln L2= 6 m 0.35 m 0.35 m Ln = 5 – 0.35 = 4.65 m 8 ) 65 . 4 )( 6 ( 452 . 16 ( M 2 o  m . kN 8 . 266 Mo 
  • 352.
    In an interiorspan, total static moment Mo shall be distributed as follows: Negative factored moments 0.65 Positive factored moments 0.35 Negative factored moment=0.65(266.8) = -173.42 kN.m Positive factored moment =0.35(266.8) = 93.38 kN.m Distribute the above negative and positive moment to the column strip, beam and middle strip 2 . 1 5 6 l l 1 2   46 . 3   (in the direction of L1) 0 . 1 15 . 4 ) 2 . 1 ( 46 . 3 l l 1 2     Factored Moment in Column strips Column strips shall be proportioned to resist the following portion in percent of interior factored negative moments. Table A 0 . 1 l l 1 2   1 2 l l 0.5 1.0 2.0 75 45 90 Linear interpolation be made for the values shown
  • 353.
    1 2 l l Percentage 1.0 75 1.2 x 2.045 1.0 - 2.0 75 - 45 1.0 – 1.2 75 - x 75 - 45 75 - x 1.0 - 2.0 1.0 - 1.2 x= 69 Interior Negative moment resisted by column strip =0.69(-173.42)= -119.66kN.m Factored moment in beams Beams between supports shall be proportioned to resist 85% of column strip moments If 0 . 1 l l 1 2   0.85(-119.66) = -101.71kN.m will be resisted by the beam 0.15(-119.66) = -17.95 kN.m will be resisted by the slab The remaining –(173.42 – 119.66) = - 53.76 kN.m is allotted to the middle strip 0 . 1 l l 1 2   1 2 l l 0.5 1.0 2.0 75 45 90 Linear interpolation be made for the values shown Column strips shall be proportioned to resist the following in percent of positive factored moments. TABLE C
  • 354.
    1 2 l l Percentage 1.0 75 1.2 x 2.045 1.0 - 2.0 75 - 45 1.0 – 1.2 75 - x 75 - 45 75 - x 1.0 - 2.0 1.0 - 1.2 x= 69 Positive moment resisted by column strip =0.69(93.38)= 64.43kN.m 0.85(64.43) = 54.77kN.m will be resisted by the beam 0.15(64.43) = 9.66 kN.m will be resisted by the slab The remaining (93.38 – 64.43) =28.95 kN.m is allotted to the middle strip 5. Moment along the short span (along edge beam) L1 =5 m Ln L2 0.35 m 0.35 m Ln = 5 – 0.35 = 4.65 m L2 =6/2 + 0.35/2 = 3.175 m If the transverse span of panels on either side of the centerline of supports varies L2 in EQ. A shall be taken as the average of adjacent transverse spans. When the span adjacent and parallel to an edge is considered, the distance from edge to panel centerline shall be substituted for L2 in EQ. A.
  • 355.
    Negative factored moment=0.65(141.18)= -91.78 kN.m Positive factored moment =0.35(141.18) = 49.9 kN.m 8 ) 65 . 4 )( 175 . 3 ( 452 . 16 ( M 2 o  m . kN 18 . 141 Mo  2 . 1 5 6 l l 1 2   05 . 6   (for edge beam) 0 . 1 26 . 7 ) 2 . 1 ( 05 . 6 l l 1 2     4 6 3 s mm 10 x 75 . 843 12 ) 150 ( 3000 I   54 . 2 ) 10 )( 75 . 843 ( 2 10 x 4282 I E 2 C E 6 6 s cs cb t     Note: Ecb =Ecs
  • 356.
    Column strips shallbe proportioned to resist the following portion in percent Of exterior factored negative moments. TABLE B 0 . 1 l l 1 2   1 2 l l 0.5 1.0 2.0 45 100 Linear interpolation be made for the values shown 0 t   5 . 2 t   100 100 90 75 1 2 l l Percentage 1.0 75 1.2 x 2.0 45 1.0 - 2.0 75 - 45 1.0 – 1.2 75 - x 75 - 45 75 - x 1.0 - 2.0 1.0 - 1.2 x= 69 Exterior Negative Moment Column strip =0.69(-91.78) = 63.33 kN.m Beam =0.85(-63.33) = - 53.83 kN.m slab = 0.15(-63.33) = - 9.5 kN.m Middle strip =-(91.78 -63.33) = - 28.45 kN.m
  • 357.
    1 2 l l Percentage 1.0 75 1.2 x 2.045 1.0 - 2.0 75 - 45 1.0 – 1.2 75 - x 75 - 45 75 - x 1.0 - 2.0 1.0 - 1.2 x= 69 Positive Moment From Table C Column strip =0.69(49.4) = 34.1 kN.m Beam =0.85(34.1) = 28.99 kN.m slab = 0.15(34.1) = 5.12 kN.m Middle strip = (49.4 -34.1) = 15.30 kN.m interior Column strip 1.25 m 1.25 m 2.5 m 1.25 3.5 1.25 -9.5 -9.5 +5.12 -8.975 -8.975 +4.83 -8.975 -8.975 +4.83 -28.45 -26.88 -28.45 -26.88 +14.475 +15.3 -17.95/2 =-8.975 +9.66/2= +4.83 -53.76/2=-26.88 +28.95/2 = 14.475 -(26.88+28.45)= -55.33 +(14.475+15.3)=+29.78 Exterior Column strip
  • 358.
    6. Moment alongthe long span (6m end span) L2= 5 m L1 = 6 m Ln Ln = 6 -0.35 = 5.65 m 8 ) 65 . 5 )( 5 ( 452 . 16 ( M 2 o  m . kN 24 . 328 Mo  Interior Negative Factored Moment Positive Factored Moment Exterior Negative Factored Moment Exterior edge unrestrained Slabs with beams b/w all supports Slabs without beams b/w interior supports Without edge beam With edge beam Exterior edge Fully restrained 1 2 3 4 5 0.75 0.70 0.70 0.70 0.65 0.65 0.63 0.57 0.52 0.50 0.35 0 0.16 0.26 0.30 In an end span, total factored static moment Mo shall be distributed according to the table below
  • 359.
    Factored Interior NegativeMoment = -0.7(328.24)= -229.77 kN.m Factored Positive Moment = -0.57(328.24)= -187.1 kN.m Factored Exterior Negative Moment = -0.16(328.24)= -52.52 kN.m 83 . 0 6 5 l l 1 2   15 . 4   0 . 1 44 . 3 ) 83 . 00 ( 15 . 4 l l 1 2     1 2 l l Percentage 0.5 90 0.83 x 1.0 75 0.5 - 1.0 90 - 75 0.5 – 0.83 90 - x 0 . 1 5 . 0 83 . 0 5 . 0 75 90 x 90      1 . 80 x  Interior Negative Moment ( Use Table A to get percentage) Column strip =0.801(-229.77) = -184 kN.m Beam =0.85(-184) = - 156.4 kN.m slab = 0.15(-184) = - 27.6 kN.m Middle strip =-(229.77- 184) = - 45.77 kN.m
  • 360.
