Statistical Mechanics
Statistical Distribution
This determines the most probable way in which a certain total
amount of energy ‘E’ is distributed among the ‘N’ members of
a system of particles in thermal equilibrium at absolute
temperature, T.
 Thus Statistical Mechanics reflects overall behavior of system
of many particles.
Suppose n(є) is the no. of particles having energy, є
   then    n(ε ) = g (ε ) f (ε )
 where      g(є) = no. of states of energy є or statistical weight
               corresponding to energy є
          f(є) = distribution function
               = average no. of particles in each state of energy є
               = probability of occupancy of each state of energy є
Statistical Distribution are of three kinds
1. Identical particles that are sufficiently far apart to be
   distinguishable.
   Example: molecules of a gas.
   Negligible overlapping of ψ
   Maxwell-Boltzmann Statistics
2. Indistinguishable identical particles of ‘0’ or integral spin.
   Example: Bosons (don’t obey the exclusion principle)
   Overlapping of ψ
   Bose-Einstein Statistics
3.     Indistinguishable identical particles with odd-half integral spin
      (1/2, 3/2, 5/2 ..).
      Example: Fermions (obey the exclusion principle)
      Fermi-Dirac Statistics
Maxwell-Boltzmann Statistics
                   (Classical Approach)
According to this law number of identical and distinguishable
particles in a system at temperature, T having energy є is

n(є) = (No. of states of energy є).(average no. of particles in a

                                    −ε   state of energy є)
               n(ε ) = g (ε ). Ae        kT
                                                 (i)
                                                     −ε
    Here A is a constant and    f M . B. (ε ) = Ae        kT



Equation (i) represents the Maxwell-Boltzmann Distribution Law

 This law cannot explain the behavior of photons (Black body
radiation) or of electrons in metals (specific heat, conductivity)
Applications of M.B. Statistics
(i) Molecular energies in ideal gas
No. of molecules having energies between є and є + dє is given
 by
           n(ε )dε = {g (ε )dε }{ f (ε )}
                                  −ε
               n(ε ) = Ag (ε )e        kT
                                            dε   (i)

The momentum of a molecule having energy є is given by
                                    mdε
            p = 2mε          ⇒ dp =
                                    2mε
  No. of states in momentum space having momentum between
  p and p + dp is proportional to the volume element i.e.
                       α ∫ ∫ ∫ dp x dp y dp z
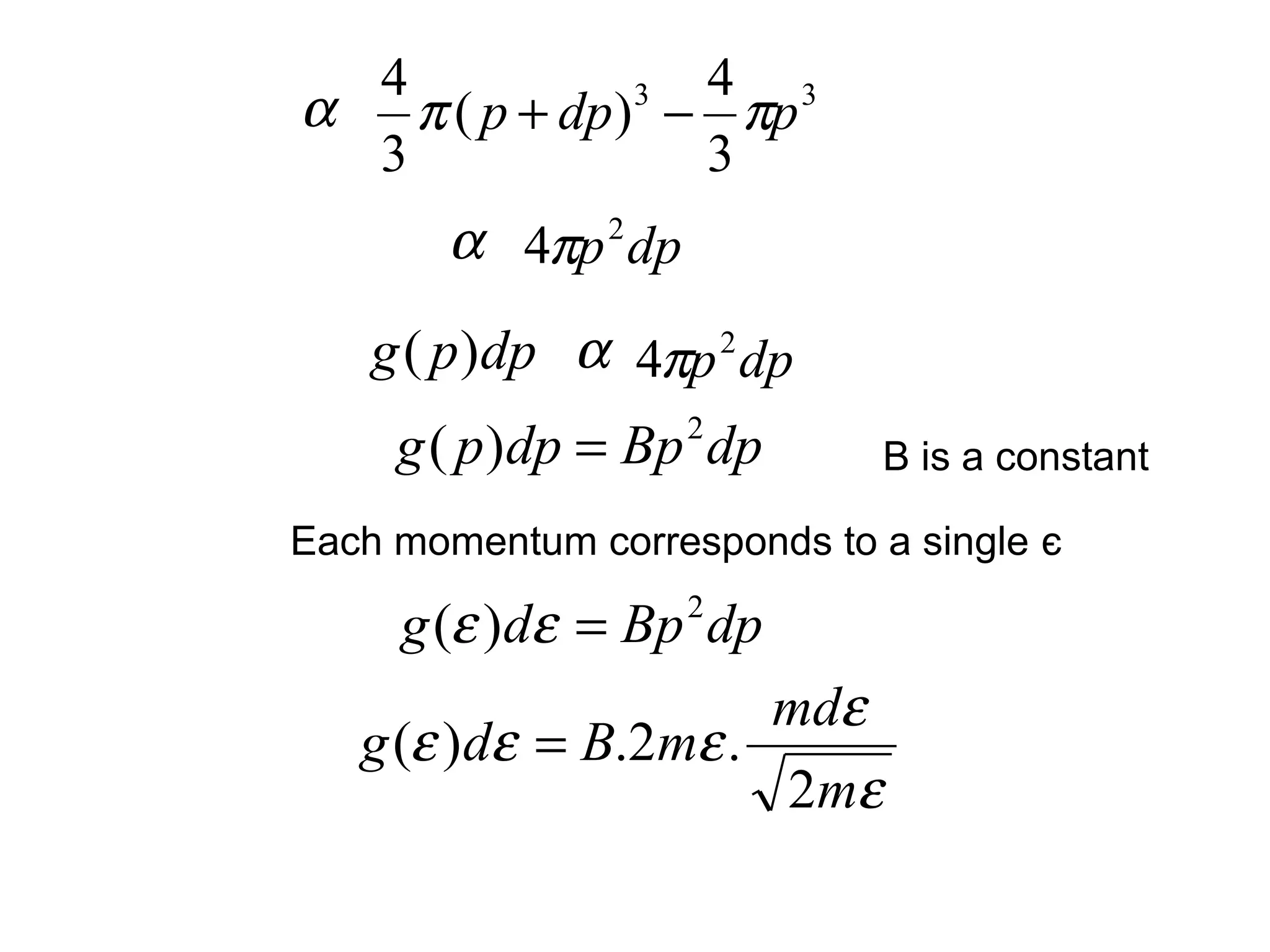
4             4 3
α π ( p + dp ) − πp
              3