    1 2 l l Percentage 0.5 90 0.83x 1.0 75 0.5 - 1.0 90 - 75 0.5 – 0.83 90 - x 0 . 1 5 . 0 83 . 0 5 . 0 75 90 x 90      1 . 80 x  Exterior Negative Moment ( Use Table B to get percentage) Column strip =0.801(-52.52) = -42 kN.m Beam =0.85(-42) = - 37.5 kN.m slab = 0.15(-42) = - 6.3 kN.m Middle strip =-(52.52- 42) = - 10.52 kN.m 1 2 l l Percentage 0.5 90 0.83 x 1.0 75 0.5 - 1.0 90 - 75 0.5 – 0.83 90 - x 0 . 1 5 . 0 83 . 0 5 . 0 75 90 x 90      1 . 80 x  Positive Moment ( Use Table C to get percentage) Column strip =0.801(187.1) = 150 kN.m Beam =0.85(150) = 127.5 kN.m slab = 0.15(150) = 22.5 kN.m Middle strip =(187.1- 150) = 37.1 kN.m
  • 361.
    -3.15 -3.15 -3.15 -3.15 -13.8 -13.8 -13.8 -13.8 11.25 11.2511.25 11.25 -10.52 -45.77 37.1 Column strip Column strip 1.25 m 1.25 m 1.25 m 1.25 m 2.5 m Edge Beam -6.3/2 22.5/2 -27.6/2 Note: Since the column strip exist on both sides of the beam, the value Of the moment alloted to the slab must be divided by 2. In the middle Strip it is not divided by 2 since the same moment is also alloted by the Opposite middle strip.
  • 362.
    -3.15 -3.15 -10.5 -13.8 -13.8 -45.77 +11.25+11.25 +37.1 -9.5 -9.5 -8.975 -8.975 -53.33 -53.33 +28.97 +5.12 +4.83 1.25 m 1.25 m 3.5 m 1.25 m 1.25 m 2.5 m A A B B C C D E F D E F Edge Beam
  • 363.
    Row A &C Across F Across E Across D Across F Across E Across D Position Mu b d Ru ρ Use ρ As N 9.27 Use s Row B -3.15 1075 11.25 1075 1075 112 112 124 124 124 124 2500 2500 2500 -13.8 -10.5 -45.77 37.1 0.25955 0.75624 1.13708 0.30350 1.07238 1.32299 0.00063 0.00187 0.00284 0.00074 0.00267 0.00332 0.00338 0.00338 0.00338 0.00338 0.00338 0.00338 407.15 407.15 450.77 1048.31 1048.31 1048.31 Top Top Top Top Bottom Bottom 290 290 260 260 260 260 3.6 3.99 3.6 9.27 9.27 s 298.61 298.61 269.71 269.71 269.71 269.71 00338 . 0 414 4 . 1 min   p
  • 364.
    Row D &F Across A Across B Across C Across A Across B Across C Position Mu b d Ru ρ Use ρ As N 12.98 Use s Row E -9.5 1075 5.12 1075 1075 124 124 124 124 124 124 3500 3500 3500 -9.5 -55.33 -55.33 29.78 0.6386 0.34417 0.6386 1.14237 0.61485 1.14237 0.00157 0.00084 0.00157 0.00285 0.00151 0.00285 0.00338 0.00338 0.00338 0.00338 0.00338 0.00338 450.77 450.77 450.77 1467.63 1467.33 1467.33 Top Top Top Top Bottom Bottom 260 260 260 260 260 260 3.99 3.99 3.99 12.98 12.98 s 267.71 269.71 269.71 269.71 269.71 269.71 Temperature bars: At =0.0018(1000)(150) = 270 mm2 Using 10 mm S = 418 mm Maximum spacing = 2t = 300 mm say 260 mm
  • 365.
    ACI MOMENT COEFFICIENTMETHOD The complexity of the Direct Design Method particularly in meeting its requirements paved way to the ACI Moment Coeffecient Method. The method makes use of tables of moment coeffecients for a variety of conditions. These coeffecients are based on elastic analysis but also takes into account inelastic distribution. Moments at column strip and middle strip are computed by 2 a a a wl C M  b a l l , 2 b b b wl C M  b a C C , =Tabulated moment coeffecients = Clear span length in short and long directions respectively w=uniform load in psf,Pa or KPa
  • 366.
    panel la lb Middle strip lb Column strip Column strip Column strip Column strip la/4la/4 lb/4 lb/4 Width of middle strip – one-half of the panel Width of edge or column strip – one-fourth of the panel
  • 367.
    Ratio b l l m a  1.0 Ca,Neg Cb,Neg 0.95 Ca,Neg Cb,Neg 0.90Ca,Neg Cb,Neg 0.85 Ca,Neg Cb,Neg 0.80 Ca,Neg Cb,Neg 0.75 Ca,Neg Cb,Neg 0.70 Ca,Neg Cb,Neg 0.65 Ca,Neg Cb,Neg 0.60 Ca,Neg Cb,Neg 0.55 Ca,Neg Cb,Neg 0.50 Ca,Neg Cb,Neg Case 1 Case 2 Case 3 Case 4 Case 5 Case 6 Case 7 Case 8 Case 9 0.045 0.045 0.050 0.041 0.055 0.037 0.060 0.031 0.065 0.027 0.069 0.022 0.074 0.017 0.077 0.014 0.081 0.010 0.084 0.007 0.086. 0.006 0.050 0.050 0.055 0.045 0.060 0.040 0.066 0.034 0.071 0.029 0.076 0.024 0.081 0.019 0.085 0.015 0.089 0.011 0.092 0.008 0.094. 0.006 0.061 0.033 0.065 0.029 0.068 0.025 0.072 0.021 0.075 0.017 0.078 0.014 0.081 0.011 0.083 0.008 0.085 0.006 0.086 0.005. 0.088 0.033 0.033 0.061 0.038 0.056 0.043 0.052 0.049 0.046 0.055 0.041 0.061 0.036 0.068 0.029 0.074 0.024 0.080 0.018 0.085 0.015 0.089. 0.010 0.076 0.072 0.070 0.065 0.061 0.056 0.050 0.043 0.035 0.028 0.022 0.071 0.067 0.062 0.057 0.051 0.044 0.038 0.031 0.024 0.019 0.014 0.075 0.079 0.080 0.082 0.083 0.085 0.086 0.087 0.088 0.089 0.090 0.071 0.075 0.079 0.083 0.086 0.088 0.091 0.093 0.095 0.096 0.097 Table 1: Coeffecients for Negative Moments in Slabs 2 , a aNeg neg a wl C M  2 . b bNeg neg b wl C M  w= total uniform dead plus live load
  • 368.
    Ratio b l l m a  1.0 Ca,dl Cb,dl 0.95 Ca,dl Cb,dl 0.90Ca,dl Cb,dl 0.85 Ca,dl Cb,dl 0.80 Ca,dl Cb,dl 0.75 Ca,dl Cb,dl 0.70 Ca,dl Cb,dl 0.65 Ca,dl Cb,dl 0.60 Ca,dl Cb,dl 0.55 Ca,dl Cb,dl 0.50 Ca, dl Cb, dl Case 1 Case 2 Case 3 Case 4 Case 5 Case 6 Case 7 Case 8 Case 9 0.018 0.018 0.020 0.016 0.022 0.014 0.024 0.012 0.026 0.011 0.028 0.009 0.030 0.007 0.032 0.006 0.034 0.004 0.035 0.003 0.037 0.002 0.027 0.027 0.030 0.024 0.033 0.022 0.036 0.019 0.039 0.016 0.043 0.013 0.046 0.011 0.050 0.009 0.053 0.007 0.056 0.005 0.059 0.004 0.023 0.020 0.024 0.017 0.026 0.015 0.028 0.013 0.029 0.010 0.031 0.007 0.033 0.006 0.034 0.005 0.036 0.004 0.037 0.003 0.038 0.002 0.020 0.023 0.022 0.021 0.025 0.019 0.029 0.017 0.032 0.015 0.036 0.013 0.040 0.011 0.044 0.009 0.048 0.007 0.052 0.005 0.056 0.004 0.036 0.036 0.040 0.033 0.045 0.029 0.050 0.026 0.056 0.023 0.061 0.019 0.068 0.016 0.074 0.013 0.081 0.010 0.088 0.008 0.095 0.006 0.018 0.027 0.021 0.025 0.025 0.024 0.029 0.022 0.034 0.020 0.040 0.018 0.046 0.016 0.054 0.014 0.062 0.011 0.071 0.009 0.080 0.006 0.027 0.018 0.028 0.015 0.029 0.013 0.031 0.011 0.032 0.009 0.033 0.007 0.035 0.005 0.036 0.004 0.037 0.003 0.038 0.002 0.039 0.001 0.033 0.027 0.036 0.024 0.039 0.021 0.042 0.017 0.045 0.015 0.048 0.012 0.051 0.009 0.054 0.007 0.056 0.006 0.058 0.004 0.061 0.003 0.027 0.033 0.031 0.031 0.035 0.028 0.040 0.025 0.045 0.022 0.051 0.020 0.058 0.017 0.065 0.014 0.073 0.012 0.081 0.009 0.089 0.007 Table 2: Coeffecients for Dead Load Positive Moments in Slabs w= total uniform dead load 2 a dl , a dl , apos wl C M  2 . , b dl b dl bpos wl C M 
  • 369.
    Ratio b l l m a  1.0 Ca,ll Cb,ll 0.95 Ca,ll Cb,ll 0.90Ca,ll Cb,ll 0.85 Ca,ll Cb,ll 0.80 Ca,ll Cb,ll 0.75 Ca,ll Cb,ll 0.70 Ca,ll Cb,ll 0.65 Ca,ll Cb,ll 0.60 Ca,ll Cb,ll 0.55 Ca,ll Cb,ll 0.50 Ca,ll Cb,ll Case 1 Case 2 Case 3 Case 4 Case 5 Case 6 Case 7 Case 8 Case 9 0.027 0.027 0.030 0.025 0.034 0.022 0.037 0.019 0.041 0.017 0.045 0.014 0.049 0.012 0.053 0.010 0.058 0.007 0.062 0.006 0.066 0.004 0.032 0.032 0.035 0.029 0.039 0.026 0.040 0.023 0.048 0.020 0.052 0.016 0.057 0.014 0.062 0.011 0.067 0.009 0.072 0.007 0.077 0.005 0.030 0.028 0.032 0.025 0.036 0.022 0.039 0.020 0.042 0.017 0.046 0.013 0.050 0.011 0.054 0.009 0.059 0.007 0.063 0.006 0.067 0.004 0.028 0.030 0.031 0.027 0.035 0.024 0.040 0.022 0.044 0.019 0.049 0.016 0.054 0.014 0.059 0.011 0.065 0.009 0.070 0.007 0.076 0.005 0.036 0.036 0.040 0.033 0.045 0.029 0.050 0.026 0.056 0.023 0.061 0.019 0.068 0.016 0.074 0.013 0.081 0.010 0.088 0.008 0.095 0.006 0.032 0.032 0.031 0.029 0.035 0.027 0.040 0.024 0.045 0.022 0.051 0.019 0.057 0.016 0.064 0.014 0.071 0.011 0.080 0.009 0.088 0.007 0.032 0.027 0.034 0.024 0.037 0.021 0.041 0.019 0.044 0.016 0.047 0.013 0.051 0.011 0.055 0.009 0.059 0.007 0.063 0.005 0.067 0.004 0.035 0.032 0.038 0.029 0.042 0.025 0.046 0.022 0.051 0.019 0.055 0.016 0.060 0.013 0.064 0.010 0.068 0.008 0.073 0.006 0.078 0.005 0.032 0.035 0.036 0.032 0.040 0.029 0.045 0.026 0.051 0.023 0.056 0.020 0.063 0.017 0.070 0.014 0.077 0.011 0.085 0.009 0.092 0.007 Table 3: Coeffecients for Live Load Positive Moments in Slabs w= total uniform live load 2 a ll , a ll , apos wl C M  2 , , b ll b ll bPos wl C M 
  • 370.