  3             3
       α 4πp 2 dp
    g ( p )dp α 4πp 2 dp
     g ( p )dp = Bp 2 dp     B is a constant

Each momentum corresponds to a single є

     g (ε )dε = Bp dp
                    2


                      mdε
   g (ε )dε = B.2mε .
                      2mε
g (ε )dε = 2m 3 / 2 B ε dε
             Put in (i)
No. of molecules with energy between є and є + dє
                                           −ε
        n(ε )dε = 2m BA ε e
                          3/ 2                  kT


                                 −ε
            n(ε )dε = C ε e           kT                       (ii)


 Total No. of molecules is N
               ∞                 ∞
          N = ∫ n(ε )dε = C ∫ ε e
                                                −ε
                                                     kT
                                                          dε
               0                 0
∞
     Using identity                1 π
                       ∫ x e dx = 2a a
                           1
                               2   − ax

                       0
                            2πN
                      C=
                          (πkT ) 2
                                3




       Put value of C in equation (ii)
                        2πN       −ε
            n(ε )dε =          ε e kT dε
                      (πkT ) 2
                            3



  This equation gives the number of molecules with energies
between є and є + dє in a sample of an ideal gas that
contains N molecules and whose absolute temperature is T. It
is called molecular energy distribution equation.
n(є)




           0   kT    2kT    3kT
    Maxwell-Boltzmann energy distribution curve for the
molecules of an ideal gas.
Average Molecular Energy
                                              ∞
 Total energy of the system               E = ∫ εn(ε )dε
                                              0
                                     ∞
               2πN
                   3 ∫
                             −ε
          E=            ε e kT dε
                         3
                           2

             (πkT ) 2 0
  Using    ∞
                                        3    π
           ∫x
                            − ax
                                   dx = 2
                3
                    2
                        e
           0
                                       4a    a

          2πN                      3            
     E=                             4 (kT ) πkT 
                                            2

        (πkT ) 2
              3
                                                
3
                 E = NkT
                    2
                               −   E
Average energy per molecule   =ε =
                                   N
                   −
                        3
                  ε    = kT
                        2
This is the average molecular energy and is independent
of the molecular mass
At Room Temperature its value is 0.04 eV.
Equipartition of Energy: Equipartition Theorem

Average Kinetic Energy associated with each degree of freedom
of a molecule is   1
                        kT
                    2

          Distribution of molecular speed
                    1 2
         K .E. ⇒ ε = mv
                    2
               ⇒ dε = mvdv
Put this in molecular energy distribution equation
3
                      m  2 2 −mv2 2 kT
       n(v)dv = 4πN        ve          dv
                     2πkT 
    It is called molecular speed distribution formula.

 RMS Speed
                              −
                     vrms = v  2


It is the square root of the average squared molecular speed
                 −  1 −2 3
                 ε = m v = kT
                    2     2
                              3kT
                     vrms   =
                               m
Average Speed
                                     ∞
                    −  1
                    v = ∫ vn(v)dv
                       N0
                                         3
                                                 ∞
                m 
                                             2
                                                         −mv 2
          = 4π                                  ∫v e
                                                     3
                                                                2 kT
                                                                        dv
                2πkT                           0

            ∞
                                          1
            ∫x e
                        3 − ax 2
 Using                               dx = 2
                0
                                         2a
                             3
    −
            m 
                                 2
                                       4k T     2   2
                                                            8kT
    v = 4π                         .
                                       2m 2              =
                                                         
            2πkT                                         πm
Most Probable Speed
                                   3
                   m  2 −mv2 2 kT
                                       2

       n(v) = 4πN        ve
                   2πkT 

                                           [   ]
                       3
   dn(v)        m  d 2 −mv2 2 kT
                           2

         = 4πN           ve      =0
    dv          2πkT  dv
                               3
                  m 
                                   2

             4πN        ≠0
                  2πkT 


    dv
       [
       ve       ]
    d 2 −mv2 2 kT
                  =0           ⇒ vp =
                                      2kT
                                       m
vmost probable = vp
                                   −
                                  v
       n(v)
                                  vrms



                                              v
              M.B. Speed Distribution Curve

(i) Speed distribution is not symmetrical
                −
(ii)    v p < v < vrms
                    2kT   8kT   3kT
                        <     <
                     m    πm     m
Variation in molecular speed with ’T’ and ‘ molecular mass’




  This curve suggests that most probable speed α T
  Also the most probable speed α 1/m
Quantum Statistics (Indistinguishable identical particles)