    Ratio b l l m a  1.0 Wa Wb 0.95 0.90 0.85 0.80 0.75 0.70 l 0.65 0.60 0.55 0.50 Case 1Case 2 Case 3 Case 4 Case 5 Case 6 Case 7 Case 8 Case 9 0.50 0.50 0.55 0.45 0.60 0.40 0.030 0.028 0.71 0.29 0.75 0.25 0.79 0.21 0.83 0.17 0.86 0.14 0.89 0.11 0.92 0.08 0.94 0.06 0.95 0.05 0.97 0.03 0.028 0.030 0.38 0.62 0.43 0.57 0.49 0.51 0.55 0.45 0.61 0.39 0.68 0.32 0.74 0.26 0.80 0.20 0.85 0.25 0.89 0.11 0.50 0.50 0.55 0.45 0.60 0.40 0.66 0.34 0.71 0.29 0.76 0.24 0.81 0.19 0.85 0.15 0.89 0.11 0.92 0.08 0.94 0.06 0.17 0.83 0.20 0.80 0.23 0.77 0.28 0.72 0.33 0.77 0.39 0.61 0.45 0.55 0.53 0.47 0.61 0.39 0.69 0.31 0.76 0.24 0.83 0.17 0.86 0.14 088 0.12 0.90 0.10 0.92 0.08 0.94 0.06 0.95 0.05 0.96 0.04 0.97 0.08 0.98 0.02 0.99 0.01 0.71 0.29 0.75 0.25 0.79 0.21 0.83 0.17 0.86 0.14 0.88 0.12 0.91 0.09 0.93 0.07 0.95 0.05 0.96 0.04 0.97 0.03 0.29 0.71 0.33 0.67 0.38 0.62 0.43 0.57 0.49 0.51 0.56 0.44 0.62 0.38 0.69 0.31 0.76 0.24 0.81 0.19 0.86 0.14 Wa Wb Wa Wb Wa Wb Wa Wb Wa Wb Wa Wb Wa Wb Wa Wb Wa Wb Wa Wb 0.66 0.34 0.71 0.29 0.76 0.24 0.81 0.19 0.85 0.15 0.89 0.11 0.92 0.08 0.94 0.06 0.50 0.50 0.55 0.45 0.60 0.40 0.66 0.34 0.71 0.29 0.76 0.24 0.81 0.19 0.85 0.15 0.89 0.11 0.92 0.08 0.94 0.06 Table 4: Ratio of load w in la and lb directions for shear and slabs and load 0n supports
  • 371.
    Continuous edge Discontinuous Edge CasesDescription Case 1 : Simply supported Case 2 : Interior Panel Case 3 : Edges of the Long span continuous Case 4 : One edge of Long span, one edge of short span continuous (corner panel) Case 5 : Edges of the short span continuous Case 6 : One edge of short span continuous Case 7: One edge of long span continuous Case 8: Two edge of long span, one edge of short span continuous Case 9: Two edge of short span, one edge of long span continuous
  • 372.
    Uses of Tablesof coeffecients Table 1 - to compute the total negative moment at the continuous edge(column strip) Table 2 - to compute the positive dead load moment at the midspan(middle strip) Table 3- to compute the positive live load moment at the midspan(middle strip) Table 4 - to compute shear at the long and short span Total Positive moment at midspan Sum of positive dead load moment and positive live load moment Negative Moment at Discontinuous egde =1/3 of Positive moment at the midspan Minimum thickness 1/180 times the perimeter of the panel but not to be less than 75 mm 180 ) ( 2 min b a l l h  
  • 373.
    A A B B 5.3 m 5.3m 4.3 m Problem Design the thickness and reinforcement of the cornel panel shown using the ACI moment coeffecient method. The slab has beam between all supports which are poured monolothically with the slab. fc’ =20 MPa, fy = 350 MPa The slab is to support a uniform dead load of 4.5 kPa and uniform live load of 3.9 kPa. Concrete weighs 23.5 kN/m3. Panel for design 5.3 m Section B-B 300 mm 500 mm 300 mm h Section A-A 300 mm 300 mm 500 mm h
  • 374.
    Solution Clear span length shortspan = la = 4.3 – 0.3 = 4.0m long span = lb = 5.3 – 0.3 = 5.0m Slab thickness: 180 ) ( 2 min b a l l h   mm mm h 75 100 180 ) 5000 4000 ( 2     Weight of slab Ws = 0.10(23.5) =2.35 kN/m Total Dead load WD = 4.5 + 2.35 = 6.85 kN/m
  • 375.
    Factored loads Dead load= 1.4 (6.85) = 9.59 kN/m Live load = 1.7 (3.9) = 6.63 kN/m Total factored load = 16.22 kN/m Effective depth ( using 12 mm bars) d = 100 -1/2(12) – 20 =74 mm Check for Shear From Table 4 Wa = 0.71, Wb = 0.21, showing that the shear in the short direction is more critical than the long direction. uniform load per m width Wu = 0.71( 16.22) = 11.52 kN/m 80 . 0 5 4    b a l l m 11.52 kN/m 0.074 m 4 m c.s for shear R=11.52(4)/2=23.04 kN Shear force at critical section Vu =23.04 -0.074(11.52) = 22.19 kN=22190 N Allowable shear force N Vu 46883 6 74 ) 1000 ( 20 85 . 0   22450 46883 2 085 2   N VC 
  • 376.
    Positive Moment atthe midspan Dead Load 2 a dl , a dl , apos wl C M  From Table 2 ,Ca,dl =0.039 w= 9.59 MaPos,dl=0.039(9.59)(4)2 =5.98 kN.m From Table 3 ,Ca,ll =0.048 w= 6.63 MaPos,ll=0.048(6.63)(4)2 =5.09 kN.m Live Load 2 a ll , a ll , apos wl C M  Total Positive Moment at Midspan MaPos = 5.98 + 5.09 = 11.07 kN.m Negative Moment at discontinuous edge MaNeg = -1/3MaPos MaNeg = -1/3(11.07) = -3.69 kN.m Design Moments Short Direction Negative Moment at continuous edge: From Table 1 CaNeg =0.071, w = 16.22 Ma,Neg = 0.071(16.22)(4)2=18.43 kN/m
  • 377.
    Long Direction Negative Momentat continuous edge: From Table 1 CbNeg =0.029, w = 16.22 Mb,Neg = 0.029(16.22)(5)2=11.76 kN/m 2 . b bNeg neg b wl C M  Positive Moment at the midspan Dead Load From Table 2 ,Cbdl =0.016 w= 9.59 MbPos,dl=0.016(9.59)(5)2 =3.84 kN.m From Table 3 ,Cb,ll =0.020 w= 6.63 MbPos,ll=0.020(6.63)(5)2 =3.32 kN.m Live Load Total Positive Moment at Midspan MbPos = 3.84 + 3.32 = 7.16 kN.m Negative Moment at discontinuous edge MbNeg = -1/3MaPos MbNeg = -1/3(7.16) = -2.39kN.m 2 . , b dl b dl bpos wl C M  2 , , b ll b ll bPos wl C M 
  • 378.
    Design of As 004 . 0 350 4 . 1 4 . 1 59 . 20 ) 20 ( 85 . 0 350 ' 85 . 0 min      fy p fc fy m Short Direction Negative reinforcement at continuous edge Mu=18.43 kN.m ] 2 1 1 [ 1 74 . 3 ) 74 )( 1000 ( 9 . 0 ) 10 ( 43 . 18 2 6 2 fy mR m p bd M R u u u        012 . 0 ] 350 74 . 3 ) 59 . 20 ( 2 1 1 [ 59 . 20 1     p 2 888 74 ) 1000 ( 012 . 0 mm pbd As    s A A S 1 1000  mm 120 say 128 888 1 . 113 1000 1 . 113 4 ) 12 ( bars mm 12 Using 2 2 1 mm S S mm A     
  • 379.