      Bosons                               Fermions

 1. ‘0’ or integral spin       1. Odd half integral spin
 2. Do not obey exclusion      2. Obey exclusion principle
    principle
 3. Symmetric wave function    3. Anti-symmetric wave function

 4. Any number of bosons       4. Only one fermion
    can exist in the same         can exist in a particular
    quantum state of the          quantum state of the
    system                        system
Consider a system of two particles, 1 and 2, one of which is in
  state ‘a’ and the other in state ‘b’.
  When particles are distinguishable then
                   ψ ' = ψ a (1)ψ b (2)
                   ψ " = ψ a (2)ψ b (1)
 When particles are indistinguishable then

                   1
 For Bosons, ψ B =    [ψ a (1)ψ b (2) +ψ a (2)ψ b (1)]
                    2
                                                    symmetric
                   1
For Fermions,ψ F =    [ψ a (1)ψ b (2) −ψ a (2)ψ b (1)]
                    2
                                                  anti-symmetric
ψF becomes zero when ‘a’ is replaced with ‘b’ i.e.
          1
     ψF =    [ψ a (1)ψ a (2) −ψ a (2)ψ a (1)] = 0
           2
 Thus two Fermions can’t exist in same state (Obey Exclusion
Principle)
Bose-Einstein Statistics
Any number of particles can exist in one quantum state.
Distribution function can be given by

                                            1
                    f B. E . (ε ) =   α     ε
                                      e e       kT
                                                     −1
where α may be a function of temperature, T.

    For Photon gas      α = 0 ⇒ eα = 1
 -1 in denominator indicates multiple occupancy of an energy
state by Bosons
Bose-Einstein Condensation
If the temperature of any gas is reduced, the wave packets grow
larger as the atoms lose momentum according to uncertainty
principle.
When the gas becomes very cold, the dimensions of the wave
packets exceeds the average atomic spacing resulting into
overlapping of the wave packets. If the atoms are bosons,
eventually, all the atoms fall into the lowest possible energy
state resulting into a single wave packet. This is called Bose-
Einstein condensation.
 The atoms in such a Bose-Einstein condensate are barely
moving, are indistinguishable, and form one entity – a
superatom.
Fermi-Dirac Statistics
Obey Pauli’s exclusion Principle
Distribution function can be given by
                                                1
                         f F .D. (ε ) =   α     ε
                                          e e       kT
                                                         +1
f (є) can never exceed 1, whatever be the value of α, є and T. So
 only one particle can exist in one quantum state.

    α is given by
                          εF
                     α =−
                          kT
     where   εF   is the Fermi Energy
then
                                          1
             f F .D. (ε ) =       ( ε −ε F )
                              e                kT
                                                    +1
Case I:
          T=0
              (ε − ε F ) kT = −∞                         For є < єF

              (ε − ε F ) kT = +∞                         For є > єF

For є < єF
                                     1
             f F .D. (ε ) =       −∞
                                                    =1
                              e          +1
For є > єF
                                    1
             f F .D. (ε ) =       +∞
                                                    =0
                              e         +1
Thus at T = 0, For є < єF all energy states from є = 0 to єF
are occupied as
                     f F .D. (ε ) = 1
Thus at T = 0, all energy states for which є > єF are vacant.

                    f F . D. (ε ) = 0
  Case II:
             T>0
  Some of the filled states just below єF becomes vacant while
  some just above єF become occupied.
Case III:
                At є = єF
                                      1   1
                    f F . D. (ε ) = 0   =         For all T
                                   e +1 2
Probability of finding a fermion (i.e. electron in metal) having
energy equal to fermi energy (єF) is ½ at any temperature.

f F . D. (ε )
                                   0K
          1


       0.5                              10000 K

                                   1000 K
          0
                       1      єF                       Є (eV)
Electromagnetic Spectrum


                                           visible
microwaves              infrared            light ultraviolet      x-rays




         1000     100          10      1           0.1          0.01


 Low                                                             High
Energy                                                          Energy
                              λ (µm)
Black Body Radiation

   All objects radiate electromagnetic energy continuously
regardless of their temperatures.
  Though which frequencies predominate depends on the
temperature.
At room temperature most of the radiation is in infrared part
of the spectrum and hence is invisible.
The ability of a body to radiate is closely related to its ability
to absorb radiation.
  A body at a constant temperature is in thermal equilibrium
with its surroundings and must absorb energy from them at
the same rate as it emits energy.
A perfectly black body is the one which absorbs completely
all the radiation, of whatever wavelength, incident on it.
  Since it neither transmits any radiation, it appears black
whatever the color of the incident radiation may be.
There is no surface available in practice which will absorb all
the radiation falling on it.




  The cavity walls are constantly emitting and absorbing
radiation, and this radiation is known as black body
radiation.
Characteristics of Black Body Radiation

(i) The total energy emitted per second
per unit area (radiancy E or area under
curve) increases rapidly with increasing
temperature.
 (ii) At a particular temperature, the
spectral radiancy is maximum at a
particular frequency.
(iii) The frequency (or wavelength, λm)
for    maximum     spectral   radiancy
decreases in direct proportion to the
increase in temperature. This is called
“Wien’s displacement law”
                   λm ×T = constant (2.898 x 10-3 m.K)
Planck’s Radiation Law
Planck assumed that the atoms of the walls of cavity radiator
behave as oscillators with energy
           ε n = nhv         n = 0,1,2,3....
The average energy of an oscillator is
                −  ε
                ε=             N is total no. of Oscillators
                   N
                    −     hv
                    ε = hv kT                  (i)
                       e −1
 Thus the energy density (uv) of radiation in the frequency
range v to v + dv is
                                8πv dv −
                                 2
                        uv dv =     3
                                      ×ε
                                  c
8πv 2 dv  hv 
          uv dv =     3     hv kT 
                    c       e −1 
                    8πhv 3 dv
            uv dv =    3
                      c e kT − 1
                           hv




This is Planck’s Radiation formula in terms of frequency.

 In terms of wavelength

                   8πhc dλ
            uλ dλ = 5 hc
                    λ e λkT − 1
 This is Planck’s Radiation formula in terms of wavelength.
Case I : (Rayleigh-Jeans Law)
                    8πhc dλ
             uλ dλ = 5 hc
                     λ e λkT − 1
                            hc               hc
 When λ is large then   e        λkT
                                       ≈ 1+
                                            λkT
                  8πhc
    u λ dλ =                dλ
              5    hc    
             λ 1 +    − 1
                λkT 
               8πkT
       u λ dλ = 4 dλ                      This is Rayleigh-Jeans
                λ                       Law for longer λ’s.
Case II : (Wein’s Law)
                    8πhc dλ
             uλ dλ = 5 hc
                     λ e λkT − 1
                                 hc
 When λ is very small then   e        λkT
                                            >> 1
                    8πhc −hc λkT
            u λ dλ = 5 e         dλ
                     λ
      This is Wein’s Law for small λ’s.

               A B λkT
      u λ dλ = 5 e dλ                        This is another form of
              λ                             Wein’s Law..
      Here A and B are constants.
Stefan’s Law
Planck’s Radiation formula in terms of frequency is

                      8πhv 3 dv
              uv dv =    3
                        c e kT − 1
                             hv




              c         2πhv 3 dv
                uv dv =    2
                          c e kT − 1
                               hv
              4
 The spectral radiancy Ev is related to the energy density uv by
                           c
                      Ev = u v
                           4
                         2πh v dv
                               3
                 Ev dv = 2 hv
                          c e kT − 1
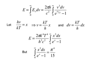
∞                  ∞
                     2πh v 3 dv
        E = ∫ Ev dv = 2 ∫ hv
            0
                      c 0 e kT − 1

      hv        kT                                  kT
Let      =x ⇒v=    x                     and   dv =    dx
      kT         h                                   h
                           4 ∞
                2πk T  4
                              x dx   3
              E= 3 2
                 hc         ∫ ex −1
                            0
                  ∞
                    x 3 dx π 4
        But
                  ∫ e x − 1 = 15
                  0
2π 5 k 4 4
           E=     3 2
                      T
              15h c

       2π 5 k 4
 Let
           3 2
                = σ (Stefan’s constant)
       15h c
                E = σT 4


          This is Stefan’s Law.

          2π 5 k 4
Here   σ=     3 2      = 5.67 x 10-5 erg/(cm2.sec.K4)
          15h c
                       = 5.67 x 10-8 W/(m2.K4)
Wein’s Displacement Law
Planck’s Radiation formula in terms of frequency is
                    8πhc  1
                uλ = 5 hc
                     λ e λkT − 1
             d (uλ )               λ = λmax
     Using           =0     for
               dλ
                   hc
                        =    Constant
                 kTλmax
              λm ×T = constant (2.898 x 10-3 m.K)
   Peaks in Black Body radiation shifts to shorter wavelength
   with increase in temperature.
Specific Heat of Solids
Atoms in solid behave as oscillators.
 In case of solids total average energy per atom per degree
of freedom is kT (0.5kT from K.E. and 0.5kT from P.E.).
  Each atom in the solid should have total energy = 3kT (3
degrees of freedom).
For one mole of solid, total energy, E = 3N okT (classically)
Here No is the Avogadro number.
                                   E = 3RT
Specific heat at constant volume is
                        ∂E 
                  Cv =      = 3R          ~ 6 kcal/kmol.K
                        ∂T V
                This is Dulong & Petit’s Law.
This means that atomic specific heat (at constant volume)
for all solids is approx 6 kcal/kmol.K and is independent of
T.




Dulong and Petit’s Law fails for light elements such as B, Be
and C.
Also it is not applicable at low temperatures for all solids.
Einstein’s theory of Specific Heat of Solids
  According to it the motion of the atoms in a solid is oscillatory.
  The average energy per oscillator atom) is
                       −    hv
                      ε = hv kT
                         e −1
   The total energy for one mole of solid in three degrees of
freedom.
                                 hv
                    E = 3 N o hv
                             e kT − 1
                                            ∂E 
The molar specific heat of solid is   Cv =     
                                            ∂T V
hv                   2
              hv  e
                                                                hv
                                           hv    e
                                      kT                             kT

Cv = 3 N o hv 2  hv            = 3N o k  
               kT  (e kT − 1) 2                          hv
                                          kT  (e − 1) 2     kT



                                           2   hv
                      hv     e kT
              Cv = 3R  hv
                      kT  (e kT − 1) 2
          This is Einstein’s specific heat formula.