    Positive reinforcement atmidspan Mu=11.07 kN.m 25 . 2 ) 74 )( 1000 ( 9 . 0 ) 10 ( 07 . 11 2 6 2    bd M R u u  00692 . 0 ] 350 25 . 2 ) 59 . 20 ( 2 1 1 [ 59 . 20 1     p 2 08 . 512 74 ) 1000 ( 00692 . 0 mm pbd As    s A A S 1 1000  mm 220 say 86 . 220 512 1 . 113 1000 1 . 113 4 ) 12 ( 2 2 1     S S mm A 
  • 380.
    Long Direction Negative reinforcementat continuous edge Mu=11.76 kN.m ] 2 1 1 [ 1 39 . 2 ) 74 )( 1000 ( 9 . 0 ) 10 ( 76 . 11 2 6 2 fy mR m p bd M R u u u        0074 . 0 ] 350 39 . 2 ) 59 . 20 ( 2 1 1 [ 59 . 20 1     p 2 548 74 ) 1000 ( 0074 . 0 mm pbd As    s A A S 1 1000  mm 200 say 39 . 206 548 1 . 113 1000 1 . 113 4 ) 12 ( bars mm 12 Using 2 2 1 mm S S mm A     
  • 381.
    Positive reinforcement atmidspan Mu=7.16 kN.m 45 . 1 ) 74 )( 1000 ( 9 . 0 ) 10 ( 16 . 7 2 6 2    bd M R u u  0043 . 0 ] 350 45 . 1 ) 59 . 20 ( 2 1 1 [ 59 . 20 1     p 2 2 . 318 74 ) 1000 ( 0043 . 0 mm pbd As    s A A S 1 1000  mm 300 say 4 . 355 2 . 318 1 . 113 1000 1 . 113 4 ) 12 ( 2 2 1     S S mm A 
  • 382.
  • 383.
    Row A Position Mu b d Ru ρ Use ρ As 618 Uses Row E -18.43 1000 11.07 1000 1000 74 74 74 74 68 74 1000 1000 1000 -3.69 -11.76 -2.39 7.16 3.74 2.25 2.39 1.72 0.0122 0.00692 0.0074 0.0052 0.0122 0.00692 0.0074 0.0052 902.8 512.08 547.6 384.8 Top Top Top Top Bottom Bottom 12 mm 12 mm 12 mm 12 mm 12 mm 125 220 660 206 293.9 s 110 220 150 300 300 Across D, E&F Across D, E&F Row B Row C Row D Row F Across A, B&C Across A, B&C Across A, B&C Across D, E&F Smax = 5t = 500 mm Temperature bars At = 0.0020(1000)100 = 200 S = 392 mm use s = 300 mm Bar size 10 mm Bar size 12 mm 220
  • 384.
    1.A square tiedcolumn 300 mm by 300 mm is reinforced with 6 of 20 mm bars with fc’ = 20.7 MPa and fy = 345 MPa. Determine the following : a) Ultimate axial load capacity of the column. b) spacing of 10 mm lateral ties Concrete Design Semi- Final Exam Pu =Ф0.80{0.85fc’(Ag-Ast) + Astfy} 2 2 95 . 1884 4 ) 20 ( 6 mm Ast    kN Pu 38 . 1232 1000 )} 345 ( 95 . 1884 ] 95 . 1884 ) 300 )( 300 )[( 7 . 20 ( 85 . 0 ){ 80 . 0 ( 7 . 0     mm S 400 ) 20 ( 16   mm S 480 ) 10 ( 48   mm S 300  Use S = 300 mm Spacing of 10 mm ties
  • 385.
    2. Calculate theultimate axial load capacity of the composite column shown below .fc’=21 MPa, Fy=250 MPa,fy =350MPa. Reinforcing bars consist of 8 of 20 mm diameter bars. Properties of W 10 x 150 Area = 27000 mm2 Depth = 250 mm W10 x 150 400 mm 400 mm   y WF y s c u F A f A A fc P    ' 85 . 0 85 . 0  2 2 2513 4 ] ) 20 [( 8 mm As      ) 250 ( 27000 ) 350 ( 2513 ) 130487 )( 21 ( 85 . 0 85 . 0 ) 7 . 0 (    u P 2 130487 2513 27000 ) 400 ( 400 mm Ac     kN N Pu 52 . 925 , 5 5925452  
  • 386.
    3. A cantileverbeam 300 mm wide and 450 mm deep is reinforced with 6 of 22 mm straight top bars with fc’ = 20.7 MPa and fy = 415 MPa. Calculate required development length. Solution Modification Factor Top bar = 1.3 Required development length mm L L db d 2964 ) 2280 ( 3 . 1 3 . 1    ' 25 fc f L y db  mm Ldb 2280 7 . 20 ) 415 ( 25  
  • 387.
    4. A rectangularbeam 350 mm wide and 600 mm deep is reinforced with 4 of 32 mm compression bars with fc’ = 20.7 MPa and fy = 275 MPa. Calculate the required development length. ' 24 . 0 fc f d L y b db  mm Ldb 2 . 464 7 . 20 275 ) 32 ( 24 . 0   mm Ldb 352 ) 275 )( 32 ( 04 . 0   mm Ldb 2 . 464  Use y b db f d L 04 . 0  No applicable modification factor mm Ld 2 . 464 
  • 388.
    5. A rectangularbeam with b = 300 mm, d = 500 mm is provided with 10 mm vertical stirrups with fy = 276 MPa. Assuming fc’ = 21 MPa; a) Determine the required spacing if Vu = 42 kN b) Determine the required spacing if Vu = 95 kN Solution Shear carried by concrete d b fc V w c ' 6 1  N Vc 564 , 114 500 ) 300 ( 21 6 1   N Vc 7 . 48689 2 ) 114564 ( 85 . 0 2   
  • 389.
    2 42000 c u V N V    a) Stirrupsnot necessary N Vu 95000  b) c u s V V V    N Vs 2799 114564 85 . 0 95000    2 2 1 . 157 4 ) 10 ( 2 mm Av    mm V d f A S s y v 7745 2799 500 ) 276 ( 1 . 157   
  • 390.
    N d b fc w 229129 ) 500 )( 300 ( 21 3 1 ' 3 1   mm d S250 2 500 2    d b fc V w s ' 3 1  Use S = 250 mm
  • 391.
    Semi-Final Exam 1. Asquare concrete column has a dimension of 400 mm by 400 mm. The column length is 4.5 m and is to be used in a frame braced against sidesway ( k =1.0, EI = 40MN.m2). The column is bent in single curvature by ultimate factored moment of 100 kN.m at the top and 120 kN.m at the bottom. The column carries factored axial dead load of 150 kN and factored axial live load of 320 kN. Is slenderness effects be considered in the analysis ? If so, what is the magnified moment capacity of this column ? 2. Solve the previous problem considering the effect of wind loads producing an unfactored axial load of 125 kN an unfactored moment of 90 kN.m.
  • 392.
    3. For thecolumn shown in figure, PD = 250 kN, PL = 410kN, MD = 140 kN.m, and ML = 152 kN.m. The column belongs to a braced frame and is bent in single curvature about the x axis by equal moments at each end of the member . The unsupported length is 6 m. fc’ = 20.7 MPa, fy = 413.7 MPa . Determine the following : a) Critical load Pc 500 mm 350 mm 8 of 28 mm 350 mm b) Magnified moment
  • 393.
    Solution to #1 m kN Mb . 120 2  m kN M b . 100 1   mm h r 120 ) 400 ( 3 . 0 3 . 0    mm m Lu 4500 5 . 4   5 . 37 120 ) 4500 ( 1   r kLu 24 120 100 12 34 12 34 2 1     B B M M B B u M M r kL 2 1 12 34   Column is Long 0 2  s M + since the column is bent in single curvature
  • 394.
    933 . 0 120 100 4 . 0 6 . 0 4 . 0 6 . 0 2 1      b b m M M C kN Pu 470 320 150    kN N kL EI P u c5 . 495 , 19 515 , 495 , 19 )} 5 . 4 )( 1 {( ) 10 ( 40 ) ( 2 6 2 2 2       967 . 0 ) 5 . 19495 ( 7 . 0 470 1 933 . 0 1      c u m b P P C   m kN M M M s s c b b c . 04 . 116 ) 0 ( ) 120 ( 967 . 0 2 2        
  • 395.
    ] 7 . 1 7 . 1 4 . 1 [ 75 . 0 2 W L D s M M M M   m kN M s . 75 . 114 )] 90 ( 7 . 1 ) 0 ( 7 . 1 ) 0 ( 4 . 1 [ 75 . 0 2     Solution to #2 kN P P L D 470 320 150 ] 7 . 1 4 . 1 [     Specified in the previous problem kN P P P P W L D u 87 . 511 )] 125 ( 7 . 1 470 [ 75 . 0 ] 7 . 1 7 . 1 4 . 1 [ 75 . 0       97 . 0 ) 5 . 19495 ( 7 . 0 87 . 511 1 933 . 0 1      c u m b P P C   m kN M M M s s b b c . 15 . 231 ) 75 . 114 ( 0 . 1 ) 120 ( 97 . 0 2 2          0 . 1 s  Frame is braced against sidesway
  • 396.
    2 2 4926 4 ) 28 ( 8 mm As    Pu=1.4PD +1.7PL = 1047 kN M1b= M2b =1.4MD + 1.7ML = 454.4 kN.m MPa fc Ec 7 . 21383 7 . 20 4700 ' 4700    4 6 3 10 83 . 3645 12 ) 500 ( 350 mm x Ig   4 6 2 2 10 86 . 150 ) 175 ( 4926 mm x z A I s se    MPa Es 200000  Solution to # 3
  • 397.
  • 398.
  • 399.
    Prelim Exam 1. Aconcrete beam 6 m long is 300 mm wide and 500 mm deep and carries a dead load of 7 kN/m and live load of 10 kN/m. The beam is reinforced for tension only with four 20 mm bars with an effective depth to tension bars of 430 mm. fc’ = 20.7 MPa , fy = 345 MPa , fr = 2.832 MPa, Ec = 20,000 MPa, Es = 200,000 MPa, n=10. Covering of bars is 70 mm. a) Calculate the maximum instantaneous deflection due to dead load and live load. b) Calculate the deflection due to the same loads after five years assuming that 30% of the live load is sustained.
  • 400.
    Gross moment ofinertia 4 6 3 3 10 3125 12 ) 500 ( 300 12 mm x bh Ig    m kN mm N x y I f M t g r cr . 4 . 35 . 10 4 . 35 250 10 ) 3125 ( 832 . 2 6 6     b=300 b x 430-x nAs As d=430 2 2 1257 4 ) 20 ( 4 mm As    Transformed section 70
  • 401.
    ) ( 2 2 x d nA x b s  ) 430 )( 1257 ( 10 2 300 2 x x   x x 8 . 83 36034 2   0 36034 8 . 83 2    x x mm x 5 . 152 2 ) 36034 ( 4 ) 8 . 83 ( 8 . 83 2      2 3 2 3 ) 5 . 152 430 )( 1257 ( 10 3 ) 5 . 152 ( 300 ) ( 3       x d nA bx I s cr 4 6 10 6 . 1322 mm x Icr  a) m kN L W M L a . 5 . 76 8 ) 6 )( 17 ( 8 2 2   
  • 402.
    6 3 6 3 10 6 . 1322 5 . 76 4 . 35 1 10 3125 5 . 76 4 . 35 x x Ie                        4 6 10 1 . 1501 mm x Ie  Effectivemoment of inertia cr a cr g a cr e I M M I M M I                          3 3 1 Instantaneous deflection due to live load mm I E L W e c L 55 . 9 ) 10 ( 1 . 1501 ) 20000 ( 384 ) 6000 )( 17 ( 5 384 5 6 4 4    
  • 403.
    b) Long termdeflection Since only 30% l of the live load is sustained m kN WT / 10 ) 10 ( 3 . 0 7    2 ) 0 ( 50 1 2 50 1 '      p   Long term deflection mm L 79 . 20 ) 62 . 5 ( 2 55 . 9 '         mm I E L W e c T 62 . 5 ) 10 ( 1 . 1501 ) 20000 ( 384 ) 6000 )( 10 ( 5 384 5 ' 6 4 4    
  • 404.
    2. Determine theultimate moment capacity of the triangular beam shown in figure. fc’ =20.7 MPa, fy = 345 MPa. 400mm 75 mm 450mm 3 of 16 mm Ac 0.003 s  c 375 - c x a C=0.85fc’Ac T=Asfy 400 - 2a/3 Solution 2 2 2 . 603 4 ) 16 ( 3 mm As    Assume that steel yields at failure( subject to checking) C=T 0.85fc’Ac=Asfy 0.85(20.7)Ac =603.2(345) Ac =11,827.45 mm2
  • 405.
    ax Ac 2 1  475 450  a x 1 . 947 . 0 EQ a x   ) 947 . 0 ( 2 1 45 . 11827a a  mm a 04 . 158  mm a c 93 . 185 85 . 0 04 . 158 1     From the strain diagram c c s   400 003 . 0  2000000 s s f   93 . 185 93 . 185 400 003 . 0 ) 200000 (   s f y s f MPa f   8 . 690 tension steel yields at failure By similar triangles m kN a f A M y s u . 1 . 55 10 ) 3 04 . 158 ] 2 [ 400 ( 345 ) 2 . 603 ( 9 . 0 ) 3 2 400 ( 6      
  • 406.