Case I:
          At high T, kT >> hv then

                           hv              hv
                       e        kT
                                      ≈ 1+
                                           kT
 hv 
                          2   1 +   
                     hv   kT 
           Cv ≈ 3 R  
                     kT   hv  2
                            1 +   − 1
                             kT 
                              hv 
                   C v ≈ 3 R 1 + 
                              kT 

                        Cv ≈ 3R          (∴ kT >> hv)
This is in agreement with Dulong & Petit’s Law at high T.
Case II:                                      hv
            At low T, hv >> kT then       e        kT
                                                        >> 1
                                      2
                            hv  −hv kT
                  Cv ≈ 3 R   e
                            kT 
  This implies that as   T → 0, Cv → 0
   i.e. is in agreement with experimental results at low T.
Free electrons in a metal
 Typically, one metal atom gives one electron.
 One mole atoms gives one mole of free electrons, (N o)
 If each free electron can behave like molecules of an ideal gas.
 Then
                                             3        3
 Average K.E. for 1 mole of electron gas,Ee = N o kT = RT
                                             2        2
                                                    ∂Ee   3
Molar specific heat of electron gas,   ( Cv ) e   =      = R
                                                    ∂T V 2
Then total specific heat in metals at high T should be
                                3   9
                      Cv = 3 R + R = R
                                2   2
But experimentally at high T      Cv ≈ 3 R
⇒   Free electrons don’t contribute in specific heat,
       Why?

    Electrons are fermions and have upper limit on the occupancy
    of the quantum state.
      By definition highest state of energy to be filled by a free
    electron at T = 0 is obtained at є = єF
 The no. of electrons having energy є is

       εF
                                           8 2πVm
                                                        3
                                                            2

N = ∫ g (ε )dε        where     g (ε )dε =                      ε dε
        0
                                              h3
                       Here V is the volume of the metal
εF
   8 2πVm                             16 2πVm 2 3 2
                3                               3
                    2

N=
      h3                ∫
                        0
                             ε dε   =
                                         3h 3
                                               εF

                                      3
                              2
                    h  3N               2

             ⇒ εF =                           (i)
                    2m  8πV 
where N/V is the density of free electrons.

          Electron energy distribution
No. of electrons in the electron gas having energy between є
 and є + dє is

                    n(ε )dε = g (ε ) f (ε )dε
8 2πVm       ε 2 ε
                              3            3
                                  2

        n(ε )dε =          ( ε −ε F ) / kT
                                              dε
                     h 3
                         e                 +1
       using (i)
                                      −3
                     3N  ε 2 ε
          n(ε )dε =      (ε −ε F ) / kT    dε
                     2 e                +1
  This is electron energy distribution formula, according to
which distribution of electrons can be found at different
temperatures.
When a metal is heated
then only those electrons
which are near the top of
the fermi level (kT of the
Fermi     energy)      are
excited to higher vacant
energy states.
kT = 0.0025 eV at 300K
kT = 0.043 eV at 500K

  The electrons in lower energy states cannot absorb more
 energy because the states above them are already filled.
  This is why the free electrons contribution in specific heat is
 negligible even at high T.
Average electron energy at 0K
 Total energy at 0K is              εF
                             Eo = ∫ εn(ε )dε
                                     0
 Since at 0K all electrons have energy less than or equal to єF

                         e (ε −ε F ) / kT = e −∞ = 0
                                         εF
                       3 N −3 2 3 2                       3N
                  Eo =    ε F ∫ ε dε                    =    εF
                        2      0                           5
Then average electron energy

                  −  Eo 3
                 ε o  = = εF                 at 0K.
                   N 5