    2. A reinforcedconcrete T- beam has an effective flange width of 1500 mm span, slab thickness of 100 mm, effective depth of 600 mm and the width of the web is 250 mm. The beam is reinforced with steel of area 4500 mm2. If fc’ = 20.7 MPa and fy= 345 MPa, calculate the ultimate moment capacity. mm mm b fc f A z f y s 100 8 . 58 ) 1500 )( 7 . 20 ( 85 . 0 ) 345 ( 4500 ' 85 . 0     Analyze as wide rectangular beam solution m kN z d f A M y s u . 3 . 797 10 ) 2 8 . 58 600 ( 345 ) 4500 ( 9 . 0 ) 2 ( 6      005 . 0 ) 600 ( 1500 4500    bd A p s 0275 . 0 345 ) 345 600 ( ) 600 ( 85 . 0 ) 7 . 20 ( 85 . 0 ) 600 ( 600 ' 85 . 0 1      y y b f f fc p  p p p b    0206 . 0 75 . 0 max tension steel yields at failure
  • 407.
    2. A doublyreinforced rectangular concrete beam has b =350 mm,d =600mm, fc’=27.5 MPa, fy = 345 MPa, As =3625 mm2, As’ = 775mm2 ,covering for tension and compression bars 80 mm and 63 mm respectively. If the beam is an interior span of a three span continuous beam supporting a service dead load of 20 kN/m (weight included) determine the maximum uniformly distributed live load it can support on an average clear span of 5.0 m. Use NSCP moment coeffecients. mm b fc f A a y s 18 . 120 350 ) 5 . 27 ( 85 . 0 ) 345 ( 2850 ' 85 . 0 1    y s f MPa a d a f       65 . 332 18 . 120 )]) 63 ( 85 . 0 [ 18 . 120 ( 600 ) ( 600 ' 1 '  2 1 2850 775 3625 ' mm As As As      Compression steel does not yield at failure ∑Fx =0 0.85fc’ab + As’fs’ = Asfy 0.85(27.5)350a + 775fs’ = 3625(345) 10.56a +fs’ = 1613.7 fs’ =1613.7 – 10.56 a EQ.1
  • 408.
    a a a d a fs )]) 63 ( 85 . 0 [ ( 600 ) ( 600 ' 1 '      2 . ) 55 . 53 ( 600 ' EQ a a fs   2 . 1 . EQ EQ  a a a ) 55 . 53 ( 600 56 . 10 7 . 1613    32130 600 56 . 10 7 . 1613 2    a a a 0 32130 7 . 1013 56 . 10 2    a a 0 6 . 3042 96 2    a a mm a 12 . 121 2 ) 6 . 3042 ( 4 ) 96 ( 96 2     12 . 121 ) 55 . 53 12 . 121 ( 600 '   s f y s f MPa f   7 . 334 ' ) 2 ( 1 1 a d f As Mu y    ) ' ( ' ' 2 d d fs As Mu    6 1 10 ) 2 12 . 121 600 )( 345 ) 2850 ( 9 . 0   Mu m kN Mu . 36 . 477 1  6 2 10 ) 63 600 ( 7 . 334 ) 775 ( 9 . 0   Mu m kN Mu . 36 . 125 2  m kN Mu Mu Mu . 72 . 602 2 1    2 ' max 6 . 6500 ' 75 . 0 mm f fs A bd p A y s b s    0365 . 0 345 ) 345 600 ( ) 600 ( 7 . 334 ) 5 . 27 ( 85 . 0    b p
  • 409.
    2. A cantileverbeam 300 mm wide and 450 mm deep is reinforced with 6 of 22 mm straight top bars with fc’ = 20.7 MPa and fy = 415 MPa. Calculate required development length. 1. A rectangular beam with b = 300 mm, d = 500 mm is provided with 10 mm vertical stirrups with fy = 276 MPa. Assuming fc’ = 21 MPa; a) Determine the required spacing if Vu = 42 kN b) Determine the required spacing if Vu = 95 kN Concrete Design Midterm Exam 3. A rectangular beam 350 mm wide and 600 mm deep is reinforced with 4 of 32 mm compression bars with fc’ = 20.7 MPa and fy = 275 MPa. Calculate the required development length. 4. Calculate the ultimate axial load capacity of the composite column shown below .fc’=21 MPa, Fy=250 MPa,fy =350MPa. Reinforcing bars consist of 8 of 20 mm diameter bars. W10 x 150 400 mm 400 mm 5. Design a circular spiral column to support an axial dead load of 800 kN and axial live load of 950 kN. fc’ =20.7 MPa, fy = 345 MPa.
  • 410.
    4. Calculate theultimate axial load capacity of the composite column shown below .fc’=21 MPa, Fy=250 MPa,fy =350MPa. Reinforcing bars consist of 8 of 20 mm diameter bars. W10 x 150 400 mm 400 mm 5. Design a circular spiral column to support an axial dead load of 800 kN and axial live load of 950 kN. fc’ =20.7 MPa, fy = 345 MPa.
  • 411.
    For the simplysupported beam shown in figure below, investigate whether the bars size is satisfactory for the required development length. The beam is reinforced with 4 of 22 mm bars . fc’ = 20 MPa and fy = 350 MPa, Vu = 240 kN. The beam is made up of normal sand concrete and the reaction produces compression on concrete. 250mm 500 mm 150 mm 4. A simply supported reinforced concrete beam 230 mm wide with an effective depth of 500 mm has a span of 6m. The beam carries a dead load of 9 kN/m ( including its own weight) and live load of 18 kN/m applied throughtout its entire span. Determine the required spacing of 10 mm stirrups. fc’ = 28 MPa ,fy= 345 MPa.
  • 412.
    Concrete Design :Prelim Exam 1. A doubly reinforced rectangular concrete beam has b =350 mm,d =600mm, fc’=27.5 MPa, fy = 345 MPa, As =3625 mm2, As’ = 775mm2 ,covering for tension and compression bars 80 mm and 63 mm respectively. Determine the ultimate moment capacity. 2. A reinforced concrete T- beam has an effective flange width of 1500 mm span, slab thickness of 100 mm, effective depth of 600 mm and the width of the web is 250 mm. The beam is reinforced with steel of area 4500 mm2. If fc’ = 20.7 MPa and fy= 345 MPa, calculate the ultimate moment capacity. 3. Determine the ultimate moment capacity of the triangular beam shown in figure. fc’ =20.7 MPa, fy = 345 MPa. 400mm 75 mm 3 of 16 mm 450mm
  • 413.
    4. Determine theultimate moment capacity of the irregular beam shown in figure. fc’ =20.7 MPa, fy = 345 MPa. 400mm 75 mm 3 of 16 mm 450mm 150 mm
  • 414.
    3P 2P 3. A350 mm x 600 mm rectangular beam is reinforced for tension only . The beam has an effective depth of 530 mm. The beam carries a uniform dead load of 7.5 kN/m ( including its own weight), a uniform live load of 5.6 kN/m, and a concentrated dead load of 2P and 3P as shown in the figure. fc’ =34.5MPa, fy = 414 MPa. Determine the following : a) Ultimate moment capacity in kN.m b) the maximum value of P in kN 3m 3m 2m 600 mm 350 mm 6 of 28mm 350 mm 6 of 28mm 600 mm
  • 415.
    1. A concretebeam 6 m long is 300 mm wide and 500 mm deep and carries a dead load of 7 kN/m and live load of 10 kN/m. The beam is reinforced for tension only with four 20 mm bars with an effective depth to tension bars of 430 mm. fc’ = 20.7 MPa , fy = 345 MPa , fr = 2.832 MPa, Ec = 20,000 MPa, Es = 200,000 MPa, n=10. Covering of bars is 70 mm. a) Calculate the maximum instantaneous deflection due to dead load and live load. b) Calculate the deflection due to the same loads after five years assuming that 30% of the live load is sustained. Structural Design 2 Midterm Exam 2. Design the reinforcement of a rectangular beam to resist a dead load moment of 200 kN.m(including its own weight) and a live load moment of 300 kN.m . The beam is limited in size to 350 mm by 600mm overall depth. Steel covering ( from centroid of bars to outermost fiber is 100 mm for both tension and compression reinforcement. Use fc’ = 27.5 MPa, fy = 414 MPa 3. A reinforced concrete T-beam with d = 550 mm, bw = 300 mm , slab thickness is 100 mm , span 4.8 m long and spaced 3 m on centers. The beam support a service dead load moment of 400 kN.m (including its weight) and service live load moment of 500 kN.m. If fc’=27.5 MPa, fy = 414 MPa , determine the required steel area.
  • 416.
    2. A cantileverbeam 300 mm wide and 450 mm deep is reinforced with 6 of 22 mm straight top bars with fc’ = 20.7 MPa and fy = 415 MPa. Calculate required development length. 1. A rectangular beam with b = 300 mm, d = 500 mm is provided with 10 mm vertical stirrups with fy = 276 MPa. Assuming fc’ = 21 MPa; a) Determine the required spacing if Vu = 42 kN b) Determine the required spacing if Vu = 95 kN Concrete Design Semi-Final Exam 3. A rectangular beam 350 mm wide and 600 mm deep is reinforced with 4 of 32 mm compression bars with fc’ = 20.7 MPa and fy = 275 MPa. Calculate the required development length. 4. A simply supported reinforced concrete beam 300 mm wide with an effective depth of 550 mm has a span of 6m. The beam carries a dead load of 12 kN/m ( including its own weight) and live load of 24 kN/m applied throughtout its entire span. Determine the required spacing of 10 mm stirrups. fc’ = 28 MPa ,fy= 345 MPa.
  • 417.
    5. Calculate theultimate axial load capacity of the composite column shown below .fc’=21 MPa, Fy=250 MPa,fy =350MPa. Reinforcing bars consist of 8 of 20 mm diameter bars. W10 x 150 400 mm 400 mm
  • 418.
    2. A cantileverbeam 300 mm wide and 450 mm deep is reinforced with 6 of 20 mm straight top bars with fc’ = 20.7 MPa and fy = 345 MPa. Calculate required development length. 1. A rectangular beam with b = 300 mm, d = 500 mm is provided with 10 mm vertical stirrups with fy = 276 MPa. Assuming fc’ = 21 MPa; a) Determine the required spacing if Vu = 60 kN b) Determine the required spacing if Vu = 90 kN Concrete Design Semi-Final Exam 3. A rectangular beam 350 mm wide and 600 mm deep is reinforced with 4 of 30 mm compression bars with fc’ = 20.7 MPa and fy = 275 MPa. Calculate the required development length.  4. A circular spiral column 350 mm in diameter is reinforced with 8 of 20 mm bars with fc’ = 20.7 MPa and fy = 345 MPa. Determine the following : a) ultimate axial load capacity of the column. b) the spacing of 10 mm spirals assuming clear covering of 40 mm
  • 419.
    5. Calculate theultimate axial load capacity of the composite column shown below .fc’=21 MPa, Fy=348 MPa,fy =400MPa. Reinforcing bars consist of 8 of 20 mm diameter bars. W10 x 150 450 mm 450 mm W10 x 150 A = 40000 mm2
  • 420.
    1. Calculate theultimate axial load capacity of the composite column shown below .fc’=21 MPa, Fy=250 MPa,fy =350MPa. Reinforcing bars consist of 8 of 20 mm diameter bars. W10 x 150 400 mm 400 mm 2. A circular spiral column 400 mm in diameter is reinforced with 8 of 25 mm bars with fc’ = 20.7 MPa and fy = 345 MPa. Determine the following : a) ultimate axial load capacity of the column. b) the spacing of 10 mm spirals assuming clear covering of 40 mm
  • 421.
    3. . The columnshown is reinforced with 6 of 25 mm diameter bars. If fc’ = 21 MPa, fy = 345 MPa determine Pnb, eb and Mnb. 400 mm 65 mm 65 mm 500 mm Axis of bending .4. If The column shown in problem 3 has an eccentricity of 260 mm , determine Pu and Mu. All data remain unchanged.
  • 422.
    1. A squareconcrete column has a dimension of 400 mm by 400 mm. The column length is 4.5 m and is to be used in a frame braced against sidesway ( k =1.0, EI = 40MN.m2). The column is bent in single curvature by ultimate factored moment of 100 kN.m at the top and 120 kN.m at the bottom. The column carries factored axial dead load of 150 kN and factored axial live load of 320 kN. Is slenderness effects be considered in the analysis ? If so, what is the magnified moment capacity of this column ? 2. The column shown is reinforced with 6 of 25 mm diameter bars. If fc’ = 21 MPa, fy = 345 MPa determine Pnb, eb and Mnb. 400 mm 65 mm 65 mm 500 mm Axis of bending
  • 423.
    4. For thecolumn shown in figure, PD = 250 kN, PL = 410kN, MD = 140 kN.m, and ML = 152 kN.m. The column belongs to a braced frame and is bent in single curvature about the x axis by equal moments at each end of the member . The unsupported length is 6 m. fc’ = 20.7 MPa, fy = 413.7 MPa . Determine the following : a) Critical load Pc 500 mm 350 mm 8 of 28 mm 350 mm b) Magnified moment 3. If The column shown in problem 3 has an eccentricity of 260 mm , determine Pu and Mu. All data remain unchanged.