Statistical mechanics

  • 1.
  • 2.
    Statistical Distribution This determinesthe most probable way in which a certain total amount of energy ‘E’ is distributed among the ‘N’ members of a system of particles in thermal equilibrium at absolute temperature, T. Thus Statistical Mechanics reflects overall behavior of system of many particles. Suppose n(є) is the no. of particles having energy, є then n(ε ) = g (ε ) f (ε ) where g(є) = no. of states of energy є or statistical weight corresponding to energy є f(є) = distribution function = average no. of particles in each state of energy є = probability of occupancy of each state of energy є
  • 3.
    Statistical Distribution areof three kinds 1. Identical particles that are sufficiently far apart to be distinguishable. Example: molecules of a gas. Negligible overlapping of ψ Maxwell-Boltzmann Statistics 2. Indistinguishable identical particles of ‘0’ or integral spin. Example: Bosons (don’t obey the exclusion principle) Overlapping of ψ Bose-Einstein Statistics 3. Indistinguishable identical particles with odd-half integral spin (1/2, 3/2, 5/2 ..). Example: Fermions (obey the exclusion principle) Fermi-Dirac Statistics
  • 4.
    Maxwell-Boltzmann Statistics (Classical Approach) According to this law number of identical and distinguishable particles in a system at temperature, T having energy є is n(є) = (No. of states of energy є).(average no. of particles in a −ε state of energy є) n(ε ) = g (ε ). Ae kT (i) −ε Here A is a constant and f M . B. (ε ) = Ae kT Equation (i) represents the Maxwell-Boltzmann Distribution Law This law cannot explain the behavior of photons (Black body radiation) or of electrons in metals (specific heat, conductivity)
  • 5.
    Applications of M.B.Statistics (i) Molecular energies in ideal gas No. of molecules having energies between є and є + dє is given by n(ε )dε = {g (ε )dε }{ f (ε )} −ε n(ε ) = Ag (ε )e kT dε (i) The momentum of a molecule having energy є is given by mdε p = 2mε ⇒ dp = 2mε No. of states in momentum space having momentum between p and p + dp is proportional to the volume element i.e. α ∫ ∫ ∫ dp x dp y dp z
  • 6.
    4 4 3 α π ( p + dp ) − πp 3 3 3 α 4πp 2 dp g ( p )dp α 4πp 2 dp g ( p )dp = Bp 2 dp B is a constant Each momentum corresponds to a single є g (ε )dε = Bp dp 2 mdε g (ε )dε = B.2mε . 2mε
  • 7.
    g (ε )dε= 2m 3 / 2 B ε dε Put in (i) No. of molecules with energy between є and є + dє −ε n(ε )dε = 2m BA ε e 3/ 2 kT −ε n(ε )dε = C ε e kT (ii) Total No. of molecules is N ∞ ∞ N = ∫ n(ε )dε = C ∫ ε e −ε kT dε 0 0
  • 8.
    Using identity 1 π ∫ x e dx = 2a a 1 2 − ax 0 2πN C= (πkT ) 2 3 Put value of C in equation (ii) 2πN −ε n(ε )dε = ε e kT dε (πkT ) 2 3 This equation gives the number of molecules with energies between є and є + dє in a sample of an ideal gas that contains N molecules and whose absolute temperature is T. It is called molecular energy distribution equation.
  • 9.
    n(є) 0 kT 2kT 3kT Maxwell-Boltzmann energy distribution curve for the molecules of an ideal gas.
  • 10.
    Average Molecular Energy ∞ Total energy of the system E = ∫ εn(ε )dε 0 ∞ 2πN 3 ∫ −ε E= ε e kT dε 3 2 (πkT ) 2 0 Using ∞ 3 π ∫x − ax dx = 2 3 2 e 0 4a a 2πN 3  E=  4 (kT ) πkT  2 (πkT ) 2 3  
  • 11.
    3 E = NkT 2 − E Average energy per molecule =ε = N − 3 ε = kT 2 This is the average molecular energy and is independent of the molecular mass At Room Temperature its value is 0.04 eV.
  • 12.
    Equipartition of Energy:Equipartition Theorem Average Kinetic Energy associated with each degree of freedom of a molecule is 1 kT 2 Distribution of molecular speed 1 2 K .E. ⇒ ε = mv 2 ⇒ dε = mvdv Put this in molecular energy distribution equation
  • 13.
    3  m  2 2 −mv2 2 kT n(v)dv = 4πN   ve dv  2πkT  It is called molecular speed distribution formula. RMS Speed − vrms = v 2 It is the square root of the average squared molecular speed − 1 −2 3 ε = m v = kT 2 2 3kT vrms = m
  • 14.
    Average Speed ∞ − 1 v = ∫ vn(v)dv N0 3 ∞  m  2 −mv 2 = 4π  ∫v e 3  2 kT dv  2πkT  0 ∞ 1 ∫x e 3 − ax 2 Using dx = 2 0 2a 3 −  m  2  4k T 2 2  8kT v = 4π   .  2m 2  =   2πkT    πm
  • 15.
    Most Probable Speed 3  m  2 −mv2 2 kT 2 n(v) = 4πN   ve  2πkT  [ ] 3 dn(v)  m  d 2 −mv2 2 kT 2 = 4πN   ve =0 dv  2πkT  dv 3  m  2 4πN   ≠0  2πkT  dv [ ve ] d 2 −mv2 2 kT =0 ⇒ vp = 2kT m
  • 16.
    vmost probable =vp − v n(v) vrms v M.B. Speed Distribution Curve (i) Speed distribution is not symmetrical − (ii) v p < v < vrms 2kT 8kT 3kT < < m πm m
  • 17.
    Variation in molecularspeed with ’T’ and ‘ molecular mass’ This curve suggests that most probable speed α T Also the most probable speed α 1/m
  • 18.
    Quantum Statistics (Indistinguishableidentical particles) Bosons Fermions 1. ‘0’ or integral spin 1. Odd half integral spin 2. Do not obey exclusion 2. Obey exclusion principle principle 3. Symmetric wave function 3. Anti-symmetric wave function 4. Any number of bosons 4. Only one fermion can exist in the same can exist in a particular quantum state of the quantum state of the system system
  • 19.
    Consider a systemof two particles, 1 and 2, one of which is in state ‘a’ and the other in state ‘b’. When particles are distinguishable then ψ ' = ψ a (1)ψ b (2) ψ " = ψ a (2)ψ b (1) When particles are indistinguishable then 1 For Bosons, ψ B = [ψ a (1)ψ b (2) +ψ a (2)ψ b (1)] 2 symmetric 1 For Fermions,ψ F = [ψ a (1)ψ b (2) −ψ a (2)ψ b (1)] 2 anti-symmetric
  • 20.
    ψF becomes zerowhen ‘a’ is replaced with ‘b’ i.e. 1 ψF = [ψ a (1)ψ a (2) −ψ a (2)ψ a (1)] = 0 2 Thus two Fermions can’t exist in same state (Obey Exclusion Principle)
  • 21.
    Bose-Einstein Statistics Any numberof particles can exist in one quantum state. Distribution function can be given by 1 f B. E . (ε ) = α ε e e kT −1 where α may be a function of temperature, T. For Photon gas α = 0 ⇒ eα = 1 -1 in denominator indicates multiple occupancy of an energy state by Bosons
  • 22.
    Bose-Einstein Condensation If thetemperature of any gas is reduced, the wave packets grow larger as the atoms lose momentum according to uncertainty principle. When the gas becomes very cold, the dimensions of the wave packets exceeds the average atomic spacing resulting into overlapping of the wave packets. If the atoms are bosons, eventually, all the atoms fall into the lowest possible energy state resulting into a single wave packet. This is called Bose- Einstein condensation. The atoms in such a Bose-Einstein condensate are barely moving, are indistinguishable, and form one entity – a superatom.
  • 23.
    Fermi-Dirac Statistics Obey Pauli’sexclusion Principle Distribution function can be given by 1 f F .D. (ε ) = α ε e e kT +1 f (є) can never exceed 1, whatever be the value of α, є and T. So only one particle can exist in one quantum state. α is given by εF α =− kT where εF is the Fermi Energy
  • 24.
    then 1 f F .D. (ε ) = ( ε −ε F ) e kT +1 Case I: T=0 (ε − ε F ) kT = −∞ For є < єF (ε − ε F ) kT = +∞ For є > єF For є < єF 1 f F .D. (ε ) = −∞ =1 e +1 For є > єF 1 f F .D. (ε ) = +∞ =0 e +1
  • 25.
    Thus at T= 0, For є < єF all energy states from є = 0 to єF are occupied as f F .D. (ε ) = 1 Thus at T = 0, all energy states for which є > єF are vacant. f F . D. (ε ) = 0 Case II: T>0 Some of the filled states just below єF becomes vacant while some just above єF become occupied.
  • 26.
    Case III: At є = єF 1 1 f F . D. (ε ) = 0 = For all T e +1 2 Probability of finding a fermion (i.e. electron in metal) having energy equal to fermi energy (єF) is ½ at any temperature. f F . D. (ε ) 0K 1 0.5 10000 K 1000 K 0 1 єF Є (eV)
  • 27.
    Electromagnetic Spectrum visible microwaves infrared light ultraviolet x-rays 1000 100 10 1 0.1 0.01 Low High Energy Energy λ (µm)
  • 28.
    Black Body Radiation All objects radiate electromagnetic energy continuously regardless of their temperatures. Though which frequencies predominate depends on the temperature. At room temperature most of the radiation is in infrared part of the spectrum and hence is invisible. The ability of a body to radiate is closely related to its ability to absorb radiation. A body at a constant temperature is in thermal equilibrium with its surroundings and must absorb energy from them at the same rate as it emits energy.
  • 29.
    A perfectly blackbody is the one which absorbs completely all the radiation, of whatever wavelength, incident on it. Since it neither transmits any radiation, it appears black whatever the color of the incident radiation may be. There is no surface available in practice which will absorb all the radiation falling on it. The cavity walls are constantly emitting and absorbing radiation, and this radiation is known as black body radiation.
  • 30.
    Characteristics of BlackBody Radiation (i) The total energy emitted per second per unit area (radiancy E or area under curve) increases rapidly with increasing temperature. (ii) At a particular temperature, the spectral radiancy is maximum at a particular frequency. (iii) The frequency (or wavelength, λm) for maximum spectral radiancy decreases in direct proportion to the increase in temperature. This is called “Wien’s displacement law” λm ×T = constant (2.898 x 10-3 m.K)
  • 31.
    Planck’s Radiation Law Planckassumed that the atoms of the walls of cavity radiator behave as oscillators with energy ε n = nhv n = 0,1,2,3.... The average energy of an oscillator is − ε ε= N is total no. of Oscillators N − hv ε = hv kT (i) e −1 Thus the energy density (uv) of radiation in the frequency range v to v + dv is 8πv dv − 2 uv dv = 3 ×ε c
  • 32.
    8πv 2 dv hv  uv dv = 3  hv kT  c  e −1  8πhv 3 dv uv dv = 3 c e kT − 1 hv This is Planck’s Radiation formula in terms of frequency. In terms of wavelength 8πhc dλ uλ dλ = 5 hc λ e λkT − 1 This is Planck’s Radiation formula in terms of wavelength.
  • 33.
    Case I :(Rayleigh-Jeans Law) 8πhc dλ uλ dλ = 5 hc λ e λkT − 1 hc hc When λ is large then e λkT ≈ 1+ λkT 8πhc u λ dλ = dλ 5 hc  λ 1 + − 1  λkT  8πkT u λ dλ = 4 dλ This is Rayleigh-Jeans λ Law for longer λ’s.
  • 34.
    Case II :(Wein’s Law) 8πhc dλ uλ dλ = 5 hc λ e λkT − 1 hc When λ is very small then e λkT >> 1 8πhc −hc λkT u λ dλ = 5 e dλ λ This is Wein’s Law for small λ’s. A B λkT u λ dλ = 5 e dλ This is another form of λ Wein’s Law.. Here A and B are constants.
  • 35.
    Stefan’s Law Planck’s Radiationformula in terms of frequency is 8πhv 3 dv uv dv = 3 c e kT − 1 hv c 2πhv 3 dv uv dv = 2 c e kT − 1 hv 4 The spectral radiancy Ev is related to the energy density uv by c Ev = u v 4 2πh v dv 3 Ev dv = 2 hv c e kT − 1
  • 36.
    ∞ 2πh v 3 dv E = ∫ Ev dv = 2 ∫ hv 0 c 0 e kT − 1 hv kT kT Let =x ⇒v= x and dv = dx kT h h 4 ∞ 2πk T 4 x dx 3 E= 3 2 hc ∫ ex −1 0 ∞ x 3 dx π 4 But ∫ e x − 1 = 15 0
  • 37.
    2π 5 k4 4 E= 3 2 T 15h c 2π 5 k 4 Let 3 2 = σ (Stefan’s constant) 15h c E = σT 4 This is Stefan’s Law. 2π 5 k 4 Here σ= 3 2 = 5.67 x 10-5 erg/(cm2.sec.K4) 15h c = 5.67 x 10-8 W/(m2.K4)
  • 38.
    Wein’s Displacement Law Planck’sRadiation formula in terms of frequency is 8πhc 1 uλ = 5 hc λ e λkT − 1 d (uλ ) λ = λmax Using =0 for dλ hc = Constant kTλmax λm ×T = constant (2.898 x 10-3 m.K) Peaks in Black Body radiation shifts to shorter wavelength with increase in temperature.
  • 39.
    Specific Heat ofSolids Atoms in solid behave as oscillators. In case of solids total average energy per atom per degree of freedom is kT (0.5kT from K.E. and 0.5kT from P.E.). Each atom in the solid should have total energy = 3kT (3 degrees of freedom). For one mole of solid, total energy, E = 3N okT (classically) Here No is the Avogadro number. E = 3RT Specific heat at constant volume is  ∂E  Cv =   = 3R ~ 6 kcal/kmol.K  ∂T V This is Dulong & Petit’s Law.
  • 40.
    This means thatatomic specific heat (at constant volume) for all solids is approx 6 kcal/kmol.K and is independent of T. Dulong and Petit’s Law fails for light elements such as B, Be and C. Also it is not applicable at low temperatures for all solids.
  • 41.
    Einstein’s theory ofSpecific Heat of Solids According to it the motion of the atoms in a solid is oscillatory. The average energy per oscillator atom) is − hv ε = hv kT e −1 The total energy for one mole of solid in three degrees of freedom. hv E = 3 N o hv e kT − 1  ∂E  The molar specific heat of solid is Cv =    ∂T V
  • 42.
    hv 2  hv  e hv  hv  e kT kT Cv = 3 N o hv 2  hv = 3N o k   kT  (e kT − 1) 2 hv   kT  (e − 1) 2 kT 2 hv  hv  e kT Cv = 3R  hv  kT  (e kT − 1) 2 This is Einstein’s specific heat formula. Case I: At high T, kT >> hv then hv hv e kT ≈ 1+ kT
  • 43.
     hv  2 1 +   hv   kT  Cv ≈ 3 R    kT   hv  2 1 + − 1  kT   hv  C v ≈ 3 R 1 +   kT  Cv ≈ 3R (∴ kT >> hv) This is in agreement with Dulong & Petit’s Law at high T.
  • 44.
    Case II: hv At low T, hv >> kT then e kT >> 1 2  hv  −hv kT Cv ≈ 3 R   e  kT  This implies that as T → 0, Cv → 0 i.e. is in agreement with experimental results at low T.
  • 45.
    Free electrons ina metal Typically, one metal atom gives one electron. One mole atoms gives one mole of free electrons, (N o) If each free electron can behave like molecules of an ideal gas. Then 3 3 Average K.E. for 1 mole of electron gas,Ee = N o kT = RT 2 2  ∂Ee  3 Molar specific heat of electron gas, ( Cv ) e =  = R  ∂T V 2 Then total specific heat in metals at high T should be 3 9 Cv = 3 R + R = R 2 2
  • 46.
    But experimentally athigh T Cv ≈ 3 R ⇒ Free electrons don’t contribute in specific heat, Why? Electrons are fermions and have upper limit on the occupancy of the quantum state. By definition highest state of energy to be filled by a free electron at T = 0 is obtained at є = єF The no. of electrons having energy є is εF 8 2πVm 3 2 N = ∫ g (ε )dε where g (ε )dε = ε dε 0 h3 Here V is the volume of the metal
  • 47.
    εF 8 2πVm 16 2πVm 2 3 2 3 3 2 N= h3 ∫ 0 ε dε = 3h 3 εF 3 2 h  3N  2 ⇒ εF =   (i) 2m  8πV  where N/V is the density of free electrons. Electron energy distribution No. of electrons in the electron gas having energy between є and є + dє is n(ε )dε = g (ε ) f (ε )dε
  • 48.
    8 2πVm ε 2 ε 3 3 2 n(ε )dε = ( ε −ε F ) / kT dε h 3 e +1 using (i) −3  3N  ε 2 ε n(ε )dε =   (ε −ε F ) / kT dε  2 e +1 This is electron energy distribution formula, according to which distribution of electrons can be found at different temperatures.
  • 49.
    When a metalis heated then only those electrons which are near the top of the fermi level (kT of the Fermi energy) are excited to higher vacant energy states. kT = 0.0025 eV at 300K kT = 0.043 eV at 500K The electrons in lower energy states cannot absorb more energy because the states above them are already filled. This is why the free electrons contribution in specific heat is negligible even at high T.
  • 50.
    Average electron energyat 0K Total energy at 0K is εF Eo = ∫ εn(ε )dε 0 Since at 0K all electrons have energy less than or equal to єF e (ε −ε F ) / kT = e −∞ = 0 εF 3 N −3 2 3 2 3N Eo = ε F ∫ ε dε = εF 2 0 5 Then average electron energy  −  Eo 3 ε o  = = εF at 0K.   N 5